These Highlights Do Not Include All The Information Needed To Use Fluocinolone Acetonide Scalp Oil Safely And Effectively. See Full Prescribing Information For Fluocinolone Acetonide Scalp Oil.

These Highlights Do Not Include All The Information Needed To Use Fluocinolone Acetonide Scalp Oil Safely And Effectively. See Full Prescribing Information For Fluocinolone Acetonide Scalp Oil.
SPL v15
SPL
SPL Set ID b6796a10-9c90-429d-bfd6-33b557dc952c
Route
TOPICAL
Published
Effective Date 2025-05-14
Document Type 34391-3 HUMAN PRESCRIPTION DRUG LABEL

Drug Facts

Composition & Product

Active Ingredients
Fluocinolone Acetonide (0.11 mg)
Inactive Ingredients
Isopropyl Alcohol Isopropyl Myristate Light Mineral Oil Peanut Oil Oleth-2

Identifiers & Packaging

Pill Appearance
Color: yellow
Marketing Status
ANDA Active Since 2016-05-19

Description

Fluocinolone acetonide scalp oil is indicated for the treatment of psoriasis of the scalp in adults.

Indications and Usage

Fluocinolone acetonide scalp oil is indicated for the treatment of psoriasis of the scalp in adults.

Dosage and Administration

Fluocinolone acetonide oil scalp oil is for topical use only. Not for oral, ophthalmic, or intravaginal use. Wet or dampen hair and scalp thoroughly. Apply a thin film of fluocinolone acetonide scalp oil on the scalp, massage well and cover scalp with the supplied shower cap. Leave on overnight or for a minimum of 4 hours then wash hair with regular shampoo and rinse thoroughly. Use daily as needed. Discontinue fluocinolone acetonide scalp oil when control of disease is achieved within 2 weeks, or contact the healthcare provider if no improvement is seen within 2 weeks. Do not use fluocinolone acetonide scalp oil on the face unless directed by the healthcare provider. Do not apply to intertriginous areas due to the increased risk of local adverse reactions [see Adverse Reactions (6)] . Do not apply to the diaper area; diapers or plastic pants may constitute occlusive use [see Warnings and Precautions (5.1)]

Warnings and Precautions

Endocrine System Adverse Reactions : Topical corticosteroids can produce reversible HPA axis suppression, Cushing’s syndrome, hyperglycemia, and glucosuria. (5.1) Systemic absorption may require evaluation for hypothalamic-pituitary-adrenal (HPA) axis suppression. Potent corticosteroids use on large areas, prolonged use or occlusive use, altered skin barrier, liver failure, and young age may increase systemic absorption. Modify use should HPA axis suppression develop. (5.1) Local Adverse Reactions : Local adverse reactions may include atrophy, striae irritation, acneiform eruptions, hypopigmentation, and allergic contact dermatitis, and may be more likely with occlusive use or more potent corticosteroids. (5.2, 6.1) Ophthalmic Adverse Reactions : May increase the risks of glaucoma and posterior subcapsular cataract. Avoid contact of fluocinolone acetonide with eyes. Advise patients to report any visual symptoms and consider referral to an ophthalmologist for evaluation. (5.3)

Contraindications

None.

Adverse Reactions

Local adverse reactions may occur with use of topical corticosteroids, including fluocinolone acetonide and may be more likely to occur with occlusive use, prolonged use or use of higher potency corticosteroids. Some local adverse reactions may be irreversible. Reactions may include atrophy, striae, telangiectasias, burning, itching, irritation, dryness, folliculitis, acneiform eruptions, hypopigmentation, perioral dermatitis, allergic contact dermatitis, secondary infection, and miliaria [see Adverse Reactions (6.1)].

Storage and Handling

Fluocinolone acetonide scalp oil is supplied in bottles containing 4 fluid ounces. It is labeled as Scalp Oil (NDC #51672-1357-8). Scalp Oil is supplied with 2 shower caps. Storage: Store at 20° to 25°C (68° to 77°F) [see USP Controlled Room Temperature]. Keep tightly closed.

How Supplied

Fluocinolone acetonide scalp oil is supplied in bottles containing 4 fluid ounces. It is labeled as Scalp Oil (NDC #51672-1357-8). Scalp Oil is supplied with 2 shower caps. Storage: Store at 20° to 25°C (68° to 77°F) [see USP Controlled Room Temperature]. Keep tightly closed.


Medication Information

Warnings and Precautions

Endocrine System Adverse Reactions : Topical corticosteroids can produce reversible HPA axis suppression, Cushing’s syndrome, hyperglycemia, and glucosuria. (5.1) Systemic absorption may require evaluation for hypothalamic-pituitary-adrenal (HPA) axis suppression. Potent corticosteroids use on large areas, prolonged use or occlusive use, altered skin barrier, liver failure, and young age may increase systemic absorption. Modify use should HPA axis suppression develop. (5.1) Local Adverse Reactions : Local adverse reactions may include atrophy, striae irritation, acneiform eruptions, hypopigmentation, and allergic contact dermatitis, and may be more likely with occlusive use or more potent corticosteroids. (5.2, 6.1) Ophthalmic Adverse Reactions : May increase the risks of glaucoma and posterior subcapsular cataract. Avoid contact of fluocinolone acetonide with eyes. Advise patients to report any visual symptoms and consider referral to an ophthalmologist for evaluation. (5.3)

Indications and Usage

Fluocinolone acetonide scalp oil is indicated for the treatment of psoriasis of the scalp in adults.

Dosage and Administration

Fluocinolone acetonide oil scalp oil is for topical use only. Not for oral, ophthalmic, or intravaginal use. Wet or dampen hair and scalp thoroughly. Apply a thin film of fluocinolone acetonide scalp oil on the scalp, massage well and cover scalp with the supplied shower cap. Leave on overnight or for a minimum of 4 hours then wash hair with regular shampoo and rinse thoroughly. Use daily as needed. Discontinue fluocinolone acetonide scalp oil when control of disease is achieved within 2 weeks, or contact the healthcare provider if no improvement is seen within 2 weeks. Do not use fluocinolone acetonide scalp oil on the face unless directed by the healthcare provider. Do not apply to intertriginous areas due to the increased risk of local adverse reactions [see Adverse Reactions (6)] . Do not apply to the diaper area; diapers or plastic pants may constitute occlusive use [see Warnings and Precautions (5.1)]

Contraindications

None.

Adverse Reactions

Local adverse reactions may occur with use of topical corticosteroids, including fluocinolone acetonide and may be more likely to occur with occlusive use, prolonged use or use of higher potency corticosteroids. Some local adverse reactions may be irreversible. Reactions may include atrophy, striae, telangiectasias, burning, itching, irritation, dryness, folliculitis, acneiform eruptions, hypopigmentation, perioral dermatitis, allergic contact dermatitis, secondary infection, and miliaria [see Adverse Reactions (6.1)].

Storage and Handling

Fluocinolone acetonide scalp oil is supplied in bottles containing 4 fluid ounces. It is labeled as Scalp Oil (NDC #51672-1357-8). Scalp Oil is supplied with 2 shower caps. Storage: Store at 20° to 25°C (68° to 77°F) [see USP Controlled Room Temperature]. Keep tightly closed.

How Supplied

Fluocinolone acetonide scalp oil is supplied in bottles containing 4 fluid ounces. It is labeled as Scalp Oil (NDC #51672-1357-8). Scalp Oil is supplied with 2 shower caps. Storage: Store at 20° to 25°C (68° to 77°F) [see USP Controlled Room Temperature]. Keep tightly closed.

Description

Fluocinolone acetonide scalp oil is indicated for the treatment of psoriasis of the scalp in adults.

8.1 Pregnancy

Risk Summary

Available data from case reports, case series, and observational studies on fluocinolone acetonide use in pregnant women have not identified a drug-associated risk of major birth defects, miscarriage or adverse maternal or fetal outcomes.

Observational studies suggest maternal use of high to super-high potency topical steroids may be associated with an increased risk of low birthweight infants. Advise pregnant women to use fluocinolone acetonide on the smallest area of skin and for the shortest duration possible.

Corticosteroids can cause fetal malformations in laboratory animals when administered systemically at relatively low dosage levels. Some corticosteroids cause fetal malformations after dermal application in laboratory animals.

The background risk of major birth defects and miscarriage for the indicated population is unknown. All pregnancies have a background risk of birth defect, loss, or other adverse outcomes. In the U.S. general population, the estimated background risk of major birth defects and miscarriage in clinically recognized pregnancies is 2 to 4% and 15 to 20%, respectively.

8.2 Lactation

Risk Summary

There is no information regarding the presence of fluocinolone acetonide in breast milk or its effects on the breastfed infant or on milk production. It is not known whether topical administration of corticosteroids could result in sufficient systemic absorption to produce detectable quantities in breast milk. To minimize potential exposure to the breastfed infant via breast milk, use fluocinolone acetonide on the smallest area of skin and for the shortest duration possible while breastfeeding. Advise breastfeeding women not to apply fluocinolone acetonide directly to the nipple and areola to avoid direct infant exposure [see Warnings and Precautions (5.1)]. The developmental and health benefits of breastfeeding should be considered along with the mother's clinical need for fluocinolone acetonide and any potential adverse effects on the breastfed infant from fluocinolone acetonide or from the underlying maternal condition.

11 Description

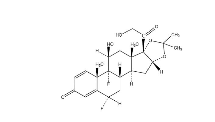
Fluocinolone acetonide Scalp Oil, 0.01% contains fluocinolone acetonide [(6α, 11β, 16α)-6,9-difluoro-11,21-dihydroxy-16,17[(1-methylethylidene)bis(oxy)]-pregna-1,4-diene-3,20-dione, cyclic 16,17 acetal with acetone], a synthetic corticosteroid for topical dermatologic use. This formulation is also marketed as Fluocinolone Acetonide, 0.01% for use as body oil for atopic dermatitis in adults and for moderate to severe atopic dermatitis in pediatric patients 2 years and older and as fluocinolone acetonide oil, 0.01% for chronic eczematous external otitis. Chemically, fluocinolone acetonide is C 24H 30F 2O 6. It has the following structural formula:

Fluocinolone acetonide in fluocinolone acetonide scalp oil, 0.01% has a molecular weight of 452.50. It is a white crystalline powder that is odorless, stable in light, and melts at 270°C with decomposition; soluble in alcohol, acetone and methanol; slightly soluble in chloroform; insoluble in water.

Each gram of fluocinolone acetonide scalp oil contains approximately 0.11 mg of fluocinolone acetonide in a blend of oils, which contains isopropyl alcohol, isopropyl myristate, light mineral oil, oleth-2 and refined peanut oil.

Each packaged product contains 2 shower caps. The shower cap is made of low density polyethylene material with rubber elastic.

8.4 Pediatric Use

The safety and effectiveness of fluocinolone acetonide have not been established in pediatric patients with psoriasis of the scalp.

Evaluation in Peanut-Sensitive Pediatric Patients

A clinical trial was conducted to assess the safety of the formulation of fluocinolone acetonide, which contains refined peanut oil, in patients with known peanut allergies. The trial enrolled 13 pediatric subjects with atopic dermatitis, 6 to 17 years of age. Fluocinolone acetonide is not approved for the treatment of atopic dermatitis.

Of the 13 subjects, 9 were Radioallergosorbent Test (RAST) positive to peanuts and 4 had no peanut sensitivity (controls). The trial evaluated the subjects' responses to both prick test and patch test utilizing refined peanut oil, the formulation of fluocinolone acetonide and histamine/saline controls. Subjects were also treated with the formulation of fluocinolone acetonide twice daily for 7 days. Prick test and patch test results for all 13 subjects were negative to the formulation of fluocinolone acetonide and the refined peanut oil. One of the 9 peanut-sensitive subjects experienced an exacerbation of atopic dermatitis after 5 days of use on the formulation of fluocinolone acetonide.

14 Clinical Studies

In a vehicle-controlled study for the treatment of psoriasis of the scalp in adults, after 21 days of treatment, 60% of patients on active treatment and 21% of patients on the drug vehicle had excellent to cleared clinical response.

4 Contraindications

None.

6 Adverse Reactions

The following serious adverse reactions are discussed in more detail in other sections of the labeling:

  • Endocrine System Adverse Reactions [see Warnings and Precautions (5.1)]
  • Local Adverse Reactions [see Warnings and Precautions (5.2)]
  • Ophthalmic Adverse Reactions [see Warnings and Precautions (5.3)]

12.2 Pharmacodynamics

Vasoconstrictor Assay

Fluocinolone acetonide is in the low to medium range of potency as compared with other topical corticosteroids in vasoconstrictor studies. However, similar blanching scores do not necessarily imply therapeutic equivalence.

Hypothalamic-Pituitary-Adrenal (HPA) Axis Suppression

HPA axis suppression following administration of fluocinolone acetonide was not assessed.

12.3 Pharmacokinetics

Topical corticosteroids can be absorbed from intact healthy skin. The extent of percutaneous absorption of topical corticosteroids is determined by many factors, including the product formulation and the integrity of the epidermal barrier. Occlusion, inflammation and/or other disease processes in the skin may increase percutaneous absorption. The use of pharmacodynamic endpoints for assessing the systemic exposure of topical corticosteroids may be necessary due to the fact that circulating levels are often below the level of detection. Once absorbed through the skin, topical corticosteroids are metabolized, primarily in the liver, and are then excreted by the kidneys. Some corticosteroids and their metabolites are also excreted in the bile.

1.indications and Usage

Fluocinolone acetonide scalp oil is indicated for the treatment of psoriasis of the scalp in adults.

Principal Display Panel

4 fl. oz.

Net Contents 118.28 mL

NDC 51672-1357-8

Fluocinolone Acetonide Topical Oil,0.01% (SCALP OIL)

For Topical Use Only

Not for Oral, Ophthalmic, or Intravaginal Use

SHAKE WELL BEFORE USE

Keep this and all medications out of the reach of children.

Rx only

12.1 Mechanism of Action

Corticosteroids play a role in cellular signaling, immune function, inflammation, and protein regulation; however, the precise mechanism of action in psoriasis of the scalp is unknown.

13 Nonclinical Toxicology

13.1 Carcinogenesis, mutagenesis, impairment of fertility

No carcinogenicity, genotoxicity, or fertility studies were conducted with fluocinolone acetonide. However, some corticosteroids are genotoxic in various genotoxicity tests (i.e., the in vitro human peripheral blood lymphocyte chromosome aberration assay with metabolic activation, the in vivo mouse bone marrow micronucleus assay, the Chinese hamster micronucleus test, and the in vitro mouse lymphoma gene mutation assay).

5 Warnings and Precautions

2 Dosage and Administration

Fluocinolone acetonide oil scalp oil is for topical use only. Not for oral, ophthalmic, or intravaginal use.

Wet or dampen hair and scalp thoroughly. Apply a thin film of fluocinolone acetonide scalp oil on the scalp, massage well and cover scalp with the supplied shower cap. Leave on overnight or for a minimum of 4 hours then wash hair with regular shampoo and rinse thoroughly. Use daily as needed.

Discontinue fluocinolone acetonide scalp oil when control of disease is achieved within 2 weeks, or contact the healthcare provider if no improvement is seen within 2 weeks.

Do not use fluocinolone acetonide scalp oil on the face unless directed by the healthcare provider. Do not apply to intertriginous areas due to the increased risk of local adverse reactions [see Adverse Reactions (6)].

Do not apply to the diaper area; diapers or plastic pants may constitute occlusive use [see Warnings and Precautions (5.1)]

5.2 Local Adverse Reactions

Local adverse reactions may occur with use of topical corticosteroids, including fluocinolone acetonide and may be more likely to occur with occlusive use, prolonged use or use of higher potency corticosteroids. Some local adverse reactions may be irreversible. Reactions may include atrophy, striae, telangiectasias, burning, itching, irritation, dryness, folliculitis, acneiform eruptions, hypopigmentation, perioral dermatitis, allergic contact dermatitis, secondary infection, and miliaria [see Adverse Reactions (6.1)].

3 Dosage Forms and Strengths

Fluocinolone acetonide scalp oil is a topical oil containing 0.01% fluocinolone acetonide, supplied in bottles containing 4 fluid ounces and with 2 shower caps.

6.2 Postmarketing Experience

The following adverse reactions have been identified during post-approval use of products containing topical corticosteroids. Because postmarketing adverse reactions are reported voluntarily from a population of uncertain size, it is not always possible to reliably estimate their frequency or establish a causal relationship to drug exposure.

  • Endocrine Disorders: HPA axis suppression and Cushing’s syndrome
  • Eye Disorders: glaucoma and cataracts
  • Nervous System Disorders: intracranial hypertension including bulging fontanelles, headaches, and bilateral papilledema
8 Use in Specific Populations

5.4 Allergic Contact Dermatitis

Use of topical corticosteroids can cause allergic contact dermatitis. Allergic contact dermatitis to any component of topical corticosteroids is usually diagnosed by a failure to heal rather than a clinical exacerbation. Clinical diagnosis of allergic contact dermatitis can be confirmed by patch testing.

5.5 Concomitant Skin Infections

Use of topical corticosteroids may delay healing or worsen concomitant skin infections. Treat concomitant skin infections with an appropriate antimicrobial agent. If the infection persists unchanged, discontinue fluocinolone acetonide until the infection has been adequately treated.

6.1 Clinical Studies Experience

Because clinical trials are conducted under widely varying condition, adverse reaction rates observed in the clinical trials of a drug cannot be directly compared to rates in the clinical trials of another drug and may not reflect the rates observed in practice.

An open-label safety study was conducted in 29 pediatric subjects 3 months to 2 years old to assess the HPA axis by ACTH stimulation testing following use of the formulation of fluocinolone acetonide twice daily for 4 weeks. Fluocinolone acetonide is not approved for use in pediatric patients for the treatment of psoriasis of the scalp. The most common adverse reactions were reported in the study:

Table 1: Adverse Reactions in ≥ 2% Pediatric Subjects 3 Months to 2 Years of Age Treated with the Formulation of Fluocinolone , N=30*

Adverse Reaction

n (%)

Cough

6 (20)

Rhinorrhea

4 (13)

Pyrexia

3 (10)

Nasopharyngitis

2 (7)

Hypopigmentation

2 (7)

Abscess

1 (3)

Atopic Dermatitis

1 (3)

Eczema

1 (3)

Hyperpigmentation

1 (3)

Molluscum

1 (3)

Rash

1 (3)

Diarrhea

1 (3)

* Includes one subject who withdrew at Week 2

5.3 Ophthalmic Adverse Reactions

Use of topical corticosteroids may increase the risks of glaucoma and posterior subcapsular cataract. Glaucoma and cataracts have been reported in postmarketing experience with the use of topical corticosteroid products. Avoid contact of fluocinolone acetonide with eyes. Advise patients to report any visual symptoms and consider referral to an ophthalmologist for evaluation.

17 Patient Counseling Information

Administration Instructions

Advise patients that fluocinolone acetonide scalp oil is for topical use only [see Dosage and Administration (2)].

Instruct patients not to apply fluocinolone acetonide scalp oil to the diaper area as diapers or plastic pants may constitute occlusive use [see Dosage and Administration (2)].

Advise patients to avoid use of fluocinolone acetonide scalp oil on the face, axillae, or groin unless directed by their healthcare provider [see Dosage and Administration (2)].

Advise patients to discontinue therapy when control of disease is achieved. Instruct patients to contact their healthcare provider if no improvement is seen within 2 weeks [see Dosage and Administration (2)].

Endocrine System Adverse Reactions

Instruct patients not to use other corticosteroid-containing products while using fluocinolone acetonide scalp oil without first consulting their healthcare provider [see Warnings and Precautions (5.1)].

Ophthalmic Adverse Reactions

Advise patients to avoid contact with the eyes and in case of contact, wash eyes liberally with water. Instruct patients to tell their healthcare provider if they develop any visual symptoms [see Warnings and Precautions (5.3)].

Pregnancy and Lactation

Advise women to use fluocinolone acetonide scalp oil on the smallest area of skin and for the shortest duration possible while pregnant or breastfeeding. Advise patients that are breastfeeding not to apply fluocinolone acetonide scalp oil directly to the nipple and areola to avoid direct infant exposure [See Use in Specific Populations (8.1 and 8.2)].

Mfd. by: Sun Pharma Canada Inc., Brampton, Ontario, Canada L6T 1C1

Dist. by: Sun Pharmaceutical Industries, Inc., Cranbury, NJ 08512

Revised: July 2025

5262720-0725-01 51

16 How Supplied / Storage and Handling

Fluocinolone acetonide scalp oil is supplied in bottles containing 4 fluid ounces. It is labeled as Scalp Oil (NDC #51672-1357-8). Scalp Oil is supplied with 2 shower caps.

Storage: Store at 20° to 25°C (68° to 77°F) [see USP Controlled Room Temperature].

Keep tightly closed.

5.1 Endocrine System Adverse Reactions

Systemic absorption of topical corticosteroids can produce reversible hypothalamic-pituitary-adrenal (HPA) axis suppression with the potential for glucocorticosteroid insufficiency. Cushing’s syndrome, hyperglycemia, and glucosuria can result from systemic absorption of topical corticosteroids.

HPA axis suppression and Cushing’s syndrome have been reported in patients receiving topical corticosteroids.

Conditions which increase systemic absorption include the use of more potent corticosteroids, use over large surface areas, use over prolonged periods, use of occlusive dressings, altered skin barrier, liver failure, and young age. Use of more than one corticosteroid-containing product at the same time may increase total systemic corticosteroid exposure. Because of the potential for systemic absorption, use of topical corticosteroids may require that patients be periodically evaluated for HPA axis suppression. The ACTH stimulation test may be helpful in evaluating patients for HPA axis suppression.

If HPA axis suppression is documented, an attempt should be made to withdraw the drug, to reduce the frequency of application, or to substitute a less potent corticosteroid. Manifestations of adrenal insufficiency may require supplemental systemic corticosteroids. Recovery of HPA axis function is generally prompt upon discontinuation of topical corticosteroids.

5.6 Use in Peanut Sensitive Individuals

Use caution in prescribing fluocinolone acetonide for peanut-sensitive individuals [see Description (11)].

Should signs of hypersensitivity present (wheal and flare reactions, pruritus, or other manifestations), or should disease exacerbations occur, discontinue fluocinolone acetonide immediately and institute appropriate therapy.


Structured Label Content

8.1 Pregnancy

Risk Summary

Available data from case reports, case series, and observational studies on fluocinolone acetonide use in pregnant women have not identified a drug-associated risk of major birth defects, miscarriage or adverse maternal or fetal outcomes.

Observational studies suggest maternal use of high to super-high potency topical steroids may be associated with an increased risk of low birthweight infants. Advise pregnant women to use fluocinolone acetonide on the smallest area of skin and for the shortest duration possible.

Corticosteroids can cause fetal malformations in laboratory animals when administered systemically at relatively low dosage levels. Some corticosteroids cause fetal malformations after dermal application in laboratory animals.

The background risk of major birth defects and miscarriage for the indicated population is unknown. All pregnancies have a background risk of birth defect, loss, or other adverse outcomes. In the U.S. general population, the estimated background risk of major birth defects and miscarriage in clinically recognized pregnancies is 2 to 4% and 15 to 20%, respectively.

8.2 Lactation

Risk Summary

There is no information regarding the presence of fluocinolone acetonide in breast milk or its effects on the breastfed infant or on milk production. It is not known whether topical administration of corticosteroids could result in sufficient systemic absorption to produce detectable quantities in breast milk. To minimize potential exposure to the breastfed infant via breast milk, use fluocinolone acetonide on the smallest area of skin and for the shortest duration possible while breastfeeding. Advise breastfeeding women not to apply fluocinolone acetonide directly to the nipple and areola to avoid direct infant exposure [see Warnings and Precautions (5.1)]. The developmental and health benefits of breastfeeding should be considered along with the mother's clinical need for fluocinolone acetonide and any potential adverse effects on the breastfed infant from fluocinolone acetonide or from the underlying maternal condition.

11 Description (11 DESCRIPTION)

Fluocinolone acetonide Scalp Oil, 0.01% contains fluocinolone acetonide [(6α, 11β, 16α)-6,9-difluoro-11,21-dihydroxy-16,17[(1-methylethylidene)bis(oxy)]-pregna-1,4-diene-3,20-dione, cyclic 16,17 acetal with acetone], a synthetic corticosteroid for topical dermatologic use. This formulation is also marketed as Fluocinolone Acetonide, 0.01% for use as body oil for atopic dermatitis in adults and for moderate to severe atopic dermatitis in pediatric patients 2 years and older and as fluocinolone acetonide oil, 0.01% for chronic eczematous external otitis. Chemically, fluocinolone acetonide is C 24H 30F 2O 6. It has the following structural formula:

Fluocinolone acetonide in fluocinolone acetonide scalp oil, 0.01% has a molecular weight of 452.50. It is a white crystalline powder that is odorless, stable in light, and melts at 270°C with decomposition; soluble in alcohol, acetone and methanol; slightly soluble in chloroform; insoluble in water.

Each gram of fluocinolone acetonide scalp oil contains approximately 0.11 mg of fluocinolone acetonide in a blend of oils, which contains isopropyl alcohol, isopropyl myristate, light mineral oil, oleth-2 and refined peanut oil.

Each packaged product contains 2 shower caps. The shower cap is made of low density polyethylene material with rubber elastic.

8.4 Pediatric Use

The safety and effectiveness of fluocinolone acetonide have not been established in pediatric patients with psoriasis of the scalp.

Evaluation in Peanut-Sensitive Pediatric Patients

A clinical trial was conducted to assess the safety of the formulation of fluocinolone acetonide, which contains refined peanut oil, in patients with known peanut allergies. The trial enrolled 13 pediatric subjects with atopic dermatitis, 6 to 17 years of age. Fluocinolone acetonide is not approved for the treatment of atopic dermatitis.

Of the 13 subjects, 9 were Radioallergosorbent Test (RAST) positive to peanuts and 4 had no peanut sensitivity (controls). The trial evaluated the subjects' responses to both prick test and patch test utilizing refined peanut oil, the formulation of fluocinolone acetonide and histamine/saline controls. Subjects were also treated with the formulation of fluocinolone acetonide twice daily for 7 days. Prick test and patch test results for all 13 subjects were negative to the formulation of fluocinolone acetonide and the refined peanut oil. One of the 9 peanut-sensitive subjects experienced an exacerbation of atopic dermatitis after 5 days of use on the formulation of fluocinolone acetonide.

14 Clinical Studies (14 CLINICAL STUDIES)

In a vehicle-controlled study for the treatment of psoriasis of the scalp in adults, after 21 days of treatment, 60% of patients on active treatment and 21% of patients on the drug vehicle had excellent to cleared clinical response.

4 Contraindications (4 CONTRAINDICATIONS)

None.

6 Adverse Reactions (6 ADVERSE REACTIONS)

The following serious adverse reactions are discussed in more detail in other sections of the labeling:

  • Endocrine System Adverse Reactions [see Warnings and Precautions (5.1)]
  • Local Adverse Reactions [see Warnings and Precautions (5.2)]
  • Ophthalmic Adverse Reactions [see Warnings and Precautions (5.3)]

12.2 Pharmacodynamics

Vasoconstrictor Assay

Fluocinolone acetonide is in the low to medium range of potency as compared with other topical corticosteroids in vasoconstrictor studies. However, similar blanching scores do not necessarily imply therapeutic equivalence.

Hypothalamic-Pituitary-Adrenal (HPA) Axis Suppression

HPA axis suppression following administration of fluocinolone acetonide was not assessed.

12.3 Pharmacokinetics

Topical corticosteroids can be absorbed from intact healthy skin. The extent of percutaneous absorption of topical corticosteroids is determined by many factors, including the product formulation and the integrity of the epidermal barrier. Occlusion, inflammation and/or other disease processes in the skin may increase percutaneous absorption. The use of pharmacodynamic endpoints for assessing the systemic exposure of topical corticosteroids may be necessary due to the fact that circulating levels are often below the level of detection. Once absorbed through the skin, topical corticosteroids are metabolized, primarily in the liver, and are then excreted by the kidneys. Some corticosteroids and their metabolites are also excreted in the bile.

1.indications and Usage (1.INDICATIONS AND USAGE)

Fluocinolone acetonide scalp oil is indicated for the treatment of psoriasis of the scalp in adults.

Principal Display Panel (PRINCIPAL DISPLAY PANEL)

4 fl. oz.

Net Contents 118.28 mL

NDC 51672-1357-8

Fluocinolone Acetonide Topical Oil,0.01% (SCALP OIL)

For Topical Use Only

Not for Oral, Ophthalmic, or Intravaginal Use

SHAKE WELL BEFORE USE

Keep this and all medications out of the reach of children.

Rx only

12.1 Mechanism of Action

Corticosteroids play a role in cellular signaling, immune function, inflammation, and protein regulation; however, the precise mechanism of action in psoriasis of the scalp is unknown.

13 Nonclinical Toxicology (13 NONCLINICAL TOXICOLOGY)

13.1 Carcinogenesis, mutagenesis, impairment of fertility

No carcinogenicity, genotoxicity, or fertility studies were conducted with fluocinolone acetonide. However, some corticosteroids are genotoxic in various genotoxicity tests (i.e., the in vitro human peripheral blood lymphocyte chromosome aberration assay with metabolic activation, the in vivo mouse bone marrow micronucleus assay, the Chinese hamster micronucleus test, and the in vitro mouse lymphoma gene mutation assay).

5 Warnings and Precautions (5 WARNINGS AND PRECAUTIONS)

2 Dosage and Administration (2 DOSAGE AND ADMINISTRATION)

Fluocinolone acetonide oil scalp oil is for topical use only. Not for oral, ophthalmic, or intravaginal use.

Wet or dampen hair and scalp thoroughly. Apply a thin film of fluocinolone acetonide scalp oil on the scalp, massage well and cover scalp with the supplied shower cap. Leave on overnight or for a minimum of 4 hours then wash hair with regular shampoo and rinse thoroughly. Use daily as needed.

Discontinue fluocinolone acetonide scalp oil when control of disease is achieved within 2 weeks, or contact the healthcare provider if no improvement is seen within 2 weeks.

Do not use fluocinolone acetonide scalp oil on the face unless directed by the healthcare provider. Do not apply to intertriginous areas due to the increased risk of local adverse reactions [see Adverse Reactions (6)].

Do not apply to the diaper area; diapers or plastic pants may constitute occlusive use [see Warnings and Precautions (5.1)]

5.2 Local Adverse Reactions

Local adverse reactions may occur with use of topical corticosteroids, including fluocinolone acetonide and may be more likely to occur with occlusive use, prolonged use or use of higher potency corticosteroids. Some local adverse reactions may be irreversible. Reactions may include atrophy, striae, telangiectasias, burning, itching, irritation, dryness, folliculitis, acneiform eruptions, hypopigmentation, perioral dermatitis, allergic contact dermatitis, secondary infection, and miliaria [see Adverse Reactions (6.1)].

3 Dosage Forms and Strengths (3 DOSAGE FORMS AND STRENGTHS)

Fluocinolone acetonide scalp oil is a topical oil containing 0.01% fluocinolone acetonide, supplied in bottles containing 4 fluid ounces and with 2 shower caps.

6.2 Postmarketing Experience

The following adverse reactions have been identified during post-approval use of products containing topical corticosteroids. Because postmarketing adverse reactions are reported voluntarily from a population of uncertain size, it is not always possible to reliably estimate their frequency or establish a causal relationship to drug exposure.

  • Endocrine Disorders: HPA axis suppression and Cushing’s syndrome
  • Eye Disorders: glaucoma and cataracts
  • Nervous System Disorders: intracranial hypertension including bulging fontanelles, headaches, and bilateral papilledema
8 Use in Specific Populations (8 USE IN SPECIFIC POPULATIONS)

5.4 Allergic Contact Dermatitis

Use of topical corticosteroids can cause allergic contact dermatitis. Allergic contact dermatitis to any component of topical corticosteroids is usually diagnosed by a failure to heal rather than a clinical exacerbation. Clinical diagnosis of allergic contact dermatitis can be confirmed by patch testing.

5.5 Concomitant Skin Infections

Use of topical corticosteroids may delay healing or worsen concomitant skin infections. Treat concomitant skin infections with an appropriate antimicrobial agent. If the infection persists unchanged, discontinue fluocinolone acetonide until the infection has been adequately treated.

6.1 Clinical Studies Experience

Because clinical trials are conducted under widely varying condition, adverse reaction rates observed in the clinical trials of a drug cannot be directly compared to rates in the clinical trials of another drug and may not reflect the rates observed in practice.

An open-label safety study was conducted in 29 pediatric subjects 3 months to 2 years old to assess the HPA axis by ACTH stimulation testing following use of the formulation of fluocinolone acetonide twice daily for 4 weeks. Fluocinolone acetonide is not approved for use in pediatric patients for the treatment of psoriasis of the scalp. The most common adverse reactions were reported in the study:

Table 1: Adverse Reactions in ≥ 2% Pediatric Subjects 3 Months to 2 Years of Age Treated with the Formulation of Fluocinolone , N=30*

Adverse Reaction

n (%)

Cough

6 (20)

Rhinorrhea

4 (13)

Pyrexia

3 (10)

Nasopharyngitis

2 (7)

Hypopigmentation

2 (7)

Abscess

1 (3)

Atopic Dermatitis

1 (3)

Eczema

1 (3)

Hyperpigmentation

1 (3)

Molluscum

1 (3)

Rash

1 (3)

Diarrhea

1 (3)

* Includes one subject who withdrew at Week 2

5.3 Ophthalmic Adverse Reactions

Use of topical corticosteroids may increase the risks of glaucoma and posterior subcapsular cataract. Glaucoma and cataracts have been reported in postmarketing experience with the use of topical corticosteroid products. Avoid contact of fluocinolone acetonide with eyes. Advise patients to report any visual symptoms and consider referral to an ophthalmologist for evaluation.

17 Patient Counseling Information (17 PATIENT COUNSELING INFORMATION)

Administration Instructions

Advise patients that fluocinolone acetonide scalp oil is for topical use only [see Dosage and Administration (2)].

Instruct patients not to apply fluocinolone acetonide scalp oil to the diaper area as diapers or plastic pants may constitute occlusive use [see Dosage and Administration (2)].

Advise patients to avoid use of fluocinolone acetonide scalp oil on the face, axillae, or groin unless directed by their healthcare provider [see Dosage and Administration (2)].

Advise patients to discontinue therapy when control of disease is achieved. Instruct patients to contact their healthcare provider if no improvement is seen within 2 weeks [see Dosage and Administration (2)].

Endocrine System Adverse Reactions

Instruct patients not to use other corticosteroid-containing products while using fluocinolone acetonide scalp oil without first consulting their healthcare provider [see Warnings and Precautions (5.1)].

Ophthalmic Adverse Reactions

Advise patients to avoid contact with the eyes and in case of contact, wash eyes liberally with water. Instruct patients to tell their healthcare provider if they develop any visual symptoms [see Warnings and Precautions (5.3)].

Pregnancy and Lactation

Advise women to use fluocinolone acetonide scalp oil on the smallest area of skin and for the shortest duration possible while pregnant or breastfeeding. Advise patients that are breastfeeding not to apply fluocinolone acetonide scalp oil directly to the nipple and areola to avoid direct infant exposure [See Use in Specific Populations (8.1 and 8.2)].

Mfd. by: Sun Pharma Canada Inc., Brampton, Ontario, Canada L6T 1C1

Dist. by: Sun Pharmaceutical Industries, Inc., Cranbury, NJ 08512

Revised: July 2025

5262720-0725-01 51

16 How Supplied / Storage and Handling (16 HOW SUPPLIED / STORAGE AND HANDLING)

Fluocinolone acetonide scalp oil is supplied in bottles containing 4 fluid ounces. It is labeled as Scalp Oil (NDC #51672-1357-8). Scalp Oil is supplied with 2 shower caps.

Storage: Store at 20° to 25°C (68° to 77°F) [see USP Controlled Room Temperature].

Keep tightly closed.

5.1 Endocrine System Adverse Reactions

Systemic absorption of topical corticosteroids can produce reversible hypothalamic-pituitary-adrenal (HPA) axis suppression with the potential for glucocorticosteroid insufficiency. Cushing’s syndrome, hyperglycemia, and glucosuria can result from systemic absorption of topical corticosteroids.

HPA axis suppression and Cushing’s syndrome have been reported in patients receiving topical corticosteroids.

Conditions which increase systemic absorption include the use of more potent corticosteroids, use over large surface areas, use over prolonged periods, use of occlusive dressings, altered skin barrier, liver failure, and young age. Use of more than one corticosteroid-containing product at the same time may increase total systemic corticosteroid exposure. Because of the potential for systemic absorption, use of topical corticosteroids may require that patients be periodically evaluated for HPA axis suppression. The ACTH stimulation test may be helpful in evaluating patients for HPA axis suppression.

If HPA axis suppression is documented, an attempt should be made to withdraw the drug, to reduce the frequency of application, or to substitute a less potent corticosteroid. Manifestations of adrenal insufficiency may require supplemental systemic corticosteroids. Recovery of HPA axis function is generally prompt upon discontinuation of topical corticosteroids.

5.6 Use in Peanut Sensitive Individuals (5.6 Use in Peanut-Sensitive Individuals)

Use caution in prescribing fluocinolone acetonide for peanut-sensitive individuals [see Description (11)].

Should signs of hypersensitivity present (wheal and flare reactions, pruritus, or other manifestations), or should disease exacerbations occur, discontinue fluocinolone acetonide immediately and institute appropriate therapy.


Advanced Ingredient Data


Raw Label Data

All Sections (JSON)