These Highlights Do Not Include All The Information Needed To Use Morphine Sulfate Injection Safely And Effectively. See Full Prescribing Information For Morphine Sulfate Injection.

These Highlights Do Not Include All The Information Needed To Use Morphine Sulfate Injection Safely And Effectively. See Full Prescribing Information For Morphine Sulfate Injection.
SPL v18
SPL
SPL Set ID b62ee1ef-db55-417a-a02e-b103890f9c4b
Routes
INTRAVENOUS INTRAMUSCULAR
Published
Effective Date 2020-08-31
Document Type 34391-3 HUMAN PRESCRIPTION DRUG LABEL

Drug Facts

Composition & Product

Active Ingredients
Morphine (2 mg)
Inactive Ingredients
Sodium Chloride Trisodium Citrate Dihydrate Citric Acid Monohydrate Edetate Disodium Calcium Chloride Water

Identifiers & Packaging

Marketing Status
NDA Completed Since 2013-10-30 Until 2025-04-09

Description

Warnings and Precautions 10/2019

Indications and Usage

Morphine Sulfate Injection is indicated for the management of pain severe enough to require an opioid analgesic and for which alternative treatments are inadequate.

Dosage and Administration

• Use the lowest effective dosage for the shortest duration consistent with individual patient treatment goals. ( 2.1 ) • Individualize dosing based on the severity of pain, patient response, prior analgesic experience, and risk factors for addiction, abuse, and misuse. ( 2.1 ) • Direct Intravenous Injection: Initiate treatment with 0.1 mg to 0.2 mg per kg every 4 hours as needed to manage pain. ( 2.2 ) • Intramuscular Injection: Initiate treatment with 10 mg, every 4 hours as needed to manage pain (based on a 70 kg adult). ( 2.2 ) • Do not stop Morphine Sulfate Injection abruptly in a physically dependent patient. ( 2.4 )

Warnings and Precautions

• Cardiovascular Instability: High doses are excitatory. Have Naloxone Injection and resuscitative equipment immediately available. ( 5.5 ) • Life-Threatening Respiratory Depression in Patients with Chronic Pulmonary Disease or in Elderly, Cachectic, or Debilitated Patients: Monitor closely, particularly during initiation and titration. ( 5.2 ) • Adrenal Insufficiency: If diagnosed, treat with physiologic replacement of corticosteroids, and wean patient off of the opioid. ( 5.8 ) • Severe Hypotension: Monitor during dosage initiation and titration. Avoid use of Morphine Sulfate Injection in patients with circulatory shock. ( 5.9 ) • Risks of Use in Patients with Increased Intracranial Pressure, Brain Tumors, Head Injury, or Impaired Consciousness : Monitor for sedation and respiratory depression. Avoid use of Morphine Sulfate Injection in patients with impaired consciousness or coma. ( 5.10 )

Contraindications

Morphine Sulfate Injection is contraindicated in patients with: • Significant respiratory depression [see Warnings and Precautions ( 5.2 )] • Acute or severe bronchial asthma in an unmonitored setting or in the absence of resuscitative equipment [see Warnings and Precautions ( 5.6 )] • Concurrent use of monoamine oxidase inhibitors (MAOIs) or use of MAOIs within the last 14 days [see Warnings and Precautions ( 5.7 )] . • Known or suspected gastrointestinal obstruction, including paralytic ileus [see Warnings and Precautions ( 5.11 )] • Hypersensitivity to morphine (e.g., anaphylaxis) [see Adverse Reactions ( 6 )]

Adverse Reactions

The following serious adverse reactions are described, or described in greater detail, in other sections: • Addiction, Abuse, and Misuse [see Warnings and Precautions ( 5.1 )] • Life-Threatening Respiratory Depression [see Warnings and Precautions ( 5.2 )] • Neonatal Opioid Withdrawal Syndrome [see Warnings and Precautions ( 5.3 )] • Interactions with Benzodiazepine or Other CNS Depressants [see Warnings and Precautions ( 5.4 )] • Cardiovascular Instability [see Warnings and Precautions ( 5.5 )] • Adrenal Insufficiency [see Warnings and Precautions ( 5.8 )] • Severe Hypotension [see Warnings and Precautions ( 5.9 )] • Gastrointestinal Adverse Reactions [see Warnings and Precautions ( 5.11 )] • Seizures [see Warnings and Precautions ( 5.12 )] • Withdrawal [see Warnings and Precautions ( 5.13 )] The following adverse reactions associated with the use of morphine were identified in clinical studies or postmarketing reports. Because some of these reactions were reported voluntarily from a population of uncertain size, it is not always possible to reliably estimate their frequency or establish a causal relationship to drug exposure. Serious adverse reactions associated with Morphine Sulfate Injection included, respiratory depression, apnea, and to a lesser degree, circulatory depression, respiratory arrest, shock and cardiac arrest. Rarely, anaphylactoid reactions have been reported when morphine or other phenanthrene alkaloids of opium are administered intravenously. The most frequently observed adverse reactions included sedation, lightheadedness, dizziness, nausea, vomiting, constipation and diaphoresis. Other possible adverse reactions include: Central Nervous System – Euphoria, dysphoria, weakness, headache, agitation, tremor, uncoordinated muscle movements, visual disturbances, transient hallucinations and disorientation. Gastrointestinal – Constipation, biliary tract spasm. Cardiovascular – Tachycardia, bradycardia, palpitation, faintness, syncope and orthostatic hypotension. Genitourinary – Oliguria and urinary retention; an antidiuretic effect has been reported. Allergic – Pruritus, urticaria and skin rashes. Anaphylactoid reactions have been reported following intravenous administration. Other – Opioid-induced histamine release may be responsible for the flushing of the face, diaphoresis and pruritus often seen with these drugs. Wheals and urticaria at the site of injection are probably related to histamine release. Local tissue irritation, pain and induration have been reported following repeated subcutaneous injection. Androgen deficiency: Cases of androgen deficiency have occurred with chronic use of opioids [see Clinical Pharmacology ( 12.2 )] . Anaphylaxis: Anaphylaxis has been reported with ingredients contained in Morphine Sulfate Injection. Serotonin syndrome : Cases of serotonin syndrome, a potentially life-threatening condition, have been reported during concomitant use of opioids with serotonergic drugs. Adrenal insufficiency : Cases of adrenal insufficiency have been reported with opioid use, more often following greater than one month of use.

Drug Interactions

Table 1 includes clinically significant drug interactions with Morphine Sulfate Injection. Table 1: Clinically Significant Drug Interactions with Morphine Sulfate Injection Benzodiazepines and Other Central Nervous System (CNS) Depressants Clinical Impact: Due to additive pharmacologic effect, the concomitant use of benzodiazepines or other CNS depressants, including alcohol, can increase the risk of hypotension, respiratory depression, profound sedation, coma, and death. Intervention: Reserve concomitant prescribing of these drugs for use in patients for whom alternative treatment options are inadequate. Limit dosages and durations to the minimum required. Follow patients closely for signs of respiratory depression and sedation [see Warnings and Precautions ( 5.4 )] . Examples: Benzodiazepines and other sedatives/hypnotics, anxiolytics, tranquilizers, muscle relaxants, general anesthetics, antipsychotics, other opioids, alcohol. Serotonergic Drugs Clinical Impact: The concomitant use of opioids with other drugs that affect the serotonergic neurotransmitter system has resulted in serotonin syndrome. Intervention: If concomitant use is warranted, carefully observe the patient, particularly during treatment initiation and dose adjustment. Discontinue Morphine Sulfate Injection if serotonin syndrome is suspected. Examples: Selective serotonin reuptake inhibitors (SSRIs), serotonin and norepinephrine reuptake inhibitors (SNRIs), tricyclic antidepressants (TCAs), triptans, 5-HT3 receptor antagonists, drugs that affect the serotonin neurotransmitter system (e.g., mirtazapine, trazodone, tramadol), monoamine oxidase (MAO) inhibitors (those intended to treat psychiatric disorders and also others, such as linezolid and intravenous methylene blue). Monoamine Oxidase Inhibitors (MAOIs) Clinical Impact: MAOI interactions with opioids may manifest as serotonin syndrome or opioid toxicity (e.g., respiratory depression, coma) [see Warnings and Precautions ( 5.7 )]. Intervention: Do not use Morphine Sulfate Injection in patients taking MAOIs or within 14 days of stopping such treatment. If urgent use of an opioid is necessary, use test doses and frequent titration of small doses of other opioids (such as oxycodone, hydrocodone, oxymorphone, or buprenorphine) to treat pain while closely monitoring blood pressure and signs and symptoms of CNS and respiratory depression. Examples: phenelzine, tranylcypromine, linezolid Mixed Agonist/Antagonist and Partial Agonist Opioid Analgesics Clinical Impact: May reduce the analgesic effect of Morphine Sulfate Injection and/or precipitate withdrawal symptoms. Intervention: Avoid concomitant use. Examples: butorphanol, nalbuphine, pentazocine, buprenorphine.   Muscle Relaxants Clinical Impact: Morphine may enhance the neuromuscular blocking action of skeletal muscle relaxants and produce an increased degree of respiratory depression. Intervention: Monitor patients for signs of respiratory depression that may be greater than otherwise expected and decrease the dosage of Morphine Sulfate Injection and/or the muscle relaxant as necessary. Cimetidine Clinical Impact: The concomitant administration of morphine sulfate and cimetidine has been reported to precipitate apnea, confusion and muscle twitching in an isolated report. Intervention: Monitor patients for increased respiratory and CNS depression when receiving cimetidine concomitantly with Morphine Sulfate Injection. Diuretics Clinical Impact: Opioids can reduce the efficacy of diuretics by inducing the release of antidiuretic hormone. Intervention: Monitor patients for signs of diminished diuresis and/or effects on blood pressure and increase the dosage of the diuretic as needed. Anticholinergic Drugs Clinical Impact: The concomitant use of anticholinergic drugs may increase risk of urinary retention and/or severe constipation, which may lead to paralytic ileus. Intervention: Monitor patients for signs of urinary retention or reduced gastric motility when Morphine Sulfate Injection is used concomitantly with anticholinergic drugs. Oral P2Y 12 Inhibitors Clinical Impact: The co-administration of oral P2Y 12 inhibitors and intravenous morphine sulfate can decrease the absorption and peak concentration of oral P2Y 12 inhibitors and delay the antiplatelet effect. Intervention: Consider the use of a parenteral antiplatelet agent in the setting of acute coronary syndrome requiring coadministration of intravenous morphine sulfate. Examples: clopidogrel, prasugrel, ticagrelor

Storage and Handling

Morphine Sulfate Injection is available for intravenous (IV) or intramuscular (IM) use as: Product Code Unit of Sale Strength Each 764412 NDC 76045-004-12 Unit of 24 2 mg/mL NDC 76045-004-02 1 mL single-dose prefilled syringe 764512 NDC 76045-005-12 Unit of 24 4 mg/mL NDC 76045-005-02 1 mL single-dose prefilled syringe 764612 NDC 76045-006-12 Unit of 24 5 mg/mL NDC 76045-006-02 1 mL single-dose prefilled syringe 764710 NDC 76045-007-10 Unit of 24 8 mg/mL NDC 76045-007-00 1 mL single-dose prefilled syringe 764810 NDC 76045-008-10 Unit of 24 10 mg/mL NDC 76045-008-00 1 mL single-dose prefilled syringe Store at 20°C to 25°C (68°F to 77°F) [See USP Controlled Room Temperature.] PROTECT FROM LIGHT. DO NOT FREEZE . This product is for single dose only.

How Supplied

Morphine Sulfate Injection is available for intravenous (IV) or intramuscular (IM) use as: Product Code Unit of Sale Strength Each 764412 NDC 76045-004-12 Unit of 24 2 mg/mL NDC 76045-004-02 1 mL single-dose prefilled syringe 764512 NDC 76045-005-12 Unit of 24 4 mg/mL NDC 76045-005-02 1 mL single-dose prefilled syringe 764612 NDC 76045-006-12 Unit of 24 5 mg/mL NDC 76045-006-02 1 mL single-dose prefilled syringe 764710 NDC 76045-007-10 Unit of 24 8 mg/mL NDC 76045-007-00 1 mL single-dose prefilled syringe 764810 NDC 76045-008-10 Unit of 24 10 mg/mL NDC 76045-008-00 1 mL single-dose prefilled syringe Store at 20°C to 25°C (68°F to 77°F) [See USP Controlled Room Temperature.] PROTECT FROM LIGHT. DO NOT FREEZE . This product is for single dose only.


Medication Information

Warnings and Precautions

• Cardiovascular Instability: High doses are excitatory. Have Naloxone Injection and resuscitative equipment immediately available. ( 5.5 ) • Life-Threatening Respiratory Depression in Patients with Chronic Pulmonary Disease or in Elderly, Cachectic, or Debilitated Patients: Monitor closely, particularly during initiation and titration. ( 5.2 ) • Adrenal Insufficiency: If diagnosed, treat with physiologic replacement of corticosteroids, and wean patient off of the opioid. ( 5.8 ) • Severe Hypotension: Monitor during dosage initiation and titration. Avoid use of Morphine Sulfate Injection in patients with circulatory shock. ( 5.9 ) • Risks of Use in Patients with Increased Intracranial Pressure, Brain Tumors, Head Injury, or Impaired Consciousness : Monitor for sedation and respiratory depression. Avoid use of Morphine Sulfate Injection in patients with impaired consciousness or coma. ( 5.10 )

Indications and Usage

Morphine Sulfate Injection is indicated for the management of pain severe enough to require an opioid analgesic and for which alternative treatments are inadequate.

Dosage and Administration

• Use the lowest effective dosage for the shortest duration consistent with individual patient treatment goals. ( 2.1 ) • Individualize dosing based on the severity of pain, patient response, prior analgesic experience, and risk factors for addiction, abuse, and misuse. ( 2.1 ) • Direct Intravenous Injection: Initiate treatment with 0.1 mg to 0.2 mg per kg every 4 hours as needed to manage pain. ( 2.2 ) • Intramuscular Injection: Initiate treatment with 10 mg, every 4 hours as needed to manage pain (based on a 70 kg adult). ( 2.2 ) • Do not stop Morphine Sulfate Injection abruptly in a physically dependent patient. ( 2.4 )

Contraindications

Morphine Sulfate Injection is contraindicated in patients with: • Significant respiratory depression [see Warnings and Precautions ( 5.2 )] • Acute or severe bronchial asthma in an unmonitored setting or in the absence of resuscitative equipment [see Warnings and Precautions ( 5.6 )] • Concurrent use of monoamine oxidase inhibitors (MAOIs) or use of MAOIs within the last 14 days [see Warnings and Precautions ( 5.7 )] . • Known or suspected gastrointestinal obstruction, including paralytic ileus [see Warnings and Precautions ( 5.11 )] • Hypersensitivity to morphine (e.g., anaphylaxis) [see Adverse Reactions ( 6 )]

Adverse Reactions

The following serious adverse reactions are described, or described in greater detail, in other sections: • Addiction, Abuse, and Misuse [see Warnings and Precautions ( 5.1 )] • Life-Threatening Respiratory Depression [see Warnings and Precautions ( 5.2 )] • Neonatal Opioid Withdrawal Syndrome [see Warnings and Precautions ( 5.3 )] • Interactions with Benzodiazepine or Other CNS Depressants [see Warnings and Precautions ( 5.4 )] • Cardiovascular Instability [see Warnings and Precautions ( 5.5 )] • Adrenal Insufficiency [see Warnings and Precautions ( 5.8 )] • Severe Hypotension [see Warnings and Precautions ( 5.9 )] • Gastrointestinal Adverse Reactions [see Warnings and Precautions ( 5.11 )] • Seizures [see Warnings and Precautions ( 5.12 )] • Withdrawal [see Warnings and Precautions ( 5.13 )] The following adverse reactions associated with the use of morphine were identified in clinical studies or postmarketing reports. Because some of these reactions were reported voluntarily from a population of uncertain size, it is not always possible to reliably estimate their frequency or establish a causal relationship to drug exposure. Serious adverse reactions associated with Morphine Sulfate Injection included, respiratory depression, apnea, and to a lesser degree, circulatory depression, respiratory arrest, shock and cardiac arrest. Rarely, anaphylactoid reactions have been reported when morphine or other phenanthrene alkaloids of opium are administered intravenously. The most frequently observed adverse reactions included sedation, lightheadedness, dizziness, nausea, vomiting, constipation and diaphoresis. Other possible adverse reactions include: Central Nervous System – Euphoria, dysphoria, weakness, headache, agitation, tremor, uncoordinated muscle movements, visual disturbances, transient hallucinations and disorientation. Gastrointestinal – Constipation, biliary tract spasm. Cardiovascular – Tachycardia, bradycardia, palpitation, faintness, syncope and orthostatic hypotension. Genitourinary – Oliguria and urinary retention; an antidiuretic effect has been reported. Allergic – Pruritus, urticaria and skin rashes. Anaphylactoid reactions have been reported following intravenous administration. Other – Opioid-induced histamine release may be responsible for the flushing of the face, diaphoresis and pruritus often seen with these drugs. Wheals and urticaria at the site of injection are probably related to histamine release. Local tissue irritation, pain and induration have been reported following repeated subcutaneous injection. Androgen deficiency: Cases of androgen deficiency have occurred with chronic use of opioids [see Clinical Pharmacology ( 12.2 )] . Anaphylaxis: Anaphylaxis has been reported with ingredients contained in Morphine Sulfate Injection. Serotonin syndrome : Cases of serotonin syndrome, a potentially life-threatening condition, have been reported during concomitant use of opioids with serotonergic drugs. Adrenal insufficiency : Cases of adrenal insufficiency have been reported with opioid use, more often following greater than one month of use.

Drug Interactions

Table 1 includes clinically significant drug interactions with Morphine Sulfate Injection. Table 1: Clinically Significant Drug Interactions with Morphine Sulfate Injection Benzodiazepines and Other Central Nervous System (CNS) Depressants Clinical Impact: Due to additive pharmacologic effect, the concomitant use of benzodiazepines or other CNS depressants, including alcohol, can increase the risk of hypotension, respiratory depression, profound sedation, coma, and death. Intervention: Reserve concomitant prescribing of these drugs for use in patients for whom alternative treatment options are inadequate. Limit dosages and durations to the minimum required. Follow patients closely for signs of respiratory depression and sedation [see Warnings and Precautions ( 5.4 )] . Examples: Benzodiazepines and other sedatives/hypnotics, anxiolytics, tranquilizers, muscle relaxants, general anesthetics, antipsychotics, other opioids, alcohol. Serotonergic Drugs Clinical Impact: The concomitant use of opioids with other drugs that affect the serotonergic neurotransmitter system has resulted in serotonin syndrome. Intervention: If concomitant use is warranted, carefully observe the patient, particularly during treatment initiation and dose adjustment. Discontinue Morphine Sulfate Injection if serotonin syndrome is suspected. Examples: Selective serotonin reuptake inhibitors (SSRIs), serotonin and norepinephrine reuptake inhibitors (SNRIs), tricyclic antidepressants (TCAs), triptans, 5-HT3 receptor antagonists, drugs that affect the serotonin neurotransmitter system (e.g., mirtazapine, trazodone, tramadol), monoamine oxidase (MAO) inhibitors (those intended to treat psychiatric disorders and also others, such as linezolid and intravenous methylene blue). Monoamine Oxidase Inhibitors (MAOIs) Clinical Impact: MAOI interactions with opioids may manifest as serotonin syndrome or opioid toxicity (e.g., respiratory depression, coma) [see Warnings and Precautions ( 5.7 )]. Intervention: Do not use Morphine Sulfate Injection in patients taking MAOIs or within 14 days of stopping such treatment. If urgent use of an opioid is necessary, use test doses and frequent titration of small doses of other opioids (such as oxycodone, hydrocodone, oxymorphone, or buprenorphine) to treat pain while closely monitoring blood pressure and signs and symptoms of CNS and respiratory depression. Examples: phenelzine, tranylcypromine, linezolid Mixed Agonist/Antagonist and Partial Agonist Opioid Analgesics Clinical Impact: May reduce the analgesic effect of Morphine Sulfate Injection and/or precipitate withdrawal symptoms. Intervention: Avoid concomitant use. Examples: butorphanol, nalbuphine, pentazocine, buprenorphine.   Muscle Relaxants Clinical Impact: Morphine may enhance the neuromuscular blocking action of skeletal muscle relaxants and produce an increased degree of respiratory depression. Intervention: Monitor patients for signs of respiratory depression that may be greater than otherwise expected and decrease the dosage of Morphine Sulfate Injection and/or the muscle relaxant as necessary. Cimetidine Clinical Impact: The concomitant administration of morphine sulfate and cimetidine has been reported to precipitate apnea, confusion and muscle twitching in an isolated report. Intervention: Monitor patients for increased respiratory and CNS depression when receiving cimetidine concomitantly with Morphine Sulfate Injection. Diuretics Clinical Impact: Opioids can reduce the efficacy of diuretics by inducing the release of antidiuretic hormone. Intervention: Monitor patients for signs of diminished diuresis and/or effects on blood pressure and increase the dosage of the diuretic as needed. Anticholinergic Drugs Clinical Impact: The concomitant use of anticholinergic drugs may increase risk of urinary retention and/or severe constipation, which may lead to paralytic ileus. Intervention: Monitor patients for signs of urinary retention or reduced gastric motility when Morphine Sulfate Injection is used concomitantly with anticholinergic drugs. Oral P2Y 12 Inhibitors Clinical Impact: The co-administration of oral P2Y 12 inhibitors and intravenous morphine sulfate can decrease the absorption and peak concentration of oral P2Y 12 inhibitors and delay the antiplatelet effect. Intervention: Consider the use of a parenteral antiplatelet agent in the setting of acute coronary syndrome requiring coadministration of intravenous morphine sulfate. Examples: clopidogrel, prasugrel, ticagrelor

Storage and Handling

Morphine Sulfate Injection is available for intravenous (IV) or intramuscular (IM) use as: Product Code Unit of Sale Strength Each 764412 NDC 76045-004-12 Unit of 24 2 mg/mL NDC 76045-004-02 1 mL single-dose prefilled syringe 764512 NDC 76045-005-12 Unit of 24 4 mg/mL NDC 76045-005-02 1 mL single-dose prefilled syringe 764612 NDC 76045-006-12 Unit of 24 5 mg/mL NDC 76045-006-02 1 mL single-dose prefilled syringe 764710 NDC 76045-007-10 Unit of 24 8 mg/mL NDC 76045-007-00 1 mL single-dose prefilled syringe 764810 NDC 76045-008-10 Unit of 24 10 mg/mL NDC 76045-008-00 1 mL single-dose prefilled syringe Store at 20°C to 25°C (68°F to 77°F) [See USP Controlled Room Temperature.] PROTECT FROM LIGHT. DO NOT FREEZE . This product is for single dose only.

How Supplied

Morphine Sulfate Injection is available for intravenous (IV) or intramuscular (IM) use as: Product Code Unit of Sale Strength Each 764412 NDC 76045-004-12 Unit of 24 2 mg/mL NDC 76045-004-02 1 mL single-dose prefilled syringe 764512 NDC 76045-005-12 Unit of 24 4 mg/mL NDC 76045-005-02 1 mL single-dose prefilled syringe 764612 NDC 76045-006-12 Unit of 24 5 mg/mL NDC 76045-006-02 1 mL single-dose prefilled syringe 764710 NDC 76045-007-10 Unit of 24 8 mg/mL NDC 76045-007-00 1 mL single-dose prefilled syringe 764810 NDC 76045-008-10 Unit of 24 10 mg/mL NDC 76045-008-00 1 mL single-dose prefilled syringe Store at 20°C to 25°C (68°F to 77°F) [See USP Controlled Room Temperature.] PROTECT FROM LIGHT. DO NOT FREEZE . This product is for single dose only.

Description

Warnings and Precautions 10/2019

Section 42229-5

Addiction, Abuse, and Misuse

Morphine Sulfate Injection exposes patients and other users to the risks of opioid addiction, abuse, and misuse, which can lead to overdose and death. Assess each patient's risk prior to prescribing Morphine Sulfate Injection, and monitor all patients regularly for the development of these behaviors and conditions [see Warnings and Precautions (5.1)].

Section 43683-2

Warnings and Precautions

10/2019

Section 51945-4

PACKAGE LABEL - PRINCIPAL DISPLAY – Morphine 1 mL Carton Panel

Rx only                NDC 76045-004-12

Morphine Sulfate Injection, USP CII

2 mg/mL

For Intramuscular or Intravenous use.

Do NOT place syringe on a Sterile Field.

24 X 1 mL single-dose prefilled syringes

Section 59845-8

INSTRUCTIONS FOR USE

Figure 1: Outer Packaging and Prefilled Syringe

NOTES:

  • Do not introduce any other fluid into the syringe at any time.
  • Do not dilute for IV push.
  • Do not re-sterilize the syringe.
  • Do not use this product on a sterile field.
  • This product is for single dose only.
  • 1.
    Inspect the outer packaging (blister pack) to confirm the integrity of the packaging. Do not use if the blister pack or the prefilled syringe has been damaged.
  •  
    Remove the syringe from the outer packaging. (See Figure 2)
  •  
    Figure 2
  •  
  • 2.
    Visually inspect the syringe. Parenteral drug products should be inspected visually for particulate matter and discoloration prior to administration, whenever solution and container permit.
  •  
    Twist off the syringe tip cap. Do not remove the label around the luer lock collar. (See Figure 3)
  •  
    Figure 3
  •  
  • 3.
    Expel air bubble(s). Adjust the dose (if applicable).
  • 4.
    Administer the dose ensuring that pressure is maintained on the plunger rod during the entire administration.
  • 5.
    Discard the used syringe into an appropriate receptacle.

For more information concerning this drug, please call Fresenius Kabi USA, LLC at 1-800-551-7176.

To report SUSPECTED ADVERSE REACTIONS, contact Fresenius Kabi USA, LLC at 1-800-551-7176 or FDA at 1-800-FDA-1088 or www.fda.gov/medwatch.

U.S. Patents 9,072,781; 9,192,608; and 9,731,082

The brand names mentioned in this document are the trademarks of their respective owners.

Lake Zurich, IL 60047

www.fresenius-kabi.com/us

451509F

9.2 Abuse

Morphine Sulfate Injection contains morphine, a substance with a high potential for abuse similar to other opioids including fentanyl, hydrocodone, hydromorphone, methadone, oxycodone, oxymorphone, and tapentadol. Morphine Sulfate Injection can be abused and is subject to misuse, addiction, and criminal diversion [see Warnings and Precautions (5.1)].

All patients treated with opioids require careful monitoring for signs of abuse and addiction, because use of opioid analgesic products carries the risk of addiction even under appropriate medical use.

Prescription drug abuse is the intentional non-therapeutic use of a prescription drug, even once, for its rewarding psychological or physiological effects.

Drug addiction is a cluster of behavioral, cognitive, and physiological phenomena that develop after repeated substance use and includes: a strong desire to take the drug, difficulties in controlling its use, persisting in its use despite harmful consequences, a higher priority given to drug use than to other activities and obligations, increased tolerance, and sometimes a physical withdrawal.

“Drug-seeking” behavior is very common in persons with substance use disorders. Drug-seeking tactics include emergency calls or visits near the end of office hours, refusal to undergo appropriate examination, testing, or referral, repeated “loss” of prescriptions, tampering with prescriptions, and reluctance to provide prior medical records or contact information for other treating healthcare provider(s). “Doctor shopping” (visiting multiple prescribers to obtain additional prescriptions) is common among drug abusers and people suffering from untreated addiction. Preoccupation with achieving adequate pain relief can be appropriate behavior in a patient with poor pain control.

Abuse and addiction are separate and distinct from physical dependence and tolerance. Health care providers should be aware that addiction may not be accompanied by concurrent tolerance and symptoms of physical dependence in all addicts. In addition, abuse of opioids can occur in the absence of true addiction.

Morphine Sulfate Injection, like other opioids, can be diverted for non-medical use into illicit channels of distribution. Careful record-keeping of prescribing information, including quantity, frequency, and renewal requests, as required by state and federal law, is strongly advised.

Proper assessment of the patient, proper prescribing practices, periodic re-evaluation of therapy, and proper dispensing and storage are appropriate measures that help to limit abuse of opioid drugs.

11 Description

Morphine sulfate is an opioid agonist. Morphine Sulfate Injection USP is available as a sterile, nonpyrogenic solution of morphine sulfate, free of antioxidants and preservatives in single-dose prefilled syringes for intravenous and intramuscular administration.

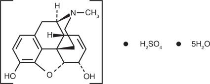
The chemical name for Morphine sulfate is 7,8-Didehydro-4,5-epoxy-17-methyl-(5α,6α)-morphinan-3,6 α -diol sulfate (2: 1) (salt), pentahydrate. The molecular weight is 758.83. Its molecular formula is (C17H19NO3)2 • H2SO4 • 5H2O and it has the following chemical structure.

Morphine sulfate is a fine white powder. When exposed to air it gradually loses water of hydration, and darkens on prolonged exposure to light. It is soluble in water and ethanol at room temperature. Each 1 mL single-dose pre-filled syringe contains 2 mg (equivalent to 1.75 mg Morphine), 4 mg (equivalent to 3.50 mg Morphine), 5 mg (equivalent to 4.37 mg Morphine), 8 mg (equivalent to 6.99 mg Morphine) or 10 mg (equivalent to 8.73 mg Morphine) of Morphine Sulfate USP in 1 mL total volume of water for injection solution with inactive ingredients. The inactive ingredients in Morphine Sulfate Injection, USP include:

  • For the 2 mg/mL and 4 mg/mL products: 8.4 mg sodium chloride, 2.3 mg of sodium citrate, 0.74 mg of citric acid, 0.111 mg of edetate disodium, 0.053 mg of calcium chloride and water for injection.
  • For the 5 mg/mL, 8 mg/mL and 10 mg/mL products: 7.5 mg sodium chloride, 3.45 mg of sodium citrate, 1.11 mg of citric acid, 0.111 mg of edetate disodium, 0.053 mg of calcium chloride and water for injection.
9.3 Dependence

Both tolerance and physical dependence can develop during chronic opioid therapy. Tolerance is the need for increasing doses of opioids to maintain a defined effect such as analgesia (in the absence of disease progression or other external factors). Tolerance may occur to both the desired and undesired effects of drugs, and may develop at different rates for different effects.

Physical dependence results in withdrawal symptoms after abrupt discontinuation or a significant dosage reduction of a drug. Withdrawal also may be precipitated through the administration of drugs with opioid antagonist activity (e.g., naloxone, nalmefene), mixed agonist/antagonist analgesics (e.g., pentazocine, butorphanol, nalbuphine), or partial agonists (e.g., buprenorphine). Physical dependence may not occur to a clinically significant degree until after several days to weeks of continued opioid usage.

Morphine Sulfate Injection should not be abruptly discontinued in a physically-dependent patient [see Dosage and Administration (2.4)]. If Morphine Sulfate Injection is abruptly discontinued in a physically-dependent patient, a withdrawal syndrome may occur. Some or all of the following can characterize this syndrome: restlessness, lacrimation, rhinorrhea, yawning, perspiration, chills, myalgia, and mydriasis. Other signs and symptoms also may develop, including irritability, anxiety, backache, joint pain, weakness, abdominal cramps, insomnia, nausea, anorexia, vomiting, diarrhea, or increased blood pressure, respiratory rate, or heart rate.

Infants born to mothers physically dependent on opioids will also be physically dependent and may exhibit respiratory difficulties and withdrawal signs [see Use in Specific Populations (8.1)].

5.13 Withdrawal

Avoid the use of mixed agonist/antagonist (e.g, pentazocine, nalbuphine, and butorphanol) or partial agonist (e.g., buprenorphine) analgesics in patients who are receiving a full opioid agonist analgesic, including Morphine Sulfate Injection. In these patients, mixed agonist/antagonist and partial agonist analgesics may reduce the analgesic effect and/or precipitate withdrawal symptoms.

When discontinuing Morphine Sulfate Injection in a physically-dependent patient, gradually taper the dosage [see Dosage and Administration (2.4)]. Do not abruptly discontinue Morphine Sulfate Injection in these patients [see Drug Abuse and Dependence (9.3)].

8.4 Pediatric Use

The safety and effectiveness of Morphine Sulfate Injection in pediatric patients below the age of 18 have not been established.

8.5 Geriatric Use

The pharmacodynamic effects of morphine in the elderly are more variable than in the younger population. Older patients will vary widely in the effective initial dose, rate of development of tolerance and the frequency and magnitude of associated adverse effects as the dose is increased.

Elderly patients (aged 65 years or older) may have increased sensitivity to morphine. In general, use caution when selecting a dosage for an elderly patient, usually starting at the low end of the dosing range, reflecting the greater frequency of decreased hepatic, renal, or cardiac function and of concomitant disease or other drug therapy. Respiratory depression is the chief risk for elderly patients treated with opioids, and has occurred after large initial doses were administered to patients who were not opioid-tolerant or when opioids were co-administered with other agents that depress respiration. Titrate the dosage of Morphine Sulfate Injection slowly in geriatric patients and monitor for signs of central nervous system and respiratory depression [see Warnings and Precautions (5.6)].

Morphine is known to be substantially excreted by the kidney, and the risk of adverse reactions to this drug may be greater in patients with impaired renal function. Because elderly patients are more likely to have decreased renal function, care should be taken in dose selection, and it may be useful to monitor renal function.

4 Contraindications

Morphine Sulfate Injection is contraindicated in patients with:

  • Significant respiratory depression [see Warnings and Precautions (5.2)]
  • Acute or severe bronchial asthma in an unmonitored setting or in the absence of resuscitative equipment [see Warnings and Precautions (5.6)]
  • Concurrent use of monoamine oxidase inhibitors (MAOIs) or use of MAOIs within the last 14 days [see Warnings and Precautions (5.7)].
  • Known or suspected gastrointestinal obstruction, including paralytic ileus [see Warnings and Precautions (5.11)]
  • Hypersensitivity to morphine (e.g., anaphylaxis) [see Adverse Reactions (6)]
6 Adverse Reactions

The following serious adverse reactions are described, or described in greater detail, in other sections:

  • Addiction, Abuse, and Misuse [see Warnings and Precautions (5.1)]
  • Life-Threatening Respiratory Depression [see Warnings and Precautions (5.2)]
  • Neonatal Opioid Withdrawal Syndrome [see Warnings and Precautions (5.3)]
  • Interactions with Benzodiazepine or Other CNS Depressants [see Warnings and Precautions (5.4)]
  • Cardiovascular Instability [see Warnings and Precautions (5.5)]
  • Adrenal Insufficiency [see Warnings and Precautions (5.8)]
  • Severe Hypotension [see Warnings and Precautions (5.9)]
  • Gastrointestinal Adverse Reactions [see Warnings and Precautions (5.11)]
  • Seizures [see Warnings and Precautions (5.12)]
  • Withdrawal [see Warnings and Precautions (5.13)]

The following adverse reactions associated with the use of morphine were identified in clinical studies or postmarketing reports. Because some of these reactions were reported voluntarily from a population of uncertain size, it is not always possible to reliably estimate their frequency or establish a causal relationship to drug exposure.

Serious adverse reactions associated with Morphine Sulfate Injection included, respiratory depression, apnea, and to a lesser degree, circulatory depression, respiratory arrest, shock and cardiac arrest. Rarely, anaphylactoid reactions have been reported when morphine or other phenanthrene alkaloids of opium are administered intravenously.

The most frequently observed adverse reactions included sedation, lightheadedness, dizziness, nausea, vomiting, constipation and diaphoresis.

Other possible adverse reactions include:

Central Nervous System – Euphoria, dysphoria, weakness, headache, agitation, tremor, uncoordinated muscle movements, visual disturbances, transient hallucinations and disorientation.

Gastrointestinal – Constipation, biliary tract spasm.

Cardiovascular – Tachycardia, bradycardia, palpitation, faintness, syncope and orthostatic hypotension.

Genitourinary – Oliguria and urinary retention; an antidiuretic effect has been reported.

Allergic – Pruritus, urticaria and skin rashes. Anaphylactoid reactions have been reported following intravenous administration.

Other – Opioid-induced histamine release may be responsible for the flushing of the face, diaphoresis and pruritus often seen with these drugs. Wheals and urticaria at the site of injection are probably related to histamine release. Local tissue irritation, pain and induration have been reported following repeated subcutaneous injection. Androgen deficiency: Cases of androgen deficiency have occurred with chronic use of opioids [see Clinical Pharmacology (12.2)].

Anaphylaxis: Anaphylaxis has been reported with ingredients contained in Morphine Sulfate Injection.

Serotonin syndrome: Cases of serotonin syndrome, a potentially life-threatening condition, have been reported during concomitant use of opioids with serotonergic drugs.

Adrenal insufficiency: Cases of adrenal insufficiency have been reported with opioid use, more often following greater than one month of use.

7 Drug Interactions

Table 1 includes clinically significant drug interactions with Morphine Sulfate Injection.

Table 1: Clinically Significant Drug Interactions with Morphine Sulfate Injection

Benzodiazepines and Other Central Nervous System (CNS) Depressants

Clinical Impact:

Due to additive pharmacologic effect, the concomitant use of benzodiazepines or other CNS depressants, including alcohol, can increase the risk of hypotension, respiratory depression, profound sedation, coma, and death.

Intervention:

Reserve concomitant prescribing of these drugs for use in patients for whom alternative treatment options are inadequate. Limit dosages and durations to the minimum required. Follow patients closely for signs of respiratory depression and sedation [see Warnings and Precautions (5.4)].

Examples:

Benzodiazepines and other sedatives/hypnotics, anxiolytics, tranquilizers, muscle relaxants, general anesthetics, antipsychotics, other opioids, alcohol.

Serotonergic Drugs

Clinical Impact:

The concomitant use of opioids with other drugs that affect the serotonergic neurotransmitter system has resulted in serotonin syndrome.

Intervention:

If concomitant use is warranted, carefully observe the patient, particularly during treatment initiation and dose adjustment. Discontinue Morphine Sulfate Injection if serotonin syndrome is suspected.

Examples:

Selective serotonin reuptake inhibitors (SSRIs), serotonin and norepinephrine reuptake inhibitors (SNRIs), tricyclic antidepressants (TCAs), triptans, 5-HT3 receptor antagonists, drugs that affect the serotonin neurotransmitter system (e.g., mirtazapine, trazodone, tramadol), monoamine oxidase (MAO) inhibitors (those intended to treat psychiatric disorders and also others, such as linezolid and intravenous methylene blue).

Monoamine Oxidase Inhibitors (MAOIs)

Clinical Impact:

MAOI interactions with opioids may manifest as serotonin syndrome or opioid toxicity (e.g., respiratory depression, coma) [see Warnings and Precautions (5.7)].

Intervention:

Do not use Morphine Sulfate Injection in patients taking MAOIs or within 14 days of stopping such treatment.

If urgent use of an opioid is necessary, use test doses and frequent titration of small doses of other opioids (such as oxycodone, hydrocodone, oxymorphone, or buprenorphine) to treat pain while closely monitoring blood pressure and signs and symptoms of CNS and respiratory depression.

Examples:

phenelzine, tranylcypromine, linezolid

Mixed Agonist/Antagonist and Partial Agonist Opioid Analgesics

Clinical Impact:

May reduce the analgesic effect of Morphine Sulfate Injection and/or precipitate withdrawal symptoms.

Intervention:

Avoid concomitant use.

Examples:

butorphanol, nalbuphine, pentazocine, buprenorphine.

 

Muscle Relaxants

Clinical Impact:

Morphine may enhance the neuromuscular blocking action of skeletal muscle relaxants and produce an increased degree of respiratory depression.

Intervention:

Monitor patients for signs of respiratory depression that may be greater than otherwise expected and decrease the dosage of Morphine Sulfate Injection and/or the muscle relaxant as necessary.

Cimetidine

Clinical Impact:

The concomitant administration of morphine sulfate and cimetidine has been reported to precipitate apnea, confusion and muscle twitching in an isolated report.

Intervention:

Monitor patients for increased respiratory and CNS depression when receiving cimetidine concomitantly with Morphine Sulfate Injection.

Diuretics

Clinical Impact:

Opioids can reduce the efficacy of diuretics by inducing the release of antidiuretic hormone.

Intervention:

Monitor patients for signs of diminished diuresis and/or effects on blood pressure and increase the dosage of the diuretic as needed.

Anticholinergic Drugs

Clinical Impact:

The concomitant use of anticholinergic drugs may increase risk of urinary retention and/or severe constipation, which may lead to paralytic ileus.

Intervention:

Monitor patients for signs of urinary retention or reduced gastric motility when Morphine Sulfate Injection is used concomitantly with anticholinergic drugs.

Oral P2Y12 Inhibitors

Clinical Impact:

The co-administration of oral P2Y12 inhibitors and intravenous morphine sulfate can decrease the absorption and peak concentration of oral P2Y12 inhibitors and delay the antiplatelet effect.

Intervention:

Consider the use of a parenteral antiplatelet agent in the setting of acute coronary syndrome requiring coadministration of intravenous morphine sulfate.

Examples:

clopidogrel, prasugrel, ticagrelor

8.7 Renal Impairment

Morphine sulfate pharmacokinetics are altered in patients with renal failure. Start these patients with a lower than normal dosage of Morphine Sulfate Injection and titrate slowly while monitoring for signs of respiratory depression, sedation, and hypotension [see Clinical Pharmacology (12.3)].

5.9 Severe Hypotension

Morphine Sulfate Injection may cause severe hypotension including orthostatic hypotension and syncope in ambulatory patients. There is increased risk in patients whose ability to maintain blood pressure has already been compromised by a reduced blood volume or concurrent administration of certain CNS depressant drugs (e.g., phenothiazines or general anesthetics) [see Drug Interactions (7)]. Monitor these patients for signs of hypotension after initiating or titrating the dosage of Morphine Sulfate Injection. In patients with circulatory shock, Morphine Sulfate Injection may cause vasodilation that can further reduce cardiac output and blood pressure. Avoid the use of Morphine Sulfate Injection in patients with circulatory shock.

8.6 Hepatic Impairment

Morphine sulfate pharmacokinetics have been reported to be significantly altered in patients with cirrhosis. Start these patients with a lower than normal dosage of Morphine Sulfate Injection and titrate slowly while monitoring for signs of respiratory depression, sedation, and hypotension [see Clinical Pharmacology (12.3)].

1 Indications and Usage

Morphine Sulfate Injection is indicated for the management of pain severe enough to require an opioid analgesic and for which alternative treatments are inadequate.

12.1 Mechanism of Action

Morphine is a full opioid agonist and is relatively selective for the mu-opioid receptor, although it can bind to other opioid receptors at higher doses. The principal therapeutic action of morphine is analgesia. Like all full opioid agonists, there is no ceiling effect for analgesia with morphine. Clinically, dosage is titrated to provide adequate analgesia and may be limited by adverse reactions, including respiratory and CNS depression.

The precise mechanism of the analgesic action is unknown. However, specific CNS opioid receptors for endogenous compounds with opioid-like activity have been identified throughout the brain and spinal cord and are thought to play a role in the analgesic effects of this drug.

9.1 Controlled Substance

Morphine Sulfate Injection contains morphine, a Schedule II controlled substance.

5.8 Adrenal Insufficiency

Cases of adrenal insufficiency have been reported with opioid use, more often following greater than one month of use. Presentation of adrenal insufficiency may include non-specific symptoms and signs including nausea, vomiting, anorexia, fatigue, weakness, dizziness, and low blood pressure. If adrenal insufficiency is suspected, confirm the diagnosis with diagnostic testing as soon as possible. If adrenal insufficiency is diagnosed, treat with physiologic replacement doses of corticosteroids. Wean the patient off of the opioid to allow adrenal function to recover and continue corticosteroid treatment until adrenal function recovers. Other opioids may be tried as some cases reported use of a different opioid without recurrence of adrenal insufficiency. The information available does not identify any particular opioids as being more likely to be associated with adrenal insufficiency.

5 Warnings and Precautions
  • Cardiovascular Instability: High doses are excitatory. Have Naloxone Injection and resuscitative equipment immediately available. (5.5)
  • Life-Threatening Respiratory Depression in Patients with Chronic Pulmonary Disease or in Elderly, Cachectic, or Debilitated Patients: Monitor closely, particularly during initiation and titration. (5.2)
  • Adrenal Insufficiency: If diagnosed, treat with physiologic replacement of corticosteroids, and wean patient off of the opioid. (5.8)
  • Severe Hypotension: Monitor during dosage initiation and titration. Avoid use of Morphine Sulfate Injection in patients with circulatory shock. (5.9)
  • Risks of Use in Patients with Increased Intracranial Pressure, Brain Tumors, Head Injury, or Impaired Consciousness: Monitor for sedation and respiratory depression. Avoid use of Morphine Sulfate Injection in patients with impaired consciousness or coma. (5.10)
2 Dosage and Administration
  • Use the lowest effective dosage for the shortest duration consistent with individual patient treatment goals. (2.1)
  • Individualize dosing based on the severity of pain, patient response, prior analgesic experience, and risk factors for addiction, abuse, and misuse. (2.1)
  • Direct Intravenous Injection: Initiate treatment with 0.1 mg to 0.2 mg per kg every 4 hours as needed to manage pain. (2.2)
  • Intramuscular Injection: Initiate treatment with 10 mg, every 4 hours as needed to manage pain (based on a 70 kg adult). (2.2)
  • Do not stop Morphine Sulfate Injection abruptly in a physically dependent patient. (2.4)
3 Dosage Forms and Strengths

Morphine Sulfate Injection is available in the following strengths for intravenous (IV) and intramuscular (IM) administration.

  •  
    2 mg/mL in 1 mL single-dose prefilled syringe for IV or IM use.
  •  
    4 mg/mL in 1 mL single-dose prefilled syringe for IV or IM use.
  •  
    5 mg/mL in 1 mL single-dose prefilled syringe for IV or IM use.
  •  
    8 mg/mL in 1 mL single-dose prefilled syringe for IV or IM use.
  •  
    10 mg/mL in 1 mL single-dose prefilled syringe for IV or IM use.
8 Use in Specific Populations

Pregnancy: May cause fetal harm. (8.1)

5.5 Cardiovascular Instability

While low doses of intravenously administered morphine have little effect on cardiovascular stability, high doses are excitatory, resulting from sympathetic hyperactivity and increase in circulatory catecholamines. Have Naloxone Injection and resuscitative equipment immediately available for use in case of life-threatening or intolerable side effects and whenever morphine therapy is being initiated.

5.1 Addiction, Abuse, and Misuse

Morphine Sulfate Injection contains morphine, a Schedule II controlled substance. As an opioid, Morphine Sulfate Injection exposes users to the risks of addiction, abuse, and misuse [see Drug Abuse and Dependence (9)].

Although the risk of addiction in any individual is unknown, it can occur in patients appropriately prescribed Morphine Sulfate Injection. Addiction can occur at recommended dosages and if the drug is misused or abused.

Assess each patient's risk for opioid addiction, abuse, or misuse prior to prescribing Morphine Sulfate Injection, and monitor all patients receiving Morphine Sulfate Injection for the development of these behaviors and conditions. Risks are increased in patients with a personal or family history of substance abuse (including drug or alcohol abuse or addiction) or mental illness (e.g., major depression). The potential for these risks should not, however, prevent the proper management of pain in any given patient. Patients at increased risk may be prescribed opioids such as Morphine Sulfate Injection, but use in such patients necessitates intensive counseling about the risks and proper use of Morphine Sulfate Injection, along with intensive monitoring for signs of addiction, abuse, and misuse.

Opioids are sought by drug abusers and people with addiction disorders and are subject to criminal diversion. Consider these risks when prescribing or dispensing Morphine Sulfate Injection. Strategies to reduce these risks include prescribing the drug in the smallest appropriate quantity. Contact local state professional licensing board or state controlled substances authority for information on how to prevent and detect abuse or diversion of this product.

16 How Supplied/storage and Handling

Morphine Sulfate Injection is available for intravenous (IV) or intramuscular (IM) use as:

Product Code

Unit of Sale

Strength

Each

764412

NDC 76045-004-12

Unit of 24

2 mg/mL

NDC 76045-004-02

1 mL single-dose prefilled syringe

764512

NDC 76045-005-12

Unit of 24

4 mg/mL

NDC 76045-005-02

1 mL single-dose prefilled syringe

764612

NDC 76045-006-12

Unit of 24

5 mg/mL

NDC 76045-006-02

1 mL single-dose prefilled syringe

764710

NDC 76045-007-10

Unit of 24

8 mg/mL

NDC 76045-007-00

1 mL single-dose prefilled syringe

764810

NDC 76045-008-10

Unit of 24

10 mg/mL

NDC 76045-008-00

1 mL single-dose prefilled syringe

Store at 20°C to 25°C (68°F to 77°F) [See USP Controlled Room Temperature.]

PROTECT FROM LIGHT. DO NOT FREEZE.

This product is for single dose only.

5.14 Central Nervous System Toxicity

Dysphoric reactions may occur after any size dose and toxic psychoses have been reported.

5.3 Neonatal Opioid Withdrawal Syndrome

Prolonged use of Morphine Sulfate Injection during pregnancy can result in withdrawal in the neonate. Neonatal opioid withdrawal syndrome, unlike opioid withdrawal syndrome in adults, may be life-threatening if not recognized and treated, and requires management according to protocols developed by neonatology experts. Observe newborns for signs of neonatal opioid withdrawal syndrome and manage accordingly. Advise pregnant women using opioids for a prolonged period of the risk of neonatal opioid withdrawal syndrome and ensure that appropriate treatment will be available [see Use in Specific Populations (8.1)].

2.3 Titration and Maintenance of Therapy

Individually titrate Morphine Sulfate Injection to a dose that provides adequate analgesia and minimizes adverse reactions. Continually reevaluate patients receiving Morphine Sulfate Injection to assess the maintenance of pain control and the relative incidence of adverse reactions, as well as monitoring for the development of addiction, abuse, or misuse [see Warnings and Precautions (5.1)].

If unacceptable opioid-related adverse reactions are observed, consider reducing the dosage. Adjust the dosage to obtain an appropriate balance between management of pain and opioid-related adverse reactions.

5.2 Life Threatening Respiratory Depression

Serious, life-threatening, or fatal respiratory depression has been reported with the use of opioids, even when used as recommended. Respiratory depression, if not immediately recognized and treated, may lead to respiratory arrest and death. Management of respiratory depression may include close observation, supportive measures, and use of opioid antagonists, depending on the patient's clinical status [see Overdosage (10)]. Carbon dioxide (CO2) retention from opioid-induced respiratory depression can exacerbate the sedating effects of opioids.

While serious, life-threatening, or fatal respiratory depression can occur at any time during the use of Morphine Sulfate Injection, the risk is greatest during the initiation of therapy or following a dosage increase. Because of a delay in the maximum CNS effect with intravenously administered Morphine Sulfate Injection (30 min), rapid administration may result in overdosing. The respiratory depression may be severe and could require intervention [see OVERDOSAGE (10)]. Monitor patients closely for respiratory depression, especially within the first 24-72 hours of initiating therapy with and following dosage increases of Morphine Sulfate Injection.

To reduce the risk of respiratory depression, proper dosing and titration of Morphine Sulfate Injection, are essential [see Dosage and Administration (2.4)]. Overestimating the Morphine Sulfate Injection, dosage when converting patients from another opioid product can result in a fatal overdose with the first dose.

Opioids can cause sleep-related breathing disorders including central sleep apnea (CSA) and sleep-related hypoxemia. Opioid use increases the risk of CSA in a dose-dependent fashion. In patients who present with CSA, consider decreasing the opioid dosage using best practices for opioid taper [see Dosage and Administration (2.4)].

5.16 Risks of Driving and Operating Machinery

Morphine Sulfate Injection may impair the mental or physical abilities needed to perform potentially hazardous activities such as driving a car or operating machinery. Warn patients not to drive or operate dangerous machinery unless they are tolerant to the effects of Morphine Sulfate Injection and know how they will react to the medication.

5.15 Exposure, Hypothermia, Immersion and Shock

Caution must be used when injecting any opioid intramuscularly into chilled areas or in patients with hypotension or shock, since impaired perfusion may prevent complete absorption; if repeated injections are administered, an excessive amount may be suddenly absorbed if normal circulation is re-established.

2.4 Discontinuation of Morphine Sulfate Injection

When a patient who has been taking Morphine Sulfate Injection regularly and may be physically dependent or no longer requires therapy with Morphine Sulfate Injection, taper the dose gradually, by 25% to 50% every 2 to 4 days, while monitoring carefully for signs and symptoms of withdrawal. If the patient develops these signs or symptoms, raise the dose to the previous level and taper more slowly, either by increasing the interval between decreases, decreasing the amount of change in dose, or both. Do not abruptly discontinue Morphine Sulfate Injection in a physically dependent patient [see Warnings and Precautions (5.13), Drug Abuse and Dependence (9.3)].

5.7 Interactions With Monoamine Oxidase Inhibitors

Monoamine oxidase inhibitors (MAOIs) may potentiate the effects of morphine, including respiratory depression, coma, and confusion. Morphine Sulfate Injection should not be used in patients taking MAOIs or within 14 days of stopping such treatment.

2.1 Important Dosage and Administration Instructions

Morphine Sulfate Injection is intended for intravenous and intramuscular administration.

Morphine Sulfate Injection is available in five concentrations for direct injection. Dosing errors can result in accidental overdose and death. Avoid dosing errors that may result from confusion between mg and mL and confusion with morphine injections of different concentrations when prescribing, dispensing, and administering Morphine Sulfate Injection. Ensure that the dose is communicated and dispensed accurately.

Use the lowest effective dosage for the shortest duration consistent with individual patient treatment goals [see Warnings and Precautions (5.1)].

Initiate the dosing regimen for each patient individually, taking into account the patient's severity of pain, patient response, prior analgesic treatment experience, and risk factors for addiction, abuse, and misuse [see Warnings and Precautions (5.1)].

Monitor patients closely for respiratory depression, especially within the first 24-72 hours of initiating therapy and following dosage increases with Morphine Sulfate Injection and adjust the dosage accordingly [see Warnings and Precautions (5.2)].

Administration of Morphine Sulfate Injection should be limited to use by those familiar with the management of respiratory depression. Morphine must be injected slowly; rapid intravenous administration may result in chest wall rigidity.

Inspect Morphine Sulfate Injection for particulate matter and discoloration prior to administration.

5.11 Risks of Use in Patients With Gastrointestinal Conditions

Morphine Sulfate Injection is contraindicated in patients with known or suspected gastrointestinal obstruction, including paralytic ileus.

The morphine in Morphine Sulfate Injection may cause spasm of the sphincter of Oddi. Opioids may cause increases in serum amylase. Monitor patients with biliary tract disease, including acute pancreatitis for worsening symptoms.

5.12 Increased Risk of Seizures in Patients With Seizure Disorders

The morphine in Morphine Sulfate Injection, may increase the frequency of seizures in patients with seizure disorders, and may increase the risk of seizures occurring in other clinical settings associated with seizures. Monitor patients with a history of seizure disorders for worsened seizure control during Morphine Sulfate Injection therapy.

5.4 Risks From Concomitant Use With Benzodiazepines Or Other Cns Depressants

Profound sedation, respiratory depression, coma, and death may result from the concomitant use of Morphine Sulfate Injection with benzodiazepines or other CNS depressants (e.g., non-benzodiazepine sedatives/hypnotics, anxiolytics, tranquilizers, muscle relaxants, general anesthetics, antipsychotics, other opioids, alcohol). Because of these risks, reserve concomitant prescribing of these drugs for use in patients for whom alternative treatment options are inadequate.

Observational studies have demonstrated that concomitant use of opioid analgesics and benzodiazepines increases the risk of drug-related mortality compared to use of opioid analgesics alone. Because of similar pharmacological properties, it is reasonable to expect similar risk with the concomitant use of other CNS depressant drugs with opioid analgesics [see Drug Interactions (7)].

If the decision is made to prescribe a benzodiazepine or other CNS depressant concomitantly with an opioid analgesic, prescribe the lowest effective dosages and minimum durations of concomitant use. In patients already receiving an opioid analgesic, prescribe a lower initial dose of the benzodiazepine or other CNS depressant than indicated in the absence of an opioid, and titrate based on clinical response. If an opioid analgesic is initiated in a patient already taking a benzodiazepine or other CNS depressant, prescribe a lower initial dose of the opioid analgesic, and titrate based on clinical response. Follow patients closely for signs and symptoms of respiratory depression and sedation.

Advise both patients and caregivers about the risks of respiratory depression and sedation when Morphine Sulfate Injection is used with benzodiazepines or other CNS depressants (including alcohol and illicit drugs). Advise patients not to drive or operate heavy machinery until the effects of concomitant use of the benzodiazepine or other CNS depressant have been determined. Screen patients for risk of substance use disorders, including opioid abuse and misuse, and warn them of the risk for overdose and death associated with the use of additional CNS depressants including alcohol and illicit drugs [see Drug Interactions (7)].

5.10 Risks of Use in Patients With Increased Intracranial Pressure, Brain Tumors, Head Injury, Or Impaired Consciousness

In patients who may be susceptible to the intracranial effects of CO2 retention (e.g., those with evidence of increased intracranial pressure or brain tumors), Morphine Sulfate Injection may reduce respiratory drive, and the resultant CO2 retention can further increase intracranial pressure. Monitor such patients for signs of sedation and respiratory depression, particularly when initiating therapy with Morphine Sulfate Injection.

Opioids may also obscure the clinical course in a patient with a head injury. Avoid the use of Morphine Sulfate Injection in patients with impaired consciousness or coma.

5.6 Life Threatening Respiratory Depression in Patients With Chronic Pulmonary Disease Or in Elderly, Cachectic, Or Debilitated Patients

The use of Morphine Sulfate Injection in patients with acute or severe bronchial asthma in an unmonitored setting or in the absence of resuscitative equipment is contraindicated.

Warning: Addiction, Abuse, and Misuse; Life Threatening Respiratory Depression; Neonatal Opioid Withdrawal Syndrome; and Risks From Concomitant Use With Benzodiazepines Or Other Cns Depressants

WARNING: ADDICTION, ABUSE, AND MISUSE; LIFE-THREATENING RESPIRATORY DEPRESSION; NEONATAL OPIOID WITHDRAWAL SYNDROME; and RISKS FROM CONCOMITANT USE WITH BENZODIAZEPINES OR OTHER CNS DEPRESSANTS

See full prescribing information for complete boxed warning.

  • Morphine Sulfate Injection exposes users to risks of addiction, abuse, and misuse, which can lead to overdose and death. Assess patient's risk before prescribing and monitor regularly for these behaviors and conditions. (5.1)
  • Serious, life-threatening, or fatal respiratory depression may occur. Monitor closely, especially upon initiation or following a dose increase. (5.2)
  • Prolonged use of Morphine Sulfate Injection during pregnancy can result in neonatal opioid withdrawal syndrome, which may be life-threatening if not recognized and treated. If prolonged opioid use is required in a pregnant woman, advise the patient of the risk of neonatal opioid withdrawal syndrome and ensure that appropriate treatment will be available. (5.3)
  • Concomitant use of opioids with benzodiazepines or other central nervous system (CNS) depressants, including alcohol, may result in profound sedation, respiratory depression, coma, and death. Reserve concomitant prescribing for use in patients for whom alternative treatment options are inadequate; limit dosages and durations to the minimum required; and follow patients for signs and symptoms of respiratory depression and sedation. (5.4, 7)

Structured Label Content

Section 42229-5 (42229-5)

Addiction, Abuse, and Misuse

Morphine Sulfate Injection exposes patients and other users to the risks of opioid addiction, abuse, and misuse, which can lead to overdose and death. Assess each patient's risk prior to prescribing Morphine Sulfate Injection, and monitor all patients regularly for the development of these behaviors and conditions [see Warnings and Precautions (5.1)].

Section 43683-2 (43683-2)

Warnings and Precautions

10/2019

Section 51945-4 (51945-4)

PACKAGE LABEL - PRINCIPAL DISPLAY – Morphine 1 mL Carton Panel

Rx only                NDC 76045-004-12

Morphine Sulfate Injection, USP CII

2 mg/mL

For Intramuscular or Intravenous use.

Do NOT place syringe on a Sterile Field.

24 X 1 mL single-dose prefilled syringes

Section 59845-8 (59845-8)

INSTRUCTIONS FOR USE

Figure 1: Outer Packaging and Prefilled Syringe

NOTES:

  • Do not introduce any other fluid into the syringe at any time.
  • Do not dilute for IV push.
  • Do not re-sterilize the syringe.
  • Do not use this product on a sterile field.
  • This product is for single dose only.
  • 1.
    Inspect the outer packaging (blister pack) to confirm the integrity of the packaging. Do not use if the blister pack or the prefilled syringe has been damaged.
  •  
    Remove the syringe from the outer packaging. (See Figure 2)
  •  
    Figure 2
  •  
  • 2.
    Visually inspect the syringe. Parenteral drug products should be inspected visually for particulate matter and discoloration prior to administration, whenever solution and container permit.
  •  
    Twist off the syringe tip cap. Do not remove the label around the luer lock collar. (See Figure 3)
  •  
    Figure 3
  •  
  • 3.
    Expel air bubble(s). Adjust the dose (if applicable).
  • 4.
    Administer the dose ensuring that pressure is maintained on the plunger rod during the entire administration.
  • 5.
    Discard the used syringe into an appropriate receptacle.

For more information concerning this drug, please call Fresenius Kabi USA, LLC at 1-800-551-7176.

To report SUSPECTED ADVERSE REACTIONS, contact Fresenius Kabi USA, LLC at 1-800-551-7176 or FDA at 1-800-FDA-1088 or www.fda.gov/medwatch.

U.S. Patents 9,072,781; 9,192,608; and 9,731,082

The brand names mentioned in this document are the trademarks of their respective owners.

Lake Zurich, IL 60047

www.fresenius-kabi.com/us

451509F

9.2 Abuse

Morphine Sulfate Injection contains morphine, a substance with a high potential for abuse similar to other opioids including fentanyl, hydrocodone, hydromorphone, methadone, oxycodone, oxymorphone, and tapentadol. Morphine Sulfate Injection can be abused and is subject to misuse, addiction, and criminal diversion [see Warnings and Precautions (5.1)].

All patients treated with opioids require careful monitoring for signs of abuse and addiction, because use of opioid analgesic products carries the risk of addiction even under appropriate medical use.

Prescription drug abuse is the intentional non-therapeutic use of a prescription drug, even once, for its rewarding psychological or physiological effects.

Drug addiction is a cluster of behavioral, cognitive, and physiological phenomena that develop after repeated substance use and includes: a strong desire to take the drug, difficulties in controlling its use, persisting in its use despite harmful consequences, a higher priority given to drug use than to other activities and obligations, increased tolerance, and sometimes a physical withdrawal.

“Drug-seeking” behavior is very common in persons with substance use disorders. Drug-seeking tactics include emergency calls or visits near the end of office hours, refusal to undergo appropriate examination, testing, or referral, repeated “loss” of prescriptions, tampering with prescriptions, and reluctance to provide prior medical records or contact information for other treating healthcare provider(s). “Doctor shopping” (visiting multiple prescribers to obtain additional prescriptions) is common among drug abusers and people suffering from untreated addiction. Preoccupation with achieving adequate pain relief can be appropriate behavior in a patient with poor pain control.

Abuse and addiction are separate and distinct from physical dependence and tolerance. Health care providers should be aware that addiction may not be accompanied by concurrent tolerance and symptoms of physical dependence in all addicts. In addition, abuse of opioids can occur in the absence of true addiction.

Morphine Sulfate Injection, like other opioids, can be diverted for non-medical use into illicit channels of distribution. Careful record-keeping of prescribing information, including quantity, frequency, and renewal requests, as required by state and federal law, is strongly advised.

Proper assessment of the patient, proper prescribing practices, periodic re-evaluation of therapy, and proper dispensing and storage are appropriate measures that help to limit abuse of opioid drugs.

11 Description (11 DESCRIPTION)

Morphine sulfate is an opioid agonist. Morphine Sulfate Injection USP is available as a sterile, nonpyrogenic solution of morphine sulfate, free of antioxidants and preservatives in single-dose prefilled syringes for intravenous and intramuscular administration.

The chemical name for Morphine sulfate is 7,8-Didehydro-4,5-epoxy-17-methyl-(5α,6α)-morphinan-3,6 α -diol sulfate (2: 1) (salt), pentahydrate. The molecular weight is 758.83. Its molecular formula is (C17H19NO3)2 • H2SO4 • 5H2O and it has the following chemical structure.

Morphine sulfate is a fine white powder. When exposed to air it gradually loses water of hydration, and darkens on prolonged exposure to light. It is soluble in water and ethanol at room temperature. Each 1 mL single-dose pre-filled syringe contains 2 mg (equivalent to 1.75 mg Morphine), 4 mg (equivalent to 3.50 mg Morphine), 5 mg (equivalent to 4.37 mg Morphine), 8 mg (equivalent to 6.99 mg Morphine) or 10 mg (equivalent to 8.73 mg Morphine) of Morphine Sulfate USP in 1 mL total volume of water for injection solution with inactive ingredients. The inactive ingredients in Morphine Sulfate Injection, USP include:

  • For the 2 mg/mL and 4 mg/mL products: 8.4 mg sodium chloride, 2.3 mg of sodium citrate, 0.74 mg of citric acid, 0.111 mg of edetate disodium, 0.053 mg of calcium chloride and water for injection.
  • For the 5 mg/mL, 8 mg/mL and 10 mg/mL products: 7.5 mg sodium chloride, 3.45 mg of sodium citrate, 1.11 mg of citric acid, 0.111 mg of edetate disodium, 0.053 mg of calcium chloride and water for injection.
9.3 Dependence

Both tolerance and physical dependence can develop during chronic opioid therapy. Tolerance is the need for increasing doses of opioids to maintain a defined effect such as analgesia (in the absence of disease progression or other external factors). Tolerance may occur to both the desired and undesired effects of drugs, and may develop at different rates for different effects.

Physical dependence results in withdrawal symptoms after abrupt discontinuation or a significant dosage reduction of a drug. Withdrawal also may be precipitated through the administration of drugs with opioid antagonist activity (e.g., naloxone, nalmefene), mixed agonist/antagonist analgesics (e.g., pentazocine, butorphanol, nalbuphine), or partial agonists (e.g., buprenorphine). Physical dependence may not occur to a clinically significant degree until after several days to weeks of continued opioid usage.

Morphine Sulfate Injection should not be abruptly discontinued in a physically-dependent patient [see Dosage and Administration (2.4)]. If Morphine Sulfate Injection is abruptly discontinued in a physically-dependent patient, a withdrawal syndrome may occur. Some or all of the following can characterize this syndrome: restlessness, lacrimation, rhinorrhea, yawning, perspiration, chills, myalgia, and mydriasis. Other signs and symptoms also may develop, including irritability, anxiety, backache, joint pain, weakness, abdominal cramps, insomnia, nausea, anorexia, vomiting, diarrhea, or increased blood pressure, respiratory rate, or heart rate.

Infants born to mothers physically dependent on opioids will also be physically dependent and may exhibit respiratory difficulties and withdrawal signs [see Use in Specific Populations (8.1)].

5.13 Withdrawal

Avoid the use of mixed agonist/antagonist (e.g, pentazocine, nalbuphine, and butorphanol) or partial agonist (e.g., buprenorphine) analgesics in patients who are receiving a full opioid agonist analgesic, including Morphine Sulfate Injection. In these patients, mixed agonist/antagonist and partial agonist analgesics may reduce the analgesic effect and/or precipitate withdrawal symptoms.

When discontinuing Morphine Sulfate Injection in a physically-dependent patient, gradually taper the dosage [see Dosage and Administration (2.4)]. Do not abruptly discontinue Morphine Sulfate Injection in these patients [see Drug Abuse and Dependence (9.3)].

8.4 Pediatric Use

The safety and effectiveness of Morphine Sulfate Injection in pediatric patients below the age of 18 have not been established.

8.5 Geriatric Use

The pharmacodynamic effects of morphine in the elderly are more variable than in the younger population. Older patients will vary widely in the effective initial dose, rate of development of tolerance and the frequency and magnitude of associated adverse effects as the dose is increased.

Elderly patients (aged 65 years or older) may have increased sensitivity to morphine. In general, use caution when selecting a dosage for an elderly patient, usually starting at the low end of the dosing range, reflecting the greater frequency of decreased hepatic, renal, or cardiac function and of concomitant disease or other drug therapy. Respiratory depression is the chief risk for elderly patients treated with opioids, and has occurred after large initial doses were administered to patients who were not opioid-tolerant or when opioids were co-administered with other agents that depress respiration. Titrate the dosage of Morphine Sulfate Injection slowly in geriatric patients and monitor for signs of central nervous system and respiratory depression [see Warnings and Precautions (5.6)].

Morphine is known to be substantially excreted by the kidney, and the risk of adverse reactions to this drug may be greater in patients with impaired renal function. Because elderly patients are more likely to have decreased renal function, care should be taken in dose selection, and it may be useful to monitor renal function.

4 Contraindications (4 CONTRAINDICATIONS)

Morphine Sulfate Injection is contraindicated in patients with:

  • Significant respiratory depression [see Warnings and Precautions (5.2)]
  • Acute or severe bronchial asthma in an unmonitored setting or in the absence of resuscitative equipment [see Warnings and Precautions (5.6)]
  • Concurrent use of monoamine oxidase inhibitors (MAOIs) or use of MAOIs within the last 14 days [see Warnings and Precautions (5.7)].
  • Known or suspected gastrointestinal obstruction, including paralytic ileus [see Warnings and Precautions (5.11)]
  • Hypersensitivity to morphine (e.g., anaphylaxis) [see Adverse Reactions (6)]
6 Adverse Reactions (6 ADVERSE REACTIONS)

The following serious adverse reactions are described, or described in greater detail, in other sections:

  • Addiction, Abuse, and Misuse [see Warnings and Precautions (5.1)]
  • Life-Threatening Respiratory Depression [see Warnings and Precautions (5.2)]
  • Neonatal Opioid Withdrawal Syndrome [see Warnings and Precautions (5.3)]
  • Interactions with Benzodiazepine or Other CNS Depressants [see Warnings and Precautions (5.4)]
  • Cardiovascular Instability [see Warnings and Precautions (5.5)]
  • Adrenal Insufficiency [see Warnings and Precautions (5.8)]
  • Severe Hypotension [see Warnings and Precautions (5.9)]
  • Gastrointestinal Adverse Reactions [see Warnings and Precautions (5.11)]
  • Seizures [see Warnings and Precautions (5.12)]
  • Withdrawal [see Warnings and Precautions (5.13)]

The following adverse reactions associated with the use of morphine were identified in clinical studies or postmarketing reports. Because some of these reactions were reported voluntarily from a population of uncertain size, it is not always possible to reliably estimate their frequency or establish a causal relationship to drug exposure.

Serious adverse reactions associated with Morphine Sulfate Injection included, respiratory depression, apnea, and to a lesser degree, circulatory depression, respiratory arrest, shock and cardiac arrest. Rarely, anaphylactoid reactions have been reported when morphine or other phenanthrene alkaloids of opium are administered intravenously.

The most frequently observed adverse reactions included sedation, lightheadedness, dizziness, nausea, vomiting, constipation and diaphoresis.

Other possible adverse reactions include:

Central Nervous System – Euphoria, dysphoria, weakness, headache, agitation, tremor, uncoordinated muscle movements, visual disturbances, transient hallucinations and disorientation.

Gastrointestinal – Constipation, biliary tract spasm.

Cardiovascular – Tachycardia, bradycardia, palpitation, faintness, syncope and orthostatic hypotension.

Genitourinary – Oliguria and urinary retention; an antidiuretic effect has been reported.

Allergic – Pruritus, urticaria and skin rashes. Anaphylactoid reactions have been reported following intravenous administration.

Other – Opioid-induced histamine release may be responsible for the flushing of the face, diaphoresis and pruritus often seen with these drugs. Wheals and urticaria at the site of injection are probably related to histamine release. Local tissue irritation, pain and induration have been reported following repeated subcutaneous injection. Androgen deficiency: Cases of androgen deficiency have occurred with chronic use of opioids [see Clinical Pharmacology (12.2)].

Anaphylaxis: Anaphylaxis has been reported with ingredients contained in Morphine Sulfate Injection.

Serotonin syndrome: Cases of serotonin syndrome, a potentially life-threatening condition, have been reported during concomitant use of opioids with serotonergic drugs.

Adrenal insufficiency: Cases of adrenal insufficiency have been reported with opioid use, more often following greater than one month of use.

7 Drug Interactions (7 DRUG INTERACTIONS)

Table 1 includes clinically significant drug interactions with Morphine Sulfate Injection.

Table 1: Clinically Significant Drug Interactions with Morphine Sulfate Injection

Benzodiazepines and Other Central Nervous System (CNS) Depressants

Clinical Impact:

Due to additive pharmacologic effect, the concomitant use of benzodiazepines or other CNS depressants, including alcohol, can increase the risk of hypotension, respiratory depression, profound sedation, coma, and death.

Intervention:

Reserve concomitant prescribing of these drugs for use in patients for whom alternative treatment options are inadequate. Limit dosages and durations to the minimum required. Follow patients closely for signs of respiratory depression and sedation [see Warnings and Precautions (5.4)].

Examples:

Benzodiazepines and other sedatives/hypnotics, anxiolytics, tranquilizers, muscle relaxants, general anesthetics, antipsychotics, other opioids, alcohol.

Serotonergic Drugs

Clinical Impact:

The concomitant use of opioids with other drugs that affect the serotonergic neurotransmitter system has resulted in serotonin syndrome.

Intervention:

If concomitant use is warranted, carefully observe the patient, particularly during treatment initiation and dose adjustment. Discontinue Morphine Sulfate Injection if serotonin syndrome is suspected.

Examples:

Selective serotonin reuptake inhibitors (SSRIs), serotonin and norepinephrine reuptake inhibitors (SNRIs), tricyclic antidepressants (TCAs), triptans, 5-HT3 receptor antagonists, drugs that affect the serotonin neurotransmitter system (e.g., mirtazapine, trazodone, tramadol), monoamine oxidase (MAO) inhibitors (those intended to treat psychiatric disorders and also others, such as linezolid and intravenous methylene blue).

Monoamine Oxidase Inhibitors (MAOIs)

Clinical Impact:

MAOI interactions with opioids may manifest as serotonin syndrome or opioid toxicity (e.g., respiratory depression, coma) [see Warnings and Precautions (5.7)].

Intervention:

Do not use Morphine Sulfate Injection in patients taking MAOIs or within 14 days of stopping such treatment.

If urgent use of an opioid is necessary, use test doses and frequent titration of small doses of other opioids (such as oxycodone, hydrocodone, oxymorphone, or buprenorphine) to treat pain while closely monitoring blood pressure and signs and symptoms of CNS and respiratory depression.

Examples:

phenelzine, tranylcypromine, linezolid

Mixed Agonist/Antagonist and Partial Agonist Opioid Analgesics

Clinical Impact:

May reduce the analgesic effect of Morphine Sulfate Injection and/or precipitate withdrawal symptoms.

Intervention:

Avoid concomitant use.

Examples:

butorphanol, nalbuphine, pentazocine, buprenorphine.

 

Muscle Relaxants

Clinical Impact:

Morphine may enhance the neuromuscular blocking action of skeletal muscle relaxants and produce an increased degree of respiratory depression.

Intervention:

Monitor patients for signs of respiratory depression that may be greater than otherwise expected and decrease the dosage of Morphine Sulfate Injection and/or the muscle relaxant as necessary.

Cimetidine

Clinical Impact:

The concomitant administration of morphine sulfate and cimetidine has been reported to precipitate apnea, confusion and muscle twitching in an isolated report.

Intervention:

Monitor patients for increased respiratory and CNS depression when receiving cimetidine concomitantly with Morphine Sulfate Injection.

Diuretics

Clinical Impact:

Opioids can reduce the efficacy of diuretics by inducing the release of antidiuretic hormone.

Intervention:

Monitor patients for signs of diminished diuresis and/or effects on blood pressure and increase the dosage of the diuretic as needed.

Anticholinergic Drugs

Clinical Impact:

The concomitant use of anticholinergic drugs may increase risk of urinary retention and/or severe constipation, which may lead to paralytic ileus.

Intervention:

Monitor patients for signs of urinary retention or reduced gastric motility when Morphine Sulfate Injection is used concomitantly with anticholinergic drugs.

Oral P2Y12 Inhibitors

Clinical Impact:

The co-administration of oral P2Y12 inhibitors and intravenous morphine sulfate can decrease the absorption and peak concentration of oral P2Y12 inhibitors and delay the antiplatelet effect.

Intervention:

Consider the use of a parenteral antiplatelet agent in the setting of acute coronary syndrome requiring coadministration of intravenous morphine sulfate.

Examples:

clopidogrel, prasugrel, ticagrelor

8.7 Renal Impairment

Morphine sulfate pharmacokinetics are altered in patients with renal failure. Start these patients with a lower than normal dosage of Morphine Sulfate Injection and titrate slowly while monitoring for signs of respiratory depression, sedation, and hypotension [see Clinical Pharmacology (12.3)].

5.9 Severe Hypotension

Morphine Sulfate Injection may cause severe hypotension including orthostatic hypotension and syncope in ambulatory patients. There is increased risk in patients whose ability to maintain blood pressure has already been compromised by a reduced blood volume or concurrent administration of certain CNS depressant drugs (e.g., phenothiazines or general anesthetics) [see Drug Interactions (7)]. Monitor these patients for signs of hypotension after initiating or titrating the dosage of Morphine Sulfate Injection. In patients with circulatory shock, Morphine Sulfate Injection may cause vasodilation that can further reduce cardiac output and blood pressure. Avoid the use of Morphine Sulfate Injection in patients with circulatory shock.

8.6 Hepatic Impairment

Morphine sulfate pharmacokinetics have been reported to be significantly altered in patients with cirrhosis. Start these patients with a lower than normal dosage of Morphine Sulfate Injection and titrate slowly while monitoring for signs of respiratory depression, sedation, and hypotension [see Clinical Pharmacology (12.3)].

1 Indications and Usage (1 INDICATIONS AND USAGE)

Morphine Sulfate Injection is indicated for the management of pain severe enough to require an opioid analgesic and for which alternative treatments are inadequate.

12.1 Mechanism of Action

Morphine is a full opioid agonist and is relatively selective for the mu-opioid receptor, although it can bind to other opioid receptors at higher doses. The principal therapeutic action of morphine is analgesia. Like all full opioid agonists, there is no ceiling effect for analgesia with morphine. Clinically, dosage is titrated to provide adequate analgesia and may be limited by adverse reactions, including respiratory and CNS depression.

The precise mechanism of the analgesic action is unknown. However, specific CNS opioid receptors for endogenous compounds with opioid-like activity have been identified throughout the brain and spinal cord and are thought to play a role in the analgesic effects of this drug.

9.1 Controlled Substance

Morphine Sulfate Injection contains morphine, a Schedule II controlled substance.

5.8 Adrenal Insufficiency

Cases of adrenal insufficiency have been reported with opioid use, more often following greater than one month of use. Presentation of adrenal insufficiency may include non-specific symptoms and signs including nausea, vomiting, anorexia, fatigue, weakness, dizziness, and low blood pressure. If adrenal insufficiency is suspected, confirm the diagnosis with diagnostic testing as soon as possible. If adrenal insufficiency is diagnosed, treat with physiologic replacement doses of corticosteroids. Wean the patient off of the opioid to allow adrenal function to recover and continue corticosteroid treatment until adrenal function recovers. Other opioids may be tried as some cases reported use of a different opioid without recurrence of adrenal insufficiency. The information available does not identify any particular opioids as being more likely to be associated with adrenal insufficiency.

5 Warnings and Precautions (5 WARNINGS AND PRECAUTIONS)
  • Cardiovascular Instability: High doses are excitatory. Have Naloxone Injection and resuscitative equipment immediately available. (5.5)
  • Life-Threatening Respiratory Depression in Patients with Chronic Pulmonary Disease or in Elderly, Cachectic, or Debilitated Patients: Monitor closely, particularly during initiation and titration. (5.2)
  • Adrenal Insufficiency: If diagnosed, treat with physiologic replacement of corticosteroids, and wean patient off of the opioid. (5.8)
  • Severe Hypotension: Monitor during dosage initiation and titration. Avoid use of Morphine Sulfate Injection in patients with circulatory shock. (5.9)
  • Risks of Use in Patients with Increased Intracranial Pressure, Brain Tumors, Head Injury, or Impaired Consciousness: Monitor for sedation and respiratory depression. Avoid use of Morphine Sulfate Injection in patients with impaired consciousness or coma. (5.10)
2 Dosage and Administration (2 DOSAGE AND ADMINISTRATION)
  • Use the lowest effective dosage for the shortest duration consistent with individual patient treatment goals. (2.1)
  • Individualize dosing based on the severity of pain, patient response, prior analgesic experience, and risk factors for addiction, abuse, and misuse. (2.1)
  • Direct Intravenous Injection: Initiate treatment with 0.1 mg to 0.2 mg per kg every 4 hours as needed to manage pain. (2.2)
  • Intramuscular Injection: Initiate treatment with 10 mg, every 4 hours as needed to manage pain (based on a 70 kg adult). (2.2)
  • Do not stop Morphine Sulfate Injection abruptly in a physically dependent patient. (2.4)
3 Dosage Forms and Strengths (3 DOSAGE FORMS AND STRENGTHS)

Morphine Sulfate Injection is available in the following strengths for intravenous (IV) and intramuscular (IM) administration.

  •  
    2 mg/mL in 1 mL single-dose prefilled syringe for IV or IM use.
  •  
    4 mg/mL in 1 mL single-dose prefilled syringe for IV or IM use.
  •  
    5 mg/mL in 1 mL single-dose prefilled syringe for IV or IM use.
  •  
    8 mg/mL in 1 mL single-dose prefilled syringe for IV or IM use.
  •  
    10 mg/mL in 1 mL single-dose prefilled syringe for IV or IM use.
8 Use in Specific Populations (8 USE IN SPECIFIC POPULATIONS)

Pregnancy: May cause fetal harm. (8.1)

5.5 Cardiovascular Instability

While low doses of intravenously administered morphine have little effect on cardiovascular stability, high doses are excitatory, resulting from sympathetic hyperactivity and increase in circulatory catecholamines. Have Naloxone Injection and resuscitative equipment immediately available for use in case of life-threatening or intolerable side effects and whenever morphine therapy is being initiated.

5.1 Addiction, Abuse, and Misuse

Morphine Sulfate Injection contains morphine, a Schedule II controlled substance. As an opioid, Morphine Sulfate Injection exposes users to the risks of addiction, abuse, and misuse [see Drug Abuse and Dependence (9)].

Although the risk of addiction in any individual is unknown, it can occur in patients appropriately prescribed Morphine Sulfate Injection. Addiction can occur at recommended dosages and if the drug is misused or abused.

Assess each patient's risk for opioid addiction, abuse, or misuse prior to prescribing Morphine Sulfate Injection, and monitor all patients receiving Morphine Sulfate Injection for the development of these behaviors and conditions. Risks are increased in patients with a personal or family history of substance abuse (including drug or alcohol abuse or addiction) or mental illness (e.g., major depression). The potential for these risks should not, however, prevent the proper management of pain in any given patient. Patients at increased risk may be prescribed opioids such as Morphine Sulfate Injection, but use in such patients necessitates intensive counseling about the risks and proper use of Morphine Sulfate Injection, along with intensive monitoring for signs of addiction, abuse, and misuse.

Opioids are sought by drug abusers and people with addiction disorders and are subject to criminal diversion. Consider these risks when prescribing or dispensing Morphine Sulfate Injection. Strategies to reduce these risks include prescribing the drug in the smallest appropriate quantity. Contact local state professional licensing board or state controlled substances authority for information on how to prevent and detect abuse or diversion of this product.

16 How Supplied/storage and Handling (16 HOW SUPPLIED/STORAGE AND HANDLING)

Morphine Sulfate Injection is available for intravenous (IV) or intramuscular (IM) use as:

Product Code

Unit of Sale

Strength

Each

764412

NDC 76045-004-12

Unit of 24

2 mg/mL

NDC 76045-004-02

1 mL single-dose prefilled syringe

764512

NDC 76045-005-12

Unit of 24

4 mg/mL

NDC 76045-005-02

1 mL single-dose prefilled syringe

764612

NDC 76045-006-12

Unit of 24

5 mg/mL

NDC 76045-006-02

1 mL single-dose prefilled syringe

764710

NDC 76045-007-10

Unit of 24

8 mg/mL

NDC 76045-007-00

1 mL single-dose prefilled syringe

764810

NDC 76045-008-10

Unit of 24

10 mg/mL

NDC 76045-008-00

1 mL single-dose prefilled syringe

Store at 20°C to 25°C (68°F to 77°F) [See USP Controlled Room Temperature.]

PROTECT FROM LIGHT. DO NOT FREEZE.

This product is for single dose only.

5.14 Central Nervous System Toxicity

Dysphoric reactions may occur after any size dose and toxic psychoses have been reported.

5.3 Neonatal Opioid Withdrawal Syndrome

Prolonged use of Morphine Sulfate Injection during pregnancy can result in withdrawal in the neonate. Neonatal opioid withdrawal syndrome, unlike opioid withdrawal syndrome in adults, may be life-threatening if not recognized and treated, and requires management according to protocols developed by neonatology experts. Observe newborns for signs of neonatal opioid withdrawal syndrome and manage accordingly. Advise pregnant women using opioids for a prolonged period of the risk of neonatal opioid withdrawal syndrome and ensure that appropriate treatment will be available [see Use in Specific Populations (8.1)].

2.3 Titration and Maintenance of Therapy

Individually titrate Morphine Sulfate Injection to a dose that provides adequate analgesia and minimizes adverse reactions. Continually reevaluate patients receiving Morphine Sulfate Injection to assess the maintenance of pain control and the relative incidence of adverse reactions, as well as monitoring for the development of addiction, abuse, or misuse [see Warnings and Precautions (5.1)].

If unacceptable opioid-related adverse reactions are observed, consider reducing the dosage. Adjust the dosage to obtain an appropriate balance between management of pain and opioid-related adverse reactions.

5.2 Life Threatening Respiratory Depression (5.2 Life-Threatening Respiratory Depression)

Serious, life-threatening, or fatal respiratory depression has been reported with the use of opioids, even when used as recommended. Respiratory depression, if not immediately recognized and treated, may lead to respiratory arrest and death. Management of respiratory depression may include close observation, supportive measures, and use of opioid antagonists, depending on the patient's clinical status [see Overdosage (10)]. Carbon dioxide (CO2) retention from opioid-induced respiratory depression can exacerbate the sedating effects of opioids.

While serious, life-threatening, or fatal respiratory depression can occur at any time during the use of Morphine Sulfate Injection, the risk is greatest during the initiation of therapy or following a dosage increase. Because of a delay in the maximum CNS effect with intravenously administered Morphine Sulfate Injection (30 min), rapid administration may result in overdosing. The respiratory depression may be severe and could require intervention [see OVERDOSAGE (10)]. Monitor patients closely for respiratory depression, especially within the first 24-72 hours of initiating therapy with and following dosage increases of Morphine Sulfate Injection.

To reduce the risk of respiratory depression, proper dosing and titration of Morphine Sulfate Injection, are essential [see Dosage and Administration (2.4)]. Overestimating the Morphine Sulfate Injection, dosage when converting patients from another opioid product can result in a fatal overdose with the first dose.

Opioids can cause sleep-related breathing disorders including central sleep apnea (CSA) and sleep-related hypoxemia. Opioid use increases the risk of CSA in a dose-dependent fashion. In patients who present with CSA, consider decreasing the opioid dosage using best practices for opioid taper [see Dosage and Administration (2.4)].

5.16 Risks of Driving and Operating Machinery

Morphine Sulfate Injection may impair the mental or physical abilities needed to perform potentially hazardous activities such as driving a car or operating machinery. Warn patients not to drive or operate dangerous machinery unless they are tolerant to the effects of Morphine Sulfate Injection and know how they will react to the medication.

5.15 Exposure, Hypothermia, Immersion and Shock

Caution must be used when injecting any opioid intramuscularly into chilled areas or in patients with hypotension or shock, since impaired perfusion may prevent complete absorption; if repeated injections are administered, an excessive amount may be suddenly absorbed if normal circulation is re-established.

2.4 Discontinuation of Morphine Sulfate Injection

When a patient who has been taking Morphine Sulfate Injection regularly and may be physically dependent or no longer requires therapy with Morphine Sulfate Injection, taper the dose gradually, by 25% to 50% every 2 to 4 days, while monitoring carefully for signs and symptoms of withdrawal. If the patient develops these signs or symptoms, raise the dose to the previous level and taper more slowly, either by increasing the interval between decreases, decreasing the amount of change in dose, or both. Do not abruptly discontinue Morphine Sulfate Injection in a physically dependent patient [see Warnings and Precautions (5.13), Drug Abuse and Dependence (9.3)].

5.7 Interactions With Monoamine Oxidase Inhibitors (5.7 Interactions with Monoamine Oxidase Inhibitors)

Monoamine oxidase inhibitors (MAOIs) may potentiate the effects of morphine, including respiratory depression, coma, and confusion. Morphine Sulfate Injection should not be used in patients taking MAOIs or within 14 days of stopping such treatment.

2.1 Important Dosage and Administration Instructions

Morphine Sulfate Injection is intended for intravenous and intramuscular administration.

Morphine Sulfate Injection is available in five concentrations for direct injection. Dosing errors can result in accidental overdose and death. Avoid dosing errors that may result from confusion between mg and mL and confusion with morphine injections of different concentrations when prescribing, dispensing, and administering Morphine Sulfate Injection. Ensure that the dose is communicated and dispensed accurately.

Use the lowest effective dosage for the shortest duration consistent with individual patient treatment goals [see Warnings and Precautions (5.1)].

Initiate the dosing regimen for each patient individually, taking into account the patient's severity of pain, patient response, prior analgesic treatment experience, and risk factors for addiction, abuse, and misuse [see Warnings and Precautions (5.1)].

Monitor patients closely for respiratory depression, especially within the first 24-72 hours of initiating therapy and following dosage increases with Morphine Sulfate Injection and adjust the dosage accordingly [see Warnings and Precautions (5.2)].

Administration of Morphine Sulfate Injection should be limited to use by those familiar with the management of respiratory depression. Morphine must be injected slowly; rapid intravenous administration may result in chest wall rigidity.

Inspect Morphine Sulfate Injection for particulate matter and discoloration prior to administration.

5.11 Risks of Use in Patients With Gastrointestinal Conditions (5.11 Risks of Use in Patients with Gastrointestinal Conditions)

Morphine Sulfate Injection is contraindicated in patients with known or suspected gastrointestinal obstruction, including paralytic ileus.

The morphine in Morphine Sulfate Injection may cause spasm of the sphincter of Oddi. Opioids may cause increases in serum amylase. Monitor patients with biliary tract disease, including acute pancreatitis for worsening symptoms.

5.12 Increased Risk of Seizures in Patients With Seizure Disorders (5.12 Increased Risk of Seizures in Patients with Seizure Disorders)

The morphine in Morphine Sulfate Injection, may increase the frequency of seizures in patients with seizure disorders, and may increase the risk of seizures occurring in other clinical settings associated with seizures. Monitor patients with a history of seizure disorders for worsened seizure control during Morphine Sulfate Injection therapy.

5.4 Risks From Concomitant Use With Benzodiazepines Or Other Cns Depressants (5.4 Risks from Concomitant Use with Benzodiazepines or Other CNS Depressants)

Profound sedation, respiratory depression, coma, and death may result from the concomitant use of Morphine Sulfate Injection with benzodiazepines or other CNS depressants (e.g., non-benzodiazepine sedatives/hypnotics, anxiolytics, tranquilizers, muscle relaxants, general anesthetics, antipsychotics, other opioids, alcohol). Because of these risks, reserve concomitant prescribing of these drugs for use in patients for whom alternative treatment options are inadequate.

Observational studies have demonstrated that concomitant use of opioid analgesics and benzodiazepines increases the risk of drug-related mortality compared to use of opioid analgesics alone. Because of similar pharmacological properties, it is reasonable to expect similar risk with the concomitant use of other CNS depressant drugs with opioid analgesics [see Drug Interactions (7)].

If the decision is made to prescribe a benzodiazepine or other CNS depressant concomitantly with an opioid analgesic, prescribe the lowest effective dosages and minimum durations of concomitant use. In patients already receiving an opioid analgesic, prescribe a lower initial dose of the benzodiazepine or other CNS depressant than indicated in the absence of an opioid, and titrate based on clinical response. If an opioid analgesic is initiated in a patient already taking a benzodiazepine or other CNS depressant, prescribe a lower initial dose of the opioid analgesic, and titrate based on clinical response. Follow patients closely for signs and symptoms of respiratory depression and sedation.

Advise both patients and caregivers about the risks of respiratory depression and sedation when Morphine Sulfate Injection is used with benzodiazepines or other CNS depressants (including alcohol and illicit drugs). Advise patients not to drive or operate heavy machinery until the effects of concomitant use of the benzodiazepine or other CNS depressant have been determined. Screen patients for risk of substance use disorders, including opioid abuse and misuse, and warn them of the risk for overdose and death associated with the use of additional CNS depressants including alcohol and illicit drugs [see Drug Interactions (7)].

5.10 Risks of Use in Patients With Increased Intracranial Pressure, Brain Tumors, Head Injury, Or Impaired Consciousness (5.10 Risks of Use in Patients with Increased Intracranial Pressure, Brain Tumors, Head Injury, or Impaired Consciousness)

In patients who may be susceptible to the intracranial effects of CO2 retention (e.g., those with evidence of increased intracranial pressure or brain tumors), Morphine Sulfate Injection may reduce respiratory drive, and the resultant CO2 retention can further increase intracranial pressure. Monitor such patients for signs of sedation and respiratory depression, particularly when initiating therapy with Morphine Sulfate Injection.

Opioids may also obscure the clinical course in a patient with a head injury. Avoid the use of Morphine Sulfate Injection in patients with impaired consciousness or coma.

5.6 Life Threatening Respiratory Depression in Patients With Chronic Pulmonary Disease Or in Elderly, Cachectic, Or Debilitated Patients (5.6 Life-Threatening Respiratory Depression in Patients with Chronic Pulmonary Disease or in Elderly, Cachectic, or Debilitated Patients)

The use of Morphine Sulfate Injection in patients with acute or severe bronchial asthma in an unmonitored setting or in the absence of resuscitative equipment is contraindicated.

Warning: Addiction, Abuse, and Misuse; Life Threatening Respiratory Depression; Neonatal Opioid Withdrawal Syndrome; and Risks From Concomitant Use With Benzodiazepines Or Other Cns Depressants (WARNING: ADDICTION, ABUSE, AND MISUSE; LIFE-THREATENING RESPIRATORY DEPRESSION; NEONATAL OPIOID WITHDRAWAL SYNDROME; and RISKS FROM CONCOMITANT USE WITH BENZODIAZEPINES OR OTHER CNS DEPRESSANTS)

WARNING: ADDICTION, ABUSE, AND MISUSE; LIFE-THREATENING RESPIRATORY DEPRESSION; NEONATAL OPIOID WITHDRAWAL SYNDROME; and RISKS FROM CONCOMITANT USE WITH BENZODIAZEPINES OR OTHER CNS DEPRESSANTS

See full prescribing information for complete boxed warning.

  • Morphine Sulfate Injection exposes users to risks of addiction, abuse, and misuse, which can lead to overdose and death. Assess patient's risk before prescribing and monitor regularly for these behaviors and conditions. (5.1)
  • Serious, life-threatening, or fatal respiratory depression may occur. Monitor closely, especially upon initiation or following a dose increase. (5.2)
  • Prolonged use of Morphine Sulfate Injection during pregnancy can result in neonatal opioid withdrawal syndrome, which may be life-threatening if not recognized and treated. If prolonged opioid use is required in a pregnant woman, advise the patient of the risk of neonatal opioid withdrawal syndrome and ensure that appropriate treatment will be available. (5.3)
  • Concomitant use of opioids with benzodiazepines or other central nervous system (CNS) depressants, including alcohol, may result in profound sedation, respiratory depression, coma, and death. Reserve concomitant prescribing for use in patients for whom alternative treatment options are inadequate; limit dosages and durations to the minimum required; and follow patients for signs and symptoms of respiratory depression and sedation. (5.4, 7)

Advanced Ingredient Data


Raw Label Data

All Sections (JSON)