Metoprolol Tartrate Injection, Usp

Metoprolol Tartrate Injection, Usp
SPL v2
SPL
SPL Set ID b624095a-d1c1-1ce0-e053-2995a90a0698
Route
INTRAVENOUS
Published
Effective Date 2018-12-14
Document Type 34391-3 HUMAN PRESCRIPTION DRUG LABEL

Drug Facts

Composition & Product

Active Ingredients
Metoprolol (45 mg)
Inactive Ingredients
Sodium Chloride Water

Identifiers & Packaging

Marketing Status
ANDA Active Since 2007-05-30

Description

Rx ONLY

Contraindications

Hypersensitivity to metoprolol and related derivatives, or to any of the excipients; hypersensitivity to other beta blockers (cross sensitivity between beta blockers can occur).

Adverse Reactions

A variety of adverse reactions not listed above have been reported with other beta-adrenergic blocking agents and should be considered potential adverse reactions to metoprolol. Central Nervous System: Reversible mental depression progressing to catatonia; an acute reversible syndrome characterized by disorientation for time and place, short-term memory loss, emotional lability, slightly clouded sensorium, and decreased performance on neuropsychometrics. Cardiovascular: Intensification of AV block (see CONTRAINDICATIONS ). Hematologic: Agranulocytosis, nonthrombocytopenic purpura and thrombocytopenic purpura. Hypersensitive Reactions: Fever combined with aching and sore throat, laryngospasm and respiratory distress.

Drug Interactions

Catecholamine-depleting drugs: Catecholamine-depleting drugs (e.g., reserpine) may have an additive effect when given with beta-blocking agents or monoamine oxidase (MAO) inhibitors. Observe patients treated with metoprolol plus a catecholamine depletor for evidence of hypotension or marked bradycardia, which may produce vertigo, syncope, or postural hypotension. In addition, possibly significant hypertension may theoretically occur up to 14 days following discontinuation of the concomitant administration with an irreversible MAO inhibitor. Digitalis glycosides and beta blockers: Both digitalis glycosides and beta blockers slow atrioventricular conduction and decrease heart rate. Concomitant use can increase the risk of bradycardia. Monitor heart rate and PR interval. Calcium channel blockers: Concomitant administration of a beta-adrenergic antagonist with a calcium channel blocker may produce an additive reduction in myocardial contractility because of negative chronotropic and inotropic effects. General Anesthetics: Some inhalation anesthetics may enhance the cardiodepressant effect of beta blockers (see WARNINGS, Major Surgery ). CYP2D6 Inhibitors: Potent inhibitors of the CYP2D6 enzyme may increase the plasma concentration of metoprolol which would mimic the pharmacokinetics of CYP2D6 poor metabolizer (see  Pharmacokinetics   section). Increase in plasma concentrations of metoprolol would decrease the cardioselectivity of metoprolol. Known clinically significant potent inhibitors of CYP2D6 are antidepressants such as fluvoxamine, fluoxetine, paroxetine, sertraline,bupropion, clomipramine, and desipramine; antipsychotics such as chlorpromazine, fluphenazine, haloperidol, and thioridazine; antiarrhythmics such as quinidine or propafenone; antiretrovirals such as ritonavir; antihistamines such as diphenhydramine; antimalarials such as hydroxychloroquine or quinidine; antifungals such as terbinafine. Hydralazine: Concomitant administration of hydralazine may inhibit presystemic metabolism of metoprolol leading to increased concentrations of metoprolol. Alpha-adrenergic agents: Antihypertensive effect of alpha-adrenergic blockers such as guanethidine, betanidine, reserpine, alpha-methyldopa or clonidine may be potentiated by beta-blockers including metoprolol. Beta- adrenergic blockers may also potentiate the postural hypotensive effect of the first dose of prazosin, probably by preventing reflex tachycardia. On the contrary, beta adrenergic blockers may also potentiate the hypertensive response to withdrawal of clonidine in patients receiving concomitant clonidine and beta-adrenergic blocker. If a patient is treated with clonidine and metoprolol concurrently, and clonidine treatment is to be discontinued, stop metoprolol several days before clonidine is withdrawn. Rebound hypertension that can follow withdrawal of clonidine may be increased in patients receiving concurrent beta-blocker treatment. Ergot alkaloid: Concomitant administration with beta-blockers may enhance the vasoconstrictive action of ergot alkaloids. Dipyridamole: In general, administration of a beta-blocker should be withheld before dipyridamole testing, with careful monitoring of heart rate following the dipyridamole injection.

How Supplied

Metoprolol Tartrate Injection, USP is a clear and colorless solution available as: 5 mL Single Dose Vials - each containing 5 mg Metoprolol Tartrate, USP. Cartons of 10 vials        NDC 0143-9873-10 Cartons of 25 vials        NDC 0143-9873-25        Also available in Oversized vials (10 mL) with large mouth (20 mm). Carton of 10 vials          NDC 0143-9660-10 Carton of 25 vials          NDC 0143-9660-25                  Store at 20º to 25ºC (68º to 77ºF) [See USP Controlled Room Temperature]. Protect from light and heat. Do not freeze. Retain in carton until time of use. Manufactured by: HIKMA FARMACÊUTICA (PORTUGAL), S.A. Estrada do Rio da Mó, 8, 8A e 8B – Fervença – 2705-906 Terrugem SNT, PORTUGAL   Distributed by: WEST-WARD PHARMACEUTICAL CORP. Eatontown, NJ 07724 USA   Revised: 10/2015 PIN155-WES/11


Medication Information

Contraindications

Hypersensitivity to metoprolol and related derivatives, or to any of the excipients; hypersensitivity to other beta blockers (cross sensitivity between beta blockers can occur).

Adverse Reactions

A variety of adverse reactions not listed above have been reported with other beta-adrenergic blocking agents and should be considered potential adverse reactions to metoprolol. Central Nervous System: Reversible mental depression progressing to catatonia; an acute reversible syndrome characterized by disorientation for time and place, short-term memory loss, emotional lability, slightly clouded sensorium, and decreased performance on neuropsychometrics. Cardiovascular: Intensification of AV block (see CONTRAINDICATIONS ). Hematologic: Agranulocytosis, nonthrombocytopenic purpura and thrombocytopenic purpura. Hypersensitive Reactions: Fever combined with aching and sore throat, laryngospasm and respiratory distress.

Drug Interactions

Catecholamine-depleting drugs: Catecholamine-depleting drugs (e.g., reserpine) may have an additive effect when given with beta-blocking agents or monoamine oxidase (MAO) inhibitors. Observe patients treated with metoprolol plus a catecholamine depletor for evidence of hypotension or marked bradycardia, which may produce vertigo, syncope, or postural hypotension. In addition, possibly significant hypertension may theoretically occur up to 14 days following discontinuation of the concomitant administration with an irreversible MAO inhibitor.

Digitalis glycosides and beta blockers: Both digitalis glycosides and beta blockers slow atrioventricular conduction and decrease heart rate. Concomitant use can increase the risk of bradycardia. Monitor heart rate and PR interval.

Calcium channel blockers: Concomitant administration of a beta-adrenergic antagonist with a calcium channel blocker may produce an additive reduction in myocardial contractility because of negative chronotropic and inotropic effects.

General Anesthetics: Some inhalation anesthetics may enhance the cardiodepressant effect of beta blockers (see WARNINGS, Major Surgery ).

CYP2D6 Inhibitors: Potent inhibitors of the CYP2D6 enzyme may increase the plasma concentration of metoprolol which would mimic the pharmacokinetics of CYP2D6 poor metabolizer (see  Pharmacokinetics  section). Increase in plasma concentrations of metoprolol would decrease the cardioselectivity of metoprolol. Known clinically significant potent inhibitors of CYP2D6 are antidepressants such as fluvoxamine, fluoxetine, paroxetine, sertraline,bupropion, clomipramine, and desipramine; antipsychotics such as chlorpromazine, fluphenazine, haloperidol, and thioridazine; antiarrhythmics such as quinidine or propafenone; antiretrovirals such as ritonavir; antihistamines such as diphenhydramine; antimalarials such as hydroxychloroquine or quinidine; antifungals such as terbinafine.

Hydralazine: Concomitant administration of hydralazine may inhibit presystemic metabolism of metoprolol leading to increased concentrations of metoprolol.

Alpha-adrenergic agents: Antihypertensive effect of alpha-adrenergic blockers such as guanethidine, betanidine, reserpine, alpha-methyldopa or clonidine may be potentiated by beta-blockers including metoprolol. Beta- adrenergic blockers may also potentiate the postural hypotensive effect of the first dose of prazosin, probably by preventing reflex tachycardia. On the contrary, beta adrenergic blockers may also potentiate the hypertensive response to withdrawal of clonidine in patients receiving concomitant clonidine and beta-adrenergic blocker. If a patient is treated with clonidine and metoprolol concurrently, and clonidine treatment is to be discontinued, stop metoprolol several days before clonidine is withdrawn. Rebound hypertension that can follow withdrawal of clonidine may be increased in patients receiving concurrent beta-blocker treatment.

Ergot alkaloid: Concomitant administration with beta-blockers may enhance the vasoconstrictive action of ergot alkaloids.

Dipyridamole: In general, administration of a beta-blocker should be withheld before dipyridamole testing, with careful monitoring of heart rate following the dipyridamole injection.

How Supplied

Metoprolol Tartrate Injection, USP is a clear and colorless solution available as:

5 mL Single Dose Vials - each containing 5 mg Metoprolol Tartrate, USP.

Cartons of 10 vials        NDC 0143-9873-10

Cartons of 25 vials        NDC 0143-9873-25       

Also available in Oversized vials (10 mL) with large mouth (20 mm).

Carton of 10 vials          NDC 0143-9660-10

Carton of 25 vials          NDC 0143-9660-25                 

Store at 20º to 25ºC (68º to 77ºF) [See USP Controlled Room Temperature].

Protect from light and heat. Do not freeze.

Retain in carton until time of use.

Manufactured by: HIKMA FARMACÊUTICA (PORTUGAL), S.A.

Estrada do Rio da Mó, 8, 8A e 8B – Fervença – 2705-906 Terrugem SNT, PORTUGAL

  Distributed by: WEST-WARD PHARMACEUTICAL CORP.

Eatontown, NJ 07724 USA

 

Revised: 10/2015

PIN155-WES/11

Description

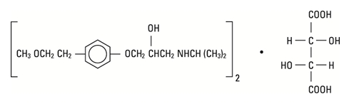
Metoprolol Tartrate Injection, USP, is a selective beta  1-adrenoreceptor blocking agent, available in 5 mL single dose vials for intravenous administration. Each vial contains a sterile solution of Metoprolol Tartrate, USP, 5 mg, Sodium Chloride, USP, 45 mg, and Water for Injection, USP. Metoprolol Tartrate, USP is (±)-1-(Isopropylamino)-3-[ p-(2-methoxyethyl)phenoxy]-2-propanol L-(+)-tartrate (2:1) salt, and its structural formula is:

 

Molecular Formula: (C 15H 25NO 3) 2•C 4H 6O 6

Metoprolol Tartrate, USP is a white, practically odorless, crystalline powder with a molecular weight of 684.82. It is very soluble in water; freely soluble in methylene chloride, in chloroform, and in alcohol; slightly soluble in acetone; and insoluble in ether.

Section 42229-5

Rx ONLY

Fertility

The effects of metoprolol on the fertility of human have not been studied.

Metoprolol showed effects on spermatogenesis in male rats at a therapeutic dose level, but had no effect on rates of conception at higher doses in animal fertility studies (see Carcinogenesis, Mutagenesis, Impairment of Fertility ).

Management

There is no specific antidote.

In general, patients with acute or recent myocardial infarction may be more hemodynamically unstable than other patients and should be treated accordingly (see WARNINGS ).

On the basis of the pharmacologic actions of metoprolol, the following general measures should be employed:

Elimination of the Drug: Gastric lavage should be performed.

Other clinical manifestations of overdose should be managed symptomatically based on modern methods of intensive care.

Hypotension: Administer a vasopressor, e.g., levarterenol or dopamine.

Bronchospasm: Administer a beta 2-stimulating agent and/or a theophylline derivative.

Cardiac Failure: Administer digitalis glycoside and diuretic. In shock resulting from inadequate

cardiac contractility, consider administration of dobutamine, isoproterenol or glucagon.

Bradycardia

Bradycardia, including sinus pause, heart block, and cardiac arrest have occurred with the use of metoprolol. Patients with first-degree atrioventricular block, sinus node dysfunction, or conduction disorders may be at increased risk. Monitor heart rate and rhythm in patients receiving metoprolol. If severe bradycardia develops, reduce or stop metoprolol.

Hypertension

The mechanism of the antihypertensive effects of beta-blocking agents has not been fully elucidated. However, several possible mechanisms have been proposed: (1) competitive antagonism of catecholamines at peripheral (especially cardiac) adrenergic neuron sites, leading to decreased cardiac output; (2) a central effect leading to reduced sympathetic outflow to the periphery; and (3) suppression of renin activity.

Geriatric Use

In worldwide clinical trials of metoprolol in myocardial infarction, where approximately 478 patients were over 65 years of age (0 over 75 years of age), no age‑related differences in safety and effectiveness were found. Other reported clinical experience in myocardial infarction has not identified differences in response between the elderly and younger patients. However, greater sensitivity of some elderly individuals taking metoprolol cannot be categorically ruled out. Therefore, in general, it is recommended that dosing proceed with caution in this population.

Heart Failure

Beta blockers, like metoprolol, can cause depression of myocardial contractility and may precipitate heart failure and cardiogenic shock. If signs or symptoms of heart failure develop, treat the patient according to recommended guidelines. It may be necessary to lower the dose of metoprolol or to discontinue it.

Pediatric Use

Safety and effectiveness in pediatric patients have not been established.

Acute Toxicity

Several cases of overdosage have been reported, some leading to death.

Oral LD 50s (mg/kg): mice, 1158 - 2460; rats, 3090 - 4670.

Thyrotoxicosis

Metoprolol may mask certain clinical signs (e.g., tachycardia) of hyperthyroidism. Avoid abrupt withdrawal of beta blockade, which might precipitate a thyroid storm.

Angina Pectoris

By blocking catecholamine-induced increases in heart rate, in velocity and extent of myocardial contraction, and in blood pressure, metoprolol reduces the oxygen requirements of the heart at any given level of effort, thus making it useful in the long-term management of angina pectoris.

Nursing Mothers

Metoprolol is excreted in breast milk in a very small quantity. An infant consuming 1 liter of breast milk daily would receive a dose of less than 1 mg of the drug.

Pharmacodynamics

Relative beta 1 selectivity is demonstrated by the following: (1) In healthy subjects, metoprolol is unable to reverse the beta  2-mediated vasodilating effects of epinephrine. This contrasts with the effect of nonselective (beta 1 plus beta 2) beta blockers, which completely reverse the vasodilating effects of epinephrine. (2) In asthmatic patients, metoprolol reduces FEV 1 and FVC significantly less than a nonselective beta blocker, propranolol, at equivalent beta  1-receptor blocking doses.

Metoprolol has no intrinsic sympathomimetic activity, and membrane-stabilizing activity is detectable only at doses much greater than required for beta blockade. Animal and human experiments indicate that metoprolol slows the sinus rate and decreases AV nodal conduction.

When the drug was infused over a 10-minute period, in normal volunteers, maximum beta blockade was achieved at approximately 20 minutes. Equivalent maximal beta-blocking effect is achieved with oral and intravenous doses in the ratio of approximately 2.5:1. There is a linear relationship between the log of plasma levels and reduction of exercise heart rate.

In several studies of patients with acute myocardial infarction, intravenous followed by oral administration of metoprolol caused a reduction in heart rate, systolic blood pressure and cardiac output. Stroke volume, diastolic blood pressure and pulmonary artery end diastolic pressure remained unchanged.

Pharmacokinetics

Absorption: The estimated oral bioavailability of immediate release metoprolol is about 50% because of pre-systemic metabolism which is saturable leading to non-proportionate increase in the exposure with increased dose.

Distribution: Metoprolol is extensively distributed with a reported volume of distribution of 3.2 to 5.6 L/kg. About 10% of metoprolol in plasma is bound to serum albumin. Metoprolol is known to cross the placenta and is found in breast milk. Metoprolol is also known to cross the blood brain barrier following oral administration and CSF concentrations close to that observed in plasma have been reported. Metoprolol is not a significant P-glycoprotein substrate

Metabolism: Metoprolol is primarily metabolized by CYP2D6. Metoprolol is a racemic mixture of R- and S- enantiomers, and when administered orally, it exhibits stereo selective metabolism that is dependent on oxidation phenotype. CYP2D6 is absent (poor metabolizers) in about 8% of Caucasians and about 2% of most other populations. Poor CYP2D6 metabolizers exhibit severalfold higher plasma concentrations of metoprolol than extensive metabolizers with normal CYP2D6 activity thereby decreasing metoprolol’s cardioselectivity.

Elimination: Elimination of metoprolol is mainly by biotransformation in the liver. The mean elimination half-life of metoprolol is 3 to 4 hours; in poor CYP2D6 metabolizers the half-life may be 7 to 9 hours. Approximately 95% of the dose can be recovered in urine. In most subjects (extensive metabolizers), less than 10% of an intravenous dose are excreted as unchanged drug in the urine. In poor metabolizers, up to 30% or 40% of oral or intravenous doses, respectively, may be excreted unchanged; the rest is excreted by the kidneys as metabolites that appear to have no beta blocking activity. The renal clearance of the stereo-isomers does not exhibit stereo-selectivity in renal excretion.

Pheochromocytoma

If metoprolol is used in the setting of pheochromocytoma, it should be given in combination with an alpha blocker, and only after the alpha blocker has been initiated. Administration of beta blockers alone in the setting of pheochromocytoma has been associated with a paradoxical increase in blood pressure due to the attenuation of beta-mediated vasodilatation in skeletal muscle.

Signs and Symptoms

Potential signs and symptoms associated with overdosage with metoprolol are bradycardia, hypotension, bronchospasm, myocardial infarction, cardiac failure and death.

Mechanism of Action

Metoprolol is a beta 1-selective (cardioselective) adrenergic receptor blocker. This preferential effect is not absolute, however, and at higher plasma concentrations, metoprolol also inhibits beta  2-adrenoreceptors, chiefly located in the bronchial and vascular musculature.

Clinical pharmacology studies have demonstrated the beta-blocking activity of metoprolol, as shown by (1) reduction in heart rate and cardiac output at rest and upon exercise, (2) reduction of systolic blood pressure upon exercise, (3) inhibition of isoproterenol-induced tachycardia, and (4) reduction of reflex orthostatic tachycardia.

Serialization Image



Special Populations

Geriatric patients: The geriatric population may show slightly higher plasma concentrations of metoprolol as a combined result of a decreased metabolism of the drug in elderly population and a decreased hepatic blood flow. However, this increase is not clinically significant or therapeutically relevant.

Renal impairment : The systemic availability and half-life of metoprolol in patients with renal failure do not differ to a clinically significant degree from those in normal subjects. Consequently, no reduction in dosage is usually needed in patients with chronic renal failure.

Hepatic Impairment: Since the drug is primarily eliminated by hepatic metabolism, hepatic impairment may impact the pharmacokinetics of metoprolol. The elimination half-life of metoprolol is considerably prolonged, depending on severity (up to 7.2 h).

Pregnancy Category C

Upon confirming the diagnosis of pregnancy, women should immediately inform the doctor. Metoprolol has been shown to increase postimplantation loss and decrease neonatal survival in rats at doses up to 11 times the maximum daily human dose of 450 mg, when based on surface area. Distribution studies in mice confirm exposure of the fetus when metoprolol is administered to the pregnant animal. These limited animal studies do not indicate direct or indirect harmful effects with respect to teratogenicity (see Carcinogenesis, Mutagenesis, Impairment of Fertility ).

There are no adequate and well-controlled studies in pregnant women. The amount of data on the use of metoprolol in pregnant women is limited. The risk to the fetus/mother is unknown. Because animal reproduction studies are not always predictive of human response, this drug should be used during pregnancy only if clearly needed.

Myocardial Infarction

The precise mechanism of action of metoprolol in patients with suspected or definite myocardial infarction is not known.

Ischemic Heart Disease

Do not abruptly discontinue metoprolol therapy in patients with coronary artery disease. Severe exacerbation of angina, myocardial infarction and ventricular arrhythmias have been reported in patients with coronary artery disease following the abrupt discontinuation of therapy with beta-blockers. When discontinuing chronically administered metoprolol, particularly in patients with coronary artery disease, the dosage should be gradually reduced over a period of 1-2 weeks and the patient should be carefully monitored. If angina markedly worsens or acute coronary insufficiency develops, metoprolol administration should be reinstated promptly, at least temporarily, and other measures appropriate for the management of unstable angina should be taken. Patients should be warned against interruption or discontinuation of therapy without the physician’s advice. Because coronary artery disease is common and may be unrecognized, it may be prudent not to discontinue metoprolol therapy abruptly even in patients treated only for hypertension.

Hypertension and Angina

These adverse reactions were reported for treatment with oral metoprolol. Most adverse effects have been mild and transient.

Central Nervous System: Tiredness and dizziness have occurred in about 10 of 100 patients. Depression has been reported in about 5 of 100 patients. Mental confusion and short-term memory loss have been reported. Headache, nightmares, and insomnia have also been reported.

Cardiovascular: Shortness of breath and bradycardia have occurred in approximately 3 of 100 patients. Cold extremities; arterial insufficiency, usually of the Raynaud type; palpitations; congestive heart failure; peripheral edema; and hypotension have been reported in about 1 of 100 patients. Gangrene in patients with pre-existing severe peripheral circulatory disorders has also been reported very rarely. (See CONTRAINDICATIONS , WARNINGS , and PRECAUTIONS .)

Respiratory: Wheezing (bronchospasm) and dyspnea have been reported in about 1 of 100 patients (see WARNINGS ). Rhinitis has also been reported.

Gastrointestinal: Diarrhea has occurred in about 5 of 100 patients. Nausea, dry mouth, gastric pain, constipation, flatulence, and heartburn have been reported in about 1 of 100 patients. Vomiting was a common occurrence. Post-marketing experience reveals very rare reports of hepatitis, jaundice and non-specific hepatic dysfunction. Isolated cases of transaminase, alkaline phosphatase, and lactic dehydrogenase elevations have also been reported.

Hypersensitive Reactions: Pruritus or rash have occurred in about 5 of 100 patients. Very rarely, photosensitivity and worsening of psoriasis has been reported.

Miscellaneous: Peyronie’s disease has been reported in fewer than 1 of 100,000 patients. Musculoskeletal pain, blurred vision, and tinnitus have also been reported.

There have been rare reports of reversible alopecia, agranulocytosis, and dry eyes. Discontinuation of the drug should be considered if any such reaction is not otherwise explicable. There have been very rare reports of weight gain, arthritis, and retroperitoneal fibrosis (relationship to metoprolol has not been definitely established).

The oculomucocutaneous syndrome associated with the beta blocker practolol has not been reported with metoprolol.

Information for Patients

Advise patients (1) to avoid operating automobiles and machinery or engaging in other tasks requiring alertness until the patient’s response to therapy with metoprolol has been determined; (2) to contact the physician if any difficulty in breathing occurs; (3) to inform the physician or dentist before any type of surgery that he or she is taking metoprolol.

Use During Major Surgery

Chronically administered beta-blocking therapy should not be routinely withdrawn prior to major surgery; however, the impaired ability of the heart to respond to reflex adrenergic stimuli may augment the risks of general anesthesia and surgical procedures.

Diabetes and Hypoglycemia

Beta blockers may mask tachycardia occurring with hypoglycemia, but other manifestations such as dizziness and sweating may not be significantly affected.

Method of Administration:

Parenteral administration of metoprolol should be done in a setting with intensive monitoring.

Note: Parenteral drug products should be inspected visually for particulate matter and discoloration prior to administration, whenever solution and container permit.

Post Marketing Experience

The following adverse reactions have been reported during post-approval use of metoprolol: confusional state, an increase in blood triglycerides and a decrease in High Density Lipoprotein (HDL). Because these reports are from a population of uncertain size and are subject to confounding factors, it is not possible to reliably estimate their frequency.

To report SUSPECTED ADVERSE REACTIONS, contact West-Ward Pharmaceutical Corp. at 1-877-233-2001 or FDA at 1-800-FDA-1088 or www.fda.gov/medwatch.

Potential Adverse Reactions

A variety of adverse reactions not listed above have been reported with other beta-adrenergic blocking agents and should be considered potential adverse reactions to metoprolol.

Central Nervous System: Reversible mental depression progressing to catatonia; an acute reversible syndrome characterized by disorientation for time and place, short-term memory loss, emotional lability, slightly clouded sensorium, and decreased performance on neuropsychometrics.

Cardiovascular: Intensification of AV block (see CONTRAINDICATIONS ).

Hematologic: Agranulocytosis, nonthrombocytopenic purpura and thrombocytopenic purpura.

Hypersensitive Reactions: Fever combined with aching and sore throat, laryngospasm and respiratory distress.

Risk of Anaphylactic Reactions

While taking beta blockers, patients with a history of severe anaphylactic reaction to a variety of allergens may be more reactive to repeated challenge, either accidental, diagnostic, or therapeutic. Such patients may be unresponsive to the usual doses of epinephrine used to treat allergic reaction.

Principal Display Panel Vial Label

METOPROLOL



TARTRATE INJECTION, USP



5 mg/5 mL



(1 mg/mL)




FOR IV USE ONLY



Rx ONLY




5 mL Single Dose Vial



Each 5 mL vial contains: 5 mg Metoprolol Tartrate, USP,



45 mg sodium chloride, Water for Injection, USP.



Store at 20º to 25ºC (68º to 77ºF) [See USP Controlled



Room Temperature].



USUAL DOSAGE: See package insert.



DISCARD UNUSED PORTION.



Protect from light. Do not freeze.

Exacerbation of Bronchospastic Disease

Patients with bronchospastic disease,should, in general, not receive beta blockers, including metoprolol. Because of its relative beta 1 selectivity, however, metoprolol may be used in patients with bronchospastic disease who do not respond to, or cannot tolerate, other antihypertensive treatment. Because beta 1 selectivity is not absolute use the lowest possible dose of metoprolol and consider administering metoprolol in smaller doses three times daily, instead of larger doses two times daily, to avoid the higher plasma levels associated with the longer dosing interval (see DOSAGE AND ADMINISTRATION ). Bronchodilators, including beta 2 agonists, should be readily available or administered concomitantly.

Principal Display Panel Outer Package

NDC 71872-7225-1

1 X 5 mL Single Dose Vial

5 mg/5 mL



(1 mg/mL)

METOPROLOL TARTRATE INJECTION, USP



FOR IV USE ONLY



Rx ONLY



Each 5 mL vial contains: 5 mg Metoprolol Tartrate, USP,



45 mg sodium chloride, Water for Injection, USP.



Store at 20º to 25ºC (68º to 77ºF) [See USP Controlled



Room Temperature].



USUAL DOSAGE: See package insert.



DISCARD UNUSED PORTION.

Carcinogenesis, Mutagenesis, Impairment of Fertility

Long-term studies in animals have been conducted to evaluate carcinogenic potential. In a 2-year study in rats at three oral dosage levels of up to 800 mg/kg per day, there was no increase in the development of spontaneously occurring benign or malignant neoplasms of any type. The only histologic changes that appeared to be drug related were an increased incidence of generally mild focal accumulation of foamy macrophages in pulmonary alveoli and a slight increase in biliary hyperplasia. In a 21-month study in Swiss albino mice at three oral dosage levels of up to 750 mg/kg per day, benign lung tumors (small adenomas) occurred more frequently in female mice receiving the highest dose than in untreated control animals. There was no increase in malignant or total (benign plus malignant) lung tumors, or in the overall incidence of tumors or malignant tumors. This 21-month study was repeated in CD-1 mice, and no statistically or biologically significant differences were observed between treated and control mice of either sex for any type of tumor.

All mutagenicity tests performed (a dominant lethal study in mice, chromosome studies in somatic cells, a Salmonella/mammalian-microsome mutagenicity test, and a nucleus anomaly test in somatic interphase nuclei) were negative.

Reproduction toxicity studies in mice, rats and rabbits did not indicate teratogenic potential for metoprolol tartrate. Embryotoxicity and/or fetotoxicity in rats and rabbits were noted starting at doses of 50 mg/kg in rats and 25 mg/kg in rabbits, as demonstrated by increases in preimplantation loss, decreases in the number of viable fetuses per dose, and/or decreases in neonatal survival. High doses were associated with some maternal toxicity, and growth delay of the offspring in utero, which was reflected in minimally lower weights at birth. The oral NOAELs for embryo-fetal development in mice, rats, and rabbits were considered to be 25, 200, and 12.5 mg/kg. This corresponds to dose levels that are approximately 0.3, 4, and 0.5 times, respectively, when based on surface area, the maximum human oral dose (8 mg/kg/day) of metoprolol tartrate. Metoprolol tartrate has been associated with reversible adverse effects on spermatogenesis starting at oral dose levels of 3.5 mg/kg in rats (a dose that is only 0.1-times the human dose, when based on surface area), although other studies have shown no effect of metoprolol tartrate on reproductive performance in male rats.


Structured Label Content

Section 42229-5 (42229-5)

Rx ONLY

Fertility

The effects of metoprolol on the fertility of human have not been studied.

Metoprolol showed effects on spermatogenesis in male rats at a therapeutic dose level, but had no effect on rates of conception at higher doses in animal fertility studies (see Carcinogenesis, Mutagenesis, Impairment of Fertility ).

Management

There is no specific antidote.

In general, patients with acute or recent myocardial infarction may be more hemodynamically unstable than other patients and should be treated accordingly (see WARNINGS ).

On the basis of the pharmacologic actions of metoprolol, the following general measures should be employed:

Elimination of the Drug: Gastric lavage should be performed.

Other clinical manifestations of overdose should be managed symptomatically based on modern methods of intensive care.

Hypotension: Administer a vasopressor, e.g., levarterenol or dopamine.

Bronchospasm: Administer a beta 2-stimulating agent and/or a theophylline derivative.

Cardiac Failure: Administer digitalis glycoside and diuretic. In shock resulting from inadequate

cardiac contractility, consider administration of dobutamine, isoproterenol or glucagon.

Bradycardia

Bradycardia, including sinus pause, heart block, and cardiac arrest have occurred with the use of metoprolol. Patients with first-degree atrioventricular block, sinus node dysfunction, or conduction disorders may be at increased risk. Monitor heart rate and rhythm in patients receiving metoprolol. If severe bradycardia develops, reduce or stop metoprolol.

Description (DESCRIPTION)

Metoprolol Tartrate Injection, USP, is a selective beta  1-adrenoreceptor blocking agent, available in 5 mL single dose vials for intravenous administration. Each vial contains a sterile solution of Metoprolol Tartrate, USP, 5 mg, Sodium Chloride, USP, 45 mg, and Water for Injection, USP. Metoprolol Tartrate, USP is (±)-1-(Isopropylamino)-3-[ p-(2-methoxyethyl)phenoxy]-2-propanol L-(+)-tartrate (2:1) salt, and its structural formula is:

 

Molecular Formula: (C 15H 25NO 3) 2•C 4H 6O 6

Metoprolol Tartrate, USP is a white, practically odorless, crystalline powder with a molecular weight of 684.82. It is very soluble in water; freely soluble in methylene chloride, in chloroform, and in alcohol; slightly soluble in acetone; and insoluble in ether.

How Supplied (HOW SUPPLIED)

Metoprolol Tartrate Injection, USP is a clear and colorless solution available as:

5 mL Single Dose Vials - each containing 5 mg Metoprolol Tartrate, USP.

Cartons of 10 vials        NDC 0143-9873-10

Cartons of 25 vials        NDC 0143-9873-25       

Also available in Oversized vials (10 mL) with large mouth (20 mm).

Carton of 10 vials          NDC 0143-9660-10

Carton of 25 vials          NDC 0143-9660-25                 

Store at 20º to 25ºC (68º to 77ºF) [See USP Controlled Room Temperature].

Protect from light and heat. Do not freeze.

Retain in carton until time of use.

Manufactured by: HIKMA FARMACÊUTICA (PORTUGAL), S.A.

Estrada do Rio da Mó, 8, 8A e 8B – Fervença – 2705-906 Terrugem SNT, PORTUGAL

  Distributed by: WEST-WARD PHARMACEUTICAL CORP.

Eatontown, NJ 07724 USA

 

Revised: 10/2015

PIN155-WES/11

Hypertension

The mechanism of the antihypertensive effects of beta-blocking agents has not been fully elucidated. However, several possible mechanisms have been proposed: (1) competitive antagonism of catecholamines at peripheral (especially cardiac) adrenergic neuron sites, leading to decreased cardiac output; (2) a central effect leading to reduced sympathetic outflow to the periphery; and (3) suppression of renin activity.

Geriatric Use

In worldwide clinical trials of metoprolol in myocardial infarction, where approximately 478 patients were over 65 years of age (0 over 75 years of age), no age‑related differences in safety and effectiveness were found. Other reported clinical experience in myocardial infarction has not identified differences in response between the elderly and younger patients. However, greater sensitivity of some elderly individuals taking metoprolol cannot be categorically ruled out. Therefore, in general, it is recommended that dosing proceed with caution in this population.

Heart Failure

Beta blockers, like metoprolol, can cause depression of myocardial contractility and may precipitate heart failure and cardiogenic shock. If signs or symptoms of heart failure develop, treat the patient according to recommended guidelines. It may be necessary to lower the dose of metoprolol or to discontinue it.

Pediatric Use

Safety and effectiveness in pediatric patients have not been established.

Acute Toxicity

Several cases of overdosage have been reported, some leading to death.

Oral LD 50s (mg/kg): mice, 1158 - 2460; rats, 3090 - 4670.

Thyrotoxicosis

Metoprolol may mask certain clinical signs (e.g., tachycardia) of hyperthyroidism. Avoid abrupt withdrawal of beta blockade, which might precipitate a thyroid storm.

Angina Pectoris

By blocking catecholamine-induced increases in heart rate, in velocity and extent of myocardial contraction, and in blood pressure, metoprolol reduces the oxygen requirements of the heart at any given level of effort, thus making it useful in the long-term management of angina pectoris.

Nursing Mothers

Metoprolol is excreted in breast milk in a very small quantity. An infant consuming 1 liter of breast milk daily would receive a dose of less than 1 mg of the drug.

Pharmacodynamics

Relative beta 1 selectivity is demonstrated by the following: (1) In healthy subjects, metoprolol is unable to reverse the beta  2-mediated vasodilating effects of epinephrine. This contrasts with the effect of nonselective (beta 1 plus beta 2) beta blockers, which completely reverse the vasodilating effects of epinephrine. (2) In asthmatic patients, metoprolol reduces FEV 1 and FVC significantly less than a nonselective beta blocker, propranolol, at equivalent beta  1-receptor blocking doses.

Metoprolol has no intrinsic sympathomimetic activity, and membrane-stabilizing activity is detectable only at doses much greater than required for beta blockade. Animal and human experiments indicate that metoprolol slows the sinus rate and decreases AV nodal conduction.

When the drug was infused over a 10-minute period, in normal volunteers, maximum beta blockade was achieved at approximately 20 minutes. Equivalent maximal beta-blocking effect is achieved with oral and intravenous doses in the ratio of approximately 2.5:1. There is a linear relationship between the log of plasma levels and reduction of exercise heart rate.

In several studies of patients with acute myocardial infarction, intravenous followed by oral administration of metoprolol caused a reduction in heart rate, systolic blood pressure and cardiac output. Stroke volume, diastolic blood pressure and pulmonary artery end diastolic pressure remained unchanged.

Pharmacokinetics

Absorption: The estimated oral bioavailability of immediate release metoprolol is about 50% because of pre-systemic metabolism which is saturable leading to non-proportionate increase in the exposure with increased dose.

Distribution: Metoprolol is extensively distributed with a reported volume of distribution of 3.2 to 5.6 L/kg. About 10% of metoprolol in plasma is bound to serum albumin. Metoprolol is known to cross the placenta and is found in breast milk. Metoprolol is also known to cross the blood brain barrier following oral administration and CSF concentrations close to that observed in plasma have been reported. Metoprolol is not a significant P-glycoprotein substrate

Metabolism: Metoprolol is primarily metabolized by CYP2D6. Metoprolol is a racemic mixture of R- and S- enantiomers, and when administered orally, it exhibits stereo selective metabolism that is dependent on oxidation phenotype. CYP2D6 is absent (poor metabolizers) in about 8% of Caucasians and about 2% of most other populations. Poor CYP2D6 metabolizers exhibit severalfold higher plasma concentrations of metoprolol than extensive metabolizers with normal CYP2D6 activity thereby decreasing metoprolol’s cardioselectivity.

Elimination: Elimination of metoprolol is mainly by biotransformation in the liver. The mean elimination half-life of metoprolol is 3 to 4 hours; in poor CYP2D6 metabolizers the half-life may be 7 to 9 hours. Approximately 95% of the dose can be recovered in urine. In most subjects (extensive metabolizers), less than 10% of an intravenous dose are excreted as unchanged drug in the urine. In poor metabolizers, up to 30% or 40% of oral or intravenous doses, respectively, may be excreted unchanged; the rest is excreted by the kidneys as metabolites that appear to have no beta blocking activity. The renal clearance of the stereo-isomers does not exhibit stereo-selectivity in renal excretion.

Pheochromocytoma

If metoprolol is used in the setting of pheochromocytoma, it should be given in combination with an alpha blocker, and only after the alpha blocker has been initiated. Administration of beta blockers alone in the setting of pheochromocytoma has been associated with a paradoxical increase in blood pressure due to the attenuation of beta-mediated vasodilatation in skeletal muscle.

Contraindications (CONTRAINDICATIONS)

Hypersensitivity to metoprolol and related derivatives, or to any of the excipients; hypersensitivity to other beta blockers (cross sensitivity between beta blockers can occur).

Drug Interactions

Catecholamine-depleting drugs: Catecholamine-depleting drugs (e.g., reserpine) may have an additive effect when given with beta-blocking agents or monoamine oxidase (MAO) inhibitors. Observe patients treated with metoprolol plus a catecholamine depletor for evidence of hypotension or marked bradycardia, which may produce vertigo, syncope, or postural hypotension. In addition, possibly significant hypertension may theoretically occur up to 14 days following discontinuation of the concomitant administration with an irreversible MAO inhibitor.

Digitalis glycosides and beta blockers: Both digitalis glycosides and beta blockers slow atrioventricular conduction and decrease heart rate. Concomitant use can increase the risk of bradycardia. Monitor heart rate and PR interval.

Calcium channel blockers: Concomitant administration of a beta-adrenergic antagonist with a calcium channel blocker may produce an additive reduction in myocardial contractility because of negative chronotropic and inotropic effects.

General Anesthetics: Some inhalation anesthetics may enhance the cardiodepressant effect of beta blockers (see WARNINGS, Major Surgery ).

CYP2D6 Inhibitors: Potent inhibitors of the CYP2D6 enzyme may increase the plasma concentration of metoprolol which would mimic the pharmacokinetics of CYP2D6 poor metabolizer (see  Pharmacokinetics  section). Increase in plasma concentrations of metoprolol would decrease the cardioselectivity of metoprolol. Known clinically significant potent inhibitors of CYP2D6 are antidepressants such as fluvoxamine, fluoxetine, paroxetine, sertraline,bupropion, clomipramine, and desipramine; antipsychotics such as chlorpromazine, fluphenazine, haloperidol, and thioridazine; antiarrhythmics such as quinidine or propafenone; antiretrovirals such as ritonavir; antihistamines such as diphenhydramine; antimalarials such as hydroxychloroquine or quinidine; antifungals such as terbinafine.

Hydralazine: Concomitant administration of hydralazine may inhibit presystemic metabolism of metoprolol leading to increased concentrations of metoprolol.

Alpha-adrenergic agents: Antihypertensive effect of alpha-adrenergic blockers such as guanethidine, betanidine, reserpine, alpha-methyldopa or clonidine may be potentiated by beta-blockers including metoprolol. Beta- adrenergic blockers may also potentiate the postural hypotensive effect of the first dose of prazosin, probably by preventing reflex tachycardia. On the contrary, beta adrenergic blockers may also potentiate the hypertensive response to withdrawal of clonidine in patients receiving concomitant clonidine and beta-adrenergic blocker. If a patient is treated with clonidine and metoprolol concurrently, and clonidine treatment is to be discontinued, stop metoprolol several days before clonidine is withdrawn. Rebound hypertension that can follow withdrawal of clonidine may be increased in patients receiving concurrent beta-blocker treatment.

Ergot alkaloid: Concomitant administration with beta-blockers may enhance the vasoconstrictive action of ergot alkaloids.

Dipyridamole: In general, administration of a beta-blocker should be withheld before dipyridamole testing, with careful monitoring of heart rate following the dipyridamole injection.

Signs and Symptoms

Potential signs and symptoms associated with overdosage with metoprolol are bradycardia, hypotension, bronchospasm, myocardial infarction, cardiac failure and death.

Mechanism of Action

Metoprolol is a beta 1-selective (cardioselective) adrenergic receptor blocker. This preferential effect is not absolute, however, and at higher plasma concentrations, metoprolol also inhibits beta  2-adrenoreceptors, chiefly located in the bronchial and vascular musculature.

Clinical pharmacology studies have demonstrated the beta-blocking activity of metoprolol, as shown by (1) reduction in heart rate and cardiac output at rest and upon exercise, (2) reduction of systolic blood pressure upon exercise, (3) inhibition of isoproterenol-induced tachycardia, and (4) reduction of reflex orthostatic tachycardia.

Serialization Image (SERIALIZATION IMAGE)



Special Populations (Special populations)

Geriatric patients: The geriatric population may show slightly higher plasma concentrations of metoprolol as a combined result of a decreased metabolism of the drug in elderly population and a decreased hepatic blood flow. However, this increase is not clinically significant or therapeutically relevant.

Renal impairment : The systemic availability and half-life of metoprolol in patients with renal failure do not differ to a clinically significant degree from those in normal subjects. Consequently, no reduction in dosage is usually needed in patients with chronic renal failure.

Hepatic Impairment: Since the drug is primarily eliminated by hepatic metabolism, hepatic impairment may impact the pharmacokinetics of metoprolol. The elimination half-life of metoprolol is considerably prolonged, depending on severity (up to 7.2 h).

Pregnancy Category C

Upon confirming the diagnosis of pregnancy, women should immediately inform the doctor. Metoprolol has been shown to increase postimplantation loss and decrease neonatal survival in rats at doses up to 11 times the maximum daily human dose of 450 mg, when based on surface area. Distribution studies in mice confirm exposure of the fetus when metoprolol is administered to the pregnant animal. These limited animal studies do not indicate direct or indirect harmful effects with respect to teratogenicity (see Carcinogenesis, Mutagenesis, Impairment of Fertility ).

There are no adequate and well-controlled studies in pregnant women. The amount of data on the use of metoprolol in pregnant women is limited. The risk to the fetus/mother is unknown. Because animal reproduction studies are not always predictive of human response, this drug should be used during pregnancy only if clearly needed.

Myocardial Infarction

The precise mechanism of action of metoprolol in patients with suspected or definite myocardial infarction is not known.

Ischemic Heart Disease

Do not abruptly discontinue metoprolol therapy in patients with coronary artery disease. Severe exacerbation of angina, myocardial infarction and ventricular arrhythmias have been reported in patients with coronary artery disease following the abrupt discontinuation of therapy with beta-blockers. When discontinuing chronically administered metoprolol, particularly in patients with coronary artery disease, the dosage should be gradually reduced over a period of 1-2 weeks and the patient should be carefully monitored. If angina markedly worsens or acute coronary insufficiency develops, metoprolol administration should be reinstated promptly, at least temporarily, and other measures appropriate for the management of unstable angina should be taken. Patients should be warned against interruption or discontinuation of therapy without the physician’s advice. Because coronary artery disease is common and may be unrecognized, it may be prudent not to discontinue metoprolol therapy abruptly even in patients treated only for hypertension.

Hypertension and Angina

These adverse reactions were reported for treatment with oral metoprolol. Most adverse effects have been mild and transient.

Central Nervous System: Tiredness and dizziness have occurred in about 10 of 100 patients. Depression has been reported in about 5 of 100 patients. Mental confusion and short-term memory loss have been reported. Headache, nightmares, and insomnia have also been reported.

Cardiovascular: Shortness of breath and bradycardia have occurred in approximately 3 of 100 patients. Cold extremities; arterial insufficiency, usually of the Raynaud type; palpitations; congestive heart failure; peripheral edema; and hypotension have been reported in about 1 of 100 patients. Gangrene in patients with pre-existing severe peripheral circulatory disorders has also been reported very rarely. (See CONTRAINDICATIONS , WARNINGS , and PRECAUTIONS .)

Respiratory: Wheezing (bronchospasm) and dyspnea have been reported in about 1 of 100 patients (see WARNINGS ). Rhinitis has also been reported.

Gastrointestinal: Diarrhea has occurred in about 5 of 100 patients. Nausea, dry mouth, gastric pain, constipation, flatulence, and heartburn have been reported in about 1 of 100 patients. Vomiting was a common occurrence. Post-marketing experience reveals very rare reports of hepatitis, jaundice and non-specific hepatic dysfunction. Isolated cases of transaminase, alkaline phosphatase, and lactic dehydrogenase elevations have also been reported.

Hypersensitive Reactions: Pruritus or rash have occurred in about 5 of 100 patients. Very rarely, photosensitivity and worsening of psoriasis has been reported.

Miscellaneous: Peyronie’s disease has been reported in fewer than 1 of 100,000 patients. Musculoskeletal pain, blurred vision, and tinnitus have also been reported.

There have been rare reports of reversible alopecia, agranulocytosis, and dry eyes. Discontinuation of the drug should be considered if any such reaction is not otherwise explicable. There have been very rare reports of weight gain, arthritis, and retroperitoneal fibrosis (relationship to metoprolol has not been definitely established).

The oculomucocutaneous syndrome associated with the beta blocker practolol has not been reported with metoprolol.

Information for Patients

Advise patients (1) to avoid operating automobiles and machinery or engaging in other tasks requiring alertness until the patient’s response to therapy with metoprolol has been determined; (2) to contact the physician if any difficulty in breathing occurs; (3) to inform the physician or dentist before any type of surgery that he or she is taking metoprolol.

Use During Major Surgery

Chronically administered beta-blocking therapy should not be routinely withdrawn prior to major surgery; however, the impaired ability of the heart to respond to reflex adrenergic stimuli may augment the risks of general anesthesia and surgical procedures.

Diabetes and Hypoglycemia

Beta blockers may mask tachycardia occurring with hypoglycemia, but other manifestations such as dizziness and sweating may not be significantly affected.

Method of Administration: (Method of administration:)

Parenteral administration of metoprolol should be done in a setting with intensive monitoring.

Note: Parenteral drug products should be inspected visually for particulate matter and discoloration prior to administration, whenever solution and container permit.

Post Marketing Experience (Post-Marketing Experience)

The following adverse reactions have been reported during post-approval use of metoprolol: confusional state, an increase in blood triglycerides and a decrease in High Density Lipoprotein (HDL). Because these reports are from a population of uncertain size and are subject to confounding factors, it is not possible to reliably estimate their frequency.

To report SUSPECTED ADVERSE REACTIONS, contact West-Ward Pharmaceutical Corp. at 1-877-233-2001 or FDA at 1-800-FDA-1088 or www.fda.gov/medwatch.

Potential Adverse Reactions

A variety of adverse reactions not listed above have been reported with other beta-adrenergic blocking agents and should be considered potential adverse reactions to metoprolol.

Central Nervous System: Reversible mental depression progressing to catatonia; an acute reversible syndrome characterized by disorientation for time and place, short-term memory loss, emotional lability, slightly clouded sensorium, and decreased performance on neuropsychometrics.

Cardiovascular: Intensification of AV block (see CONTRAINDICATIONS ).

Hematologic: Agranulocytosis, nonthrombocytopenic purpura and thrombocytopenic purpura.

Hypersensitive Reactions: Fever combined with aching and sore throat, laryngospasm and respiratory distress.

Risk of Anaphylactic Reactions

While taking beta blockers, patients with a history of severe anaphylactic reaction to a variety of allergens may be more reactive to repeated challenge, either accidental, diagnostic, or therapeutic. Such patients may be unresponsive to the usual doses of epinephrine used to treat allergic reaction.

Principal Display Panel Vial Label (PRINCIPAL DISPLAY PANEL - VIAL LABEL)

METOPROLOL



TARTRATE INJECTION, USP



5 mg/5 mL



(1 mg/mL)




FOR IV USE ONLY



Rx ONLY




5 mL Single Dose Vial



Each 5 mL vial contains: 5 mg Metoprolol Tartrate, USP,



45 mg sodium chloride, Water for Injection, USP.



Store at 20º to 25ºC (68º to 77ºF) [See USP Controlled



Room Temperature].



USUAL DOSAGE: See package insert.



DISCARD UNUSED PORTION.



Protect from light. Do not freeze.

Exacerbation of Bronchospastic Disease

Patients with bronchospastic disease,should, in general, not receive beta blockers, including metoprolol. Because of its relative beta 1 selectivity, however, metoprolol may be used in patients with bronchospastic disease who do not respond to, or cannot tolerate, other antihypertensive treatment. Because beta 1 selectivity is not absolute use the lowest possible dose of metoprolol and consider administering metoprolol in smaller doses three times daily, instead of larger doses two times daily, to avoid the higher plasma levels associated with the longer dosing interval (see DOSAGE AND ADMINISTRATION ). Bronchodilators, including beta 2 agonists, should be readily available or administered concomitantly.

Principal Display Panel Outer Package (PRINCIPAL DISPLAY PANEL - OUTER PACKAGE)

NDC 71872-7225-1

1 X 5 mL Single Dose Vial

5 mg/5 mL



(1 mg/mL)

METOPROLOL TARTRATE INJECTION, USP



FOR IV USE ONLY



Rx ONLY



Each 5 mL vial contains: 5 mg Metoprolol Tartrate, USP,



45 mg sodium chloride, Water for Injection, USP.



Store at 20º to 25ºC (68º to 77ºF) [See USP Controlled



Room Temperature].



USUAL DOSAGE: See package insert.



DISCARD UNUSED PORTION.

Carcinogenesis, Mutagenesis, Impairment of Fertility

Long-term studies in animals have been conducted to evaluate carcinogenic potential. In a 2-year study in rats at three oral dosage levels of up to 800 mg/kg per day, there was no increase in the development of spontaneously occurring benign or malignant neoplasms of any type. The only histologic changes that appeared to be drug related were an increased incidence of generally mild focal accumulation of foamy macrophages in pulmonary alveoli and a slight increase in biliary hyperplasia. In a 21-month study in Swiss albino mice at three oral dosage levels of up to 750 mg/kg per day, benign lung tumors (small adenomas) occurred more frequently in female mice receiving the highest dose than in untreated control animals. There was no increase in malignant or total (benign plus malignant) lung tumors, or in the overall incidence of tumors or malignant tumors. This 21-month study was repeated in CD-1 mice, and no statistically or biologically significant differences were observed between treated and control mice of either sex for any type of tumor.

All mutagenicity tests performed (a dominant lethal study in mice, chromosome studies in somatic cells, a Salmonella/mammalian-microsome mutagenicity test, and a nucleus anomaly test in somatic interphase nuclei) were negative.

Reproduction toxicity studies in mice, rats and rabbits did not indicate teratogenic potential for metoprolol tartrate. Embryotoxicity and/or fetotoxicity in rats and rabbits were noted starting at doses of 50 mg/kg in rats and 25 mg/kg in rabbits, as demonstrated by increases in preimplantation loss, decreases in the number of viable fetuses per dose, and/or decreases in neonatal survival. High doses were associated with some maternal toxicity, and growth delay of the offspring in utero, which was reflected in minimally lower weights at birth. The oral NOAELs for embryo-fetal development in mice, rats, and rabbits were considered to be 25, 200, and 12.5 mg/kg. This corresponds to dose levels that are approximately 0.3, 4, and 0.5 times, respectively, when based on surface area, the maximum human oral dose (8 mg/kg/day) of metoprolol tartrate. Metoprolol tartrate has been associated with reversible adverse effects on spermatogenesis starting at oral dose levels of 3.5 mg/kg in rats (a dose that is only 0.1-times the human dose, when based on surface area), although other studies have shown no effect of metoprolol tartrate on reproductive performance in male rats.


Advanced Ingredient Data


Raw Label Data

All Sections (JSON)