Brimonidine Tartrate And Timolol Maleate Ophthalmic Solution

these highlights do not include all the information needed to use brimonidine tartrate and timolol maleate ophthalmic solution safely and effectively. see full prescribing information for brimonidine tartrate and timolol maleate ophthalmic solution.
SPL v5
SPL
SPL Set ID b54e5bee-2329-4cc2-bed1-8eef11ee488c
Route
ophthalmic
Published
Effective Date 2022-12-31
Document Type 34391-3 HUMAN PRESCRIPTION DRUG LABEL

Drug Facts

Composition & Product

Active Ingredients
brimonidine (2 mg) timolol anhydrous (5 mg)
Inactive Ingredients
benzalkonium chloride sodium phosphate, monobasic, monohydrate sodium phosphate, dibasic, heptahydrate water hydrochloric acid sodium hydroxide

Identifiers & Packaging

Marketing Status
anda active Since 2022-12-15

Indications and Usage

Brimonidine tartrate/timolol maleate ophthalmic solution 0.2%/0.5% is an alpha-adrenergic receptor agonist with a beta-adrenergic receptor inhibitor indicated for the reduction of elevated intraocular pressure (IOP) in patients with glaucoma or ocular hypertension who require adjunctive or replacement therapy due to inadequately controlled IOP; the IOP-lowering of brimonidine tartrate/timolol maleate ophthalmic solution dosed twice a day was slightly less than that seen with the concomitant administration of 0.5% timolol maleate ophthalmic solution dosed twice a day and 0.2% brimonidine tartrate ophthalmic solution dosed three times per day.

Dosage and Administration

The recommended dose is one drop of brimonidine tartrate/timolol maleate ophthalmic solution in the affected eye(s) twice daily approximately 12 hours apart. If more than one topical ophthalmic product is to be used, the different products should be instilled at least 5 minutes apart.

Contraindications

Bronchial asthma, a history of bronchial asthma, severe chronic obstructive pulmonary disease. ( 4.1 , 5.1 , 5.3 ) Sinus bradycardia, atrioventricular block, overt cardiac failure, cardiogenic shock. ( 4.2 , 5.2 ) Neonates and infants (under the age of 2 years). ( 4.3 ) Hypersensitivity to any component of this product. ( 4.4 )

Warnings and Precautions

Potential for Severe Respiratory or Cardiac Reactions ( 5.1 ) Cardiac Failure ( 5.2 ) Obstructive Pulmonary Disease ( 5.3 ) Potentiation of Vascular Insufficiency ( 5.4 ) Increased Reactivity to Allergens ( 5.5 ) Potentiation of Muscle Weakness ( 5.6 ) Masking of Hypoglycemic Symptoms in Patients with Diabetes Mellitus ( 5.7 ) Masking of Thyrotoxicosis ( 5.8 ) Ocular Hypersensitivity ( 5.9 )

Adverse Reactions

Most common adverse reactions occurring in approximately 5% to 15% of patients included allergic conjunctivitis, conjunctival folliculosis, conjunctival hyperemia, eye pruritus, ocular burning, and stinging. ( 6.1 ) To report SUSPECTED ADVERSE REACTIONS, contact Upsher-Smith Laboratories, LLC at 1-855-899-9180 or the FDA at 1-800-FDA-1088 or www.fda.gov/medwatch.

Drug Interactions

Antihypertensives/cardiac glycosides may lower blood pressure. ( 7.1 ) Concomitant use with systemic beta-blockers may potentiate systemic beta-blockade. ( 7.2 ) Oral or intravenous calcium antagonists may cause atrioventricular conduction disturbances, left ventricular failure, and hypotension. ( 7.3 ) Catecholamine-depleting drugs may have additive effects and produce hypotension and/or marked bradycardia. ( 7.4 ) Use with CNS depressants may result in an additive or potentiating effect. ( 7.5 ) Digitalis and calcium antagonists may have additive effects in prolonging atrioventricular conduction time. ( 7.6 ) CYP2D6 inhibitors may potentiate systemic beta-blockade. ( 7.7 ) Tricyclic antidepressants may potentially blunt the hypotensive effect of systemic clonidine. ( 7.8 ) Monoamine oxidase inhibitors may result in increased hypotension. ( 7.9 )

How Supplied

Brimonidine tartrate/timolol maleate ophthalmic solution is supplied sterile, in white opaque plastic LDPE bottles and white LDPE dropper, with dark blue HDPE cap. They are supplied as follows: 5 mL in 10 mL bottle NDC 0832-1425-05 10 mL in 10 mL bottle NDC 0832-1425-10 15 mL in 15 mL bottle NDC 0832-1425-15

Storage and Handling

Brimonidine tartrate/timolol maleate ophthalmic solution is supplied sterile, in white opaque plastic LDPE bottles and white LDPE dropper, with dark blue HDPE cap. They are supplied as follows: 5 mL in 10 mL bottle NDC 0832-1425-05 10 mL in 10 mL bottle NDC 0832-1425-10 15 mL in 15 mL bottle NDC 0832-1425-15

Description

Brimonidine tartrate/timolol maleate ophthalmic solution 0.2%/0.5% is an alpha-adrenergic receptor agonist with a beta-adrenergic receptor inhibitor indicated for the reduction of elevated intraocular pressure (IOP) in patients with glaucoma or ocular hypertension who require adjunctive or replacement therapy due to inadequately controlled IOP; the IOP-lowering of brimonidine tartrate/timolol maleate ophthalmic solution dosed twice a day was slightly less than that seen with the concomitant administration of 0.5% timolol maleate ophthalmic solution dosed twice a day and 0.2% brimonidine tartrate ophthalmic solution dosed three times per day.


Medication Information

Warnings and Precautions

Potential for Severe Respiratory or Cardiac Reactions ( 5.1 ) Cardiac Failure ( 5.2 ) Obstructive Pulmonary Disease ( 5.3 ) Potentiation of Vascular Insufficiency ( 5.4 ) Increased Reactivity to Allergens ( 5.5 ) Potentiation of Muscle Weakness ( 5.6 ) Masking of Hypoglycemic Symptoms in Patients with Diabetes Mellitus ( 5.7 ) Masking of Thyrotoxicosis ( 5.8 ) Ocular Hypersensitivity ( 5.9 )

Indications and Usage

Brimonidine tartrate/timolol maleate ophthalmic solution 0.2%/0.5% is an alpha-adrenergic receptor agonist with a beta-adrenergic receptor inhibitor indicated for the reduction of elevated intraocular pressure (IOP) in patients with glaucoma or ocular hypertension who require adjunctive or replacement therapy due to inadequately controlled IOP; the IOP-lowering of brimonidine tartrate/timolol maleate ophthalmic solution dosed twice a day was slightly less than that seen with the concomitant administration of 0.5% timolol maleate ophthalmic solution dosed twice a day and 0.2% brimonidine tartrate ophthalmic solution dosed three times per day.

Dosage and Administration

The recommended dose is one drop of brimonidine tartrate/timolol maleate ophthalmic solution in the affected eye(s) twice daily approximately 12 hours apart. If more than one topical ophthalmic product is to be used, the different products should be instilled at least 5 minutes apart.

Contraindications

Bronchial asthma, a history of bronchial asthma, severe chronic obstructive pulmonary disease. ( 4.1 , 5.1 , 5.3 ) Sinus bradycardia, atrioventricular block, overt cardiac failure, cardiogenic shock. ( 4.2 , 5.2 ) Neonates and infants (under the age of 2 years). ( 4.3 ) Hypersensitivity to any component of this product. ( 4.4 )

Adverse Reactions

Most common adverse reactions occurring in approximately 5% to 15% of patients included allergic conjunctivitis, conjunctival folliculosis, conjunctival hyperemia, eye pruritus, ocular burning, and stinging. ( 6.1 ) To report SUSPECTED ADVERSE REACTIONS, contact Upsher-Smith Laboratories, LLC at 1-855-899-9180 or the FDA at 1-800-FDA-1088 or www.fda.gov/medwatch.

Drug Interactions

Antihypertensives/cardiac glycosides may lower blood pressure. ( 7.1 ) Concomitant use with systemic beta-blockers may potentiate systemic beta-blockade. ( 7.2 ) Oral or intravenous calcium antagonists may cause atrioventricular conduction disturbances, left ventricular failure, and hypotension. ( 7.3 ) Catecholamine-depleting drugs may have additive effects and produce hypotension and/or marked bradycardia. ( 7.4 ) Use with CNS depressants may result in an additive or potentiating effect. ( 7.5 ) Digitalis and calcium antagonists may have additive effects in prolonging atrioventricular conduction time. ( 7.6 ) CYP2D6 inhibitors may potentiate systemic beta-blockade. ( 7.7 ) Tricyclic antidepressants may potentially blunt the hypotensive effect of systemic clonidine. ( 7.8 ) Monoamine oxidase inhibitors may result in increased hypotension. ( 7.9 )

Storage and Handling

Brimonidine tartrate/timolol maleate ophthalmic solution is supplied sterile, in white opaque plastic LDPE bottles and white LDPE dropper, with dark blue HDPE cap. They are supplied as follows: 5 mL in 10 mL bottle NDC 0832-1425-05 10 mL in 10 mL bottle NDC 0832-1425-10 15 mL in 15 mL bottle NDC 0832-1425-15

How Supplied

Brimonidine tartrate/timolol maleate ophthalmic solution is supplied sterile, in white opaque plastic LDPE bottles and white LDPE dropper, with dark blue HDPE cap. They are supplied as follows: 5 mL in 10 mL bottle NDC 0832-1425-05 10 mL in 10 mL bottle NDC 0832-1425-10 15 mL in 15 mL bottle NDC 0832-1425-15

Description

Brimonidine tartrate/timolol maleate ophthalmic solution 0.2%/0.5% is an alpha-adrenergic receptor agonist with a beta-adrenergic receptor inhibitor indicated for the reduction of elevated intraocular pressure (IOP) in patients with glaucoma or ocular hypertension who require adjunctive or replacement therapy due to inadequately controlled IOP; the IOP-lowering of brimonidine tartrate/timolol maleate ophthalmic solution dosed twice a day was slightly less than that seen with the concomitant administration of 0.5% timolol maleate ophthalmic solution dosed twice a day and 0.2% brimonidine tartrate ophthalmic solution dosed three times per day.

Section 42229-5

Brimonidine Tartrate/Timolol Maleate Ophthalmic Solution

In clinical trials of 12 months duration with brimonidine tartrate/timolol maleate ophthalmic solution, the most frequent reactions associated with its use occurring in approximately 5% to 15% of the patients included: allergic conjunctivitis, conjunctival folliculosis, conjunctival hyperemia, eye pruritus, ocular burning, and stinging. The following adverse reactions were reported in 1% to 5% of patients: asthenia, blepharitis, corneal erosion, depression, epiphora, eye discharge, eye dryness, eye irritation, eye pain, eyelid edema, eyelid erythema, eyelid pruritus, foreign body sensation, headache, hypertension, oral dryness, somnolence, superficial punctate keratitis, and visual disturbance.

Other adverse reactions that have been reported with the individual components are listed below.

Section 44425-7

Storage: Store at 15°C to 25°C (59°F to 77°F). Protect from light.

10 Overdosage

There have been reports of inadvertent overdosage with timolol ophthalmic solution resulting in systemic effects similar to those seen with systemic beta-adrenergic blocking agents such as dizziness, headache, shortness of breath, bradycardia, bronchospasm, and cardiac arrest. With the exception of hypotension, very limited information exists on accidental ingestion of brimonidine in adults. Symptoms of brimonidine overdose have been reported in neonates, infants, and children receiving brimonidine ophthalmic solutions as part of medical treatment of congenital glaucoma or by accidental oral ingestion [see Use in Specific Populations (8.4)] . Treatment of an oral overdose includes supportive and symptomatic therapy; a patent airway should be maintained.

8.1 Pregnancy

Teratogenicity studies have been performed in animals. Brimonidine tartrate was not teratogenic when given orally during gestation days 6 through 15 in rats and days 6 through 18 in rabbits. The highest doses of brimonidine tartrate in rats (2.5 mg/kg/day) and rabbits (5 mg/kg/day) achieved AUC exposure values 580 and 37-fold higher, respectively, than similar values estimated in humans treated with brimonidine tartrate/timolol maleate ophthalmic solution, 1 drop in both eyes twice daily.

Teratogenicity studies with timolol in mice, rats, and rabbits at oral doses up to 50 mg/kg/day [4,200 times the maximum recommended human ocular dose of 0.012 mg/kg/day on a mg/kg basis (MRHOD)] demonstrated no evidence of fetal malformations. Although delayed fetal ossification was observed at this dose in rats, there were no adverse effects on postnatal development of offspring. Doses of 1,000 mg/kg/day (83,000 times the MRHOD) were maternotoxic in mice and resulted in an increased number of fetal resorptions. Increased fetal resorptions were also seen in rabbits at doses 8,300 times the MRHOD without apparent maternotoxicity.

There are no adequate and well-controlled studies in pregnant women; however, in animal studies, brimonidine crossed the placenta and entered into the fetal circulation to a limited extent. Because animal reproduction studies are not always predictive of human response, brimonidine tartrate/timolol maleate ophthalmic solution should be used during pregnancy only if the potential benefit to the mother justifies the potential risk to the fetus.

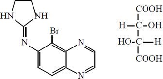
11 Description

Brimonidine tartrate/timolol maleate ophthalmic solution 0.2%/0.5%, sterile, is a relatively selective alpha-2 adrenergic receptor agonist with a non-selective beta-adrenergic receptor inhibitor (topical intraocular pressure lowering agent).

The structural formulae are:

Brimonidine tartrate:

5-bromo-6-(2-imidazolidinylideneamino) quinoxaline L-tartrate; MW= 442.24

Timolol maleate:

(-)-1-( tert-butylamino)-3-[(4-morpholino-1,2,5-thiadiazol-3-yl)-oxy]-2-propanol maleate (1:1) (salt); MW= 432.50 as the maleate salt

Brimonidine tartrate/timolol maleate ophthalmic solution 0.2%/0.5% has a clear, greenish-yellow color. It has an osmolality of 260 to 330 mOsmol/kg and a pH during its shelf life of 6.5 to 7.3.

Brimonidine tartrate appears as an off-white, or white to pale-yellow powder and is soluble in both water (1.5 mg/mL) and in the product vehicle (3 mg/mL) at pH 7.2. Timolol maleate appears as a white, odorless, crystalline powder and is soluble in water, methanol, and alcohol.

Each mL of brimonidine tartrate/timolol maleate ophthalmic solution contains the active ingredients brimonidine tartrate 0.2% and timolol 0.5% with the inactive ingredients benzalkonium chloride 0.005%; sodium phosphate, monobasic; sodium phosphate, dibasic; purified water; and hydrochloric acid and/or sodium hydroxide to adjust pH.

8.4 Pediatric Use

Brimonidine tartrate/timolol maleate ophthalmic solution is contraindicated in children under the age of 2 years [see Contraindications (4.3)] . During post-marketing surveillance, apnea, bradycardia, coma, hypotension, hypothermia, hypotonia, lethargy, pallor, respiratory depression, and somnolence have been reported in infants receiving brimonidine. The safety and effectiveness of brimonidine tartrate and timolol maleate have not been studied in children below the age of 2 years.

The safety and effectiveness of brimonidine tartrate/timolol maleate ophthalmic solution have been established in the age groups 2 to 16 years of age. Use of brimonidine tartrate/timolol maleate ophthalmic solution in these age groups is supported by evidence from adequate and well-controlled studies of brimonidine tartrate/timolol maleate ophthalmic solution in adults with additional data from a study of the concomitant use of brimonidine tartrate ophthalmic solution 0.2% and timolol maleate ophthalmic solution in pediatric glaucoma patients (ages 2 to 7 years). In this study, brimonidine tartrate ophthalmic solution 0.2% was dosed three times a day as adjunctive therapy to beta-blockers. The most commonly observed adverse reactions were somnolence (50% to 83% in patients 2 to 6 years) and decreased alertness. In pediatric patients 7 years of age or older (>20 kg), somnolence appears to occur less frequently (25%). Approximately 16% of patients on brimonidine tartrate ophthalmic solution discontinued from the study due to somnolence.

8.5 Geriatric Use

No overall differences in safety or effectiveness have been observed between elderly and other adult patients.

14 Clinical Studies

Clinical studies were conducted to compare the IOP-lowering effect over the course of the day of brimonidine tartrate/timolol maleate ophthalmic solution administered twice a day (BID) to individually-administered brimonidine tartrate ophthalmic solution, 0.2% administered three times per day (TID) and timolol maleate ophthalmic solution, 0.5% BID in patients with glaucoma or ocular hypertension. Brimonidine tartrate/timolol maleate ophthalmic solution BID provided an additional 1 to 3 mm Hg decrease in IOP over brimonidine treatment TID and an additional 1 to 2 mm Hg decrease over timolol treatment BID during the first 7 hours post dosing. However, the IOP-lowering of brimonidine tartrate/timolol maleate ophthalmic solution BID was less (approximately 1 to 2 mm Hg) than that seen with the concomitant administration of 0.5% timolol BID and 0.2% brimonidine tartrate TID. Brimonidine tartrate/timolol maleate ophthalmic solution administered BID had a favorable safety profile versus concurrently administered brimonidine TID and timolol BID in the self-reported level of severity of sleepiness for patients over age 40.

4 Contraindications
  • Bronchial asthma, a history of bronchial asthma, severe chronic obstructive pulmonary disease. ( 4.1, 5.1, 5.3)
  • Sinus bradycardia, atrioventricular block, overt cardiac failure, cardiogenic shock. ( 4.2, 5.2)
  • Neonates and infants (under the age of 2 years). ( 4.3)
  • Hypersensitivity to any component of this product. ( 4.4)
5.2 Cardiac Failure

Sympathetic stimulation may be essential for support of the circulation in individuals with diminished myocardial contractility, and its inhibition by beta-adrenergic receptor blockade may precipitate more severe failure.

In patients without a history of cardiac failure, continued depression of the myocardium with beta-blocking agents over a period of time can, in some cases, lead to cardiac failure. At the first sign or symptom of cardiac failure, brimonidine tartrate/timolol maleate ophthalmic solution should be discontinued [see Contraindications (4.2)] .

6 Adverse Reactions

Most common adverse reactions occurring in approximately 5% to 15% of patients included allergic conjunctivitis, conjunctival folliculosis, conjunctival hyperemia, eye pruritus, ocular burning, and stinging. ( 6.1)



To report SUSPECTED ADVERSE REACTIONS, contact Upsher-Smith Laboratories, LLC at 1-855-899-9180 or the FDA at 1-800-FDA-1088 or www.fda.gov/medwatch.

7 Drug Interactions
  • Antihypertensives/cardiac glycosides may lower blood pressure. ( 7.1)
  • Concomitant use with systemic beta-blockers may potentiate systemic beta-blockade. ( 7.2)
  • Oral or intravenous calcium antagonists may cause atrioventricular conduction disturbances, left ventricular failure, and hypotension. ( 7.3)
  • Catecholamine-depleting drugs may have additive effects and produce hypotension and/or marked bradycardia. ( 7.4)
  • Use with CNS depressants may result in an additive or potentiating effect. ( 7.5)
  • Digitalis and calcium antagonists may have additive effects in prolonging atrioventricular conduction time. ( 7.6)
  • CYP2D6 inhibitors may potentiate systemic beta-blockade. ( 7.7)
  • Tricyclic antidepressants may potentially blunt the hypotensive effect of systemic clonidine. ( 7.8)
  • Monoamine oxidase inhibitors may result in increased hypotension. ( 7.9)
7.5 Cns Depressants

Although specific drug interaction studies have not been conducted with brimonidine tartrate/timolol maleate ophthalmic solution, the possibility of an additive or potentiating effect with CNS depressants (alcohol, barbiturates, opiates, sedatives, or anesthetics) should be considered.

8.3 Nursing Mothers

Timolol has been detected in human milk following oral and ophthalmic drug administration. It is not known whether brimonidine tartrate is excreted in human milk, although in animal studies, brimonidine tartrate has been shown to be excreted in breast milk. Because of the potential for serious adverse reactions from brimonidine tartrate/timolol maleate ophthalmic solution in nursing infants, a decision should be made whether to discontinue nursing or to discontinue the drug, taking into account the importance of the drug to the mother.

7.7 Cyp2d6 Inhibitors

Potentiated systemic beta-blockade (e.g., decreased heart rate, depression) has been reported during combined treatment with CYP2D6 inhibitors (e.g., quinidine, SSRIs) and timolol.

1 Indications and Usage

Brimonidine tartrate/timolol maleate ophthalmic solution 0.2%/0.5% is an alpha-adrenergic receptor agonist with a beta-adrenergic receptor inhibitor indicated for the reduction of elevated intraocular pressure (IOP) in patients with glaucoma or ocular hypertension who require adjunctive or replacement therapy due to inadequately controlled IOP; the IOP-lowering of brimonidine tartrate/timolol maleate ophthalmic solution dosed twice a day was slightly less than that seen with the concomitant administration of 0.5% timolol maleate ophthalmic solution dosed twice a day and 0.2% brimonidine tartrate ophthalmic solution dosed three times per day.

7.3 Calcium Antagonists

Caution should be used in the co-administration of beta-adrenergic blocking agents, such as brimonidine tartrate/timolol maleate ophthalmic solution, and oral or intravenous calcium antagonists because of possible atrioventricular conduction disturbances, left ventricular failure, and hypotension. In patients with impaired cardiac function, co-administration should be avoided.

12.1 Mechanism of Action

Brimonidine tartrate/timolol maleate ophthalmic solution is comprised of two components: brimonidine tartrate and timolol. Each of these two components decreases elevated intraocular pressure, whether or not associated with glaucoma. Elevated intraocular pressure is a major risk factor in the pathogenesis of optic nerve damage and glaucomatous visual field loss. The higher the level of intraocular pressure, the greater the likelihood of glaucomatous field loss and optic nerve damage.

Brimonidine tartrate/timolol maleate ophthalmic solution is a relatively selective alpha-2 adrenergic receptor agonist with a non-selective beta-adrenergic receptor inhibitor. Both brimonidine and timolol have a rapid onset of action, with peak ocular hypotensive effect seen at two hours post-dosing for brimonidine and one to two hours for timolol.

Fluorophotometric studies in animals and humans suggest that brimonidine tartrate has a dual mechanism of action by reducing aqueous humor production and increasing uveoscleral outflow.

Timolol maleate is a beta 1and beta 2adrenergic receptor inhibitor that does not have significant intrinsic sympathomimetic, direct myocardial depressant, or local anesthetic (membrane-stabilizing) activity.

5 Warnings and Precautions
  • Potential for Severe Respiratory or Cardiac Reactions ( 5.1)
  • Cardiac Failure ( 5.2)
  • Obstructive Pulmonary Disease ( 5.3)
  • Potentiation of Vascular Insufficiency ( 5.4)
  • Increased Reactivity to Allergens ( 5.5)
  • Potentiation of Muscle Weakness ( 5.6)
  • Masking of Hypoglycemic Symptoms in Patients with Diabetes Mellitus ( 5.7)
  • Masking of Thyrotoxicosis ( 5.8)
  • Ocular Hypersensitivity ( 5.9)
2 Dosage and Administration

The recommended dose is one drop of brimonidine tartrate/timolol maleate ophthalmic solution in the affected eye(s) twice daily approximately 12 hours apart. If more than one topical ophthalmic product is to be used, the different products should be instilled at least 5 minutes apart.

5.9 Ocular Hypersensitivity

Ocular hypersensitivity reactions have been reported with brimonidine tartrate ophthalmic solutions 0.2%, with some reported to be associated with an increase in intraocular pressure [see Contraindications (4.4)] .

3 Dosage Forms and Strengths

Solution containing 2 mg/mL brimonidine tartrate and 5 mg/mL timolol (6.8 mg/mL timolol maleate).

5.8 Masking of Thyrotoxicosis

Beta-adrenergic blocking agents may mask certain clinical signs (e.g., tachycardia) of hyperthyroidism. Patients suspected of developing thyrotoxicosis should be managed carefully to avoid abrupt withdrawal of beta-adrenergic blocking agents that might precipitate a thyroid storm.

6.2 Post Marketing Experience

The following reactions have been identified during post-marketing use of brimonidine tartrate ophthalmic solutions, timolol ophthalmic solutions, or both in combination, in clinical practice. Because they are reported voluntarily from a population of unknown size, estimates of frequency cannot be made. The reactions, which have been chosen for inclusion due to either their seriousness, frequency of reporting, possible causal connection to brimonidine tartrate ophthalmic solutions, timolol ophthalmic solutions, or a combination of these factors, include: eyelid erythema extending to the cheek or forehead, hypersensitivity, iritis, keratoconjunctivitis sicca, miosis, nausea, skin reactions (including erythema, rash, and vasodilation), and tachycardia. In infants, apnea, bradycardia, coma, hypothermia, hypotonia, lethargy, pallor, respiratory depression, and somnolence have been reported [see Contraindications (4.3)and Use in Specific Populations (8.4)] .

7.8 Tricyclic Antidepressants

Tricyclic antidepressants have been reported to blunt the hypotensive effect of systemic clonidine. It is not known whether the concurrent use of these agents with brimonidine tartrate/timolol maleate ophthalmic solution in humans can lead to resulting interference with the IOP-lowering effect. Caution, however, is advised in patients taking tricyclic antidepressants which can affect the metabolism and uptake of circulating amines.

8 Use in Specific Populations

Not for use in children below the age of 2 years. Use with caution in children ≥ 2 years of age. ( 8.4)

4.4 Hypersensitivity Reactions

Local hypersensitivity reactions have occurred following the use of different components of brimonidine tartrate/timolol maleate ophthalmic solution. Brimonidine tartrate/timolol maleate ophthalmic solution is contraindicated in patients who have exhibited a hypersensitivity reaction to any component of this medication in the past.

6.1 Clinical Studies Experience

Because clinical studies are conducted under widely varying conditions, adverse reaction rates observed in the clinical studies of a drug cannot be directly compared to rates in the clinical studies of another drug and may not reflect the rates observed in practice.

7.9 Monoamine Oxidase Inhibitors

Monoamine oxidase (MAO) inhibitors may theoretically interfere with the metabolism of brimonidine and potentially result in an increased systemic side effect such as hypotension. Caution, however, is advised in patients taking MAO inhibitors which can affect the metabolism and uptake of circulating amines.

17 Patient Counseling Information

Patients with bronchial asthma, a history of bronchial asthma, severe chronic obstructive pulmonary disease, sinus bradycardia, second or third degree atrioventricular block, or cardiac failure should be advised not to take this product [see Contraindications (4.1, 4.2)] .

Patients should be instructed that ocular solutions, if handled improperly or if the tip of the dispensing container contacts the eye or surrounding structures, can become contaminated by common bacteria known to cause ocular infections. Serious damage to the eye and subsequent loss of vision may result from using contaminated solutions or by inadvertent contact with the dropper tip [see Warnings and Precautions (5.10)] . Always replace the cap after using. If solution changes color or becomes cloudy, do not use. Do not use the product after the expiration date marked on the bottle.

Patients also should be advised that if they have ocular surgery or develop an intercurrent ocular condition (e.g., trauma or infection), they should immediately seek their physician's advice concerning the continued use of the present multidose container.

If more than one topical ophthalmic drug is being used, the drugs should be administered at least five minutes apart.

Patients should be advised that brimonidine tartrate/timolol maleate ophthalmic solution contains benzalkonium chloride which may be absorbed by soft contact lenses. Contact lenses should be removed prior to administration of the solution. Lenses may be reinserted 15 minutes following administration of brimonidine tartrate/timolol maleate ophthalmic solution.

As with other similar medications, brimonidine tartrate/timolol maleate ophthalmic solution may cause fatigue and/or drowsiness in some patients. Patients who engage in hazardous activities should be cautioned of the potential for a decrease in mental alertness.

5.3 Obstructive Pulmonary Disease

Patients with chronic obstructive pulmonary disease (e.g., chronic bronchitis, emphysema) of mild or moderate severity, bronchospastic disease, or a history of bronchospastic disease (other than bronchial asthma or a history of bronchial asthma, in which brimonidine tartrate/timolol maleate ophthalmic solution is contraindicated [see Contraindications (4.1)] ) should, in general, not receive beta-blocking agents, including brimonidine tartrate/timolol maleate ophthalmic solution.

7.4 Catecholamine Depleting Drugs

Close observation of the patient is recommended when a beta-blocker is administered to patients receiving catecholamine-depleting drugs such as reserpine, because of possible additive effects and the production of hypotension and/or marked bradycardia, which may result in vertigo, syncope, or postural hypotension.

5.6 Potentiation of Muscle Weakness

Beta-adrenergic blockade has been reported to potentiate muscle weakness consistent with certain myasthenic symptoms (e.g., diplopia, ptosis, and generalized weakness). Timolol has been reported rarely to increase muscle weakness in some patients with myasthenia gravis or myasthenic symptoms.

7.2 Beta Adrenergic Blocking Agents

Patients who are receiving a beta-adrenergic blocking agent either orally or intravenously and brimonidine tartrate/timolol maleate ophthalmic solution should be observed for potential additive effects of beta-blockade, both systemic and on intraocular pressure. The concomitant use of two topical beta-adrenergic blocking agents is not recommended.

16 How Supplied/storage and Handling

Brimonidine tartrate/timolol maleate ophthalmic solution is supplied sterile, in white opaque plastic LDPE bottles and white LDPE dropper, with dark blue HDPE cap. They are supplied as follows:

5 mL in 10 mL bottle NDC 0832-1425-05
10 mL in 10 mL bottle NDC 0832-1425-10
15 mL in 15 mL bottle NDC 0832-1425-15
5.5 Increased Reactivity to Allergens

While taking beta-blockers, patients with a history of atopy or a history of severe anaphylactic reactions to a variety of allergens may be more reactive to repeated accidental, diagnostic, or therapeutic challenge with such allergens. Such patients may be unresponsive to the usual doses of epinephrine used to treat anaphylactic reactions.

7.6 Digitalis and Calcium Antagonists

The concomitant use of beta-adrenergic blocking agents with digitalis and calcium antagonists may have additive effects in prolonging atrioventricular conduction time.

7.1 Antihypertensives/cardiac Glycosides

Because brimonidine tartrate/timolol maleate ophthalmic solution may reduce blood pressure, caution in using drugs such as antihypertensives and/or cardiac glycosides with brimonidine tartrate/timolol maleate ophthalmic solution is advised.

5.4 Potentiation of Vascular Insufficiency

Brimonidine tartrate/timolol maleate ophthalmic solution may potentiate syndromes associated with vascular insufficiency. Brimonidine tartrate/timolol maleate ophthalmic solution should be used with caution in patients with depression, cerebral or coronary insufficiency, Raynaud's phenomenon, orthostatic hypotension, or thromboangiitis obliterans.

Principal Display Panel 5 Ml Bottle Carton

NDC 0832-1425-05

Brimonidine Tartrate/

Timolol Maleate

Ophthalmic Solution

0.2%/0.5%

STERILE

5 mL

Rx only

UPSHER-SMITH

4.1 Reactive Airway Disease Including Asthma, Copd

Brimonidine tartrate/timolol maleate ophthalmic solution is contraindicated in patients with reactive airway disease including bronchial asthma; a history of bronchial asthma; severe chronic obstructive pulmonary disease [see Warnings and Precautions (5.1, 5.3)] .

4.3 Neonates and Infants (under the Age of 2 Years)

Brimonidine tartrate/timolol maleate ophthalmic solution is contraindicated in neonates and infants (under the age of 2 years).

13.1 Carcinogenesis, Mutagenesis, Impairment of Fertility

With brimonidine tartrate, no compound-related carcinogenic effects were observed in either mice or rats following a 21-month and 24-month study, respectively. In these studies, dietary administration of brimonidine tartrate at doses up to 2.5 mg/kg/day in mice and 1 mg/kg/day in rats achieved 150 and 210 times, respectively, the plasma C maxdrug concentration in humans treated with one drop of brimonidine tartrate/timolol maleate ophthalmic solution into both eyes twice daily, the recommended daily human dose.

In a two-year study of timolol maleate administered orally to rats, there was a statistically significant increase in the incidence of adrenal pheochromocytomas in male rats administered 300 mg/kg/day [approximately 25,000 times the maximum recommended human ocular dose of 0.012 mg/kg/day on a mg/kg basis (MRHOD)].

Similar differences were not observed in rats administered oral doses equivalent to approximately 8,300 times the daily dose of brimonidine tartrate/timolol maleate ophthalmic solution in humans.

In a lifetime oral study of timolol maleate in mice, there were statistically significant increases in the incidence of benign and malignant pulmonary tumors, benign uterine polyps and mammary adenocarcinomas in female mice at 500 mg/kg/day, (approximately 42,000 times the MRHOD), but not at 5 or 50 mg/kg/day (approximately 420 to 4,200 times higher, respectively, than the MRHOD). In a subsequent study in female mice, in which post-mortem examinations were limited to the uterus and the lungs, a statistically significant increase in the incidence of pulmonary tumors was again observed at 500 mg/kg/day.

The increased occurrence of mammary adenocarcinomas was associated with elevations in serum prolactin which occurred in female mice administered oral timolol at 500 mg/kg/day, but not at doses of 5 or 50 mg/kg/day. An increased incidence of mammary adenocarcinomas in rodents has been associated with administration of several other therapeutic agents that elevate serum prolactin, but no correlation between serum prolactin levels and mammary tumors has been established in humans. Furthermore, in adult human female subjects who received oral dosages of up to 60 mg of timolol maleate (the maximum recommended human oral dosage), there were no clinically meaningful changes in serum prolactin.

Brimonidine tartrate was not mutagenic or clastogenic in a series of in vitroand in vivostudies including the Ames bacterial reversion test, chromosomal aberration assay in Chinese Hamster Ovary (CHO) cells, and three in vivostudies in CD-1 mice: a host-mediated assay, cytogenetic study, and dominant lethal assay.

Timolol maleate was devoid of mutagenic potential when tested in vivo(mouse) in the micronucleus test and cytogenetic assay (doses up to 800 mg/kg) and in vitroin a neoplastic cell transformation assay (up to 100 mcg/mL). In Ames tests the highest concentrations of timolol employed, 5,000 or 10,000 mcg/plate, were associated with statistically significant elevations of revertants observed with tester strain TA100 (in seven replicate assays), but not in the remaining three strains. In the assays with tester strain TA100, no consistent dose response relationship was observed, and the ratio of test to control revertants did not reach 2. A ratio of 2 is usually considered the criterion for a positive Ames test.

Reproduction and fertility studies in rats with timolol maleate and in rats with brimonidine tartrate demonstrated no adverse effect on male or female fertility at doses up to approximately 100 times the systemic exposure following the maximum recommended human ophthalmic dose of brimonidine tartrate/timolol maleate ophthalmic solution.

5.1 Potential for Severe Respiratory Or Cardiac Reactions

Brimonidine tartrate/timolol maleate ophthalmic solution contains timolol maleate; and although administered topically can be absorbed systemically. Therefore, the same types of adverse reactions found with systemic administration of beta-adrenergic blocking agents may occur with topical administration. For example, severe respiratory reactions and cardiac reactions including death due to bronchospasm in patients with asthma, and rarely death in association with cardiac failure have been reported following systemic or ophthalmic administration of timolol maleate [see Contraindications (4.1)] . Additionally, ophthalmic beta-blockers may impair compensatory tachycardia and increase risk of hypotension.

5.10 Contamination of Topical Ophthalmic Products After Use

There have been reports of bacterial keratitis associated with the use of multiple-dose containers of topical ophthalmic products. These containers had been inadvertently contaminated by patients who, in most cases, had a concurrent corneal disease or a disruption of the ocular epithelial surface [see Patient Counseling Information (17)] .

4.2 Sinus Bradycardia, Av Block, Cardiac Failure, Cardiogenic Shock

Brimonidine tartrate/timolol maleate ophthalmic solution is contraindicated in patients with sinus bradycardia; second or third degree atrioventricular block; overt cardiac failure [see Warnings and Precautions (5.2)] ; cardiogenic shock.

5.11 Impairment of Beta Adrenergically Mediated Reflexes During Surgery

The necessity or desirability of withdrawal of beta-adrenergic blocking agents prior to major surgery is controversial. Beta-adrenergic receptor blockade impairs the ability of the heart to respond to beta-adrenergically mediated reflex stimuli. This may augment the risk of general anesthesia in surgical procedures. Some patients receiving beta-adrenergic receptor blocking agents have experienced protracted severe hypotension during anesthesia. Difficulty in restarting and maintaining the heartbeat has also been reported. For these reasons, in patients undergoing elective surgery, some authorities recommend gradual withdrawal of beta­ adrenergic receptor blocking agents.

If necessary during surgery, the effects of beta-adrenergic blocking agents may be reversed by sufficient doses of adrenergic agonists.

5.7 Masking of Hypoglycemic Symptoms in Patients With Diabetes Mellitus

Beta-adrenergic blocking agents should be administered with caution in patients subject to spontaneous hypoglycemia or to diabetic patients (especially those with labile diabetes) who are receiving insulin or oral hypoglycemic agents. Beta-adrenergic receptor blocking agents may mask the signs and symptoms of acute hypoglycemia.


Structured Label Content

Section 42229-5 (42229-5)

Brimonidine Tartrate/Timolol Maleate Ophthalmic Solution

In clinical trials of 12 months duration with brimonidine tartrate/timolol maleate ophthalmic solution, the most frequent reactions associated with its use occurring in approximately 5% to 15% of the patients included: allergic conjunctivitis, conjunctival folliculosis, conjunctival hyperemia, eye pruritus, ocular burning, and stinging. The following adverse reactions were reported in 1% to 5% of patients: asthenia, blepharitis, corneal erosion, depression, epiphora, eye discharge, eye dryness, eye irritation, eye pain, eyelid edema, eyelid erythema, eyelid pruritus, foreign body sensation, headache, hypertension, oral dryness, somnolence, superficial punctate keratitis, and visual disturbance.

Other adverse reactions that have been reported with the individual components are listed below.

Section 44425-7 (44425-7)

Storage: Store at 15°C to 25°C (59°F to 77°F). Protect from light.

10 Overdosage (10 OVERDOSAGE)

There have been reports of inadvertent overdosage with timolol ophthalmic solution resulting in systemic effects similar to those seen with systemic beta-adrenergic blocking agents such as dizziness, headache, shortness of breath, bradycardia, bronchospasm, and cardiac arrest. With the exception of hypotension, very limited information exists on accidental ingestion of brimonidine in adults. Symptoms of brimonidine overdose have been reported in neonates, infants, and children receiving brimonidine ophthalmic solutions as part of medical treatment of congenital glaucoma or by accidental oral ingestion [see Use in Specific Populations (8.4)] . Treatment of an oral overdose includes supportive and symptomatic therapy; a patent airway should be maintained.

8.1 Pregnancy

Teratogenicity studies have been performed in animals. Brimonidine tartrate was not teratogenic when given orally during gestation days 6 through 15 in rats and days 6 through 18 in rabbits. The highest doses of brimonidine tartrate in rats (2.5 mg/kg/day) and rabbits (5 mg/kg/day) achieved AUC exposure values 580 and 37-fold higher, respectively, than similar values estimated in humans treated with brimonidine tartrate/timolol maleate ophthalmic solution, 1 drop in both eyes twice daily.

Teratogenicity studies with timolol in mice, rats, and rabbits at oral doses up to 50 mg/kg/day [4,200 times the maximum recommended human ocular dose of 0.012 mg/kg/day on a mg/kg basis (MRHOD)] demonstrated no evidence of fetal malformations. Although delayed fetal ossification was observed at this dose in rats, there were no adverse effects on postnatal development of offspring. Doses of 1,000 mg/kg/day (83,000 times the MRHOD) were maternotoxic in mice and resulted in an increased number of fetal resorptions. Increased fetal resorptions were also seen in rabbits at doses 8,300 times the MRHOD without apparent maternotoxicity.

There are no adequate and well-controlled studies in pregnant women; however, in animal studies, brimonidine crossed the placenta and entered into the fetal circulation to a limited extent. Because animal reproduction studies are not always predictive of human response, brimonidine tartrate/timolol maleate ophthalmic solution should be used during pregnancy only if the potential benefit to the mother justifies the potential risk to the fetus.

11 Description (11 DESCRIPTION)

Brimonidine tartrate/timolol maleate ophthalmic solution 0.2%/0.5%, sterile, is a relatively selective alpha-2 adrenergic receptor agonist with a non-selective beta-adrenergic receptor inhibitor (topical intraocular pressure lowering agent).

The structural formulae are:

Brimonidine tartrate:

5-bromo-6-(2-imidazolidinylideneamino) quinoxaline L-tartrate; MW= 442.24

Timolol maleate:

(-)-1-( tert-butylamino)-3-[(4-morpholino-1,2,5-thiadiazol-3-yl)-oxy]-2-propanol maleate (1:1) (salt); MW= 432.50 as the maleate salt

Brimonidine tartrate/timolol maleate ophthalmic solution 0.2%/0.5% has a clear, greenish-yellow color. It has an osmolality of 260 to 330 mOsmol/kg and a pH during its shelf life of 6.5 to 7.3.

Brimonidine tartrate appears as an off-white, or white to pale-yellow powder and is soluble in both water (1.5 mg/mL) and in the product vehicle (3 mg/mL) at pH 7.2. Timolol maleate appears as a white, odorless, crystalline powder and is soluble in water, methanol, and alcohol.

Each mL of brimonidine tartrate/timolol maleate ophthalmic solution contains the active ingredients brimonidine tartrate 0.2% and timolol 0.5% with the inactive ingredients benzalkonium chloride 0.005%; sodium phosphate, monobasic; sodium phosphate, dibasic; purified water; and hydrochloric acid and/or sodium hydroxide to adjust pH.

8.4 Pediatric Use

Brimonidine tartrate/timolol maleate ophthalmic solution is contraindicated in children under the age of 2 years [see Contraindications (4.3)] . During post-marketing surveillance, apnea, bradycardia, coma, hypotension, hypothermia, hypotonia, lethargy, pallor, respiratory depression, and somnolence have been reported in infants receiving brimonidine. The safety and effectiveness of brimonidine tartrate and timolol maleate have not been studied in children below the age of 2 years.

The safety and effectiveness of brimonidine tartrate/timolol maleate ophthalmic solution have been established in the age groups 2 to 16 years of age. Use of brimonidine tartrate/timolol maleate ophthalmic solution in these age groups is supported by evidence from adequate and well-controlled studies of brimonidine tartrate/timolol maleate ophthalmic solution in adults with additional data from a study of the concomitant use of brimonidine tartrate ophthalmic solution 0.2% and timolol maleate ophthalmic solution in pediatric glaucoma patients (ages 2 to 7 years). In this study, brimonidine tartrate ophthalmic solution 0.2% was dosed three times a day as adjunctive therapy to beta-blockers. The most commonly observed adverse reactions were somnolence (50% to 83% in patients 2 to 6 years) and decreased alertness. In pediatric patients 7 years of age or older (>20 kg), somnolence appears to occur less frequently (25%). Approximately 16% of patients on brimonidine tartrate ophthalmic solution discontinued from the study due to somnolence.

8.5 Geriatric Use

No overall differences in safety or effectiveness have been observed between elderly and other adult patients.

14 Clinical Studies (14 CLINICAL STUDIES)

Clinical studies were conducted to compare the IOP-lowering effect over the course of the day of brimonidine tartrate/timolol maleate ophthalmic solution administered twice a day (BID) to individually-administered brimonidine tartrate ophthalmic solution, 0.2% administered three times per day (TID) and timolol maleate ophthalmic solution, 0.5% BID in patients with glaucoma or ocular hypertension. Brimonidine tartrate/timolol maleate ophthalmic solution BID provided an additional 1 to 3 mm Hg decrease in IOP over brimonidine treatment TID and an additional 1 to 2 mm Hg decrease over timolol treatment BID during the first 7 hours post dosing. However, the IOP-lowering of brimonidine tartrate/timolol maleate ophthalmic solution BID was less (approximately 1 to 2 mm Hg) than that seen with the concomitant administration of 0.5% timolol BID and 0.2% brimonidine tartrate TID. Brimonidine tartrate/timolol maleate ophthalmic solution administered BID had a favorable safety profile versus concurrently administered brimonidine TID and timolol BID in the self-reported level of severity of sleepiness for patients over age 40.

4 Contraindications (4 CONTRAINDICATIONS)
  • Bronchial asthma, a history of bronchial asthma, severe chronic obstructive pulmonary disease. ( 4.1, 5.1, 5.3)
  • Sinus bradycardia, atrioventricular block, overt cardiac failure, cardiogenic shock. ( 4.2, 5.2)
  • Neonates and infants (under the age of 2 years). ( 4.3)
  • Hypersensitivity to any component of this product. ( 4.4)
5.2 Cardiac Failure

Sympathetic stimulation may be essential for support of the circulation in individuals with diminished myocardial contractility, and its inhibition by beta-adrenergic receptor blockade may precipitate more severe failure.

In patients without a history of cardiac failure, continued depression of the myocardium with beta-blocking agents over a period of time can, in some cases, lead to cardiac failure. At the first sign or symptom of cardiac failure, brimonidine tartrate/timolol maleate ophthalmic solution should be discontinued [see Contraindications (4.2)] .

6 Adverse Reactions (6 ADVERSE REACTIONS)

Most common adverse reactions occurring in approximately 5% to 15% of patients included allergic conjunctivitis, conjunctival folliculosis, conjunctival hyperemia, eye pruritus, ocular burning, and stinging. ( 6.1)



To report SUSPECTED ADVERSE REACTIONS, contact Upsher-Smith Laboratories, LLC at 1-855-899-9180 or the FDA at 1-800-FDA-1088 or www.fda.gov/medwatch.

7 Drug Interactions (7 DRUG INTERACTIONS)
  • Antihypertensives/cardiac glycosides may lower blood pressure. ( 7.1)
  • Concomitant use with systemic beta-blockers may potentiate systemic beta-blockade. ( 7.2)
  • Oral or intravenous calcium antagonists may cause atrioventricular conduction disturbances, left ventricular failure, and hypotension. ( 7.3)
  • Catecholamine-depleting drugs may have additive effects and produce hypotension and/or marked bradycardia. ( 7.4)
  • Use with CNS depressants may result in an additive or potentiating effect. ( 7.5)
  • Digitalis and calcium antagonists may have additive effects in prolonging atrioventricular conduction time. ( 7.6)
  • CYP2D6 inhibitors may potentiate systemic beta-blockade. ( 7.7)
  • Tricyclic antidepressants may potentially blunt the hypotensive effect of systemic clonidine. ( 7.8)
  • Monoamine oxidase inhibitors may result in increased hypotension. ( 7.9)
7.5 Cns Depressants (7.5 CNS Depressants)

Although specific drug interaction studies have not been conducted with brimonidine tartrate/timolol maleate ophthalmic solution, the possibility of an additive or potentiating effect with CNS depressants (alcohol, barbiturates, opiates, sedatives, or anesthetics) should be considered.

8.3 Nursing Mothers

Timolol has been detected in human milk following oral and ophthalmic drug administration. It is not known whether brimonidine tartrate is excreted in human milk, although in animal studies, brimonidine tartrate has been shown to be excreted in breast milk. Because of the potential for serious adverse reactions from brimonidine tartrate/timolol maleate ophthalmic solution in nursing infants, a decision should be made whether to discontinue nursing or to discontinue the drug, taking into account the importance of the drug to the mother.

7.7 Cyp2d6 Inhibitors (7.7 CYP2D6 Inhibitors)

Potentiated systemic beta-blockade (e.g., decreased heart rate, depression) has been reported during combined treatment with CYP2D6 inhibitors (e.g., quinidine, SSRIs) and timolol.

1 Indications and Usage (1 INDICATIONS AND USAGE)

Brimonidine tartrate/timolol maleate ophthalmic solution 0.2%/0.5% is an alpha-adrenergic receptor agonist with a beta-adrenergic receptor inhibitor indicated for the reduction of elevated intraocular pressure (IOP) in patients with glaucoma or ocular hypertension who require adjunctive or replacement therapy due to inadequately controlled IOP; the IOP-lowering of brimonidine tartrate/timolol maleate ophthalmic solution dosed twice a day was slightly less than that seen with the concomitant administration of 0.5% timolol maleate ophthalmic solution dosed twice a day and 0.2% brimonidine tartrate ophthalmic solution dosed three times per day.

7.3 Calcium Antagonists

Caution should be used in the co-administration of beta-adrenergic blocking agents, such as brimonidine tartrate/timolol maleate ophthalmic solution, and oral or intravenous calcium antagonists because of possible atrioventricular conduction disturbances, left ventricular failure, and hypotension. In patients with impaired cardiac function, co-administration should be avoided.

12.1 Mechanism of Action

Brimonidine tartrate/timolol maleate ophthalmic solution is comprised of two components: brimonidine tartrate and timolol. Each of these two components decreases elevated intraocular pressure, whether or not associated with glaucoma. Elevated intraocular pressure is a major risk factor in the pathogenesis of optic nerve damage and glaucomatous visual field loss. The higher the level of intraocular pressure, the greater the likelihood of glaucomatous field loss and optic nerve damage.

Brimonidine tartrate/timolol maleate ophthalmic solution is a relatively selective alpha-2 adrenergic receptor agonist with a non-selective beta-adrenergic receptor inhibitor. Both brimonidine and timolol have a rapid onset of action, with peak ocular hypotensive effect seen at two hours post-dosing for brimonidine and one to two hours for timolol.

Fluorophotometric studies in animals and humans suggest that brimonidine tartrate has a dual mechanism of action by reducing aqueous humor production and increasing uveoscleral outflow.

Timolol maleate is a beta 1and beta 2adrenergic receptor inhibitor that does not have significant intrinsic sympathomimetic, direct myocardial depressant, or local anesthetic (membrane-stabilizing) activity.

5 Warnings and Precautions (5 WARNINGS AND PRECAUTIONS)
  • Potential for Severe Respiratory or Cardiac Reactions ( 5.1)
  • Cardiac Failure ( 5.2)
  • Obstructive Pulmonary Disease ( 5.3)
  • Potentiation of Vascular Insufficiency ( 5.4)
  • Increased Reactivity to Allergens ( 5.5)
  • Potentiation of Muscle Weakness ( 5.6)
  • Masking of Hypoglycemic Symptoms in Patients with Diabetes Mellitus ( 5.7)
  • Masking of Thyrotoxicosis ( 5.8)
  • Ocular Hypersensitivity ( 5.9)
2 Dosage and Administration (2 DOSAGE AND ADMINISTRATION)

The recommended dose is one drop of brimonidine tartrate/timolol maleate ophthalmic solution in the affected eye(s) twice daily approximately 12 hours apart. If more than one topical ophthalmic product is to be used, the different products should be instilled at least 5 minutes apart.

5.9 Ocular Hypersensitivity

Ocular hypersensitivity reactions have been reported with brimonidine tartrate ophthalmic solutions 0.2%, with some reported to be associated with an increase in intraocular pressure [see Contraindications (4.4)] .

3 Dosage Forms and Strengths (3 DOSAGE FORMS AND STRENGTHS)

Solution containing 2 mg/mL brimonidine tartrate and 5 mg/mL timolol (6.8 mg/mL timolol maleate).

5.8 Masking of Thyrotoxicosis

Beta-adrenergic blocking agents may mask certain clinical signs (e.g., tachycardia) of hyperthyroidism. Patients suspected of developing thyrotoxicosis should be managed carefully to avoid abrupt withdrawal of beta-adrenergic blocking agents that might precipitate a thyroid storm.

6.2 Post Marketing Experience (6.2 Post-Marketing Experience)

The following reactions have been identified during post-marketing use of brimonidine tartrate ophthalmic solutions, timolol ophthalmic solutions, or both in combination, in clinical practice. Because they are reported voluntarily from a population of unknown size, estimates of frequency cannot be made. The reactions, which have been chosen for inclusion due to either their seriousness, frequency of reporting, possible causal connection to brimonidine tartrate ophthalmic solutions, timolol ophthalmic solutions, or a combination of these factors, include: eyelid erythema extending to the cheek or forehead, hypersensitivity, iritis, keratoconjunctivitis sicca, miosis, nausea, skin reactions (including erythema, rash, and vasodilation), and tachycardia. In infants, apnea, bradycardia, coma, hypothermia, hypotonia, lethargy, pallor, respiratory depression, and somnolence have been reported [see Contraindications (4.3)and Use in Specific Populations (8.4)] .

7.8 Tricyclic Antidepressants

Tricyclic antidepressants have been reported to blunt the hypotensive effect of systemic clonidine. It is not known whether the concurrent use of these agents with brimonidine tartrate/timolol maleate ophthalmic solution in humans can lead to resulting interference with the IOP-lowering effect. Caution, however, is advised in patients taking tricyclic antidepressants which can affect the metabolism and uptake of circulating amines.

8 Use in Specific Populations (8 USE IN SPECIFIC POPULATIONS)

Not for use in children below the age of 2 years. Use with caution in children ≥ 2 years of age. ( 8.4)

4.4 Hypersensitivity Reactions

Local hypersensitivity reactions have occurred following the use of different components of brimonidine tartrate/timolol maleate ophthalmic solution. Brimonidine tartrate/timolol maleate ophthalmic solution is contraindicated in patients who have exhibited a hypersensitivity reaction to any component of this medication in the past.

6.1 Clinical Studies Experience

Because clinical studies are conducted under widely varying conditions, adverse reaction rates observed in the clinical studies of a drug cannot be directly compared to rates in the clinical studies of another drug and may not reflect the rates observed in practice.

7.9 Monoamine Oxidase Inhibitors

Monoamine oxidase (MAO) inhibitors may theoretically interfere with the metabolism of brimonidine and potentially result in an increased systemic side effect such as hypotension. Caution, however, is advised in patients taking MAO inhibitors which can affect the metabolism and uptake of circulating amines.

17 Patient Counseling Information (17 PATIENT COUNSELING INFORMATION)

Patients with bronchial asthma, a history of bronchial asthma, severe chronic obstructive pulmonary disease, sinus bradycardia, second or third degree atrioventricular block, or cardiac failure should be advised not to take this product [see Contraindications (4.1, 4.2)] .

Patients should be instructed that ocular solutions, if handled improperly or if the tip of the dispensing container contacts the eye or surrounding structures, can become contaminated by common bacteria known to cause ocular infections. Serious damage to the eye and subsequent loss of vision may result from using contaminated solutions or by inadvertent contact with the dropper tip [see Warnings and Precautions (5.10)] . Always replace the cap after using. If solution changes color or becomes cloudy, do not use. Do not use the product after the expiration date marked on the bottle.

Patients also should be advised that if they have ocular surgery or develop an intercurrent ocular condition (e.g., trauma or infection), they should immediately seek their physician's advice concerning the continued use of the present multidose container.

If more than one topical ophthalmic drug is being used, the drugs should be administered at least five minutes apart.

Patients should be advised that brimonidine tartrate/timolol maleate ophthalmic solution contains benzalkonium chloride which may be absorbed by soft contact lenses. Contact lenses should be removed prior to administration of the solution. Lenses may be reinserted 15 minutes following administration of brimonidine tartrate/timolol maleate ophthalmic solution.

As with other similar medications, brimonidine tartrate/timolol maleate ophthalmic solution may cause fatigue and/or drowsiness in some patients. Patients who engage in hazardous activities should be cautioned of the potential for a decrease in mental alertness.

5.3 Obstructive Pulmonary Disease

Patients with chronic obstructive pulmonary disease (e.g., chronic bronchitis, emphysema) of mild or moderate severity, bronchospastic disease, or a history of bronchospastic disease (other than bronchial asthma or a history of bronchial asthma, in which brimonidine tartrate/timolol maleate ophthalmic solution is contraindicated [see Contraindications (4.1)] ) should, in general, not receive beta-blocking agents, including brimonidine tartrate/timolol maleate ophthalmic solution.

7.4 Catecholamine Depleting Drugs (7.4 Catecholamine-depleting Drugs)

Close observation of the patient is recommended when a beta-blocker is administered to patients receiving catecholamine-depleting drugs such as reserpine, because of possible additive effects and the production of hypotension and/or marked bradycardia, which may result in vertigo, syncope, or postural hypotension.

5.6 Potentiation of Muscle Weakness

Beta-adrenergic blockade has been reported to potentiate muscle weakness consistent with certain myasthenic symptoms (e.g., diplopia, ptosis, and generalized weakness). Timolol has been reported rarely to increase muscle weakness in some patients with myasthenia gravis or myasthenic symptoms.

7.2 Beta Adrenergic Blocking Agents (7.2 Beta-adrenergic Blocking Agents)

Patients who are receiving a beta-adrenergic blocking agent either orally or intravenously and brimonidine tartrate/timolol maleate ophthalmic solution should be observed for potential additive effects of beta-blockade, both systemic and on intraocular pressure. The concomitant use of two topical beta-adrenergic blocking agents is not recommended.

16 How Supplied/storage and Handling (16 HOW SUPPLIED/STORAGE AND HANDLING)

Brimonidine tartrate/timolol maleate ophthalmic solution is supplied sterile, in white opaque plastic LDPE bottles and white LDPE dropper, with dark blue HDPE cap. They are supplied as follows:

5 mL in 10 mL bottle NDC 0832-1425-05
10 mL in 10 mL bottle NDC 0832-1425-10
15 mL in 15 mL bottle NDC 0832-1425-15
5.5 Increased Reactivity to Allergens

While taking beta-blockers, patients with a history of atopy or a history of severe anaphylactic reactions to a variety of allergens may be more reactive to repeated accidental, diagnostic, or therapeutic challenge with such allergens. Such patients may be unresponsive to the usual doses of epinephrine used to treat anaphylactic reactions.

7.6 Digitalis and Calcium Antagonists

The concomitant use of beta-adrenergic blocking agents with digitalis and calcium antagonists may have additive effects in prolonging atrioventricular conduction time.

7.1 Antihypertensives/cardiac Glycosides (7.1 Antihypertensives/Cardiac Glycosides)

Because brimonidine tartrate/timolol maleate ophthalmic solution may reduce blood pressure, caution in using drugs such as antihypertensives and/or cardiac glycosides with brimonidine tartrate/timolol maleate ophthalmic solution is advised.

5.4 Potentiation of Vascular Insufficiency

Brimonidine tartrate/timolol maleate ophthalmic solution may potentiate syndromes associated with vascular insufficiency. Brimonidine tartrate/timolol maleate ophthalmic solution should be used with caution in patients with depression, cerebral or coronary insufficiency, Raynaud's phenomenon, orthostatic hypotension, or thromboangiitis obliterans.

Principal Display Panel 5 Ml Bottle Carton (PRINCIPAL DISPLAY PANEL - 5 mL Bottle Carton)

NDC 0832-1425-05

Brimonidine Tartrate/

Timolol Maleate

Ophthalmic Solution

0.2%/0.5%

STERILE

5 mL

Rx only

UPSHER-SMITH

4.1 Reactive Airway Disease Including Asthma, Copd (4.1 Reactive Airway Disease Including Asthma, COPD)

Brimonidine tartrate/timolol maleate ophthalmic solution is contraindicated in patients with reactive airway disease including bronchial asthma; a history of bronchial asthma; severe chronic obstructive pulmonary disease [see Warnings and Precautions (5.1, 5.3)] .

4.3 Neonates and Infants (under the Age of 2 Years) (4.3 Neonates and Infants (Under the Age of 2 Years))

Brimonidine tartrate/timolol maleate ophthalmic solution is contraindicated in neonates and infants (under the age of 2 years).

13.1 Carcinogenesis, Mutagenesis, Impairment of Fertility

With brimonidine tartrate, no compound-related carcinogenic effects were observed in either mice or rats following a 21-month and 24-month study, respectively. In these studies, dietary administration of brimonidine tartrate at doses up to 2.5 mg/kg/day in mice and 1 mg/kg/day in rats achieved 150 and 210 times, respectively, the plasma C maxdrug concentration in humans treated with one drop of brimonidine tartrate/timolol maleate ophthalmic solution into both eyes twice daily, the recommended daily human dose.

In a two-year study of timolol maleate administered orally to rats, there was a statistically significant increase in the incidence of adrenal pheochromocytomas in male rats administered 300 mg/kg/day [approximately 25,000 times the maximum recommended human ocular dose of 0.012 mg/kg/day on a mg/kg basis (MRHOD)].

Similar differences were not observed in rats administered oral doses equivalent to approximately 8,300 times the daily dose of brimonidine tartrate/timolol maleate ophthalmic solution in humans.

In a lifetime oral study of timolol maleate in mice, there were statistically significant increases in the incidence of benign and malignant pulmonary tumors, benign uterine polyps and mammary adenocarcinomas in female mice at 500 mg/kg/day, (approximately 42,000 times the MRHOD), but not at 5 or 50 mg/kg/day (approximately 420 to 4,200 times higher, respectively, than the MRHOD). In a subsequent study in female mice, in which post-mortem examinations were limited to the uterus and the lungs, a statistically significant increase in the incidence of pulmonary tumors was again observed at 500 mg/kg/day.

The increased occurrence of mammary adenocarcinomas was associated with elevations in serum prolactin which occurred in female mice administered oral timolol at 500 mg/kg/day, but not at doses of 5 or 50 mg/kg/day. An increased incidence of mammary adenocarcinomas in rodents has been associated with administration of several other therapeutic agents that elevate serum prolactin, but no correlation between serum prolactin levels and mammary tumors has been established in humans. Furthermore, in adult human female subjects who received oral dosages of up to 60 mg of timolol maleate (the maximum recommended human oral dosage), there were no clinically meaningful changes in serum prolactin.

Brimonidine tartrate was not mutagenic or clastogenic in a series of in vitroand in vivostudies including the Ames bacterial reversion test, chromosomal aberration assay in Chinese Hamster Ovary (CHO) cells, and three in vivostudies in CD-1 mice: a host-mediated assay, cytogenetic study, and dominant lethal assay.

Timolol maleate was devoid of mutagenic potential when tested in vivo(mouse) in the micronucleus test and cytogenetic assay (doses up to 800 mg/kg) and in vitroin a neoplastic cell transformation assay (up to 100 mcg/mL). In Ames tests the highest concentrations of timolol employed, 5,000 or 10,000 mcg/plate, were associated with statistically significant elevations of revertants observed with tester strain TA100 (in seven replicate assays), but not in the remaining three strains. In the assays with tester strain TA100, no consistent dose response relationship was observed, and the ratio of test to control revertants did not reach 2. A ratio of 2 is usually considered the criterion for a positive Ames test.

Reproduction and fertility studies in rats with timolol maleate and in rats with brimonidine tartrate demonstrated no adverse effect on male or female fertility at doses up to approximately 100 times the systemic exposure following the maximum recommended human ophthalmic dose of brimonidine tartrate/timolol maleate ophthalmic solution.

5.1 Potential for Severe Respiratory Or Cardiac Reactions (5.1 Potential for Severe Respiratory or Cardiac Reactions)

Brimonidine tartrate/timolol maleate ophthalmic solution contains timolol maleate; and although administered topically can be absorbed systemically. Therefore, the same types of adverse reactions found with systemic administration of beta-adrenergic blocking agents may occur with topical administration. For example, severe respiratory reactions and cardiac reactions including death due to bronchospasm in patients with asthma, and rarely death in association with cardiac failure have been reported following systemic or ophthalmic administration of timolol maleate [see Contraindications (4.1)] . Additionally, ophthalmic beta-blockers may impair compensatory tachycardia and increase risk of hypotension.

5.10 Contamination of Topical Ophthalmic Products After Use

There have been reports of bacterial keratitis associated with the use of multiple-dose containers of topical ophthalmic products. These containers had been inadvertently contaminated by patients who, in most cases, had a concurrent corneal disease or a disruption of the ocular epithelial surface [see Patient Counseling Information (17)] .

4.2 Sinus Bradycardia, Av Block, Cardiac Failure, Cardiogenic Shock (4.2 Sinus Bradycardia, AV Block, Cardiac Failure, Cardiogenic Shock)

Brimonidine tartrate/timolol maleate ophthalmic solution is contraindicated in patients with sinus bradycardia; second or third degree atrioventricular block; overt cardiac failure [see Warnings and Precautions (5.2)] ; cardiogenic shock.

5.11 Impairment of Beta Adrenergically Mediated Reflexes During Surgery (5.11 Impairment of Beta-adrenergically Mediated Reflexes During Surgery)

The necessity or desirability of withdrawal of beta-adrenergic blocking agents prior to major surgery is controversial. Beta-adrenergic receptor blockade impairs the ability of the heart to respond to beta-adrenergically mediated reflex stimuli. This may augment the risk of general anesthesia in surgical procedures. Some patients receiving beta-adrenergic receptor blocking agents have experienced protracted severe hypotension during anesthesia. Difficulty in restarting and maintaining the heartbeat has also been reported. For these reasons, in patients undergoing elective surgery, some authorities recommend gradual withdrawal of beta­ adrenergic receptor blocking agents.

If necessary during surgery, the effects of beta-adrenergic blocking agents may be reversed by sufficient doses of adrenergic agonists.

5.7 Masking of Hypoglycemic Symptoms in Patients With Diabetes Mellitus (5.7 Masking of Hypoglycemic Symptoms in Patients with Diabetes Mellitus)

Beta-adrenergic blocking agents should be administered with caution in patients subject to spontaneous hypoglycemia or to diabetic patients (especially those with labile diabetes) who are receiving insulin or oral hypoglycemic agents. Beta-adrenergic receptor blocking agents may mask the signs and symptoms of acute hypoglycemia.


Advanced Ingredient Data


Raw Label Data

All Sections (JSON)