Caffeine Citrate Oral Solution, Usp

Caffeine Citrate Oral Solution, Usp
SPL v5
SPL
SPL Set ID b4fb7c77-1e82-48b7-83c5-dd04ec7c5c4e
Route
ORAL
Published
Effective Date 2019-02-28
Document Type 34391-3 Human Prescription Drug Label

Drug Facts

Composition & Product

Active Ingredients
Caffeine (20 mg)
Inactive Ingredients
Citric Acid Monohydrate Sodium Citrate

Identifiers & Packaging

Marketing Status
ANDA Active Since 2009-11-19

Description

Rx only

Indications and Usage

Caffeine citrate oral solution is indicated for the short term treatment of apnea of prematurity in infants between 28 and <33 weeks gestational age.

Dosage and Administration

Prior to initiation of caffeine citrate oral solution, baseline serum levels of caffeine should be measured in infants previously treated with theophylline, since preterm infants metabolize theophylline to caffeine.  Likewise, baseline serum levels of caffeine should be measured in infants born to mothers who consumed caffeine prior to delivery, since caffeine readily crosses the placenta. The recommended loading dose and maintenance doses of Caffeine Citrate follow. Dose of Caffeine Citrate Volume Dose of Caffeine Citrate mg/kg Route Frequency Loading Dose 1 mL/kg 20 mg/kg Intravenous* (over 30 minutes) One Time Maintenance Dose 0.25 mL/kg 5 mg/kg Intravenous* (over 10 minutes) or Orally Every 24 hours** *using a syringe infusion pump **beginning 24 hours after the loading dose NOTE THAT THE DOSE OF CAFFEINE BASE IS ONE-HALF THE DOSE WHEN EXPRESSED AS CAFFEINE CITRATE (e.g., 20 mg of caffeine citrate is equivalent to 10 mg of caffeine base). Serum concentrations of caffeine may need to be monitored periodically throughout treatment to avoid toxicity.  Serious toxicity has been associated with serum levels greater than 50 mg/L. Caffeine citrate oral solution should be inspected visually for particulate matter and discoloration prior to administration.  Vials containing discolored solution or visible particulate matter should be discarded.

Contraindications

Caffeine citrate is contraindicated in patients who have demonstrated hypersensitivity to any of its components.

Adverse Reactions

Overall, the reported number of adverse events in the double-blind period of the controlled trial was similar for the caffeine citrate and placebo groups.  The following table shows adverse events that occurred in the double-blind period of the controlled trial and that were more frequent in caffeine citrate treated patients than placebo. ADVERSE EVENTS THAT OCCURRED MORE FREQUENTLY IN CAFFEINE CITRATE TREATED PATIENTS THAN PLACEBO DURING DOUBLE-BLIND THERAPY Adverse Event (AE) Caffeine Citrate N=46 n (%) Placebo N=39 n (%) BODY AS A WHOLE Accidental Injury Feeding Intolerance Sepsis 1 (2.2) 4 (8.7) 2 (4.3) 0 (0) 2 (5.1) 0 (0) CARDIOVASCULAR SYSTEM Hemorrhage 1 (2.2) 0 (0) DIGESTIVE SYSTEM Necrotizing Enterocolitis Gastritis Gastrointestinal Hemorrhage 2 (4.3) 1 (2.2) 1 (2.2) 1 (2.6) 0 (0) 0 (0) HEMIC AND LYMPHATIC SYSTEM Disseminated Intravascular Coagulation 1 (2.2) 0 (0) METABOLIC AND NUTRITIVE DISORDERS Acidosis Healing Abnormal 1 (2.2) 1 (2.2) 0 (0) 0 (0) NERVOUS SYSTEM Cerebral Hemorrhage 1 (2.2) 0 (0) RESPIRATORY SYSTEM Dsypnea Lung Edema 1 (2.2) 1 (2.2) 0 (0) 0 (0) SKIN AND APPENDAGES Dry Skin Rash Skin Breakdown 1 (2.2) 4 (8.7) 1 (2.2) 0 (0) 3 (7.7) 0 (0) SPECIAL SENSES Retinopathy of Prematurity 1 (2.2) 0 (0) UROGENITAL SYSTEM Kidney Failure 1 (2.2) 0 (0) In addition to the cases above, three cases of necrotizing enterocolitis were diagnosed in patients receiving caffeine citrate during the open-label phase of the study. Three of the infants who developed necrotizing enterocolitis during the trial died.  All had been exposed to caffeine.  Two were randomized to caffeine, and one placebo patient was “rescued” with open-label caffeine for uncontrolled apnea. Adverse events described in the published literature include: central nervous system stimulation (i.e., irritability, restlessness, jitteriness), cardiovascular effects (i.e., tachycardia, increased left ventricular output, and increased stroke volume), gastrointestinal effects (i.e., increased gastric aspirate, gastrointestinal intolerance), alterations in serum glucose (i.e., hypoglycemia and hyperglycemia) and renal effects (i.e., increased urine flow rate, increased creatinine clearance, and increased sodium and calcium excretion).  Published long-term follow-up studies have not shown caffeine to adversely affect neurological development or growth parameters.

Drug Interactions

Cytochrome P450 1A2 (CYP1A2) is known to be the major enzyme involved in the metabolism of caffeine.  Therefore, caffeine has the potential to interact with drugs that are substrates for CYP1A2, inhibit CYP1A2, or induce CYP1A2.  Few data exist on drug interactions with caffeine in preterm neonates.  Based on adult data, lower doses of caffeine may be needed following coadministration of drugs which are reported to decrease caffeine elimination (e.g., cimetidine and ketoconazole) and higher caffeine doses may be needed following coadministration of drugs that increase caffeine elimination (e.g., phenobarbital and phenytoin). Caffeine administered concurrently with ketoprofen reduced the urine volume in four healthy volunteers.  The clinical significance of this interaction in preterm neonates is not known. Interconversion between caffeine and theophylline has been reported in preterm neonates.  The concurrent use of these drugs is not recommended.

How Supplied

Caffeine Citrate Oral Solution, USP is available as a clear, colorless, sterile, non-pyrogenic, preservative-free, aqueous solution in colorless glass vials. The vials contain 3 mL of solution at a concentration of 20 mg/mL caffeine citrate (60 mg/vial) equivalent to 10 mg/mL caffeine base (30 mg/vial). Caffeine Citrate Oral Solution, USP Product Code   Unit of Sale Strength Each 400603 NDC 63323-406-03 Unit of 5 60 mg per 3 mL (20 mg per mL) NDC 63323-406-01 3 mL in a 6 mL Single Dose Vial Store at 20° to 25°C (68° to 77°F)[see USP Controlled Room Temperature]. Preservative Free.  For single use only.  Discard unused portion. The container closure is not made with natural rubber latex. PHARMACIST:  Dispense the “Patient Information” leaflet with the drug product.


Medication Information

Indications and Usage

Caffeine citrate oral solution is indicated for the short term treatment of apnea of prematurity in infants between 28 and <33 weeks gestational age.

Dosage and Administration

Prior to initiation of caffeine citrate oral solution, baseline serum levels of caffeine should be measured in infants previously treated with theophylline, since preterm infants metabolize theophylline to caffeine.  Likewise, baseline serum levels of caffeine should be measured in infants born to mothers who consumed caffeine prior to delivery, since caffeine readily crosses the placenta.

The recommended loading dose and maintenance doses of Caffeine Citrate follow.



Dose of Caffeine Citrate

Volume

Dose of Caffeine Citrate

mg/kg





Route





Frequency

Loading Dose

1 mL/kg

20 mg/kg

Intravenous* (over 30 minutes)

One Time

Maintenance Dose

0.25 mL/kg

5 mg/kg

Intravenous* (over 10 minutes) or Orally

Every 24 hours**

*using a syringe infusion pump

**beginning 24 hours after the loading dose

NOTE THAT THE DOSE OF CAFFEINE BASE IS ONE-HALF THE DOSE WHEN EXPRESSED AS CAFFEINE CITRATE (e.g., 20 mg of caffeine citrate is equivalent to 10 mg of caffeine base).

Serum concentrations of caffeine may need to be monitored periodically throughout treatment to avoid toxicity.  Serious toxicity has been associated with serum levels greater than 50 mg/L.

Caffeine citrate oral solution should be inspected visually for particulate matter and discoloration prior to administration.  Vials containing discolored solution or visible particulate matter should be discarded.

Contraindications

Caffeine citrate is contraindicated in patients who have demonstrated hypersensitivity to any of its components.

Adverse Reactions

Overall, the reported number of adverse events in the double-blind period of the controlled trial was similar for the caffeine citrate and placebo groups.  The following table shows adverse events that occurred in the double-blind period of the controlled trial and that were more frequent in caffeine citrate treated patients than placebo.

ADVERSE EVENTS THAT OCCURRED MORE FREQUENTLY IN CAFFEINE CITRATE TREATED PATIENTS THAN PLACEBO DURING DOUBLE-BLIND THERAPY

Adverse Event (AE)

Caffeine Citrate N=46

n (%)

Placebo N=39

n (%)

BODY AS A WHOLE

Accidental Injury

Feeding Intolerance

Sepsis





1 (2.2)

4 (8.7)

2 (4.3)





0 (0)

2 (5.1)

0 (0)

CARDIOVASCULAR SYSTEM

Hemorrhage



1 (2.2)





0 (0)

DIGESTIVE SYSTEM

Necrotizing Enterocolitis

Gastritis

Gastrointestinal Hemorrhage



2 (4.3)

1 (2.2)

1 (2.2)



1 (2.6)

0 (0)

0 (0)

HEMIC AND LYMPHATIC SYSTEM

Disseminated Intravascular Coagulation



1 (2.2)



0 (0)

METABOLIC AND NUTRITIVE DISORDERS

Acidosis

Healing Abnormal





1 (2.2)

1 (2.2)





0 (0)

0 (0)

NERVOUS SYSTEM

Cerebral Hemorrhage



1 (2.2)



0 (0)

RESPIRATORY SYSTEM

Dsypnea

Lung Edema



1 (2.2)

1 (2.2)



0 (0)

0 (0)

SKIN AND APPENDAGES

Dry Skin

Rash

Skin Breakdown



1 (2.2)

4 (8.7)

1 (2.2)



0 (0)

3 (7.7)

0 (0)

SPECIAL SENSES

Retinopathy of Prematurity



1 (2.2)



0 (0)

UROGENITAL SYSTEM

Kidney Failure



1 (2.2)



0 (0)

In addition to the cases above, three cases of necrotizing enterocolitis were diagnosed in patients receiving caffeine citrate during the open-label phase of the study.

Three of the infants who developed necrotizing enterocolitis during the trial died.  All had been exposed to caffeine.  Two were randomized to caffeine, and one placebo patient was “rescued” with open-label caffeine for uncontrolled apnea.

Adverse events described in the published literature include: central nervous system stimulation (i.e., irritability, restlessness, jitteriness), cardiovascular effects (i.e., tachycardia, increased left ventricular output, and increased stroke volume), gastrointestinal effects (i.e., increased gastric aspirate, gastrointestinal intolerance), alterations in serum glucose (i.e., hypoglycemia and hyperglycemia) and renal effects (i.e., increased urine flow rate, increased creatinine clearance, and increased sodium and calcium excretion).  Published long-term follow-up studies have not shown caffeine to adversely affect neurological development or growth parameters.

Drug Interactions

Cytochrome P450 1A2 (CYP1A2) is known to be the major enzyme involved in the metabolism of caffeine.  Therefore, caffeine has the potential to interact with drugs that are substrates for CYP1A2, inhibit CYP1A2, or induce CYP1A2. 

Few data exist on drug interactions with caffeine in preterm neonates.  Based on adult data, lower doses of caffeine may be needed following coadministration of drugs which are reported to decrease caffeine elimination (e.g., cimetidine and ketoconazole) and higher caffeine doses may be needed following coadministration of drugs that increase caffeine elimination (e.g., phenobarbital and phenytoin).

Caffeine administered concurrently with ketoprofen reduced the urine volume in four healthy volunteers.  The clinical significance of this interaction in preterm neonates is not known.

Interconversion between caffeine and theophylline has been reported in preterm neonates.  The concurrent use of these drugs is not recommended.

How Supplied

Caffeine Citrate Oral Solution, USP is available as a clear, colorless, sterile, non-pyrogenic, preservative-free, aqueous solution in colorless glass vials.

The vials contain 3 mL of solution at a concentration of 20 mg/mL caffeine citrate (60 mg/vial) equivalent to 10 mg/mL caffeine base (30 mg/vial).

Caffeine Citrate Oral Solution, USP

Product Code  

Unit of Sale

Strength

Each

400603

NDC 63323-406-03

Unit of 5

60 mg per 3 mL

(20 mg per mL)

NDC 63323-406-01

3 mL in a 6 mL Single Dose Vial

Store at 20° to 25°C (68° to 77°F)[see USP Controlled Room Temperature].

Preservative Free.  For single use only.  Discard unused portion.

The container closure is not made with natural rubber latex.

PHARMACIST:  Dispense the “Patient Information” leaflet with the drug product.

Description

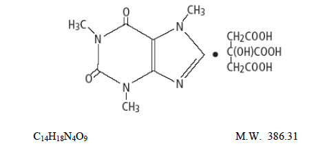
Caffeine Citrate Oral Solution, USP is a clear, colorless, sterile, non-pyrogenic, preservative-free, aqueous solution adjusted to pH 4.7.  Each mL contains 20 mg caffeine citrate (equivalent to 10 mg of caffeine base) prepared in solution by the addition of 10 mg caffeine anhydrous to 5 mg citric acid monohydrate, 8.3 mg sodium citrate dihydrate and Water for Injection.

Caffeine, a central nervous system stimulant, is an odorless white crystalline powder or granule, with a bitter taste.  It is sparingly soluble in water and ethanol at room temperature.  The chemical name of caffeine is 3,7-dihydro-1,3,7-trimethyl-1 H -purine-2,6-dione.  In the presence of citric acid it forms caffeine citrate salt in solution.  The structural formula and molecular weight of caffeine citrate follows.

 

Section 42229-5

Rx only

Section 51945-4

PACKAGE LABEL - PRINCIPAL DISPLAY - Caffeine Citrate Oral 3 mL Single Dose Vial Label

NDC 63323-406-01          400603

CAFFEINE CITRATE

ORAL SOLUTION, USP

60 mg per 3 mL

(20 mg per mL)

3 mL Single Dose Vial

For Oral Use Only

Rx only

 





PACKAGE LABEL - PRINCIPAL DISPLAY - Caffeine Citrate Oral 3 mL Single Dose Vial Tray Label

NDC 63323-406-03            400603

CAFFEINE CITRATE

ORAL SOLUTION, USP

60 mg per 3 mL

 (20 mg per mL)

3 mL Single Dose Vial

For Oral Use Only

Rx only







General

Apnea of prematurity is a diagnosis of exclusion.  Other causes of apnea (e.g., central nervous system disorders, primary lung disease, anemia, sepsis, metabolic disturbances, cardiovascular abnormalities, or obstructive apnea) should be ruled out or properly treated prior to initiation of caffeine citrate.

Caffeine is a central nervous system stimulant and in cases of caffeine overdose, seizures have been reported. Caffeine citrate should be used with caution in infants with seizure disorders.

The duration of treatment of apnea of prematurity in the placebo-controlled trial was limited to 10 to 12 days.  The safety and efficacy of caffeine citrate for longer periods of treatment have not been established.  Safety and efficacy of caffeine citrate for use in the prophylactic treatment of sudden infant death syndrome (SIDS) or prior to extubation in mechanically ventilated infants have also not been established.

Warnings

During the double-blind, placebo-controlled clinical trial, six cases of necrotizing enterocolitis developed among the 85 infants studied (caffeine=46, placebo=39), with three cases resulting in death.  Five of the six patients with necrotizing enterocolitis were randomized to or had been exposed to caffeine citrate.

Reports in the published literature have raised a question regarding the possible association between the use of methylxanthines and development of necrotizing enterocolitis, although a causal relationship between methylxanthine use and necrotizing enterocolitis has not been established.  Therefore, as with all preterm infants, patients being treated with caffeine citrate should be carefully monitored for the development of necrotizing enterocolitis.

Med Guide

 

CAFFEINE CITRATE

Oral Solution, USP

Rx only

Each bottle (vial) of Caffeine Citrate Oral Solution, USP contains a total of 60 mg of caffeine citrate in 3 mL (20 mg/mL).

Information and Instructions for Use

This leaflet tells you about caffeine citrate oral solution and how to give it to your baby.  Read the following information before giving this medicine to your baby.  Completely discuss caffeine citrate oral solution with your baby’s doctor.  Continue to discuss any questions you have about this medicine at your baby’s checkups.

After you remove your babys dose, throw away the open bottle (vial) and all medicine left in it.  Use each vial of caffeine citrate oral solution for only one dose.  There will be extra medicine left in the vial after one dose is removed.  Leftover medicine should not be used because caffeine citrate oral solution does not contain preservatives.  Once the vial is open, any medicine that is not used right away must be discarded.

What is Caffeine Citrate Oral Solution?

The main ingredient of caffeine citrate oral solution is caffeine citrate. Caffeine citrate oral solution is a clear, colorless, medicine to treat apnea of prematurity - short periods when premature babies stop breathing.  Apnea of prematurity is due to the baby’s breathing centers not being fully developed.

How do I give Caffeine Citrate Oral Solution to my baby?

Give caffeine citrate oral solution to your baby once a day, at about the same time each day.  Your baby’s doctor will prescribe the right amount of caffeine citrate oral solution based on your baby’s weight and age.  Carefully follow the doctor’s dosing instructions.

Measure the dose of caffeine citrate oral solution carefully.  Your baby’s doctor, nurse, or pharmacist will give you a suitable syringe or supply of syringes to measure small but accurate doses of caffeine citrate oral solution.

Never change (increase or decrease) your baby’s dose without speaking to your baby’s doctor.

If your baby continues to have periods of apnea, call your baby’s doctor right away.

Caffeine citrate oral solution can be swallowed by mouth or given through a feeding tube. Based on your baby’s own situation, your baby’s doctor or other healthcare professional should teach you how to give caffeine citrate oral solution correctly.

Caffeine citrate oral solution should be clear and colorless.  Before giving caffeine citrate oral solution, look for small particles, cloudiness, or discoloration in the medicine.  Do not use vials that contain cloudy or discolored medicine, or any visible particles.

Caffeine citrate oral solution does NOT  contain any preservatives.  Do not open the vial until it is time for your baby to receive the dose of medicine.  Use each vial only once.  After you remove your baby’s dose, throw away the vial and all medicine left in the opened vial.

Five (5) vials of caffeine citrate oral solution are packaged in a child-resistant container.  Caffeine citrate oral solution vials are NOT CHILD-RESISTANT.  Always store  vials of caffeine citrate oral solution in the child-resistant container.  Follow the instructions below to open the child-resistant carton, to open a vial of caffeine citrate oral solution, and to remove a dose of medicine from the vial.

To open the child-resistant carton for caffeine citrate oral solution:

(Instructions with pictures are also printed on the top of the container)

1.     Holding base with one hand, squeeze semicircular section with your thumb.

2.     With your other hand, push up cover until you hear two clicks.

3.     Grasp narrow sides of the top.  Using the index finger and thumb, press the two semicircular locking tabs on the sides of the cover.  Lift cover completely.

To open a vial of caffeine citrate oral solution:

1.    Hold the blue plastic top between the thumb and index finger.  Use your thumb to flip the blue plastic top completely off the vial.

2.     Carefully lift up the metal ring.

3.     Pull the metal ring away from the vial and then pull it down towards the bottom of the vial without twisting the ring.

4.     After you pull the ring down and the metal band around the top of the vial is completely broken through, carefully remove the rest of the metal band by pulling it out and away from the vial.

5.     Being careful not to spill any medicine, remove the rubber stopper from the top of the vial.

To remove the prescribed dose from the vial:

You will need a small syringe to measure the exact amount of medicine that your baby’s doctor prescribed.  Your baby’s doctor, nurse or pharmacist will give you this small syringe.  Note that a milliliter (mL) is the same as a cubic centimeter (cc).



1.      Insert the tip of the syringe in the medicine and pull up on the plunger to draw the medicine into the syringe.  Remove slightly more of the medicine than the exact amount to be given to your baby.

2.    Turn the syringe tip up so that any air in it rises to the top.  Remove the air by gently pushing up on the syringe plunger.  Continue to push the syringe plunger up to remove any extra medicine in the syringe, until only the exact number of milliliters (or cubic centimeters) that your baby’s doctor prescribed remains in the syringe.

3.     Give the caffeine citrate oral solution to your baby as your baby’s doctor instructed.

4.     Throw away the sharp metal pieces, the rubber stopper, the open vial, and any medicine that remains in it after your baby receives the dose.

What are possible side effects of Caffeine Citrate Oral Solution?

Your baby may or may not develop side effects from taking caffeine citrate oral solution.  Each baby is different.  If your baby develops one or more of the following symptoms, speak with your baby’s doctor right away:

restlessness, jitteriness or shakiness

• faster heart beat

• increased urination (increased diaper wetting)

The following symptoms may be caused by serious bowel or stomach problems.  Call your babys doctor right away if your baby develops:

• bloated abdomen (stomach area)

• vomiting

• bloody stools (bloody bowel movements)

• loss of energy, lethargy (acting sluggish)

This is not a complete list of side effects reported with caffeine citrate oral solution.  If you have a concern about your baby, speak with your baby’s doctor.  If you want more information about caffeine citrate oral solution, speak with your baby’s doctor or pharmacist.

Overdosage

Following overdose, serum caffeine levels have ranged from approximately 24 mg/L (a post marketing spontaneous case report in which an infant exhibited irritability, poor feeding and insomnia) to 350 mg/L.  Serious toxicity has been associated with serum levels greater than 50 mg/L (see PRECAUTIONS, Laboratory Tests and DOSAGE AND ADMINISTRATION ).  Signs and symptoms reported in the literature after caffeine overdose in preterm infants include fever, tachypnea, jitteriness, insomnia, fine tremor of the extremities, hypertonia, opisthotonos, tonic-clonic movements, nonpurposeful jaw and lip movements, vomiting, hyperglycemia, elevated blood urea nitrogen, and elevated total leukocyte concentration.  Seizures have also been reported in cases of overdose.  One case of caffeine overdose complicated by development of intraventricular hemorrhage and long-term neurological sequelae has been reported.  Another case of caffeine citrate overdose (from New Zealand) of an estimated 600 mg caffeine citrate (approximately 322 mg/kg) administered over 40 minutes was complicated by tachycardia, ST depression, respiratory distress, heart failure, gastric distention, acidosis and a severe extravasation burn with tissue necrosis at the peripheral intravenous injection site.  No deaths associated with caffeine overdose have been reported in preterm infants.

Treatment of caffeine overdose is primarily symptomatic and supportive.  Caffeine levels have been shown to decrease after exchange transfusions.  Convulsions may be treated with intravenous administration of diazepam or a barbiturate such as pentobarbital sodium.

Cardiovascular

Although no cases of cardiac toxicity were reported in the placebo-controlled trial, caffeine has been shown to increase heart rate, left ventricular output, and stroke volume in published studies.  Therefore, caffeine citrate should be used with caution in infants with cardiovascular disease.

Clinical Studies

One multicenter, randomized, double-blind trial compared caffeine citrate to placebo in eighty-five (85) preterm infants (gestational age 28 to <33 weeks) with apnea of prematurity.  Apnea of prematurity was defined as having at least 6 apnea episodes of greater than 20 seconds duration in a 24-hour period with no other identifiable cause of apnea.  A 1 mL/kg (20 mg/kg caffeine citrate providing 10 mg/kg as caffeine base) loading dose of caffeine citrate was administered intravenously, followed by a 0.25 mL/kg (5 mg/kg caffeine citrate providing 2.5 mg/kg of caffeine base) daily maintenance dose administered either intravenously or orally (generally through a feeding tube).  The duration of treatment in this study was limited to 10 to 12 days.  The protocol allowed infants to be “rescued” with open-label caffeine citrate treatment if their apnea remained uncontrolled during the double-blind phase of the trial.

The percentage of patients without apnea on day 2 of treatment (24 to 48 hours after the loading dose) was significantly greater with caffeine citrate than placebo.  The following table summarizes the clinically relevant endpoints evaluated in this study:

 

Caffeine Citrate

Placebo

p-value

Number of patients evaluated1

45

37



% of patients with zero apnea events on day 2

26.7

8.1

0.03

Apnea rate on day 2 (per 24 h)

4.9

7.2

0.134

% of patients with 50% reduction in apnea events from baseline on day 2

76

57

0.07

1 Of 85 patients who received drug, 3 were not included in the efficacy analysis because they had <6 apnea episodes/24 hours at baseline.

In this 10 to 12 day trial, the mean number of days with zero apnea events was 3 in the caffeine citrate group and 1.2 in the placebo group.  The mean number of days with a 50% reduction from baseline in apnea events was 6.8 in the caffeine citrate group and 4.6 in the placebo group.

Laboratory Tests

Prior to initiation of caffeine citrate, baseline serum levels of caffeine should be measured in infants previously treated with theophylline, since preterm infants metabolize theophylline to caffeine.  Likewise, baseline serum levels of caffeine should be measured in infants born to mothers who consumed caffeine prior to delivery, since caffeine readily crosses the placenta.

In the placebo-controlled clinical trial, caffeine levels ranged from 8 to 40 mg/L.  A therapeutic plasma concentration range of caffeine could not be determined from the placebo-controlled clinical trial.  Serious toxicity has been reported in the literature when serum caffeine levels exceed 50 mg/L.  Serum concentrations of caffeine may need to be monitored periodically throughout treatment to avoid toxicity.

In clinical studies reported in the literature, cases of hypoglycemia and hyperglycemia have been observed.  Therefore, serum glucose may need to be periodically monitored in infants receiving caffeine citrate.

Pharmacokinetics

Absorption

After oral administration of 10 mg caffeine base/kg to preterm neonates, the peak plasma level (Cmax) for caffeine ranged from 6 to 10 mg/L and the mean time to reach peak concentration (Tmax) ranged from 30 minutes to 2 hours.  The Tmax was not affected by formula feeding.  The absolute bioavailability, however, was not fully examined in preterm neonates.

Distribution

Caffeine is rapidly distributed into the brain.  Caffeine levels in the cerebrospinal fluid of preterm neonates approximate their plasma levels.  The mean volume of distribution of caffeine in infants (0.8 to 0.9 L/kg) is slightly higher than that in adults (0.6 L/kg).  Plasma protein binding data are not available for neonates or infants.  In adults, the mean plasma protein binding in vitro is reported to be approximately 36%.

Metabolism

Hepatic cytochrome P450 1A2 (CYP1A2) is involved in caffeine biotransformation.  Caffeine metabolism in preterm neonates is limited due to their immature hepatic enzyme systems.

Interconversion between caffeine and theophylline has been reported in preterm neonates; caffeine levels are approximately 25% of theophylline levels after theophylline administration and approximately 3 to 8% of caffeine administered would be expected to convert to theophylline.

Elimination

In young infants, the elimination of caffeine is much slower than that in adults due to immature hepatic and/or renal function.  Mean half-life (T1/2) and fraction excreted unchanged in urine (Ae) of caffeine in infants have been shown to be inversely related to gestational/postconceptual age.  In neonates, the T1/2 is approximately 3 to 4 days and the Ae is approximately 86% (within 6 days).  By 9 months of age, the metabolism of caffeine approximates that seen in adults (T1/2 = 5 hours and Ae = 1%).

Special Populations

Studies examining the pharmacokinetics of caffeine in neonates with hepatic or renal insufficiency have not been conducted.  Caffeine citrate should be administered with caution in preterm neonates with impaired renal or hepatic function.  Serum concentrations of caffeine should be monitored and dose administration of caffeine citrate should be adjusted to avoid toxicity in this population.

Mechanism of Action

Caffeine is structurally related to other methylxanthines, theophylline and theobromine.  It is a bronchial smooth muscle relaxant, a CNS stimulant, a cardiac muscle stimulant and a diuretic.

Although the mechanism of action of caffeine in apnea of prematurity is not known, several mechanisms have been hypothesized.  These include: (1) stimulation of the respiratory center, (2) increased minute ventilation, (3) decreased threshold to hypercapnia, (4) increased response to hypercapnia, (5) increased skeletal muscle tone, (6) decreased diaphragmatic fatigue, (7) increased metabolic rate, and (8) increased oxygen consumption.

Most of these effects have been attributed to antagonism of adenosine receptors, both A1 and A2subtypes, by caffeine, which has been demonstrated in receptor binding assays and observed at concentrations approximating those achieved therapeutically.

Information for Patients

Parents/caregivers of patients receiving caffeine citrate oral solution should receive the following instructions:

1.      Caffeine citrate oral solution does not contain any preservatives and each vial is for single use only.  Any unused portion of the medication should be discarded.

2.     It is important that the dose of caffeine citrate oral solution be measured accurately, i.e., with a 1cc or other appropriate syringe.

3.      Consult your physician if the baby continues to have apnea events; do not increase the dose of caffeine citrate oral solution without medical consultation.

4.      Consult your physician if the baby begins to demonstrate signs of gastrointestinal intolerance, such as abdominal distention, vomiting, or bloody stools, or seems lethargic.

5.      Caffeine citrate oral solution should be inspected visually for particulate matter and discoloration prior to its administration.  Vials

         containing discolored solution or visible particulate matter should be discarded.

Renal and Hepatic Systems

 Caffeine citrate should be administered with caution in infants with impaired renal or hepatic function.  Serum concentrations of caffeine should be monitored and dose administration of caffeine citrate should be adjusted to avoid toxicity in this population (see CLINICAL PHARMACOLOGY :   Pharmacokinetics,   Elimination and Special Populations .

Carcinogenesis, Mutagenesis, Impairment of Fertility

In a 2-year study in Sprague-Dawley rats, caffeine (as caffeine base) administered in drinking water was not carcinogenic in male rats at doses up to 102 mg/kg or in female rats at doses up to 170 mg/kg (approximately 2 and 4 times, respectively, the maximum recommended intravenous loading dose for infants on a mg/m2 basis).  In an 18-month study in C57BL/6 mice, no evidence of tumorigenicity was seen at dietary doses up to 55 mg/kg (less than the maximum recommended intravenous loading dose for infants on a mg/m2 basis). 

Caffeine (as caffeine base) increased the sister chromatid exchange (SCE) SCE/cell metaphase (exposure time dependent) in an in vivo mouse metaphase analysis.  Caffeine also potentiated the genotoxicity of known mutagens and enhanced the micronuclei formation (5-fold) in folate-deficient mice.  However, caffeine did not increase chromosomal aberrations in in vitro Chinese hamster ovary cell (CHO) and human lymphocyte assays and was not mutagenic in an in vitro CHO/hypoxanthine guanine phosphoribosyltransferase (HGPRT) gene mutation assay, except at cytotoxic concentrations.  In addition, caffeine was not clastogenic in an in vivo mouse micronucleus assay.

Caffeine (as caffeine base) administered to male rats at 50 mg/kg/day subcutaneously (approximately equal to the maximum recommended intravenous loading dose for infants on a mg/m2 basis) for 4 days prior to mating with untreated females, caused decreased male reproductive performance in addition to causing embryotoxicity.  In addition, long-term exposure to high oral doses of caffeine (3 g over 7 weeks) was toxic to rat testes as manifested by spermatogenic cell degeneration.

Pregnancy: Teratogenic Effects: Pregnancy Category C

Concern for the teratogenicity of caffeine is not relevant when administered to infants.  In studies performed in adult animals, caffeine (as caffeine base) administered to pregnant mice as sustained release pellets at 50 mg/kg (less than the maximum recommended intravenous loading dose for infants on a mg/m2 basis), during the period of organogenesis, caused a low incidence of cleft palate and exencephaly in the fetuses.  There are no adequate and well-controlled studies in pregnant women.


Structured Label Content

Section 42229-5 (42229-5)

Rx only

Section 51945-4 (51945-4)

PACKAGE LABEL - PRINCIPAL DISPLAY - Caffeine Citrate Oral 3 mL Single Dose Vial Label

NDC 63323-406-01          400603

CAFFEINE CITRATE

ORAL SOLUTION, USP

60 mg per 3 mL

(20 mg per mL)

3 mL Single Dose Vial

For Oral Use Only

Rx only

 





PACKAGE LABEL - PRINCIPAL DISPLAY - Caffeine Citrate Oral 3 mL Single Dose Vial Tray Label

NDC 63323-406-03            400603

CAFFEINE CITRATE

ORAL SOLUTION, USP

60 mg per 3 mL

 (20 mg per mL)

3 mL Single Dose Vial

For Oral Use Only

Rx only







General

Apnea of prematurity is a diagnosis of exclusion.  Other causes of apnea (e.g., central nervous system disorders, primary lung disease, anemia, sepsis, metabolic disturbances, cardiovascular abnormalities, or obstructive apnea) should be ruled out or properly treated prior to initiation of caffeine citrate.

Caffeine is a central nervous system stimulant and in cases of caffeine overdose, seizures have been reported. Caffeine citrate should be used with caution in infants with seizure disorders.

The duration of treatment of apnea of prematurity in the placebo-controlled trial was limited to 10 to 12 days.  The safety and efficacy of caffeine citrate for longer periods of treatment have not been established.  Safety and efficacy of caffeine citrate for use in the prophylactic treatment of sudden infant death syndrome (SIDS) or prior to extubation in mechanically ventilated infants have also not been established.

Warnings (WARNINGS)

During the double-blind, placebo-controlled clinical trial, six cases of necrotizing enterocolitis developed among the 85 infants studied (caffeine=46, placebo=39), with three cases resulting in death.  Five of the six patients with necrotizing enterocolitis were randomized to or had been exposed to caffeine citrate.

Reports in the published literature have raised a question regarding the possible association between the use of methylxanthines and development of necrotizing enterocolitis, although a causal relationship between methylxanthine use and necrotizing enterocolitis has not been established.  Therefore, as with all preterm infants, patients being treated with caffeine citrate should be carefully monitored for the development of necrotizing enterocolitis.

Med Guide

 

CAFFEINE CITRATE

Oral Solution, USP

Rx only

Each bottle (vial) of Caffeine Citrate Oral Solution, USP contains a total of 60 mg of caffeine citrate in 3 mL (20 mg/mL).

Information and Instructions for Use

This leaflet tells you about caffeine citrate oral solution and how to give it to your baby.  Read the following information before giving this medicine to your baby.  Completely discuss caffeine citrate oral solution with your baby’s doctor.  Continue to discuss any questions you have about this medicine at your baby’s checkups.

After you remove your babys dose, throw away the open bottle (vial) and all medicine left in it.  Use each vial of caffeine citrate oral solution for only one dose.  There will be extra medicine left in the vial after one dose is removed.  Leftover medicine should not be used because caffeine citrate oral solution does not contain preservatives.  Once the vial is open, any medicine that is not used right away must be discarded.

What is Caffeine Citrate Oral Solution?

The main ingredient of caffeine citrate oral solution is caffeine citrate. Caffeine citrate oral solution is a clear, colorless, medicine to treat apnea of prematurity - short periods when premature babies stop breathing.  Apnea of prematurity is due to the baby’s breathing centers not being fully developed.

How do I give Caffeine Citrate Oral Solution to my baby?

Give caffeine citrate oral solution to your baby once a day, at about the same time each day.  Your baby’s doctor will prescribe the right amount of caffeine citrate oral solution based on your baby’s weight and age.  Carefully follow the doctor’s dosing instructions.

Measure the dose of caffeine citrate oral solution carefully.  Your baby’s doctor, nurse, or pharmacist will give you a suitable syringe or supply of syringes to measure small but accurate doses of caffeine citrate oral solution.

Never change (increase or decrease) your baby’s dose without speaking to your baby’s doctor.

If your baby continues to have periods of apnea, call your baby’s doctor right away.

Caffeine citrate oral solution can be swallowed by mouth or given through a feeding tube. Based on your baby’s own situation, your baby’s doctor or other healthcare professional should teach you how to give caffeine citrate oral solution correctly.

Caffeine citrate oral solution should be clear and colorless.  Before giving caffeine citrate oral solution, look for small particles, cloudiness, or discoloration in the medicine.  Do not use vials that contain cloudy or discolored medicine, or any visible particles.

Caffeine citrate oral solution does NOT  contain any preservatives.  Do not open the vial until it is time for your baby to receive the dose of medicine.  Use each vial only once.  After you remove your baby’s dose, throw away the vial and all medicine left in the opened vial.

Five (5) vials of caffeine citrate oral solution are packaged in a child-resistant container.  Caffeine citrate oral solution vials are NOT CHILD-RESISTANT.  Always store  vials of caffeine citrate oral solution in the child-resistant container.  Follow the instructions below to open the child-resistant carton, to open a vial of caffeine citrate oral solution, and to remove a dose of medicine from the vial.

To open the child-resistant carton for caffeine citrate oral solution:

(Instructions with pictures are also printed on the top of the container)

1.     Holding base with one hand, squeeze semicircular section with your thumb.

2.     With your other hand, push up cover until you hear two clicks.

3.     Grasp narrow sides of the top.  Using the index finger and thumb, press the two semicircular locking tabs on the sides of the cover.  Lift cover completely.

To open a vial of caffeine citrate oral solution:

1.    Hold the blue plastic top between the thumb and index finger.  Use your thumb to flip the blue plastic top completely off the vial.

2.     Carefully lift up the metal ring.

3.     Pull the metal ring away from the vial and then pull it down towards the bottom of the vial without twisting the ring.

4.     After you pull the ring down and the metal band around the top of the vial is completely broken through, carefully remove the rest of the metal band by pulling it out and away from the vial.

5.     Being careful not to spill any medicine, remove the rubber stopper from the top of the vial.

To remove the prescribed dose from the vial:

You will need a small syringe to measure the exact amount of medicine that your baby’s doctor prescribed.  Your baby’s doctor, nurse or pharmacist will give you this small syringe.  Note that a milliliter (mL) is the same as a cubic centimeter (cc).



1.      Insert the tip of the syringe in the medicine and pull up on the plunger to draw the medicine into the syringe.  Remove slightly more of the medicine than the exact amount to be given to your baby.

2.    Turn the syringe tip up so that any air in it rises to the top.  Remove the air by gently pushing up on the syringe plunger.  Continue to push the syringe plunger up to remove any extra medicine in the syringe, until only the exact number of milliliters (or cubic centimeters) that your baby’s doctor prescribed remains in the syringe.

3.     Give the caffeine citrate oral solution to your baby as your baby’s doctor instructed.

4.     Throw away the sharp metal pieces, the rubber stopper, the open vial, and any medicine that remains in it after your baby receives the dose.

What are possible side effects of Caffeine Citrate Oral Solution?

Your baby may or may not develop side effects from taking caffeine citrate oral solution.  Each baby is different.  If your baby develops one or more of the following symptoms, speak with your baby’s doctor right away:

restlessness, jitteriness or shakiness

• faster heart beat

• increased urination (increased diaper wetting)

The following symptoms may be caused by serious bowel or stomach problems.  Call your babys doctor right away if your baby develops:

• bloated abdomen (stomach area)

• vomiting

• bloody stools (bloody bowel movements)

• loss of energy, lethargy (acting sluggish)

This is not a complete list of side effects reported with caffeine citrate oral solution.  If you have a concern about your baby, speak with your baby’s doctor.  If you want more information about caffeine citrate oral solution, speak with your baby’s doctor or pharmacist.

Overdosage (OVERDOSAGE)

Following overdose, serum caffeine levels have ranged from approximately 24 mg/L (a post marketing spontaneous case report in which an infant exhibited irritability, poor feeding and insomnia) to 350 mg/L.  Serious toxicity has been associated with serum levels greater than 50 mg/L (see PRECAUTIONS, Laboratory Tests and DOSAGE AND ADMINISTRATION ).  Signs and symptoms reported in the literature after caffeine overdose in preterm infants include fever, tachypnea, jitteriness, insomnia, fine tremor of the extremities, hypertonia, opisthotonos, tonic-clonic movements, nonpurposeful jaw and lip movements, vomiting, hyperglycemia, elevated blood urea nitrogen, and elevated total leukocyte concentration.  Seizures have also been reported in cases of overdose.  One case of caffeine overdose complicated by development of intraventricular hemorrhage and long-term neurological sequelae has been reported.  Another case of caffeine citrate overdose (from New Zealand) of an estimated 600 mg caffeine citrate (approximately 322 mg/kg) administered over 40 minutes was complicated by tachycardia, ST depression, respiratory distress, heart failure, gastric distention, acidosis and a severe extravasation burn with tissue necrosis at the peripheral intravenous injection site.  No deaths associated with caffeine overdose have been reported in preterm infants.

Treatment of caffeine overdose is primarily symptomatic and supportive.  Caffeine levels have been shown to decrease after exchange transfusions.  Convulsions may be treated with intravenous administration of diazepam or a barbiturate such as pentobarbital sodium.

Description (DESCRIPTION)

Caffeine Citrate Oral Solution, USP is a clear, colorless, sterile, non-pyrogenic, preservative-free, aqueous solution adjusted to pH 4.7.  Each mL contains 20 mg caffeine citrate (equivalent to 10 mg of caffeine base) prepared in solution by the addition of 10 mg caffeine anhydrous to 5 mg citric acid monohydrate, 8.3 mg sodium citrate dihydrate and Water for Injection.

Caffeine, a central nervous system stimulant, is an odorless white crystalline powder or granule, with a bitter taste.  It is sparingly soluble in water and ethanol at room temperature.  The chemical name of caffeine is 3,7-dihydro-1,3,7-trimethyl-1 H -purine-2,6-dione.  In the presence of citric acid it forms caffeine citrate salt in solution.  The structural formula and molecular weight of caffeine citrate follows.

 

How Supplied (HOW SUPPLIED)

Caffeine Citrate Oral Solution, USP is available as a clear, colorless, sterile, non-pyrogenic, preservative-free, aqueous solution in colorless glass vials.

The vials contain 3 mL of solution at a concentration of 20 mg/mL caffeine citrate (60 mg/vial) equivalent to 10 mg/mL caffeine base (30 mg/vial).

Caffeine Citrate Oral Solution, USP

Product Code  

Unit of Sale

Strength

Each

400603

NDC 63323-406-03

Unit of 5

60 mg per 3 mL

(20 mg per mL)

NDC 63323-406-01

3 mL in a 6 mL Single Dose Vial

Store at 20° to 25°C (68° to 77°F)[see USP Controlled Room Temperature].

Preservative Free.  For single use only.  Discard unused portion.

The container closure is not made with natural rubber latex.

PHARMACIST:  Dispense the “Patient Information” leaflet with the drug product.

Cardiovascular

Although no cases of cardiac toxicity were reported in the placebo-controlled trial, caffeine has been shown to increase heart rate, left ventricular output, and stroke volume in published studies.  Therefore, caffeine citrate should be used with caution in infants with cardiovascular disease.

Clinical Studies

One multicenter, randomized, double-blind trial compared caffeine citrate to placebo in eighty-five (85) preterm infants (gestational age 28 to <33 weeks) with apnea of prematurity.  Apnea of prematurity was defined as having at least 6 apnea episodes of greater than 20 seconds duration in a 24-hour period with no other identifiable cause of apnea.  A 1 mL/kg (20 mg/kg caffeine citrate providing 10 mg/kg as caffeine base) loading dose of caffeine citrate was administered intravenously, followed by a 0.25 mL/kg (5 mg/kg caffeine citrate providing 2.5 mg/kg of caffeine base) daily maintenance dose administered either intravenously or orally (generally through a feeding tube).  The duration of treatment in this study was limited to 10 to 12 days.  The protocol allowed infants to be “rescued” with open-label caffeine citrate treatment if their apnea remained uncontrolled during the double-blind phase of the trial.

The percentage of patients without apnea on day 2 of treatment (24 to 48 hours after the loading dose) was significantly greater with caffeine citrate than placebo.  The following table summarizes the clinically relevant endpoints evaluated in this study:

 

Caffeine Citrate

Placebo

p-value

Number of patients evaluated1

45

37



% of patients with zero apnea events on day 2

26.7

8.1

0.03

Apnea rate on day 2 (per 24 h)

4.9

7.2

0.134

% of patients with 50% reduction in apnea events from baseline on day 2

76

57

0.07

1 Of 85 patients who received drug, 3 were not included in the efficacy analysis because they had <6 apnea episodes/24 hours at baseline.

In this 10 to 12 day trial, the mean number of days with zero apnea events was 3 in the caffeine citrate group and 1.2 in the placebo group.  The mean number of days with a 50% reduction from baseline in apnea events was 6.8 in the caffeine citrate group and 4.6 in the placebo group.

Laboratory Tests

Prior to initiation of caffeine citrate, baseline serum levels of caffeine should be measured in infants previously treated with theophylline, since preterm infants metabolize theophylline to caffeine.  Likewise, baseline serum levels of caffeine should be measured in infants born to mothers who consumed caffeine prior to delivery, since caffeine readily crosses the placenta.

In the placebo-controlled clinical trial, caffeine levels ranged from 8 to 40 mg/L.  A therapeutic plasma concentration range of caffeine could not be determined from the placebo-controlled clinical trial.  Serious toxicity has been reported in the literature when serum caffeine levels exceed 50 mg/L.  Serum concentrations of caffeine may need to be monitored periodically throughout treatment to avoid toxicity.

In clinical studies reported in the literature, cases of hypoglycemia and hyperglycemia have been observed.  Therefore, serum glucose may need to be periodically monitored in infants receiving caffeine citrate.

Pharmacokinetics

Absorption

After oral administration of 10 mg caffeine base/kg to preterm neonates, the peak plasma level (Cmax) for caffeine ranged from 6 to 10 mg/L and the mean time to reach peak concentration (Tmax) ranged from 30 minutes to 2 hours.  The Tmax was not affected by formula feeding.  The absolute bioavailability, however, was not fully examined in preterm neonates.

Distribution

Caffeine is rapidly distributed into the brain.  Caffeine levels in the cerebrospinal fluid of preterm neonates approximate their plasma levels.  The mean volume of distribution of caffeine in infants (0.8 to 0.9 L/kg) is slightly higher than that in adults (0.6 L/kg).  Plasma protein binding data are not available for neonates or infants.  In adults, the mean plasma protein binding in vitro is reported to be approximately 36%.

Metabolism

Hepatic cytochrome P450 1A2 (CYP1A2) is involved in caffeine biotransformation.  Caffeine metabolism in preterm neonates is limited due to their immature hepatic enzyme systems.

Interconversion between caffeine and theophylline has been reported in preterm neonates; caffeine levels are approximately 25% of theophylline levels after theophylline administration and approximately 3 to 8% of caffeine administered would be expected to convert to theophylline.

Elimination

In young infants, the elimination of caffeine is much slower than that in adults due to immature hepatic and/or renal function.  Mean half-life (T1/2) and fraction excreted unchanged in urine (Ae) of caffeine in infants have been shown to be inversely related to gestational/postconceptual age.  In neonates, the T1/2 is approximately 3 to 4 days and the Ae is approximately 86% (within 6 days).  By 9 months of age, the metabolism of caffeine approximates that seen in adults (T1/2 = 5 hours and Ae = 1%).

Special Populations

Studies examining the pharmacokinetics of caffeine in neonates with hepatic or renal insufficiency have not been conducted.  Caffeine citrate should be administered with caution in preterm neonates with impaired renal or hepatic function.  Serum concentrations of caffeine should be monitored and dose administration of caffeine citrate should be adjusted to avoid toxicity in this population.

Adverse Reactions (ADVERSE REACTIONS)

Overall, the reported number of adverse events in the double-blind period of the controlled trial was similar for the caffeine citrate and placebo groups.  The following table shows adverse events that occurred in the double-blind period of the controlled trial and that were more frequent in caffeine citrate treated patients than placebo.

ADVERSE EVENTS THAT OCCURRED MORE FREQUENTLY IN CAFFEINE CITRATE TREATED PATIENTS THAN PLACEBO DURING DOUBLE-BLIND THERAPY

Adverse Event (AE)

Caffeine Citrate N=46

n (%)

Placebo N=39

n (%)

BODY AS A WHOLE

Accidental Injury

Feeding Intolerance

Sepsis





1 (2.2)

4 (8.7)

2 (4.3)





0 (0)

2 (5.1)

0 (0)

CARDIOVASCULAR SYSTEM

Hemorrhage



1 (2.2)





0 (0)

DIGESTIVE SYSTEM

Necrotizing Enterocolitis

Gastritis

Gastrointestinal Hemorrhage



2 (4.3)

1 (2.2)

1 (2.2)



1 (2.6)

0 (0)

0 (0)

HEMIC AND LYMPHATIC SYSTEM

Disseminated Intravascular Coagulation



1 (2.2)



0 (0)

METABOLIC AND NUTRITIVE DISORDERS

Acidosis

Healing Abnormal





1 (2.2)

1 (2.2)





0 (0)

0 (0)

NERVOUS SYSTEM

Cerebral Hemorrhage



1 (2.2)



0 (0)

RESPIRATORY SYSTEM

Dsypnea

Lung Edema



1 (2.2)

1 (2.2)



0 (0)

0 (0)

SKIN AND APPENDAGES

Dry Skin

Rash

Skin Breakdown



1 (2.2)

4 (8.7)

1 (2.2)



0 (0)

3 (7.7)

0 (0)

SPECIAL SENSES

Retinopathy of Prematurity



1 (2.2)



0 (0)

UROGENITAL SYSTEM

Kidney Failure



1 (2.2)



0 (0)

In addition to the cases above, three cases of necrotizing enterocolitis were diagnosed in patients receiving caffeine citrate during the open-label phase of the study.

Three of the infants who developed necrotizing enterocolitis during the trial died.  All had been exposed to caffeine.  Two were randomized to caffeine, and one placebo patient was “rescued” with open-label caffeine for uncontrolled apnea.

Adverse events described in the published literature include: central nervous system stimulation (i.e., irritability, restlessness, jitteriness), cardiovascular effects (i.e., tachycardia, increased left ventricular output, and increased stroke volume), gastrointestinal effects (i.e., increased gastric aspirate, gastrointestinal intolerance), alterations in serum glucose (i.e., hypoglycemia and hyperglycemia) and renal effects (i.e., increased urine flow rate, increased creatinine clearance, and increased sodium and calcium excretion).  Published long-term follow-up studies have not shown caffeine to adversely affect neurological development or growth parameters.

Contraindications (CONTRAINDICATIONS)

Caffeine citrate is contraindicated in patients who have demonstrated hypersensitivity to any of its components.

Drug Interactions

Cytochrome P450 1A2 (CYP1A2) is known to be the major enzyme involved in the metabolism of caffeine.  Therefore, caffeine has the potential to interact with drugs that are substrates for CYP1A2, inhibit CYP1A2, or induce CYP1A2. 

Few data exist on drug interactions with caffeine in preterm neonates.  Based on adult data, lower doses of caffeine may be needed following coadministration of drugs which are reported to decrease caffeine elimination (e.g., cimetidine and ketoconazole) and higher caffeine doses may be needed following coadministration of drugs that increase caffeine elimination (e.g., phenobarbital and phenytoin).

Caffeine administered concurrently with ketoprofen reduced the urine volume in four healthy volunteers.  The clinical significance of this interaction in preterm neonates is not known.

Interconversion between caffeine and theophylline has been reported in preterm neonates.  The concurrent use of these drugs is not recommended.

Mechanism of Action

Caffeine is structurally related to other methylxanthines, theophylline and theobromine.  It is a bronchial smooth muscle relaxant, a CNS stimulant, a cardiac muscle stimulant and a diuretic.

Although the mechanism of action of caffeine in apnea of prematurity is not known, several mechanisms have been hypothesized.  These include: (1) stimulation of the respiratory center, (2) increased minute ventilation, (3) decreased threshold to hypercapnia, (4) increased response to hypercapnia, (5) increased skeletal muscle tone, (6) decreased diaphragmatic fatigue, (7) increased metabolic rate, and (8) increased oxygen consumption.

Most of these effects have been attributed to antagonism of adenosine receptors, both A1 and A2subtypes, by caffeine, which has been demonstrated in receptor binding assays and observed at concentrations approximating those achieved therapeutically.

Indications and Usage (INDICATIONS AND USAGE)

Caffeine citrate oral solution is indicated for the short term treatment of apnea of prematurity in infants between 28 and <33 weeks gestational age.

Information for Patients

Parents/caregivers of patients receiving caffeine citrate oral solution should receive the following instructions:

1.      Caffeine citrate oral solution does not contain any preservatives and each vial is for single use only.  Any unused portion of the medication should be discarded.

2.     It is important that the dose of caffeine citrate oral solution be measured accurately, i.e., with a 1cc or other appropriate syringe.

3.      Consult your physician if the baby continues to have apnea events; do not increase the dose of caffeine citrate oral solution without medical consultation.

4.      Consult your physician if the baby begins to demonstrate signs of gastrointestinal intolerance, such as abdominal distention, vomiting, or bloody stools, or seems lethargic.

5.      Caffeine citrate oral solution should be inspected visually for particulate matter and discoloration prior to its administration.  Vials

         containing discolored solution or visible particulate matter should be discarded.

Dosage and Administration (DOSAGE AND ADMINISTRATION)

Prior to initiation of caffeine citrate oral solution, baseline serum levels of caffeine should be measured in infants previously treated with theophylline, since preterm infants metabolize theophylline to caffeine.  Likewise, baseline serum levels of caffeine should be measured in infants born to mothers who consumed caffeine prior to delivery, since caffeine readily crosses the placenta.

The recommended loading dose and maintenance doses of Caffeine Citrate follow.



Dose of Caffeine Citrate

Volume

Dose of Caffeine Citrate

mg/kg





Route





Frequency

Loading Dose

1 mL/kg

20 mg/kg

Intravenous* (over 30 minutes)

One Time

Maintenance Dose

0.25 mL/kg

5 mg/kg

Intravenous* (over 10 minutes) or Orally

Every 24 hours**

*using a syringe infusion pump

**beginning 24 hours after the loading dose

NOTE THAT THE DOSE OF CAFFEINE BASE IS ONE-HALF THE DOSE WHEN EXPRESSED AS CAFFEINE CITRATE (e.g., 20 mg of caffeine citrate is equivalent to 10 mg of caffeine base).

Serum concentrations of caffeine may need to be monitored periodically throughout treatment to avoid toxicity.  Serious toxicity has been associated with serum levels greater than 50 mg/L.

Caffeine citrate oral solution should be inspected visually for particulate matter and discoloration prior to administration.  Vials containing discolored solution or visible particulate matter should be discarded.

Renal and Hepatic Systems

 Caffeine citrate should be administered with caution in infants with impaired renal or hepatic function.  Serum concentrations of caffeine should be monitored and dose administration of caffeine citrate should be adjusted to avoid toxicity in this population (see CLINICAL PHARMACOLOGY :   Pharmacokinetics,   Elimination and Special Populations .

Carcinogenesis, Mutagenesis, Impairment of Fertility

In a 2-year study in Sprague-Dawley rats, caffeine (as caffeine base) administered in drinking water was not carcinogenic in male rats at doses up to 102 mg/kg or in female rats at doses up to 170 mg/kg (approximately 2 and 4 times, respectively, the maximum recommended intravenous loading dose for infants on a mg/m2 basis).  In an 18-month study in C57BL/6 mice, no evidence of tumorigenicity was seen at dietary doses up to 55 mg/kg (less than the maximum recommended intravenous loading dose for infants on a mg/m2 basis). 

Caffeine (as caffeine base) increased the sister chromatid exchange (SCE) SCE/cell metaphase (exposure time dependent) in an in vivo mouse metaphase analysis.  Caffeine also potentiated the genotoxicity of known mutagens and enhanced the micronuclei formation (5-fold) in folate-deficient mice.  However, caffeine did not increase chromosomal aberrations in in vitro Chinese hamster ovary cell (CHO) and human lymphocyte assays and was not mutagenic in an in vitro CHO/hypoxanthine guanine phosphoribosyltransferase (HGPRT) gene mutation assay, except at cytotoxic concentrations.  In addition, caffeine was not clastogenic in an in vivo mouse micronucleus assay.

Caffeine (as caffeine base) administered to male rats at 50 mg/kg/day subcutaneously (approximately equal to the maximum recommended intravenous loading dose for infants on a mg/m2 basis) for 4 days prior to mating with untreated females, caused decreased male reproductive performance in addition to causing embryotoxicity.  In addition, long-term exposure to high oral doses of caffeine (3 g over 7 weeks) was toxic to rat testes as manifested by spermatogenic cell degeneration.

Pregnancy: Teratogenic Effects: Pregnancy Category C

Concern for the teratogenicity of caffeine is not relevant when administered to infants.  In studies performed in adult animals, caffeine (as caffeine base) administered to pregnant mice as sustained release pellets at 50 mg/kg (less than the maximum recommended intravenous loading dose for infants on a mg/m2 basis), during the period of organogenesis, caused a low incidence of cleft palate and exencephaly in the fetuses.  There are no adequate and well-controlled studies in pregnant women.


Advanced Ingredient Data


Raw Label Data

All Sections (JSON)