Doxycycline Hyclate Tablets, Usp

Doxycycline Hyclate Tablets, Usp
SPL v7
SPL
SPL Set ID b3cd7b44-db40-4ce5-895e-d4c85a0068ae
Route
ORAL
Published
Effective Date 2024-06-27
Document Type 34391-3 HUMAN PRESCRIPTION DRUG LABEL

Drug Facts

Composition & Product

Active Ingredients
Doxycycline Anhydrous (20 mg)
Inactive Ingredients
Anhydrous Lactose Hypromellose, Unspecified Magnesium Stearate Microcrystalline Cellulose Polyethylene Glycol, Unspecified Polysorbate 80 Titanium Dioxide

Identifiers & Packaging

Pill Appearance
Imprint: E;362 Shape: round Color: white Size: 9 mm Score: 1
Marketing Status
ANDA Active Since 2019-08-30

Description

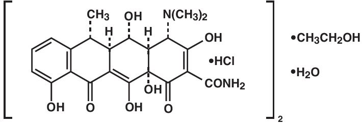
Doxycycline hyclate tablets, USP are available as a 20 mg formulation of doxycycline for oral administration. The structural formula of doxycycline hyclate is: with a structural formula of (C 22 H 24 N 2 O 8 •HCl) 2 •C 2 H 6 O•H 2 O and a molecular weight of 1025.89. The chemical designation for doxycycline is 4-(dimethylamino)-1,4,4a,5,5a,6,11,12a-octahydro-3,5,10,12,12a-pentahydroxy-6-methyl-1,11-dioxo-2-naphthacenecarboxamide monohydrochloride, compound with ethyl alcohol (2:1), monohydrate. Doxycycline hyclate is a yellow to light-yellow crystalline powder which is soluble in water. Each tablet contains the following inactive ingredients: hypromellose, lactose anhydrous, magnesium stearate, microcrystalline cellulose, polyethylene glycol, polysorbate 80 and titanium dioxide. Meet USP Dissolution Test 5.

Indications and Usage

Doxycycline hyclate tablets, USP are indicated for use as an adjunct to scaling and root planing to promote attachment level gain and to reduce pocket depth in patients with adult periodontitis. To reduce the development of drug-resistant bacteria and maintain the effectiveness of doxycycline hyclate tablets and other antibacterial drugs, doxycycline hyclate tablets should be used only to treat or prevent infections that are proven or strongly suspected to be caused by susceptible bacteria. When culture susceptibility information is available, they should be considered in selecting or modifying antibacterial therapy. In the absence of such data, local epidemiology and susceptibility patterns may contribute to the empiric selection of therapy.

Dosage and Administration

THE DOSAGE OF DOXYCYCLINE HYCLATE TABLETS DIFFERS FROM THAT OF DOXYCYCLINE USED TO TREAT INFECTIONS. EXCEEDING THE RECOMMENDED DOSAGE MAY RESULT IN AN INCREASED INCIDENCE OF SIDE EFFECTS INCLUDING THE DEVELOPMENT OF RESISTANT MICROORGANISMS. Doxycycline hyclate tablets 20 mg twice daily as an adjunct following scaling and root planing may be administered for up to 9 months. Doxycycline hyclate tablets should be taken twice daily at 12 hour intervals, usually in the morning and evening. It is recommended that if doxycycline hyclate tablets is taken close to meal times, allow at least one hour prior to or two hours after meals. Safety beyond 12 months and efficacy beyond 9 months have not been established. Administration of adequate amounts of fluid along with the tablets is recommended to wash down the drug and reduce the risk of esophageal irritation and ulceration. (See ADVERSE REACTIONS Section).

Contraindications

This drug is contraindicated in persons who have shown hypersensitivity to doxycycline or any of the other tetracyclines.

Adverse Reactions

Adverse Reactions in Clinical Trials of a bioequivalent form of doxycycline hyclate capsules : In clinical trials of adult patients with periodontal disease 213 patients received 20 mg BID over a 9 to 12 month period. The most frequent adverse reactions occurring in studies involving treatment with a bioequivalent form of doxycycline hyclate capsules or placebo are listed below: Incidence (%) of Adverse Reactions in Clinical Trials of Doxycycline Hyclate Capsules, 20 mg (Bioequivalent to Doxycycline Hyclate Tablets, 20 mg) vs. Placebo Adverse Reactions Doxycycline Hyclate Capsules 20 mg BID (n=213) Placebo (n=215) Headache 55 (26%) 56 (26%) Common Cold 47 (22%) 46 (21%) Flu Symptoms 24 (11%) 40 (19%) Tooth Ache 14 (7%) 28 (13%) Periodontal Abscess 8 (4%) 21 (10%) Tooth Disorder 13 (6%) 19 (9%) Nausea 17 (8%) 12 (6%) Sinusitis 7 (3%) 18 (8%) Injury 11 (5%) 18 (8%) Dyspepsia 13 (6%) 5 (2%) Sore Throat 11 (5%) 13 (6%) Joint Pain 12 (6%) 8 (4%) Diarrhea 12 (6%) 8 (4%) Sinus Congestion 11 (5%) 11 (5%) Coughing 9 (4%) 11 (5%) Sinus Headache 8 (4%) 8 (4%) Rash 8 (4%) 6 (3%) Back Pain 7 (3%) 8 (4%) Back Ache 4 (2%) 9 (4%) Menstrual Cramp 9 (4%) 5 (2%) Acid Indigestion 8 (4%) 7 (3%) Pain 8 (4%) 5 (2%) Infection 4 (2%) 6 (3%) Gum Pain 1 (<1%) 6 (3%) Bronchitis 7 (3%) 5 (2%) Muscle Pain 2 (1%) 6 (3%) Note: Percentages are based on total number of study participants in each treatment group. Adverse Reactions for Tetracyclines: The following adverse reactions have been observed in patients receiving tetracyclines: Gastrointestinal: anorexia, nausea, vomiting, diarrhea, glossitis, dysphagia, enterocolitis, and inflammatory lesions (with vaginal candidiasis) in the anogenital region. Hepatotoxicity has been reported rarely. Rare instances of esophagitis and esophageal ulcerations have been reported in patients receiving the capsule forms of the drugs in the tetracycline class. Most of these patients took medications immediately before going to bed. (See DOSAGE AND ADMINISTRATION Section). Skin: maculopapular and erythematous rashes, Stevens-Johnson syndrome, toxic epidermal necrolysis, erythema multiforme, and fixed drug eruption have been reported. Exfoliative dermatitis has been reported but is uncommon. Photosensitivity is discussed above. (See WARNINGS Section). Renal toxicity: Rise in BUN has been reported and is apparently dose related. (See WARNINGS Section). Hypersensitivity reactions: urticaria, angioneurotic edema, anaphylaxis, anaphylactoid purpura, serum sickness, pericarditis, and exacerbation of systemic lupus erythematosus. Blood: Hemolytic anemia, thrombocytopenia, neutropenia, and eosinophilia have been reported. Psychiatric: Depression, anxiety, suicidal ideation, insomnia, abnormal dreams, hallucination.

Drug Interactions

Because tetracyclines have been shown to depress plasma prothrombin activity, patients who are on anticoagulant therapy may require downward adjustment of their anticoagulant dosage. Since bacterial antibiotics, such as the tetracycline class of antibiotics, may interfere with the bactericidal action of members of the β-lactam (e.g. penicillin) class of antibiotics, it is not advisable to administer these antibiotics concomitantly. Absorption of tetracyclines is impaired by antacids containing aluminum, calcium, or magnesium, and iron-containing preparations, and by bismuth subsalicylate. Barbiturates, carbamazepine, and phenytoin decrease the half-life of doxycycline. The concurrent use of tetracycline and methoxyflurane has been reported to result in fatal renal toxicity. Concurrent use of tetracyclines may render oral contraceptives less effective.

How Supplied

Doxycycline hyclate tablets USP, 20 mg are round, white unscored tablet, debossed “Є” above “362” on one side and plain on the other side. They are supplied as follows: NDC 42806-362-01 Bottles of 100 tablets NDC 42806-362-10 Bottles of 1000 tablets Store at 20° to 25°C (68° to 77°F) [See USP Controlled Room Temperature]. Dispense in tight, light-resistant containers as defined in the USP. KEEP THIS AND ALL DRUGS OUT OF THE REACH OF CHILDREN.


Medication Information

Indications and Usage

Doxycycline hyclate tablets, USP are indicated for use as an adjunct to scaling and root planing to promote attachment level gain and to reduce pocket depth in patients with adult periodontitis.

To reduce the development of drug-resistant bacteria and maintain the effectiveness of doxycycline hyclate tablets and other antibacterial drugs, doxycycline hyclate tablets should be used only to treat or prevent infections that are proven or strongly suspected to be caused by susceptible bacteria. When culture susceptibility information is available, they should be considered in selecting or modifying antibacterial therapy. In the absence of such data, local epidemiology and susceptibility patterns may contribute to the empiric selection of therapy.

Dosage and Administration

THE DOSAGE OF DOXYCYCLINE HYCLATE TABLETS DIFFERS FROM THAT OF DOXYCYCLINE USED TO TREAT INFECTIONS. EXCEEDING THE RECOMMENDED DOSAGE MAY RESULT IN AN INCREASED INCIDENCE OF SIDE EFFECTS INCLUDING THE DEVELOPMENT OF RESISTANT MICROORGANISMS.

Doxycycline hyclate tablets 20 mg twice daily as an adjunct following scaling and root planing may be administered for up to 9 months. Doxycycline hyclate tablets should be taken twice daily at 12 hour intervals, usually in the morning and evening. It is recommended that if doxycycline hyclate tablets is taken close to meal times, allow at least one hour prior to or two hours after meals. Safety beyond 12 months and efficacy beyond 9 months have not been established.

Administration of adequate amounts of fluid along with the tablets is recommended to wash down the drug and reduce the risk of esophageal irritation and ulceration. (See ADVERSE REACTIONS Section).

Contraindications

This drug is contraindicated in persons who have shown hypersensitivity to doxycycline or any of the other tetracyclines.

Adverse Reactions

Adverse Reactions in Clinical Trials of a bioequivalent form of doxycycline hyclate capsules : In clinical trials of adult patients with periodontal disease 213 patients received 20 mg BID over a 9 to 12 month period. The most frequent adverse reactions occurring in studies involving treatment with a bioequivalent form of doxycycline hyclate capsules or placebo are listed below:

Incidence (%) of Adverse Reactions in Clinical Trials of Doxycycline Hyclate Capsules, 20 mg (Bioequivalent to Doxycycline Hyclate Tablets, 20 mg) vs. Placebo

Adverse Reactions

Doxycycline Hyclate

Capsules 20 mg BID

(n=213)

Placebo

(n=215)

Headache

55 (26%)

56 (26%)

Common Cold

47 (22%)

46 (21%)

Flu Symptoms

24 (11%)

40 (19%)

Tooth Ache

14 (7%)

28 (13%)

Periodontal Abscess

8 (4%)

21 (10%)

Tooth Disorder

13 (6%)

19 (9%)

Nausea

17 (8%)

12 (6%)

Sinusitis

7 (3%)

18 (8%)

Injury

11 (5%)

18 (8%)

Dyspepsia

13 (6%)

5 (2%)

Sore Throat

11 (5%)

13 (6%)

Joint Pain

12 (6%)

8 (4%)

Diarrhea

12 (6%)

8 (4%)

Sinus Congestion

11 (5%)

11 (5%)

Coughing

9 (4%)

11 (5%)

Sinus Headache

8 (4%)

8 (4%)

Rash

8 (4%)

6 (3%)

Back Pain

7 (3%)

8 (4%)

Back Ache

4 (2%)

9 (4%)

Menstrual Cramp

9 (4%)

5 (2%)

Acid Indigestion

8 (4%)

7 (3%)

Pain

8 (4%)

5 (2%)

Infection

4 (2%)

6 (3%)

Gum Pain

1 (<1%)

6 (3%)

Bronchitis

7 (3%)

5 (2%)

Muscle Pain

2 (1%)

6 (3%)

Note: Percentages are based on total number of study participants in each treatment group.

Adverse Reactions for Tetracyclines: The following adverse reactions have been observed in patients receiving tetracyclines:

Gastrointestinal: anorexia, nausea, vomiting, diarrhea, glossitis, dysphagia, enterocolitis, and inflammatory lesions (with vaginal candidiasis) in the anogenital region. Hepatotoxicity has been reported rarely. Rare instances of esophagitis and esophageal ulcerations have been reported in patients receiving the capsule forms of the drugs in the tetracycline class. Most of these patients took medications immediately before going to bed. (See DOSAGE AND ADMINISTRATION Section).

Skin: maculopapular and erythematous rashes, Stevens-Johnson syndrome, toxic epidermal necrolysis, erythema multiforme, and fixed drug eruption have been reported. Exfoliative dermatitis has been reported but is uncommon. Photosensitivity is discussed above. (See WARNINGS Section).

Renal toxicity: Rise in BUN has been reported and is apparently dose related. (See WARNINGS Section).

Hypersensitivity reactions: urticaria, angioneurotic edema, anaphylaxis, anaphylactoid purpura, serum sickness, pericarditis, and exacerbation of systemic lupus erythematosus.

Blood: Hemolytic anemia, thrombocytopenia, neutropenia, and eosinophilia have been reported.

Psychiatric: Depression, anxiety, suicidal ideation, insomnia, abnormal dreams, hallucination.

Drug Interactions

Because tetracyclines have been shown to depress plasma prothrombin activity, patients who are on anticoagulant therapy may require downward adjustment of their anticoagulant dosage.

Since bacterial antibiotics, such as the tetracycline class of antibiotics, may interfere with the bactericidal action of members of the β-lactam (e.g. penicillin) class of antibiotics, it is not advisable to administer these antibiotics concomitantly.

Absorption of tetracyclines is impaired by antacids containing aluminum, calcium, or magnesium, and iron-containing preparations, and by bismuth subsalicylate.

Barbiturates, carbamazepine, and phenytoin decrease the half-life of doxycycline.

The concurrent use of tetracycline and methoxyflurane has been reported to result in fatal renal toxicity.

Concurrent use of tetracyclines may render oral contraceptives less effective.

How Supplied

Doxycycline hyclate tablets USP, 20 mg are round, white unscored tablet, debossed “Є” above “362” on one side and plain on the other side. They are supplied as follows:

NDC 42806-362-01 Bottles of 100 tablets

NDC 42806-362-10 Bottles of 1000 tablets

Store at 20° to 25°C (68° to 77°F) [See USP Controlled Room Temperature].

Dispense in tight, light-resistant containers as defined in the USP.

KEEP THIS AND ALL DRUGS OUT OF THE REACH OF CHILDREN.

Description

Doxycycline hyclate tablets, USP are available as a 20 mg formulation of doxycycline for oral administration.

The structural formula of doxycycline hyclate is:

with a structural formula of (C22H24N2O8•HCl)2•C2H6O•H2O and a molecular weight of 1025.89. The chemical designation for doxycycline is 4-(dimethylamino)-1,4,4a,5,5a,6,11,12a-octahydro-3,5,10,12,12a-pentahydroxy-6-methyl-1,11-dioxo-2-naphthacenecarboxamide monohydrochloride, compound with ethyl alcohol (2:1), monohydrate.

Doxycycline hyclate is a yellow to light-yellow crystalline powder which is soluble in water.

Each tablet contains the following inactive ingredients: hypromellose, lactose anhydrous, magnesium stearate, microcrystalline cellulose, polyethylene glycol, polysorbate 80 and titanium dioxide.

Meet USP Dissolution Test 5.

General

Prescribing doxycycline hyclate tablets in the absence of a proven or strongly suspected bacterial infection or a prophylactic indication is unlikely to provide benefit to the patient and increase the risk of the development of drug-resistant bacteria.

While no overgrowth by opportunistic microorganisms such as yeast were noted during clinical studies, as with other antimicrobials, doxycycline hyclate tablets therapy may result in overgrowth of nonsusceptible microorganisms including fungi.

The use of tetracyclines may increase the incidence of vaginal candidiasis.

Doxycycline hyclate tablets should be used with caution in patients with a history or predisposition to oral candidiasis. The safety and effectiveness of doxycycline hyclate tablets have not been established for the treatment of periodontitis in patients with coexistent oral candidiasis.

If superinfection is suspected, appropriate measures should be taken.

Warnings

THE USE OF DRUGS OF THE TETRACYCLINE CLASS DURING TOOTH DEVELOPMENT (LAST HALF OF PREGNANCY, INFANCY AND CHILDHOOD TO THE AGE OF 8 YEARS) MAY CAUSE PERMANENT DISCOLORATION OF THE TEETH (YELLOW-GRAY-BROWN). This adverse reaction is more common during long-term use of the drugs but has been observed following repeated short-term courses. Enamel hypoplasia has also been reported. TETRACYCLINE DRUGS, THEREFORE, SHOULD NOT BE USED IN THIS AGE GROUP AND IN PREGNANT OR NURSING MOTHERS UNLESS THE POTENTIAL BENEFITS MAY BE ACCEPTABLE DESPITE THE POTENTIAL RISKS.

All tetracyclines form a stable calcium complex in any bone forming tissue. A decrease in fibula growth rate has been observed in premature infants given oral tetracyclines in doses of 25 mg/kg every 6 hours. This reaction was shown to be reversible when the drug was discontinued.

Doxycycline can cause fetal harm when administered to a pregnant woman. Results of animal studies indicate that tetracyclines cross the placenta, are found in fetal tissues, and can have toxic effects on the developing fetus (often related to retardation of skeletal development).

Evidence of embryotoxicity has also been noted in animals treated early in pregnancy. If any tetracyclines are used during pregnancy, or if the patient becomes pregnant while taking this drug, the patient should be apprised of the potential hazard to the fetus.

The catabolic action of the tetracyclines may cause and increase in BUN. Previous studies have not observed an increase in BUN with the use of doxycycline in patients with impaired renal function.

Photosensitivity manifested by an exaggerated sunburn reaction has been observed in some individuals taking tetracyclines. Patients apt to be exposed to direct sunlight or ultraviolet light should be advised that this reaction can occur with tetracycline drugs, and treatment should be discontinued at the first evidence of skin erythema.

Fixed drug eruptions have occurred with doxycycline and have been associated with worsening severity upon subsequent administrations, including generalized bullous fixed drug eruption (see ADVERSE REACTIONS ). If severe skin reactions occur, discontinue doxycycline hyclate tablets immediately and institute appropriate therapy.

Pregnancy

Teratogenic Effects: Pregnancy Category D. (See WARNINGS Section). Results from animal studies indicate that doxycycline crosses the placenta and is found in fetal tissues.

Nonteratogenic effects: (See WARNINGS Section).

Overdosage

In case of overdosage, discontinue medication, treat symptomatically and institute supportive measures. Dialysis does not alter serum half-life and thus would not be of benefit in treating cases of overdose.

References

1. Golub L.M., Sorsa T., Lee H-M, Ciancio S., Sorbi D., Ramamurthy N.S., Gruber B., Salo T., Konttinen Y.T.: Doxycycline Inhibits Neutrophil (PMN)-type Matrix Metalloproteinases in Human Adult Periodontitis Gingiva. J. Clin. Periodontol: 1995; 22: 100-109.

2. Golub L.M., Ciancio S., Ramamurthy N.S., Leung M., McNamara T.F.: Low-dose Doxycycline Therapy: Effect on Gingival and Crevicular Fluid Collagenase Activity in Humans. J. Periodont Res 1990; 25: 321-330.

3. Golub L.M., Lee H.M., Greenwald R.A., Ryan M.E., Salo T., Giannobile W.V.: A Matrix Metalloproteinase Inhibitor Reduces Bone-type Collagen Degradation Fragments and Specific Collegenases in Gingival Crevicular Fluid During Adult Periodontitis. Inflammation Research 1997; 46: 310-319.

4. Saivain S., Houin G.: Clinical Pharmacokinetics of Doxycycline and Minocycline. Clin. Pharmacokinetics 1988; 15: 355-366.

5. Schach von Wittenau M., Twomey T.: The Disposition of Doxycycline by Man and Dog. Chemotherapy 1971; 16: 217-228.

6. Campistron G., Coulais Y., Caillard C., Mosser J., Pontagnier H., Houin G.: Pharmacokinetics and Bioavailability of Doxycycline in Humans. Arzneimittel Forschung 1986; 36: 1705-1707.

Distributed by:

Epic Pharma, LLC

Laurelton, NY 11413 USA

Rev.03-2025-00

MF0362REV03/25E

LN0017

Pediatric Use

The use of doxycycline hyclate tablets in infancy and childhood is contraindicated. (See WARNINGS section.)

Nursing Mothers

Tetracyclines are excreted in human milk. Because of the potential for serious adverse reactions in nursing infants from doxycycline, the use of doxycycline hyclate tablets in nursing mothers is contraindicated. (See WARNINGS Section).

Laboratory Tests

In long term therapy, periodic laboratory evaluations of organ systems, including hematopoietic, renal, and hepatic studies should be performed.

Labor and Delivery

The effect of tetracyclines on labor and delivery is unknown.

Clinical Pharmacology

After oral administration, doxycycline hyclate is rapidly and nearly completely absorbed from the gastrointestinal tract. Doxycycline is eliminated with a half-life of approximately 18 hours by renal and fecal excretion of unchanged drug.

Information for Patients

Patients should be counseled that antibacterial drugs including doxycycline hyclate tablets should only be used to treat bacterial infections. They do not treat viral infections (e.g. the common cold). When doxycycline hyclate tablets are prescribed to treat a bacterial infection, patients should be told that although it is common to feel better early in the course of therapy, the medication should be taken exactly as directed. Skipping doses or not completing the full course of therapy may (1) decrease the effectiveness of the immediate treatment and (2) increase the likelihood that bacteria will develop resistance and will not be treatable by doxycycline hyclate tablets or other antibacterial drugs in the future.

Drug/laboratory Test Interactions

False elevations of urinary catecholamine levels may occur due to interference with the fluorescence test.

Carcinogenesis, Mutagenesis, Impairment of Fertility

Doxycycline hyclate was assessed for potential to induce carcinogenesis in a study in which the compound was administered to Sprague-Dawley rats by gavage at dosages of 20, 75, and 200 mg/kg/day for two years. An increased incidence of uterine polyps was observed in female rats that received 200 mg/kg/day, a dosage that resulted in a systemic exposure to doxycycline approximately nine times that observed in female humans that used doxycycline hyclate tablets (exposure comparison based upon AUC values). No impact upon tumor incidence was observed in male rats at 200 mg/kg/day, or in either gender at the other dosages studied. Evidence of oncogenic activity was obtained in studies with related compounds, i.e., oxytetracycline (adrenal and pituitary tumors), and minocycline (thyroid tumors).

Doxycycline hyclate demonstrated no potential to cause genetic toxicity in an in vitro point mutation study with mammalian cells (CHO/HGPRT forward mutation assay) or in an in vivo micronucleus assay conducted in CD-1 mice. However, data from an in vitro assay with CHO cells for potential to cause chromosomal aberrations suggest that doxycycline hyclate is a weak clastogen.

Oral administration of doxycycline hyclate to male and female Sprague-Dawley rats adversely affected fertility and reproductive performance, as evidenced by increased time for mating to occur, reduced sperm motility, velocity, and concentration, abnormal sperm morphology, and increased pre-and post-implantation losses. Doxycycline hyclate induced reproductive toxicity at all dosages that were examined in this study, as even the lowest dosage tested (50 mg/kg/day) induced a statistically significant reduction in sperm velocity. Note that 50 mg/kg/day is approximately 10 times the amount of doxycycline hyclate contained in the recommended daily dose of doxycycline hyclate tablets for a 60 kg human when compared on the basis of body surface area estimates (mg/m2). Although doxycycline impairs the fertility of rats when administered at sufficient dosage, the effect of doxycycline hyclate tablets on human fertility is unknown.

Package/label Principal Display Panel – 20 Mg 100ct

Structured Label Content

General

Prescribing doxycycline hyclate tablets in the absence of a proven or strongly suspected bacterial infection or a prophylactic indication is unlikely to provide benefit to the patient and increase the risk of the development of drug-resistant bacteria.

While no overgrowth by opportunistic microorganisms such as yeast were noted during clinical studies, as with other antimicrobials, doxycycline hyclate tablets therapy may result in overgrowth of nonsusceptible microorganisms including fungi.

The use of tetracyclines may increase the incidence of vaginal candidiasis.

Doxycycline hyclate tablets should be used with caution in patients with a history or predisposition to oral candidiasis. The safety and effectiveness of doxycycline hyclate tablets have not been established for the treatment of periodontitis in patients with coexistent oral candidiasis.

If superinfection is suspected, appropriate measures should be taken.

Warnings (WARNINGS)

THE USE OF DRUGS OF THE TETRACYCLINE CLASS DURING TOOTH DEVELOPMENT (LAST HALF OF PREGNANCY, INFANCY AND CHILDHOOD TO THE AGE OF 8 YEARS) MAY CAUSE PERMANENT DISCOLORATION OF THE TEETH (YELLOW-GRAY-BROWN). This adverse reaction is more common during long-term use of the drugs but has been observed following repeated short-term courses. Enamel hypoplasia has also been reported. TETRACYCLINE DRUGS, THEREFORE, SHOULD NOT BE USED IN THIS AGE GROUP AND IN PREGNANT OR NURSING MOTHERS UNLESS THE POTENTIAL BENEFITS MAY BE ACCEPTABLE DESPITE THE POTENTIAL RISKS.

All tetracyclines form a stable calcium complex in any bone forming tissue. A decrease in fibula growth rate has been observed in premature infants given oral tetracyclines in doses of 25 mg/kg every 6 hours. This reaction was shown to be reversible when the drug was discontinued.

Doxycycline can cause fetal harm when administered to a pregnant woman. Results of animal studies indicate that tetracyclines cross the placenta, are found in fetal tissues, and can have toxic effects on the developing fetus (often related to retardation of skeletal development).

Evidence of embryotoxicity has also been noted in animals treated early in pregnancy. If any tetracyclines are used during pregnancy, or if the patient becomes pregnant while taking this drug, the patient should be apprised of the potential hazard to the fetus.

The catabolic action of the tetracyclines may cause and increase in BUN. Previous studies have not observed an increase in BUN with the use of doxycycline in patients with impaired renal function.

Photosensitivity manifested by an exaggerated sunburn reaction has been observed in some individuals taking tetracyclines. Patients apt to be exposed to direct sunlight or ultraviolet light should be advised that this reaction can occur with tetracycline drugs, and treatment should be discontinued at the first evidence of skin erythema.

Fixed drug eruptions have occurred with doxycycline and have been associated with worsening severity upon subsequent administrations, including generalized bullous fixed drug eruption (see ADVERSE REACTIONS ). If severe skin reactions occur, discontinue doxycycline hyclate tablets immediately and institute appropriate therapy.

Pregnancy

Teratogenic Effects: Pregnancy Category D. (See WARNINGS Section). Results from animal studies indicate that doxycycline crosses the placenta and is found in fetal tissues.

Nonteratogenic effects: (See WARNINGS Section).

Overdosage (OVERDOSAGE)

In case of overdosage, discontinue medication, treat symptomatically and institute supportive measures. Dialysis does not alter serum half-life and thus would not be of benefit in treating cases of overdose.

References

1. Golub L.M., Sorsa T., Lee H-M, Ciancio S., Sorbi D., Ramamurthy N.S., Gruber B., Salo T., Konttinen Y.T.: Doxycycline Inhibits Neutrophil (PMN)-type Matrix Metalloproteinases in Human Adult Periodontitis Gingiva. J. Clin. Periodontol: 1995; 22: 100-109.

2. Golub L.M., Ciancio S., Ramamurthy N.S., Leung M., McNamara T.F.: Low-dose Doxycycline Therapy: Effect on Gingival and Crevicular Fluid Collagenase Activity in Humans. J. Periodont Res 1990; 25: 321-330.

3. Golub L.M., Lee H.M., Greenwald R.A., Ryan M.E., Salo T., Giannobile W.V.: A Matrix Metalloproteinase Inhibitor Reduces Bone-type Collagen Degradation Fragments and Specific Collegenases in Gingival Crevicular Fluid During Adult Periodontitis. Inflammation Research 1997; 46: 310-319.

4. Saivain S., Houin G.: Clinical Pharmacokinetics of Doxycycline and Minocycline. Clin. Pharmacokinetics 1988; 15: 355-366.

5. Schach von Wittenau M., Twomey T.: The Disposition of Doxycycline by Man and Dog. Chemotherapy 1971; 16: 217-228.

6. Campistron G., Coulais Y., Caillard C., Mosser J., Pontagnier H., Houin G.: Pharmacokinetics and Bioavailability of Doxycycline in Humans. Arzneimittel Forschung 1986; 36: 1705-1707.

Distributed by:

Epic Pharma, LLC

Laurelton, NY 11413 USA

Rev.03-2025-00

MF0362REV03/25E

LN0017

Description (DESCRIPTION)

Doxycycline hyclate tablets, USP are available as a 20 mg formulation of doxycycline for oral administration.

The structural formula of doxycycline hyclate is:

with a structural formula of (C22H24N2O8•HCl)2•C2H6O•H2O and a molecular weight of 1025.89. The chemical designation for doxycycline is 4-(dimethylamino)-1,4,4a,5,5a,6,11,12a-octahydro-3,5,10,12,12a-pentahydroxy-6-methyl-1,11-dioxo-2-naphthacenecarboxamide monohydrochloride, compound with ethyl alcohol (2:1), monohydrate.

Doxycycline hyclate is a yellow to light-yellow crystalline powder which is soluble in water.

Each tablet contains the following inactive ingredients: hypromellose, lactose anhydrous, magnesium stearate, microcrystalline cellulose, polyethylene glycol, polysorbate 80 and titanium dioxide.

Meet USP Dissolution Test 5.

How Supplied (HOW SUPPLIED)

Doxycycline hyclate tablets USP, 20 mg are round, white unscored tablet, debossed “Є” above “362” on one side and plain on the other side. They are supplied as follows:

NDC 42806-362-01 Bottles of 100 tablets

NDC 42806-362-10 Bottles of 1000 tablets

Store at 20° to 25°C (68° to 77°F) [See USP Controlled Room Temperature].

Dispense in tight, light-resistant containers as defined in the USP.

KEEP THIS AND ALL DRUGS OUT OF THE REACH OF CHILDREN.

Pediatric Use

The use of doxycycline hyclate tablets in infancy and childhood is contraindicated. (See WARNINGS section.)

Nursing Mothers

Tetracyclines are excreted in human milk. Because of the potential for serious adverse reactions in nursing infants from doxycycline, the use of doxycycline hyclate tablets in nursing mothers is contraindicated. (See WARNINGS Section).

Laboratory Tests

In long term therapy, periodic laboratory evaluations of organ systems, including hematopoietic, renal, and hepatic studies should be performed.

Adverse Reactions (ADVERSE REACTIONS)

Adverse Reactions in Clinical Trials of a bioequivalent form of doxycycline hyclate capsules : In clinical trials of adult patients with periodontal disease 213 patients received 20 mg BID over a 9 to 12 month period. The most frequent adverse reactions occurring in studies involving treatment with a bioequivalent form of doxycycline hyclate capsules or placebo are listed below:

Incidence (%) of Adverse Reactions in Clinical Trials of Doxycycline Hyclate Capsules, 20 mg (Bioequivalent to Doxycycline Hyclate Tablets, 20 mg) vs. Placebo

Adverse Reactions

Doxycycline Hyclate

Capsules 20 mg BID

(n=213)

Placebo

(n=215)

Headache

55 (26%)

56 (26%)

Common Cold

47 (22%)

46 (21%)

Flu Symptoms

24 (11%)

40 (19%)

Tooth Ache

14 (7%)

28 (13%)

Periodontal Abscess

8 (4%)

21 (10%)

Tooth Disorder

13 (6%)

19 (9%)

Nausea

17 (8%)

12 (6%)

Sinusitis

7 (3%)

18 (8%)

Injury

11 (5%)

18 (8%)

Dyspepsia

13 (6%)

5 (2%)

Sore Throat

11 (5%)

13 (6%)

Joint Pain

12 (6%)

8 (4%)

Diarrhea

12 (6%)

8 (4%)

Sinus Congestion

11 (5%)

11 (5%)

Coughing

9 (4%)

11 (5%)

Sinus Headache

8 (4%)

8 (4%)

Rash

8 (4%)

6 (3%)

Back Pain

7 (3%)

8 (4%)

Back Ache

4 (2%)

9 (4%)

Menstrual Cramp

9 (4%)

5 (2%)

Acid Indigestion

8 (4%)

7 (3%)

Pain

8 (4%)

5 (2%)

Infection

4 (2%)

6 (3%)

Gum Pain

1 (<1%)

6 (3%)

Bronchitis

7 (3%)

5 (2%)

Muscle Pain

2 (1%)

6 (3%)

Note: Percentages are based on total number of study participants in each treatment group.

Adverse Reactions for Tetracyclines: The following adverse reactions have been observed in patients receiving tetracyclines:

Gastrointestinal: anorexia, nausea, vomiting, diarrhea, glossitis, dysphagia, enterocolitis, and inflammatory lesions (with vaginal candidiasis) in the anogenital region. Hepatotoxicity has been reported rarely. Rare instances of esophagitis and esophageal ulcerations have been reported in patients receiving the capsule forms of the drugs in the tetracycline class. Most of these patients took medications immediately before going to bed. (See DOSAGE AND ADMINISTRATION Section).

Skin: maculopapular and erythematous rashes, Stevens-Johnson syndrome, toxic epidermal necrolysis, erythema multiforme, and fixed drug eruption have been reported. Exfoliative dermatitis has been reported but is uncommon. Photosensitivity is discussed above. (See WARNINGS Section).

Renal toxicity: Rise in BUN has been reported and is apparently dose related. (See WARNINGS Section).

Hypersensitivity reactions: urticaria, angioneurotic edema, anaphylaxis, anaphylactoid purpura, serum sickness, pericarditis, and exacerbation of systemic lupus erythematosus.

Blood: Hemolytic anemia, thrombocytopenia, neutropenia, and eosinophilia have been reported.

Psychiatric: Depression, anxiety, suicidal ideation, insomnia, abnormal dreams, hallucination.

Contraindications (CONTRAINDICATIONS)

This drug is contraindicated in persons who have shown hypersensitivity to doxycycline or any of the other tetracyclines.

Drug Interactions

Because tetracyclines have been shown to depress plasma prothrombin activity, patients who are on anticoagulant therapy may require downward adjustment of their anticoagulant dosage.

Since bacterial antibiotics, such as the tetracycline class of antibiotics, may interfere with the bactericidal action of members of the β-lactam (e.g. penicillin) class of antibiotics, it is not advisable to administer these antibiotics concomitantly.

Absorption of tetracyclines is impaired by antacids containing aluminum, calcium, or magnesium, and iron-containing preparations, and by bismuth subsalicylate.

Barbiturates, carbamazepine, and phenytoin decrease the half-life of doxycycline.

The concurrent use of tetracycline and methoxyflurane has been reported to result in fatal renal toxicity.

Concurrent use of tetracyclines may render oral contraceptives less effective.

Labor and Delivery

The effect of tetracyclines on labor and delivery is unknown.

Clinical Pharmacology (CLINICAL PHARMACOLOGY)

After oral administration, doxycycline hyclate is rapidly and nearly completely absorbed from the gastrointestinal tract. Doxycycline is eliminated with a half-life of approximately 18 hours by renal and fecal excretion of unchanged drug.

Indications and Usage (INDICATIONS AND USAGE)

Doxycycline hyclate tablets, USP are indicated for use as an adjunct to scaling and root planing to promote attachment level gain and to reduce pocket depth in patients with adult periodontitis.

To reduce the development of drug-resistant bacteria and maintain the effectiveness of doxycycline hyclate tablets and other antibacterial drugs, doxycycline hyclate tablets should be used only to treat or prevent infections that are proven or strongly suspected to be caused by susceptible bacteria. When culture susceptibility information is available, they should be considered in selecting or modifying antibacterial therapy. In the absence of such data, local epidemiology and susceptibility patterns may contribute to the empiric selection of therapy.

Information for Patients

Patients should be counseled that antibacterial drugs including doxycycline hyclate tablets should only be used to treat bacterial infections. They do not treat viral infections (e.g. the common cold). When doxycycline hyclate tablets are prescribed to treat a bacterial infection, patients should be told that although it is common to feel better early in the course of therapy, the medication should be taken exactly as directed. Skipping doses or not completing the full course of therapy may (1) decrease the effectiveness of the immediate treatment and (2) increase the likelihood that bacteria will develop resistance and will not be treatable by doxycycline hyclate tablets or other antibacterial drugs in the future.

Dosage and Administration (DOSAGE AND ADMINISTRATION)

THE DOSAGE OF DOXYCYCLINE HYCLATE TABLETS DIFFERS FROM THAT OF DOXYCYCLINE USED TO TREAT INFECTIONS. EXCEEDING THE RECOMMENDED DOSAGE MAY RESULT IN AN INCREASED INCIDENCE OF SIDE EFFECTS INCLUDING THE DEVELOPMENT OF RESISTANT MICROORGANISMS.

Doxycycline hyclate tablets 20 mg twice daily as an adjunct following scaling and root planing may be administered for up to 9 months. Doxycycline hyclate tablets should be taken twice daily at 12 hour intervals, usually in the morning and evening. It is recommended that if doxycycline hyclate tablets is taken close to meal times, allow at least one hour prior to or two hours after meals. Safety beyond 12 months and efficacy beyond 9 months have not been established.

Administration of adequate amounts of fluid along with the tablets is recommended to wash down the drug and reduce the risk of esophageal irritation and ulceration. (See ADVERSE REACTIONS Section).

Drug/laboratory Test Interactions (Drug/Laboratory Test Interactions)

False elevations of urinary catecholamine levels may occur due to interference with the fluorescence test.

Carcinogenesis, Mutagenesis, Impairment of Fertility

Doxycycline hyclate was assessed for potential to induce carcinogenesis in a study in which the compound was administered to Sprague-Dawley rats by gavage at dosages of 20, 75, and 200 mg/kg/day for two years. An increased incidence of uterine polyps was observed in female rats that received 200 mg/kg/day, a dosage that resulted in a systemic exposure to doxycycline approximately nine times that observed in female humans that used doxycycline hyclate tablets (exposure comparison based upon AUC values). No impact upon tumor incidence was observed in male rats at 200 mg/kg/day, or in either gender at the other dosages studied. Evidence of oncogenic activity was obtained in studies with related compounds, i.e., oxytetracycline (adrenal and pituitary tumors), and minocycline (thyroid tumors).

Doxycycline hyclate demonstrated no potential to cause genetic toxicity in an in vitro point mutation study with mammalian cells (CHO/HGPRT forward mutation assay) or in an in vivo micronucleus assay conducted in CD-1 mice. However, data from an in vitro assay with CHO cells for potential to cause chromosomal aberrations suggest that doxycycline hyclate is a weak clastogen.

Oral administration of doxycycline hyclate to male and female Sprague-Dawley rats adversely affected fertility and reproductive performance, as evidenced by increased time for mating to occur, reduced sperm motility, velocity, and concentration, abnormal sperm morphology, and increased pre-and post-implantation losses. Doxycycline hyclate induced reproductive toxicity at all dosages that were examined in this study, as even the lowest dosage tested (50 mg/kg/day) induced a statistically significant reduction in sperm velocity. Note that 50 mg/kg/day is approximately 10 times the amount of doxycycline hyclate contained in the recommended daily dose of doxycycline hyclate tablets for a 60 kg human when compared on the basis of body surface area estimates (mg/m2). Although doxycycline impairs the fertility of rats when administered at sufficient dosage, the effect of doxycycline hyclate tablets on human fertility is unknown.

Package/label Principal Display Panel – 20 Mg 100ct (PACKAGE/LABEL PRINCIPAL DISPLAY PANEL – 20 mg 100ct)

Advanced Ingredient Data


Raw Label Data

All Sections (JSON)