Clindamycin Palmitate Hydrochloride For Oral Solution, Usp (pediatric)

Clindamycin Palmitate Hydrochloride For Oral Solution, Usp (pediatric)
SPL v12
SPL
SPL Set ID b35e3714-44d1-4e6a-a124-555ad259fec1
Route
ORAL
Published
Effective Date 2024-07-15
Document Type 34391-3 Human Prescription Drug Label

Drug Facts

Composition & Product

Active Ingredients
Clindamycin (75 mg)
Inactive Ingredients
Icodextrin Ethylparaben Isopropyl Alcohol Poloxamer 188 Dimethicone Silicon Dioxide Sucrose Cherry

Identifiers & Packaging

Pill Appearance
Color: white
Marketing Status
ANDA Completed Since 2013-04-30 Until 2026-12-31

Description

To reduce the development of drug-resistant bacteria and maintain the effectiveness of clindamycin palmitate hydrochloride for oral solution (Pediatric) and other antibacterial drugs, clindamycin palmitate hydrochloride for oral solution (Pediatric) should be used only to treat or prevent infections that are proven or strongly suspected to be caused by bacteria. Not for Injection

Indications and Usage

Clindamycin palmitate hydrochloride for oral solution (Pediatric) is indicated in the treatment of serious infections caused by susceptible anaerobic bacteria. Clindamycin is also indicated in the treatment of serious infections due to susceptible strains of streptococci, pneumococci and staphylococci. Its use should be reserved for penicillin-allergic patients or other patients for whom, in the judgment of the physician, a penicillin is inappropriate. Because of the risk of colitis, as described in the BOXED WARNING , before selecting clindamycin the physician should consider the nature of the infection and the suitability of less toxic alternatives (e.g., erythromycin). Anaerobes: Serious respiratory tract infections such as empyema, anaerobic pneumonitis and lung abscess; serious skin and soft tissue infections; septicemia; intra-abdominal infections such as peritonitis and intra-abdominal abscess (typically resulting from anaerobic organisms resident in the normal gastrointestinal tract); infections of the female pelvis and genital tract such as endometritis, nongonococcal tubo-ovarian abscess, pelvic cellulitis and postsurgical vaginal cuff infection.                                    Streptococci: Serious respiratory tract infections; serious skin and soft tissue infections. Staphylococci: Serious respiratory tract infections; serious skin and soft tissue infections. Pneumococci: Serious respiratory tract infections. Bacteriologic studies should be performed to determine the causative organisms and their susceptibility to clindamycin. To reduce the development of drug-resistant bacteria and maintain the effectiveness of clindamycin palmitate hydrochloride for oral solution (Pediatric) and other antibacterial drugs, clindamycin palmitate hydrochloride for oral solution (Pediatric) should be used only to treat or prevent infections that are proven or strongly suspected to be caused by susceptible bacteria. When culture and susceptibility information are available, they should be considered in selecting or modifying antibacterial therapy. In the absence of such data, local epidemiology and susceptibility patterns may contribute to the empiric selection of therapy.

Dosage and Administration

If significant diarrhea occurs during therapy, this antibiotic should be discontinued (see BOXED WARNING ). Concomitant administration of food does not adversely affect the absorption of clindamycin palmitate hydrochloride contained in clindamycin palmitate hydrochloride for oral solution (Pediatric). Serious infections: 8 to 12 mg/kg/day (4 to 6 mg/lb/day) divided into 3 or 4 equal doses. Severe infections: 13 to 16 mg/kg/day (6.5 to 8 mg/lb/day) divided into 3 or 4 equal doses. More severe infections: 17 to 25 mg/kg/day (8.5 to 12.5 mg/lb/day) divided into 3 or 4 equal doses. In pediatric patients weighing 10 kg or less, ½ teaspoon (37.5 mg) three times a day should be considered the minimum recommended dose. Clindamycin should be dosed based on total body weight regardless of obesity. Serious infections due to anaerobic bacteria are usually treated with clindamycin injection. However, in clinically appropriate circumstances, the physician may elect to initiate treatment or continue treatment with clindamycin palmitate hydrochloride for oral solution (Pediatric). NOTE: In cases of β-hemolytic streptococcal infections, treatment should be continued for at least 10 days. Reconstitution Instructions When reconstituted with water as follows, each 5 mL (teaspoon) of solution contains clindamycin palmitate hydrochloride equivalent to 75 mg clindamycin. Reconstitute bottles of 100 mL with 75 mL of water. Add a large portion of the water and shake vigorously; add the remainder of the water and shake until the solution is uniform. Storage Conditions Store at 20° to 25°C (68° to 77°F). [See USP Controlled Room Temperature.] Do NOT refrigerate the reconstituted solution; when chilled, the solution may thicken and be difficult to pour. The solution is stable for 2 weeks at room temperature.

Contraindications

This drug is contraindicated in individuals with a history of hypersensitivity to preparations containing clindamycin or lincomycin.

Adverse Reactions

The following reactions have been reported with the use of clindamycin. Infections and infestations: Clostridium difficile colitis Gastrointestinal: Abdominal pain, pseudomembranous colitis, esophagitis, nausea, vomiting and diarrhea (see BOXED WARNING ). The onset of pseudomembranous colitis symptoms may occur during or after antibacterial treatment (see WARNINGS ). An unpleasant or metallic taste has been reported after oral administration. Hypersensitivity Reactions: Generalized mild to moderate morbilliform-like (maculopapular) skin rashes are the most frequently reported adverse reactions. Vesiculobullous rashes, as well as urticaria, have been observed during drug therapy. Severe skin reactions such as Toxic Epidermal Necrolysis, some with fatal outcome, have been reported (See WARNINGS ). Cases of Acute Generalized Exanthematous Pustulosis (AGEP), erythema multiforme, some resembling Stevens-Johnson syndrome, anaphylactic shock, anaphylactic reaction and hypersensitivity have also been reported. Skin and Mucous Membranes: Pruritus, vaginitis, angioedema, and rare instances of exfoliative dermatitis have been reported. (See Hypersensitivity Reactions .) Liver: Jaundice and abnormalities in liver function tests have been observed during clindamycin therapy. Renal : Although no direct relationship of clindamycin to renal damage has been established, renal dysfunction as evidenced by azotemia, oliguria, and/or proteinuria has been observed. Hematopoietic: Transient neutropenia (leukopenia) and eosinophilia have been reported. Reports of agranulocytosis and thrombocytopenia have been made. No direct etiologic relationship to concurrent clindamycin therapy could be made in any of the foregoing. Immune system: Drug reaction with eosinophilia and systemic symptoms (DRESS) cases have been reported. Musculoskeletal: Cases of polyarthritis have been reported.

Drug Interactions

Clindamycin has been shown to have neuromuscular blocking properties that may enhance the action of other neuromuscular blocking agents. Therefore, it should be used with caution in patients receiving such agents. Clindamycin is metabolized predominantly by CYP3A4, and to a lesser extent by CYP3A5, to the major metabolite clindamycin sulfoxide and minor metabolite N-desmethylclindamycin. Therefore inhibitors of CYP3A4 and CYP3A5 may increase plasma concentrations of clindamycin and inducers of these isoenzymes may reduce plasma concentrations of clindamycin. In the presence of strong CYP3A4 inhibitors, monitor for adverse reactions. In the presence of strong CYP3A4 inducers such as rifampicin, monitor for loss of effectiveness. In vitro studies indicate that clindamycin does not inhibit CYP1A2, CYP2C9, CYP2C19, CYP2E1 or CYP2D6 and only moderately inhibits CYP3A4.

How Supplied

Clindamycin palmitate hydrochloride for oral solution, USP (Pediatric) is white flavored granules and becomes colorless to off-white with cherry flavored solution after reconstitution. It is available in bottles of 100 mL.                              Bottles of 100 mL (Glass)         NDC 16714-483-01                              Bottles of 100 mL (HDPE)        NDC 16714-483-02 When reconstituted as directed, each bottle yields a solution containing 75 mg of clindamycin per 5 mL. Store at 20° to 25°C (68° to 77°F). [See USP Controlled Room Temperature.]


Medication Information

Indications and Usage

Clindamycin palmitate hydrochloride for oral solution (Pediatric) is indicated in the treatment of serious infections caused by susceptible anaerobic bacteria.



Clindamycin is also indicated in the treatment of serious infections due to susceptible strains of streptococci, pneumococci and staphylococci. Its use should be reserved for penicillin-allergic patients or other patients for whom, in the judgment of the physician, a penicillin is inappropriate. Because of the risk of colitis, as described in the BOXED WARNING , before selecting clindamycin the physician should consider the nature of the infection and the suitability of less toxic alternatives (e.g., erythromycin).



Anaerobes: Serious respiratory tract infections such as empyema, anaerobic pneumonitis and lung abscess; serious skin and soft tissue infections; septicemia; intra-abdominal infections such as peritonitis and intra-abdominal abscess (typically resulting from anaerobic organisms resident in the normal gastrointestinal tract); infections of the female pelvis and genital tract such as endometritis, nongonococcal tubo-ovarian abscess, pelvic cellulitis and postsurgical vaginal cuff infection.

                                  

Streptococci: Serious respiratory tract infections; serious skin and soft tissue infections.



Staphylococci: Serious respiratory tract infections; serious skin and soft tissue infections.



Pneumococci: Serious respiratory tract infections. Bacteriologic studies should be performed to determine the causative organisms and their susceptibility to clindamycin.



To reduce the development of drug-resistant bacteria and maintain the effectiveness of clindamycin palmitate hydrochloride for oral solution (Pediatric) and other antibacterial drugs, clindamycin palmitate hydrochloride for oral solution (Pediatric) should be used only to treat or prevent infections that are proven or strongly suspected to be caused by susceptible bacteria. When culture and susceptibility information are available, they should be considered in selecting or modifying antibacterial therapy. In the absence of such data, local epidemiology and susceptibility patterns may contribute to the empiric selection of therapy.

Dosage and Administration

If significant diarrhea occurs during therapy, this antibiotic should be discontinued (see BOXED WARNING ).



Concomitant administration of food does not adversely affect the absorption of clindamycin palmitate hydrochloride contained in clindamycin palmitate hydrochloride for oral solution (Pediatric).



Serious infections: 8 to 12 mg/kg/day (4 to 6 mg/lb/day) divided into 3 or 4 equal doses.



Severe infections: 13 to 16 mg/kg/day (6.5 to 8 mg/lb/day) divided into 3 or 4 equal doses.



More severe infections: 17 to 25 mg/kg/day (8.5 to 12.5 mg/lb/day) divided into 3 or 4 equal doses.



In pediatric patients weighing 10 kg or less, ½ teaspoon (37.5 mg) three times a day should be considered the minimum recommended dose. Clindamycin should be dosed based on total body weight regardless of obesity.



Serious infections due to anaerobic bacteria are usually treated with clindamycin injection. However, in clinically appropriate circumstances, the physician may elect to initiate treatment or continue treatment with clindamycin palmitate hydrochloride for oral solution (Pediatric).



NOTE: In cases of β-hemolytic streptococcal infections, treatment should be continued for at least 10 days.



Reconstitution Instructions

When reconstituted with water as follows, each 5 mL (teaspoon) of solution contains clindamycin palmitate hydrochloride equivalent to 75 mg clindamycin.



Reconstitute bottles of 100 mL with 75 mL of water. Add a large portion of the water and shake vigorously; add the remainder of the water and shake until the solution is uniform.



Storage Conditions

Store at 20° to 25°C (68° to 77°F). [See USP Controlled Room Temperature.]



Do NOT refrigerate the reconstituted solution; when chilled, the solution may thicken and be difficult to pour. The solution is stable for 2 weeks at room temperature.

Contraindications


This drug is contraindicated in individuals with a history of hypersensitivity to preparations containing clindamycin or lincomycin.

Adverse Reactions

The following reactions have been reported with the use of clindamycin.



Infections and infestations: Clostridium difficile colitis



Gastrointestinal: Abdominal pain, pseudomembranous colitis, esophagitis, nausea, vomiting and diarrhea (see BOXED WARNING ). The onset of pseudomembranous colitis symptoms may occur during or after antibacterial treatment (see WARNINGS ). An unpleasant or metallic taste has been reported after oral administration.



Hypersensitivity Reactions: Generalized mild to moderate morbilliform-like (maculopapular) skin rashes are the most frequently reported adverse reactions. Vesiculobullous rashes, as well as urticaria, have been observed during drug therapy. Severe skin reactions such as Toxic Epidermal Necrolysis, some with fatal outcome, have been reported (See WARNINGS ). Cases of Acute Generalized Exanthematous Pustulosis (AGEP), erythema multiforme, some resembling Stevens-Johnson syndrome, anaphylactic shock, anaphylactic reaction and hypersensitivity have also been reported.



Skin and Mucous Membranes: Pruritus, vaginitis, angioedema, and rare instances of exfoliative dermatitis have been reported. (See Hypersensitivity Reactions .)



Liver: Jaundice and abnormalities in liver function tests have been observed during clindamycin therapy.



Renal : Although no direct relationship of clindamycin to renal damage has been established, renal dysfunction as evidenced by azotemia, oliguria, and/or proteinuria has been observed.



Hematopoietic: Transient neutropenia (leukopenia) and eosinophilia have been reported. Reports of agranulocytosis and thrombocytopenia have been made. No direct etiologic relationship to concurrent clindamycin therapy could be made in any of the foregoing.



Immune system: Drug reaction with eosinophilia and systemic symptoms (DRESS) cases have been reported.



Musculoskeletal: Cases of polyarthritis have been reported.

Drug Interactions


Clindamycin has been shown to have neuromuscular blocking properties that may enhance the action of other neuromuscular blocking agents. Therefore, it should be used with caution in patients receiving such agents.



Clindamycin is metabolized predominantly by CYP3A4, and to a lesser extent by CYP3A5, to the major metabolite clindamycin sulfoxide and minor metabolite N-desmethylclindamycin. Therefore inhibitors of CYP3A4 and CYP3A5 may increase plasma concentrations of clindamycin and inducers of these isoenzymes may reduce plasma concentrations of clindamycin. In the presence of strong CYP3A4 inhibitors, monitor for adverse reactions. In the presence of strong CYP3A4 inducers such as rifampicin, monitor for loss of effectiveness.



In vitro studies indicate that clindamycin does not inhibit CYP1A2, CYP2C9, CYP2C19, CYP2E1 or CYP2D6 and only moderately inhibits CYP3A4.

How Supplied




Clindamycin palmitate hydrochloride for oral solution, USP (Pediatric) is white flavored granules and becomes colorless to off-white with cherry flavored solution after reconstitution. It is available in bottles of 100 mL.



                             Bottles of 100 mL (Glass)         NDC 16714-483-01

                             Bottles of 100 mL (HDPE)        NDC 16714-483-02



When reconstituted as directed, each bottle yields a solution containing 75 mg of clindamycin per 5 mL.



Store at
20° to 25°C (68° to 77°F). [See USP Controlled Room Temperature.]

Description

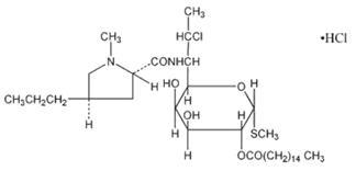
Clindamycin palmitate hydrochloride is a water soluble hydrochloride salt of the ester of clindamycin and palmitic acid. Clindamycin is a semisynthetic antibiotic produced by a 7(S)-chloro-substitution of the 7(R)-hydroxyl group of the parent compound lincomycin.



The structural formula is represented below:



The chemical name for clindamycin palmitate hydrochloride is Methyl 7-chloro-6, 7, 8-trideoxy-6-(1-methyl-trans-4-propyl-L-2-pyrrolidinecarboxamido)-1-thio-L-threo-α-D-galacto-octopyranoside 2-palmitate monohydrochloride.



Clindamycin palmitate hydrochloride for oral solution, USP (Pediatric) is white flavored granules containing clindamycin palmitate hydrochloride USP and becomes colorless to off-white with cherry flavored solution after reconstitution. Each 5 mL contains the equivalent of   75 mg clindamycin. Inactive ingredients: artificial cherry flavor, dextrin, ethylparaben, isopropyl alcohol, poloxamer, simethicone emulsion, and sucrose.



Section 34077-8

In clinical trials with pregnant women, the systemic administration of clindamycin during the second and third trimesters, has not been associated with an increased frequency of congenital abnormalities. Clindamycin should be used during the first trimester of pregnancy only if clearly needed. There are no adequate and well-controlled studies in pregnant women during the first trimester of pregnancy. Because animal reproduction studies are not always predictive of the human response, this drug should be used during pregnancy only if clearly needed.



Reproduction studies performed in rats and mice using oral doses of clindamycin up to 600 mg/kg/day (3.2 and 1.6 times the highest recommended adult human dose based on mg/m2, respectively) or subcutaneous doses of clindamycin up to 250 mg/kg/day (1.3 and 0.7 times the highest recommended adult human dose based on mg/m2, respectively) revealed no evidence of teratogenicity.

Section 42229-5

To reduce the development of drug-resistant bacteria and maintain the effectiveness of clindamycin palmitate hydrochloride for oral solution (Pediatric) and other antibacterial drugs, clindamycin palmitate hydrochloride for oral solution (Pediatric) should be used only to treat or prevent infections that are proven or strongly suspected to be caused by bacteria.



Not for Injection

General

Review of experience to date suggests that a subgroup of older patients with associated severe illness may tolerate diarrhea less well. When clindamycin is indicated in these patients, they should be carefully monitored for change in bowel frequency.



Clindamycin palmitate hydrochloride for oral solution (Pediatric) should be prescribed with caution in individuals with a history of gastrointestinal disease, particularly colitis.



Clindamycin palmitate hydrochloride for oral solution (Pediatric) should be prescribed with caution in atopic individuals.



Indicated surgical procedures should be performed in conjunction with antibiotic therapy.



The use of clindamycin palmitate hydrochloride for oral solution (Pediatric) occasionally results in overgrowth of nonsusceptible organisms-particularly yeasts. Should superinfections occur, appropriate measures should be taken as indicated by the clinical situation.



Clindamycin dosage modification may not be necessary in patients with renal disease. In patients with moderate to severe liver disease, prolongation of clindamycin half-life has been found. However, it was postulated from studies that when given every eight hours, accumulation should rarely occur. Therefore, dosage modification in patients with liver disease may not be necessary. However, periodic liver enzyme determinations should be made when treating patients with severe liver disease.



Prescribing clindamycin palmitate hydrochloride for oral solution (Pediatric) in the absence of a proven or strongly suspected bacterial infection or a prophylactic indication is unlikely to provide benefit to the patient and increases the risk of the development of drug-resistant bacteria.

Warning


Clostridium difficile associated diarrhea (CDAD) has been reported with use of nearly all antibacterial agents, including clindamycin and may range in severity from mild diarrhea to fatal colitis. Treatment with antibacterial agents alters the normal flora of the colon leading to overgrowth of C.difficile.



Because clindamycin therapy has been associated with severe colitis which may end fatally, it should be reserved for serious infections where less toxic antimicrobial agents are inappropriate, as described in the INDICATIONS AND USAGE section. It should not be used in patients with nonbacterial infections such as most upper respiratory tract infections. C.difficile produces toxins A and B which contribute to the development of CDAD. Hypertoxin producing strains of C.difficile cause increased morbidity and mortality, as these infections can be refractory to antimicrobial therapy and may require colectomy. CDAD must be considered in all patients who present with diarrhea following antibiotic use. Careful medical history is necessary since CDAD has been reported to occur over two months after the administration of antibacterial agents. If CDAD is suspected or confirmed, ongoing antibiotic use not directed against C.difficile may need to be discontinued. Appropriate fluid and electrolyte management, protein supplementation, antibiotic treatment of C.difficile, and surgical evaluation should be instituted as clinically indicated.





Warnings

See BOXED WARNING .

 

Clostridium difficile Associated Diarrhea

Clostridium difficile associated diarrhea (CDAD) has been reported with use of nearly all antibacterial agents, including clindamycin palmitate hydrochloride for oral solution (Pediatric), and may range in severity from mild diarrhea to fatal colitis. Treatment with antibacterial agents alters the normal flora of the colon leading to overgrowth of C. difficile.

 

C. difficile produces toxins A and B which contribute to the development of CDAD. Hypertoxin producing strains of C. difficile cause increased morbidity and mortality, as these infections can be refractory to antimicrobial therapy and may require colectomy. CDAD must be considered in all patients who present with diarrhea following antibiotic use. Careful medical history is necessary since CDAD has been reported to occur over two months after the administration of antibacterial agents.

 

If CDAD is suspected or confirmed, ongoing antibiotic use not directed against C. difficile may need to be discontinued. Appropriate fluid and electrolyte management, protein supplementation, antibiotic treatment of C. difficile, and surgical evaluation should be instituted as clinically indicated.

 

Anaphylactic and Severe Hypersensitivity Reactions

 

Anaphylactic shock and anaphylactic reactions have been reported (see ADVERSE REACTIONS ).



Severe hypersensitivity reactions, including severe skin reactions such as toxic epidermal necrolysis (TEN), drug reaction with eosinophilia and systemic symptoms (DRESS), and Stevens-Johnson syndrome (SJS), some with fatal outcome, have been reported (see ADVERSE REACTIONS ).



In case of such an anaphylactic or severe hypersensitivity reaction, discontinue treatment permanently and institute appropriate therapy.



A careful inquiry should be made concerning previous sensitivities to drugs and other allergens.



Usage in Meningitis: Since clindamycin does not diffuse adequately into the cerebrospinal fluid, the drug should not be used in the treatment of meningitis.

Overdosage


Significant mortality was observed in mice at an intravenous dose of 855 mg/kg and in rats at an oral or subcutaneous dose of approximately 2618 mg/kg. In the mice, convulsions and depression were observed. Hemodialysis and peritoneal dialysis are not effective in removing clindamycin from the serum.

References

1.   Smith RB, Phillips JP: Evaluation of CLEOCIN HCl and CLEOCIN Phosphate in an Aged Population. Upjohn TR 8147-82-9122-021, December 1982.



Trademarks are the property of their respective owners.



Manufactured for:   Northstar Rx LLC

                               Memphis, TN 38141.

                               Toll No: 1-800-206-7821

                               

Manufactured by:   Aurobindo Pharma Limited

                               Hyderabad-500 090, India.



M.L.No.: 19/HD/AP/95/F/R



Revised: 12/2022

Microbiology

Mechanism of Action

Clindamycin inhibits bacterial protein synthesis by binding to the 23S RNA of the 50S subunit of the ribosome. Clindamycin is bacteriostatic.



Resistance



Resistance to clindamycin is most often caused by modification of specific bases of the 23S ribosomal RNA. Cross-resistance between clindamycin and lincomycin is complete. Because the binding sites for these antibacterial drugs overlap, cross-resistance is sometimes observed among lincosamides, macrolides and streptogramin B. Macrolide-inducible resistance to clindamycin occurs in some isolates of macrolide-resistant bacteria. Macrolide-resistant isolates of staphylococci and beta-hemolytic streptococci should be screened for induction of clindamycin resistance using the D-zone test.



Antimicrobial Activity



Clindamycin has been shown to be active against most of the isolates of the following microorganisms, both in vitro and in clinical infections, as described in the  INDICATIONS AND USAGE  section.



Gram-positive Bacteria

Staphylococcus aureus (methicillin-susceptible strains)

Streptococcus pneumoniae (penicillin-susceptible strains)

Streptococcus pyogenes

Anaerobic Bacteria

Clostridium perfringens

Fusobacterium necrophorum

Fusobacterium nucleatum

Peptostreptococcus anaerobius

Prevotella melaninogenica



At least 90% of the microorganisms listed below exhibit in vitro minimum inhibitory concentrations (MICs) less than or equal to the clindamycin susceptible MIC breakpoint for organisms of a similar type. However, the efficacy of clindamycin in treating clinical infections due to these microorganisms has not been established in adequate and well-controlled clinical trials.

Gram-positive Bacteria

Staphylococcus epidermidis (methicillin-susceptible strains)

Streptococcus agalactiae

Streptococcus anginosus

Streptococcus mitis

Streptococcus oralis

Anaerobic Bacteria

Actinomyces israelii

Clostridium clostridioforme

Eggerthella lenta

Finegoldia (Peptostreptococcus) magna

Micromonas (Peptostreptococcus) micros

Prevotella bivia

Prevotella intermedia

Propionibacterium acnes



Susceptibility Testing

 

For specific information regarding susceptibility test interpretive criteria and associated test methods and quality control standards recognized by FDA for this drug, please see: https://www.fda.gov/STIC.

Geriatric Use


Clinical studies of clindamycin did not include sufficient numbers of patients age 65 and over to determine whether they respond differently from younger patients. However, other reported clinical experience indicates that antibiotic-associated colitis and diarrhea (due to Clostridium difficile) seen in association with most antibiotics occur more frequently in the elderly (>60 years) and may be more severe. These patients should be carefully monitored for the development of diarrhea.



Pharmacokinetic studies with clindamycin have shown no clinically important differences between young subjects (18 to 39 years) and elderly subjects (61 to 79 years) with normal hepatic function and normal (age-adjusted) renal function after oral or intravenous administration.

Pediatric Use

When clindamycin palmitate hydrochloride for oral solution (Pediatric) is administered to the pediatric population (birth to 16 years), appropriate monitoring of organ system functions is desirable.

Nursing Mothers

Limited published data based on breast milk sampling reports that clindamycin appears in human breast milk in the range of less than 0.5 to 3.8 mcg/mL. Clindamycin has the potential to cause adverse effects on the breast-fed infant's gastrointestinal flora. If oral or intravenous clindamycin is required by a nursing mother, it is not a reason to discontinue breastfeeding, but an alternate drug may be preferred. Monitor the breast-fed infant for possible adverse effects on the gastrointestinal flora, such as diarrhea, candidiasis (thrush, diaper rash) or rarely, blood in the stool indicating possible antibiotic-associated colitis.



The developmental and health benefits of breastfeeding should be considered along with the mother's clinical need for clindamycin and any potential adverse effects on the breast-fed child from clindamycin or from the underlying maternal condition.

Laboratory Tests


During prolonged therapy, periodic liver and kidney function tests and blood counts should be performed.

Human Pharmacology

Absorption



Blood level studies comparing clindamycin palmitate hydrochloride with clindamycin hydrochloride show that both drugs reach their peak active serum levels at the same time, indicating a rapid hydrolysis of the palmitate to the clindamycin.



Serum level studies with clindamycin palmitate hydrochloride in normal pediatric patients weighing 50 to 100 lbs given 2, 3 or 4 mg/kg every 6 hours (8, 12 or 16 mg/kg/day) demonstrated mean peak clindamycin serum levels of 1.24, 2.25 and 2.44 mcg/mL respectively, one hour after the first dose. By the fifth dose, the 6-hour serum concentration had reached equilibrium. Peak serum concentrations after this time would be about 2.46, 2.98 and 3.79 mcg/mL with doses of 8, 12 and 16 mg/kg/day, respectively. Serum levels have been uniform and predictable from person to person and dose to dose.



Distribution



Multiple-dose studies in neonates and infants up to 6 months of age show that the drug does not accumulate in the serum and is excreted rapidly. Serum levels exceed the MICs for most indicated organisms for at least six hours following administration of the usually recommended doses of clindamycin palmitate hydrochloride for oral solution (Pediatric) in adults and pediatric patients. Clindamycin is widely distributed in body fluids and tissues (including bones).



No significant levels of clindamycin are attained in the cerebrospinal fluid, even in the presence of inflamed meninges.



Metabolism



In vitro studies in human liver and intestinal microsomes indicated that clindamycin is predominantly metabolized by Cytochrome P450 3A4 (CYP3A4), with minor contribution from CYP3A5, to form clindamycin sulfoxide and a minor metabolite, N-desmethylclindamycin.



Excretion



Approximately 10% of the bioactivity is excreted in the urine and 3.6% in the feces; the remainder is excreted as bioinactive metabolites.



The average serum half-life after doses of clindamycin palmitate hydrochloride for oral solution (Pediatric) is approximately two hours in pediatric patients.



Special Populations



Patients with Renal Impairment



Serum half-life of clindamycin is increased slightly in patients with markedly reduced renal function. Hemodialysis and peritoneal dialysis are not effective in removing clindamycin from the serum.



Elderly Patients

 

Pharmacokinetic studies in elderly volunteers (61 to 79 years) and younger adults (18 to 39 years) indicate that age alone does not alter clindamycin pharmacokinetics (clearance, elimination half-life, volume of distribution, and area under the serum concentration-time curve) after IV administration of clindamycin phosphate. After oral administration of clindamycin hydrochloride, elimination half-life is increased to approximately 4.0 hours (range 3.4 to 5.1 h) in the elderly compared to 3.2 hours (range 2.1 to 4.2 h) in younger adults; administration of clindamycin palmitate hydrochloride resulted in a similar elimination half-life value of about 4.5 hours in elderly subjects. However, the extent of absorption is not different between age groups and no dosage alteration is necessary for the elderly with normal hepatic function and normal (age-adjusted) renal function1.



Obese Pediatric Patients Aged 2 to Less than 18 Years and Obese Adults Aged 18 to 20 Years



An analysis of pharmacokinetic data in obese pediatric patients aged 2 to less than 18 years and obese adults aged 18 to 20 years demonstrated that clindamycin clearance and volume of distribution, normalized by total body weight, are comparable regardless of obesity.

Information for Patients

Patients should be counseled that antibacterial drugs including clindamycin palmitate hydrochloride for oral solution (Pediatric) should only be used to treat bacterial infections. They do not treat viral infections (e.g., the common cold). When clindamycin palmitate hydrochloride for oral solution (Pediatric) is prescribed to treat a bacterial infection, patients should be told that although it is common to feel better early in the course of therapy, the medication should be taken exactly as directed. Skipping doses or not completing the full course of therapy may (1) decrease the effectiveness of the immediate treatment and (2) increase the likelihood that bacteria will develop resistance and will not be treatable by clindamycin palmitate hydrochloride for oral solution (Pediatric) or other antibacterial drugs in the future.



Diarrhea is a common problem caused by antibiotics which usually ends when the antibiotic is discontinued. Sometimes after starting treatment with antibiotics, patients can develop watery and bloody stools (with or without stomach cramps and fever) even as late as two or more months after having taken the last dose of the antibiotic. If this occurs, patients should contact their physician as soon as possible.

Carcinogenesis, Mutagenesis, Impairment of Fertility


Long term studies in animals have not been performed with clindamycin to evaluate carcinogenic potential. Genotoxicity tests performed included a rat micronucleus test and an Ames Salmonella reversion test. Both tests were negative.



Fertility studies in rats treated orally with up to 300 mg/kg/day (approximately 1.6 times the highest recommended adult human oral dose based on mg/m2) revealed no effects on fertility or mating ability. 

Package Label Principal Display Panel 75 Mg/5 Ml (100 Ml Bottle)


Rx only

NDC 16714-483-01


Clindamycin Palmitate

Hydrochloride

for Oral Solution, USP

(Pediatric)
 

75 mg*/5 mL

when reconstituted

100 mL (when mixed)

 

NORTHSTAR®



Package Label Principal Display Panel 75 Mg/5 Ml Container Carton Label


Rx only

NDC 16714-483-01


Clindamycin Palmitate

Hydrochloride

for Oral Solution, USP

(
Pediatric)

75 mg*/5 mL

when reconstituted

100 mL (when mixed)



NORTHSTAR®






Structured Label Content

Section 34077-8 (34077-8)

In clinical trials with pregnant women, the systemic administration of clindamycin during the second and third trimesters, has not been associated with an increased frequency of congenital abnormalities. Clindamycin should be used during the first trimester of pregnancy only if clearly needed. There are no adequate and well-controlled studies in pregnant women during the first trimester of pregnancy. Because animal reproduction studies are not always predictive of the human response, this drug should be used during pregnancy only if clearly needed.



Reproduction studies performed in rats and mice using oral doses of clindamycin up to 600 mg/kg/day (3.2 and 1.6 times the highest recommended adult human dose based on mg/m2, respectively) or subcutaneous doses of clindamycin up to 250 mg/kg/day (1.3 and 0.7 times the highest recommended adult human dose based on mg/m2, respectively) revealed no evidence of teratogenicity.

Section 42229-5 (42229-5)

To reduce the development of drug-resistant bacteria and maintain the effectiveness of clindamycin palmitate hydrochloride for oral solution (Pediatric) and other antibacterial drugs, clindamycin palmitate hydrochloride for oral solution (Pediatric) should be used only to treat or prevent infections that are proven or strongly suspected to be caused by bacteria.



Not for Injection

General

Review of experience to date suggests that a subgroup of older patients with associated severe illness may tolerate diarrhea less well. When clindamycin is indicated in these patients, they should be carefully monitored for change in bowel frequency.



Clindamycin palmitate hydrochloride for oral solution (Pediatric) should be prescribed with caution in individuals with a history of gastrointestinal disease, particularly colitis.



Clindamycin palmitate hydrochloride for oral solution (Pediatric) should be prescribed with caution in atopic individuals.



Indicated surgical procedures should be performed in conjunction with antibiotic therapy.



The use of clindamycin palmitate hydrochloride for oral solution (Pediatric) occasionally results in overgrowth of nonsusceptible organisms-particularly yeasts. Should superinfections occur, appropriate measures should be taken as indicated by the clinical situation.



Clindamycin dosage modification may not be necessary in patients with renal disease. In patients with moderate to severe liver disease, prolongation of clindamycin half-life has been found. However, it was postulated from studies that when given every eight hours, accumulation should rarely occur. Therefore, dosage modification in patients with liver disease may not be necessary. However, periodic liver enzyme determinations should be made when treating patients with severe liver disease.



Prescribing clindamycin palmitate hydrochloride for oral solution (Pediatric) in the absence of a proven or strongly suspected bacterial infection or a prophylactic indication is unlikely to provide benefit to the patient and increases the risk of the development of drug-resistant bacteria.

Warning (WARNING)


Clostridium difficile associated diarrhea (CDAD) has been reported with use of nearly all antibacterial agents, including clindamycin and may range in severity from mild diarrhea to fatal colitis. Treatment with antibacterial agents alters the normal flora of the colon leading to overgrowth of C.difficile.



Because clindamycin therapy has been associated with severe colitis which may end fatally, it should be reserved for serious infections where less toxic antimicrobial agents are inappropriate, as described in the INDICATIONS AND USAGE section. It should not be used in patients with nonbacterial infections such as most upper respiratory tract infections. C.difficile produces toxins A and B which contribute to the development of CDAD. Hypertoxin producing strains of C.difficile cause increased morbidity and mortality, as these infections can be refractory to antimicrobial therapy and may require colectomy. CDAD must be considered in all patients who present with diarrhea following antibiotic use. Careful medical history is necessary since CDAD has been reported to occur over two months after the administration of antibacterial agents. If CDAD is suspected or confirmed, ongoing antibiotic use not directed against C.difficile may need to be discontinued. Appropriate fluid and electrolyte management, protein supplementation, antibiotic treatment of C.difficile, and surgical evaluation should be instituted as clinically indicated.





Warnings (WARNINGS)

See BOXED WARNING .

 

Clostridium difficile Associated Diarrhea

Clostridium difficile associated diarrhea (CDAD) has been reported with use of nearly all antibacterial agents, including clindamycin palmitate hydrochloride for oral solution (Pediatric), and may range in severity from mild diarrhea to fatal colitis. Treatment with antibacterial agents alters the normal flora of the colon leading to overgrowth of C. difficile.

 

C. difficile produces toxins A and B which contribute to the development of CDAD. Hypertoxin producing strains of C. difficile cause increased morbidity and mortality, as these infections can be refractory to antimicrobial therapy and may require colectomy. CDAD must be considered in all patients who present with diarrhea following antibiotic use. Careful medical history is necessary since CDAD has been reported to occur over two months after the administration of antibacterial agents.

 

If CDAD is suspected or confirmed, ongoing antibiotic use not directed against C. difficile may need to be discontinued. Appropriate fluid and electrolyte management, protein supplementation, antibiotic treatment of C. difficile, and surgical evaluation should be instituted as clinically indicated.

 

Anaphylactic and Severe Hypersensitivity Reactions

 

Anaphylactic shock and anaphylactic reactions have been reported (see ADVERSE REACTIONS ).



Severe hypersensitivity reactions, including severe skin reactions such as toxic epidermal necrolysis (TEN), drug reaction with eosinophilia and systemic symptoms (DRESS), and Stevens-Johnson syndrome (SJS), some with fatal outcome, have been reported (see ADVERSE REACTIONS ).



In case of such an anaphylactic or severe hypersensitivity reaction, discontinue treatment permanently and institute appropriate therapy.



A careful inquiry should be made concerning previous sensitivities to drugs and other allergens.



Usage in Meningitis: Since clindamycin does not diffuse adequately into the cerebrospinal fluid, the drug should not be used in the treatment of meningitis.

Overdosage (OVERDOSAGE)


Significant mortality was observed in mice at an intravenous dose of 855 mg/kg and in rats at an oral or subcutaneous dose of approximately 2618 mg/kg. In the mice, convulsions and depression were observed. Hemodialysis and peritoneal dialysis are not effective in removing clindamycin from the serum.

References

1.   Smith RB, Phillips JP: Evaluation of CLEOCIN HCl and CLEOCIN Phosphate in an Aged Population. Upjohn TR 8147-82-9122-021, December 1982.



Trademarks are the property of their respective owners.



Manufactured for:   Northstar Rx LLC

                               Memphis, TN 38141.

                               Toll No: 1-800-206-7821

                               

Manufactured by:   Aurobindo Pharma Limited

                               Hyderabad-500 090, India.



M.L.No.: 19/HD/AP/95/F/R



Revised: 12/2022

Description (DESCRIPTION)

Clindamycin palmitate hydrochloride is a water soluble hydrochloride salt of the ester of clindamycin and palmitic acid. Clindamycin is a semisynthetic antibiotic produced by a 7(S)-chloro-substitution of the 7(R)-hydroxyl group of the parent compound lincomycin.



The structural formula is represented below:



The chemical name for clindamycin palmitate hydrochloride is Methyl 7-chloro-6, 7, 8-trideoxy-6-(1-methyl-trans-4-propyl-L-2-pyrrolidinecarboxamido)-1-thio-L-threo-α-D-galacto-octopyranoside 2-palmitate monohydrochloride.



Clindamycin palmitate hydrochloride for oral solution, USP (Pediatric) is white flavored granules containing clindamycin palmitate hydrochloride USP and becomes colorless to off-white with cherry flavored solution after reconstitution. Each 5 mL contains the equivalent of   75 mg clindamycin. Inactive ingredients: artificial cherry flavor, dextrin, ethylparaben, isopropyl alcohol, poloxamer, simethicone emulsion, and sucrose.



How Supplied (HOW SUPPLIED)




Clindamycin palmitate hydrochloride for oral solution, USP (Pediatric) is white flavored granules and becomes colorless to off-white with cherry flavored solution after reconstitution. It is available in bottles of 100 mL.



                             Bottles of 100 mL (Glass)         NDC 16714-483-01

                             Bottles of 100 mL (HDPE)        NDC 16714-483-02



When reconstituted as directed, each bottle yields a solution containing 75 mg of clindamycin per 5 mL.



Store at
20° to 25°C (68° to 77°F). [See USP Controlled Room Temperature.]

Microbiology

Mechanism of Action

Clindamycin inhibits bacterial protein synthesis by binding to the 23S RNA of the 50S subunit of the ribosome. Clindamycin is bacteriostatic.



Resistance



Resistance to clindamycin is most often caused by modification of specific bases of the 23S ribosomal RNA. Cross-resistance between clindamycin and lincomycin is complete. Because the binding sites for these antibacterial drugs overlap, cross-resistance is sometimes observed among lincosamides, macrolides and streptogramin B. Macrolide-inducible resistance to clindamycin occurs in some isolates of macrolide-resistant bacteria. Macrolide-resistant isolates of staphylococci and beta-hemolytic streptococci should be screened for induction of clindamycin resistance using the D-zone test.



Antimicrobial Activity



Clindamycin has been shown to be active against most of the isolates of the following microorganisms, both in vitro and in clinical infections, as described in the  INDICATIONS AND USAGE  section.



Gram-positive Bacteria

Staphylococcus aureus (methicillin-susceptible strains)

Streptococcus pneumoniae (penicillin-susceptible strains)

Streptococcus pyogenes

Anaerobic Bacteria

Clostridium perfringens

Fusobacterium necrophorum

Fusobacterium nucleatum

Peptostreptococcus anaerobius

Prevotella melaninogenica



At least 90% of the microorganisms listed below exhibit in vitro minimum inhibitory concentrations (MICs) less than or equal to the clindamycin susceptible MIC breakpoint for organisms of a similar type. However, the efficacy of clindamycin in treating clinical infections due to these microorganisms has not been established in adequate and well-controlled clinical trials.

Gram-positive Bacteria

Staphylococcus epidermidis (methicillin-susceptible strains)

Streptococcus agalactiae

Streptococcus anginosus

Streptococcus mitis

Streptococcus oralis

Anaerobic Bacteria

Actinomyces israelii

Clostridium clostridioforme

Eggerthella lenta

Finegoldia (Peptostreptococcus) magna

Micromonas (Peptostreptococcus) micros

Prevotella bivia

Prevotella intermedia

Propionibacterium acnes



Susceptibility Testing

 

For specific information regarding susceptibility test interpretive criteria and associated test methods and quality control standards recognized by FDA for this drug, please see: https://www.fda.gov/STIC.

Geriatric Use


Clinical studies of clindamycin did not include sufficient numbers of patients age 65 and over to determine whether they respond differently from younger patients. However, other reported clinical experience indicates that antibiotic-associated colitis and diarrhea (due to Clostridium difficile) seen in association with most antibiotics occur more frequently in the elderly (>60 years) and may be more severe. These patients should be carefully monitored for the development of diarrhea.



Pharmacokinetic studies with clindamycin have shown no clinically important differences between young subjects (18 to 39 years) and elderly subjects (61 to 79 years) with normal hepatic function and normal (age-adjusted) renal function after oral or intravenous administration.

Pediatric Use

When clindamycin palmitate hydrochloride for oral solution (Pediatric) is administered to the pediatric population (birth to 16 years), appropriate monitoring of organ system functions is desirable.

Nursing Mothers

Limited published data based on breast milk sampling reports that clindamycin appears in human breast milk in the range of less than 0.5 to 3.8 mcg/mL. Clindamycin has the potential to cause adverse effects on the breast-fed infant's gastrointestinal flora. If oral or intravenous clindamycin is required by a nursing mother, it is not a reason to discontinue breastfeeding, but an alternate drug may be preferred. Monitor the breast-fed infant for possible adverse effects on the gastrointestinal flora, such as diarrhea, candidiasis (thrush, diaper rash) or rarely, blood in the stool indicating possible antibiotic-associated colitis.



The developmental and health benefits of breastfeeding should be considered along with the mother's clinical need for clindamycin and any potential adverse effects on the breast-fed child from clindamycin or from the underlying maternal condition.

Laboratory Tests


During prolonged therapy, periodic liver and kidney function tests and blood counts should be performed.

Adverse Reactions (ADVERSE REACTIONS)

The following reactions have been reported with the use of clindamycin.



Infections and infestations: Clostridium difficile colitis



Gastrointestinal: Abdominal pain, pseudomembranous colitis, esophagitis, nausea, vomiting and diarrhea (see BOXED WARNING ). The onset of pseudomembranous colitis symptoms may occur during or after antibacterial treatment (see WARNINGS ). An unpleasant or metallic taste has been reported after oral administration.



Hypersensitivity Reactions: Generalized mild to moderate morbilliform-like (maculopapular) skin rashes are the most frequently reported adverse reactions. Vesiculobullous rashes, as well as urticaria, have been observed during drug therapy. Severe skin reactions such as Toxic Epidermal Necrolysis, some with fatal outcome, have been reported (See WARNINGS ). Cases of Acute Generalized Exanthematous Pustulosis (AGEP), erythema multiforme, some resembling Stevens-Johnson syndrome, anaphylactic shock, anaphylactic reaction and hypersensitivity have also been reported.



Skin and Mucous Membranes: Pruritus, vaginitis, angioedema, and rare instances of exfoliative dermatitis have been reported. (See Hypersensitivity Reactions .)



Liver: Jaundice and abnormalities in liver function tests have been observed during clindamycin therapy.



Renal : Although no direct relationship of clindamycin to renal damage has been established, renal dysfunction as evidenced by azotemia, oliguria, and/or proteinuria has been observed.



Hematopoietic: Transient neutropenia (leukopenia) and eosinophilia have been reported. Reports of agranulocytosis and thrombocytopenia have been made. No direct etiologic relationship to concurrent clindamycin therapy could be made in any of the foregoing.



Immune system: Drug reaction with eosinophilia and systemic symptoms (DRESS) cases have been reported.



Musculoskeletal: Cases of polyarthritis have been reported.

Contraindications (CONTRAINDICATIONS)


This drug is contraindicated in individuals with a history of hypersensitivity to preparations containing clindamycin or lincomycin.

Drug Interactions


Clindamycin has been shown to have neuromuscular blocking properties that may enhance the action of other neuromuscular blocking agents. Therefore, it should be used with caution in patients receiving such agents.



Clindamycin is metabolized predominantly by CYP3A4, and to a lesser extent by CYP3A5, to the major metabolite clindamycin sulfoxide and minor metabolite N-desmethylclindamycin. Therefore inhibitors of CYP3A4 and CYP3A5 may increase plasma concentrations of clindamycin and inducers of these isoenzymes may reduce plasma concentrations of clindamycin. In the presence of strong CYP3A4 inhibitors, monitor for adverse reactions. In the presence of strong CYP3A4 inducers such as rifampicin, monitor for loss of effectiveness.



In vitro studies indicate that clindamycin does not inhibit CYP1A2, CYP2C9, CYP2C19, CYP2E1 or CYP2D6 and only moderately inhibits CYP3A4.

Human Pharmacology

Absorption



Blood level studies comparing clindamycin palmitate hydrochloride with clindamycin hydrochloride show that both drugs reach their peak active serum levels at the same time, indicating a rapid hydrolysis of the palmitate to the clindamycin.



Serum level studies with clindamycin palmitate hydrochloride in normal pediatric patients weighing 50 to 100 lbs given 2, 3 or 4 mg/kg every 6 hours (8, 12 or 16 mg/kg/day) demonstrated mean peak clindamycin serum levels of 1.24, 2.25 and 2.44 mcg/mL respectively, one hour after the first dose. By the fifth dose, the 6-hour serum concentration had reached equilibrium. Peak serum concentrations after this time would be about 2.46, 2.98 and 3.79 mcg/mL with doses of 8, 12 and 16 mg/kg/day, respectively. Serum levels have been uniform and predictable from person to person and dose to dose.



Distribution



Multiple-dose studies in neonates and infants up to 6 months of age show that the drug does not accumulate in the serum and is excreted rapidly. Serum levels exceed the MICs for most indicated organisms for at least six hours following administration of the usually recommended doses of clindamycin palmitate hydrochloride for oral solution (Pediatric) in adults and pediatric patients. Clindamycin is widely distributed in body fluids and tissues (including bones).



No significant levels of clindamycin are attained in the cerebrospinal fluid, even in the presence of inflamed meninges.



Metabolism



In vitro studies in human liver and intestinal microsomes indicated that clindamycin is predominantly metabolized by Cytochrome P450 3A4 (CYP3A4), with minor contribution from CYP3A5, to form clindamycin sulfoxide and a minor metabolite, N-desmethylclindamycin.



Excretion



Approximately 10% of the bioactivity is excreted in the urine and 3.6% in the feces; the remainder is excreted as bioinactive metabolites.



The average serum half-life after doses of clindamycin palmitate hydrochloride for oral solution (Pediatric) is approximately two hours in pediatric patients.



Special Populations



Patients with Renal Impairment



Serum half-life of clindamycin is increased slightly in patients with markedly reduced renal function. Hemodialysis and peritoneal dialysis are not effective in removing clindamycin from the serum.



Elderly Patients

 

Pharmacokinetic studies in elderly volunteers (61 to 79 years) and younger adults (18 to 39 years) indicate that age alone does not alter clindamycin pharmacokinetics (clearance, elimination half-life, volume of distribution, and area under the serum concentration-time curve) after IV administration of clindamycin phosphate. After oral administration of clindamycin hydrochloride, elimination half-life is increased to approximately 4.0 hours (range 3.4 to 5.1 h) in the elderly compared to 3.2 hours (range 2.1 to 4.2 h) in younger adults; administration of clindamycin palmitate hydrochloride resulted in a similar elimination half-life value of about 4.5 hours in elderly subjects. However, the extent of absorption is not different between age groups and no dosage alteration is necessary for the elderly with normal hepatic function and normal (age-adjusted) renal function1.



Obese Pediatric Patients Aged 2 to Less than 18 Years and Obese Adults Aged 18 to 20 Years



An analysis of pharmacokinetic data in obese pediatric patients aged 2 to less than 18 years and obese adults aged 18 to 20 years demonstrated that clindamycin clearance and volume of distribution, normalized by total body weight, are comparable regardless of obesity.

Indications and Usage (INDICATIONS AND USAGE)

Clindamycin palmitate hydrochloride for oral solution (Pediatric) is indicated in the treatment of serious infections caused by susceptible anaerobic bacteria.



Clindamycin is also indicated in the treatment of serious infections due to susceptible strains of streptococci, pneumococci and staphylococci. Its use should be reserved for penicillin-allergic patients or other patients for whom, in the judgment of the physician, a penicillin is inappropriate. Because of the risk of colitis, as described in the BOXED WARNING , before selecting clindamycin the physician should consider the nature of the infection and the suitability of less toxic alternatives (e.g., erythromycin).



Anaerobes: Serious respiratory tract infections such as empyema, anaerobic pneumonitis and lung abscess; serious skin and soft tissue infections; septicemia; intra-abdominal infections such as peritonitis and intra-abdominal abscess (typically resulting from anaerobic organisms resident in the normal gastrointestinal tract); infections of the female pelvis and genital tract such as endometritis, nongonococcal tubo-ovarian abscess, pelvic cellulitis and postsurgical vaginal cuff infection.

                                  

Streptococci: Serious respiratory tract infections; serious skin and soft tissue infections.



Staphylococci: Serious respiratory tract infections; serious skin and soft tissue infections.



Pneumococci: Serious respiratory tract infections. Bacteriologic studies should be performed to determine the causative organisms and their susceptibility to clindamycin.



To reduce the development of drug-resistant bacteria and maintain the effectiveness of clindamycin palmitate hydrochloride for oral solution (Pediatric) and other antibacterial drugs, clindamycin palmitate hydrochloride for oral solution (Pediatric) should be used only to treat or prevent infections that are proven or strongly suspected to be caused by susceptible bacteria. When culture and susceptibility information are available, they should be considered in selecting or modifying antibacterial therapy. In the absence of such data, local epidemiology and susceptibility patterns may contribute to the empiric selection of therapy.

Information for Patients

Patients should be counseled that antibacterial drugs including clindamycin palmitate hydrochloride for oral solution (Pediatric) should only be used to treat bacterial infections. They do not treat viral infections (e.g., the common cold). When clindamycin palmitate hydrochloride for oral solution (Pediatric) is prescribed to treat a bacterial infection, patients should be told that although it is common to feel better early in the course of therapy, the medication should be taken exactly as directed. Skipping doses or not completing the full course of therapy may (1) decrease the effectiveness of the immediate treatment and (2) increase the likelihood that bacteria will develop resistance and will not be treatable by clindamycin palmitate hydrochloride for oral solution (Pediatric) or other antibacterial drugs in the future.



Diarrhea is a common problem caused by antibiotics which usually ends when the antibiotic is discontinued. Sometimes after starting treatment with antibiotics, patients can develop watery and bloody stools (with or without stomach cramps and fever) even as late as two or more months after having taken the last dose of the antibiotic. If this occurs, patients should contact their physician as soon as possible.

Dosage and Administration (DOSAGE AND ADMINISTRATION)

If significant diarrhea occurs during therapy, this antibiotic should be discontinued (see BOXED WARNING ).



Concomitant administration of food does not adversely affect the absorption of clindamycin palmitate hydrochloride contained in clindamycin palmitate hydrochloride for oral solution (Pediatric).



Serious infections: 8 to 12 mg/kg/day (4 to 6 mg/lb/day) divided into 3 or 4 equal doses.



Severe infections: 13 to 16 mg/kg/day (6.5 to 8 mg/lb/day) divided into 3 or 4 equal doses.



More severe infections: 17 to 25 mg/kg/day (8.5 to 12.5 mg/lb/day) divided into 3 or 4 equal doses.



In pediatric patients weighing 10 kg or less, ½ teaspoon (37.5 mg) three times a day should be considered the minimum recommended dose. Clindamycin should be dosed based on total body weight regardless of obesity.



Serious infections due to anaerobic bacteria are usually treated with clindamycin injection. However, in clinically appropriate circumstances, the physician may elect to initiate treatment or continue treatment with clindamycin palmitate hydrochloride for oral solution (Pediatric).



NOTE: In cases of β-hemolytic streptococcal infections, treatment should be continued for at least 10 days.



Reconstitution Instructions

When reconstituted with water as follows, each 5 mL (teaspoon) of solution contains clindamycin palmitate hydrochloride equivalent to 75 mg clindamycin.



Reconstitute bottles of 100 mL with 75 mL of water. Add a large portion of the water and shake vigorously; add the remainder of the water and shake until the solution is uniform.



Storage Conditions

Store at 20° to 25°C (68° to 77°F). [See USP Controlled Room Temperature.]



Do NOT refrigerate the reconstituted solution; when chilled, the solution may thicken and be difficult to pour. The solution is stable for 2 weeks at room temperature.

Carcinogenesis, Mutagenesis, Impairment of Fertility


Long term studies in animals have not been performed with clindamycin to evaluate carcinogenic potential. Genotoxicity tests performed included a rat micronucleus test and an Ames Salmonella reversion test. Both tests were negative.



Fertility studies in rats treated orally with up to 300 mg/kg/day (approximately 1.6 times the highest recommended adult human oral dose based on mg/m2) revealed no effects on fertility or mating ability. 

Package Label Principal Display Panel 75 Mg/5 Ml (100 Ml Bottle) (PACKAGE LABEL-PRINCIPAL DISPLAY PANEL - 75 mg/5 mL (100 mL Bottle))


Rx only

NDC 16714-483-01


Clindamycin Palmitate

Hydrochloride

for Oral Solution, USP

(Pediatric)
 

75 mg*/5 mL

when reconstituted

100 mL (when mixed)

 

NORTHSTAR®



Package Label Principal Display Panel 75 Mg/5 Ml Container Carton Label (PACKAGE LABEL-PRINCIPAL DISPLAY PANEL - 75 mg/5 mL Container Carton Label)


Rx only

NDC 16714-483-01


Clindamycin Palmitate

Hydrochloride

for Oral Solution, USP

(
Pediatric)

75 mg*/5 mL

when reconstituted

100 mL (when mixed)



NORTHSTAR®






Advanced Ingredient Data


Raw Label Data

All Sections (JSON)