Diflorasone Diacetate

Diflorasone Diacetate
SPL v7
SPL
SPL Set ID b20c9420-8fb4-4a49-93f0-c0e4074d6d71
Route
TOPICAL
Published
Effective Date 2015-08-31
Document Type 34391-3 HUMAN PRESCRIPTION DRUG LABEL

Drug Facts

Composition & Product

Active Ingredients
Diflorasone (0.5 mg)
Inactive Ingredients
Water Citric Acid Monohydrate Glyceryl Monostearate Mineral Oil Lanolin Alcohols Isopropyl Myristate Cetyl Alcohol Polysorbate 60 Sorbitan Monostearate Palm Oil Soybean Oil Peg-100 Stearate Polyoxyl 40 Stearate Butylated Hydroxytoluene Propylene Glycol Sodium Phosphate, Monobasic, Unspecified Form

Identifiers & Packaging

Pill Appearance
Color: white
Marketing Status
ANDA Active Since 2000-04-24

Description

Rx only For External Use Only - Not for Ophthalmic Use.

Dosage and Administration

Diflorasone diacetate cream USP, 0.05% should be applied to the affected area twice daily.

Contraindications

Diflorasone diacetate cream USP is contraindicated in those patients with a history of hypersensitivity to any of the components of the preparation.

Adverse Reactions

The following local adverse reactions have been reported infrequently with other topical corticosteroids, and they may occur more frequently with the use of occlusive dressings, especially with higher potency corticosteroids. These reactions are listed in an approximate decreasing order of occurrence: burning, itching, irritation, dryness, folliculitis, acneiform eruptions, hypopigmentation, perioral dermatitis, allergic contact dermatitis, secondary infections, skin atrophy, striae, and miliaria. To report SUSPECTED ADVERSE REACTIONS, contact Sun Pharmaceutical Industries, Inc. at 1-866-923-4914 or FDA at 1-800-FDA-1088 or www.fda.gov/medwatch.

How Supplied

Diflorasone diacetate cream USP, 0.05% is available in 15 g (NDC 51672-1296-1), 30 g (NDC 51672-1296-2) and 60 g (NDC 51672-1296-3) tubes.


Medication Information

Dosage and Administration

Diflorasone diacetate cream USP, 0.05% should be applied to the affected area twice daily.

Contraindications

Diflorasone diacetate cream USP is contraindicated in those patients with a history of hypersensitivity to any of the components of the preparation.

Adverse Reactions

The following local adverse reactions have been reported infrequently with other topical corticosteroids, and they may occur more frequently with the use of occlusive dressings, especially with higher potency corticosteroids. These reactions are listed in an approximate decreasing order of occurrence: burning, itching, irritation, dryness, folliculitis, acneiform eruptions, hypopigmentation, perioral dermatitis, allergic contact dermatitis, secondary infections, skin atrophy, striae, and miliaria.

To report SUSPECTED ADVERSE REACTIONS, contact Sun Pharmaceutical Industries, Inc. at 1-866-923-4914 or FDA at 1-800-FDA-1088 or www.fda.gov/medwatch.

How Supplied

Diflorasone diacetate cream USP, 0.05% is available in 15 g (NDC 51672-1296-1), 30 g (NDC 51672-1296-2) and 60 g (NDC 51672-1296-3) tubes.

Description

Diflorasone diacetate cream USP, 0.05% contains the active compound diflorasone diacetate, a synthetic corticosteroid for topical dermatological use.

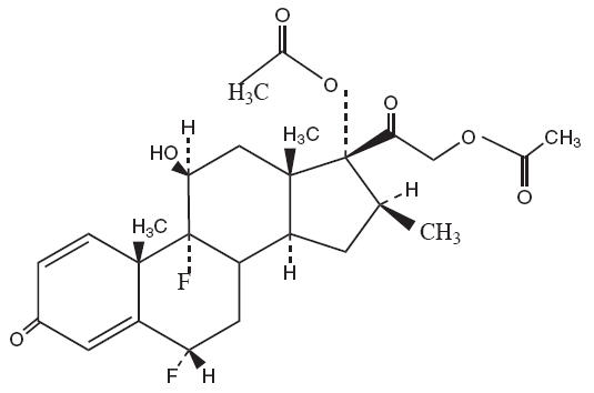
Chemically, diflorasone diacetate is 6α, 9α-difluoro-11β,17,21-trihydroxy-16-methylpregna-1,4-diene-3,20-dione 17,21 diacetate, with the empirical formula C 26H 32F 2O 7, a molecular weight of 494.5, and the following structural formula:

Each gram of diflorasone diacetate cream USP, 0.05% contains 0.5 mg diflorasone diacetate in a cream base consisting of butylated hydroxytoluene, cetyl alcohol, citric acid, glyceryl stearate/PEG 100 stearate, isopropyl myristate, lanolin alcohol, mineral oil, monobasic sodium phosphate, polyoxyl 40 stearate, polysorbate 60, propylene glycol, purified water, sorbitan monostearate and vegetable oil.

Section 42229-5

Rx only

For External Use Only - Not for Ophthalmic Use.

Section 44425-7

Store at 20° to 25° C (68° to 77° F)[see USP Controlled Room Temperature]. Keep tightly closed.

General

Systemic absorption of topical corticosteroids can produce reversible hypothalamic-pituitary-adrenal (HPA) axis suppression with the potential for glucocorticosteroid insufficiency after withdrawal of treatment. Manifestations of Cushing's syndrome, hyperglycemia, and glucosuria can also be produced in some patients by systemic absorption of topical corticosteroids while on treatment.

Patients receiving a large dose of a higher potency topical steroid applied to a large surface area or under an occlusive dressing should be evaluated periodically for evidence of HPA axis suppression. This may be done by using the ACTH-stimulation, A.M. plasma cortisol, and urinary free-cortisol tests.

This product has a greater ability to produce adrenal suppression than does diflorasone diacetate ointment USP, 0.05%. At 30 g per day (applied as 15 g twice daily) diflorasone diacetate cream USP, 0.05% was shown to cause inhibition of the HPA axis in one of two patients following application for one week to psoriatic skin. At 15 g per day (applied as 7.5 g twice daily) diflorasone diacetate cream USP, 0.05% was shown to cause mild inhibition of the HPA axis in one of five patients following application for one week to diseased skin (psoriasis or atopic dermatitis). These effects were reversible upon discontinuation of treatment. By comparison, diflorasone diacetate ointment USP, 0.05% did not produce significant HPA axis suppression when used in divided doses at 30 g per day for one week in patients with psoriasis or atopic dermatitis.

If HPA axis suppression is noted, an attempt should be made to withdraw the drug, to reduce the frequency of application, or to substitute a less potent corticosteroid. Recovery of HPA axis function is generally prompt and complete upon discontinuation of topical corticosteroids. Infrequently, signs and symptoms of glucocorticosteroid insufficiency may occur, requiring supplemental systemic corticosteroids. For information on systemic supplementation, see prescribing information for those products.

Pediatric patients may be more susceptible to systemic toxicity from equivalent doses due to their larger skin surface to body mass ratios (see PRECAUTIONS: Pediatric Use ).

If irritation develops, diflorasone diacetate cream USP should be discontinued and appropriate therapy instituted. Allergic contact dermatitis with corticosteroids is usually diagnosed by observing failure to heal rather than noting a clinical exacerbation as with most topical products not containing corticosteroids. Such an observation should be corroborated with appropriate diagnostic patch testing.

If concomitant skin infections are present or develop, an appropriate antifungal or antibacterial agent should be used. If a favorable response does not occur promptly, use of diflorasone diacetate cream USP should be discontinued until the infection has been adequately controlled.

Diflorasone diacetate cream USP, 0.05% should not be used in the treatment of rosacea or perioral dermatitis, and it should not be used on the face, groin, or axillae.

Overdosage

Topically applied diflorasone diacetate cream USP, 0.05% can be absorbed in sufficient amounts to produce systemic effects (see PRECAUTIONS ).

Pediatric Use

Safety and effectiveness of diflorasone diacetate cream USP, 0.05% in pediatric patients have not been established. Because of a higher ratio of skin surface area to body mass, pediatric patients are at a greater risk than adults of HPA-axis suppression when they are treated with topical corticosteroids. They are, therefore, also at greater risk of glucocorticosteroid insufficiency after withdrawal of treatment and of Cushing's syndrome while on treatment. Adverse effects including striae have been reported with inappropriate use of topical corticosteroids in pediatric patients.

HPA axis suppression, Cushing's syndrome, and intracranial hypertension have been reported in pediatric patients receiving topical corticosteroids. Manifestations of adrenal suppression in pediatric patients include linear growth retardation, delayed weight gain, low plasma cortisol levels, and absence of response to ACTH stimulation. Manifestations of intracranial hypertension include bulging fontanelles, headaches, and bilateral papilledema.

Nursing Mothers

Systemically administered corticosteroids appear in human milk and could suppress growth, interfere with endogenous corticosteroid production, or cause other untoward effects. It is not known whether topical administration of corticosteroids could result in sufficient systemic absorption to produce detectable quantities in human milk. Because many drugs are excreted in human milk, caution should be exercised when diflorasone diacetate cream USP is administered to a nursing woman.

Laboratory Tests

The following tests may be helpful in evaluating patients for HPA axis suppression:

  • ACTH-stimulation test
  • A.M. plasma-cortisol test
  • Urinary free-cortisol test
Pharmacokinetics

The extent of percutaneous absorption of topical corticosteroids is determined by many factors including the vehicle and the integrity of the epidermal barrier. Occlusive dressings with hydrocortisone for up to 24 hours have not been demonstrated to increase penetration; however, occlusion of hydrocortisone for 96 hours markedly enhances penetration. Topical corticosteroids can be absorbed from normal intact skin. Inflammation and/or other disease processes in the skin may increase percutaneous absorption. Studies performed with diflorasone diacetate cream indicate that it is in the high range of potency as compared with other topical corticosteroids.

Indication and Usage

Diflorasone diacetate cream USP, 0.05% is a high potency corticosteroid indicated for the relief of the inflammatory and pruritic manifestations of corticosteroid-responsive dermatoses.

Pregnancy Category C

Corticosteroids have been shown to be teratogenic in laboratory animals when administered systemically at relatively low dosage levels. Some corticosteroids have been shown to be teratogenic after dermal application to laboratory animals.

Diflorasone diacetate has been shown to be teratogenic (cleft palate) in rats when applied topically at a dose of approximately 0.001 mg/kg/day to the shaven thorax of pregnant animals. This is approximately 0.3 times the human topical dose of diflorasone diacetate cream USP, 0.05%. When pregnant rats were treated topically with approximately 0.5 mg/kg/day, uterine deaths were higher in the treated animals than in control animals.

In rabbits, cleft palate was seen when diflorasone diacetate was applied in topical doses as low as 20 mg/kg/day. In addition, fetal weight was depressed and litter sizes were smaller.

There are no adequate and well-controlled studies of the teratogenic potential of diflorasone diacetate in pregnant women. Diflorasone diacetate cream USP should be used during pregnancy only if the potential benefit justifies the potential risk to the fetus.

Clinical Pharmacology

Like other topical corticosteroids, diflorasone diacetate has anti-inflammatory, anti-pruritic, and vasoconstrictive actions. The mechanism of the anti-inflammatory activity of the topical corticosteroids, in general, is unclear. However, corticosteroids are thought to act by the induction of phospholipase A 2inhibitory proteins collectively called lipocortins. It is postulated that these proteins control the biosynthesis of potent mediators of inflammation such as prostaglandins and leukotrienes by inhibiting the release of their common precursor, arachidonic acid. Arachidonic acid is released from membrane phospholipids by phospholipase A 2.

Information for Patients

Patients using topical corticosteroids should receive the following information and instructions:

  • The medication is to be used as directed by the physician. It is for external use only. Avoid contact with the eyes.
  • The medication should not be used for any disorder other than that for which it was prescribed.
  • The treated skin area should not be bandaged or otherwise covered or wrapped so as to be occlusive unless directed by the physician.
  • Patients should report to their physician any signs of local adverse reactions.
Principal Display Panel 30 G Tube Carton

NDC 51672-1296-2

30 g

Diflorasone Diacetate

Cream USP, 0.05%

FOR EXTERNAL USE ONLY.

NOT FOR OPHTHALMIC USE.

Rx only

Keep this and all medications out of the reach of children.

Carcinogenesis, Mutagenesis, Impairment of Fertility

Long-term animal studies have not been performed to evaluate the carcinogenic potential of diflorasone diacetate.

Diflorasone diacetate was not found to be mutagenic in a micronucleus test in rats at dosages of 2400 mg/kg.

Studies in the rat following topical administration at doses up to 0.5 mg/kg revealed no effects on fertility.


Structured Label Content

Section 42229-5 (42229-5)

Rx only

For External Use Only - Not for Ophthalmic Use.

Section 44425-7 (44425-7)

Store at 20° to 25° C (68° to 77° F)[see USP Controlled Room Temperature]. Keep tightly closed.

General

Systemic absorption of topical corticosteroids can produce reversible hypothalamic-pituitary-adrenal (HPA) axis suppression with the potential for glucocorticosteroid insufficiency after withdrawal of treatment. Manifestations of Cushing's syndrome, hyperglycemia, and glucosuria can also be produced in some patients by systemic absorption of topical corticosteroids while on treatment.

Patients receiving a large dose of a higher potency topical steroid applied to a large surface area or under an occlusive dressing should be evaluated periodically for evidence of HPA axis suppression. This may be done by using the ACTH-stimulation, A.M. plasma cortisol, and urinary free-cortisol tests.

This product has a greater ability to produce adrenal suppression than does diflorasone diacetate ointment USP, 0.05%. At 30 g per day (applied as 15 g twice daily) diflorasone diacetate cream USP, 0.05% was shown to cause inhibition of the HPA axis in one of two patients following application for one week to psoriatic skin. At 15 g per day (applied as 7.5 g twice daily) diflorasone diacetate cream USP, 0.05% was shown to cause mild inhibition of the HPA axis in one of five patients following application for one week to diseased skin (psoriasis or atopic dermatitis). These effects were reversible upon discontinuation of treatment. By comparison, diflorasone diacetate ointment USP, 0.05% did not produce significant HPA axis suppression when used in divided doses at 30 g per day for one week in patients with psoriasis or atopic dermatitis.

If HPA axis suppression is noted, an attempt should be made to withdraw the drug, to reduce the frequency of application, or to substitute a less potent corticosteroid. Recovery of HPA axis function is generally prompt and complete upon discontinuation of topical corticosteroids. Infrequently, signs and symptoms of glucocorticosteroid insufficiency may occur, requiring supplemental systemic corticosteroids. For information on systemic supplementation, see prescribing information for those products.

Pediatric patients may be more susceptible to systemic toxicity from equivalent doses due to their larger skin surface to body mass ratios (see PRECAUTIONS: Pediatric Use ).

If irritation develops, diflorasone diacetate cream USP should be discontinued and appropriate therapy instituted. Allergic contact dermatitis with corticosteroids is usually diagnosed by observing failure to heal rather than noting a clinical exacerbation as with most topical products not containing corticosteroids. Such an observation should be corroborated with appropriate diagnostic patch testing.

If concomitant skin infections are present or develop, an appropriate antifungal or antibacterial agent should be used. If a favorable response does not occur promptly, use of diflorasone diacetate cream USP should be discontinued until the infection has been adequately controlled.

Diflorasone diacetate cream USP, 0.05% should not be used in the treatment of rosacea or perioral dermatitis, and it should not be used on the face, groin, or axillae.

Overdosage (OVERDOSAGE)

Topically applied diflorasone diacetate cream USP, 0.05% can be absorbed in sufficient amounts to produce systemic effects (see PRECAUTIONS ).

Description (DESCRIPTION)

Diflorasone diacetate cream USP, 0.05% contains the active compound diflorasone diacetate, a synthetic corticosteroid for topical dermatological use.

Chemically, diflorasone diacetate is 6α, 9α-difluoro-11β,17,21-trihydroxy-16-methylpregna-1,4-diene-3,20-dione 17,21 diacetate, with the empirical formula C 26H 32F 2O 7, a molecular weight of 494.5, and the following structural formula:

Each gram of diflorasone diacetate cream USP, 0.05% contains 0.5 mg diflorasone diacetate in a cream base consisting of butylated hydroxytoluene, cetyl alcohol, citric acid, glyceryl stearate/PEG 100 stearate, isopropyl myristate, lanolin alcohol, mineral oil, monobasic sodium phosphate, polyoxyl 40 stearate, polysorbate 60, propylene glycol, purified water, sorbitan monostearate and vegetable oil.

How Supplied (HOW SUPPLIED)

Diflorasone diacetate cream USP, 0.05% is available in 15 g (NDC 51672-1296-1), 30 g (NDC 51672-1296-2) and 60 g (NDC 51672-1296-3) tubes.

Pediatric Use

Safety and effectiveness of diflorasone diacetate cream USP, 0.05% in pediatric patients have not been established. Because of a higher ratio of skin surface area to body mass, pediatric patients are at a greater risk than adults of HPA-axis suppression when they are treated with topical corticosteroids. They are, therefore, also at greater risk of glucocorticosteroid insufficiency after withdrawal of treatment and of Cushing's syndrome while on treatment. Adverse effects including striae have been reported with inappropriate use of topical corticosteroids in pediatric patients.

HPA axis suppression, Cushing's syndrome, and intracranial hypertension have been reported in pediatric patients receiving topical corticosteroids. Manifestations of adrenal suppression in pediatric patients include linear growth retardation, delayed weight gain, low plasma cortisol levels, and absence of response to ACTH stimulation. Manifestations of intracranial hypertension include bulging fontanelles, headaches, and bilateral papilledema.

Nursing Mothers

Systemically administered corticosteroids appear in human milk and could suppress growth, interfere with endogenous corticosteroid production, or cause other untoward effects. It is not known whether topical administration of corticosteroids could result in sufficient systemic absorption to produce detectable quantities in human milk. Because many drugs are excreted in human milk, caution should be exercised when diflorasone diacetate cream USP is administered to a nursing woman.

Laboratory Tests

The following tests may be helpful in evaluating patients for HPA axis suppression:

  • ACTH-stimulation test
  • A.M. plasma-cortisol test
  • Urinary free-cortisol test
Pharmacokinetics

The extent of percutaneous absorption of topical corticosteroids is determined by many factors including the vehicle and the integrity of the epidermal barrier. Occlusive dressings with hydrocortisone for up to 24 hours have not been demonstrated to increase penetration; however, occlusion of hydrocortisone for 96 hours markedly enhances penetration. Topical corticosteroids can be absorbed from normal intact skin. Inflammation and/or other disease processes in the skin may increase percutaneous absorption. Studies performed with diflorasone diacetate cream indicate that it is in the high range of potency as compared with other topical corticosteroids.

Adverse Reactions (ADVERSE REACTIONS)

The following local adverse reactions have been reported infrequently with other topical corticosteroids, and they may occur more frequently with the use of occlusive dressings, especially with higher potency corticosteroids. These reactions are listed in an approximate decreasing order of occurrence: burning, itching, irritation, dryness, folliculitis, acneiform eruptions, hypopigmentation, perioral dermatitis, allergic contact dermatitis, secondary infections, skin atrophy, striae, and miliaria.

To report SUSPECTED ADVERSE REACTIONS, contact Sun Pharmaceutical Industries, Inc. at 1-866-923-4914 or FDA at 1-800-FDA-1088 or www.fda.gov/medwatch.

Contraindications (CONTRAINDICATIONS)

Diflorasone diacetate cream USP is contraindicated in those patients with a history of hypersensitivity to any of the components of the preparation.

Indication and Usage (INDICATION AND USAGE)

Diflorasone diacetate cream USP, 0.05% is a high potency corticosteroid indicated for the relief of the inflammatory and pruritic manifestations of corticosteroid-responsive dermatoses.

Pregnancy Category C

Corticosteroids have been shown to be teratogenic in laboratory animals when administered systemically at relatively low dosage levels. Some corticosteroids have been shown to be teratogenic after dermal application to laboratory animals.

Diflorasone diacetate has been shown to be teratogenic (cleft palate) in rats when applied topically at a dose of approximately 0.001 mg/kg/day to the shaven thorax of pregnant animals. This is approximately 0.3 times the human topical dose of diflorasone diacetate cream USP, 0.05%. When pregnant rats were treated topically with approximately 0.5 mg/kg/day, uterine deaths were higher in the treated animals than in control animals.

In rabbits, cleft palate was seen when diflorasone diacetate was applied in topical doses as low as 20 mg/kg/day. In addition, fetal weight was depressed and litter sizes were smaller.

There are no adequate and well-controlled studies of the teratogenic potential of diflorasone diacetate in pregnant women. Diflorasone diacetate cream USP should be used during pregnancy only if the potential benefit justifies the potential risk to the fetus.

Clinical Pharmacology (CLINICAL PHARMACOLOGY)

Like other topical corticosteroids, diflorasone diacetate has anti-inflammatory, anti-pruritic, and vasoconstrictive actions. The mechanism of the anti-inflammatory activity of the topical corticosteroids, in general, is unclear. However, corticosteroids are thought to act by the induction of phospholipase A 2inhibitory proteins collectively called lipocortins. It is postulated that these proteins control the biosynthesis of potent mediators of inflammation such as prostaglandins and leukotrienes by inhibiting the release of their common precursor, arachidonic acid. Arachidonic acid is released from membrane phospholipids by phospholipase A 2.

Information for Patients

Patients using topical corticosteroids should receive the following information and instructions:

  • The medication is to be used as directed by the physician. It is for external use only. Avoid contact with the eyes.
  • The medication should not be used for any disorder other than that for which it was prescribed.
  • The treated skin area should not be bandaged or otherwise covered or wrapped so as to be occlusive unless directed by the physician.
  • Patients should report to their physician any signs of local adverse reactions.
Dosage and Administration (DOSAGE AND ADMINISTRATION)

Diflorasone diacetate cream USP, 0.05% should be applied to the affected area twice daily.

Principal Display Panel 30 G Tube Carton (PRINCIPAL DISPLAY PANEL - 30 g Tube Carton)

NDC 51672-1296-2

30 g

Diflorasone Diacetate

Cream USP, 0.05%

FOR EXTERNAL USE ONLY.

NOT FOR OPHTHALMIC USE.

Rx only

Keep this and all medications out of the reach of children.

Carcinogenesis, Mutagenesis, Impairment of Fertility

Long-term animal studies have not been performed to evaluate the carcinogenic potential of diflorasone diacetate.

Diflorasone diacetate was not found to be mutagenic in a micronucleus test in rats at dosages of 2400 mg/kg.

Studies in the rat following topical administration at doses up to 0.5 mg/kg revealed no effects on fertility.


Advanced Ingredient Data


Raw Label Data

All Sections (JSON)