These Highlights Do Not Include All The Information Needed To Use Zolpidem Tartrate Extended-release Tablets Safely And Effectively. See Full Prescribing Information For Zolpidem Tartrate Extended-release Tablets.

These Highlights Do Not Include All The Information Needed To Use Zolpidem Tartrate Extended-release Tablets Safely And Effectively. See Full Prescribing Information For Zolpidem Tartrate Extended-release Tablets.
SPL v16
SPL
SPL Set ID b1b0085f-d9fe-430a-9bd5-607f607bf7e1
Route
ORAL
Published
Effective Date 2024-06-03
Document Type 34391-3 HUMAN PRESCRIPTION DRUG LABEL

Drug Facts

Composition & Product

Active Ingredients
Zolpidem (6.25 mg)
Inactive Ingredients
Silicon Dioxide Hydroxypropyl Cellulose, Unspecified Hypromellose, Unspecified Lactose Monohydrate Magnesium Stearate Polyethylene Glycol, Unspecified Ferric Oxide Red Talc Titanium Dioxide

Identifiers & Packaging

Pill Appearance
Imprint: SZ;229 Shape: round Color: pink Size: 8 mm Score: 1
Marketing Status
ANDA Active Since 2011-10-31

Description

Indications and Usage ( 1 ) 2/2022 Dosage and Administration ( 2.1 ) 2/2022 Warnings and Precautions ( 5.5 ) 2/2022 Warnings and Precautions ( 5.7 ) 2/2022

Indications and Usage

Zolpidem tartrate extended-release tablets are indicated for the short-term treatment of insomnia characterized by difficulties with sleep onset and/or sleep maintenance (as measured by wake time after sleep onset). The clinical trials performed in support of efficacy were up to 3 weeks (using polysomnography measurement up to 2 weeks in both adult and elderly patients) and 24 weeks (using patient-reported assessment in adult patients only) in duration [see Clinical Studies ( 14 )].

Dosage and Administration

• Use the lowest dose effective for the patient and must not exceed a total of 12.5 mg daily ( 2.1 ) • Treatment should be as short as possible (2.1) • Recommended initial dose is a single dose of 6.25 mg for women and a single dose of 6.25 or 12.5 mg for men, immediately before bedtime with at least 7 to 8 hours remaining before the planned time of awakening ( 2.1 ) • Geriatric patients and patients with mild to moderate hepatic impairment: Recommended dose is 6.25 mg for men and women ( 2.2 ) • Lower doses of CNS depressants may be necessary when taken concomitantly with zolpidem tartrate extended-release tablets ( 2.3 ) • Tablets to be swallowed whole, not to be crushed, divided or chewed ( 2.4 ) • The effect of zolpidem tartrate extended-release tablets may be slowed if taken with or immediately after a meal ( 2.4 )

Warnings and Precautions

• CNS-Depressant Effects: Impaired alertness and motor coordination, including risk of morning impairment. Risk increases with dose and use with other CNS depressants and alcohol. Caution patients against driving and other activities requiring complete mental alertness the morning after use. Instruct patients on correct use. ( 5.2 ) • Need to Evaluate for Comorbid Diagnoses: Re-evaluate if insomnia persists after 7 to 10 days of use. ( 5.3 ) • Severe Anaphylactic/Anaphylactoid Reactions: Angioedema and anaphylaxis have been reported. Do not rechallenge if such reactions occur. ( 5.4 ) • Abnormal Thinking and Behavioral Changes : Changes including decreased inhibition, bizarre behavior, agitation, and depersonalization have been reported. Immediately evaluate any new onset behavioral changes. ( 5.5 ) • Depression: Worsening of depression or suicidal thinking may occur. Prescribe the least amount of tablets feasible to avoid intentional overdose. ( 5.6 ) • Respiratory Depression: Consider this risk before prescribing in patients with compromised respiratory function. ( 5.7 ) • Hepatic Impairment: Avoid zolpidem tartrate extended-release tablets use in patients with severe hepatic impairment. ( 5.8 ) • Withdrawal Effects: Symptoms may occur with rapid dose reduction or discontinuation. ( 5.9 , 9.3 )

Contraindications

Zolpidem tartrate extended-release tablets are contraindicated in patients • who have experienced complex sleep behaviors after taking zolpidem tartrate extended-release [see Warnings and Precautions ( 5.1 )]. • with known hypersensitivity to zolpidem. Observed reactions include anaphylaxis and angioedema [see Warnings and Precautions ( 5.4 )].

Adverse Reactions

The following serious adverse reactions are discussed in greater detail in other sections of the labeling: • Complex Sleep Behaviors [see Warnings and Precautions ( 5.1 )] • CNS-Depressant Effects and Next-Day Impairment [see Warnings and Precautions ( 5.2 )] • Severe Anaphylactic and Anaphylactoid Reactions [see Warnings and Precautions ( 5.4 )] • Abnormal Thinking and Behavior Changes [see Warnings and Precautions ( 5.5 )] • Withdrawal Effects [see Warnings and Precautions ( 5.9 )]

Drug Interactions

• CNS depressants, including alcohol: Possible adverse additive CNS-depressant effects ( 5.2 , 7.1 ) • Opioids: Concomitant use may increase risk of respiratory depression (5.7, 7.1) • Imipramine: Decreased alertness observed ( 7.1 ) • Chlorpromazine: Impaired alertness and psychomotor performance observed ( 7.1 ) • CYP3A4 inducers (rifampin or St.John’s wort): Combination use may decrease effect ( 7.2 ) • Ketoconazole: Combination use may increase effect ( 7.2 )

Storage and Handling

Zolpidem tartrate extended-release tablets, USP are available as follows: 6.25 mg, dark pink, round, biconvex film-coated tablets debossed with SZ on one side and 228 on the other side.   NDC 0781-5315-31, bottles of 30 tablets   NDC 0781-5315-01, bottles of 100 tablets   NDC 0781-5315-05, bottles of 500 tablets 12.5 mg, light pink, round, biconvex film-coated tablets debossed with SZ on one side and 229 on the other side.   NDC 0781-5316-31, bottles of 30 tablets   NDC 0781-5316-01, bottles of 100 tablets   NDC 0781-5316-05, bottles of 500 tablets The tablets are to be swallowed whole and should not be crushed, chewed, or divided.

How Supplied

Zolpidem tartrate extended-release tablets, USP are available as follows: 6.25 mg, dark pink, round, biconvex film-coated tablets debossed with SZ on one side and 228 on the other side.   NDC 0781-5315-31, bottles of 30 tablets   NDC 0781-5315-01, bottles of 100 tablets   NDC 0781-5315-05, bottles of 500 tablets 12.5 mg, light pink, round, biconvex film-coated tablets debossed with SZ on one side and 229 on the other side.   NDC 0781-5316-31, bottles of 30 tablets   NDC 0781-5316-01, bottles of 100 tablets   NDC 0781-5316-05, bottles of 500 tablets The tablets are to be swallowed whole and should not be crushed, chewed, or divided.


Medication Information

Warnings and Precautions

• CNS-Depressant Effects: Impaired alertness and motor coordination, including risk of morning impairment. Risk increases with dose and use with other CNS depressants and alcohol. Caution patients against driving and other activities requiring complete mental alertness the morning after use. Instruct patients on correct use. ( 5.2 ) • Need to Evaluate for Comorbid Diagnoses: Re-evaluate if insomnia persists after 7 to 10 days of use. ( 5.3 ) • Severe Anaphylactic/Anaphylactoid Reactions: Angioedema and anaphylaxis have been reported. Do not rechallenge if such reactions occur. ( 5.4 ) • Abnormal Thinking and Behavioral Changes : Changes including decreased inhibition, bizarre behavior, agitation, and depersonalization have been reported. Immediately evaluate any new onset behavioral changes. ( 5.5 ) • Depression: Worsening of depression or suicidal thinking may occur. Prescribe the least amount of tablets feasible to avoid intentional overdose. ( 5.6 ) • Respiratory Depression: Consider this risk before prescribing in patients with compromised respiratory function. ( 5.7 ) • Hepatic Impairment: Avoid zolpidem tartrate extended-release tablets use in patients with severe hepatic impairment. ( 5.8 ) • Withdrawal Effects: Symptoms may occur with rapid dose reduction or discontinuation. ( 5.9 , 9.3 )

Indications and Usage

Zolpidem tartrate extended-release tablets are indicated for the short-term treatment of insomnia characterized by difficulties with sleep onset and/or sleep maintenance (as measured by wake time after sleep onset). The clinical trials performed in support of efficacy were up to 3 weeks (using polysomnography measurement up to 2 weeks in both adult and elderly patients) and 24 weeks (using patient-reported assessment in adult patients only) in duration [see Clinical Studies ( 14 )].

Dosage and Administration

• Use the lowest dose effective for the patient and must not exceed a total of 12.5 mg daily ( 2.1 ) • Treatment should be as short as possible (2.1) • Recommended initial dose is a single dose of 6.25 mg for women and a single dose of 6.25 or 12.5 mg for men, immediately before bedtime with at least 7 to 8 hours remaining before the planned time of awakening ( 2.1 ) • Geriatric patients and patients with mild to moderate hepatic impairment: Recommended dose is 6.25 mg for men and women ( 2.2 ) • Lower doses of CNS depressants may be necessary when taken concomitantly with zolpidem tartrate extended-release tablets ( 2.3 ) • Tablets to be swallowed whole, not to be crushed, divided or chewed ( 2.4 ) • The effect of zolpidem tartrate extended-release tablets may be slowed if taken with or immediately after a meal ( 2.4 )

Contraindications

Zolpidem tartrate extended-release tablets are contraindicated in patients • who have experienced complex sleep behaviors after taking zolpidem tartrate extended-release [see Warnings and Precautions ( 5.1 )]. • with known hypersensitivity to zolpidem. Observed reactions include anaphylaxis and angioedema [see Warnings and Precautions ( 5.4 )].

Adverse Reactions

The following serious adverse reactions are discussed in greater detail in other sections of the labeling: • Complex Sleep Behaviors [see Warnings and Precautions ( 5.1 )] • CNS-Depressant Effects and Next-Day Impairment [see Warnings and Precautions ( 5.2 )] • Severe Anaphylactic and Anaphylactoid Reactions [see Warnings and Precautions ( 5.4 )] • Abnormal Thinking and Behavior Changes [see Warnings and Precautions ( 5.5 )] • Withdrawal Effects [see Warnings and Precautions ( 5.9 )]

Drug Interactions

• CNS depressants, including alcohol: Possible adverse additive CNS-depressant effects ( 5.2 , 7.1 ) • Opioids: Concomitant use may increase risk of respiratory depression (5.7, 7.1) • Imipramine: Decreased alertness observed ( 7.1 ) • Chlorpromazine: Impaired alertness and psychomotor performance observed ( 7.1 ) • CYP3A4 inducers (rifampin or St.John’s wort): Combination use may decrease effect ( 7.2 ) • Ketoconazole: Combination use may increase effect ( 7.2 )

Storage and Handling

Zolpidem tartrate extended-release tablets, USP are available as follows: 6.25 mg, dark pink, round, biconvex film-coated tablets debossed with SZ on one side and 228 on the other side.   NDC 0781-5315-31, bottles of 30 tablets   NDC 0781-5315-01, bottles of 100 tablets   NDC 0781-5315-05, bottles of 500 tablets 12.5 mg, light pink, round, biconvex film-coated tablets debossed with SZ on one side and 229 on the other side.   NDC 0781-5316-31, bottles of 30 tablets   NDC 0781-5316-01, bottles of 100 tablets   NDC 0781-5316-05, bottles of 500 tablets The tablets are to be swallowed whole and should not be crushed, chewed, or divided.

How Supplied

Zolpidem tartrate extended-release tablets, USP are available as follows: 6.25 mg, dark pink, round, biconvex film-coated tablets debossed with SZ on one side and 228 on the other side.   NDC 0781-5315-31, bottles of 30 tablets   NDC 0781-5315-01, bottles of 100 tablets   NDC 0781-5315-05, bottles of 500 tablets 12.5 mg, light pink, round, biconvex film-coated tablets debossed with SZ on one side and 229 on the other side.   NDC 0781-5316-31, bottles of 30 tablets   NDC 0781-5316-01, bottles of 100 tablets   NDC 0781-5316-05, bottles of 500 tablets The tablets are to be swallowed whole and should not be crushed, chewed, or divided.

Description

Indications and Usage ( 1 ) 2/2022 Dosage and Administration ( 2.1 ) 2/2022 Warnings and Precautions ( 5.5 ) 2/2022 Warnings and Precautions ( 5.7 ) 2/2022

Section 42229-5

Associated with Discontinuation of Treatment

In 3-week clinical trials in adults and elderly patients (> 65 years), 3.5% (7/201) patients receiving zolpidem tartrate extended-release 6.25 or 12.5 mg discontinued treatment due to an adverse reaction as compared to 0.9% (2/216) of patients on placebo. The reaction most commonly associated with discontinuation in patients treated with zolpidem tartrate extended-release was somnolence (1%).

In a 6-month study in adult patients (18 to 64 years of age), 8.5% (57/669) of patients receiving zolpidem tartrate extended-release 12.5 mg as compared to 4.6% on placebo (16/349) discontinued treatment due to an adverse reaction. Reactions most commonly associated with discontinuation of zolpidem tartrate extended-release included anxiety (anxiety, restlessness or agitation) reported in 1.5% (10/669) of patients as compared to 0.3% (1/349) of patients on placebo, and depression (depression, major depression or depressed mood) reported in 1.5% (10/669) of patients as compared to 0.3% (1/349) of patients on placebo.

Data from a clinical study in which selective serotonin reuptake inhibitor- (SSRI-) treated patients were given zolpidem revealed that four of the seven discontinuations during double-blind treatment with zolpidem (n=95) were associated with impaired concentration, continuing or aggravated depression, and manic reaction; one patient treated with placebo (n =97) was discontinued after an attempted suicide.

Section 42231-1

MEDICATION GUIDE

Zolpidem Tartrate Extended-Release Tablets, USP C-IV

(ZOL-pih-dem)

What is the most important information I should know about zolpidem tartrate extended-release tablets?

Zolpidem tartrate extended-release tablets may cause serious side effects, including:

  • Complex sleep behaviors. After taking zolpidem tartrate extended-release tablets, you may get up out of bed while not being fully awake and do an activity that you do not know you are doing. The next morning, you may not remember that you did anything during the night. These activities may happen with zolpidem tartrate extended-release tablets whether or not you drink alcohol or take other medicines that make you sleepy. Some of these complex sleep behaviors have caused serious injury and death. People taking zolpidem tartrate extended-release tablets have reported:
    • o
      sleep-walking
    • o
      sleep-driving
    • o
      making and eating food
    • o
      talking on the phone
    • o
      having sex
  • Stop taking zolpidem tartrate extended-release tablets and tell your healthcare provider right away if you find out that you have done any of the above activities after taking zolpidem tartrate extended-release tablets.

What are zolpidem tartrate extended-release tablets?

Zolpidem tartrate extended-release tablets are a prescription sleep medicine used for the treatment of adults who have trouble falling asleep or staying asleep (insomnia).

  • It is not known if zolpidem tartrate extended-release tablets are safe and effective in children under the age of 18 years. Zolpidem tartrate extended-release tablets are not recommended for use in children under the age of 18 years.

Zolpidem tartrate extended-release tablets is a federally controlled substance (C-IV) because it can be abused or lead to dependence. Keep zolpidem tartrate extended-release tablets in a safe place to protect it from theft. Never give your zolpidem tartrate extended-release tablets to anyone else because it can cause death or harm them. Selling or giving away this medicine is against the law.

Do not take zolpidem tartrate extended-release tablets if you:

  • have had complex sleep behaviors that happened after taking zolpidem tartrate extended-release tablets in the past. See “What is the most important information I should know about zolpidem tartrate extended-release tablets?”
  • are allergic to zolpidem or any of the ingredients in zolpidem tartrate extended-release tablets. See the end of this Medication Guide for a complete list of ingredients in zolpidem tartrate extended-release tablets.

Before taking zolpidem tartrate extended-release tablets, tell your healthcare provider about all of your medical conditions, including if you:

  • have a history of depression, mental illness, or suicidal thoughts or actions
  • have a history of drug or alcohol abuse or addiction
  • have kidney or liver disease
  • have a lung disease or breathing problems
  • have sleep apnea
  • have myasthenia gravis
  • are pregnant or plan to become pregnant. Taking zolpidem tartrate extended-release tablets in the third trimester of pregnancy may harm your unborn baby.
    • o
      Tell your healthcare provider if you become pregnant or plan to become pregnant during treatment with zolpidem tartrate extended-release tablets.
    • o
      Babies born to mothers who take zolpidem tartrate extended-release tablets during the third trimester of pregnancy may have symptoms of breathing problems and sedation (such as sleepiness or low muscle tone).
  • are breastfeeding or plan to breastfeed. Zolpidem tartrate passes into your breast milk. Talk to your healthcare provider about the best way to feed your baby while you take zolpidem tartrate extended-release tablets.

Tell your healthcare provider about all of the medicines you take, including prescription and over-the-counter medicines, vitamins, and herbal supplements.

Zolpidem tartrate extended-release tablets and other medicines can interact with each other causing serious side effects. Zolpidem tartrate extended-release tablets may affect the way other medicines work, and other medicines may affect how zolpidem tartrate extended-release tablets works.

Especially tell your healthcare provider if you:

  • take benzodiazepines
  • take opioids as it may increase the risk of breathing problems (respiratory depression).
  • take tricyclic antidepressants
  • take other medicines that can make you sleepy or affect your breathing (including other zolpidem medicines)
  • drink alcohol

You can ask your pharmacist for a list of medicines that interact with zolpidem tartrate extended-release tablets.

Know the medicines you take. Keep a list of them to show your healthcare provider and pharmacist when you get a new medicine.

How should I take zolpidem tartrate extended-release tablets?

  • Take zolpidem tartrate extended-release tablets exactly as prescribed. Do not change your dose on your own. Tell your healthcare provider if you think zolpidem tartrate extended-release tablets is not working for you.
  • Zolpidem tartrate extended-release tablets is for short-term use only. Treatment with zolpidem tartrate extended-release tablets should be as short as possible because the risk of dependence increases the longer you are being treated.
  • Take 1 zolpidem tartrate extended-release tablet a night right before bedtime.
  • Do not take zolpidem tartrate extended-release tablets if you are not able to stay in bed a full night (7 to 8 hours) before you must be active again.
  • You should not take zolpidem tartrate extended-release tablets with or right after a meal. Zolpidem tartrate extended-release tablets may help you fall asleep faster if you take it on an empty stomach.
  • Do not take zolpidem tartrate extended-release tablets if you drank alcohol that evening or before bed.
  • Swallow zolpidem tartrate extended-release tablets whole. Do not divide, crush, or chew zolpidem tartrate extended-release tablets. If you cannot swallow zolpidem tartrate extended-release tablets whole, tell your healthcare provider. You may need a different medicine.
  • Call your healthcare provider if your sleep problems get worse or do not get better within 7 to 10 days. This may mean that there is another condition causing your sleep problems.
  • If you take too much zolpidem tartrate extended-release tablets, call your healthcare provider or go to the nearest hospital emergency room right away.

What are the possible side effects of zolpidem tartrate extended-release tablets? Zolpidem tartrate extended-release tablets may cause serious side effects including:

  • See “What is the most important information I should know about zolpidem tartrate extended-release tablets?”
  • Zolpidem tartrate extended-release tablets can make you sleepy or dizzy and can slow your thinking and motor skills. Next-day sleepiness is common, but can be serious. Because zolpidem tartrate extended-release tablets can make you sleepy or dizzy you are at a higher risk for falls.
    • o
      Do not drive, operate heavy machinery, or do other dangerous activities until you know how zolpidem tartrate extended-release tablets affects you.
    • o
      Do not drink alcohol or take opioids or other medicines that may make you sleepy or dizzy while taking zolpidem tartrate extended-release tablets without first talking to your healthcare provider. When taken with alcohol or other medicines that cause sleepiness or dizziness, zolpidem tartrate extended-release tablets may make your sleepiness or dizziness much worse.
  • Severe allergic reactions. Symptoms include swelling of the tongue or throat, trouble breathing, and nausea and vomiting. Get emergency medical help if you get these symptoms after taking zolpidem tartrate extended-release tablets.
  • Abnormal thoughts and behavior. Symptoms include more outgoing or aggressive behavior than normal, confusion (delirium), acting strangely, agitation, hallucinations, worsening of depression, and suicidal thoughts or actions.
  • Risk of suicide and worsening of depression. Worsening of depression, including suicidal thoughts and actions can happen during treatment with medicines like zolpidem tartrate extended-release tablets. Call your healthcare provider right away if you develop any thoughts of suicide, dying, or worsening depression during treatment with zolpidem tartrate extended-release tablets.
  • Breathing problems. See “Before taking zolpidem tartrate extended-release tablets, tell your healthcare provider about all of your medical conditions, including if you:” Call your healthcare provider or get emergency medical help right away if you develop breathing problems during treatment with zolpidem tartrate extended-release tablets.
  • Problems with your nervous system caused by severe liver disease (hepatic encephalopathy).
  • Withdrawal symptoms. You may have withdrawal symptoms if you stop taking zolpidem tartrate extended-release tablets suddenly. Withdrawal symptoms can be serious and include stomach and muscle cramps, vomiting, sweating, shakiness, seizures, and confusion (delirium). Talk to your healthcare provider about slowly stopping zolpidem tartrate extended-release tablets to avoid withdrawal symptoms.
  •  
    The most common side effects of zolpidem tartrate extended-release tablets include headache and dizziness. These are not all the side effects of zolpidem tartrate extended-release tablets.

Call your doctor for medical advice about side effects. You may report side effects to FDA at 1–800–FDA–1088.

How should I store zolpidem tartrate extended-release tablets?

  • Store zolpidem tartrate extended-release tablets at room temperature between 68°F to 77°F (20°C to 25°C).

Keep zolpidem tartrate extended-release tablets and all medicines out of reach of children.

General Information about the safe and effective use of zolpidem tartrate extended-release tablets.

Medicines are sometimes prescribed for purposes other than those listed in a Medication Guide. Do not use zolpidem tartrate extended-release tablets for a condition for which it was not prescribed. Do not give zolpidem tartrate extended-release tablets to other people, even if they have the same symptoms that you have. It may harm them. You can ask your healthcare provider or pharmacist for information about zolpidem tartrate extended-release tablets that is written for healthcare professionals.

What are the ingredients in zolpidem tartrate extended-release tablets?

Active Ingredient: zolpidem tartrate

Inactive Ingredients: colloidal silicon dioxide, hypromellose, hydroxypropyl cellulose, lactose monohydrate, magnesium stearate, polyethylene glycol, red ferric oxide, talc, and titanium dioxide.

The brands listed are trademarks of their respective owners and are not trademarks of Sandoz Inc.

For more information about zolpidem tartrate extended release tablets, call Sandoz Inc. at 1-800-525-8747

Finished Drug Product Manufactured by Novartis d.o.o.

1000 Ljubljana, Slovenia for Sandoz Inc., Princeton, NJ 08540

For additional medication guide please go to www.us.sandoz.com or call 1-800-525-8747.

This Medication Guide has been approved by the U.S. Food and Drug Administration. Revised: 06/2024

Section 43683-2

Indications and Usage (1) 2/2022

Dosage and Administration (2.1) 2/2022

Warnings and Precautions (5.5) 2/2022

Warnings and Precautions (5.7) 2/2022

Section 44425-7

Storage

Store at 20ºC to 25ºC (68ºF to 77ºF) [see USP Controlled Room Temperature]. Dispense in a tight, light-resistant, child-resistant container.

9.2 Abuse

Abuse and addiction are separate and distinct from physical dependence and tolerance. Abuse is characterized by misuse of the drug for non-medical purposes, often in combination with other psychoactive substances. Tolerance is a state of adaptation in which exposure to a drug induces changes that result in a diminution of one or more of the drug effects over time. Tolerance may occur to both desired and undesired effects of drugs and may develop at different rates for different effects.

Addiction is a primary, chronic, neurobiological disease with genetic, psychosocial, and environmental factors influencing its development and manifestations. It is characterized by behaviors that include one or more of the following: impaired control over drug use, compulsive use, continued use despite harm, and craving. Drug addiction is a treatable disease, using a multidisciplinary approach, but relapse is common.

Studies of abuse potential in former drug abusers found that the effects of single doses of zolpidem tartrate 40 mg were similar, but not identical, to diazepam 20 mg, while zolpidem tartrate 10 mg effects were difficult to distinguish from placebo.

Because persons with a history of addiction to, or abuse of, drugs or alcohol are at increased risk for misuse, abuse and addiction of zolpidem, they should be monitored carefully when receiving zolpidem or any other hypnotic.

8.1 Pregnancy

Risk Summary

Neonates born to mothers using zolpidem late in the third trimester of pregnancy have been reported to experience symptoms of respiratory depression and sedation [see Clinical Considerations and Data]. Published data on the use of zolpidem during pregnancy have not reported a clear association with zolpidem and major birth defects [see Data]. Oral administration of zolpidem to pregnant rats and rabbits did not indicate a risk for adverse effects on fetal development at clinically relevant doses [see Data].

The estimated background risk of major birth defects and miscarriage for the indicated populations are unknown. All pregnancies have a background risk of birth defect, loss, or other adverse outcomes. In the U.S. general population, the estimated background risk of major birth defects and miscarriage in clinically recognized pregnancies is 2% to 4% and 15% to 20%, respectively.

Clinical Considerations

Fetal/neonatal adverse reactions

Zolpidem crosses the placenta and may produce respiratory depression and sedation in neonates. Monitor neonates exposed to zolpidem tartrate extended-release during pregnancy and labor for signs of excess sedation, hypotonia, and respiratory depression and manage accordingly.

Data

Human data

Published data from observational studies, birth registries, and case reports on the use of zolpidem during pregnancy do not report a clear association with zolpidem and major birth defects.

There are limited postmarketing reports of severe to moderate cases of respiratory depression that occurred after birth in neonates whose mothers had taken zolpidem during pregnancy. These cases required artificial ventilation or intratracheal intubation. The majority of neonates recovered within hours to a few weeks after birth once treated.

Zolpidem has been shown to cross the placenta.

Animal data

Oral administration of zolpidem to pregnant rats during the period of organogenesis at 4, 20, and 100 mg base/kg/day, which are approximately 4, 20, and 100 times the maximum recommended human dose (MRHD) of 12.5 mg/day (10 mg zolpidem base) based on mg/m2 body surface area, caused delayed fetal development (incomplete fetal skeletal ossification) at maternally toxic (ataxia) doses 20 and 100 times the MRHD based on mg/m2 body surface area.

Oral administration of zolpidem to pregnant rabbits during the period of organogenesis at 1, 4, and 16 mg base/kg/day, which are approximately 2, 8, and 30 times the MRHD of 12.5 mg/day (10 mg zolpidem base) based on mg/m2 body surface area caused embryo-fetal death and delayed fetal development (incomplete fetal skeletal ossification) at a maternally toxic (decreased body weight gain) dose 30 times the MRHD based on mg/m2 body surface area.

Oral administration of zolpidem to pregnant rats from day 15 of gestation through lactation at 4, 20, and 100 mg base/kg/day, which are approximately 4, 20, and 100 times the MRHD of 12.5 mg/day (10 mg zolpidem base) based on a mg/m2 body surface area, delayed offspring growth and decreased survival at doses 20 and 100 times, respectively, the MRHD based on mg/m2 body surface area.

8.2 Lactation

Risk Summary

Limited data from published literature report the presence of zolpidem in human milk. There are reports of excess sedation in infants exposed to zolpidem through breastmilk [see Clinical Considerations]. There is no information on the effects of zolpidem on milk production. The developmental and health benefits of breastfeeding should be considered along with the mother’s clinical need for zolpidem tartrate and any potential adverse effects on the breastfed infant from zolpidem tartrate or from the underlying maternal condition.

Clinical Considerations

Infants exposed to zolpidem tartrate through breastmilk should be monitored for excess sedation, hypotonia, and respiratory depression. A lactating woman may consider interrupting breastfeeding and pumping and discarding breast milk during treatment and for 23 hours (approximately 5 elimination half-lives) after zolpidem tartrate administration in order to minimize drug exposure to a breast fed infant.

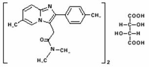
11 Description

Zolpidem tartrate extended-release tablet, USP contains zolpidem tartrate, a gamma-aminobutyric acid (GABA) A receptor positive modulator of the imidazopyridine class. Zolpidem tartrate extended-release tablets, USP are available in 6.25 mg and 12.5 mg strength tablets for oral administration.

Chemically, zolpidem is N,N,6-trimethyl-2-p-tolylimidazo[1,2-a] pyridine-3-acetamide L-(+)-tartrate (2:1). It has the following structure:

Zolpidem tartrate is a white to off-white crystalline powder that is sparingly soluble in water, alcohol, and propylene glycol. It has a molecular weight of 764.88.

Zolpidem tartrate extended-release tablets, USP are available for oral administration as a film-coated tablet containing 6.25 mg and 12.5 mg of zolpidem tartrate. Inactive ingredients consist of colloidal silicon dioxide, hypromellose, hydroxypropyl cellulose, lactose monohydrate, magnesium stearate, polyethylene glycol, red ferric oxide, talc, and titanium dioxide.

USP Dissolution test 4 used.

9.3 Dependence

Use of zolpidem tartrate extended-release may lead to development of physical and/or psychological dependence. This risk of dependence increases with dose and duration of treatment. The risk of abuse and dependence is also greater in patients with history of alcohol or drug abuse. Zolpidem tartrate extended-release should be used with extreme caution in patients with current or past alcohol or drug abuse.

Physical dependence is a state of adaptation that is manifested by a specific withdrawal syndrome that can be produced by abrupt cessation, rapid dose reduction, decreasing blood level of the drug, and/or administration of an antagonist.

Sedative/hypnotics have produced withdrawal signs and symptoms following abrupt discontinuation. These reported symptoms range from mild dysphoria and insomnia to a withdrawal syndrome that may include abdominal and muscle cramps, vomiting, sweating, tremors, convulsions, and delirium.

The following adverse events, which are considered to meet the DSM-III-R criteria for uncomplicated sedative/hypnotic withdrawal, were reported during zolpidem tartrate extended-release clinical trials following placebo substitution occurring within 48 hours following last zolpidem treatment: fatigue, nausea, flushing, lightheadedness, uncontrolled crying, emesis, stomach cramps, panic attack, nervousness, and abdominal discomfort. These reported adverse events occurred at an incidence of 1% or less. However, available data cannot provide a reliable estimate of the incidence, if any, of dependence during treatment at recommended doses. There have been postmarketing reports of abuse, dependence and withdrawal with zolpidem.

8.4 Pediatric Use

Zolpidem tartrate extended-release is not recommended for use in children. Safety and effectiveness of zolpidem in pediatric patients below the age of 18 years have not been established.

In an 8-week study in pediatric patients (aged 6 to 17 years) with insomnia associated with attention-deficit/hyperactivity disorder (ADHD) an oral solution of zolpidem tartrate dosed at 0.25 mg/kg at bedtime did not decrease sleep latency compared to placebo. Psychiatric and nervous system disorders comprised the most frequent (> 5%) treatment emergent adverse reactions observed with zolpidem versus placebo and included dizziness (23.5% vs. 1.5%), headache (12.5% vs. 9.2%), and hallucinations were reported in 7% of the pediatric patients who received zolpidem; none of the pediatric patients who received placebo reported hallucinations [see Warnings and Precautions ( 5.5 )]. Ten patients on zolpidem (7.4%) discontinued treatment due to an adverse reaction.

FDA has not required pediatric studies of zolpidem tartrate extended-release in the pediatric population based on these efficacy and safety findings.

8.5 Geriatric Use

A total of 99 elderly (≥ 65 years of age) received daily doses of 6.25 mg zolpidem tartrate extended-release in a 3-week placebo-controlled study. The adverse reaction profile of zolpidem tartrate extended-release 6.25 mg in this population was similar to that of zolpidem tartrate extended-release 12.5 mg in younger adults (≤ 64 years of age). Dizziness was reported in 8% of zolpidem tartrate extended-release-treated patients compared with 3% of those treated with placebo.

The dose of zolpidem tartrate extended-release in elderly patients is 6.25 mg to minimize adverse effects related to impaired motor and/or cognitive performance and unusual sensitivity to sedative/hypnotic drugs [see Warnings and Precautions ( 5.2 )].

2.4 Administration

Zolpidem tartrate extended-release tablets should be swallowed whole, and not be divided, crushed, or chewed. The effect of zolpidem tartrate extended-release tablets may be slowed by ingestion with or immediately after a meal.

4 Contraindications

Zolpidem tartrate extended-release tablets are contraindicated in patients

  • who have experienced complex sleep behaviors after taking zolpidem tartrate extended-release [see Warnings and Precautions (5.1)].
  • with known hypersensitivity to zolpidem. Observed reactions include anaphylaxis and angioedema [see Warnings and Precautions ( 5.4 )].
6 Adverse Reactions

The following serious adverse reactions are discussed in greater detail in other sections of the labeling:

  • Complex Sleep Behaviors [see Warnings and Precautions (5.1)]
  • CNS-Depressant Effects and Next-Day Impairment [see Warnings and Precautions ( 5.2 )]
  • Severe Anaphylactic and Anaphylactoid Reactions [see Warnings and Precautions ( 5.4 )]
  • Abnormal Thinking and Behavior Changes [see Warnings and Precautions ( 5.5)]
  • Withdrawal Effects [see Warnings and Precautions ( 5.9 )]
7 Drug Interactions
  • CNS depressants, including alcohol: Possible adverse additive CNS-depressant effects (5.2, 7.1)
  • Opioids: Concomitant use may increase risk of respiratory depression (5.7, 7.1)
  • Imipramine: Decreased alertness observed (7.1)
  • Chlorpromazine: Impaired alertness and psychomotor performance observed (7.1)
  • CYP3A4 inducers (rifampin or St.John’s wort): Combination use may decrease effect (7.2)
  • Ketoconazole: Combination use may increase effect (7.2)
2.1 Dosage in Adults

Use the lowest effective dose for the patient. The recommended initial dose is 6.25 mg for women and either 6.25 or 12.5 mg for men, taken only once per night immediately before bedtime with at least 7 to 8 hours remaining before the planned time of awakening. If the 6.25 mg dose is not effective, the dose can be increased to 12.5 mg. In some patients, the higher morning blood levels following use of the 12.5 mg dose increase the risk of next-day impairment of driving and other activities that require full alertness [see Warnings and Precautions ( 5.2 )]. The total dose of zolpidem tartrate extended-release tablets should not exceed 12.5 mg once daily immediately before bedtime. Zolpidem tartrate extended-release tablets should be taken as a single dose and should not be readministered during the same night.

The recommended initial doses for women and men are different because zolpidem clearance is lower in women.

Treatment with zolpidem tartrate extended-release tablets should be as short as possible. Extended treatment should not take place without re-evaluation of the patient’s status, since the risk of abuse and dependence increases with duration of treatment [see Drug Abuse and Dependence (9.3)].

7.1 Cns Active Drugs

CNS Depressants

Coadministration of zolpidem with other CNS depressants increases the risk of CNS depression. Concomitant use of zolpidem with these drugs may increase drowsiness and psychomotor impairment, including impaired driving ability [see Warnings and Precautions (5.1, 5.2)]. Zolpidem tartrate was evaluated in healthy volunteers in single-dose interaction studies for several CNS drugs.

Alcohol

An additive adverse effect on psychomotor performance between alcohol and oral zolpidem was demonstrated [see Warnings and Precautions (5.1, 5.2)].

Opioids

The concomitant use of zolpidem tartrate extended-release with opioids may increase the risk of respiratory depression. Limit dosage and duration of concomitant use of zolpidem tartrate and opioids [see Dosage and Administration ( 2.3), Warnings and Precautions (5.7)].

Imipramine, Chlorpromazine

Imipramine in combination with zolpidem produced no pharmacokinetic interaction other than a 20% decrease in peak levels of imipramine, but there was an additive effect of decreased alertness. Similarly, chlorpromazine in combination with zolpidem produced no pharmacokinetic interaction, but there was an additive effect of decreased alertness and psychomotor performance [see Clinical Pharmacology (12.3)].

Sertraline

Concomitant administration of zolpidem and sertraline increases exposure to zolpidem [seeClinical Pharmacology (12.3)].

Fluoxetine

After multiple doses of zolpidem tartrate and fluoxetine an increase in the zolpidem half-life (17%) was observed. There was no evidence of an additive effect in psychomotor performance [seeClinical Pharmacology (12.3)].

Haloperidol

A study involving haloperidol and zolpidem revealed no effect of haloperidol on the pharmacokinetics or pharmacodynamics of zolpidem. The lack of a drug interaction following single-dose administration does not predict the absence of an effect following chronic administration [see Clinical Pharmacology (12.3)].

12.2 Pharmacodynamics

Zolpidem binds to GABA A receptors with greater affinity for α1 subunit relative to α2 and α3 subunit containing receptors. Zolpidem has no appreciable binding affinity for α5 subunit containing GABA A receptors. This binding profile may explain the relative absence of myorelaxant effects in animal studies. Zolpidem has no appreciable binding affinity for dopaminergic D2, serotonergic 5HT2, adrenergic, histaminergic or muscarinic receptors.

12.3 Pharmacokinetics

Zolpidem tartrate extended-release exhibits biphasic absorption characteristics, which results in rapid initial absorption from the gastrointestinal tract similar to zolpidem tartrate immediate-release, then provides extended plasma concentrations beyond three hours after administration. A study in 24 healthy male subjects was conducted to compare mean zolpidem plasma concentration-time profiles obtained after single oral administration of zolpidem tartrate extended-release 12.5 mg and of an immediate-release formulation of zolpidem tartrate (10 mg). The terminal elimination half-life observed with zolpidem tartrate extended-release (12.5 mg) was similar to that obtained with immediate-release zolpidem tartrate (10 mg). The mean plasma concentration-time profiles are shown in Figure 1.

Figure 1: Mean Plasma Concentration-Time Profiles for Zolpidem Tartrate Extended-Release (12.5 mg) and Immediate-Release Zolpidem Tartrate (10 mg)

In adult and elderly patients treated with zolpidem tartrate extended-release, there was no evidence of accumulation after repeated once-daily dosing for up to two weeks.

5.9 Withdrawal Effects

There have been reports of withdrawal signs and symptoms following the rapid dose decrease or abrupt discontinuation of zolpidem. Monitor patients for tolerance, abuse, and dependence [see Drug Abuse and Dependence (9.2, 9.3 )].

8.7 Hepatic Impairment

The recommended dose of zolpidem tartrate extended-release in patients with mild to moderate hepatic impairment is 6.25 mg once daily immediately before bedtime. Avoid zolpidem tartrate extended-release use in patients with severe hepatic impairment as it may contribute to encephalopathy [see Dosage and Administration (2.2), Warnings and Precautions ( 5.8 ), Clinical Pharmacology (12.3)].

1 Indications and Usage

Zolpidem tartrate extended-release tablets are indicated for the short-term treatment of insomnia characterized by difficulties with sleep onset and/or sleep maintenance (as measured by wake time after sleep onset).

The clinical trials performed in support of efficacy were up to 3 weeks (using polysomnography measurement up to 2 weeks in both adult and elderly patients) and 24 weeks (using patient-reported assessment in adult patients only) in duration [see Clinical Studies (14)].

10.1 Signs and Symptoms

In postmarketing experience of overdose with zolpidem tartrate alone, or in combination with CNS-depressant agents, impairment of consciousness ranging from somnolence to coma, cardiovascular and/or respiratory compromise, and fatal outcomes have been reported.

2.2 Special Populations

Elderly or debilitated patients may be especially sensitive to the effects of zolpidem tartrate. The recommended dose of zolpidem tartrate extended-release tablets in these patients is 6.25 mg once daily immediately before bedtime [see Warnings and Precautions ( 5.2 ), Use in Specific Populations (8.5)].

Patients with mild to moderate hepatic impairment do not clear the drug as rapidly as normal subjects. The recommended dose of zolpidem tartrate extended-release tablets in these patients is 6.25 mg once daily immediately before bedtime. Avoid zolpidem tartrate extended-release tablets use in patients with severe hepatic impairment as it may contribute to encephalopathy [see Warnings and Precautions ( 5.8 ), Use in Specific Populations (8.7), Clinical Pharmacology (12.3)].

Principal Display Panel

NDC 0781-5315-01

Zolpidem Tartrate Extended-Release Tablets, USP

6.25 mg

Rx only

Pharmacist: Dispense the Medication Guide provided separately to each patient

100 Tablets

12.1 Mechanism of Action

Zolpidem is a GABA A receptor positive modulator presumed to exert its therapeutic effects in the short-term treatment of insomnia through binding to the benzodiazepine site of α1 subunit containing GABA A receptors, increasing the frequency of chloride channel opening resulting in the inhibition of neuronal excitation.

9.1 Controlled Substance

Zolpidem tartrate is classified as a Schedule IV controlled substance by federal regulation.

10.2 Recommended Treatment

General symptomatic and supportive measures should be used along with immediate gastric lavage where appropriate. Intravenous fluids should be administered as needed. Zolpidem's sedative hypnotic effect was shown to be reduced by flumazenil and therefore may be useful; however, flumazenil administration may contribute to the appearance of neurological symptoms (convulsions). As in all cases of drug overdose, respiration, pulse, blood pressure, and other appropriate signs should be monitored and general supportive measures employed. Hypotension and CNS depression should be monitored and treated by appropriate medical intervention. Sedating drugs should be withheld following zolpidem overdosage, even if excitation occurs. The value of dialysis in the treatment of overdosage has not been determined, although hemodialysis studies in patients with renal failure receiving therapeutic doses have demonstrated that zolpidem is not dialyzable.

As with the management of all overdosage, the possibility of multiple drug ingestion should be considered. The physician may wish to consider contacting a poison control center for up-to-date information on the management of hypnotic drug product overdosage.

5 Warnings and Precautions
  • CNS-Depressant Effects: Impaired alertness and motor coordination, including risk of morning impairment. Risk increases with dose and use with other CNS depressants and alcohol. Caution patients against driving and other activities requiring complete mental alertness the morning after use. Instruct patients on correct use. (5.2)
  • Need to Evaluate for Comorbid Diagnoses: Re-evaluate if insomnia persists after 7 to 10 days of use. (5.3)
  • Severe Anaphylactic/Anaphylactoid Reactions: Angioedema and anaphylaxis have been reported. Do not rechallenge if such reactions occur. (5.4)
  • Abnormal Thinking and Behavioral Changes : Changes including decreased inhibition, bizarre behavior, agitation, and depersonalization have been reported. Immediately evaluate any new onset behavioral changes. (5.5)
  • Depression: Worsening of depression or suicidal thinking may occur. Prescribe the least amount of tablets feasible to avoid intentional overdose. (5.6)
  • Respiratory Depression: Consider this risk before prescribing in patients with compromised respiratory function. (5.7)
  • Hepatic Impairment: Avoid zolpidem tartrate extended-release tablets use in patients with severe hepatic impairment. (5.8)
  • Withdrawal Effects: Symptoms may occur with rapid dose reduction or discontinuation. (5.9, 9.3)
5.7 Respiratory Depression

Although studies with 10 mg zolpidem tartrate did not reveal respiratory depressant effects at hypnotic doses in healthy subjects or in patients with mild to moderate chronic obstructive pulmonary disease (COPD), a reduction in the Total Arousal Index, together with a reduction in lowest oxygen saturation and increase in the times of oxygen desaturation below 80% and 90%, was observed in patients with mild to moderate sleep apnea when treated with zolpidem compared to placebo. Since sedative-hypnotics have the capacity to depress respiratory drive, precautions should be taken if zolpidem tartrate extended-release is prescribed to patients with compromised respiratory function or concomitant use with opioids or other CNS depressants. Postmarketing reports of respiratory insufficiency in patients receiving 10 mg of zolpidem tartrate, most of whom had pre-existing respiratory impairment, have been reported. The risk of respiratory depression should be considered prior to prescribing zolpidem tartrate extended-release in patients with respiratory impairment including sleep apnea and myasthenia gravis or with concomitant opioid use [see Dosage and Administration (2.3), Drug Interactions (7.1)] .

2 Dosage and Administration
  • Use the lowest dose effective for the patient and must not exceed a total of 12.5 mg daily (2.1)
  • Treatment should be as short as possible (2.1)
  • Recommended initial dose is a single dose of 6.25 mg for women and a single dose of 6.25 or 12.5 mg for men, immediately before bedtime with at least 7 to 8 hours remaining before the planned time of awakening (2.1)
  • Geriatric patients and patients with mild to moderate hepatic impairment: Recommended dose is 6.25 mg for men and women (2.2)
  • Lower doses of CNS depressants may be necessary when taken concomitantly with zolpidem tartrate extended-release tablets (2.3)
  • Tablets to be swallowed whole, not to be crushed, divided or chewed (2.4)
  • The effect of zolpidem tartrate extended-release tablets may be slowed if taken with or immediately after a meal (2.4)
5.1 Complex Sleep Behaviors

Complex sleep behaviors, including sleep-walking, sleep-driving, and engaging in other activities while not fully awake, may occur following the first or any subsequent use of zolpidem tartrate extended-release. Patients can be seriously injured or injure others during complex sleep behaviors. Such injuries may result in a fatal outcome. Other complex sleep behaviors (e.g., preparing and eating food, making phone calls, or having sex) have also been reported. Patients usually do not remember these events. Postmarketing reports have shown that complex sleep behaviors may occur with zolpidem tartrate extended-release alone at recommended doses, with or without the concomitant use of alcohol or other central nervous system (CNS) depressants [see Drug Interactions ( 7.1)]. Discontinue zolpidem tartrate extended-release immediately if a patient experiences a complex sleep behavior [see Contraindications ( 4)].

2.3 Use With Cns Depressants

Dosage adjustment may be necessary when zolpidem tartrate extended-release tablets are combined with other CNS- depressant drugs because of the potentially additive effects [see Warnings and Precautions ( 5.2 , 5.7)].

3 Dosage Forms and Strengths

Zolpidem tartrate extended-release tablets, USP contain 6.25 mg or 12.5 mg of zolpidem tartrate for oral administration. Tablets are not scored.

Zolpidem tartrate extended-release tablets, USP, 6.25 mg are dark pink, round, biconvex film-coated tablets debossed with SZ on one side and 228 on the other side.

Zolpidem tartrate extended-release tablets, USP, 12.5 mg tablets are light pink, round, biconvex film-coated tablets debossed with SZ on one side and 229 on the other side.

6.2 Postmarketing Experience

The following adverse reactions have been identified during postapproval use of zolpidem tartrate extended-release. Because these reactions are reported voluntarily from a population of uncertain size, it is not always possible to reliably estimate their frequency or establish a causal relationship to drug exposure.

Liver and biliary system: acute hepatocellular, cholestatic or mixed liver injury with or without jaundice (i.e., bilirubin >2x ULN, alkaline phosphatase ≥2x ULN, transaminase ≥5x ULN).

Psychiatric disorders : delirium

8 Use in Specific Populations
  • Pregnancy: May cause respiratory depression and sedation in neonates with exposure late in the third trimester. (8.1)
  • Lactation: A lactating woman may pump and discard breast milk during treatment and for 23 hours after zolpidem tartrate extended-release administration. (8.2)
  • Pediatric use: Safety and effectiveness not established. Hallucinations (incidence rate 7%) and other psychiatric and/or nervous system adverse reactions were observed frequently in a study of pediatric patients with Attention-Deficit/Hyperactivity Disorder. (5.5, 8.4)
Principal Label Display Panel

NDC 0781-5316-01

Zolpidem Tartrate Extended-Release Tablets, USP

12.5 mg

Rx only

Pharmacist: Dispense the Medication Guide provided separately to each patient

100 Tablets

14.1 Controlled Clinical Trials

Zolpidem tartrate extended-release was evaluated in three placebo-controlled studies for the treatment of patients with chronic primary insomnia (as defined in the APA Diagnostic and Statistical Manual of Mental Disorders, DSM IVTM).

Adult outpatients (18 to 64 years) with primary insomnia (N=212) were evaluated in a double-blind, randomized, parallel-group, 3-week trial comparing zolpidem tartrate extended-release 12.5 mg and placebo. Zolpidem tartrate extended-release 12.5 mg decreased wake time after sleep onset (WASO) for the first 7 hours during the first 2 nights and for the first 5 hours after 2 weeks of treatment. Zolpidem tartrate extended-release 12.5 mg was superior to placebo on objective measures (polysomnography recordings) of sleep induction (by decreasing latency to persistent sleep [LPS]) during the first 2 nights of treatment and after 2 weeks of treatment. Zolpidem tartrate extended-release 12.5 mg was also superior to placebo on the patient reported global impression regarding the aid to sleep after the first 2 nights and after 3 weeks of treatment.

Elderly outpatients (≥ 65 years) with primary insomnia (N=205) were evaluated in a double-blind, randomized, parallel-group, 3-week trial comparing zolpidem tartrate extended-release 6.25 mg and placebo. Zolpidem tartrate extended-release 6.25 mg decreased wake time after sleep onset (WASO) for the first 6 hours during the first 2 nights and the first 4 hours after 2 weeks of treatment. Zolpidem tartrate extended-release 6.25 mg was superior to placebo on objective measures (polysomnography recordings) of sleep induction (by decreasing LPS) during the first 2 nights of treatment and after 2 weeks on treatment. Zolpidem tartrate extended-release 6.25 mg was superior to placebo on the patient reported global impression regarding the aid to sleep after the first 2 nights and after 3 weeks of treatment.

In both studies, in patients treated with zolpidem tartrate extended-release, polysomnography showed increased wakefulness at the end of the night compared to placebo-treated patients.

In a 24-week double-blind, placebo controlled, randomized study in adult outpatients (18 to 64 years) with primary insomnia (N=1025), zolpidem tartrate extended-release 12.5 mg administered as needed (3 to 7 nights per week) was superior to placebo over 24 weeks, on patient global impression regarding aid to sleep, and on patient-reported specific sleep parameters for sleep induction and sleep maintenance with no significant increased frequency of drug intake observed over time.

Warning: Complex Sleep Behaviors

Complex sleep behaviors including sleep-walking, sleep-driving, and engaging in other activities while not fully awake may occur following use of zolpidem tartrate extended-release tablets. Some of these events may result in serious injuries, including death. Discontinue zolpidem tartrate extended-release tablets immediately if a patient experiences a complex sleep behavior [see Contraindications (4) and Warnings and Precautions (5.1)] .

17 Patient Counseling Information

Advise the patient to read the FDA-approved patient labeling (Medication Guide)

Inform patients and their families about the benefits and risks of treatment with zolpidem tartrate extended-release tablets. Inform patients of the availability of a Medication Guide and instruct them to read the Medication Guide prior to initiating treatment with zolpidem tartrate extended-release tablets and with each prescription refill. Review the zolpidem tartrate extended-release tablets Medication Guide with every patient prior to initiation of treatment. Instruct patients or caregivers that zolpidem tartrate extended-release tablets should be taken only as prescribed.

Complex Sleep Behaviors

Instruct patients and their families that zolpidem tartrate extended-release tablets may cause complex sleep behaviors, including sleep-walking, sleep-driving, preparing and eating food, making phone calls, or having sex while not being fully awake. Serious injuries and death have occurred during complex sleep behavior episodes. Tell patients to discontinue zolpidem tartrate extended-release tablets and notify their healthcare provider immediately if they develop any of these symptoms [see Boxed Warning, Warnings and Precautions ( 5.1)].

CNS-Depressant Effects and Next-Day Impairment

Tell patients that zolpidem tartrate extended-release tablets can cause next-day impairment even when used as prescribed, and that this risk is increased if dosing instructions are not carefully followed. Caution patients against driving and other activities requiring complete mental alertness the day after use. Inform patients that impairment can be present despite feeling fully awake. Advise patients that increased drowsiness and decreased consciousness may increase the risk of falls in some patients [see Warnings and Precautions (5.2)].

Severe Anaphylactic and Anaphylactoid Reactions

Inform patients that severe anaphylactic and anaphylactoid reactions have occurred with zolpidem. Describe the signs/symptoms of these reactions and advise patients to seek medical attention immediately if any of them occur [see Warnings and Precautions (5.4)].

Suicide

Tell patients to immediately report any suicidal thoughts.

Alcohol and other Drugs

Ask patients about alcohol consumption, medicines they are taking, and drugs they may be taking without a prescription. Advise patients not to use zolpidem tartrate extended-release tablets if they drank alcohol that evening or before bed.

Concomitant Use with Opioids

Inform patients and caregivers that potentially serious additive effects may occur if zolpidem tartrate extended-release tablets are used with opioids and not to use such drugs concomitantly unless supervised by a healthcare provider [Warnings and Precautions ( 5.2, 5.7), Drug Interactions (7.1)].

Tolerance, Abuse, and Dependence

Tell patients not to increase the dose of zolpidem tartrate extended-release tablets on their own, and to inform you if they believe the drug "does not work".

Administration Instructions

Patients should be counseled to take zolpidem tartrate extended-release tablets right before they get into bed and only when they are able to stay in bed a full night (7 to 8 hours) before being active again. Zolpidem tartrate extended-release tablets should not be taken with or immediately after a meal. Advise patients NOT to take zolpidem tartrate extended-release tablets if they drank alcohol that evening.

Pregnancy

Advise patients to notify their healthcare provider if they become pregnant or intend to become pregnant during treatment with zolpidem tartrate extended-release tablets. Advise patients that use of zolpidem tartrate extended-release tablets late in the third trimester may cause respiratory depression and sedation in neonates. Advise mothers who used zolpidem tartrate extended-release tablets during the late third trimester of pregnancy to monitor neonates for signs of sleepiness (more than usual), breathing difficulties, or limpness [see Use in Specific Populations (8.1)].

Lactation

Advise breastfeeding mothers using zolpidem tartrate extended-release tablets to monitor infants for increased sleepiness (more than usual), breathing difficulties, or limpness. Instruct breastfeeding mothers to seek immediate medical care if they notice these signs. A lactating woman may consider pumping and discarding breastmilk during treatment and for 23 hours after zolpidem tartrate extended-release tablets administration to minimize drug exposure to a breastfed infant [see Use in Specific Populations (8.2)].

Finished Drug Product Manufactured by Novartis d.o.o.

1000 Ljubljana, Slovenia for Sandoz Inc., Princeton, NJ 08540

5.6 Use in Patients With Depression

In primarily depressed patients treated with sedative-hypnotics, worsening of depression, and suicidal thoughts and actions (including completed suicides), have been reported. Suicidal tendencies may be present in such patients and protective measures may be required. Intentional overdosage is more common in this group of patients; therefore, the lowest number of tablets that is feasible should be prescribed for the patient at any one time.

16 How Supplied/storage and Handling

Zolpidem tartrate extended-release tablets, USP are available as follows:

6.25 mg, dark pink, round, biconvex film-coated tablets debossed with SZ on one side and 228 on the other side.

  •  
    NDC 0781-5315-31, bottles of 30 tablets
  •  
    NDC 0781-5315-01, bottles of 100 tablets
  •  
    NDC 0781-5315-05, bottles of 500 tablets

12.5 mg, light pink, round, biconvex film-coated tablets debossed with SZ on one side and 229 on the other side.

  •  
    NDC 0781-5316-31, bottles of 30 tablets
  •  
    NDC 0781-5316-01, bottles of 100 tablets
  •  
    NDC 0781-5316-05, bottles of 500 tablets

The tablets are to be swallowed whole and should not be crushed, chewed, or divided.

8.6 Gender Difference in Pharmacokinetics

Women clear zolpidem tartrate from the body at a lower rate than men. Cmax and AUC parameters of zolpidem from zolpidem tartrate extended-release were, respectively, approximately 50% and 75% higher at the same dose in adult female subjects compared to adult male subjects. Between 6 and 12 hours after dosing, zolpidem concentrations were 2 to 3 fold higher in adult female compared to adult male subjects. Given the higher blood levels of zolpidem tartrate in women compared to men at a given dose, the recommended initial dose of zolpidem tartrate extended-release for adult women is 6.25 mg, and the recommended dose for adult men is 6.25 or 12.5 mg.

In geriatric patients, clearance of zolpidem is similar in men and women. The recommended dose of zolpidem tartrate extended-release in geriatric patients is 6.25 mg regardless of gender.

5.3 Need to Evaluate for Comorbid Diagnoses

Because sleep disturbances may be the presenting manifestation of a physical and/or psychiatric disorder, symptomatic treatment of insomnia should be initiated only after a careful evaluation of the patient. The failure of insomnia to remit after 7 to 10 days of treatment may indicate the presence of a primary psychiatric and/or medical illness that should be evaluated. Worsening of insomnia or the emergence of new thinking or behavior abnormalities may be the consequence of an unrecognized psychiatric or physical disorder. Such findings have emerged during the course of treatment with sedative/hypnotic drugs, including zolpidem.

5.8 Precipitation of Hepatic Encephalopathy

Drugs affecting GABA receptors, such as zolpidem tartrate, have been associated with precipitation of hepatic encephalopathy in patients with hepatic insufficiency. In addition, patients with hepatic insufficiency do not clear zolpidem tartrate as rapidly as patients with normal hepatic function. Avoid zolpidem tartrate extended-release use in patients with severe hepatic impairment as it may contribute to encephalopathy [see Dosage and Administration (2.2), Use in Specific Populations (8.7), Clinical Pharmacology (12.3)].

5.5 Abnormal Thinking and Behavioral Changes

Abnormal thinking and behavior changes have been reported in patients treated with sedative/hypnotics, including zolpidem tartrate extended-release. Some of these changes included decreased inhibition (e.g., aggressiveness and extroversion that seemed out of character), bizarre behavior, agitation and depersonalization. Visual and auditory hallucinations have been reported.

In controlled trials, <1% of adults with insomnia reported hallucinations. In a clinical trial, 7% of pediatric patients treated with zolpidem tartrate 0.25 mg/kg taken at bedtime reported hallucinations versus 0% treated with placebo [see Use in Specific Populations (8.4)]. There have been postmarketing reports of delirium with zolpidem use [see Adverse Reactions (6.2)].

It can rarely be determined with certainty whether a particular instance of the abnormal behaviors listed above is drug induced, spontaneous in origin, or a result of an underlying psychiatric or physical disorder. Nonetheless, the emergence of any new behavioral sign or symptom of concern requires careful and immediate evaluation.

5.2 Cns Depressant Effects and Next Day Impairment

Zolpidem tartrate extended-release tablet is a CNS depressant and can impair daytime function in some patients even when used as prescribed. Prescribers should monitor for excess depressant effects, but impairment can occur in the absence of subjective symptoms, and may not be reliably detected by ordinary clinical exam (i.e. less than formal psychomotor testing). While pharmacodynamic tolerance or adaptation to some adverse depressant effects of zolpidem tartrate extended-release may develop, patients using zolpidem tartrate extended-release should be cautioned against driving or engaging in other hazardous activities or activities requiring complete mental alertness the day after use.

Additive effects occur with concomitant use of other CNS depressants (e.g., benzodiazepines, opioids, tricyclic antidepressants, alcohol), including daytime use [see Drug Interactions (7.1)]. Downward dose adjustment of zolpidem tartrate extended-release and concomitant CNS depressants should be considered [see Dosage and Administration (2.3)].

The use of zolpidem tartrate extended-release with other sedative-hypnotics (including other zolpidem products) at bedtime or the middle of the night is not recommended.

The risk of next-day psychomotor impairment is increased if zolpidem tartrate extended-release is taken with less than a full night of sleep remaining (7 to 8 hours); if higher than the recommended dose is taken; if coadministered with other CNS depressants or alcohol; or coadministered with other drugs that increase the blood levels of zolpidem. Patients should be warned against driving and other activities requiring complete mental alertness if zolpidem tartrate extended-release is taken in these circumstances [see Dosage and Administration (2), Clinical Studies (14.2)].

Vehicle drivers and machine operators should be warned that, as with other hypnotics, there may be a possible risk of adverse reactions including drowsiness, prolonged reaction time, dizziness, sleepiness, blurred/double vision, reduced alertness, and impaired driving the morning after therapy. In order to minimize this risk a full night of sleep (7 to 8 hours) is recommended.

Because zolpidem tartrate extended-release can cause drowsiness and a decreased level of consciousness, patients, particularly the elderly, are at higher risk of falls.

5.4 Severe Anaphylactic and Anaphylactoid Reactions

Cases of angioedema involving the tongue, glottis or larynx have been reported in patients after taking the first or subsequent doses of sedative-hypnotics, including zolpidem. Some patients have had additional symptoms such as dyspnea, throat closing or nausea and vomiting that suggest anaphylaxis. Some patients have required medical therapy in the emergency department. If angioedema involves the throat, glottis or larynx, airway obstruction may occur and be fatal. Patients who develop angioedema after treatment with zolpidem should not be rechallenged with the drug.

13.1 Carcinogenesis, Mutagenesis, Impairment of Fertility

Carcinogenesis

Zolpidem was administered to mice and rats for 2 years at oral doses of 4, 18, and 80 mg base/kg/day. In mice, these doses are approximately 2, 9, and 40 times the MRHD of 12.5 mg/day (10 mg zolpidem base) based on mg/m2 body surface area and in rats, these doses are approximately 4, 18, and 80 times the MRHD based on mg/m2 body surface area. No evidence of carcinogenic potential was observed in mice. In rats, renal tumors (lipoma, liposarcoma) were seen at the mid and high doses.

Mutagenesis

Zolpidem was negative in in vitro (bacterial reverse mutation, mouse lymphoma, and chromosomal aberration) and in vivo (mouse micronucleus) genetic toxicology assays.

Impairment of Fertility

Zolpidem was administered to rats at 4, 20, and 100 mg base/kg/day, which are approximately 4, 20, and 100 times the MRHD of 12.5 mg/day (10 mg zolpidem base) based on mg/m2 body surface area, prior to and during mating, and continuing in females through postpartum day 25. Zolpidem caused irregular estrus cycles and prolonged precoital intervals at the highest dose tested, which is approximately 100 times the MRHD based on mg/m2 body surface area. The NOAEL for these effects is 20 times the MRHD based on mg/m2 body surface area. There was no impairment of fertility at any dose tested.

7.2 Drugs That Affect Drug Metabolism Via Cytochrome P450

Some compounds known to induce or inhibit CYP3A may affect exposure to zolpidem. The effect of drugs that induce or inhibit other P450 enzymes on the exposure to zolpidem is not known.


Structured Label Content

Section 42229-5 (42229-5)

Associated with Discontinuation of Treatment

In 3-week clinical trials in adults and elderly patients (> 65 years), 3.5% (7/201) patients receiving zolpidem tartrate extended-release 6.25 or 12.5 mg discontinued treatment due to an adverse reaction as compared to 0.9% (2/216) of patients on placebo. The reaction most commonly associated with discontinuation in patients treated with zolpidem tartrate extended-release was somnolence (1%).

In a 6-month study in adult patients (18 to 64 years of age), 8.5% (57/669) of patients receiving zolpidem tartrate extended-release 12.5 mg as compared to 4.6% on placebo (16/349) discontinued treatment due to an adverse reaction. Reactions most commonly associated with discontinuation of zolpidem tartrate extended-release included anxiety (anxiety, restlessness or agitation) reported in 1.5% (10/669) of patients as compared to 0.3% (1/349) of patients on placebo, and depression (depression, major depression or depressed mood) reported in 1.5% (10/669) of patients as compared to 0.3% (1/349) of patients on placebo.

Data from a clinical study in which selective serotonin reuptake inhibitor- (SSRI-) treated patients were given zolpidem revealed that four of the seven discontinuations during double-blind treatment with zolpidem (n=95) were associated with impaired concentration, continuing or aggravated depression, and manic reaction; one patient treated with placebo (n =97) was discontinued after an attempted suicide.

Section 42231-1 (42231-1)

MEDICATION GUIDE

Zolpidem Tartrate Extended-Release Tablets, USP C-IV

(ZOL-pih-dem)

What is the most important information I should know about zolpidem tartrate extended-release tablets?

Zolpidem tartrate extended-release tablets may cause serious side effects, including:

  • Complex sleep behaviors. After taking zolpidem tartrate extended-release tablets, you may get up out of bed while not being fully awake and do an activity that you do not know you are doing. The next morning, you may not remember that you did anything during the night. These activities may happen with zolpidem tartrate extended-release tablets whether or not you drink alcohol or take other medicines that make you sleepy. Some of these complex sleep behaviors have caused serious injury and death. People taking zolpidem tartrate extended-release tablets have reported:
    • o
      sleep-walking
    • o
      sleep-driving
    • o
      making and eating food
    • o
      talking on the phone
    • o
      having sex
  • Stop taking zolpidem tartrate extended-release tablets and tell your healthcare provider right away if you find out that you have done any of the above activities after taking zolpidem tartrate extended-release tablets.

What are zolpidem tartrate extended-release tablets?

Zolpidem tartrate extended-release tablets are a prescription sleep medicine used for the treatment of adults who have trouble falling asleep or staying asleep (insomnia).

  • It is not known if zolpidem tartrate extended-release tablets are safe and effective in children under the age of 18 years. Zolpidem tartrate extended-release tablets are not recommended for use in children under the age of 18 years.

Zolpidem tartrate extended-release tablets is a federally controlled substance (C-IV) because it can be abused or lead to dependence. Keep zolpidem tartrate extended-release tablets in a safe place to protect it from theft. Never give your zolpidem tartrate extended-release tablets to anyone else because it can cause death or harm them. Selling or giving away this medicine is against the law.

Do not take zolpidem tartrate extended-release tablets if you:

  • have had complex sleep behaviors that happened after taking zolpidem tartrate extended-release tablets in the past. See “What is the most important information I should know about zolpidem tartrate extended-release tablets?”
  • are allergic to zolpidem or any of the ingredients in zolpidem tartrate extended-release tablets. See the end of this Medication Guide for a complete list of ingredients in zolpidem tartrate extended-release tablets.

Before taking zolpidem tartrate extended-release tablets, tell your healthcare provider about all of your medical conditions, including if you:

  • have a history of depression, mental illness, or suicidal thoughts or actions
  • have a history of drug or alcohol abuse or addiction
  • have kidney or liver disease
  • have a lung disease or breathing problems
  • have sleep apnea
  • have myasthenia gravis
  • are pregnant or plan to become pregnant. Taking zolpidem tartrate extended-release tablets in the third trimester of pregnancy may harm your unborn baby.
    • o
      Tell your healthcare provider if you become pregnant or plan to become pregnant during treatment with zolpidem tartrate extended-release tablets.
    • o
      Babies born to mothers who take zolpidem tartrate extended-release tablets during the third trimester of pregnancy may have symptoms of breathing problems and sedation (such as sleepiness or low muscle tone).
  • are breastfeeding or plan to breastfeed. Zolpidem tartrate passes into your breast milk. Talk to your healthcare provider about the best way to feed your baby while you take zolpidem tartrate extended-release tablets.

Tell your healthcare provider about all of the medicines you take, including prescription and over-the-counter medicines, vitamins, and herbal supplements.

Zolpidem tartrate extended-release tablets and other medicines can interact with each other causing serious side effects. Zolpidem tartrate extended-release tablets may affect the way other medicines work, and other medicines may affect how zolpidem tartrate extended-release tablets works.

Especially tell your healthcare provider if you:

  • take benzodiazepines
  • take opioids as it may increase the risk of breathing problems (respiratory depression).
  • take tricyclic antidepressants
  • take other medicines that can make you sleepy or affect your breathing (including other zolpidem medicines)
  • drink alcohol

You can ask your pharmacist for a list of medicines that interact with zolpidem tartrate extended-release tablets.

Know the medicines you take. Keep a list of them to show your healthcare provider and pharmacist when you get a new medicine.

How should I take zolpidem tartrate extended-release tablets?

  • Take zolpidem tartrate extended-release tablets exactly as prescribed. Do not change your dose on your own. Tell your healthcare provider if you think zolpidem tartrate extended-release tablets is not working for you.
  • Zolpidem tartrate extended-release tablets is for short-term use only. Treatment with zolpidem tartrate extended-release tablets should be as short as possible because the risk of dependence increases the longer you are being treated.
  • Take 1 zolpidem tartrate extended-release tablet a night right before bedtime.
  • Do not take zolpidem tartrate extended-release tablets if you are not able to stay in bed a full night (7 to 8 hours) before you must be active again.
  • You should not take zolpidem tartrate extended-release tablets with or right after a meal. Zolpidem tartrate extended-release tablets may help you fall asleep faster if you take it on an empty stomach.
  • Do not take zolpidem tartrate extended-release tablets if you drank alcohol that evening or before bed.
  • Swallow zolpidem tartrate extended-release tablets whole. Do not divide, crush, or chew zolpidem tartrate extended-release tablets. If you cannot swallow zolpidem tartrate extended-release tablets whole, tell your healthcare provider. You may need a different medicine.
  • Call your healthcare provider if your sleep problems get worse or do not get better within 7 to 10 days. This may mean that there is another condition causing your sleep problems.
  • If you take too much zolpidem tartrate extended-release tablets, call your healthcare provider or go to the nearest hospital emergency room right away.

What are the possible side effects of zolpidem tartrate extended-release tablets? Zolpidem tartrate extended-release tablets may cause serious side effects including:

  • See “What is the most important information I should know about zolpidem tartrate extended-release tablets?”
  • Zolpidem tartrate extended-release tablets can make you sleepy or dizzy and can slow your thinking and motor skills. Next-day sleepiness is common, but can be serious. Because zolpidem tartrate extended-release tablets can make you sleepy or dizzy you are at a higher risk for falls.
    • o
      Do not drive, operate heavy machinery, or do other dangerous activities until you know how zolpidem tartrate extended-release tablets affects you.
    • o
      Do not drink alcohol or take opioids or other medicines that may make you sleepy or dizzy while taking zolpidem tartrate extended-release tablets without first talking to your healthcare provider. When taken with alcohol or other medicines that cause sleepiness or dizziness, zolpidem tartrate extended-release tablets may make your sleepiness or dizziness much worse.
  • Severe allergic reactions. Symptoms include swelling of the tongue or throat, trouble breathing, and nausea and vomiting. Get emergency medical help if you get these symptoms after taking zolpidem tartrate extended-release tablets.
  • Abnormal thoughts and behavior. Symptoms include more outgoing or aggressive behavior than normal, confusion (delirium), acting strangely, agitation, hallucinations, worsening of depression, and suicidal thoughts or actions.
  • Risk of suicide and worsening of depression. Worsening of depression, including suicidal thoughts and actions can happen during treatment with medicines like zolpidem tartrate extended-release tablets. Call your healthcare provider right away if you develop any thoughts of suicide, dying, or worsening depression during treatment with zolpidem tartrate extended-release tablets.
  • Breathing problems. See “Before taking zolpidem tartrate extended-release tablets, tell your healthcare provider about all of your medical conditions, including if you:” Call your healthcare provider or get emergency medical help right away if you develop breathing problems during treatment with zolpidem tartrate extended-release tablets.
  • Problems with your nervous system caused by severe liver disease (hepatic encephalopathy).
  • Withdrawal symptoms. You may have withdrawal symptoms if you stop taking zolpidem tartrate extended-release tablets suddenly. Withdrawal symptoms can be serious and include stomach and muscle cramps, vomiting, sweating, shakiness, seizures, and confusion (delirium). Talk to your healthcare provider about slowly stopping zolpidem tartrate extended-release tablets to avoid withdrawal symptoms.
  •  
    The most common side effects of zolpidem tartrate extended-release tablets include headache and dizziness. These are not all the side effects of zolpidem tartrate extended-release tablets.

Call your doctor for medical advice about side effects. You may report side effects to FDA at 1–800–FDA–1088.

How should I store zolpidem tartrate extended-release tablets?

  • Store zolpidem tartrate extended-release tablets at room temperature between 68°F to 77°F (20°C to 25°C).

Keep zolpidem tartrate extended-release tablets and all medicines out of reach of children.

General Information about the safe and effective use of zolpidem tartrate extended-release tablets.

Medicines are sometimes prescribed for purposes other than those listed in a Medication Guide. Do not use zolpidem tartrate extended-release tablets for a condition for which it was not prescribed. Do not give zolpidem tartrate extended-release tablets to other people, even if they have the same symptoms that you have. It may harm them. You can ask your healthcare provider or pharmacist for information about zolpidem tartrate extended-release tablets that is written for healthcare professionals.

What are the ingredients in zolpidem tartrate extended-release tablets?

Active Ingredient: zolpidem tartrate

Inactive Ingredients: colloidal silicon dioxide, hypromellose, hydroxypropyl cellulose, lactose monohydrate, magnesium stearate, polyethylene glycol, red ferric oxide, talc, and titanium dioxide.

The brands listed are trademarks of their respective owners and are not trademarks of Sandoz Inc.

For more information about zolpidem tartrate extended release tablets, call Sandoz Inc. at 1-800-525-8747

Finished Drug Product Manufactured by Novartis d.o.o.

1000 Ljubljana, Slovenia for Sandoz Inc., Princeton, NJ 08540

For additional medication guide please go to www.us.sandoz.com or call 1-800-525-8747.

This Medication Guide has been approved by the U.S. Food and Drug Administration. Revised: 06/2024

Section 43683-2 (43683-2)

Indications and Usage (1) 2/2022

Dosage and Administration (2.1) 2/2022

Warnings and Precautions (5.5) 2/2022

Warnings and Precautions (5.7) 2/2022

Section 44425-7 (44425-7)

Storage

Store at 20ºC to 25ºC (68ºF to 77ºF) [see USP Controlled Room Temperature]. Dispense in a tight, light-resistant, child-resistant container.

9.2 Abuse

Abuse and addiction are separate and distinct from physical dependence and tolerance. Abuse is characterized by misuse of the drug for non-medical purposes, often in combination with other psychoactive substances. Tolerance is a state of adaptation in which exposure to a drug induces changes that result in a diminution of one or more of the drug effects over time. Tolerance may occur to both desired and undesired effects of drugs and may develop at different rates for different effects.

Addiction is a primary, chronic, neurobiological disease with genetic, psychosocial, and environmental factors influencing its development and manifestations. It is characterized by behaviors that include one or more of the following: impaired control over drug use, compulsive use, continued use despite harm, and craving. Drug addiction is a treatable disease, using a multidisciplinary approach, but relapse is common.

Studies of abuse potential in former drug abusers found that the effects of single doses of zolpidem tartrate 40 mg were similar, but not identical, to diazepam 20 mg, while zolpidem tartrate 10 mg effects were difficult to distinguish from placebo.

Because persons with a history of addiction to, or abuse of, drugs or alcohol are at increased risk for misuse, abuse and addiction of zolpidem, they should be monitored carefully when receiving zolpidem or any other hypnotic.

8.1 Pregnancy

Risk Summary

Neonates born to mothers using zolpidem late in the third trimester of pregnancy have been reported to experience symptoms of respiratory depression and sedation [see Clinical Considerations and Data]. Published data on the use of zolpidem during pregnancy have not reported a clear association with zolpidem and major birth defects [see Data]. Oral administration of zolpidem to pregnant rats and rabbits did not indicate a risk for adverse effects on fetal development at clinically relevant doses [see Data].

The estimated background risk of major birth defects and miscarriage for the indicated populations are unknown. All pregnancies have a background risk of birth defect, loss, or other adverse outcomes. In the U.S. general population, the estimated background risk of major birth defects and miscarriage in clinically recognized pregnancies is 2% to 4% and 15% to 20%, respectively.

Clinical Considerations

Fetal/neonatal adverse reactions

Zolpidem crosses the placenta and may produce respiratory depression and sedation in neonates. Monitor neonates exposed to zolpidem tartrate extended-release during pregnancy and labor for signs of excess sedation, hypotonia, and respiratory depression and manage accordingly.

Data

Human data

Published data from observational studies, birth registries, and case reports on the use of zolpidem during pregnancy do not report a clear association with zolpidem and major birth defects.

There are limited postmarketing reports of severe to moderate cases of respiratory depression that occurred after birth in neonates whose mothers had taken zolpidem during pregnancy. These cases required artificial ventilation or intratracheal intubation. The majority of neonates recovered within hours to a few weeks after birth once treated.

Zolpidem has been shown to cross the placenta.

Animal data

Oral administration of zolpidem to pregnant rats during the period of organogenesis at 4, 20, and 100 mg base/kg/day, which are approximately 4, 20, and 100 times the maximum recommended human dose (MRHD) of 12.5 mg/day (10 mg zolpidem base) based on mg/m2 body surface area, caused delayed fetal development (incomplete fetal skeletal ossification) at maternally toxic (ataxia) doses 20 and 100 times the MRHD based on mg/m2 body surface area.

Oral administration of zolpidem to pregnant rabbits during the period of organogenesis at 1, 4, and 16 mg base/kg/day, which are approximately 2, 8, and 30 times the MRHD of 12.5 mg/day (10 mg zolpidem base) based on mg/m2 body surface area caused embryo-fetal death and delayed fetal development (incomplete fetal skeletal ossification) at a maternally toxic (decreased body weight gain) dose 30 times the MRHD based on mg/m2 body surface area.

Oral administration of zolpidem to pregnant rats from day 15 of gestation through lactation at 4, 20, and 100 mg base/kg/day, which are approximately 4, 20, and 100 times the MRHD of 12.5 mg/day (10 mg zolpidem base) based on a mg/m2 body surface area, delayed offspring growth and decreased survival at doses 20 and 100 times, respectively, the MRHD based on mg/m2 body surface area.

8.2 Lactation

Risk Summary

Limited data from published literature report the presence of zolpidem in human milk. There are reports of excess sedation in infants exposed to zolpidem through breastmilk [see Clinical Considerations]. There is no information on the effects of zolpidem on milk production. The developmental and health benefits of breastfeeding should be considered along with the mother’s clinical need for zolpidem tartrate and any potential adverse effects on the breastfed infant from zolpidem tartrate or from the underlying maternal condition.

Clinical Considerations

Infants exposed to zolpidem tartrate through breastmilk should be monitored for excess sedation, hypotonia, and respiratory depression. A lactating woman may consider interrupting breastfeeding and pumping and discarding breast milk during treatment and for 23 hours (approximately 5 elimination half-lives) after zolpidem tartrate administration in order to minimize drug exposure to a breast fed infant.

11 Description (11 DESCRIPTION)

Zolpidem tartrate extended-release tablet, USP contains zolpidem tartrate, a gamma-aminobutyric acid (GABA) A receptor positive modulator of the imidazopyridine class. Zolpidem tartrate extended-release tablets, USP are available in 6.25 mg and 12.5 mg strength tablets for oral administration.

Chemically, zolpidem is N,N,6-trimethyl-2-p-tolylimidazo[1,2-a] pyridine-3-acetamide L-(+)-tartrate (2:1). It has the following structure:

Zolpidem tartrate is a white to off-white crystalline powder that is sparingly soluble in water, alcohol, and propylene glycol. It has a molecular weight of 764.88.

Zolpidem tartrate extended-release tablets, USP are available for oral administration as a film-coated tablet containing 6.25 mg and 12.5 mg of zolpidem tartrate. Inactive ingredients consist of colloidal silicon dioxide, hypromellose, hydroxypropyl cellulose, lactose monohydrate, magnesium stearate, polyethylene glycol, red ferric oxide, talc, and titanium dioxide.

USP Dissolution test 4 used.

9.3 Dependence

Use of zolpidem tartrate extended-release may lead to development of physical and/or psychological dependence. This risk of dependence increases with dose and duration of treatment. The risk of abuse and dependence is also greater in patients with history of alcohol or drug abuse. Zolpidem tartrate extended-release should be used with extreme caution in patients with current or past alcohol or drug abuse.

Physical dependence is a state of adaptation that is manifested by a specific withdrawal syndrome that can be produced by abrupt cessation, rapid dose reduction, decreasing blood level of the drug, and/or administration of an antagonist.

Sedative/hypnotics have produced withdrawal signs and symptoms following abrupt discontinuation. These reported symptoms range from mild dysphoria and insomnia to a withdrawal syndrome that may include abdominal and muscle cramps, vomiting, sweating, tremors, convulsions, and delirium.

The following adverse events, which are considered to meet the DSM-III-R criteria for uncomplicated sedative/hypnotic withdrawal, were reported during zolpidem tartrate extended-release clinical trials following placebo substitution occurring within 48 hours following last zolpidem treatment: fatigue, nausea, flushing, lightheadedness, uncontrolled crying, emesis, stomach cramps, panic attack, nervousness, and abdominal discomfort. These reported adverse events occurred at an incidence of 1% or less. However, available data cannot provide a reliable estimate of the incidence, if any, of dependence during treatment at recommended doses. There have been postmarketing reports of abuse, dependence and withdrawal with zolpidem.

8.4 Pediatric Use

Zolpidem tartrate extended-release is not recommended for use in children. Safety and effectiveness of zolpidem in pediatric patients below the age of 18 years have not been established.

In an 8-week study in pediatric patients (aged 6 to 17 years) with insomnia associated with attention-deficit/hyperactivity disorder (ADHD) an oral solution of zolpidem tartrate dosed at 0.25 mg/kg at bedtime did not decrease sleep latency compared to placebo. Psychiatric and nervous system disorders comprised the most frequent (> 5%) treatment emergent adverse reactions observed with zolpidem versus placebo and included dizziness (23.5% vs. 1.5%), headache (12.5% vs. 9.2%), and hallucinations were reported in 7% of the pediatric patients who received zolpidem; none of the pediatric patients who received placebo reported hallucinations [see Warnings and Precautions ( 5.5 )]. Ten patients on zolpidem (7.4%) discontinued treatment due to an adverse reaction.

FDA has not required pediatric studies of zolpidem tartrate extended-release in the pediatric population based on these efficacy and safety findings.

8.5 Geriatric Use

A total of 99 elderly (≥ 65 years of age) received daily doses of 6.25 mg zolpidem tartrate extended-release in a 3-week placebo-controlled study. The adverse reaction profile of zolpidem tartrate extended-release 6.25 mg in this population was similar to that of zolpidem tartrate extended-release 12.5 mg in younger adults (≤ 64 years of age). Dizziness was reported in 8% of zolpidem tartrate extended-release-treated patients compared with 3% of those treated with placebo.

The dose of zolpidem tartrate extended-release in elderly patients is 6.25 mg to minimize adverse effects related to impaired motor and/or cognitive performance and unusual sensitivity to sedative/hypnotic drugs [see Warnings and Precautions ( 5.2 )].

2.4 Administration

Zolpidem tartrate extended-release tablets should be swallowed whole, and not be divided, crushed, or chewed. The effect of zolpidem tartrate extended-release tablets may be slowed by ingestion with or immediately after a meal.

4 Contraindications (4 CONTRAINDICATIONS)

Zolpidem tartrate extended-release tablets are contraindicated in patients

  • who have experienced complex sleep behaviors after taking zolpidem tartrate extended-release [see Warnings and Precautions (5.1)].
  • with known hypersensitivity to zolpidem. Observed reactions include anaphylaxis and angioedema [see Warnings and Precautions ( 5.4 )].
6 Adverse Reactions (6 ADVERSE REACTIONS)

The following serious adverse reactions are discussed in greater detail in other sections of the labeling:

  • Complex Sleep Behaviors [see Warnings and Precautions (5.1)]
  • CNS-Depressant Effects and Next-Day Impairment [see Warnings and Precautions ( 5.2 )]
  • Severe Anaphylactic and Anaphylactoid Reactions [see Warnings and Precautions ( 5.4 )]
  • Abnormal Thinking and Behavior Changes [see Warnings and Precautions ( 5.5)]
  • Withdrawal Effects [see Warnings and Precautions ( 5.9 )]
7 Drug Interactions (7 DRUG INTERACTIONS)
  • CNS depressants, including alcohol: Possible adverse additive CNS-depressant effects (5.2, 7.1)
  • Opioids: Concomitant use may increase risk of respiratory depression (5.7, 7.1)
  • Imipramine: Decreased alertness observed (7.1)
  • Chlorpromazine: Impaired alertness and psychomotor performance observed (7.1)
  • CYP3A4 inducers (rifampin or St.John’s wort): Combination use may decrease effect (7.2)
  • Ketoconazole: Combination use may increase effect (7.2)
2.1 Dosage in Adults

Use the lowest effective dose for the patient. The recommended initial dose is 6.25 mg for women and either 6.25 or 12.5 mg for men, taken only once per night immediately before bedtime with at least 7 to 8 hours remaining before the planned time of awakening. If the 6.25 mg dose is not effective, the dose can be increased to 12.5 mg. In some patients, the higher morning blood levels following use of the 12.5 mg dose increase the risk of next-day impairment of driving and other activities that require full alertness [see Warnings and Precautions ( 5.2 )]. The total dose of zolpidem tartrate extended-release tablets should not exceed 12.5 mg once daily immediately before bedtime. Zolpidem tartrate extended-release tablets should be taken as a single dose and should not be readministered during the same night.

The recommended initial doses for women and men are different because zolpidem clearance is lower in women.

Treatment with zolpidem tartrate extended-release tablets should be as short as possible. Extended treatment should not take place without re-evaluation of the patient’s status, since the risk of abuse and dependence increases with duration of treatment [see Drug Abuse and Dependence (9.3)].

7.1 Cns Active Drugs (7.1 CNS-Active Drugs)

CNS Depressants

Coadministration of zolpidem with other CNS depressants increases the risk of CNS depression. Concomitant use of zolpidem with these drugs may increase drowsiness and psychomotor impairment, including impaired driving ability [see Warnings and Precautions (5.1, 5.2)]. Zolpidem tartrate was evaluated in healthy volunteers in single-dose interaction studies for several CNS drugs.

Alcohol

An additive adverse effect on psychomotor performance between alcohol and oral zolpidem was demonstrated [see Warnings and Precautions (5.1, 5.2)].

Opioids

The concomitant use of zolpidem tartrate extended-release with opioids may increase the risk of respiratory depression. Limit dosage and duration of concomitant use of zolpidem tartrate and opioids [see Dosage and Administration ( 2.3), Warnings and Precautions (5.7)].

Imipramine, Chlorpromazine

Imipramine in combination with zolpidem produced no pharmacokinetic interaction other than a 20% decrease in peak levels of imipramine, but there was an additive effect of decreased alertness. Similarly, chlorpromazine in combination with zolpidem produced no pharmacokinetic interaction, but there was an additive effect of decreased alertness and psychomotor performance [see Clinical Pharmacology (12.3)].

Sertraline

Concomitant administration of zolpidem and sertraline increases exposure to zolpidem [seeClinical Pharmacology (12.3)].

Fluoxetine

After multiple doses of zolpidem tartrate and fluoxetine an increase in the zolpidem half-life (17%) was observed. There was no evidence of an additive effect in psychomotor performance [seeClinical Pharmacology (12.3)].

Haloperidol

A study involving haloperidol and zolpidem revealed no effect of haloperidol on the pharmacokinetics or pharmacodynamics of zolpidem. The lack of a drug interaction following single-dose administration does not predict the absence of an effect following chronic administration [see Clinical Pharmacology (12.3)].

12.2 Pharmacodynamics

Zolpidem binds to GABA A receptors with greater affinity for α1 subunit relative to α2 and α3 subunit containing receptors. Zolpidem has no appreciable binding affinity for α5 subunit containing GABA A receptors. This binding profile may explain the relative absence of myorelaxant effects in animal studies. Zolpidem has no appreciable binding affinity for dopaminergic D2, serotonergic 5HT2, adrenergic, histaminergic or muscarinic receptors.

12.3 Pharmacokinetics

Zolpidem tartrate extended-release exhibits biphasic absorption characteristics, which results in rapid initial absorption from the gastrointestinal tract similar to zolpidem tartrate immediate-release, then provides extended plasma concentrations beyond three hours after administration. A study in 24 healthy male subjects was conducted to compare mean zolpidem plasma concentration-time profiles obtained after single oral administration of zolpidem tartrate extended-release 12.5 mg and of an immediate-release formulation of zolpidem tartrate (10 mg). The terminal elimination half-life observed with zolpidem tartrate extended-release (12.5 mg) was similar to that obtained with immediate-release zolpidem tartrate (10 mg). The mean plasma concentration-time profiles are shown in Figure 1.

Figure 1: Mean Plasma Concentration-Time Profiles for Zolpidem Tartrate Extended-Release (12.5 mg) and Immediate-Release Zolpidem Tartrate (10 mg)

In adult and elderly patients treated with zolpidem tartrate extended-release, there was no evidence of accumulation after repeated once-daily dosing for up to two weeks.

5.9 Withdrawal Effects

There have been reports of withdrawal signs and symptoms following the rapid dose decrease or abrupt discontinuation of zolpidem. Monitor patients for tolerance, abuse, and dependence [see Drug Abuse and Dependence (9.2, 9.3 )].

8.7 Hepatic Impairment

The recommended dose of zolpidem tartrate extended-release in patients with mild to moderate hepatic impairment is 6.25 mg once daily immediately before bedtime. Avoid zolpidem tartrate extended-release use in patients with severe hepatic impairment as it may contribute to encephalopathy [see Dosage and Administration (2.2), Warnings and Precautions ( 5.8 ), Clinical Pharmacology (12.3)].

1 Indications and Usage (1 INDICATIONS AND USAGE)

Zolpidem tartrate extended-release tablets are indicated for the short-term treatment of insomnia characterized by difficulties with sleep onset and/or sleep maintenance (as measured by wake time after sleep onset).

The clinical trials performed in support of efficacy were up to 3 weeks (using polysomnography measurement up to 2 weeks in both adult and elderly patients) and 24 weeks (using patient-reported assessment in adult patients only) in duration [see Clinical Studies (14)].

10.1 Signs and Symptoms

In postmarketing experience of overdose with zolpidem tartrate alone, or in combination with CNS-depressant agents, impairment of consciousness ranging from somnolence to coma, cardiovascular and/or respiratory compromise, and fatal outcomes have been reported.

2.2 Special Populations

Elderly or debilitated patients may be especially sensitive to the effects of zolpidem tartrate. The recommended dose of zolpidem tartrate extended-release tablets in these patients is 6.25 mg once daily immediately before bedtime [see Warnings and Precautions ( 5.2 ), Use in Specific Populations (8.5)].

Patients with mild to moderate hepatic impairment do not clear the drug as rapidly as normal subjects. The recommended dose of zolpidem tartrate extended-release tablets in these patients is 6.25 mg once daily immediately before bedtime. Avoid zolpidem tartrate extended-release tablets use in patients with severe hepatic impairment as it may contribute to encephalopathy [see Warnings and Precautions ( 5.8 ), Use in Specific Populations (8.7), Clinical Pharmacology (12.3)].

Principal Display Panel

NDC 0781-5315-01

Zolpidem Tartrate Extended-Release Tablets, USP

6.25 mg

Rx only

Pharmacist: Dispense the Medication Guide provided separately to each patient

100 Tablets

12.1 Mechanism of Action

Zolpidem is a GABA A receptor positive modulator presumed to exert its therapeutic effects in the short-term treatment of insomnia through binding to the benzodiazepine site of α1 subunit containing GABA A receptors, increasing the frequency of chloride channel opening resulting in the inhibition of neuronal excitation.

9.1 Controlled Substance

Zolpidem tartrate is classified as a Schedule IV controlled substance by federal regulation.

10.2 Recommended Treatment

General symptomatic and supportive measures should be used along with immediate gastric lavage where appropriate. Intravenous fluids should be administered as needed. Zolpidem's sedative hypnotic effect was shown to be reduced by flumazenil and therefore may be useful; however, flumazenil administration may contribute to the appearance of neurological symptoms (convulsions). As in all cases of drug overdose, respiration, pulse, blood pressure, and other appropriate signs should be monitored and general supportive measures employed. Hypotension and CNS depression should be monitored and treated by appropriate medical intervention. Sedating drugs should be withheld following zolpidem overdosage, even if excitation occurs. The value of dialysis in the treatment of overdosage has not been determined, although hemodialysis studies in patients with renal failure receiving therapeutic doses have demonstrated that zolpidem is not dialyzable.

As with the management of all overdosage, the possibility of multiple drug ingestion should be considered. The physician may wish to consider contacting a poison control center for up-to-date information on the management of hypnotic drug product overdosage.

5 Warnings and Precautions (5 WARNINGS AND PRECAUTIONS)
  • CNS-Depressant Effects: Impaired alertness and motor coordination, including risk of morning impairment. Risk increases with dose and use with other CNS depressants and alcohol. Caution patients against driving and other activities requiring complete mental alertness the morning after use. Instruct patients on correct use. (5.2)
  • Need to Evaluate for Comorbid Diagnoses: Re-evaluate if insomnia persists after 7 to 10 days of use. (5.3)
  • Severe Anaphylactic/Anaphylactoid Reactions: Angioedema and anaphylaxis have been reported. Do not rechallenge if such reactions occur. (5.4)
  • Abnormal Thinking and Behavioral Changes : Changes including decreased inhibition, bizarre behavior, agitation, and depersonalization have been reported. Immediately evaluate any new onset behavioral changes. (5.5)
  • Depression: Worsening of depression or suicidal thinking may occur. Prescribe the least amount of tablets feasible to avoid intentional overdose. (5.6)
  • Respiratory Depression: Consider this risk before prescribing in patients with compromised respiratory function. (5.7)
  • Hepatic Impairment: Avoid zolpidem tartrate extended-release tablets use in patients with severe hepatic impairment. (5.8)
  • Withdrawal Effects: Symptoms may occur with rapid dose reduction or discontinuation. (5.9, 9.3)
5.7 Respiratory Depression

Although studies with 10 mg zolpidem tartrate did not reveal respiratory depressant effects at hypnotic doses in healthy subjects or in patients with mild to moderate chronic obstructive pulmonary disease (COPD), a reduction in the Total Arousal Index, together with a reduction in lowest oxygen saturation and increase in the times of oxygen desaturation below 80% and 90%, was observed in patients with mild to moderate sleep apnea when treated with zolpidem compared to placebo. Since sedative-hypnotics have the capacity to depress respiratory drive, precautions should be taken if zolpidem tartrate extended-release is prescribed to patients with compromised respiratory function or concomitant use with opioids or other CNS depressants. Postmarketing reports of respiratory insufficiency in patients receiving 10 mg of zolpidem tartrate, most of whom had pre-existing respiratory impairment, have been reported. The risk of respiratory depression should be considered prior to prescribing zolpidem tartrate extended-release in patients with respiratory impairment including sleep apnea and myasthenia gravis or with concomitant opioid use [see Dosage and Administration (2.3), Drug Interactions (7.1)] .

2 Dosage and Administration (2 DOSAGE AND ADMINISTRATION)
  • Use the lowest dose effective for the patient and must not exceed a total of 12.5 mg daily (2.1)
  • Treatment should be as short as possible (2.1)
  • Recommended initial dose is a single dose of 6.25 mg for women and a single dose of 6.25 or 12.5 mg for men, immediately before bedtime with at least 7 to 8 hours remaining before the planned time of awakening (2.1)
  • Geriatric patients and patients with mild to moderate hepatic impairment: Recommended dose is 6.25 mg for men and women (2.2)
  • Lower doses of CNS depressants may be necessary when taken concomitantly with zolpidem tartrate extended-release tablets (2.3)
  • Tablets to be swallowed whole, not to be crushed, divided or chewed (2.4)
  • The effect of zolpidem tartrate extended-release tablets may be slowed if taken with or immediately after a meal (2.4)
5.1 Complex Sleep Behaviors

Complex sleep behaviors, including sleep-walking, sleep-driving, and engaging in other activities while not fully awake, may occur following the first or any subsequent use of zolpidem tartrate extended-release. Patients can be seriously injured or injure others during complex sleep behaviors. Such injuries may result in a fatal outcome. Other complex sleep behaviors (e.g., preparing and eating food, making phone calls, or having sex) have also been reported. Patients usually do not remember these events. Postmarketing reports have shown that complex sleep behaviors may occur with zolpidem tartrate extended-release alone at recommended doses, with or without the concomitant use of alcohol or other central nervous system (CNS) depressants [see Drug Interactions ( 7.1)]. Discontinue zolpidem tartrate extended-release immediately if a patient experiences a complex sleep behavior [see Contraindications ( 4)].

2.3 Use With Cns Depressants (2.3 Use with CNS Depressants)

Dosage adjustment may be necessary when zolpidem tartrate extended-release tablets are combined with other CNS- depressant drugs because of the potentially additive effects [see Warnings and Precautions ( 5.2 , 5.7)].

3 Dosage Forms and Strengths (3 DOSAGE FORMS AND STRENGTHS)

Zolpidem tartrate extended-release tablets, USP contain 6.25 mg or 12.5 mg of zolpidem tartrate for oral administration. Tablets are not scored.

Zolpidem tartrate extended-release tablets, USP, 6.25 mg are dark pink, round, biconvex film-coated tablets debossed with SZ on one side and 228 on the other side.

Zolpidem tartrate extended-release tablets, USP, 12.5 mg tablets are light pink, round, biconvex film-coated tablets debossed with SZ on one side and 229 on the other side.

6.2 Postmarketing Experience

The following adverse reactions have been identified during postapproval use of zolpidem tartrate extended-release. Because these reactions are reported voluntarily from a population of uncertain size, it is not always possible to reliably estimate their frequency or establish a causal relationship to drug exposure.

Liver and biliary system: acute hepatocellular, cholestatic or mixed liver injury with or without jaundice (i.e., bilirubin >2x ULN, alkaline phosphatase ≥2x ULN, transaminase ≥5x ULN).

Psychiatric disorders : delirium

8 Use in Specific Populations (8 USE IN SPECIFIC POPULATIONS)
  • Pregnancy: May cause respiratory depression and sedation in neonates with exposure late in the third trimester. (8.1)
  • Lactation: A lactating woman may pump and discard breast milk during treatment and for 23 hours after zolpidem tartrate extended-release administration. (8.2)
  • Pediatric use: Safety and effectiveness not established. Hallucinations (incidence rate 7%) and other psychiatric and/or nervous system adverse reactions were observed frequently in a study of pediatric patients with Attention-Deficit/Hyperactivity Disorder. (5.5, 8.4)
Principal Label Display Panel

NDC 0781-5316-01

Zolpidem Tartrate Extended-Release Tablets, USP

12.5 mg

Rx only

Pharmacist: Dispense the Medication Guide provided separately to each patient

100 Tablets

14.1 Controlled Clinical Trials

Zolpidem tartrate extended-release was evaluated in three placebo-controlled studies for the treatment of patients with chronic primary insomnia (as defined in the APA Diagnostic and Statistical Manual of Mental Disorders, DSM IVTM).

Adult outpatients (18 to 64 years) with primary insomnia (N=212) were evaluated in a double-blind, randomized, parallel-group, 3-week trial comparing zolpidem tartrate extended-release 12.5 mg and placebo. Zolpidem tartrate extended-release 12.5 mg decreased wake time after sleep onset (WASO) for the first 7 hours during the first 2 nights and for the first 5 hours after 2 weeks of treatment. Zolpidem tartrate extended-release 12.5 mg was superior to placebo on objective measures (polysomnography recordings) of sleep induction (by decreasing latency to persistent sleep [LPS]) during the first 2 nights of treatment and after 2 weeks of treatment. Zolpidem tartrate extended-release 12.5 mg was also superior to placebo on the patient reported global impression regarding the aid to sleep after the first 2 nights and after 3 weeks of treatment.

Elderly outpatients (≥ 65 years) with primary insomnia (N=205) were evaluated in a double-blind, randomized, parallel-group, 3-week trial comparing zolpidem tartrate extended-release 6.25 mg and placebo. Zolpidem tartrate extended-release 6.25 mg decreased wake time after sleep onset (WASO) for the first 6 hours during the first 2 nights and the first 4 hours after 2 weeks of treatment. Zolpidem tartrate extended-release 6.25 mg was superior to placebo on objective measures (polysomnography recordings) of sleep induction (by decreasing LPS) during the first 2 nights of treatment and after 2 weeks on treatment. Zolpidem tartrate extended-release 6.25 mg was superior to placebo on the patient reported global impression regarding the aid to sleep after the first 2 nights and after 3 weeks of treatment.

In both studies, in patients treated with zolpidem tartrate extended-release, polysomnography showed increased wakefulness at the end of the night compared to placebo-treated patients.

In a 24-week double-blind, placebo controlled, randomized study in adult outpatients (18 to 64 years) with primary insomnia (N=1025), zolpidem tartrate extended-release 12.5 mg administered as needed (3 to 7 nights per week) was superior to placebo over 24 weeks, on patient global impression regarding aid to sleep, and on patient-reported specific sleep parameters for sleep induction and sleep maintenance with no significant increased frequency of drug intake observed over time.

Warning: Complex Sleep Behaviors (WARNING: COMPLEX SLEEP BEHAVIORS)

Complex sleep behaviors including sleep-walking, sleep-driving, and engaging in other activities while not fully awake may occur following use of zolpidem tartrate extended-release tablets. Some of these events may result in serious injuries, including death. Discontinue zolpidem tartrate extended-release tablets immediately if a patient experiences a complex sleep behavior [see Contraindications (4) and Warnings and Precautions (5.1)] .

17 Patient Counseling Information (17 PATIENT COUNSELING INFORMATION)

Advise the patient to read the FDA-approved patient labeling (Medication Guide)

Inform patients and their families about the benefits and risks of treatment with zolpidem tartrate extended-release tablets. Inform patients of the availability of a Medication Guide and instruct them to read the Medication Guide prior to initiating treatment with zolpidem tartrate extended-release tablets and with each prescription refill. Review the zolpidem tartrate extended-release tablets Medication Guide with every patient prior to initiation of treatment. Instruct patients or caregivers that zolpidem tartrate extended-release tablets should be taken only as prescribed.

Complex Sleep Behaviors

Instruct patients and their families that zolpidem tartrate extended-release tablets may cause complex sleep behaviors, including sleep-walking, sleep-driving, preparing and eating food, making phone calls, or having sex while not being fully awake. Serious injuries and death have occurred during complex sleep behavior episodes. Tell patients to discontinue zolpidem tartrate extended-release tablets and notify their healthcare provider immediately if they develop any of these symptoms [see Boxed Warning, Warnings and Precautions ( 5.1)].

CNS-Depressant Effects and Next-Day Impairment

Tell patients that zolpidem tartrate extended-release tablets can cause next-day impairment even when used as prescribed, and that this risk is increased if dosing instructions are not carefully followed. Caution patients against driving and other activities requiring complete mental alertness the day after use. Inform patients that impairment can be present despite feeling fully awake. Advise patients that increased drowsiness and decreased consciousness may increase the risk of falls in some patients [see Warnings and Precautions (5.2)].

Severe Anaphylactic and Anaphylactoid Reactions

Inform patients that severe anaphylactic and anaphylactoid reactions have occurred with zolpidem. Describe the signs/symptoms of these reactions and advise patients to seek medical attention immediately if any of them occur [see Warnings and Precautions (5.4)].

Suicide

Tell patients to immediately report any suicidal thoughts.

Alcohol and other Drugs

Ask patients about alcohol consumption, medicines they are taking, and drugs they may be taking without a prescription. Advise patients not to use zolpidem tartrate extended-release tablets if they drank alcohol that evening or before bed.

Concomitant Use with Opioids

Inform patients and caregivers that potentially serious additive effects may occur if zolpidem tartrate extended-release tablets are used with opioids and not to use such drugs concomitantly unless supervised by a healthcare provider [Warnings and Precautions ( 5.2, 5.7), Drug Interactions (7.1)].

Tolerance, Abuse, and Dependence

Tell patients not to increase the dose of zolpidem tartrate extended-release tablets on their own, and to inform you if they believe the drug "does not work".

Administration Instructions

Patients should be counseled to take zolpidem tartrate extended-release tablets right before they get into bed and only when they are able to stay in bed a full night (7 to 8 hours) before being active again. Zolpidem tartrate extended-release tablets should not be taken with or immediately after a meal. Advise patients NOT to take zolpidem tartrate extended-release tablets if they drank alcohol that evening.

Pregnancy

Advise patients to notify their healthcare provider if they become pregnant or intend to become pregnant during treatment with zolpidem tartrate extended-release tablets. Advise patients that use of zolpidem tartrate extended-release tablets late in the third trimester may cause respiratory depression and sedation in neonates. Advise mothers who used zolpidem tartrate extended-release tablets during the late third trimester of pregnancy to monitor neonates for signs of sleepiness (more than usual), breathing difficulties, or limpness [see Use in Specific Populations (8.1)].

Lactation

Advise breastfeeding mothers using zolpidem tartrate extended-release tablets to monitor infants for increased sleepiness (more than usual), breathing difficulties, or limpness. Instruct breastfeeding mothers to seek immediate medical care if they notice these signs. A lactating woman may consider pumping and discarding breastmilk during treatment and for 23 hours after zolpidem tartrate extended-release tablets administration to minimize drug exposure to a breastfed infant [see Use in Specific Populations (8.2)].

Finished Drug Product Manufactured by Novartis d.o.o.

1000 Ljubljana, Slovenia for Sandoz Inc., Princeton, NJ 08540

5.6 Use in Patients With Depression (5.6 Use in Patients with Depression)

In primarily depressed patients treated with sedative-hypnotics, worsening of depression, and suicidal thoughts and actions (including completed suicides), have been reported. Suicidal tendencies may be present in such patients and protective measures may be required. Intentional overdosage is more common in this group of patients; therefore, the lowest number of tablets that is feasible should be prescribed for the patient at any one time.

16 How Supplied/storage and Handling (16 HOW SUPPLIED/STORAGE AND HANDLING)

Zolpidem tartrate extended-release tablets, USP are available as follows:

6.25 mg, dark pink, round, biconvex film-coated tablets debossed with SZ on one side and 228 on the other side.

  •  
    NDC 0781-5315-31, bottles of 30 tablets
  •  
    NDC 0781-5315-01, bottles of 100 tablets
  •  
    NDC 0781-5315-05, bottles of 500 tablets

12.5 mg, light pink, round, biconvex film-coated tablets debossed with SZ on one side and 229 on the other side.

  •  
    NDC 0781-5316-31, bottles of 30 tablets
  •  
    NDC 0781-5316-01, bottles of 100 tablets
  •  
    NDC 0781-5316-05, bottles of 500 tablets

The tablets are to be swallowed whole and should not be crushed, chewed, or divided.

8.6 Gender Difference in Pharmacokinetics

Women clear zolpidem tartrate from the body at a lower rate than men. Cmax and AUC parameters of zolpidem from zolpidem tartrate extended-release were, respectively, approximately 50% and 75% higher at the same dose in adult female subjects compared to adult male subjects. Between 6 and 12 hours after dosing, zolpidem concentrations were 2 to 3 fold higher in adult female compared to adult male subjects. Given the higher blood levels of zolpidem tartrate in women compared to men at a given dose, the recommended initial dose of zolpidem tartrate extended-release for adult women is 6.25 mg, and the recommended dose for adult men is 6.25 or 12.5 mg.

In geriatric patients, clearance of zolpidem is similar in men and women. The recommended dose of zolpidem tartrate extended-release in geriatric patients is 6.25 mg regardless of gender.

5.3 Need to Evaluate for Comorbid Diagnoses

Because sleep disturbances may be the presenting manifestation of a physical and/or psychiatric disorder, symptomatic treatment of insomnia should be initiated only after a careful evaluation of the patient. The failure of insomnia to remit after 7 to 10 days of treatment may indicate the presence of a primary psychiatric and/or medical illness that should be evaluated. Worsening of insomnia or the emergence of new thinking or behavior abnormalities may be the consequence of an unrecognized psychiatric or physical disorder. Such findings have emerged during the course of treatment with sedative/hypnotic drugs, including zolpidem.

5.8 Precipitation of Hepatic Encephalopathy

Drugs affecting GABA receptors, such as zolpidem tartrate, have been associated with precipitation of hepatic encephalopathy in patients with hepatic insufficiency. In addition, patients with hepatic insufficiency do not clear zolpidem tartrate as rapidly as patients with normal hepatic function. Avoid zolpidem tartrate extended-release use in patients with severe hepatic impairment as it may contribute to encephalopathy [see Dosage and Administration (2.2), Use in Specific Populations (8.7), Clinical Pharmacology (12.3)].

5.5 Abnormal Thinking and Behavioral Changes

Abnormal thinking and behavior changes have been reported in patients treated with sedative/hypnotics, including zolpidem tartrate extended-release. Some of these changes included decreased inhibition (e.g., aggressiveness and extroversion that seemed out of character), bizarre behavior, agitation and depersonalization. Visual and auditory hallucinations have been reported.

In controlled trials, <1% of adults with insomnia reported hallucinations. In a clinical trial, 7% of pediatric patients treated with zolpidem tartrate 0.25 mg/kg taken at bedtime reported hallucinations versus 0% treated with placebo [see Use in Specific Populations (8.4)]. There have been postmarketing reports of delirium with zolpidem use [see Adverse Reactions (6.2)].

It can rarely be determined with certainty whether a particular instance of the abnormal behaviors listed above is drug induced, spontaneous in origin, or a result of an underlying psychiatric or physical disorder. Nonetheless, the emergence of any new behavioral sign or symptom of concern requires careful and immediate evaluation.

5.2 Cns Depressant Effects and Next Day Impairment (5.2 CNS-Depressant Effects and Next-Day Impairment)

Zolpidem tartrate extended-release tablet is a CNS depressant and can impair daytime function in some patients even when used as prescribed. Prescribers should monitor for excess depressant effects, but impairment can occur in the absence of subjective symptoms, and may not be reliably detected by ordinary clinical exam (i.e. less than formal psychomotor testing). While pharmacodynamic tolerance or adaptation to some adverse depressant effects of zolpidem tartrate extended-release may develop, patients using zolpidem tartrate extended-release should be cautioned against driving or engaging in other hazardous activities or activities requiring complete mental alertness the day after use.

Additive effects occur with concomitant use of other CNS depressants (e.g., benzodiazepines, opioids, tricyclic antidepressants, alcohol), including daytime use [see Drug Interactions (7.1)]. Downward dose adjustment of zolpidem tartrate extended-release and concomitant CNS depressants should be considered [see Dosage and Administration (2.3)].

The use of zolpidem tartrate extended-release with other sedative-hypnotics (including other zolpidem products) at bedtime or the middle of the night is not recommended.

The risk of next-day psychomotor impairment is increased if zolpidem tartrate extended-release is taken with less than a full night of sleep remaining (7 to 8 hours); if higher than the recommended dose is taken; if coadministered with other CNS depressants or alcohol; or coadministered with other drugs that increase the blood levels of zolpidem. Patients should be warned against driving and other activities requiring complete mental alertness if zolpidem tartrate extended-release is taken in these circumstances [see Dosage and Administration (2), Clinical Studies (14.2)].

Vehicle drivers and machine operators should be warned that, as with other hypnotics, there may be a possible risk of adverse reactions including drowsiness, prolonged reaction time, dizziness, sleepiness, blurred/double vision, reduced alertness, and impaired driving the morning after therapy. In order to minimize this risk a full night of sleep (7 to 8 hours) is recommended.

Because zolpidem tartrate extended-release can cause drowsiness and a decreased level of consciousness, patients, particularly the elderly, are at higher risk of falls.

5.4 Severe Anaphylactic and Anaphylactoid Reactions

Cases of angioedema involving the tongue, glottis or larynx have been reported in patients after taking the first or subsequent doses of sedative-hypnotics, including zolpidem. Some patients have had additional symptoms such as dyspnea, throat closing or nausea and vomiting that suggest anaphylaxis. Some patients have required medical therapy in the emergency department. If angioedema involves the throat, glottis or larynx, airway obstruction may occur and be fatal. Patients who develop angioedema after treatment with zolpidem should not be rechallenged with the drug.

13.1 Carcinogenesis, Mutagenesis, Impairment of Fertility

Carcinogenesis

Zolpidem was administered to mice and rats for 2 years at oral doses of 4, 18, and 80 mg base/kg/day. In mice, these doses are approximately 2, 9, and 40 times the MRHD of 12.5 mg/day (10 mg zolpidem base) based on mg/m2 body surface area and in rats, these doses are approximately 4, 18, and 80 times the MRHD based on mg/m2 body surface area. No evidence of carcinogenic potential was observed in mice. In rats, renal tumors (lipoma, liposarcoma) were seen at the mid and high doses.

Mutagenesis

Zolpidem was negative in in vitro (bacterial reverse mutation, mouse lymphoma, and chromosomal aberration) and in vivo (mouse micronucleus) genetic toxicology assays.

Impairment of Fertility

Zolpidem was administered to rats at 4, 20, and 100 mg base/kg/day, which are approximately 4, 20, and 100 times the MRHD of 12.5 mg/day (10 mg zolpidem base) based on mg/m2 body surface area, prior to and during mating, and continuing in females through postpartum day 25. Zolpidem caused irregular estrus cycles and prolonged precoital intervals at the highest dose tested, which is approximately 100 times the MRHD based on mg/m2 body surface area. The NOAEL for these effects is 20 times the MRHD based on mg/m2 body surface area. There was no impairment of fertility at any dose tested.

7.2 Drugs That Affect Drug Metabolism Via Cytochrome P450 (7.2 Drugs that Affect Drug Metabolism via Cytochrome P450)

Some compounds known to induce or inhibit CYP3A may affect exposure to zolpidem. The effect of drugs that induce or inhibit other P450 enzymes on the exposure to zolpidem is not known.


Advanced Ingredient Data


Raw Label Data

All Sections (JSON)