Hydroxyzine Pamoate Capsules Usp

Hydroxyzine Pamoate Capsules Usp
SPL v2
SPL
SPL Set ID b098e287-e489-4cdc-9171-7daf50380c1c
Route
ORAL
Published
Effective Date 2022-06-01
Document Type 34391-3 HUMAN PRESCRIPTION DRUG LABEL

Drug Facts

Composition & Product

Inactive Ingredients
Croscarmellose Sodium Magnesium Stearate Starch, Corn Anhydrous Lactose D&c Red No. 28 D&c Yellow No. 10 Fd&c Blue No. 1 Fd&c Red No. 40 Fd&c Yellow No. 6 Gelatin, Unspecified Titanium Dioxide Ferrosoferric Oxide Fd&c Blue No. 2 Indigotindisulfonate Sodium Propylene Glycol Shellac

Identifiers & Packaging

Pill Appearance
Imprint: barr;323;25 Shape: capsule Color: yellow Color: pink Size: 16 mm Score: 1
Marketing Status
ANDA Active Since 1984-07-01

Description

Rx only

Indications and Usage

For symptomatic relief of anxiety and tension associated with psychoneurosis and as an adjunct in organic disease states in which anxiety is manifested. Useful in the management of pruritus due to allergic conditions such as chronic urticaria and atopic and contact dermatoses, and in histamine-mediated pruritus. As a sedative when used as premedication and following general anesthesia, Hydroxyzine may potentiate meperidine (Demerol ® ) and barbiturates , so their use in pre-anesthetic adjunctive therapy should be modified on an individual basis. Atropine and other belladonna alkaloids are not affected by the drug. Hydroxyzine is not known to interfere with the action of digitalis in any way and it may be used concurrently with this agent. The effectiveness of hydroxyzine as an antianxiety agent for long-term use, that is, more than 4 months, has not been assessed by systematic clinical studies. The physician should reassess periodically the usefulness of the drug for the individual patient.

Dosage and Administration

For symptomatic relief of anxiety and tension associated with psychoneurosis and as an adjunct in organic disease states in which anxiety is manifested: in adults, 50 to 100 mg q.i.d.; children under 6 years, 50 mg daily in divided doses; and over 6 years, 50 to 100 mg daily in divided doses. For use in the management of pruritus due to allergic conditions such as chronic urticaria and atopic and contact dermatoses, and in histamine-mediated pruritus: in adults, 25 mg t.i.d. or q.i.d.; children under 6 years, 50 mg daily in divided doses; and over 6 years, 50 to 100 mg daily in divided doses. As a sedative when used as a premedication and following general anesthesia: 50 to 100 mg in adults, and 0.6 mg/kg in children. When treatment is initiated by the intramuscular route of administration, subsequent doses may be administered orally. As with all medications, the dosage should be adjusted according to the patient’s response to therapy.

Contraindications

Hydroxyzine, when administered to the pregnant mouse, rat, and rabbit, induced fetal abnormalities in the rat and mouse at doses substantially above the human therapeutic range. Clinical data in human beings are inadequate to establish safety in early pregnancy. Until such data are available, hydroxyzine is contraindicated in early pregnancy. Hydroxyzine is contraindicated in patients with a prolonged QT interval. Hydroxyzine pamoate is contraindicated for patients who have shown a previous hypersensitivity to any component of this medication. Hydroxyzine is contraindicated in patients with known hypersensitivity to hydroxyzine products, and in patients with known hypersensitivity to cetirizine hydrochloride or levocetirizine hydrochloride.

Adverse Reactions

Side effects reported with the administration of hydroxyzine pamoate are usually mild and transitory in nature.

How Supplied

Hydroxyzine Pamoate Capsules USP (hydroxyzine pamoate, USP equivalent to hydroxyzine hydrochloride), 25 mg are available as light yellow opaque cap and pink opaque body filled with yellow powder, imprinted in black ink stylized “barr” over “323” on one piece and “25” on the other piece, packaged in bottles of 30 (NDC 71205-483-30), 60 (NDC 71205-483-60) and 90 (NDC 71205-483-90) capsules. Dispense in a tight, light-resistant container as defined in the USP, with a child-resistant closure (as required). Store at 20° to 25°C (68° to 77°F) [See USP Controlled Room Temperature]. KEEP THIS AND ALL MEDICATIONS OUT OF THE REACH OF CHILDREN. Manufactured For: Teva Pharmaceuticals USA, Inc. North Wales, PA 19454 Repackaged By: Proficient Rx LP Thousand Oaks, CA 91320 Rev. E 10/2019


Medication Information

Indications and Usage

For symptomatic relief of anxiety and tension associated with psychoneurosis and as an adjunct in organic disease states in which anxiety is manifested.

Useful in the management of pruritus due to allergic conditions such as chronic urticaria and atopic and contact dermatoses, and in histamine-mediated pruritus.

As a sedative when used as premedication and following general anesthesia, Hydroxyzine may potentiate meperidine (Demerol®) and barbiturates, so their use in pre-anesthetic adjunctive therapy should be modified on an individual basis. Atropine and other belladonna alkaloids are not affected by the drug. Hydroxyzine is not known to interfere with the action of digitalis in any way and it may be used concurrently with this agent.

The effectiveness of hydroxyzine as an antianxiety agent for long-term use, that is, more than 4 months, has not been assessed by systematic clinical studies. The physician should reassess periodically the usefulness of the drug for the individual patient.

Dosage and Administration

For symptomatic relief of anxiety and tension associated with psychoneurosis and as an adjunct in organic disease states in which anxiety is manifested: in adults, 50 to 100 mg q.i.d.; children under 6 years, 50 mg daily in divided doses; and over 6 years, 50 to 100 mg daily in divided doses.

For use in the management of pruritus due to allergic conditions such as chronic urticaria and atopic and contact dermatoses, and in histamine-mediated pruritus: in adults, 25 mg t.i.d. or q.i.d.; children under 6 years, 50 mg daily in divided doses; and over 6 years, 50 to 100 mg daily in divided doses.

As a sedative when used as a premedication and following general anesthesia: 50 to 100 mg in adults, and 0.6 mg/kg in children.

When treatment is initiated by the intramuscular route of administration, subsequent doses may be administered orally.

As with all medications, the dosage should be adjusted according to the patient’s response to therapy.

Contraindications

Hydroxyzine, when administered to the pregnant mouse, rat, and rabbit, induced fetal abnormalities in the rat and mouse at doses substantially above the human therapeutic range. Clinical data in human beings are inadequate to establish safety in early pregnancy. Until such data are available, hydroxyzine is contraindicated in early pregnancy.

Hydroxyzine is contraindicated in patients with a prolonged QT interval.

Hydroxyzine pamoate is contraindicated for patients who have shown a previous hypersensitivity to any component of this medication.

Hydroxyzine is contraindicated in patients with known hypersensitivity to hydroxyzine products, and in patients with known hypersensitivity to cetirizine hydrochloride or levocetirizine hydrochloride.

Adverse Reactions

Side effects reported with the administration of hydroxyzine pamoate are usually mild and transitory in nature.

How Supplied

Hydroxyzine Pamoate Capsules USP (hydroxyzine pamoate, USP equivalent to hydroxyzine hydrochloride), 25 mg are available as light yellow opaque cap and pink opaque body filled with yellow powder, imprinted in black ink stylized “barr” over “323” on one piece and “25” on the other piece, packaged in bottles of 30 (NDC 71205-483-30), 60 (NDC 71205-483-60) and 90 (NDC 71205-483-90) capsules.

Dispense in a tight, light-resistant container as defined in the USP, with a child-resistant closure (as required).

Store at 20° to 25°C (68° to 77°F) [See USP Controlled Room Temperature].

KEEP THIS AND ALL MEDICATIONS OUT OF THE REACH OF CHILDREN.

Manufactured For:

Teva Pharmaceuticals USA, Inc.

North Wales, PA 19454

Repackaged By:

Proficient Rx LP

Thousand Oaks, CA 91320

Rev. E 10/2019

Description

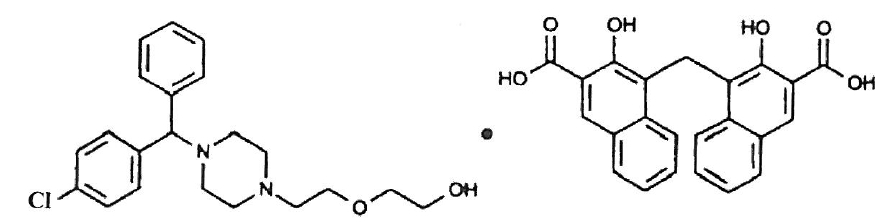
Hydroxyzine pamoate, USP is designated chemically as 1-(p-chlorobenzhydryl) 4-[2-(2-hydroxyethoxy) ethyl] diethylenediamine salt of 1,1′-methylene bis (2 hydroxy-3-naphthalene carboxylic acid). It has the following structural formula:

C21H27ClN2O2•C23H16O6 M.W. 763.27

Hydroxyzine Pamoate Capsules USP are administered in doses equivalent to 25 mg, 50 mg or 100 mg of hydroxyzine hydrochloride. In addition, each capsule contains the following inactive ingredients: croscarmellose sodium, magnesium stearate, and pregelatinized corn starch. The 25 mg also contains anhydrous lactose. The 50 mg and 100 mg also contain lactose monohydrate.

The capsule shell ingredients for the 25 mg capsule are D&C red no. 28, D&C yellow no. 10, FD&C blue no. 1, FD&C red no. 40, FD&C yellow no. 6, gelatin, and titanium dioxide. The 50 mg capsule shell contains D&C red no. 33, D&C yellow no. 10, FD&C yellow no. 6, gelatin, and titanium dioxide. The 100 mg capsule shell contains D&C red no. 28, D&C red no. 33, D&C yellow no. 10, FD&C blue no. 1, FD&C red no. 40, gelatin, and titanium dioxide.

The edible imprinting ink on the 25 mg, 50 mg and 100 mg capsules contains black iron oxide, D&C yellow no. 10 aluminum lake, FD&C blue no. 1 aluminum lake, FD&C blue no. 2 aluminum lake, FD&C red no. 40 aluminum lake, propylene glycol, and shellac glaze.

Section 42229-5

Rx only

Overdosage

The most common manifestation of overdosage of hydroxyzine pamoate is hypersedation. Other reported signs and symptoms were convulsions, stupor, nausea and vomiting. As in the management of overdosage with any drug, it should be borne in mind that multiple agents may have been taken.

If vomiting has not occurred spontaneously, it should be induced. Immediate gastric lavage is also recommended. General supportive care, including frequent monitoring of the vital signs and close observation of the patient, is indicated. Hypotension, though unlikely, may be controlled with intravenous fluids and vasopressors (do not use epinephrine as hydroxyzine counteracts its pressor action). Caffeine and Sodium Benzoate Injection, USP, may be used to counteract central nervous system depressant effects.

Hydroxyzine overdose may cause QT prolongation and Torsade de Pointes. ECG monitoring is recommended in cases of hydroxyzine overdose.

There is no specific antidote. It is doubtful that hemodialysis would be of any value in the treatment of overdosage with hydroxyzine. However, if other agents such as barbiturates have been ingested concomitantly, hemodialysis may be indicated. There is no practical method to quantitate hydroxyzine in body fluids or tissue after its ingestion or administration.

Precautions

THE POTENTIATING ACTION OF HYDROXYZINE MUST BE CONSIDERED WHEN THE DRUG IS USED IN CONJUNCTION WITH CENTRAL NERVOUS SYSTEM DEPRESSANTS SUCH AS NARCOTICS, NON-NARCOTIC ANALGESICS AND BARBITURATES. Therefore, when central nervous system depressants are administered concomitantly with hydroxyzine, their dosage should be reduced. Since drowsiness may occur with use of the drug, patients should be warned of this possibility and cautioned against driving a car or operating dangerous machinery while taking hydroxyzine pamoate. Patients should be advised against the simultaneous use of other CNS depressant drugs, and cautioned that the effect of alcohol may be increased.

Psychiatric

hallucination.

Geriatric Use

A determination has not been made whether controlled clinical studies of hydroxyzine pamoate included sufficient numbers of subjects aged 65 and over to define a difference in response from younger subjects. Other reported clinical experience has not identified differences in responses between the elderly and younger patients. In general, dose selection for an elderly patient should be cautious, usually starting at the low end of the dosing range, reflecting the greater frequency of decreased hepatic, renal or cardiac function and of concomitant disease or other drug therapy.

The extent of renal excretion of hydroxyzine pamoate has not been determined. Because elderly patients are more likely to have decreased renal function, care should be taken in dose selections.

Sedating drugs may cause confusion and over sedation in the elderly; elderly patients generally should be started on low doses of hydroxyzine pamoate and observed closely.

Cardiac System

QT prolongation, Torsade de Pointes.

In postmarketing experience, the following additional undesirable effects have been reported:

Nervous System

headache.

Anticholinergic

Dry mouth.

Body As A Whole

allergic reaction.

Nursing Mothers

It is not known whether this drug is excreted in human milk. Since many drugs are so excreted, hydroxyzine should not be given to nursing mothers.

Skin and Appendages

pruritus, rash, urticaria.

Clinical Pharmacology

Hydroxyzine pamoate is unrelated chemically to the phenothiazines, reserpine, meprobamate, or the benzodiazepines.

Hydroxyzine pamoate is not a cortical depressant, but its action may be due to a suppression of activity in certain key regions of the subcortical area of the central nervous system. Primary skeletal muscle relaxation has been demonstrated experimentally. Bronchodilator activity, and antihistaminic and analgesic effects have been demonstrated experimentally and confirmed clinically. An antiemetic effect, both by the apomorphine test and the veriloid test, has been demonstrated. Pharmacological and clinical studies indicate that hydroxyzine in therapeutic dosage does not increase gastric secretion or acidity and in most cases has mild antisecretory activity. Hydroxyzine is rapidly absorbed from the gastrointestinal tract and hydroxyzine pamoate's clinical effects are usually noted within 15 to 30 minutes after oral administration.

Central Nervous System

Drowsiness is usually transitory and may disappear in a few days of continued therapy or upon reduction of the dose. Involuntary motor activity, including rare instances of tremor and convulsions, has been reported, usually with doses considerably higher than those recommended. Clinically significant respiratory depression has not been reported at recommended doses.

Skin and Appendages  

Oral hydroxyzine hydrochloride is associated with Acute Generalized Exanthematous Pustulosis (AGEP) and fixed drug eruptions in postmarketing reports.

Package/label Display Panel
Qt Prolongation/torsade De Pointes (tdp)

Cases of QT prolongation and Torsade de Pointes have been reported during postmarketing use of hydroxyzine. The majority of reports occurred in patients with other risk factors for QT prolongation/TdP (pre-existing heart disease, electrolyte imbalances or concomitant arrhythmogenic drug use). Therefore, hydroxyzine should be used with caution in patients with risk factors for QT prolongation, congenital long QT syndrome, a family history of long QT syndrome, other conditions that predispose to QT prolongation and ventricular arrhythmia, as well as recent myocardial infarction, uncompensated heart failure, and bradyarrhythmias.

Caution is recommended during the concomitant use of drugs known to prolong the QT interval. These include Class 1A (e.g., quinidine, procainamide) or Class III (e.g., amiodarone, sotalol) antiarrhythmics, certain antipsychotics (e.g., ziprasidone, iloperidone, clozapine, quetiapine, chlorpromazine), certain antidepressants (e.g., citalopram, fluoxetine), certain antibiotics (e.g., azithromycin, erythromycin, clarithromycin, gatifloxacin, moxifloxacin); and others (e.g., pentamidine, methadone, ondansetron, droperidol).

Acute Generalized Exanthematous Pustulosis (agep)

Hydroxyzine may rarely cause acute generalized exanthematous pustulosis (AGEP), a serious skin reaction characterized by fever and numerous small, superficial, non-follicular, sterile pustules, arising within large areas of edematous erythema. Inform patients about the signs of AGEP, and discontinue hydroxyzine at the first appearance of a skin rash, worsening of pre-existing skin reactions which hydroxyzine may be used to treat, or any other sign of hypersensitivity. If signs or symptoms suggest AGEP, use of hydroxyzine should not be resumed and alternative therapy should be considered. Avoid cetirizine or levocetirizine in patients who have experienced AGEP or other hypersensitivity reactions with hydroxyzine, due to the risk of cross-sensitivity.

Hydroxyzine Pamoate Capsules Usp 25 Mg 30s Label Text

NDC 71205-483-30

HydrOXYzine

Pamoate

Capsules USP

25 mg

Rx only

30 CAPSULES


Structured Label Content

Section 42229-5 (42229-5)

Rx only

Overdosage (OVERDOSAGE)

The most common manifestation of overdosage of hydroxyzine pamoate is hypersedation. Other reported signs and symptoms were convulsions, stupor, nausea and vomiting. As in the management of overdosage with any drug, it should be borne in mind that multiple agents may have been taken.

If vomiting has not occurred spontaneously, it should be induced. Immediate gastric lavage is also recommended. General supportive care, including frequent monitoring of the vital signs and close observation of the patient, is indicated. Hypotension, though unlikely, may be controlled with intravenous fluids and vasopressors (do not use epinephrine as hydroxyzine counteracts its pressor action). Caffeine and Sodium Benzoate Injection, USP, may be used to counteract central nervous system depressant effects.

Hydroxyzine overdose may cause QT prolongation and Torsade de Pointes. ECG monitoring is recommended in cases of hydroxyzine overdose.

There is no specific antidote. It is doubtful that hemodialysis would be of any value in the treatment of overdosage with hydroxyzine. However, if other agents such as barbiturates have been ingested concomitantly, hemodialysis may be indicated. There is no practical method to quantitate hydroxyzine in body fluids or tissue after its ingestion or administration.

Description (DESCRIPTION)

Hydroxyzine pamoate, USP is designated chemically as 1-(p-chlorobenzhydryl) 4-[2-(2-hydroxyethoxy) ethyl] diethylenediamine salt of 1,1′-methylene bis (2 hydroxy-3-naphthalene carboxylic acid). It has the following structural formula:

C21H27ClN2O2•C23H16O6 M.W. 763.27

Hydroxyzine Pamoate Capsules USP are administered in doses equivalent to 25 mg, 50 mg or 100 mg of hydroxyzine hydrochloride. In addition, each capsule contains the following inactive ingredients: croscarmellose sodium, magnesium stearate, and pregelatinized corn starch. The 25 mg also contains anhydrous lactose. The 50 mg and 100 mg also contain lactose monohydrate.

The capsule shell ingredients for the 25 mg capsule are D&C red no. 28, D&C yellow no. 10, FD&C blue no. 1, FD&C red no. 40, FD&C yellow no. 6, gelatin, and titanium dioxide. The 50 mg capsule shell contains D&C red no. 33, D&C yellow no. 10, FD&C yellow no. 6, gelatin, and titanium dioxide. The 100 mg capsule shell contains D&C red no. 28, D&C red no. 33, D&C yellow no. 10, FD&C blue no. 1, FD&C red no. 40, gelatin, and titanium dioxide.

The edible imprinting ink on the 25 mg, 50 mg and 100 mg capsules contains black iron oxide, D&C yellow no. 10 aluminum lake, FD&C blue no. 1 aluminum lake, FD&C blue no. 2 aluminum lake, FD&C red no. 40 aluminum lake, propylene glycol, and shellac glaze.

Precautions (PRECAUTIONS)

THE POTENTIATING ACTION OF HYDROXYZINE MUST BE CONSIDERED WHEN THE DRUG IS USED IN CONJUNCTION WITH CENTRAL NERVOUS SYSTEM DEPRESSANTS SUCH AS NARCOTICS, NON-NARCOTIC ANALGESICS AND BARBITURATES. Therefore, when central nervous system depressants are administered concomitantly with hydroxyzine, their dosage should be reduced. Since drowsiness may occur with use of the drug, patients should be warned of this possibility and cautioned against driving a car or operating dangerous machinery while taking hydroxyzine pamoate. Patients should be advised against the simultaneous use of other CNS depressant drugs, and cautioned that the effect of alcohol may be increased.

Psychiatric

hallucination.

How Supplied (HOW SUPPLIED)

Hydroxyzine Pamoate Capsules USP (hydroxyzine pamoate, USP equivalent to hydroxyzine hydrochloride), 25 mg are available as light yellow opaque cap and pink opaque body filled with yellow powder, imprinted in black ink stylized “barr” over “323” on one piece and “25” on the other piece, packaged in bottles of 30 (NDC 71205-483-30), 60 (NDC 71205-483-60) and 90 (NDC 71205-483-90) capsules.

Dispense in a tight, light-resistant container as defined in the USP, with a child-resistant closure (as required).

Store at 20° to 25°C (68° to 77°F) [See USP Controlled Room Temperature].

KEEP THIS AND ALL MEDICATIONS OUT OF THE REACH OF CHILDREN.

Manufactured For:

Teva Pharmaceuticals USA, Inc.

North Wales, PA 19454

Repackaged By:

Proficient Rx LP

Thousand Oaks, CA 91320

Rev. E 10/2019

Geriatric Use

A determination has not been made whether controlled clinical studies of hydroxyzine pamoate included sufficient numbers of subjects aged 65 and over to define a difference in response from younger subjects. Other reported clinical experience has not identified differences in responses between the elderly and younger patients. In general, dose selection for an elderly patient should be cautious, usually starting at the low end of the dosing range, reflecting the greater frequency of decreased hepatic, renal or cardiac function and of concomitant disease or other drug therapy.

The extent of renal excretion of hydroxyzine pamoate has not been determined. Because elderly patients are more likely to have decreased renal function, care should be taken in dose selections.

Sedating drugs may cause confusion and over sedation in the elderly; elderly patients generally should be started on low doses of hydroxyzine pamoate and observed closely.

Cardiac System

QT prolongation, Torsade de Pointes.

In postmarketing experience, the following additional undesirable effects have been reported:

Nervous System

headache.

Anticholinergic

Dry mouth.

Body As A Whole (Body as a Whole)

allergic reaction.

Nursing Mothers

It is not known whether this drug is excreted in human milk. Since many drugs are so excreted, hydroxyzine should not be given to nursing mothers.

Adverse Reactions (ADVERSE REACTIONS)

Side effects reported with the administration of hydroxyzine pamoate are usually mild and transitory in nature.

Contraindications (CONTRAINDICATIONS)

Hydroxyzine, when administered to the pregnant mouse, rat, and rabbit, induced fetal abnormalities in the rat and mouse at doses substantially above the human therapeutic range. Clinical data in human beings are inadequate to establish safety in early pregnancy. Until such data are available, hydroxyzine is contraindicated in early pregnancy.

Hydroxyzine is contraindicated in patients with a prolonged QT interval.

Hydroxyzine pamoate is contraindicated for patients who have shown a previous hypersensitivity to any component of this medication.

Hydroxyzine is contraindicated in patients with known hypersensitivity to hydroxyzine products, and in patients with known hypersensitivity to cetirizine hydrochloride or levocetirizine hydrochloride.

Skin and Appendages

pruritus, rash, urticaria.

Clinical Pharmacology (CLINICAL PHARMACOLOGY)

Hydroxyzine pamoate is unrelated chemically to the phenothiazines, reserpine, meprobamate, or the benzodiazepines.

Hydroxyzine pamoate is not a cortical depressant, but its action may be due to a suppression of activity in certain key regions of the subcortical area of the central nervous system. Primary skeletal muscle relaxation has been demonstrated experimentally. Bronchodilator activity, and antihistaminic and analgesic effects have been demonstrated experimentally and confirmed clinically. An antiemetic effect, both by the apomorphine test and the veriloid test, has been demonstrated. Pharmacological and clinical studies indicate that hydroxyzine in therapeutic dosage does not increase gastric secretion or acidity and in most cases has mild antisecretory activity. Hydroxyzine is rapidly absorbed from the gastrointestinal tract and hydroxyzine pamoate's clinical effects are usually noted within 15 to 30 minutes after oral administration.

Indications and Usage (INDICATIONS AND USAGE)

For symptomatic relief of anxiety and tension associated with psychoneurosis and as an adjunct in organic disease states in which anxiety is manifested.

Useful in the management of pruritus due to allergic conditions such as chronic urticaria and atopic and contact dermatoses, and in histamine-mediated pruritus.

As a sedative when used as premedication and following general anesthesia, Hydroxyzine may potentiate meperidine (Demerol®) and barbiturates, so their use in pre-anesthetic adjunctive therapy should be modified on an individual basis. Atropine and other belladonna alkaloids are not affected by the drug. Hydroxyzine is not known to interfere with the action of digitalis in any way and it may be used concurrently with this agent.

The effectiveness of hydroxyzine as an antianxiety agent for long-term use, that is, more than 4 months, has not been assessed by systematic clinical studies. The physician should reassess periodically the usefulness of the drug for the individual patient.

Central Nervous System

Drowsiness is usually transitory and may disappear in a few days of continued therapy or upon reduction of the dose. Involuntary motor activity, including rare instances of tremor and convulsions, has been reported, usually with doses considerably higher than those recommended. Clinically significant respiratory depression has not been reported at recommended doses.

Skin and Appendages  

Oral hydroxyzine hydrochloride is associated with Acute Generalized Exanthematous Pustulosis (AGEP) and fixed drug eruptions in postmarketing reports.

Dosage and Administration (DOSAGE AND ADMINISTRATION)

For symptomatic relief of anxiety and tension associated with psychoneurosis and as an adjunct in organic disease states in which anxiety is manifested: in adults, 50 to 100 mg q.i.d.; children under 6 years, 50 mg daily in divided doses; and over 6 years, 50 to 100 mg daily in divided doses.

For use in the management of pruritus due to allergic conditions such as chronic urticaria and atopic and contact dermatoses, and in histamine-mediated pruritus: in adults, 25 mg t.i.d. or q.i.d.; children under 6 years, 50 mg daily in divided doses; and over 6 years, 50 to 100 mg daily in divided doses.

As a sedative when used as a premedication and following general anesthesia: 50 to 100 mg in adults, and 0.6 mg/kg in children.

When treatment is initiated by the intramuscular route of administration, subsequent doses may be administered orally.

As with all medications, the dosage should be adjusted according to the patient’s response to therapy.

Package/label Display Panel (Package/Label Display Panel)
Qt Prolongation/torsade De Pointes (tdp) (QT Prolongation/Torsade de Pointes (TdP))

Cases of QT prolongation and Torsade de Pointes have been reported during postmarketing use of hydroxyzine. The majority of reports occurred in patients with other risk factors for QT prolongation/TdP (pre-existing heart disease, electrolyte imbalances or concomitant arrhythmogenic drug use). Therefore, hydroxyzine should be used with caution in patients with risk factors for QT prolongation, congenital long QT syndrome, a family history of long QT syndrome, other conditions that predispose to QT prolongation and ventricular arrhythmia, as well as recent myocardial infarction, uncompensated heart failure, and bradyarrhythmias.

Caution is recommended during the concomitant use of drugs known to prolong the QT interval. These include Class 1A (e.g., quinidine, procainamide) or Class III (e.g., amiodarone, sotalol) antiarrhythmics, certain antipsychotics (e.g., ziprasidone, iloperidone, clozapine, quetiapine, chlorpromazine), certain antidepressants (e.g., citalopram, fluoxetine), certain antibiotics (e.g., azithromycin, erythromycin, clarithromycin, gatifloxacin, moxifloxacin); and others (e.g., pentamidine, methadone, ondansetron, droperidol).

Acute Generalized Exanthematous Pustulosis (agep) (Acute Generalized Exanthematous Pustulosis (AGEP))

Hydroxyzine may rarely cause acute generalized exanthematous pustulosis (AGEP), a serious skin reaction characterized by fever and numerous small, superficial, non-follicular, sterile pustules, arising within large areas of edematous erythema. Inform patients about the signs of AGEP, and discontinue hydroxyzine at the first appearance of a skin rash, worsening of pre-existing skin reactions which hydroxyzine may be used to treat, or any other sign of hypersensitivity. If signs or symptoms suggest AGEP, use of hydroxyzine should not be resumed and alternative therapy should be considered. Avoid cetirizine or levocetirizine in patients who have experienced AGEP or other hypersensitivity reactions with hydroxyzine, due to the risk of cross-sensitivity.

Hydroxyzine Pamoate Capsules Usp 25 Mg 30s Label Text (HydrOXYzine Pamoate Capsules USP 25 mg 30s Label Text)

NDC 71205-483-30

HydrOXYzine

Pamoate

Capsules USP

25 mg

Rx only

30 CAPSULES


Advanced Ingredient Data


Raw Label Data

All Sections (JSON)