These Highlights Do Not Include All The Information Needed To Use Fluoxetine Capsules Safely And Effectively. See Full Prescribing Information For Fluoxetine Capsules.

These Highlights Do Not Include All The Information Needed To Use Fluoxetine Capsules Safely And Effectively. See Full Prescribing Information For Fluoxetine Capsules.
SPL v16
SPL
SPL Set ID b07f9eab-44ac-4667-bd46-52d736daa5d6
Route
ORAL
Published
Effective Date 2019-12-31
Document Type 34391-3 HUMAN PRESCRIPTION DRUG LABEL

Drug Facts

Composition & Product

Active Ingredients
Fluoxetine (10 mg)
Inactive Ingredients
Fd&c Blue No. 1 Gelatin Magnesium Stearate Starch, Corn Propylene Glycol Shellac Titanium Dioxide D&c Yellow No. 10

Identifiers & Packaging

Pill Appearance
Imprint: PLIVA;648 Shape: capsule Color: white Size: 16 mm Score: 1
Marketing Status
ANDA Active Since 2011-01-25

Description

Warnings and Precautions, Sexual Dysfunction (5.17) 10/2021

Indications and Usage

Fluoxetine capsules are indicated for the treatment of: Acute and maintenance treatment of Major Depressive Disorder [see Clinical Studies (14.1)] . Acute and maintenance treatment of obsessions and compulsions in patients with Obsessive Compulsive Disorder (OCD) [see Clinical Studies (14.2)]. Acute and maintenance treatment of binge-eating and vomiting behaviors in patients with moderate to severe Bulimia Nervosa [see Clinical Studies (14.3)] . Acute treatment of Panic Disorder, with or without agoraphobia [see Clinical Studies (14.4)]. Fluoxetine capsules and Olanzapine in Combination are indicated for the treatment of: Acute treatment of depressive episodes associated with Bipolar I Disorder. Treatment resistant depression (Major Depressive Disorder in patients, who do not respond to 2 separate trials of different antidepressants of adequate dose and duration in the current episode). Fluoxetine capsules monotherapy is not indicated for the treatment of depressive episodes associated with Bipolar I Disorder or the treatment of treatment resistant depression. When using fluoxetine capsules and olanzapine in combination, also refer to the Clinical Studies section of the package insert for Symbyax®.

Dosage and Administration

Indication Adult Pediatric MDD (2.1) 20 mg/day in am (initial dose) 10 to 20 mg/day (initial dose) OCD (2.2) 20 mg/day in am (initial dose) 10 mg/day (initial dose) Bulimia Nervosa (2.3) 60 mg/day in am Panic Disorder (2.4) 10 mg/day (initial dose) Depressive Episodes Associated with Bipolar I Disorder (2.5) Oral in combination with olanzapine: 5 mg of oral olanzapine and 20 mg of fluoxetine once daily (initial dose) Oral in combination with olanzapine: 2.5 mg of oral olanzapine and 20 mg of fluoxetine once daily (initial dose) Treatment Resistant Depression (2.6) Oral in combination with olanzapine: 5 mg of oral olanzapine and 20 mg of fluoxetine once daily (initial dose) A lower or less frequent dosage should be used in patients with hepatic impairment, the elderly, and for patients with concurrent disease or on multiple concomitant medications ( 2.7 ) Fluoxetine and olanzapine in combination : Dosage adjustments should be made with the individual components according to efficacy and tolerability ( 2.5 , 2.6) Fluoxetine monotherapy is not indicated for the treatment of Depressive Episodes associated with Bipolar I Disorder or treatment resistant depression (2.5, 2.6) Safety of the coadministration of doses above 12 mg olanzapine with 50 mg fluoxetine has not been evaluated in children and adolescents ages 10 to 17 ( 2.5 )

Warnings and Precautions

When using fluoxetine and olanzapine in combination, also refer to the Warnings and Precautions section of the package insert for Symbyax®.

Boxed Warning
WARNING: SUICIDAL THOUGHTS AND BEHAVIORS Antidepressants increased the risk of suicidal thoughts and behavior in children, adolescents, and young adults in short-term studies. These studies did not show an increase in the risk of suicidal thoughts and behavior with antidepressant use in patients over age 24; there was a reduction in risk with antidepressant use in patients aged 65 and older [see Warnings and Precautions (5.1)]. In patients of all ages who are started on antidepressant therapy, monitor closely for worsening and for emergence of suicidal thoughts and behaviors. Advise families and caregivers of the need for close observation and communication with the prescriber [see Warnings and Precautions (5.1)]. Fluoxetine is not approved for use in children less than 7 years of age [see Warnings and Precautions (5.1) and Use in Specific Populations (8.4)]. When using fluoxetine and olanzapine in combination, also refer to Boxed Warning section of the package insert for Symbyax®.
Contraindications

The use of fluoxetine is contraindicated with the following: Pimozide [ see Warnings and Precautions (5.11) and Drug Interactions ( 7.7, 7.8)] Thioridazine [ see Warnings and Precautions (5.11) and Drug Interactions ( 7.7, 7.8 ) ] Pimozide and thioridazine prolong the QT interval. Fluoxetine can increase the levels of pimozide and thioridazine through inhibition of CYP2D6. Fluoxetine can also prolong the QT interval.

Adverse Reactions

The following adverse reactions are discussed in more detail in other sections of the labeling: Suicidal Thoughts and Behaviors in Children, Adolescents, and Young Adults [see Boxed Warning and Warnings and Precautions (5.1)] Serotonin Syndrome [see Warnings and Precautions (5.2)] Allergic Reactions and Rash [see Warnings and Precautions (5.3)] Screening Patients for Bipolar Disorder and Monitoring for Mania/Hypomania [see Warnings and Precautions (5.4)] Seizures [see Warnings and Precautions (5.5)] Altered Appetite and Weight [see Warnings and Precautions (5.6)] Abnormal Bleeding [see Warnings and Precautions (5.7)] Angle-Closure Glaucoma [see Warnings and Precautions (5.8)] Hyponatremia [see Warnings and Precautions (5.9)] Anxiety and Insomnia [see Warnings and Precautions (5.10)] QT Prolongation [see Warnings and Precautions (5.11)] Potential for Cognitive and Motor Impairment [see Warnings and Precautions (5.13)] Discontinuation Adverse Reactions [see Warnings and Precautions (5.15)] Sexual Dysfunction [see Warnings and Precautions (5.17)] When using fluoxetine and olanzapine in combination, also refer to the Adverse Reactions section of the package insert for Symbyax®.

Drug Interactions

As with all drugs, the potential for interaction by a variety of mechanisms (e.g., pharmacodynamic, pharmacokinetic drug inhibition or enhancement, etc.) is a possibility.

Storage and Handling

Store at 20° to 25°C (68° to 77°F) [See USP Controlled Room Temperature]. Protect from light. Dispense in a tight, light-resistant container as defined in the USP, with a child-resistant closure (as required). KEEP THIS AND ALL MEDICATIONS OUT OF THE REACH OF CHILDREN.

How Supplied

Fluoxetine Capsules USP, 10 mg are available as white, opaque capsules in bottles of 30 (NDC 68645-131-54), printed PLIVA 647 in green band on cap and body. Fluoxetine Capsules USP, 20 mg are available as white, opaque capsules in bottles of 30 (NDC 68645-130-54), printed PLIVA 648 in green band on cap only.


Medication Information

Recent Major Changes

Warnings and Precautions, Sexual Dysfunction (5.17) 10/2021

Boxed Warning

WARNING: SUICIDAL THOUGHTS AND BEHAVIORS

  • Antidepressants increased the risk of suicidal thoughts and behavior in children, adolescents, and young adults in short-term studies. These studies did not show an increase in the risk of suicidal thoughts and behavior with antidepressant use in patients over age 24; there was a reduction in risk with antidepressant use in patients aged 65 and older [see Warnings and Precautions (5.1)].
  • In patients of all ages who are started on antidepressant therapy, monitor closely for worsening and for emergence of suicidal thoughts and behaviors. Advise families and caregivers of the need for close observation and communication with the prescriber [see Warnings and Precautions (5.1)].
  • Fluoxetine is not approved for use in children less than 7 years of age [see Warnings and Precautions (5.1) and Use in Specific Populations (8.4)].

When using fluoxetine and olanzapine in combination, also refer to Boxed Warning section of the package insert for Symbyax®.

Warnings and Precautions

When using fluoxetine and olanzapine in combination, also refer to the Warnings and Precautions section of the package insert for Symbyax®.

Indications and Usage

Fluoxetine capsules are indicated for the treatment of: Acute and maintenance treatment of Major Depressive Disorder [see Clinical Studies (14.1)] . Acute and maintenance treatment of obsessions and compulsions in patients with Obsessive Compulsive Disorder (OCD) [see Clinical Studies (14.2)]. Acute and maintenance treatment of binge-eating and vomiting behaviors in patients with moderate to severe Bulimia Nervosa [see Clinical Studies (14.3)] . Acute treatment of Panic Disorder, with or without agoraphobia [see Clinical Studies (14.4)]. Fluoxetine capsules and Olanzapine in Combination are indicated for the treatment of: Acute treatment of depressive episodes associated with Bipolar I Disorder. Treatment resistant depression (Major Depressive Disorder in patients, who do not respond to 2 separate trials of different antidepressants of adequate dose and duration in the current episode). Fluoxetine capsules monotherapy is not indicated for the treatment of depressive episodes associated with Bipolar I Disorder or the treatment of treatment resistant depression. When using fluoxetine capsules and olanzapine in combination, also refer to the Clinical Studies section of the package insert for Symbyax®.

Dosage and Administration

Indication Adult Pediatric MDD (2.1) 20 mg/day in am (initial dose) 10 to 20 mg/day (initial dose) OCD (2.2) 20 mg/day in am (initial dose) 10 mg/day (initial dose) Bulimia Nervosa (2.3) 60 mg/day in am Panic Disorder (2.4) 10 mg/day (initial dose) Depressive Episodes Associated with Bipolar I Disorder (2.5) Oral in combination with olanzapine: 5 mg of oral olanzapine and 20 mg of fluoxetine once daily (initial dose) Oral in combination with olanzapine: 2.5 mg of oral olanzapine and 20 mg of fluoxetine once daily (initial dose) Treatment Resistant Depression (2.6) Oral in combination with olanzapine: 5 mg of oral olanzapine and 20 mg of fluoxetine once daily (initial dose) A lower or less frequent dosage should be used in patients with hepatic impairment, the elderly, and for patients with concurrent disease or on multiple concomitant medications ( 2.7 ) Fluoxetine and olanzapine in combination : Dosage adjustments should be made with the individual components according to efficacy and tolerability ( 2.5 , 2.6) Fluoxetine monotherapy is not indicated for the treatment of Depressive Episodes associated with Bipolar I Disorder or treatment resistant depression (2.5, 2.6) Safety of the coadministration of doses above 12 mg olanzapine with 50 mg fluoxetine has not been evaluated in children and adolescents ages 10 to 17 ( 2.5 )

Contraindications

The use of fluoxetine is contraindicated with the following: Pimozide [ see Warnings and Precautions (5.11) and Drug Interactions ( 7.7, 7.8)] Thioridazine [ see Warnings and Precautions (5.11) and Drug Interactions ( 7.7, 7.8 ) ] Pimozide and thioridazine prolong the QT interval. Fluoxetine can increase the levels of pimozide and thioridazine through inhibition of CYP2D6. Fluoxetine can also prolong the QT interval.

Adverse Reactions

The following adverse reactions are discussed in more detail in other sections of the labeling: Suicidal Thoughts and Behaviors in Children, Adolescents, and Young Adults [see Boxed Warning and Warnings and Precautions (5.1)] Serotonin Syndrome [see Warnings and Precautions (5.2)] Allergic Reactions and Rash [see Warnings and Precautions (5.3)] Screening Patients for Bipolar Disorder and Monitoring for Mania/Hypomania [see Warnings and Precautions (5.4)] Seizures [see Warnings and Precautions (5.5)] Altered Appetite and Weight [see Warnings and Precautions (5.6)] Abnormal Bleeding [see Warnings and Precautions (5.7)] Angle-Closure Glaucoma [see Warnings and Precautions (5.8)] Hyponatremia [see Warnings and Precautions (5.9)] Anxiety and Insomnia [see Warnings and Precautions (5.10)] QT Prolongation [see Warnings and Precautions (5.11)] Potential for Cognitive and Motor Impairment [see Warnings and Precautions (5.13)] Discontinuation Adverse Reactions [see Warnings and Precautions (5.15)] Sexual Dysfunction [see Warnings and Precautions (5.17)] When using fluoxetine and olanzapine in combination, also refer to the Adverse Reactions section of the package insert for Symbyax®.

Drug Interactions

As with all drugs, the potential for interaction by a variety of mechanisms (e.g., pharmacodynamic, pharmacokinetic drug inhibition or enhancement, etc.) is a possibility.

Storage and Handling

Store at 20° to 25°C (68° to 77°F) [See USP Controlled Room Temperature]. Protect from light. Dispense in a tight, light-resistant container as defined in the USP, with a child-resistant closure (as required). KEEP THIS AND ALL MEDICATIONS OUT OF THE REACH OF CHILDREN.

How Supplied

Fluoxetine Capsules USP, 10 mg are available as white, opaque capsules in bottles of 30 (NDC 68645-131-54), printed PLIVA 647 in green band on cap and body. Fluoxetine Capsules USP, 20 mg are available as white, opaque capsules in bottles of 30 (NDC 68645-130-54), printed PLIVA 648 in green band on cap only.

Description

Warnings and Precautions, Sexual Dysfunction (5.17) 10/2021

5.5 Seizures

In U.S. placebo-controlled clinical trials for Major Depressive Disorder, convulsions (or reactions described as possibly having been seizures) were reported in 0.1% of patients treated with fluoxetine and 0.2% of patients treated with placebo. No patients reported convulsions in U.S. placebo-controlled clinical trials for either OCD or bulimia. In all U.S. fluoxetine clinical trials, 0.2% of 10,782 patients reported convulsions. The percentage appears to be similar to that associated with other marketed drugs effective in the treatment of Major Depressive Disorder. Fluoxetine should be introduced with care in patients with a history of seizures.

10 Overdosage

The following have been reported with fluoxetine overdosage:

  • Seizures, which may be delayed, and altered mental status including coma.
  • Cardiovascular toxicity, which may be delayed, including QRS and QTc interval prolongation, wide complex tachyarrhythmias, torsade de pointes, and cardiac arrest. Hypertension most commonly seen, but rarely can see hypotension alone or with co-ingestants including alcohol.
  • Serotonin syndrome (patients with a multiple drug overdosage with other pro-serotonergic drugs may have a higher risk).

Gastrointestinal decontamination with activated charcoal should be considered in patients who present early after a fluoxetine overdose.

Consider contacting a Poison Center (1-800-221-2222) or a medical toxicologist for additional overdosage management recommendations.

8.1 Pregnancy

Pregnancy Exposure Registry

There is a pregnancy exposure registry that monitors pregnancy outcomes in women exposed to antidepressants during pregnancy. Healthcare providers are encouraged to register patients by calling the National Pregnancy Registry for Antidepressants at 1-844-405-6185 or visiting online at https://womensmentalhealth.org/clinical-and-researchprograms/pregnancyregistry/antidepressants/.

Risk Summary

Based on data from published observational studies, exposure to SSRIs, particularly in the month before delivery, has been associated with a less than 2-fold increase in the risk of postpartum hemorrhage [see Warnings and Precautions (5.7) and Clinical Considerations].

Available data from published epidemiologic studies and postmarketing reports over several decades have not established an increased risk of major birth defects or miscarriage. Some studies have reported an increased incidence of cardiovascular malformations; however, these studies results do not establish a causal relationship ( see Data). There are risks associated with untreated depression in pregnancy and risks of persistent pulmonary hypertension of the newborn (PPHN) (see Data) and poor neonatal adaptation with exposure to selective serotonin reuptake inhibitors (SSRIs), including fluoxetine, during pregnancy ( see Clinical Considerations).

In rats and rabbits treated with fluoxetine during the period of organogenesis, there was no evidence of developmental effects at doses up to 1.6 and 3.9 times, respectively, the maximum recommended human dose (MRHD) of 60 mg/day given to adolescents on a mg/m 2basis. However, in other reproductive studies in rats, an increase in stillborn pups, a decrease in pup weight, and an increase in pup deaths early after birth occurred at doses that are 1.5 times (during gestation) and 0.97 time (during gestation and lactation) the MRHD given to adolescents on a mg/m 2basis.

The estimated background risk of major birth defects and miscarriage for the indicated population is unknown. All pregnancies have a background risk of birth defect, loss, or other adverse outcomes. In the US general population, the estimated background risk of major birth defects and miscarriage in clinically recognized pregnancies is 2 to 4% and 15 to 20%, respectively.

Clinical Considerations

Disease-associated maternal and/or embryo/fetal risk

Women who discontinue antidepressants during pregnancy are more likely to experience a relapse of major depression than women who continue antidepressants. This finding is from a prospective, longitudinal study that followed 201 pregnant women with a history of major depressive disorder who were euthymic and taking antidepressants at the beginning of pregnancy. Consider the risk of untreated depression when discontinuing or changing treatment with antidepressant medication during pregnancy and postpartum.

Fetal/Neonatal adverse reactions

Neonates exposed to fluoxetine and other SSRI or SNRIs late in the third trimester have developed complications requiring prolonged hospitalization, respiratory support, and tube feeding. Such complications can arise immediately upon delivery. Reported clinical findings have included respiratory distress, cyanosis, apnea, seizures, temperature instability, feeding difficulty, vomiting, hypoglycemia, hypotonia, hypertonia, hyperreflexia, tremors, jitteriness, irritability, and constant crying. These findings are consistent with either a direct toxic effect of SSRIs and SNRIs or possibly a drug discontinuation syndrome. It should be noted that, in some cases, the clinical picture is consistent with serotonin syndrome [ see Warnings and Precautions (5.2)].

Data

Human Data
— It has been shown that SSRIs (including fluoxetine) can cross the placenta. Published epidemiological studies of pregnant women exposed to fluoxetine have not established an increased risk of major birth defects, miscarriage, and other adverse developmental outcomes. Several publications reported an increased incidence of cardiovascular malformations in children with in utero exposure to fluoxetine. However, these studies results do not establish a causal relationship.

Methodologic limitations of these observational studies include possible exposure and outcome misclassification, lack of adequate controls, adjustment for confounders and confirmatory studies. However, these studies cannot definitely establish or exclude any drug-associated risk during pregnancy.

Exposure to SSRIs, particularly later in pregnancy, may have an increased risk for PPHN. PPHN occurs in 1 to 2 per 1,000 live births in the general population and is associated with substantial neonatal morbidity and mortality.

Animal Data— In embryofetal development studies in rats and rabbits, there was no evidence of malformations or developmental variations following administration of fluoxetine at doses up to 12.5 and 15 mg/kg/day, respectively (1.6 and 3.9 times, respectively, the MRHD of 60 mg given to adolescents on a mg/m 2basis) throughout organogenesis. However, in rat reproduction studies, an increase in stillborn pups, a decrease in pup weight, and an increase in pup deaths during the first 7 days postpartum occurred following maternal exposure to 12 mg/kg/day (1.5 times the MRHD given to adolescents on a mg/m2 basis) during gestation or 7.5 mg/kg/day (0.97 time the MRHD given to adolescents on a mg/m 2basis) during gestation and lactation. There was no evidence of developmental neurotoxicity in the surviving offspring of rats treated with 12 mg/kg/day during gestation. The no- effect dose for rat pup mortality was 5 mg/kg/day (0.65 time the MRHD given to adolescents on a mg/m 2basis).

8.2 Lactation

Risk Summary

Data from published literature report the presence of fluoxetine and norfluoxetine in human milk ( see Data). There are reports of agitation, irritability, poor feeding, and poor weight gain in infants exposed to fluoxetine through breast milk ( see Clinical Considerations). There are no data on the effect of fluoxetine or its metabolites on milk production. The developmental and health benefits of breastfeeding should be considered along with the mother’s clinical need for fluoxetine and any potential adverse effects on the breastfed child from fluoxetine or the underlying maternal condition.

Clinical Considerations

Infants exposed to fluoxetine should be monitored for agitation, irritability, poor feeding, and poor weight gain.

Data

A study of 19 nursing mothers on fluoxetine with daily doses of 10-60 mg showed that fluoxetine was detectable in 30% of nursing infant sera (range: 1 to 84 ng/mL) whereas norfluoxetine was found in 85% (range: <1 to 265 ng/mL).

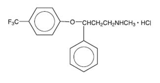
11 Description

Fluoxetine Capsules, are a selective serotonin reuptake inhibitor for oral administration. They are also marketed for the treatment of premenstrual dysphoric disorder (Sarafem ®, fluoxetine hydrochloride). It is designated (±)-N-methyl-3-phenyl-3-[(α,α,α-trifluoro- p-tolyl)oxy]propylamine hydrochloride and has the following structural formula:

C 17H 18F 3NO•HCl M.W. 345.79

Fluoxetine hydrochloride, USP is a white to off-white crystalline solid with a solubility of 14 mg/mL in water.

Each capsule contains fluoxetine hydrochloride, USP equivalent to 10 mg (32.3 µmol) or 20 mg (64.7 µmol) of fluoxetine. In addition, the capsules also contain the following inactive ingredients: ammonium hydroxide, D&C yellow #10 aluminum lake, FD&C blue #1 aluminum lake, gelatin, magnesium stearate, pregelatinized corn starch, propylene glycol, shellac, and titanium dioxide.

9.3 Dependence

Fluoxetine has not been systematically studied, in animals or humans, for its potential for abuse, tolerance, or physical dependence. While the premarketing clinical experience with fluoxetine did not reveal any tendency for a withdrawal syndrome or any drug seeking behavior, these observations were not systematic and it is not possible to predict on the basis of this limited experience the extent to which a CNS active drug will be misused, diverted, and/or abused once marketed. Consequently, healthcare providers should carefully evaluate patients for history of drug abuse and follow such patients closely, observing them for signs of misuse or abuse of fluoxetine (e.g., development of tolerance, incrementation of dose, drug-seeking behavior).

5.9 Hyponatremia

Hyponatremia has been reported during treatment with SNRIs and SSRIs, including fluoxetine. In many cases, this hyponatremia appears to be the result of the syndrome of inappropriate antidiuretic hormone secretion (SIADH). Cases with serum sodium lower than 110 mmol/L have been reported and appeared to be reversible when fluoxetine was discontinued. Elderly patients may be at greater risk of developing hyponatremia with SNRIs and SSRIs. Also, patients taking diuretics or who are otherwise volume depleted may be at greater risk [ see Use in Specific Populations ( 8.5) ] .Discontinuation of fluoxetine should be considered in patients with symptomatic hyponatremia and appropriate medical intervention should be instituted.

Signs and symptoms of hyponatremia include headache, difficulty concentrating, memory impairment, confusion, weakness, and unsteadiness, which may lead to falls. More severe and/or acute cases have been associated with hallucination, syncope, seizure, coma, respiratory arrest, and death.

Medication Guide

Dispense with Medication Guide available at: www.tevausa.com/medguides

Fluoxetine (floo ox' e teen) Capsules, USP

for oral use

Read the Medication Guide that comes with fluoxetine capsules USP before you start taking them and each time you get a refill. There may be new information. This Medication Guide does not take the place of talking to your healthcare provider about your medical condition or treatment. Talk with your healthcare provider if there is something you do not understand or want to learn more about.

What is the most important information I should know about fluoxetine capsules USP?

Fluoxetine capsules and other antidepressant medicines may cause serious side effects, including:

1. Suicidal thoughts or actions:

  • Fluoxetine capsules and other antidepressant medicines may increase suicidal thoughts or actionsin some children, teenagers, or young adults within the first few months of treatment or when the dose is changed.
  • Depression or other serious mental illnesses are the most important causes of suicidal thoughts or actions.
  • Watch for these changes and call your healthcare provider right away if you notice:
    • New or sudden changes in mood, behavior, actions, thoughts, or feelings, especially if severe.
    • Pay particular attention to such changes when fluoxetine capsules are started or when the dose is changed.

Keep all follow-up visits with your healthcare provider and call between visits if you are worried about symptoms.

Call your healthcare provider right away if you have any of the following symptoms, or call 911 is an emergency, especially if they are new, worse, or worry you:

  • attempts to commit suicide
  • acting on dangerous impulses
  • acting aggressive or violent
  • thoughts about suicide or dying
  • new or worse depression
  • new or worse anxiety or panic attacks
  • feeling agitated, restless, angry or irritable
  • trouble sleeping
  • an increase in activity or talking more than what is normal for you
  • other unusual changes in behavior or mood

Call your healthcare provider right away if you have any of the following symptoms, or call 911 if an emergency. Fluoxetine capsules may be associated with these serious s ide effects:

2. Serotonin Syndrome. This condition can be life-threatening and may include:

  • agitation, hallucinations, coma or other changes in mental status
  • coordination problems or muscle twitching (overactive reflexes)
  • racing heartbeat, high or low blood pressure
  • sweating or fever
  • nausea, vomiting, or diarrhea
  • muscle rigidity
  • dizziness
  • flushing
  • tremor
  • seizures

3. Severe allergic reactions:

  • trouble breathing
  • swelling of the face, tongue, eyes or mouth
  • rash, itchy welts (hives) or blisters, alone or with fever or joint pain

4. Abnormal bleeding:Fluoxetine capsules and other antidepressant medicines may increase your risk of bleeding or bruising, especially if you take the blood thinner warfarin (Coumadin®, Jantoven®), a non-steroidal anti-inflammatory drug (NSAIDs, like ibuprofen or naproxen), or aspirin.

5. Visual problems:

  • eye pain
  • changes in vision
  • swelling or redness in or around the eye

Only some people are at risk for these problems. You may want to undergo an eye examination to see if you are at risk and receive preventative treatment if you are.

6. Seizures or convulsions

7. Manic episodes:

  • greatly increased energy
  • severe trouble sleeping
  • racing thoughts
  • reckless behavior
  • unusually grand ideas
  • excessive happiness or irritability
  • talking more or faster than usual

8. Changes in appetite or weight.Children and adolescents should have height and weight monitored during treatment.

9. Low salt (sodium) levels in the blood.Elderly people may be at greater risk for this. Symptoms may include:

  • headache
  • weakness or feeling unsteady
  • confusion, problems concentrating or thinking or memory problems

10. Changes in the electrical activity of your heart (QT prolongation and ventricular arrhythmia including torsade de pointes ). This condition can be life threatening. The symptoms may include:

  • fast, slow, or irregular heartbeat
  • shortness of breath
  • dizziness or fainting

11. Sexual problems (dysfunction).Taking selective serotonin reuptake inhibitors (SSRIs), including fluoxetine capsules, may cause sexual problems.

  • Symptoms in males may include:
  • Delayed ejaculation or inability to have an ejaculation
  • Decreased sex drive
  • Problems getting or keeping an erection
  • Symptoms in females may include:
  • Decreased sex drive
  • Delayed orgasm or inability to have an orgasm

Talk to your healthcare provider if you develop any changes in your sexual function or if you have any questions or concerns about sexual problems during treatment with fluoxetine capsules. There may be treatments your healthcare provider can suggest.

Do not stop fluoxetine capsules without first talking to your healthcare provider.Stopping fluoxetine capsules too quickly may cause serious symptoms including:

  • anxiety, irritability, high or low mood, feeling restless or changes in sleep habits
  • headache, sweating, nausea, dizziness
  • electric shock-like sensations, shaking, confusion

What are fluoxetine capsules?

Fluoxetine capsules USP are a prescription medicine used to treat depression. It is important to talk with your healthcare provider about the risks of treating depression and also the risks of not treating it. You should discuss all treatment choices with your healthcare provider.

Fluoxetine capsules are used to treat:

  • Major Depressive Disorder (MDD)
  • Obsessive Compulsive Disorder (OCD)
  • Bulimia Nervosa*
  • Panic Disorder*
  • Depressive episodes associated with Bipolar I Disorder, taken with olanzapine (Zyprexa®)*
  • Treatment Resistant Depression (depression that has not gotten better with at least 2 other treatments), taken with olanzapine (Zyprexa)*

* Not approved for use in children

Talk to your healthcare provider if you do not think that your condition is getting better with fluoxetine capsule treatment.

Who should not take fluoxetine capsules?

Do not take fluoxetine capsules if you:

  • are allergic to fluoxetine hydrochloride or any of the ingredients in fluoxetine capsules. See the end of this Medication Guide for a complete list of ingredients in fluoxetine capsules.
  • take a Monoamine Oxidase Inhibitor (MAOI). Ask your healthcare provider or pharmacist if you are not sure if you take an MAOI, including the antibiotic linezolid.
    • Do not take an MAOI within 5 weeks of stopping fluoxetine capsules unless directed to do so by your physician.
    • Do not start fluoxetine capsules if you stopped taking an MAOI in the last 2 weeks unless directed to do so by your physician.

People who take fluoxetine capsules close in time to an MAOI may have serious or even life-threatening side effects. Get medical help right away if you have any of these symptoms:

  • high fever
  • uncontrolled muscle spasms
  • stiff muscles
  • rapid changes in heart rate or blood pressure
  • confusion
  • loss of consciousness (pass out)
  • take Mellaril® (thioridazine). Do not take Mellaril® within 5 weeks of stopping fluoxetine capsules because this can cause serious heart rhythm problems or sudden death.
  • take the antipsychotic medicine pimozide (Orap®) because this can cause serious heart problems.

What should I tell my healthcare provider before taking fluoxetine capsules? Ask if you are not sure

Before starting fluoxetine capsules, tell you healthcare provider if you:

  • Are taking certain drugs or treatments such as:
    • Triptans used to treat migraine headache
    • Medicines used to treat mood, anxiety, psychotic or thought disorders, including tricyclics, lithium, buspirone, SSRIs, SNRIs, MAOIs or antipsychotics
    • Amphetamines
    • Tramadol and fentanyl, meperidine, methadone, or other opioids
    • Over-the-counter supplements such as tryptophan or St. John's Wort
    • Electroconvulsive therapy (ECT
  • have liver problems
  • have kidney problems
  • have heart problems
  • have or had seizures or convulsions
  • have bipolar disorder or mania
  • have low sodium levels in your blood
  • have a history of a stroke
  • have high blood pressure
  • have or had bleeding problems
  • are pregnant or plan to become pregnant. Taking fluoxetine capsules will harm your unborn baby. Talk to your healthcare provider about the benefits and risks of treating depression during pregnancy.
  • If you become pregnant while taking fluoxetine capsules, talk to your healthcare provider about registering with the National Pregnancy Registry for Antidepressants. You can register by calling 1-844-405-6185 or go to https://womensmentalhealth.org/clinical-and-research- programs/pregnancyregistry/antidepressants/.
  • are breastfeeding or plan to breastfeed. Some fluoxetine may pass into your breast milk. Talk to your healthcare provider about the best way to feed your baby if taking fluoxetine capsules.

Tell your healthcare provider about all the medicines that you take,including prescription and non-prescription medicines, vitamins, and herbal supplements. Fluoxetine capsules and some medicines may interact with each other, may not work as well, or may cause serious side effects.

Your healthcare provider or pharmacist can tell you if it is safe to take fluoxetine capsules with your other medicines. Do not start or stop any medicine while talking fluoxetine capsules without talking to your healthcare provider first.

If you take fluoxetine capsules, you should not take any other medicines that contain fluoxetine hydrochloride including:

  • Symbyax ®
  • Sarafem ®

How should I take fluoxetine capsules?

  • Take fluoxetine capsules exactly as prescribed. Your healthcare provider may need to change the dose of fluoxetine capsules until it is right dose for you.
  • Fluoxetine capsules may be taken with or without food.
  • If you miss a dose of fluoxetine capsules, take the missed dose as soon as you remember. If it is almost time for the next dose, skip the missed dose and take your next dose at the regular time. Do not take two doses of fluoxetine capsules at the same time.
  • If you take too many fluoxetine capsules, call your healthcare provider or poison control center right away, or get emergency treatment.

What should I avoid while taking fluoxetine capsules?

Fluoxetine capsules can cause sleepiness or may affect your ability to make decisions, think clearly, or react quickly. You should not drive, operate heavy machinery, or do other dangerous activities until you know how fluoxetine capsules affect you. Do not drink alcohol while using fluoxetine capsules.

What are the possible side effects of fluoxetine capsules?

Fluoxetine capsules may cause serious side effects, including:

  • See “ What is the most important information I should know about fluoxetine capsules?
  • Problems with blood sugar control.People who have diabetes and take fluoxetine capsules may have problems with low blood sugar while taking fluoxetine capsules. High blood sugar can happen when fluoxetine capsules are stopped. Your healthcare provider may need to change the dose of your diabetes medicines when you start or stop taking fluoxetine capsules.
  • Feeling anxious or trouble sleeping

Common possible side effects in people who take fluoxetine capsules include:

  • unusual dreams
  • sexual problems
  • loss of appetite, diarrhea, indigestion, nausea or vomiting, weakness, or dry mouth
  • flu symptoms
  • feeling tired or fatigued
  • change in sleep habits
  • yawning
  • sinus infection or sore throat
  • tremor or shaking
  • sweating
  • feeling anxious or nervous
  • hot flashes
  • rash

Other side effects in children and adolescents include:

  • increased thirst
  • abnormal increase in muscle movement or agitation
  • nose bleed
  • urinating more often
  • heavy menstrual periods
  • possible slowed growth rate and weight change. Your child's height and weight should be monitored during treatment with fluoxetine capsules.

Tell your healthcare provider if you have any side effect that bothers you or that does not go away.

These are not all the possible side effects of fluoxetine capsules. For more information, ask your healthcare provider or pharmacist.

CALL YOUR DOCTOR FOR MEDICAL ADVICE ABOUT SIDE EFFECTS. YOU MAY REPORT SIDE EFFECTS TO THE FDA AT 1-800-FDA-1088

How should I store fluoxetine capsules?

  • Store fluoxetine capsules at room temperature between 20°C to 25°C (68° to 77°F).
  • Keep fluoxetine capsules away from light.
  • Keep fluoxetine capsules bottle closed tightly.

Keep fluoxetine capsules and all medicines out of the reach of children.

General information about fluoxetine capsules

Medicines are sometimes prescribed for purposes other than those listed in a Medication Guide. Do not use fluoxetine capsules for a condition for which they were not prescribed. Do not give fluoxetine capsules to other people, even if they have the same condition. They may harm them.

This Medication Guide summarizes the most important information about fluoxetine capsules. If you would like more information, talk with your healthcare provider. You may ask your healthcare provider or pharmacist for information about fluoxetine capsules that iswritten for healthcare professionals.

For more information about fluoxetine capsules call 1-888-838-2872.

What are the ingredients in fluoxetine capsules?

Active ingredient: fluoxetine hydrochloride

Inactive ingredients: D&C Yellow #10 aluminum lake, FD&C blue #1 aluminum lake, gelatin, magnesium stearate, pregelatinized corn starch, propylene glycol, shellac, and titanium dioxide.

This Medication Guide has been approved by the U.S. Food and Drug Administration.

Brands listed are the trademarks of their respective owners.

Manufactured In Czech Republic By:

Teva Czech Industries, s.r.o.

Opava-Komarov, Czech Republic

Manufactured For: Teva Pharmaceuticals,Parsippany, NJ 07054

Distributed by:

Wal-Mart

Bentonville, AR 72716

Packaged by:

Legacy Pharmaceutical Packaging LLC

Earth City, MO 63045

Rev. M 8/2023

16.1 How Supplied

Fluoxetine Capsules USP, 10 mg are available as white, opaque capsules in bottles of 30 (NDC 68645-131-54), printed PLIVA 647 in green band on cap and body.

Fluoxetine Capsules USP, 20 mg are available as white, opaque capsules in bottles of 30 (NDC 68645-130-54), printed PLIVA 648 in green band on cap only.

8.4 Pediatric Use

Use of Fluoxetine in Children —The efficacy of fluoxetine for the treatment of Major Depressive Disorder was demonstrated in two 8 to 9 week placebo-controlled clinical trials with 315 pediatric outpatients ages 8 to ≤ 18 [ see Clinical Studies( 14.1)].

The efficacy of fluoxetine for the treatment of OCD was demonstrated in one 13 week placebo-controlled clinical trial with 103 pediatric outpatients ages 7 to < 18 [ see Clinical Studies( 14.2)].

The safety and effectiveness in pediatric patients < 8 years of age in Major Depressive Disorder and < 7 years of age in OCD have not been established.

Fluoxetine pharmacokinetics were evaluated in 21 pediatric patients (ages 6 to ≤ 18) with Major Depressive Disorder or OCD [ see Clinical Pharmacology( 12.3)].

The acute adverse reaction profiles observed in the 3 studies (N = 418 randomized; 228 fluoxetine-treated, 190 placebo-treated) were generally similar to that observed in adult studies with fluoxetine. The longer-term adverse reaction profile observed in the 19 week Major Depressive Disorder study (N = 219 randomized; 109 fluoxetine-treated, 110 placebo-treated) was also similar to that observed in adult trials with fluoxetine [ see Adverse Reactions( 6.1)].

Manic reaction, including mania and hypomania, was reported in 6 (1 mania, 5 hypomania) out of 228 (2.6%) fluoxetine-treated patients and in 0 out of 190 (0%) placebo-treated patients. Mania/hypomania led to the discontinuation of 4 (1.8%) fluoxetine-treated patients from the acute phases of the 3 studies combined. Consequently, regular monitoring for the occurrence of mania/hypomania is recommended.

As with other SSRIs, decreased weight gain has been observed in association with the use of fluoxetine in children and adolescent patients. After 19 weeks of treatment in a clinical trial, pediatric subjects treated with fluoxetine gained an average of 1.1 cm less in height and 1.1 kg less in weight than subjects treated with placebo. In addition, fluoxetine treatment was associated with a decrease in alkaline phosphatase levels. The safety of fluoxetine treatment for pediatric patients has not been systematically assessed for chronic treatment longer than several months in duration. In particular, there are no studies that directly evaluate the longer-term effects of fluoxetine on the growth, development and maturation of children and adolescent patients. Therefore, height and weight should be monitored periodically in pediatric patients receiving fluoxetine [ see Warnings and Precautions( 5.6)].

Fluoxetine is approved for use in pediatric patients with MDD and OCD [ see Box Warning and Warnings and Precautions( 5.1)]. Anyone considering the use of fluoxetine in a child or adolescent must balance the potential risks with the clinical need.

Animal Data -Significant toxicity on muscle tissue, neurobehavior, reproductive organs, and bone development has been observed following exposure of juvenile rats to fluoxetine from weaning through maturity. Oral administration of fluoxetine to rats from weaning postnatal day 21 through adulthood day 90 at 3, 10, or 30 mg/kg/day was associated with testicular degeneration and necrosis, epididymal vacuolation and hypospermia (at 30 mg/kg/day corresponding to plasma exposures [AUC] approximately 5 to 10 times the average AUC in pediatric patients at the MRHD of 20 mg/day), increased serum levels of creatine kinase (at AUC as low as 1 to 2 times the average AUC in pediatric patients at the MRHD of 20 mg/day), skeletal muscle degeneration and necrosis, decreased femur length/growth and body weight gain (at AUC 5 to 10 times the average AUC in pediatric patients at the MRHD of 20 mg/day). The high dose of 30 mg/kg/day exceeded a maximum tolerated dose. When animals were evaluated after a drug-free period (up to 11 weeks after cessation of dosing), fluoxetine was associated with neurobehavioral abnormalities (decreased reactivity at AUC as low as approximately 0.1 to 0.2 times the average AUC in pediatric patients at the MRHD and learning deficit at the high dose), and reproductive functional impairment (decreased mating at all doses and impaired fertility at the high dose). In addition, the testicular and epididymal microscopic lesions and decreased sperm concentrations found in high dose group were also observed, indicating that the drug effects on reproductive organs are irreversible. The reversibility of fluoxetine-induced muscle damage was not assessed.

These fluoxetine toxicities in juvenile rats have not been observed in adult animals. Plasma exposures (AUC) to fluoxetine in juvenile rats receiving 3, 10, or 30 mg/kg/day doses in this study are approximately 0.1 to 0.2, 1 to 2, and 5 to 10 times, respectively, the average exposure in pediatric patients receiving the MRHD of 20 mg/day. Rat exposures to the major metabolite, norfluoxetine, are approximately 0.3 to 0.8, 1 to 8, and 3 to 20 times, respectively, the pediatric exposure at the MRHD.

A specific effect on bone development was reported in juvenile mice administered fluoxetine by the intraperitoneal route to 4 week old mice for 4 weeks at doses 0.5 and 2 times the oral MRHD of 20 mg/day on mg/m2 basis. There was a decrease in bone mineralization and density at both doses, but the overall growth (body weight gain or femur length) was not affected.

Use of fluoxetine in combination with olanzapine in children and adolescents:Safety and efficacy of fluoxetine and olanzapine in combination in patients 10 to 17 years of age have been established for the acute treatment of depressive episodes associated with Bipolar I Disorder. Safety and effectiveness of fluoxetine and olanzapine in combination in patients less than 10 years of age have not been established.

8.5 Geriatric Use

U.S. fluoxetine clinical trials included 687 patients ≥ 65 years of age and 93 patients ≥ 75 years of age. The efficacy in geriatric patients has been established [ see Clinical Studies( 14.1)]. For pharmacokinetic information in geriatric patients, [ see Clinical Pharmacology( 12.4)]. No overall differences in safety or effectiveness were observed between these subjects and younger subjects, and other reported clinical experience has not identified differences in responses between the elderly and younger patients, but greater sensitivity of some older individuals cannot be ruled out. SNRIs and SSRIs, including fluoxetine, have been associated with cases of clinically significant hyponatremia in elderly patients, who may be at greater risk for this adverse reaction [ see Warnings and Precautions ( 5.9) ] .

Clinical studies of olanzapine and fluoxetine in combination did not include sufficient numbers of patients ≥ 65 years of age to determine whether they respond differently from younger patients.

Initial Treatment

Adult— Initiate fluoxetine 20 mg/day orally in the morning. Consider a dose increase after several weeks if insufficient clinical improvement is observed. Administer doses above 20 mg/day once daily in the morning or twice daily (i.e., morning and noon).The maximum fluoxetine dose should not exceed 80 mg/day.

In controlled trials used to support the efficacy of fluoxetine, patients were administered morning doses ranging from 20 to 80 mg/day. Studies comparing fluoxetine 20, 40, and 60 mg/day to placebo indicate that 20 mg/day is sufficient to obtain a satisfactory response in Major Depressive Disorder in most cases [see Clinical Studies (14.1)].

Pediatric (children and adolescents)— Initiate fluoxetine 10 or 20 mg/day. After 1 week at 10 mg/day, increase the dose to 20 mg/day. However, due to higher plasma levels in lower weight children, the starting and target dose in this group may be 10 mg/day. Consider a dose increase to 20 mg/day after several weeks if insufficient clinical improvement is observed. In the short-term (8 to 9 week) controlled clinical trials of fluoxetine supporting its effectiveness in the treatment of Major Depressive Disorder, patients were administered fluoxetine doses of 10 to 20 mg/day [see Clinical Studies (14.1)].

All patients— As with other drugs effective in the treatment of Major Depressive Disorder, the full effect may be delayed until 4 weeks of treatment or longer.

Periodically reassess to determine the need for maintenance treatment.

Switching Patients to a Tricyclic Antidepressant (TCA)— Dosage of a TCA may need to be reduced, and plasma TCA concentrations may need to be monitored temporarily when fluoxetine is coadministered or has been recently discontinued [ see Warnings and Precautions (5.2 ) and Drug Interactions (7.7)].

2.4 Panic Disorder

Initial Treatment— Initiate treatment with fluoxetine 10 mg/day. After one week, increase the dose to 20 mg/day. Consider a dose increase after several weeks if no clinical improvement is observed. Fluoxetine doses above 60 mg/day have not been systematically evaluated in patients with Panic Disorder. In the controlled clinical trials of fluoxetine supporting its effectiveness in the treatment of Panic Disorder, patients were administered fluoxetine doses in the range of 10 to 60 mg/day [see Clinical Studies (14.4)]. The most frequently administered dose in the 2 flexible-dose clinical trials was 20 mg/day.

Periodically reassess to determine the need for continued treatment.

14 Clinical Studies

Efficacy for fluoxetine was established for the:

  • Acute and maintenance treatment of Major Depressive Disorder in adults, and children and adolescents (8 to 18 years) in 7 short-term and 2 long-term, placebo-controlled trials [see ClinicalStudies 14.1].
  • Acute treatment of obsessions and compulsions in adults, and children and adolescents (7 to 17 years) with Obsessive Compulsive Disorder (OCD) in 3 short-term placebo-controlled trials [seeClinical Studies (14.2)].
  • Acute and maintenance treatment of binge-eating and vomiting behaviors in adult patients with moderate to severe Bulimia Nervosa in 3 short-term and 1 long-term, placebo-controlled trials [see Clinical Studies (14.3)].
  • Acute treatment of Panic Disorder, with or without agoraphobia, in adult patients in 2 short-term, placebo-controlled trials [see Clinical Studies (14.4)].

Efficacy for fluoxetine and olanzapine in combination was established for the:

  • Acute treatment of depressive episodes in Bipolar I Disorder in adults, and children and adolescents (10 to 17 years) in 3 short-term, placebo-controlled trials.
  • Acute and maintenance treatment of treatment resistant depression in adults (18 to 85 years) in 3 short-term, placebo-controlled trials and 1 randomized withdrawal study with an active control.

When using fluoxetine and olanzapine in combination, also refer to the Clinical Studies section of the package insert Symbyax®.

14.4 Panic Disorder

The effectiveness of fluoxetine in the treatment of Panic Disorder was demonstrated in 2 double-blind, randomized, placebo-controlled, multicenter studies of adult outpatients who had a primary diagnosis of Panic Disorder (DSM-IV), with or without agoraphobia.

Study 1 (N = 180 randomized) was a 12 week flexible-dose study. Fluoxetine was initiated at 10 mg/day for the first week, after which patients were dosed in the range of 20 to 60 mg/day on the basis of clinical response and tolerability. A statistically significantly greater percentage of fluoxetine-treated patients were free from panic attacks at endpoint than placebo-treated patients, 42% versus 28%, respectively.

Study 2 (N = 214 randomized) was a 12 week flexible-dose study. Fluoxetine was initiated at 10 mg/day for the first week, after which patients were dosed in a range of 20 to 60 mg/day on the basis of clinical response and tolerability. A statistically significantly greater percentage of fluoxetine-treated patients were free from panic attacks at endpoint than placebo-treated patients, 62% versus 44%, respectively.

2.3 Bulimia Nervosa

Initial Treatment— Administer fluoxetine 60 mg/day in the morning. For some patients it may be advisable to titrate up to this target dose over several days. Fluoxetine doses above 60 mg/day have not been systematically studied in patients with bulimia. In the controlled clinical trials of fluoxetine supporting its effectiveness in the treatment of Bulimia Nervosa, patients were administered fixed daily fluoxetine doses of 20 or 60 mg, or placebo [see Clinical Studies ( 14.3)]. Only the 60 mg dose was statistically significantly superior to placebo in reducing the frequency of binge-eating and vomiting.

Periodically reassess to determine the need for maintenance treatment.

4 Contraindications

When using fluoxetine and olanzapine in combination, also refer to the Contraindications section of the package insert for Symbyax®.

6 Adverse Reactions

The following adverse reactions are discussed in more detail in other sections of the labeling:

  • Suicidal Thoughts and Behaviors in Children, Adolescents, and Young Adults [see Boxed Warningand Warnings and Precautions (5.1)]
  • Serotonin Syndrome [see Warnings and Precautions (5.2)]
  • Allergic Reactions and Rash [see Warnings and Precautions (5.3)]
  • Screening Patients for Bipolar Disorder and Monitoring for Mania/Hypomania [see Warnings andPrecautions (5.4)]
  • Seizures [see Warnings and Precautions (5.5)]
  • Altered Appetite and Weight [see Warnings and Precautions (5.6)]
  • Abnormal Bleeding [see Warnings and Precautions (5.7)]
  • Angle-Closure Glaucoma [see Warnings and Precautions (5.8)]
  • Hyponatremia [see Warnings and Precautions (5.9)]
  • Anxiety and Insomnia [see Warnings and Precautions (5.10)]
  • QT Prolongation [see Warnings and Precautions (5.11)]
  • Potential for Cognitive and Motor Impairment [see Warnings and Precautions (5.13)]
  • Discontinuation Adverse Reactions [see Warnings and Precautions (5.15)]
  • Sexual Dysfunction [see Warnings and Precautions (5.17)]

When using fluoxetine and olanzapine in combination, also refer to the Adverse Reactions section of the package insert for Symbyax®.

7 Drug Interactions

As with all drugs, the potential for interaction by a variety of mechanisms (e.g., pharmacodynamic, pharmacokinetic drug inhibition or enhancement, etc.) is a possibility.

14.3 Bulimia Nervosa

The effectiveness of fluoxetine for the treatment of bulimia was demonstrated in two 8 week and one 16 week, multicenter, parallel group studies of adult outpatients meeting DSM-III-R criteria for bulimia. Patients in the 8 week studies received either 20 or 60 mg/day of fluoxetine or placebo in the morning. Patients in the 16 week study received a fixed fluoxetine dose of 60 mg/day (once a day) or placebo. Patients in these 3 studies had moderate to severe bulimia with median binge-eating and vomiting frequencies ranging from 7 to 10 per week and 5 to 9 per week, respectively. In these 3 studies, fluoxetine 60 mg, but not 20 mg, was statistically significantly superior to placebo in reducing the number of binge-eating and vomiting episodes per week. The statistically significantly superior effect of 60 mg versus placebo was present as early as Week 1 and persisted throughout each study. The fluoxetine-related reduction in bulimic episodes appeared to be independent of baseline depression as assessed by the Hamilton Depression Rating Scale. In each of these 3 studies, the treatment effect, as measured by differences between fluoxetine 60 mg and placebo on median reduction from baseline in frequency of bulimic behaviors at endpoint, ranged from 1 to 2 episodes per week for binge-eating and 2 to 4 episodes per week for vomiting. The size of the effect was related to baseline frequency, with greater reductions seen in patients with higher baseline frequencies. Although some patients achieved freedom from binge-eating and purging as a result of treatment, for the majority, the benefit was a partial reduction in the frequency of binge-eating and purging.

In a longer-term trial, 150 patients meeting DSM-IV criteria for Bulimia Nervosa, purging subtype, who had responded during a single-blind, 8 week acute treatment phase with fluoxetine 60 mg/day, were randomized to continuation of fluoxetine 60 mg/day or placebo, for up to 52 weeks of observation for relapse. Response during the single-blind phase was defined by having achieved at least a 50% decrease in vomiting frequency compared with baseline. Relapse during the double-blind phase was defined as a persistent return to baseline vomiting frequency or healthcare provider judgment that the patient had relapsed. Patients receiving continued fluoxetine 60 mg/day experienced a significantly longer time to relapse over the subsequent 52 weeks compared with those receiving placebo.

5.11 Qt Prolongation

Postmarketing cases of QT interval prolongation and ventricular arrhythmia including Torsades de Pointes have been reported in patients treated with fluoxetine. Fluoxetine should be used with caution in patients with congenital long QT syndrome; a previous history of QT prolongation; a family history of long QT syndrome or sudden cardiac death; and other conditions that predispose to QT prolongation and ventricular arrhythmia. Such conditions include concomitant use of drugs that prolong the QT interval; hypokalemia or hypomagnesemia; recent myocardial infarction, uncompensated heart failure, bradyarrhythmias, and other significant arrhythmias; and conditions that predispose to increased fluoxetine exposure (overdose, hepatic impairment, use of CYP2D6 inhibitors, CYP2D6 poor metabolizer status, or use of other highly protein-bound drugs). Fluoxetine is primarily metabolized by CYP2D6 [see Contraindications (4.2 ), Adverse Reactions (6.2), Drug Interactions (7.7, 7.8 ), Overdosage (10.1 ), and Clinical Pharmacology (12.3 )].

Pimozide and thioridazine are contraindicated for use with fluoxetine. Avoid the concomitant use of drugs known to prolong the QT interval. These include specific antipsychotics (e.g., ziprasidone, iloperidone, chlorpromazine, mesoridazine, droperidol,); specific antibiotics (e.g., erythromycin, gatifloxacin, moxifloxacin, sparfloxacin); Class 1A antiarrhythmic medications (e.g., quinidine, procainamide); Class III antiarrhythmics (e.g., amiodarone, sotalol); and others (e.g., pentamidine, levomethadyl acetate, methadone, halofantrine, mefloquine, dolasetron mesylate, probucol or tacrolimus) [see Drug Interactions (7.7, 7.8 ) and Clinical Pharmacology (12.3 )].

Consider ECG assessment and periodic ECG monitoring if initiating treatment with fluoxetine in patients with risk factors for QT prolongation and ventricular arrhythmia. Consider discontinuing fluoxetine and obtaining a cardiac evaluation if patients develop signs or symptoms consistent with ventricular arrhythmia.

7.2 Cns Acting Drugs

Caution is advised if the concomitant administration of fluoxetine and such drugs is required. In evaluating individual cases, consideration should be given to using lower initial doses of the concomitantly administered drugs, using conservative titration schedules, and monitoring of clinical status [ see Clinical Pharmacology ( 12.3) ] .

12.2 Pharmacodynamics

Studies at clinically relevant doses in man have demonstrated that fluoxetine blocks the uptake of serotonin into human platelets. Studies in animals also suggest that fluoxetine is a much more potent uptake inhibitor of serotonin than of norepinephrine.

Antagonism of muscarinic, histaminergic, and α 1-adrenergic receptors has been hypothesized to be associated with various anticholinergic, sedative, and cardiovascular effects of classical tricyclic antidepressant (TCA) drugs. Fluoxetine binds to these and other membrane receptors from brain tissue much less potently in vitrothan do the tricyclic drugs.

12.3 Pharmacokinetics

Systemic Bioavailability— In man, following a single oral 40 mg dose, peak plasma concentrations of fluoxetine from 15 to 55 ng/mL are observed after 6 to 8 hours.

Food does not appear to affect the systemic bioavailability of fluoxetine, although it may delay its absorption by 1 to 2 hours, which is probably not clinically significant. Thus, fluoxetine may be administered with or without food.

Protein Binding— Over the concentration range from 200 to 1000 ng/mL, approximately 94.5% of fluoxetine is bound in vitroto human serum proteins, including albumin and α 1-glycoprotein. The interaction between fluoxetine and other highly protein-bound drugs has not been fully evaluated but may be important.

Enantiomers— Fluoxetine is a racemic mixture (50/50) of R-fluoxetine and S-fluoxetine enantiomers. In animal models, both enantiomers are specific and potent serotonin uptake inhibitors with essentially equivalent pharmacologic activity. The S-fluoxetine enantiomer is eliminated more slowly and is the predominant enantiomer present in plasma at steady state.

Metabolism— Fluoxetine is extensively metabolized in the liver to norfluoxetine and a number of other unidentified metabolites. The only identified active metabolite, norfluoxetine, is formed by demethylation of fluoxetine. In animal models, S-norfluoxetine is a potent and selective inhibitor of serotonin uptake and has activity essentially equivalent to R- or S-fluoxetine. R-norfluoxetine is significantly less potent than the parent drug in the inhibition of serotonin uptake. The primary route of elimination appears to be hepatic metabolism to inactive metabolites excreted by the kidney.

Variability in Metabolism— A subset (about 7%) of the population has reduced activity of the drug metabolizing enzyme cytochrome P450 2D6 (CYP2D6). Such individuals are referred to as “poor metabolizers” of drugs such as debrisoquin, dextromethorphan, and the TCAs. In a study involving labeled and unlabeled enantiomers administered as a racemate, these individuals metabolized S-fluoxetine at a slower rate and thus achieved higher concentrations of S-fluoxetine. Consequently, concentrations of S-norfluoxetine at steady state were lower. The metabolism of R-fluoxetine in these poor metabolizers appears normal. When compared with normal metabolizers, the total sum at steady state of the plasma concentrations of the 4 active enantiomers was not significantly greater among poor metabolizers. Thus, the net pharmacodynamic activities were essentially the same. Alternative, nonsaturable pathways (non-2D6) also contribute to the metabolism of fluoxetine. This explains how fluoxetine achieves a steady-state concentration rather than increasing without limit.

Because fluoxetine’s metabolism, like that of a number of other compounds including TCAs and other selective serotonin reuptake inhibitors (SSRIs), involves the CYP2D6 system, concomitant therapy with drugs also metabolized by this enzyme system (such as the TCAs) may lead to drug interactions [ see Drug Interactions ( 7.7) ] .

Accumulation and Slow Elimination— The relatively slow elimination of fluoxetine (elimination half-life of 1 to 3 days after acute administration and 4 to 6 days after chronic administration) and its active metabolite, norfluoxetine (elimination half-life of 4 to 16 days after acute and chronic administration), leads to significant accumulation of these active species in chronic use and delayed attainment of steady state, even when a fixed dose is used [ see Warnings and Precautions ( 5.14) ] .After 30 days of dosing at 40 mg/day, plasma concentrations of fluoxetine in the range of 91 to 302 ng/mL and norfluoxetine in the range of 72 to 258 ng/mL have been observed. Plasma concentrations of fluoxetine were higher than those predicted by single-dose studies, because fluoxetine’s metabolism is not proportional to dose. Norfluoxetine, however, appears to have linear pharmacokinetics. Its mean terminal half-life after a single dose was 8.6 days and after multiple dosing was 9.3 days. Steady-state levels after prolonged dosing are similar to levels seen at 4 to 5 weeks.

The long elimination half-lives of fluoxetine and norfluoxetine assure that, even when dosing is stopped, active drug substance will persist in the body for weeks (primarily depending on individual patient characteristics, previous dosing regimen, and length of previous therapy at discontinuation). This is of potential consequence when drug discontinuation is required or when drugs are prescribed that might interact with fluoxetine and norfluoxetine following the discontinuation of fluoxetine.

5.7 Abnormal Bleeding

SNRIs and SSRIs, including fluoxetine, may increase the risk of bleeding reactions. Concomitant use of aspirin, nonsteroidal anti-inflammatory drugs, warfarin, and other anti-coagulants may add to this risk. Case reports and epidemiological studies (case-control and cohort design) have demonstrated an association between use of drugs that interfere with serotonin reuptake and the occurrence of gastrointestinal bleeding. Based on data from the published observational studies, exposure to SSRIs, particularly in the month before delivery, has been associated with a less than 2-fold increase in the risk of postpartum hemorrhage [see Use in Specific Populations (8.1)].Bleeding reactions related to SNRIs and SSRIs use have ranged from ecchymoses, hematomas, epistaxis, and petechiae to life-threatening hemorrhages.

Patients should be cautioned about the risk of bleeding associated with the concomitant use of fluoxetine and NSAIDs, aspirin, warfarin, or other drugs that affect coagulation [ see Drug Interactions ( 7.4) ] .

5.2 Serotonin Syndrome

Selective serotonin reuptake inhibitors (SSRIs), including fluoxetine, can precipitate serotonin syndrome, a potentially life-threatening condition. The risk is increased with concomitant use of other serotonergic drugs (including triptans, tricyclic antidepressants, fentanyl, lithium, tramadol, tryptophan, meperidine, methadone, buspirone, amphetamines, and St. John’s Wort) and with drugs that impair metabolism of serotonin, i.e., MAOIs [see Contraindications (4), Drug Interactions (7.1)]. Serotonin syndrome can also occur when these drugs are used alone.

Serotonin syndrome signs and symptoms may include mental status changes (e.g., agitation, hallucinations, delirium, and coma), autonomic instability (e.g., tachycardia, labile blood pressure, dizziness, diaphoresis, flushing, hyperthermia), neuromuscular symptoms (e.g., tremor, rigidity, myoclonus, hyperreflexia, incoordination), seizures, and/or gastrointestinal symptoms (e.g., nausea, vomiting, diarrhea).

The concomitant use of fluoxetine with MAOIs is contraindicated. In addition, do not initiate fluoxetine in a patient being treated with MAOIs such as linezolid or intravenous methylene blue. No reports involved the administration of methylene blue by other routes (such as oral tablets or local tissue injection). If it is necessary to initiate treatment with an MAOI such as linezolid or intravenous methylene blue in a patient taking fluoxetine, discontinue fluoxetine before initiating treatment with the MAOI [see Contraindications (4) and Drug Interactions (7.1)].

Monitor all patients taking fluoxetine for the emergence of serotonin syndrome. Discontinue treatment with fluoxetine and any concomitant serotonergic agents immediately if the above symptoms occur, and initiate supportive symptomatic treatment. If concomitant use of fluoxetine with other serotonergic drugs is clinically warranted, inform patients of the increased risk for serotonin syndrome and monitor for symptoms.

8.6 Hepatic Impairment

In subjects with cirrhosis of the liver, the clearances of fluoxetine and its active metabolite, norfluoxetine, were decreased, thus increasing the elimination half-lives of these substances. A lower or less frequent dose of fluoxetine should be used in patients with cirrhosis. Caution is advised when using fluoxetine in patients with diseases or conditions that could affect its metabolism [ see Dosage and Administration( 2.7) and Clinical Pharmacology( 12.4)].

1 Indications and Usage

Fluoxetine capsules are indicated for the treatment of:

  • Acute and maintenance treatment of Major Depressive Disorder [see Clinical Studies (14.1)].
  • Acute and maintenance treatment of obsessions and compulsions in patients with Obsessive Compulsive Disorder (OCD) [see Clinical Studies (14.2)].
  • Acute and maintenance treatment of binge-eating and vomiting behaviors in patients with moderate to severe Bulimia Nervosa [see Clinical Studies (14.3)].
  • Acute treatment of Panic Disorder, with or without agoraphobia [see Clinical Studies (14.4)].

Fluoxetine capsules and Olanzapine in Combination are indicated for the treatment of:

  • Acute treatment of depressive episodes associated with Bipolar I Disorder.
  • Treatment resistant depression (Major Depressive Disorder in patients, who do not respond to 2 separate trials of different antidepressants of adequate dose and duration in the current episode).

Fluoxetine capsules monotherapy is not indicated for the treatment of depressive episodes associated with Bipolar I Disorder or the treatment of treatment resistant depression.

When using fluoxetine capsules and olanzapine in combination, also refer to the Clinical Studies section of the package insert for Symbyax®.

5.17 Sexual Dysfunction

Use of SSRIs, including fluoxetine, may cause symptoms of sexual dysfunction [see Adverse Reactions (6.1)].In male patients, SSRI use may result in ejaculatory delay or failure, decreased libido, and erectile dysfunction. In female patients, SSRI use may result in decreased libido and delayed or absent orgasm.

It is important for prescribers to inquire about sexual function prior to initiation of fluoxetine and to inquire specifically about changes in sexual function during treatment, because sexual function may not be spontaneously reported. When evaluating changes in sexual function, obtaining a detailed history (including timing of symptom onset) is important because sexual symptoms may have other causes, including the underlying psychiatric disorder. Discuss potential management strategies to support patients in making informed decisions about treatment.

12.1 Mechanism of Action

Although the exact mechanism of fluoxetine is unknown, it is presumed to be linked to its inhibition of CNS neuronal uptake of serotonin.

12.4 Specific Populations

Liver Disease— As might be predicted from its primary site of metabolism, liver impairment can affect the elimination of fluoxetine. The elimination half-life of fluoxetine was prolonged in a study of cirrhotic patients, with a mean of 7.6 days compared with the range of 2 to 3 days seen in subjects without liver disease; norfluoxetine elimination was also delayed, with a mean duration of 12 days for cirrhotic patients compared with the range of 7 to 9 days in normal subjects. This suggests that the use of fluoxetine in patients with liver disease must be approached with caution. If fluoxetine is administered to patients with liver disease, a lower or less frequent dose should be used [ see Dosage and Administration ( 2.7) amd Use in Specific Populations ( 8.6) ] .

Renal Disease— In depressed patients on dialysis (N = 12), fluoxetine administered as 20 mg once daily for 2 months produced steady-state fluoxetine and norfluoxetine plasma concentrations comparable with those seen in patients with normal renal function. While the possibility exists that renally excreted metabolites of fluoxetine may accumulate to higher levels in patients with severe renal dysfunction, use of a lower or less frequent dose is not routinely necessary in renally impaired patients.

Geriatric Pharmacokinetics— The disposition of single doses of fluoxetine in healthy elderly subjects (> 65 years of age) did not differ significantly from that in younger normal subjects. However, given the long half-life and nonlinear disposition of the drug, a single-dose study is not adequate to rule out the possibility of altered pharmacokinetics in the elderly, particularly if they have systemic illness or are receiving multiple drugs for concomitant diseases. The effects of age upon the metabolism of fluoxetine have been investigated in 260 elderly but otherwise healthy depressed patients (≥ 60 years of age) who received 20 mg fluoxetine for 6 weeks. Combined fluoxetine plus norfluoxetine plasma concentrations were 209.3 ± 85.7 ng/mL at the end of 6 weeks. No unusual age-associated pattern of adverse reactions was observed in those elderly patients.

Pediatric Pharmacokinetics (children and adolescents) — Fluoxetine pharmacokinetics were evaluated in 21 pediatric patients (10 children ages 6 to < 13, 11 adolescents ages 13 to < 18) diagnosed with Major Depressive Disorder or Obsessive Compulsive Disorder (OCD). Fluoxetine 20 mg/day was administered for up to 62 days. The average steady-state concentrations of fluoxetine in these children were 2 fold higher than in adolescents (171 and 86 ng/mL, respectively). The average norfluoxetine steady-state concentrations in these children were 1.5 fold higher than in adolescents (195 and 113 ng/mL, respectively). These differences can be almost entirely explained by differences in weight. No gender-associated difference in fluoxetine pharmacokinetics was observed. Similar ranges of fluoxetine and norfluoxetine plasma concentrations were observed in another study in 94 pediatric patients (ages 8 to < 18) diagnosed with Major Depressive Disorder.

Higher average steady-state fluoxetine and norfluoxetine concentrations were observed in children relative to adults; however, these concentrations were within the range of concentrations observed in the adult population. As in adults, fluoxetine and norfluoxetine accumulated extensively following multiple oral dosing; steady-state concentrations were achieved within 3 to 4 weeks of daily dosing.

16.2 Storage and Handling

Store at 20° to 25°C (68° to 77°F) [See USP Controlled Room Temperature].

Protect from light.

Dispense in a tight, light-resistant container as defined in the USP, with a child-resistant closure (as required).

KEEP THIS AND ALL MEDICATIONS OUT OF THE REACH OF CHILDREN.

5.10 Anxiety and Insomnia

In U.S. placebo-controlled clinical trials for Major Depressive Disorder, 12% to 16% of patients treated with fluoxetine and 7% to 9% of patients treated with placebo reported anxiety, nervousness, or insomnia.

In U.S. placebo-controlled clinical trials for OCD, insomnia was reported in 28% of patients treated with fluoxetine and in 22% of patients treated with placebo. Anxiety was reported in 14% of patients treated with fluoxetine and in 7% of patients treated with placebo.

In U.S. placebo-controlled clinical trials for Bulimia Nervosa, insomnia was reported in 33% of patients treated with fluoxetine 60 mg, and 13% of patients treated with placebo. Anxiety and nervousness were reported, respectively, in 15% and 11% of patients treated with fluoxetine 60 mg and in 9% and 5% of patients treated with placebo.

Among the most common adverse reactions associated with discontinuation (incidence at least twice that for placebo and at least 1% for fluoxetine in clinical trials collecting only a primary reaction associated with discontinuation) in U.S. placebo-controlled fluoxetine clinical trials were anxiety (2% in OCD), insomnia (1% in combined indications and 2% in bulimia), and nervousness (1% in Major Depressive Disorder) [see Table 5].

5 Warnings and Precautions

When using fluoxetine and olanzapine in combination, also refer to the Warnings and Precautions section of the package insert for Symbyax®.

5.8 Angle Closure Glaucoma

Angle-Closure Glaucoma— The pupillary dilation that occurs following use of many antidepressant drugs including fluoxetine may trigger an angle closure attack in a patient with anatomically narrow angles who does not have a patent iridectomy.

2 Dosage and Administration
Indication Adult Pediatric
MDD (2.1) 20 mg/day in am (initial dose) 10 to 20 mg/day (initial dose)
OCD (2.2) 20 mg/day in am (initial dose) 10 mg/day (initial dose)
Bulimia Nervosa (2.3) 60 mg/day in am
Panic Disorder (2.4) 10 mg/day (initial dose)
Depressive Episodes Associated with Bipolar I Disorder (2.5) Oral in combination with olanzapine: 5 mg of oral olanzapine and 20 mg of fluoxetine once daily (initial dose) Oral in combination with olanzapine: 2.5 mg of oral olanzapine and 20 mg of fluoxetine once daily (initial dose)
Treatment Resistant Depression (2.6) Oral in combination with olanzapine: 5 mg of oral olanzapine and 20 mg of fluoxetine once daily (initial dose)
  • A lower or less frequent dosage should be used in patients with hepatic impairment, the elderly, and for patients with concurrent disease or on multiple concomitant medications ( 2.7)

Fluoxetine and olanzapine in combination:

  • Dosage adjustments should be made with the individual components according to efficacy and tolerability ( 2.5, 2.6)
  • Fluoxetine monotherapy is not indicated for the treatment of Depressive Episodes associated with Bipolar I Disorder or treatment resistant depression (2.5, 2.6)
  • Safety of the coadministration of doses above 12 mg olanzapine with 50 mg fluoxetine has not been evaluated in children and adolescents ages 10 to 17 ( 2.5)
4.2 Other Contraindications

The use of fluoxetine is contraindicated with the following:

  • Pimozide [ see Warnings and Precautions (5.11) and Drug Interactions (7.7, 7.8)]
  • Thioridazine [ see Warnings and Precautions (5.11) and Drug Interactions (7.7, 7.8 )]

Pimozide and thioridazine prolong the QT interval. Fluoxetine can increase the levels of pimozide and thioridazine through inhibition of CYP2D6. Fluoxetine can also prolong the QT interval.

3 Dosage Forms and Strengths

Fluoxetine Capsules USP, 10 mg contain fluoxetine hydrochloride, USP equivalent to 10 mg fluoxetine, and are available as white, opaque capsules printed with PLIVA 647 in green band on cap and body.

Fluoxetine Capsules USP, 20 mg contain fluoxetine hydrochloride, USP equivalent to 20 mg fluoxetine, and are available as white, opaque capsules printed with PLIVA 648 in green band on cap only.

6.2 Postmarketing Experience

The following adverse reactions have been identified during post approval use of fluoxetine. Because these reactions are reported voluntarily from a population of uncertain size, it is not always possible to reliably estimate their frequency or evaluate a causal relationship to drug exposure.

Voluntary reports of adverse reactions temporally associated with fluoxetine that have been received since market introduction and that may have no causal relationship with the drug include the following: aplastic anemia, atrial fibrillation 1, cataract, cerebrovascular accident 1, cholestatic jaundice, dyskinesia (including, for example, a case of buccal-lingual-masticatory syndrome with involuntary tongue protrusion reported to develop in a 77-year-old female after 5 weeks of fluoxetine therapy and which completely resolved over the next few months following drug discontinuation), eosinophilic pneumonia 1, epidermal necrolysis, erythema multiforme, erythema nodosum, exfoliative dermatitis, galactorrhea, gynecomastia, heart arrest 1, hepatic failure/necrosis, hyperprolactinemia, hypoglycemia, immune-related hemolytic anemia, kidney failure, memory impairment, movement disorders developing in patients with risk factors including drugs associated with such reactions and worsening of preexisting movement disorders, optic neuritis, pancreatitis 1, pancytopenia, pulmonary embolism, pulmonary hypertension, QT prolongation, Stevens-Johnson syndrome, thrombocytopenia 1, thrombocytopenic purpura, ventricular tachycardia (including Torsade de Pointes-type arrhythmias), and vaginal bleeding, and violent behaviors 1.

1These terms represent serious adverse events, but do not meet the definition for adverse drug reactions. They are included here because of their seriousness.

7.3 Other Serotonergic Drugs

The concomitant use of serotonergic drugs (including other SSRIs, SNRIs, triptans, tricyclic antidepressants, opioids, lithium, buspirone, amphetamines, tryptophan, and St. John's Wort) with fluoxetine increases the risk of serotonin syndrome. Monitor patients for signs and symptoms of serotonin syndrome, particularly during treatment initiation and dosage increases. If serotonin syndrome occurs, consider discontinuation of fluoxetine and/or concomitant serotonergic drugs [see Warnings and Precautions (5.2)].

8 Use in Specific Populations

When using fluoxetine and olanzapine in combination, also refer to the Use in Specific Populations section of the package insert for Symbyax®.

Fluoxetine Capsules Usp 10 Mg

Fluoxetine Capsules Usp 20 Mg

14.1 Major Depressive Disorder

Daily Dosing

Adult
— The efficacy of fluoxetine was studied in 5- and 6-week placebo-controlled trials with depressed adult and geriatric outpatients (≥18 years of age) whose diagnoses corresponded most closely to the DSM-III (currently DSM-IV) category of Major Depressive Disorder. Fluoxetine was shown to be significantly more effective than placebo as measured by the Hamilton Depression Rating Scale (HAM-D). Fluoxetine was also significantly more effective than placebo on the HAM-D subscores for depressed mood, sleep disturbance, and the anxiety subfactor.

Two 6-week controlled studies (N=671, randomized) comparing fluoxetine 20 mg and placebo have shown fluoxetine 20 mg daily to be effective in the treatment of elderly patients (≥60 years of age) with Major Depressive Disorder. In these studies, fluoxetine produced a significantly higher rate of response and remission as defined, respectively, by a 50% decrease in the HAM-D score and a total endpoint HAM-D score of ≤8. Fluoxetine was well tolerated and the rate of treatment discontinuations due to adverse reactions did not differ between fluoxetine (12%) and placebo (9%).

Pediatric (children and adolescents)— The efficacy of fluoxetine 20 mg/day in children and adolescents (N=315 randomized; 170 children ages 8 to <13, 145 adolescents ages 13 to ≤18) was studied in two 8- to 9-week placebo-controlled clinical trials in depressed outpatients whose diagnoses corresponded most closely to the DSM-III-R or DSM-IV category of Major Depressive Disorder.

In both studies independently, fluoxetine produced a statistically significantly greater mean change on the Childhood Depression Rating Scale-Revised (CDRS-R) total score from baseline to endpoint than did placebo.

Subgroup analyses on the CDRS-R total score did not suggest any differential responsiveness on the basis of age or gender.

Maintenance Treatment

A study was conducted involving depressed outpatients who had responded (modified HAMD-17 score of ≤7 during each of the last 3 weeks of open-label treatment and absence of Major Depressive Disorder by DSM-III-R criteria) by the end of an initial 12-week open-treatment phase on fluoxetine 20 mg/day. These patients (N=298) were randomized to continuation on double-blind fluoxetine 20 mg/day or placebo. At 38 weeks (50 weeks total), a statistically significantly lower relapse rate (defined as symptoms sufficient to meet a diagnosis of Major Depressive Disorder for 2 weeks or a modified HAMD-17 score of ≥14 for 3 weeks) was observed for patients taking fluoxetine compared with those on placebo.

An additional maintenance study was conducted involving adult outpatients meeting DSM-IV criteria for Major Depressive Disorder who had responded (defined as having a modified HAMD-17 score of ≤9, a CGI-Severity rating of ≤2, and no longer meeting criteria for Major Depressive Disorder) for 3 consecutive weeks at the end of 13 weeks of open-label treatment with fluoxetine 20 mg once daily. These patients were randomized to double-blind, once-weekly continuation treatment with fluoxetine delayed-release capsules 90 mg once weekly, fluoxetine 20 mg once daily, or placebo. Fluoxetine 20 mg once daily demonstrated superior efficacy (having a significantly longer time to relapse of depressive symptoms) compared with placebo for a period of 25 weeks.

6.1 Clinical Trials Experience

Because clinical trials are conducted under widely varying conditions, adverse reaction rates observed in the clinical trials of a drug cannot be directly compared to rates in the clinical trials of another drug and may not reflect or predict the rates observed in practice.

Multiple doses of fluoxetine have been administered to 10,782 patients with various diagnoses in U.S. clinical trials. In addition, there have been 425 patients administered fluoxetine in panic clinical trials. The stated frequencies represent the proportion of individuals who experienced, at least once, a treatment-emergent adverse reaction of the type listed. A reaction was considered treatment-emergent if it occurred for the first time or worsened while receiving therapy following baseline evaluation.

Incidence in Major Depressive Disorder, OCD, bulimia, and Panic Disorder placebo-controlled clinical trials (excluding data from extensions of trials)— Table 3 enumerates the most common treatment-emergent adverse reactions associated with the use of fluoxetine (incidence of at least 5% for fluoxetine and at least twice that for placebo within at least 1 of the indications) for the treatment of Major Depressive Disorder, OCD, and bulimia in U.S. controlled clinical trials and Panic Disorder in U.S. plus non-U.S. controlled trials. Table 5enumerates treatment-emergent adverse reactions that occurred in 2% or more patients treated with fluoxetine and with incidence greater than placebo who participated in U.S. Major Depressive Disorder, OCD, and bulimia controlled clinical trials and U.S. plus non-U.S. Panic Disorder controlled clinical trials. Table 4 provides combined data for the pool of studies that are provided separately by indication in Table 3.

Table 3: Most Common Treatment-Emergent Adverse Reactions: Incidence in Major Depressive Disorder, OCD, Bulimia, and Panic Disorder Placebo-Controlled Clinical Trials
Percentage of Patients Reporting Event
Major Depressive Disorder OCD Bulimia Panic Disorder
Body System/ Adverse Reaction Fluoxetine(N = 1728) Placebo(N = 975) Fluoxetine(N = 266) Placebo(N = 89) Fluoxetine(N = 450) Placebo(N = 267) Fluoxetine(N = 425) Placebo(N = 342)
Body as a Whole
Asthenia 9 5 15 11 21 9 7 7
Flu syndrome 3 4 10 7 8 3 5 5
Cardiovascular System
Vasodilatation 3 2 5 -- 2 1 1 --
Digestive System
Nausea 21 9 26 13 29 11 12 7
Diarrhea 12 8 18 13 8 6 9 4
Anorexia 11 2 17 10 8 4 4 1
Dry mouth 10 7 12 3 9 6 4 4
Dyspepsia 7 5 10 4 10 6 6 2
Nervous System
Insomnia 16 9 28 22 33 13 10 7
Anxiety 12 7 14 7 15 9 6 2
Nervousness 14 9 14 15 11 5 8 6
Somnolence 13 6 17 7 13 5 5 2
Tremor 10 3 9 1 13 1 3 1

Libido

decreased
3 -- 11 2 5 1 1 2

Abnormal

dreams
1 1 5 2 5 3 1 1
Respiratory System
Pharyngitis 3 3 11 9 10 5 3 3
Sinusitis 1 4 5 2 6 4 2 3
Yawn -- -- 7 -- 11 -- 1 --
Skin and Appendages
Sweating 8 3 7 -- 8 3 2 2
Rash 4 3 6 3 4 4 2 2
Urogenital System
Impotence 2 -- -- -- 7 -- 1 --
Abnormal ejaculation -- -- 7 -- 7 -- 2 1

1Incidence less than 1%.

2Includes U.S. data for Major Depressive Disorder, OCD, Bulimia, and Panic Disorder clinical trials, plus non-U.S. data for Panic Disorder clinical trials.

3Denominator used was for males only (N=690 fluoxetine Major Depressive Disorder; N=410 placebo Major Depressive Disorder; N=116 fluoxetine OCD; N=43 placebo OCD; N=14 fluoxetine bulimia; N=1 placebo bulimia; N=162 fluoxetine panic; N=121 placebo panic).

Table 4: Treatment-Emergent Adverse Reactions: Incidence in Major Depressive Disorder, OCD, Bulimia, and Panic Disorder Placebo-Controlled Clinical Trials 1,2
Percentage of Patients Reporting Event
Major Depressive Disorder, OCD, Bulimia, and Panic Disorder Combined
Body System/Adverse Reaction Fluoxetine(N = 2869) Placebo(N = 1673)
Body as a Whole
Headache 21 19
Asthenia 11 6
Flu syndrome 5 4
Fever 2 1
Cardiovascular System
Vasodilatation 2 1
Digestive System
Nausea 22 9
Diarrhea 11 7
Anorexia 10 3
Dry mouth 9 6
Dyspepsia 8 4
Constipation 5 4
Flatulence 3 2
Vomiting 3 2

Metabolic and Nutritional

Disorders
Weight loss 2 1
Nervous System
Insomnia 19 10
Nervousness 13 8
Anxiety 12 6
Somnolence 12 5
Dizziness 9 6
Tremor 9 2
Libido decreased 4 1
Thinking abnormal 2 1
Respiratory System
Yawn 3 --
Skin and Appendages
Sweating 7 3
Rash 4 3
Pruritus 3 2
Special Senses
Abnormal vision 2 1

1Incidence less than 1%.

2Includes U.S. data for Major Depressive Disorder, OCD, Bulimia, and Panic Disorder clinical trials, plus non-U.S. data for Panic Disorder clinical trials.

Associated with discontinuation in Major Depressive Disorder, OCD, bulimia, and Panic Disorder placebo-controlled clinical trials (excluding data from extensions of trials) Table 5lists the adverse reactions associated with discontinuation of fluoxetine treatment (incidence at least twice that for placebo and at least 1% for fluoxetine in clinical trials collecting only a primary reaction associated with discontinuation) in Major Depressive Disorder, OCD, bulimia, and Panic Disorder clinical trials, plus non-U.S. Panic Disorder clinical trials.

Table 5: Most Common Adverse Reactions Associated With Discontinuation in Major Depressive Disorder, OCD, Bulimia, and Panic Disorder Placebo-Controlled Clinical Trials
Major Depressive Disorder, OCD, Bulimia, and Panic Disorder Combined(N = 1533)

Major Depressive Disorder

(N = 392)

OCD

(N = 266)

Bulimia

(N = 450)

Panic Disorder

(N = 425)
Anxiety (1%) -- Anxiety (2%) -- Anxiety (2%)
-- -- -- Insomnia (2%) --
-- Nervousness (1%) -- -- Nervousness (1%)
-- -- Rash (1%) -- --

1Includes U.S. Major Depressive Disorder, OCD, Bulimia, and Panic Disorder clinical trials, plus non-U.S. Panic Disorder clinical trials.

Other adverse reactions in pediatric patients (children and adolescents)— Treatment-emergent adverse reactions were collected in 322 pediatric patients (180 fluoxetine-treated, 142 placebo-treated). The overall profile of adverse reactions was generally similar to that seen in adult studies, as shown in Tables 4and 5. However, the following adverse reactions (excluding those which appear in the body or footnotes of Tables 4and 5and those for which the COSTART terms were uninformative or misleading) were reported at an incidence of at least 2% for fluoxetine and greater than placebo: thirst, hyperkinesia, agitation, personality disorder, epistaxis, urinary frequency, and menorrhagia.

The most common adverse reaction (incidence at least 1% for fluoxetine and greater than placebo) associated with discontinuation in 3 pediatric placebo-controlled trials (N = 418 randomized; 228 fluoxetine-treated; 190 placebo-treated) was mania/hypomania (1.8% for fluoxetine-treated, 0% for placebo-treated). In these clinical trials, only a primary reaction associated with discontinuation was collected.

Male and female sexual dysfunction with SSRIs— Although changes in sexual desire, sexual performance, and sexual satisfaction often occur as manifestations of a psychiatric disorder, they may also be a consequence of pharmacologic treatment. In particular, some evidence suggests that SSRIs can cause such untoward sexual experiences. Reliable estimates of the incidence and severity of untoward experiences involving sexual desire, performance, and satisfaction are difficult to obtain, however, in part because patients and healthcare providers may be reluctant to discuss them. Accordingly, estimates of the incidence of untoward sexual experience and performance, cited in product labeling, are likely to underestimate their actual incidence. In patients enrolled in U.S. Major Depressive Disorder, OCD, and bulimia placebo-controlled clinical trials, decreased libido was the only sexual side effect reported by at least 2% of patients taking fluoxetine (4% fluoxetine, < 1% placebo). There have been spontaneous reports in women taking fluoxetine of orgasmic dysfunction, including anorgasmia.

There are no adequate and well-controlled studies examining sexual dysfunction with fluoxetine treatment.

Symptoms of sexual dysfunction occasionally persist after discontinuation of fluoxetine treatment.

Priapism has been reported with all SSRIs.

While it is difficult to know the precise risk of sexual dysfunction associated with the use of SSRIs, healthcare providers should routinely inquire about such possible side effects.

Other Reactions

Following is a list of treatment-emergent adverse reactions reported by patients treated with fluoxetine in clinical trials. This listing is not intended to include reactions (1) already listed in previous tables or elsewhere in labeling, (2) for which a drug cause was remote, (3) which were so general as to be uninformative, (4) which were not considered to have significant clinical implications, or (5) which occurred at a rate equal to or less than placebo.

Reactions are classified by body system using the following definitions: frequent adverse reactions are those occurring in at least 1/100 patients; infrequent adverse reactions are those occurring in 1/100 to 1/1000 patients; rare reactions are those occurring in fewer than 1/1000 patients.

Body as a WholeFrequent: chills; Infrequent: suicide attempt; Rare: acute abdominal syndrome, photosensitivity reaction.

Cardiovascular SystemFrequent: palpitation; Infrequent: arrhythmia, hypotension 1.

Digestive SystemInfrequent: dysphagia, gastritis, gastroenteritis, melena, stomach ulcer; Rare: bloody diarrhea, duodenal ulcer, esophageal ulcer, gastrointestinal hemorrhage, hematemesis, hepatitis, peptic ulcer, stomach ulcer hemorrhage.

Hemic and Lymphatic SystemInfrequent: ecchymosis; Rare: petechia, purpura.

InvestigationsFrequent: QT interval prolongation (QT CF ≥450 msec) 3.

Nervous SystemFrequent: emotional lability; Infrequent: akathisia, ataxia, balance disorder 1, bruxism 1, buccoglossal syndrome, depersonalization, euphoria, hypertonia, libido increased, myoclonus, paranoid reaction; Rare: delusions.

Respiratory SystemRare: larynx edema.

Skin and AppendagesInfrequent: alopecia; Rare: purpuric rash.

Special SensesFrequent: taste perversion; Infrequent: mydriasis.

Urogenital SystemFrequent: micturition disorder; Infrequent: dysuria, gynecological bleeding 2.

1MedDRA dictionary term from integrated database of placebo-controlled trials of 15,870 patients, of which 9,673 patients received fluoxetine.

2Group term that includes individual MedDRA terms: cervix hemorrhage uterine, dysfunctional uterine bleeding, genital hemorrhage, menometrorrhagia, menorrhagia, metrorrhagia, polymenorrhea, postmenopausal hemorrhage, uterine hemorrhage, vaginal hemorrhage. Adjusted for gender.

3QT prolongation data are based on routine ECG measurements in clinical trials.

5.14 Long Elimination Half Life

Because of the long elimination half-lives of the parent drug and its major active metabolite, changes in dose will not be fully reflected in plasma for several weeks, affecting both strategies for titration to final dose and withdrawal from treatment. This is of potential consequence when drug discontinuation is required or when drugs are prescribed that might interact with fluoxetine and norfluoxetine following the discontinuation of fluoxetine [ see Clinical Pharmacology ( 12.3) ] .

5.3 Allergic Reactions and Rash

In U.S. fluoxetine clinical trials, 7% of 10,782 patients developed various types of rashes and/or urticaria. Among the cases of rash and/or urticaria reported in premarketing clinical trials, almost a third were withdrawn from treatment because of the rash and/or systemic signs or symptoms associated with the rash. Clinical findings reported in association with rash include fever, leukocytosis, arthralgias, edema, carpal tunnel syndrome, respiratory distress, lymphadenopathy, proteinuria, and mild transaminase elevation. Most patients improved promptly with discontinuation of fluoxetine and/or adjunctive treatment with antihistamines or steroids, and all patients experiencing these reactions were reported to recover completely.

In premarketing clinical trials, 2 patients are known to have developed a serious cutaneous systemic illness. In neither patient was there an unequivocal diagnosis, but one was considered to have a leukocytoclastic vasculitis, and the other, a severe desquamating syndrome that was considered variously to be a vasculitis or erythema multiforme. Other patients have had systemic syndromes suggestive of serum sickness.

Since the introduction of fluoxetine, systemic reactions, possibly related to vasculitis and including lupus-like syndrome, have developed in patients with rash. Although these reactions are rare, they may be serious, involving the lung, kidney, or liver. Death has been reported to occur in association with these systemic reactions.

Anaphylactoid reactions, including bronchospasm, angioedema, laryngospasm, and urticaria alone and in combination, have been reported.

Pulmonary reactions, including inflammatory processes of varying histopathology and/or fibrosis, have been reported rarely. These reactions have occurred with dyspnea as the only preceding symptom.

Whether these systemic reactions and rash have a common underlying cause or are due to different etiologies or pathogenic processes is not known. Furthermore, a specific underlying immunologic basis for these reactions has not been identified. Upon the appearance of rash or of other possibly allergic phenomena for which an alternative etiology cannot be identified, fluoxetine should be discontinued.

5.6 Altered Appetite and Weight

Significant weight loss, especially in underweight depressed or bulimic patients, may be an undesirable result of treatment with fluoxetine.

In U.S. placebo-controlled clinical trials for Major Depressive Disorder, 11% of patients treated with fluoxetine and 2% of patients treated with placebo reported anorexia (decreased appetite). Weight loss was reported in 1.4% of patients treated with fluoxetine and in 0.5% of patients treated with placebo. However, only rarely have patients discontinued treatment with fluoxetine because of anorexia or weight loss [ see Use in Specific Populations ( 8.4) ] .

In U.S. placebo-controlled clinical trials for OCD, 17% of patients treated with fluoxetine and 10% of patients treated with placebo reported anorexia (decreased appetite). One patient discontinued treatment with fluoxetine because of anorexia [ see Use in Specific Populations ( 8.4) ] .

In U.S. placebo-controlled clinical trials for Bulimia Nervosa, 8% of patients treated with fluoxetine 60 mg and 4% of patients treated with placebo reported anorexia (decreased appetite). Patients treated with fluoxetine 60 mg on average lost 0.45 kg compared with a gain of 0.16 kg by patients treated with placebo in the 16 week double-blind trial. Weight change should be monitored during therapy.

2.8 Discontinuation of Treatment

Symptoms associated with discontinuation of fluoxetine, SNRIs, and SSRIs, have been reported [ see Warnings and Precautions ( 5.15) ] .

17 Patient Counseling Information

Advise the patient to read the FDA-approved patient labeling (Medication Guide).

Patients should be advised of the following issues and asked to alert their prescriber if these occur while taking fluoxetine as monotherapy or in combination with olanzapine. When using fluoxetine and olanzapine in combination, also refer to the Patient Counseling Information section of the package insert for Symbyax®.

General Information

Healthcare providers should instruct their patients to read the Medication Guide before starting therapy with fluoxetine capsules and to reread it each time the prescription is renewed.

Healthcare providers should inform patients, their families, and their caregivers about the benefits and risks associated with treatment with fluoxetine capsules and should counsel them in its appropriate use. Healthcare providers should instruct patients, their families, and their caregivers to read the Medication Guide and should assist them in understanding its contents. Patients should be given the opportunity to discuss the contents of the Medication Guide and to obtain answers to any questions they may have.

Patients should be advised of the following issues and asked to alert their healthcare provider if these occur while taking fluoxetine capsules.

When using fluoxetine and olanzapine in combination, also refer to the Medication Guide for Symbyax®.

Suicidal Thoughts and Behaviors in Children, Adolescents, and Young Adults

Patients, their families, and their caregivers should be encouraged to be alert to the emergence of anxiety, agitation, panic attacks, insomnia, irritability, hostility, aggressiveness, impulsivity, akathisia (psychomotor restlessness), hypomania, mania, other unusual changes in behavior, worsening of depression, and suicidal ideation, especially early during antidepressant treatment and when the dose is adjusted up or down. Families and caregivers of patients should be advised to look for the emergence of such symptoms on a day-to-day basis, since changes may be abrupt. Such symptoms should be reported to the patient’s prescriber or health professional, especially if they are severe, abrupt in onset, or were not part of the patient’s presenting symptoms. Symptoms such as these may be associated with an increased risk for suicidal thinking and behavior and indicate a need for very close monitoring and possibly changes in the medication [ see Box Warning and Warnings and Precautions (5.1)].

Serotonin Syndrome

Patients should be cautioned about the risk of serotonin syndrome with the concomitant use of fluoxetine and other serotonergic agents including triptans, tricyclic antidepressants, fentanyl, lithium, tramadol, tryptophan, buspirone, amphetamines, and St. John’s Wort [ see Contraindications (4.1), Warnings and Precautions (5.2), and Drug Interactions (7.3)].

Patients should be advised of the signs and symptoms associated with serotonin syndrome that may include mental status changes (e.g., agitation, hallucinations, delirium, and coma), autonomic instability (e.g., tachycardia, labile blood pressure, dizziness, diaphoresis, flushing, hyperthermia), neuromuscular changes (e.g., tremor, rigidity, myoclonus, hyperreflexia, incoordination), seizures, and/or gastrointestinal symptoms (e.g., nausea, vomiting, diarrhea). Patients should be cautioned to seek medical care immediately if they experience these symptoms.

Allergic Reactions and Rash

Patients should be advised to notify their healthcare provider if they develop a rash or hives [ see Warnings and Precautions (5.3)]. Patients should also be advised of the signs and symptoms associated with a severe allergic reaction, including swelling of the face, eyes, or mouth, or have trouble breathing. Patients should be cautioned to seek medical care immediately if they experience these symptoms.

Increased Risk of Bleeding

Patients should be cautioned about the concomitant use of fluoxetine and NSAIDs, aspirin, warfarin, or other drugs that affect coagulation since combined use of psychotropic drugs that interfere with serotonin reuptake and these agents have been associated with an increased risk of bleeding [ see Warnings and Precautions (5.7) and Drug Interactions (7.4)]. Patients should be advised to call their healthcare provider if they experience any increased or unusual bruising or bleeding while taking fluoxetine.

Angle-Closure Glaucoma

Patients should be advised that taking fluoxetine can cause mild pupillary dilation, which in susceptible individuals, can lead to an episode of angle-closure glaucoma. Pre-existing glaucoma is almost always open-angle glaucoma because angle-closure glaucoma, when diagnosed, can be treated definitively with iridectomy. Open-angle glaucoma is not a risk factor for angle-closure glaucoma. Patients may wish to be examined to determine whether they are susceptible to angle closure, and have a prophylactic procedure (e.g., iridectomy), if they are susceptible [ see Warnings and Precautions (5.8)].

Hyponatremia

Patients should be advised that hyponatremia has been reported as a result of treatment with SNRIs and SSRIs, including fluoxetine. Signs and symptoms of hyponatremia include headache, difficulty concentrating, memory impairment, confusion, weakness, and unsteadiness, which may lead to falls. More severe and/or acute cases have been associated with hallucination, syncope, seizure, coma, respiratory arrest, and death [ see Warnings and Precautions (5.9)].

QT Prolongation

Patients should be advised that QT interval prolongation and ventricular arrhythmia including Torsades de Pointes have been reported in patients treated with fluoxetine. Signs and symptoms of ventricular arrhythmia include fast, slow, or irregular heart rate, dyspnea, syncope, or dizziness, which may indicate serious cardiac arrhythmia [ see Warnings and Precautions (5.11)].

Potential for Cognitive and Motor Impairment

Fluoxetine may impair judgment, thinking, or motor skills. Patients should be advised to avoid driving a car or operating hazardous machinery until they are reasonably certain that their performance is not affected [ see Warnings and Precautions (5.13)].

Use of Concomitant Medications

Patients should be advised to inform their healthcare provider if they are taking, or plan to take, any prescription medication, including Symbyax® (olanzapine and fluoxetine hydrochloride capsules), Sarafem® (fluoxetine capsules), or over-the-counter drugs, including herbal supplements or alcohol. Patients should also be advised to inform their healthcare providers if they plan to discontinue any medications they are taking while on fluoxetine.

Discontinuation of Treatment

Patients should be advised to take fluoxetine exactly as prescribed, and to continue taking fluoxetine as prescribed even after their symptoms improve. Patients should be advised that they should not alter their dosing regimen, or stop taking fluoxetine without consulting their healthcare provider [see Warnings and Precautions (5.15)].Patients should be advised to consult with their healthcare provider if their symptoms do not improve with fluoxetine.

Sexual Dysfunction

Advise patients that use of fluoxetine may cause symptoms of sexual dysfunction in both male and female patients.

Inform patients that they should discuss any changes in sexual function and potential management strategies with their healthcare provider [see Warnings and Precautions (5.17)].

Use in Specific Populations

Pregnancy— Advise pregnant women to notify their healthcare provider if they become pregnant or intend to become pregnant during treatment with fluoxetine.

Advise patients that fluoxetine use later in pregnancy may lead to increased risk for neonatal complications requiring prolonged hospitalization, respiratory support, tube feeding, and/or persistent pulmonary hypertension of the newborn (PPHN) [ see Use in

Specific Populations (8.1)].

Advise women that there is a pregnancy exposure registry that monitors pregnancy outcomes in women exposed to fluoxetine during pregnancy [ see Use in Specific Populations (8.1)].

Lactation—Advise breastfeeding women using fluoxetine to monitor infants for agitation, irritability, poor feeding and poor weight gain and to seek medical care if they notice these signs [ see Use in Specific Populations (8.2)].

Pediatric Use of fluoxetine— Fluoxetine is approved for use in pediatric patients with MDD and OCD [see Box Warning and Warnings and Precautions (5.1)].Limited evidence is available concerning the longer-term effects of fluoxetine on the development and maturation of children and adolescent patients. Height and weight should be monitored periodically in pediatric patients receiving fluoxetine [ see Warnings and Precautions (5.6) and Use in Specific Populations (8.4)].

Pediatric Use of fluoxetine and olanzapine in combination- Safety and efficacy of fluoxetine and olanzapine in combination in patients 10 to 17 years of age have been established for the acute treatment of depressive episodes associated with Bipolar I Disorder [ see Warnings and Precautions (5.16) and Use in Specific Populations (8.4)].

Brands listed are the trademarks of their respective owners.

Dispense with Medication Guide available at: www.tevausa.com/medguides

Manufactured In Czech Republic By:

Teva Czech Industries, s .r.o.

Opava-Komarov, Czech Republic

Manufactured For:

Teva Pharmaceuticals

Parsippany, NJ 07054

Distributed by:

Wal-Mart

Bentonville, AR 72716

Packaged by:

Legacy Pharmaceutical Packaging LLC

Earth City, MO 63045

Rev. P 8/2023

5.15 Discontinuation of Treatment

During marketing of fluoxetine, SNRIs, and SSRIs, there have been spontaneous reports of adverse reactions occurring upon discontinuation of these drugs, particularly when abrupt, including the following: dysphoric mood, irritability, agitation, dizziness, sensory disturbances (e.g., paresthesias such as electric shock sensations), anxiety, confusion, headache, lethargy, emotional lability, insomnia, and hypomania. While these reactions are generally self-limiting, there have been reports of serious discontinuation symptoms. Patients should be monitored for these symptoms when discontinuing treatment with fluoxetine. A gradual reduction in the dose rather than abrupt cessation is recommended whenever possible. If intolerable symptoms occur following a decrease in the dose or upon discontinuation of treatment, then resuming the previously prescribed dose may be considered. Subsequently, the healthcare provider may continue decreasing the dose but at a more gradual rate. Plasma fluoxetine and norfluoxetine concentration decrease gradually at the conclusion of therapy which may minimize the risk of discontinuation symptoms with this drug.

14.2 Obsessive Compulsive Disorder

Adult— The effectiveness of fluoxetine for the treatment of Obsessive Compulsive Disorder (OCD) was demonstrated in two 13 week, multicenter, parallel group studies (Studies 1 and 2) of adult outpatients who received fixed fluoxetine doses of 20, 40, or 60 mg/day (on a once-a-day schedule, in the morning) or placebo. Patients in both studies had moderate to severe OCD (DSM-III-R), with mean baseline ratings on the Yale-Brown Obsessive Compulsive Scale (YBOCS, total score) ranging from 22 to 26. In Study 1, patients receiving fluoxetine experienced mean reductions of approximately 4 to 6 units on the YBOCS total score, compared with a 1 unit reduction for placebo patients. In Study 2, patients receiving fluoxetine experienced mean reductions of approximately 4 to 9 units on the YBOCS total score, compared with a 1 unit reduction for placebo patients. While there was no indication of a dose-response relationship for effectiveness in Study 1, a dose-response relationship was observed in Study 2, with numerically better responses in the 2 higher dose groups. The following table provides the outcome classification by treatment group on the Clinical Global Impression (CGI) improvement scale for Studies 1 and 2 combined:

Table 6: Outcome Classification (%) on CGI Improvement Scale for Completers in Pool of Two OCD Studies
    Fluoxetine
 Outcome Classification  Placebo  20 mg  40 mg  60 mg
 Worse  8%  0%  0%  0%
 No change  64%  41%  33%  29%
 Minimally improved  17%  23%  28%  24%
 Much improved  8%  28%  27%  28%
 Very much improved  3%  8%  12%  19%

Exploratory analyses for age and gender effects on outcome did not suggest any differential responsiveness on the basis of age or sex.

Pediatric (children and adolescents)— In one 13 week clinical trial in pediatric patients (N = 103 randomized; 75 children ages 7 to < 13, 28 adolescents ages 13 to < 18) with OCD (DSM-IV), patients received fluoxetine 10 mg/day for 2 weeks, followed by 20 mg/day for 2 weeks. The dose was then adjusted in the range of 20 to 60 mg/day on the basis of clinical response and tolerability. Fluoxetine produced a statistically significantly greater mean change from baseline to endpoint than did placebo as measured by the Children’s Yale-Brown Obsessive Compulsive Scale (CY-BOCS).

Subgroup analyses on outcome did not suggest any differential responsiveness on the basis of age or gender.

2.7 Dosing in Specific Populations

Geriatric— Consider a lower or less frequent dosage for the elderly [see Use in Specific Populations (8.5)].

Hepatic Impairment— As with many other medications, use a lower or less frequent dosage in patients with hepatic impairment [see Clinical Pharmacology (12.4) and Use in Specific Populations (8.6)].

Concomitant Illness— Patients with concurrent disease or on multiple concomitant medications may require dosage adjustments [see Clinical Pharmacology (12.4) and Warnings and Precautions (5.12)].

Fluoxetine and Olanzapine in Combination— Use a starting dose of oral olanzapine 2.5 to 5 mg with fluoxetine 20 mg for patients with a predisposition to hypotensive reactions, patients with hepatic impairment, or patients who exhibit a combination of factors that may slow the metabolism of olanzapine or fluoxetine in combination (female gender, geriatric age, non-smoking status), or those patients who may be pharmacodynamically sensitive to olanzapine. Titrate slowly and adjust dosage as needed in patients who exhibit a combination of factors that may slow metabolism. Fluoxetine and olanzapine in combination have not been systematically studied in patients over 65 years of age or in patients less than 10 years of age [see Warnings and Precautions (5.16) and Drug Interactions (7.7)].

7.5 Electroconvulsive Therapy (ect)

There are no clinical studies establishing the benefit of the combined use of ECT and fluoxetine. There have been rare reports of prolonged seizures in patients on fluoxetine receiving ECT treatment.

7.8 Drugs That Prolong the Qt Interval

Do not use fluoxetine in combination with thioridazine or pimozide. Use fluoxetine with caution in combination with other drugs that cause QT prolongation. These include: specific antipsychotics (e.g., ziprasidone, iloperidone, chlorpromazine, mesoridazine, droperidol); specific antibiotics (e.g., erythromycin, gatifloxacin, moxifloxacin, sparfloxacin); Class 1A antiarrhythmic medications (e.g., quinidine, procainamide); Class III antiarrhythmics (e.g., amiodarone, sotalol); and others (e.g., pentamidine, levomethadyl acetate, methadone, halofantrine, mefloquine, dolasetron mesylate, probucol or tacrolimus). Fluoxetine is primarily metabolized by CYP2D6. Concomitant treatment with CYP2D6 inhibitors can increase the concentration of fluoxetine. Concomitant use of other highly protein-bound drugs can increase the concentration of fluoxetine [see Contraindications (4.2 ), Warnings and Precautions (5.11), Drug Interactions (7.7 ), and Clinical Pharmacology (12.3 )].

7.1 Monoamine Oxidase Inhibitors (maoi)

[See Dosage and Administration (2.9 ,2.10 ), Contraindications (4.1 ), and Warnings and Precautions (5.2 )].

4.1 Monoamine Oxidase Inhibitors (maois)

The use of MAOIs intended to treat psychiatric disorders with fluoxetine or within 5 weeks of stopping treatment with fluoxetine is contraindicated because of an increased risk of serotonin syndrome. The use of fluoxetine within 14 days of stopping an MAOI intended to treat psychiatric disorders is also contraindicated [ see Dosage and Administration(2.9) and Warnings and Precautions(5.2)].

Starting fluoxetine in a patient who is being treated with MAOIs such as linezolid or intravenous methylene blue is also contraindicated because of an increased risk of serotonin syndrome [ see Dosage and Administration(2.10) and Warnings and Precautions(5.2)].

13.2 Animal Toxicology And/or Pharmacology

Phospholipids are increased in some tissues of mice, rats, and dogs given fluoxetine chronically. This effect is reversible after cessation of fluoxetine treatment. Phospholipid accumulation in animals has been observed with many cationic amphiphilic drugs, including fenfluramine, imipramine, and ranitidine. The significance of this effect in humans is unknown.

5.12 Use in Patients With Concomitant Illness

Clinical experience with fluoxetine in patients with concomitant systemic illness is limited. Caution is advisable in using fluoxetine in patients with diseases or conditions that could affect metabolism or hemodynamic responses.

Cardiovascular— Fluoxetine has not been evaluated or used to any appreciable extent in patients with a recent history of myocardial infarction or unstable heart disease. Patients with these diagnoses were systematically excluded from clinical studies during the product’s premarket testing. However, the electrocardiograms of 312 patients who received fluoxetine in double-blind trials were retrospectively evaluated; no conduction abnormalities that resulted in heart block were observed. The mean heart rate was reduced by approximately 3 beats/min.

Glycemic Control— In patients with diabetes, fluoxetine may alter glycemic control. Hypoglycemia has occurred during therapy with fluoxetine, and hyperglycemia has developed following discontinuation of the drug. As is true with many other types of medication when taken concurrently by patients with diabetes, insulin and/or oral hypoglycemic, dosage may need to be adjusted when therapy with fluoxetine is instituted or discontinued.

5.16 Fluoxetine and Olanzapine in Combination

When using fluoxetine and olanzapine in combination, also refer to the Warnings and Precautions section of the package insert for Symbyax®.

5.13 Potential for Cognitive and Motor Impairment

As with any CNS-active drug, fluoxetine has the potential to impair judgment, thinking, or motor skills. Patients should be cautioned about operating hazardous machinery, including automobiles, until they are reasonably certain that the drug treatment does not affect them adversely.

7.6 Potential for Other Drugs to Affect Fluoxetine

Drugs Tightly Bound to Plasma Proteins– Because fluoxetine is tightly bound to plasma proteins, adverse effects may result from displacement of protein-bound fluoxetine by other tightly-bound drugs [ see Clinical Pharmacology ( 12.3) ] .

7.7 Potential for Fluoxetine to Affect Other Drugs

Pimozide– Concomitant use in patients taking pimozide is contraindicated. Pimozide can prolong the QT interval. Fluoxetine can increase the level of pimozide through inhibition of CYP2D6. Fluoxetine can also prolong the QT interval. Clinical studies of pimozide with other antidepressants demonstrate an increase in drug interaction or QT prolongation. While a specific study with pimozide and fluoxetine has not been conducted, the potential for drug interactions or QT prolongation warrants restricting the concurrent use of pimozide and fluoxetine [see Contraindications ( 4.2), Warnings and Precautions (5.11), and Drug Interactions (7.8)].

Thioridazine– Thioridazine should not be administered with fluoxetine or within a minimum of 5 weeks after fluoxetine has been discontinued, because of the risk of QT Prolongation [ see Contraindications ( 4.2), Warnings and Precautions (5.11), and Drug Interactions (7.8)] .

In a study of 19 healthy male subjects, which included 6 slow and 13 rapid hydroxylators of debrisoquin, a single 25 mg oral dose of thioridazine produced a 2.4 fold higher C maxand a 4.5 fold higher AUC for thioridazine in the slow hydroxylators compared with the rapid hydroxylators. The rate of debrisoquin hydroxylation is felt to depend on the level of CYP2D6 isozyme activity. Thus, this study suggests that drugs which inhibit CYP2D6, such as certain SSRIs, including fluoxetine, will produce elevated plasma levels of thioridazine.

Thioridazine administration produces a dose-related prolongation of the QT interval, which is associated with serious ventricular arrhythmias, such as Torsade de pointes-type arrhythmias, and sudden death. This risk is expected to increase with fluoxetine-induced inhibition of thioridazine metabolism.

Drugs Metabolized by CYP2D6— Fluoxetine inhibits the activity of CYP2D6, and may make individuals with normal CYP2D6 metabolic activity resemble a poor metabolizer. Coadministration of fluoxetine with other drugs that are metabolized by CYP2D6, including certain antidepressants (e.g., TCAs), antipsychotics (e.g., phenothiazines and most atypicals), and antiarrhythmics (e.g., propafenone, flecainide, and others) should be approached with caution. Therapy with medications that are predominantly metabolized by the CYP2D6 system and that have a relatively narrow therapeutic index (see list below) should be initiated at the low end of the dose range if a patient is receiving fluoxetine concurrently or has taken it in the previous 5 weeks. Thus, his/her dosing requirements resemble those of poor metabolizers. If fluoxetine is added to the treatment regimen of a patient already receiving a drug metabolized by CYP2D6, the need for decreased dose of the original medication should be considered. Drugs with a narrow therapeutic index represent the greatest concern (e.g., flecainide, propafenone, vinblastine, and TCAs). Due to the risk of serious ventricular arrhythmias and sudden death potentially associated with elevated plasma levels of thioridazine, thioridazine should not be administered with fluoxetine or within a minimum of 5 weeks after fluoxetine has been discontinued [ see Contraindications ( 4.2) ] .

Tricyclic Antidepressants (TCAs)— In 2 studies, previously stable plasma levels of imipramine and desipramine have increased greater than 2 to 10 fold when fluoxetine has been administered in combination. This influence may persist for 3 weeks or longer after fluoxetine is discontinued. Thus, the dose of TCAs may need to be reduced and plasma TCA concentrations may need to be monitored temporarily when fluoxetine is coadministered or has been recently discontinued [see Warnings and Precautions (5.2) and Clinical Pharmacology( 12.3)] .

Benzodiazepines— The half-life of concurrently administered diazepam may be prolonged in some patients [ see Clinical Pharmacology ( 12.3 )] .Coadministration of alprazolam and fluoxetine has resulted in increased alprazolam plasma concentrations and in further psychomotor performance decrement due to increased alprazolam levels.

Antipsychotics— Some clinical data suggests a possible pharmacodynamic and/or pharmacokinetic interaction between SSRIs and antipsychotics. Elevation of blood levels of haloperidol and clozapine has been observed in patients receiving concomitant fluoxetine .

Anticonvulsants— Patients on stable doses of phenytoin and carbamazepine have developed elevated plasma anticonvulsant concentrations and clinical anticonvulsant toxicity following initiation of concomitant fluoxetine treatment.

Lithium— There have been reports of both increased and decreased lithium levels when lithium was used concomitantly with fluoxetine. Cases of lithium toxicity and increased serotonergic effects have been reported. Lithium levels should be monitored when these drugs are administered concomitantly [ See Warnings and Precautions (5.2)].

Drugs Tightly Bound to Plasma Proteins— Because fluoxetine is tightly bound to plasma proteins, the administration of fluoxetine to a patient taking another drug that is tightly bound to protein (e.g., Coumadin ®, digitoxin) may cause a shift in plasma concentrations potentially resulting in an adverse effect [ see Clinical Pharmacology ( 12.3) ].

Drugs Metabolized by CYP3A4— In an in vivointeraction study involving coadministration of fluoxetine with single doses of terfenadine (a CYP3A4 substrate), no increase in plasma terfenadine concentrations occurred with concomitant fluoxetine.

Additionally, in vitrostudies have shown ketoconazole, a potent inhibitor of CYP3A4 activity, to be at least 100 times more potent than fluoxetine or norfluoxetine as an inhibitor of the metabolism of several substrates for this enzyme, including astemizole, cisapride, and midazolam. These data indicate that fluoxetine’s extent of inhibition of CYP3A4 activity is not likely to be of clinical significance.

Olanzapine— Fluoxetine (60 mg single dose or 60 mg daily dose for 8 days) causes a small (mean 16%) increase in the maximum concentration of olanzapine and a small (mean 16%) decrease in olanzapine clearance. The magnitude of the impact of this factor is small in comparison to the overall variability between individuals, and therefore dose modification is not routinely recommended.

When using fluoxetine and olanzapine and in combination, also refer to the Drug Interactions section of the package insert for Symbyax®.

13.1 Carcinogenesis, Mutagenesis, Impairment of Fertility

Carcinogenicity— The dietary administration of fluoxetine to rats and mice for 2 years at doses of up to 10 and 12 mg/kg/day, respectively [approximately 2.4 and 1.44 times, respectively, the maximum recommended human dose (MRHD) of 20 mg given to children on a mg/m 2basis], produced no evidence of carcinogenicity.

Mutagenicity— Fluoxetine and norfluoxetine have been shown to have no genotoxic effects based on the following assays: bacterial mutation assay, DNA repair assay in cultured rat hepatocytes, mouse lymphoma assay, and in vivosister chromatid exchange assay in Chinese hamster bone marrow cells.

Impairment of Fertility— Two fertility studies conducted in adult rats at doses of up to 7.5 and 12.5 mg/kg/day (approximately 0.97 and 1.6 times, respectively, the MRHD of 60 mg given to adolescents on a mg/m 2basis) indicated that fluoxetine had no adverse effects on fertility. However, adverse effects on fertility were seen when juvenile rats were treated with fluoxetine [ see Use in Specific Populations ( 8.4) ] .

7.4 Drugs That Interfere With Hemostasis (e.g., Nsaids, Aspirin, Warfarin)

Serotonin release by platelets plays an important role in hemostasis. Epidemiological studies of the case-control and cohort design that have demonstrated an association between use of psychotropic drugs that interfere with serotonin reuptake and the occurrence of upper gastrointestinal bleeding have also shown that concurrent use of an NSAID or aspirin may potentiate this risk of bleeding. Altered anticoagulant effects, including increased bleeding, have been reported when SNRIs or SSRIs are coadministered with warfarin. Patients receiving warfarin therapy should be carefully monitored when fluoxetine is initiated or discontinued [ see Warnings and Precautions ( 5.7) ] .

2.10 Use of Fluoxetine With Other Maois Such As Linezolid Or Methylene Blue

Do not start fluoxetine in a patient who is being treated with linezolid or intravenous methylene blue because there is an increased risk of serotonin syndrome. In a patient who requires more urgent treatment of a psychiatric condition, other interventions, including hospitalization, should be considered [see Contraindications (4.1 )].

In some cases, a patient already receiving fluoxetine therapy may require urgent treatment with linezolid or intravenous methylene blue. If acceptable alternatives to linezolid or intravenous methylene blue treatment are not available and the potential benefits of linezolid or intravenous methylene blue treatment are judged to outweigh the risks of serotonin syndrome in a particular patient, fluoxetine should be stopped promptly, and linezolid or intravenous methylene blue can be administered. The patient should be monitored for symptoms of serotonin syndrome for five weeks or until 24 hours after the last dose of linezolid or intravenous methylene blue, whichever comes first. Therapy with fluoxetine may be resumed 24 hours after the last dose of linezolid or intravenous methylene blue [see Warnings and Precautions (5.2 )].

The risk of administering methylene blue by non-intravenous routes (such as oral tablets or by local injection) or in intravenous doses much lower than 1 mg/kg with fluoxetine is unclear. The healthcare provider should, nevertheless, be aware of the possibility of emergent symptoms of serotonin syndrome with such use [see Warnings and Precautions (5.2 )].

2.6 Fluoxetine and Olanzapine in Combination: Treatment Resistant Depression

When using fluoxetine and olanzapine in combination, also refer to the Clinical Studies section of the package insert for Symbyax®.

Administer fluoxetine in combination with oral olanzapine once daily in the evening, without regard to meals, generally beginning with 5 mg of oral olanzapine and 20 mg of fluoxetine. Adjust dosage, if indicated, according to efficacy and tolerability within dose ranges of fluoxetine 20 to 50 mg and oral olanzapine 5 to 20 mg. Antidepressant efficacy was demonstrated with olanzapine and fluoxetine in combination with a dose range of olanzapine 6 to 18 mg and fluoxetine 25 to 50 mg.

Safety and efficacy of fluoxetine in combination with olanzapine was determined in clinical trials supporting approval of Symbyax (fixed dose combination of olanzapine and fluoxetine). Symbyax is dosed between 3 mg/25 mg (olanzapine/fluoxetine) per day and 12 mg/50 mg (olanzapine/fluoxetine) per day. Table 1 demonstrates the appropriate individual component doses of fluoxetine and olanzapine versus Symbyax. Adjust dosage, if indicated, with the individual components according to efficacy and tolerability.

Periodically re-examine the need for continued pharmacotherapy. Safety of coadministration of doses above 18 mg olanzapine with 75 mg fluoxetine has not been evaluated in clinical studies.

Fluoxetine monotherapy is not indicated for the treatment of treatment resistant depression (Major Depressive Disorder in patients who do not respond to 2 antidepressants of adequate dose and duration in the current episode).

5.1 Suicidal Thoughts and Behaviors in Children, Adolescents, and Young Adults

Patients with Major Depressive Disorder (MDD), both adult and pediatric, may experience worsening of their depression and/or the emergence of suicidal ideation and behavior (suicidality) or unusual changes in behavior, whether or not they are taking antidepressant medications, and this risk may persist until significant remission occurs. Suicide is a known risk of depression and certain other psychiatric disorders, and these disorders themselves are the strongest predictors of suicide. There has been a long-standing concern, however, that antidepressants may have a role in inducing worsening of depression and the emergence of suicidality in certain patients during the early phases of treatment. Pooled analyses of short-term placebo-controlled trials of antidepressant drugs (SSRIs and others) showed that these drugs increase the risk of suicidal thinking and behavior (suicidality) in children, adolescents, and young adults (ages 18 to 24) with Major Depressive Disorder (MDD) and other psychiatric disorders. Short-term studies did not show an increase in the risk of suicidality with antidepressants compared to placebo in adults beyond age 24; there was a reduction with antidepressants compared to placebo in adults aged 65 and older.

The pooled analyses of placebo-controlled trials in children and adolescents with MDD, Obsessive Compulsive Disorder (OCD), or other psychiatric disorders included a total of 24 short-term trials of 9 antidepressant drugs in over 4400 patients. The pooled analyses of placebo-controlled trials in adults with MDD or other psychiatric disorders included a total of 295 short-term trials (median duration of 2 months) of 11 antidepressant drugs in over 77,000 patients. There was considerable variation in risk of suicidality among drugs, but a tendency toward an increase in the younger patients for almost all drugs studied. There were differences in absolute risk of suicidality across the different indications, with the highest incidence in MDD. The risk differences (drug versus placebo), however, were relatively stable within age strata and across indications. These risk differences (drug-placebo difference in the number of cases of suicidality per 1000 patients treated) are provided in Table 2.

Table 2: Suicidality per 1000 Patients Treated
Age Range Drug-Placebo Difference in Number of Cases of Suicidality per 1000 Patients Treated
Increases Compared to Placebo
< 18 14 additional cases
18 to 24 5 additional cases
Decreases Compared to Placebo
25 to 64 1 fewer case
≥ 65 6 fewer cases

No suicides occurred in any of the pediatric trials. There were suicides in the adult trials, but the number was not sufficient to reach any conclusion about drug effect on suicide.

It is unknown whether the suicidality risk extends to longer-term use, i.e., beyond several months. However, there is substantial evidence from placebo-controlled maintenance trials in adults with depression that the use of antidepressants can delay the recurrence of depression.

All patients being treated with antidepressants for any indication should be monitored appropriately and observed closely for clinical worsening, suicidality, and unusual changes in behavior, especially during the initial few months of a course of drug therapy, or at times of dose changes, either increases or decreases.

The following symptoms, anxiety, agitation, panic attacks, insomnia, irritability, hostility, aggressiveness, impulsivity, akathisia (psychomotor restlessness), hypomania, and mania, have been reported in adult and pediatric patients being treated with antidepressants for Major Depressive Disorder as well as for other indications, both psychiatric and nonpsychiatric. Although a causal link between the emergence of such symptoms and either the worsening of depression and/or the emergence of suicidal impulses has not been established, there is concern that such symptoms may represent precursors to emerging suicidality.

Consideration should be given to changing the therapeutic regimen, including possibly discontinuing the medication, in patients whose depression is persistently worse, or who are experiencing emergent suicidality or symptoms that might be precursors to worsening depression or suicidality, especially if these symptoms are severe, abrupt in onset, or were not part of the patient’s presenting symptoms.

If the decision has been made to discontinue treatment, medication should be tapered, as rapidly as is feasible, but with recognition that abrupt discontinuation can be associated with certain symptoms [ see Warnings and Precautions ( 5.15) ] .

Families and caregivers of patients being treated with antidepressants for Major Depressive Disorder or other indications, both psychiatric and nonpsychiatric, should be alerted about the need to monitor patients for the emergence of agitation, irritability, unusual changes in behavior, and the other symptoms described above, as well as the emergence of suicidality, and to report such symptoms immediately to healthcare providers. Such monitoring should include daily observation by families and caregivers.Prescriptions for fluoxetine capsules should be written for the smallest quantity of capsules consistent with good patient management, in order to reduce the risk of overdose.

It should be noted that fluoxetine is approved in the pediatric population only for Major Depressive Disorder and Obsessive Compulsive Disorder; and fluoxetine in combination with olanzapine for the acute treatment of depressive episodes associated with Bipolar I Disorder.

5.4 Screening Patients for Bipolar Disorder and Monitoring for Mania/hypomania

A major depressive episode may be the initial presentation of Bipolar Disorder. It is generally believed (though not established in controlled trials) that treating such an episode with an antidepressant alone may increase the likelihood of precipitation of a mixed/manic episode in patients at risk for Bipolar Disorder. Whether any of the symptoms described for clinical worsening and suicide risk represent such a conversion is unknown. However, prior to initiating treatment with an antidepressant, patients with depressive symptoms should be adequately screened to determine if they are at risk for Bipolar Disorder; such screening should include a detailed psychiatric history, including a family history of suicide, Bipolar Disorder, and depression. It should be noted that fluoxetine and olanzapine in combination is approved for the acute treatment of depressive episodes associated with Bipolar I Disorder [ see Warnings and Precautions section of the package insert for Symbyax]. Fluoxetine monotherapy is not indicated for the treatment of depressive episodes associated with Bipolar I Disorder.

In U.S. placebo-controlled clinical trials for Major Depressive Disorder, mania/hypomania was reported in 0.1% of patients treated with fluoxetine and 0.1% of patients treated with placebo. Activation of mania/hypomania has also been reported in a small proportion of patients with Major Affective Disorder treated with other marketed drugs effective in the treatment of Major Depressive Disorder  [ see Use in Specific Populations ( 8.4) ] .

In U.S. placebo-controlled clinical trials for OCD, mania/hypomania was reported in 0.8% of patients treated with fluoxetine and no patients treated with placebo. No patients reported mania/hypomania in U.S. placebo-controlled clinical trials for bulimia. In all U.S. fluoxetine clinical trials, 0.7% of 10,782 patients reported mania/hypomania [ see Use in Specific Populations ( 8.4) ] .

2.5 Fluoxetine and Olanzapine in Combination: Depressive Episodes Associated With Bipolar I Disorder

When using fluoxetine and olanzapine in combination, also refer to the Clinical Studies section of the package insert for Symbyax®.

Adult— Administer fluoxetine in combination with oral olanzapine once daily in the evening, without regard to meals, generally beginning with 5 mg of oral olanzapine and 20 mg of fluoxetine. Make dosage adjustments, if indicated, according to efficacy and tolerability within dose ranges of fluoxetine 20 to 50 mg and oral olanzapine 5 to 12.5 mg. Antidepressant efficacy was demonstrated with olanzapine and fluoxetine in combination with a dose range of olanzapine 6 to 12 mg and fluoxetine 25 to 50 mg. Safety of co-administration of doses above 18 mg olanzapine with 75 mg fluoxetine has not been evaluated in clinical studies. Periodically re-examine the need for continue pharmacotherapy.

Children and adolescents (10 to 17 years of age)— Administer olanzapine and fluoxetine combination once daily in the evening, generally beginning with 2.5 mg of olanzapine and 20 mg of fluoxetine. Make dosage adjustments, if indicated, according to efficacy and tolerability. Safety of co-administration of doses above 12 mg of olanzapine with 50 mg of fluoxetine has not been evaluated in pediatric clinical studies. Periodically re-examine the need for continued pharmacotherapy.

Safety and efficacy of fluoxetine in combination with olanzapine was determined in clinical trials supporting approval of Symbyax® (fixed-dose combination of olanzapine and fluoxetine). Symbyax® is dosed between 3 mg/25 mg (olanzapine/fluoxetine) per day and 12 mg/50 mg (olanzapine/fluoxetine) per day. The following table demonstrates the appropriate individual component doses of fluoxetine and olanzapine versus Symbyax®. Adjust dosage, if indicated, with the individual components according to efficacy and tolerability.

Table 1: Approximate Dose Correspondence Between Symbyax 1and the Combination of Fluoxetine and Olanzapine
For Symbyax (mg/day) Use in Combination
Olanzapine (mg/day) Fluoxetine (mg/day)
3 mg olanzapine/25 mg fluoxetine 2.5 20
6 mg olanzapine/25 mg fluoxetine 5 20
12 mg olanzapine/25 mg fluoxetine 10 + 2.5 20
6 mg olanzapine/50 mg fluoxetine 5 40 + 10
12 mg olanzapine/50 mg fluoxetine 10 + 2.5 40 + 10

1Symbyax (olanzapine/fluoxetine HCL) is a fixed-dose combination of fluoxetine and olanzapine.

Fluoxetine monotherapy is not indicated for the treatment of depressive episodes associated with Bipolar I Disorder.

2.9 Switching A Patient to Or From A Monoamine Oxidase Inhibitor (maoi) Intended to Treat Psychiatric Disorders

At least 14 days should elapse between discontinuation of an MAOI intended to treat psychiatric disorders and initiation of therapy with fluoxetine. Conversely, at least 5 weeks should be allowed after stopping fluoxetine before starting an MAOI intended to treat psychiatric disorders [see Contraindications (4.1 )].


Structured Label Content

5.5 Seizures

In U.S. placebo-controlled clinical trials for Major Depressive Disorder, convulsions (or reactions described as possibly having been seizures) were reported in 0.1% of patients treated with fluoxetine and 0.2% of patients treated with placebo. No patients reported convulsions in U.S. placebo-controlled clinical trials for either OCD or bulimia. In all U.S. fluoxetine clinical trials, 0.2% of 10,782 patients reported convulsions. The percentage appears to be similar to that associated with other marketed drugs effective in the treatment of Major Depressive Disorder. Fluoxetine should be introduced with care in patients with a history of seizures.

10 Overdosage (10 OVERDOSAGE)

The following have been reported with fluoxetine overdosage:

  • Seizures, which may be delayed, and altered mental status including coma.
  • Cardiovascular toxicity, which may be delayed, including QRS and QTc interval prolongation, wide complex tachyarrhythmias, torsade de pointes, and cardiac arrest. Hypertension most commonly seen, but rarely can see hypotension alone or with co-ingestants including alcohol.
  • Serotonin syndrome (patients with a multiple drug overdosage with other pro-serotonergic drugs may have a higher risk).

Gastrointestinal decontamination with activated charcoal should be considered in patients who present early after a fluoxetine overdose.

Consider contacting a Poison Center (1-800-221-2222) or a medical toxicologist for additional overdosage management recommendations.

8.1 Pregnancy

Pregnancy Exposure Registry

There is a pregnancy exposure registry that monitors pregnancy outcomes in women exposed to antidepressants during pregnancy. Healthcare providers are encouraged to register patients by calling the National Pregnancy Registry for Antidepressants at 1-844-405-6185 or visiting online at https://womensmentalhealth.org/clinical-and-researchprograms/pregnancyregistry/antidepressants/.

Risk Summary

Based on data from published observational studies, exposure to SSRIs, particularly in the month before delivery, has been associated with a less than 2-fold increase in the risk of postpartum hemorrhage [see Warnings and Precautions (5.7) and Clinical Considerations].

Available data from published epidemiologic studies and postmarketing reports over several decades have not established an increased risk of major birth defects or miscarriage. Some studies have reported an increased incidence of cardiovascular malformations; however, these studies results do not establish a causal relationship ( see Data). There are risks associated with untreated depression in pregnancy and risks of persistent pulmonary hypertension of the newborn (PPHN) (see Data) and poor neonatal adaptation with exposure to selective serotonin reuptake inhibitors (SSRIs), including fluoxetine, during pregnancy ( see Clinical Considerations).

In rats and rabbits treated with fluoxetine during the period of organogenesis, there was no evidence of developmental effects at doses up to 1.6 and 3.9 times, respectively, the maximum recommended human dose (MRHD) of 60 mg/day given to adolescents on a mg/m 2basis. However, in other reproductive studies in rats, an increase in stillborn pups, a decrease in pup weight, and an increase in pup deaths early after birth occurred at doses that are 1.5 times (during gestation) and 0.97 time (during gestation and lactation) the MRHD given to adolescents on a mg/m 2basis.

The estimated background risk of major birth defects and miscarriage for the indicated population is unknown. All pregnancies have a background risk of birth defect, loss, or other adverse outcomes. In the US general population, the estimated background risk of major birth defects and miscarriage in clinically recognized pregnancies is 2 to 4% and 15 to 20%, respectively.

Clinical Considerations

Disease-associated maternal and/or embryo/fetal risk

Women who discontinue antidepressants during pregnancy are more likely to experience a relapse of major depression than women who continue antidepressants. This finding is from a prospective, longitudinal study that followed 201 pregnant women with a history of major depressive disorder who were euthymic and taking antidepressants at the beginning of pregnancy. Consider the risk of untreated depression when discontinuing or changing treatment with antidepressant medication during pregnancy and postpartum.

Fetal/Neonatal adverse reactions

Neonates exposed to fluoxetine and other SSRI or SNRIs late in the third trimester have developed complications requiring prolonged hospitalization, respiratory support, and tube feeding. Such complications can arise immediately upon delivery. Reported clinical findings have included respiratory distress, cyanosis, apnea, seizures, temperature instability, feeding difficulty, vomiting, hypoglycemia, hypotonia, hypertonia, hyperreflexia, tremors, jitteriness, irritability, and constant crying. These findings are consistent with either a direct toxic effect of SSRIs and SNRIs or possibly a drug discontinuation syndrome. It should be noted that, in some cases, the clinical picture is consistent with serotonin syndrome [ see Warnings and Precautions (5.2)].

Data

Human Data
— It has been shown that SSRIs (including fluoxetine) can cross the placenta. Published epidemiological studies of pregnant women exposed to fluoxetine have not established an increased risk of major birth defects, miscarriage, and other adverse developmental outcomes. Several publications reported an increased incidence of cardiovascular malformations in children with in utero exposure to fluoxetine. However, these studies results do not establish a causal relationship.

Methodologic limitations of these observational studies include possible exposure and outcome misclassification, lack of adequate controls, adjustment for confounders and confirmatory studies. However, these studies cannot definitely establish or exclude any drug-associated risk during pregnancy.

Exposure to SSRIs, particularly later in pregnancy, may have an increased risk for PPHN. PPHN occurs in 1 to 2 per 1,000 live births in the general population and is associated with substantial neonatal morbidity and mortality.

Animal Data— In embryofetal development studies in rats and rabbits, there was no evidence of malformations or developmental variations following administration of fluoxetine at doses up to 12.5 and 15 mg/kg/day, respectively (1.6 and 3.9 times, respectively, the MRHD of 60 mg given to adolescents on a mg/m 2basis) throughout organogenesis. However, in rat reproduction studies, an increase in stillborn pups, a decrease in pup weight, and an increase in pup deaths during the first 7 days postpartum occurred following maternal exposure to 12 mg/kg/day (1.5 times the MRHD given to adolescents on a mg/m2 basis) during gestation or 7.5 mg/kg/day (0.97 time the MRHD given to adolescents on a mg/m 2basis) during gestation and lactation. There was no evidence of developmental neurotoxicity in the surviving offspring of rats treated with 12 mg/kg/day during gestation. The no- effect dose for rat pup mortality was 5 mg/kg/day (0.65 time the MRHD given to adolescents on a mg/m 2basis).

8.2 Lactation

Risk Summary

Data from published literature report the presence of fluoxetine and norfluoxetine in human milk ( see Data). There are reports of agitation, irritability, poor feeding, and poor weight gain in infants exposed to fluoxetine through breast milk ( see Clinical Considerations). There are no data on the effect of fluoxetine or its metabolites on milk production. The developmental and health benefits of breastfeeding should be considered along with the mother’s clinical need for fluoxetine and any potential adverse effects on the breastfed child from fluoxetine or the underlying maternal condition.

Clinical Considerations

Infants exposed to fluoxetine should be monitored for agitation, irritability, poor feeding, and poor weight gain.

Data

A study of 19 nursing mothers on fluoxetine with daily doses of 10-60 mg showed that fluoxetine was detectable in 30% of nursing infant sera (range: 1 to 84 ng/mL) whereas norfluoxetine was found in 85% (range: <1 to 265 ng/mL).

Boxed Warning (BOXED WARNING)

WARNING: SUICIDAL THOUGHTS AND BEHAVIORS

  • Antidepressants increased the risk of suicidal thoughts and behavior in children, adolescents, and young adults in short-term studies. These studies did not show an increase in the risk of suicidal thoughts and behavior with antidepressant use in patients over age 24; there was a reduction in risk with antidepressant use in patients aged 65 and older [see Warnings and Precautions (5.1)].
  • In patients of all ages who are started on antidepressant therapy, monitor closely for worsening and for emergence of suicidal thoughts and behaviors. Advise families and caregivers of the need for close observation and communication with the prescriber [see Warnings and Precautions (5.1)].
  • Fluoxetine is not approved for use in children less than 7 years of age [see Warnings and Precautions (5.1) and Use in Specific Populations (8.4)].

When using fluoxetine and olanzapine in combination, also refer to Boxed Warning section of the package insert for Symbyax®.

11 Description (11 DESCRIPTION)

Fluoxetine Capsules, are a selective serotonin reuptake inhibitor for oral administration. They are also marketed for the treatment of premenstrual dysphoric disorder (Sarafem ®, fluoxetine hydrochloride). It is designated (±)-N-methyl-3-phenyl-3-[(α,α,α-trifluoro- p-tolyl)oxy]propylamine hydrochloride and has the following structural formula:

C 17H 18F 3NO•HCl M.W. 345.79

Fluoxetine hydrochloride, USP is a white to off-white crystalline solid with a solubility of 14 mg/mL in water.

Each capsule contains fluoxetine hydrochloride, USP equivalent to 10 mg (32.3 µmol) or 20 mg (64.7 µmol) of fluoxetine. In addition, the capsules also contain the following inactive ingredients: ammonium hydroxide, D&C yellow #10 aluminum lake, FD&C blue #1 aluminum lake, gelatin, magnesium stearate, pregelatinized corn starch, propylene glycol, shellac, and titanium dioxide.

9.3 Dependence

Fluoxetine has not been systematically studied, in animals or humans, for its potential for abuse, tolerance, or physical dependence. While the premarketing clinical experience with fluoxetine did not reveal any tendency for a withdrawal syndrome or any drug seeking behavior, these observations were not systematic and it is not possible to predict on the basis of this limited experience the extent to which a CNS active drug will be misused, diverted, and/or abused once marketed. Consequently, healthcare providers should carefully evaluate patients for history of drug abuse and follow such patients closely, observing them for signs of misuse or abuse of fluoxetine (e.g., development of tolerance, incrementation of dose, drug-seeking behavior).

5.9 Hyponatremia

Hyponatremia has been reported during treatment with SNRIs and SSRIs, including fluoxetine. In many cases, this hyponatremia appears to be the result of the syndrome of inappropriate antidiuretic hormone secretion (SIADH). Cases with serum sodium lower than 110 mmol/L have been reported and appeared to be reversible when fluoxetine was discontinued. Elderly patients may be at greater risk of developing hyponatremia with SNRIs and SSRIs. Also, patients taking diuretics or who are otherwise volume depleted may be at greater risk [ see Use in Specific Populations ( 8.5) ] .Discontinuation of fluoxetine should be considered in patients with symptomatic hyponatremia and appropriate medical intervention should be instituted.

Signs and symptoms of hyponatremia include headache, difficulty concentrating, memory impairment, confusion, weakness, and unsteadiness, which may lead to falls. More severe and/or acute cases have been associated with hallucination, syncope, seizure, coma, respiratory arrest, and death.

Medication Guide (MEDICATION GUIDE)

Dispense with Medication Guide available at: www.tevausa.com/medguides

Fluoxetine (floo ox' e teen) Capsules, USP

for oral use

Read the Medication Guide that comes with fluoxetine capsules USP before you start taking them and each time you get a refill. There may be new information. This Medication Guide does not take the place of talking to your healthcare provider about your medical condition or treatment. Talk with your healthcare provider if there is something you do not understand or want to learn more about.

What is the most important information I should know about fluoxetine capsules USP?

Fluoxetine capsules and other antidepressant medicines may cause serious side effects, including:

1. Suicidal thoughts or actions:

  • Fluoxetine capsules and other antidepressant medicines may increase suicidal thoughts or actionsin some children, teenagers, or young adults within the first few months of treatment or when the dose is changed.
  • Depression or other serious mental illnesses are the most important causes of suicidal thoughts or actions.
  • Watch for these changes and call your healthcare provider right away if you notice:
    • New or sudden changes in mood, behavior, actions, thoughts, or feelings, especially if severe.
    • Pay particular attention to such changes when fluoxetine capsules are started or when the dose is changed.

Keep all follow-up visits with your healthcare provider and call between visits if you are worried about symptoms.

Call your healthcare provider right away if you have any of the following symptoms, or call 911 is an emergency, especially if they are new, worse, or worry you:

  • attempts to commit suicide
  • acting on dangerous impulses
  • acting aggressive or violent
  • thoughts about suicide or dying
  • new or worse depression
  • new or worse anxiety or panic attacks
  • feeling agitated, restless, angry or irritable
  • trouble sleeping
  • an increase in activity or talking more than what is normal for you
  • other unusual changes in behavior or mood

Call your healthcare provider right away if you have any of the following symptoms, or call 911 if an emergency. Fluoxetine capsules may be associated with these serious s ide effects:

2. Serotonin Syndrome. This condition can be life-threatening and may include:

  • agitation, hallucinations, coma or other changes in mental status
  • coordination problems or muscle twitching (overactive reflexes)
  • racing heartbeat, high or low blood pressure
  • sweating or fever
  • nausea, vomiting, or diarrhea
  • muscle rigidity
  • dizziness
  • flushing
  • tremor
  • seizures

3. Severe allergic reactions:

  • trouble breathing
  • swelling of the face, tongue, eyes or mouth
  • rash, itchy welts (hives) or blisters, alone or with fever or joint pain

4. Abnormal bleeding:Fluoxetine capsules and other antidepressant medicines may increase your risk of bleeding or bruising, especially if you take the blood thinner warfarin (Coumadin®, Jantoven®), a non-steroidal anti-inflammatory drug (NSAIDs, like ibuprofen or naproxen), or aspirin.

5. Visual problems:

  • eye pain
  • changes in vision
  • swelling or redness in or around the eye

Only some people are at risk for these problems. You may want to undergo an eye examination to see if you are at risk and receive preventative treatment if you are.

6. Seizures or convulsions

7. Manic episodes:

  • greatly increased energy
  • severe trouble sleeping
  • racing thoughts
  • reckless behavior
  • unusually grand ideas
  • excessive happiness or irritability
  • talking more or faster than usual

8. Changes in appetite or weight.Children and adolescents should have height and weight monitored during treatment.

9. Low salt (sodium) levels in the blood.Elderly people may be at greater risk for this. Symptoms may include:

  • headache
  • weakness or feeling unsteady
  • confusion, problems concentrating or thinking or memory problems

10. Changes in the electrical activity of your heart (QT prolongation and ventricular arrhythmia including torsade de pointes ). This condition can be life threatening. The symptoms may include:

  • fast, slow, or irregular heartbeat
  • shortness of breath
  • dizziness or fainting

11. Sexual problems (dysfunction).Taking selective serotonin reuptake inhibitors (SSRIs), including fluoxetine capsules, may cause sexual problems.

  • Symptoms in males may include:
  • Delayed ejaculation or inability to have an ejaculation
  • Decreased sex drive
  • Problems getting or keeping an erection
  • Symptoms in females may include:
  • Decreased sex drive
  • Delayed orgasm or inability to have an orgasm

Talk to your healthcare provider if you develop any changes in your sexual function or if you have any questions or concerns about sexual problems during treatment with fluoxetine capsules. There may be treatments your healthcare provider can suggest.

Do not stop fluoxetine capsules without first talking to your healthcare provider.Stopping fluoxetine capsules too quickly may cause serious symptoms including:

  • anxiety, irritability, high or low mood, feeling restless or changes in sleep habits
  • headache, sweating, nausea, dizziness
  • electric shock-like sensations, shaking, confusion

What are fluoxetine capsules?

Fluoxetine capsules USP are a prescription medicine used to treat depression. It is important to talk with your healthcare provider about the risks of treating depression and also the risks of not treating it. You should discuss all treatment choices with your healthcare provider.

Fluoxetine capsules are used to treat:

  • Major Depressive Disorder (MDD)
  • Obsessive Compulsive Disorder (OCD)
  • Bulimia Nervosa*
  • Panic Disorder*
  • Depressive episodes associated with Bipolar I Disorder, taken with olanzapine (Zyprexa®)*
  • Treatment Resistant Depression (depression that has not gotten better with at least 2 other treatments), taken with olanzapine (Zyprexa)*

* Not approved for use in children

Talk to your healthcare provider if you do not think that your condition is getting better with fluoxetine capsule treatment.

Who should not take fluoxetine capsules?

Do not take fluoxetine capsules if you:

  • are allergic to fluoxetine hydrochloride or any of the ingredients in fluoxetine capsules. See the end of this Medication Guide for a complete list of ingredients in fluoxetine capsules.
  • take a Monoamine Oxidase Inhibitor (MAOI). Ask your healthcare provider or pharmacist if you are not sure if you take an MAOI, including the antibiotic linezolid.
    • Do not take an MAOI within 5 weeks of stopping fluoxetine capsules unless directed to do so by your physician.
    • Do not start fluoxetine capsules if you stopped taking an MAOI in the last 2 weeks unless directed to do so by your physician.

People who take fluoxetine capsules close in time to an MAOI may have serious or even life-threatening side effects. Get medical help right away if you have any of these symptoms:

  • high fever
  • uncontrolled muscle spasms
  • stiff muscles
  • rapid changes in heart rate or blood pressure
  • confusion
  • loss of consciousness (pass out)
  • take Mellaril® (thioridazine). Do not take Mellaril® within 5 weeks of stopping fluoxetine capsules because this can cause serious heart rhythm problems or sudden death.
  • take the antipsychotic medicine pimozide (Orap®) because this can cause serious heart problems.

What should I tell my healthcare provider before taking fluoxetine capsules? Ask if you are not sure

Before starting fluoxetine capsules, tell you healthcare provider if you:

  • Are taking certain drugs or treatments such as:
    • Triptans used to treat migraine headache
    • Medicines used to treat mood, anxiety, psychotic or thought disorders, including tricyclics, lithium, buspirone, SSRIs, SNRIs, MAOIs or antipsychotics
    • Amphetamines
    • Tramadol and fentanyl, meperidine, methadone, or other opioids
    • Over-the-counter supplements such as tryptophan or St. John's Wort
    • Electroconvulsive therapy (ECT
  • have liver problems
  • have kidney problems
  • have heart problems
  • have or had seizures or convulsions
  • have bipolar disorder or mania
  • have low sodium levels in your blood
  • have a history of a stroke
  • have high blood pressure
  • have or had bleeding problems
  • are pregnant or plan to become pregnant. Taking fluoxetine capsules will harm your unborn baby. Talk to your healthcare provider about the benefits and risks of treating depression during pregnancy.
  • If you become pregnant while taking fluoxetine capsules, talk to your healthcare provider about registering with the National Pregnancy Registry for Antidepressants. You can register by calling 1-844-405-6185 or go to https://womensmentalhealth.org/clinical-and-research- programs/pregnancyregistry/antidepressants/.
  • are breastfeeding or plan to breastfeed. Some fluoxetine may pass into your breast milk. Talk to your healthcare provider about the best way to feed your baby if taking fluoxetine capsules.

Tell your healthcare provider about all the medicines that you take,including prescription and non-prescription medicines, vitamins, and herbal supplements. Fluoxetine capsules and some medicines may interact with each other, may not work as well, or may cause serious side effects.

Your healthcare provider or pharmacist can tell you if it is safe to take fluoxetine capsules with your other medicines. Do not start or stop any medicine while talking fluoxetine capsules without talking to your healthcare provider first.

If you take fluoxetine capsules, you should not take any other medicines that contain fluoxetine hydrochloride including:

  • Symbyax ®
  • Sarafem ®

How should I take fluoxetine capsules?

  • Take fluoxetine capsules exactly as prescribed. Your healthcare provider may need to change the dose of fluoxetine capsules until it is right dose for you.
  • Fluoxetine capsules may be taken with or without food.
  • If you miss a dose of fluoxetine capsules, take the missed dose as soon as you remember. If it is almost time for the next dose, skip the missed dose and take your next dose at the regular time. Do not take two doses of fluoxetine capsules at the same time.
  • If you take too many fluoxetine capsules, call your healthcare provider or poison control center right away, or get emergency treatment.

What should I avoid while taking fluoxetine capsules?

Fluoxetine capsules can cause sleepiness or may affect your ability to make decisions, think clearly, or react quickly. You should not drive, operate heavy machinery, or do other dangerous activities until you know how fluoxetine capsules affect you. Do not drink alcohol while using fluoxetine capsules.

What are the possible side effects of fluoxetine capsules?

Fluoxetine capsules may cause serious side effects, including:

  • See “ What is the most important information I should know about fluoxetine capsules?
  • Problems with blood sugar control.People who have diabetes and take fluoxetine capsules may have problems with low blood sugar while taking fluoxetine capsules. High blood sugar can happen when fluoxetine capsules are stopped. Your healthcare provider may need to change the dose of your diabetes medicines when you start or stop taking fluoxetine capsules.
  • Feeling anxious or trouble sleeping

Common possible side effects in people who take fluoxetine capsules include:

  • unusual dreams
  • sexual problems
  • loss of appetite, diarrhea, indigestion, nausea or vomiting, weakness, or dry mouth
  • flu symptoms
  • feeling tired or fatigued
  • change in sleep habits
  • yawning
  • sinus infection or sore throat
  • tremor or shaking
  • sweating
  • feeling anxious or nervous
  • hot flashes
  • rash

Other side effects in children and adolescents include:

  • increased thirst
  • abnormal increase in muscle movement or agitation
  • nose bleed
  • urinating more often
  • heavy menstrual periods
  • possible slowed growth rate and weight change. Your child's height and weight should be monitored during treatment with fluoxetine capsules.

Tell your healthcare provider if you have any side effect that bothers you or that does not go away.

These are not all the possible side effects of fluoxetine capsules. For more information, ask your healthcare provider or pharmacist.

CALL YOUR DOCTOR FOR MEDICAL ADVICE ABOUT SIDE EFFECTS. YOU MAY REPORT SIDE EFFECTS TO THE FDA AT 1-800-FDA-1088

How should I store fluoxetine capsules?

  • Store fluoxetine capsules at room temperature between 20°C to 25°C (68° to 77°F).
  • Keep fluoxetine capsules away from light.
  • Keep fluoxetine capsules bottle closed tightly.

Keep fluoxetine capsules and all medicines out of the reach of children.

General information about fluoxetine capsules

Medicines are sometimes prescribed for purposes other than those listed in a Medication Guide. Do not use fluoxetine capsules for a condition for which they were not prescribed. Do not give fluoxetine capsules to other people, even if they have the same condition. They may harm them.

This Medication Guide summarizes the most important information about fluoxetine capsules. If you would like more information, talk with your healthcare provider. You may ask your healthcare provider or pharmacist for information about fluoxetine capsules that iswritten for healthcare professionals.

For more information about fluoxetine capsules call 1-888-838-2872.

What are the ingredients in fluoxetine capsules?

Active ingredient: fluoxetine hydrochloride

Inactive ingredients: D&C Yellow #10 aluminum lake, FD&C blue #1 aluminum lake, gelatin, magnesium stearate, pregelatinized corn starch, propylene glycol, shellac, and titanium dioxide.

This Medication Guide has been approved by the U.S. Food and Drug Administration.

Brands listed are the trademarks of their respective owners.

Manufactured In Czech Republic By:

Teva Czech Industries, s.r.o.

Opava-Komarov, Czech Republic

Manufactured For: Teva Pharmaceuticals,Parsippany, NJ 07054

Distributed by:

Wal-Mart

Bentonville, AR 72716

Packaged by:

Legacy Pharmaceutical Packaging LLC

Earth City, MO 63045

Rev. M 8/2023

16.1 How Supplied

Fluoxetine Capsules USP, 10 mg are available as white, opaque capsules in bottles of 30 (NDC 68645-131-54), printed PLIVA 647 in green band on cap and body.

Fluoxetine Capsules USP, 20 mg are available as white, opaque capsules in bottles of 30 (NDC 68645-130-54), printed PLIVA 648 in green band on cap only.

8.4 Pediatric Use

Use of Fluoxetine in Children —The efficacy of fluoxetine for the treatment of Major Depressive Disorder was demonstrated in two 8 to 9 week placebo-controlled clinical trials with 315 pediatric outpatients ages 8 to ≤ 18 [ see Clinical Studies( 14.1)].

The efficacy of fluoxetine for the treatment of OCD was demonstrated in one 13 week placebo-controlled clinical trial with 103 pediatric outpatients ages 7 to < 18 [ see Clinical Studies( 14.2)].

The safety and effectiveness in pediatric patients < 8 years of age in Major Depressive Disorder and < 7 years of age in OCD have not been established.

Fluoxetine pharmacokinetics were evaluated in 21 pediatric patients (ages 6 to ≤ 18) with Major Depressive Disorder or OCD [ see Clinical Pharmacology( 12.3)].

The acute adverse reaction profiles observed in the 3 studies (N = 418 randomized; 228 fluoxetine-treated, 190 placebo-treated) were generally similar to that observed in adult studies with fluoxetine. The longer-term adverse reaction profile observed in the 19 week Major Depressive Disorder study (N = 219 randomized; 109 fluoxetine-treated, 110 placebo-treated) was also similar to that observed in adult trials with fluoxetine [ see Adverse Reactions( 6.1)].

Manic reaction, including mania and hypomania, was reported in 6 (1 mania, 5 hypomania) out of 228 (2.6%) fluoxetine-treated patients and in 0 out of 190 (0%) placebo-treated patients. Mania/hypomania led to the discontinuation of 4 (1.8%) fluoxetine-treated patients from the acute phases of the 3 studies combined. Consequently, regular monitoring for the occurrence of mania/hypomania is recommended.

As with other SSRIs, decreased weight gain has been observed in association with the use of fluoxetine in children and adolescent patients. After 19 weeks of treatment in a clinical trial, pediatric subjects treated with fluoxetine gained an average of 1.1 cm less in height and 1.1 kg less in weight than subjects treated with placebo. In addition, fluoxetine treatment was associated with a decrease in alkaline phosphatase levels. The safety of fluoxetine treatment for pediatric patients has not been systematically assessed for chronic treatment longer than several months in duration. In particular, there are no studies that directly evaluate the longer-term effects of fluoxetine on the growth, development and maturation of children and adolescent patients. Therefore, height and weight should be monitored periodically in pediatric patients receiving fluoxetine [ see Warnings and Precautions( 5.6)].

Fluoxetine is approved for use in pediatric patients with MDD and OCD [ see Box Warning and Warnings and Precautions( 5.1)]. Anyone considering the use of fluoxetine in a child or adolescent must balance the potential risks with the clinical need.

Animal Data -Significant toxicity on muscle tissue, neurobehavior, reproductive organs, and bone development has been observed following exposure of juvenile rats to fluoxetine from weaning through maturity. Oral administration of fluoxetine to rats from weaning postnatal day 21 through adulthood day 90 at 3, 10, or 30 mg/kg/day was associated with testicular degeneration and necrosis, epididymal vacuolation and hypospermia (at 30 mg/kg/day corresponding to plasma exposures [AUC] approximately 5 to 10 times the average AUC in pediatric patients at the MRHD of 20 mg/day), increased serum levels of creatine kinase (at AUC as low as 1 to 2 times the average AUC in pediatric patients at the MRHD of 20 mg/day), skeletal muscle degeneration and necrosis, decreased femur length/growth and body weight gain (at AUC 5 to 10 times the average AUC in pediatric patients at the MRHD of 20 mg/day). The high dose of 30 mg/kg/day exceeded a maximum tolerated dose. When animals were evaluated after a drug-free period (up to 11 weeks after cessation of dosing), fluoxetine was associated with neurobehavioral abnormalities (decreased reactivity at AUC as low as approximately 0.1 to 0.2 times the average AUC in pediatric patients at the MRHD and learning deficit at the high dose), and reproductive functional impairment (decreased mating at all doses and impaired fertility at the high dose). In addition, the testicular and epididymal microscopic lesions and decreased sperm concentrations found in high dose group were also observed, indicating that the drug effects on reproductive organs are irreversible. The reversibility of fluoxetine-induced muscle damage was not assessed.

These fluoxetine toxicities in juvenile rats have not been observed in adult animals. Plasma exposures (AUC) to fluoxetine in juvenile rats receiving 3, 10, or 30 mg/kg/day doses in this study are approximately 0.1 to 0.2, 1 to 2, and 5 to 10 times, respectively, the average exposure in pediatric patients receiving the MRHD of 20 mg/day. Rat exposures to the major metabolite, norfluoxetine, are approximately 0.3 to 0.8, 1 to 8, and 3 to 20 times, respectively, the pediatric exposure at the MRHD.

A specific effect on bone development was reported in juvenile mice administered fluoxetine by the intraperitoneal route to 4 week old mice for 4 weeks at doses 0.5 and 2 times the oral MRHD of 20 mg/day on mg/m2 basis. There was a decrease in bone mineralization and density at both doses, but the overall growth (body weight gain or femur length) was not affected.

Use of fluoxetine in combination with olanzapine in children and adolescents:Safety and efficacy of fluoxetine and olanzapine in combination in patients 10 to 17 years of age have been established for the acute treatment of depressive episodes associated with Bipolar I Disorder. Safety and effectiveness of fluoxetine and olanzapine in combination in patients less than 10 years of age have not been established.

8.5 Geriatric Use

U.S. fluoxetine clinical trials included 687 patients ≥ 65 years of age and 93 patients ≥ 75 years of age. The efficacy in geriatric patients has been established [ see Clinical Studies( 14.1)]. For pharmacokinetic information in geriatric patients, [ see Clinical Pharmacology( 12.4)]. No overall differences in safety or effectiveness were observed between these subjects and younger subjects, and other reported clinical experience has not identified differences in responses between the elderly and younger patients, but greater sensitivity of some older individuals cannot be ruled out. SNRIs and SSRIs, including fluoxetine, have been associated with cases of clinically significant hyponatremia in elderly patients, who may be at greater risk for this adverse reaction [ see Warnings and Precautions ( 5.9) ] .

Clinical studies of olanzapine and fluoxetine in combination did not include sufficient numbers of patients ≥ 65 years of age to determine whether they respond differently from younger patients.

Initial Treatment

Adult— Initiate fluoxetine 20 mg/day orally in the morning. Consider a dose increase after several weeks if insufficient clinical improvement is observed. Administer doses above 20 mg/day once daily in the morning or twice daily (i.e., morning and noon).The maximum fluoxetine dose should not exceed 80 mg/day.

In controlled trials used to support the efficacy of fluoxetine, patients were administered morning doses ranging from 20 to 80 mg/day. Studies comparing fluoxetine 20, 40, and 60 mg/day to placebo indicate that 20 mg/day is sufficient to obtain a satisfactory response in Major Depressive Disorder in most cases [see Clinical Studies (14.1)].

Pediatric (children and adolescents)— Initiate fluoxetine 10 or 20 mg/day. After 1 week at 10 mg/day, increase the dose to 20 mg/day. However, due to higher plasma levels in lower weight children, the starting and target dose in this group may be 10 mg/day. Consider a dose increase to 20 mg/day after several weeks if insufficient clinical improvement is observed. In the short-term (8 to 9 week) controlled clinical trials of fluoxetine supporting its effectiveness in the treatment of Major Depressive Disorder, patients were administered fluoxetine doses of 10 to 20 mg/day [see Clinical Studies (14.1)].

All patients— As with other drugs effective in the treatment of Major Depressive Disorder, the full effect may be delayed until 4 weeks of treatment or longer.

Periodically reassess to determine the need for maintenance treatment.

Switching Patients to a Tricyclic Antidepressant (TCA)— Dosage of a TCA may need to be reduced, and plasma TCA concentrations may need to be monitored temporarily when fluoxetine is coadministered or has been recently discontinued [ see Warnings and Precautions (5.2 ) and Drug Interactions (7.7)].

2.4 Panic Disorder

Initial Treatment— Initiate treatment with fluoxetine 10 mg/day. After one week, increase the dose to 20 mg/day. Consider a dose increase after several weeks if no clinical improvement is observed. Fluoxetine doses above 60 mg/day have not been systematically evaluated in patients with Panic Disorder. In the controlled clinical trials of fluoxetine supporting its effectiveness in the treatment of Panic Disorder, patients were administered fluoxetine doses in the range of 10 to 60 mg/day [see Clinical Studies (14.4)]. The most frequently administered dose in the 2 flexible-dose clinical trials was 20 mg/day.

Periodically reassess to determine the need for continued treatment.

14 Clinical Studies (14 CLINICAL STUDIES)

Efficacy for fluoxetine was established for the:

  • Acute and maintenance treatment of Major Depressive Disorder in adults, and children and adolescents (8 to 18 years) in 7 short-term and 2 long-term, placebo-controlled trials [see ClinicalStudies 14.1].
  • Acute treatment of obsessions and compulsions in adults, and children and adolescents (7 to 17 years) with Obsessive Compulsive Disorder (OCD) in 3 short-term placebo-controlled trials [seeClinical Studies (14.2)].
  • Acute and maintenance treatment of binge-eating and vomiting behaviors in adult patients with moderate to severe Bulimia Nervosa in 3 short-term and 1 long-term, placebo-controlled trials [see Clinical Studies (14.3)].
  • Acute treatment of Panic Disorder, with or without agoraphobia, in adult patients in 2 short-term, placebo-controlled trials [see Clinical Studies (14.4)].

Efficacy for fluoxetine and olanzapine in combination was established for the:

  • Acute treatment of depressive episodes in Bipolar I Disorder in adults, and children and adolescents (10 to 17 years) in 3 short-term, placebo-controlled trials.
  • Acute and maintenance treatment of treatment resistant depression in adults (18 to 85 years) in 3 short-term, placebo-controlled trials and 1 randomized withdrawal study with an active control.

When using fluoxetine and olanzapine in combination, also refer to the Clinical Studies section of the package insert Symbyax®.

14.4 Panic Disorder

The effectiveness of fluoxetine in the treatment of Panic Disorder was demonstrated in 2 double-blind, randomized, placebo-controlled, multicenter studies of adult outpatients who had a primary diagnosis of Panic Disorder (DSM-IV), with or without agoraphobia.

Study 1 (N = 180 randomized) was a 12 week flexible-dose study. Fluoxetine was initiated at 10 mg/day for the first week, after which patients were dosed in the range of 20 to 60 mg/day on the basis of clinical response and tolerability. A statistically significantly greater percentage of fluoxetine-treated patients were free from panic attacks at endpoint than placebo-treated patients, 42% versus 28%, respectively.

Study 2 (N = 214 randomized) was a 12 week flexible-dose study. Fluoxetine was initiated at 10 mg/day for the first week, after which patients were dosed in a range of 20 to 60 mg/day on the basis of clinical response and tolerability. A statistically significantly greater percentage of fluoxetine-treated patients were free from panic attacks at endpoint than placebo-treated patients, 62% versus 44%, respectively.

2.3 Bulimia Nervosa

Initial Treatment— Administer fluoxetine 60 mg/day in the morning. For some patients it may be advisable to titrate up to this target dose over several days. Fluoxetine doses above 60 mg/day have not been systematically studied in patients with bulimia. In the controlled clinical trials of fluoxetine supporting its effectiveness in the treatment of Bulimia Nervosa, patients were administered fixed daily fluoxetine doses of 20 or 60 mg, or placebo [see Clinical Studies ( 14.3)]. Only the 60 mg dose was statistically significantly superior to placebo in reducing the frequency of binge-eating and vomiting.

Periodically reassess to determine the need for maintenance treatment.

4 Contraindications (4 CONTRAINDICATIONS)

When using fluoxetine and olanzapine in combination, also refer to the Contraindications section of the package insert for Symbyax®.

6 Adverse Reactions (6 ADVERSE REACTIONS)

The following adverse reactions are discussed in more detail in other sections of the labeling:

  • Suicidal Thoughts and Behaviors in Children, Adolescents, and Young Adults [see Boxed Warningand Warnings and Precautions (5.1)]
  • Serotonin Syndrome [see Warnings and Precautions (5.2)]
  • Allergic Reactions and Rash [see Warnings and Precautions (5.3)]
  • Screening Patients for Bipolar Disorder and Monitoring for Mania/Hypomania [see Warnings andPrecautions (5.4)]
  • Seizures [see Warnings and Precautions (5.5)]
  • Altered Appetite and Weight [see Warnings and Precautions (5.6)]
  • Abnormal Bleeding [see Warnings and Precautions (5.7)]
  • Angle-Closure Glaucoma [see Warnings and Precautions (5.8)]
  • Hyponatremia [see Warnings and Precautions (5.9)]
  • Anxiety and Insomnia [see Warnings and Precautions (5.10)]
  • QT Prolongation [see Warnings and Precautions (5.11)]
  • Potential for Cognitive and Motor Impairment [see Warnings and Precautions (5.13)]
  • Discontinuation Adverse Reactions [see Warnings and Precautions (5.15)]
  • Sexual Dysfunction [see Warnings and Precautions (5.17)]

When using fluoxetine and olanzapine in combination, also refer to the Adverse Reactions section of the package insert for Symbyax®.

7 Drug Interactions (7 DRUG INTERACTIONS)

As with all drugs, the potential for interaction by a variety of mechanisms (e.g., pharmacodynamic, pharmacokinetic drug inhibition or enhancement, etc.) is a possibility.

14.3 Bulimia Nervosa

The effectiveness of fluoxetine for the treatment of bulimia was demonstrated in two 8 week and one 16 week, multicenter, parallel group studies of adult outpatients meeting DSM-III-R criteria for bulimia. Patients in the 8 week studies received either 20 or 60 mg/day of fluoxetine or placebo in the morning. Patients in the 16 week study received a fixed fluoxetine dose of 60 mg/day (once a day) or placebo. Patients in these 3 studies had moderate to severe bulimia with median binge-eating and vomiting frequencies ranging from 7 to 10 per week and 5 to 9 per week, respectively. In these 3 studies, fluoxetine 60 mg, but not 20 mg, was statistically significantly superior to placebo in reducing the number of binge-eating and vomiting episodes per week. The statistically significantly superior effect of 60 mg versus placebo was present as early as Week 1 and persisted throughout each study. The fluoxetine-related reduction in bulimic episodes appeared to be independent of baseline depression as assessed by the Hamilton Depression Rating Scale. In each of these 3 studies, the treatment effect, as measured by differences between fluoxetine 60 mg and placebo on median reduction from baseline in frequency of bulimic behaviors at endpoint, ranged from 1 to 2 episodes per week for binge-eating and 2 to 4 episodes per week for vomiting. The size of the effect was related to baseline frequency, with greater reductions seen in patients with higher baseline frequencies. Although some patients achieved freedom from binge-eating and purging as a result of treatment, for the majority, the benefit was a partial reduction in the frequency of binge-eating and purging.

In a longer-term trial, 150 patients meeting DSM-IV criteria for Bulimia Nervosa, purging subtype, who had responded during a single-blind, 8 week acute treatment phase with fluoxetine 60 mg/day, were randomized to continuation of fluoxetine 60 mg/day or placebo, for up to 52 weeks of observation for relapse. Response during the single-blind phase was defined by having achieved at least a 50% decrease in vomiting frequency compared with baseline. Relapse during the double-blind phase was defined as a persistent return to baseline vomiting frequency or healthcare provider judgment that the patient had relapsed. Patients receiving continued fluoxetine 60 mg/day experienced a significantly longer time to relapse over the subsequent 52 weeks compared with those receiving placebo.

5.11 Qt Prolongation (5.11 QT Prolongation)

Postmarketing cases of QT interval prolongation and ventricular arrhythmia including Torsades de Pointes have been reported in patients treated with fluoxetine. Fluoxetine should be used with caution in patients with congenital long QT syndrome; a previous history of QT prolongation; a family history of long QT syndrome or sudden cardiac death; and other conditions that predispose to QT prolongation and ventricular arrhythmia. Such conditions include concomitant use of drugs that prolong the QT interval; hypokalemia or hypomagnesemia; recent myocardial infarction, uncompensated heart failure, bradyarrhythmias, and other significant arrhythmias; and conditions that predispose to increased fluoxetine exposure (overdose, hepatic impairment, use of CYP2D6 inhibitors, CYP2D6 poor metabolizer status, or use of other highly protein-bound drugs). Fluoxetine is primarily metabolized by CYP2D6 [see Contraindications (4.2 ), Adverse Reactions (6.2), Drug Interactions (7.7, 7.8 ), Overdosage (10.1 ), and Clinical Pharmacology (12.3 )].

Pimozide and thioridazine are contraindicated for use with fluoxetine. Avoid the concomitant use of drugs known to prolong the QT interval. These include specific antipsychotics (e.g., ziprasidone, iloperidone, chlorpromazine, mesoridazine, droperidol,); specific antibiotics (e.g., erythromycin, gatifloxacin, moxifloxacin, sparfloxacin); Class 1A antiarrhythmic medications (e.g., quinidine, procainamide); Class III antiarrhythmics (e.g., amiodarone, sotalol); and others (e.g., pentamidine, levomethadyl acetate, methadone, halofantrine, mefloquine, dolasetron mesylate, probucol or tacrolimus) [see Drug Interactions (7.7, 7.8 ) and Clinical Pharmacology (12.3 )].

Consider ECG assessment and periodic ECG monitoring if initiating treatment with fluoxetine in patients with risk factors for QT prolongation and ventricular arrhythmia. Consider discontinuing fluoxetine and obtaining a cardiac evaluation if patients develop signs or symptoms consistent with ventricular arrhythmia.

7.2 Cns Acting Drugs (7.2 CNS Acting Drugs)

Caution is advised if the concomitant administration of fluoxetine and such drugs is required. In evaluating individual cases, consideration should be given to using lower initial doses of the concomitantly administered drugs, using conservative titration schedules, and monitoring of clinical status [ see Clinical Pharmacology ( 12.3) ] .

Recent Major Changes (RECENT MAJOR CHANGES)

Warnings and Precautions, Sexual Dysfunction (5.17) 10/2021

12.2 Pharmacodynamics

Studies at clinically relevant doses in man have demonstrated that fluoxetine blocks the uptake of serotonin into human platelets. Studies in animals also suggest that fluoxetine is a much more potent uptake inhibitor of serotonin than of norepinephrine.

Antagonism of muscarinic, histaminergic, and α 1-adrenergic receptors has been hypothesized to be associated with various anticholinergic, sedative, and cardiovascular effects of classical tricyclic antidepressant (TCA) drugs. Fluoxetine binds to these and other membrane receptors from brain tissue much less potently in vitrothan do the tricyclic drugs.

12.3 Pharmacokinetics

Systemic Bioavailability— In man, following a single oral 40 mg dose, peak plasma concentrations of fluoxetine from 15 to 55 ng/mL are observed after 6 to 8 hours.

Food does not appear to affect the systemic bioavailability of fluoxetine, although it may delay its absorption by 1 to 2 hours, which is probably not clinically significant. Thus, fluoxetine may be administered with or without food.

Protein Binding— Over the concentration range from 200 to 1000 ng/mL, approximately 94.5% of fluoxetine is bound in vitroto human serum proteins, including albumin and α 1-glycoprotein. The interaction between fluoxetine and other highly protein-bound drugs has not been fully evaluated but may be important.

Enantiomers— Fluoxetine is a racemic mixture (50/50) of R-fluoxetine and S-fluoxetine enantiomers. In animal models, both enantiomers are specific and potent serotonin uptake inhibitors with essentially equivalent pharmacologic activity. The S-fluoxetine enantiomer is eliminated more slowly and is the predominant enantiomer present in plasma at steady state.

Metabolism— Fluoxetine is extensively metabolized in the liver to norfluoxetine and a number of other unidentified metabolites. The only identified active metabolite, norfluoxetine, is formed by demethylation of fluoxetine. In animal models, S-norfluoxetine is a potent and selective inhibitor of serotonin uptake and has activity essentially equivalent to R- or S-fluoxetine. R-norfluoxetine is significantly less potent than the parent drug in the inhibition of serotonin uptake. The primary route of elimination appears to be hepatic metabolism to inactive metabolites excreted by the kidney.

Variability in Metabolism— A subset (about 7%) of the population has reduced activity of the drug metabolizing enzyme cytochrome P450 2D6 (CYP2D6). Such individuals are referred to as “poor metabolizers” of drugs such as debrisoquin, dextromethorphan, and the TCAs. In a study involving labeled and unlabeled enantiomers administered as a racemate, these individuals metabolized S-fluoxetine at a slower rate and thus achieved higher concentrations of S-fluoxetine. Consequently, concentrations of S-norfluoxetine at steady state were lower. The metabolism of R-fluoxetine in these poor metabolizers appears normal. When compared with normal metabolizers, the total sum at steady state of the plasma concentrations of the 4 active enantiomers was not significantly greater among poor metabolizers. Thus, the net pharmacodynamic activities were essentially the same. Alternative, nonsaturable pathways (non-2D6) also contribute to the metabolism of fluoxetine. This explains how fluoxetine achieves a steady-state concentration rather than increasing without limit.

Because fluoxetine’s metabolism, like that of a number of other compounds including TCAs and other selective serotonin reuptake inhibitors (SSRIs), involves the CYP2D6 system, concomitant therapy with drugs also metabolized by this enzyme system (such as the TCAs) may lead to drug interactions [ see Drug Interactions ( 7.7) ] .

Accumulation and Slow Elimination— The relatively slow elimination of fluoxetine (elimination half-life of 1 to 3 days after acute administration and 4 to 6 days after chronic administration) and its active metabolite, norfluoxetine (elimination half-life of 4 to 16 days after acute and chronic administration), leads to significant accumulation of these active species in chronic use and delayed attainment of steady state, even when a fixed dose is used [ see Warnings and Precautions ( 5.14) ] .After 30 days of dosing at 40 mg/day, plasma concentrations of fluoxetine in the range of 91 to 302 ng/mL and norfluoxetine in the range of 72 to 258 ng/mL have been observed. Plasma concentrations of fluoxetine were higher than those predicted by single-dose studies, because fluoxetine’s metabolism is not proportional to dose. Norfluoxetine, however, appears to have linear pharmacokinetics. Its mean terminal half-life after a single dose was 8.6 days and after multiple dosing was 9.3 days. Steady-state levels after prolonged dosing are similar to levels seen at 4 to 5 weeks.

The long elimination half-lives of fluoxetine and norfluoxetine assure that, even when dosing is stopped, active drug substance will persist in the body for weeks (primarily depending on individual patient characteristics, previous dosing regimen, and length of previous therapy at discontinuation). This is of potential consequence when drug discontinuation is required or when drugs are prescribed that might interact with fluoxetine and norfluoxetine following the discontinuation of fluoxetine.

5.7 Abnormal Bleeding

SNRIs and SSRIs, including fluoxetine, may increase the risk of bleeding reactions. Concomitant use of aspirin, nonsteroidal anti-inflammatory drugs, warfarin, and other anti-coagulants may add to this risk. Case reports and epidemiological studies (case-control and cohort design) have demonstrated an association between use of drugs that interfere with serotonin reuptake and the occurrence of gastrointestinal bleeding. Based on data from the published observational studies, exposure to SSRIs, particularly in the month before delivery, has been associated with a less than 2-fold increase in the risk of postpartum hemorrhage [see Use in Specific Populations (8.1)].Bleeding reactions related to SNRIs and SSRIs use have ranged from ecchymoses, hematomas, epistaxis, and petechiae to life-threatening hemorrhages.

Patients should be cautioned about the risk of bleeding associated with the concomitant use of fluoxetine and NSAIDs, aspirin, warfarin, or other drugs that affect coagulation [ see Drug Interactions ( 7.4) ] .

5.2 Serotonin Syndrome

Selective serotonin reuptake inhibitors (SSRIs), including fluoxetine, can precipitate serotonin syndrome, a potentially life-threatening condition. The risk is increased with concomitant use of other serotonergic drugs (including triptans, tricyclic antidepressants, fentanyl, lithium, tramadol, tryptophan, meperidine, methadone, buspirone, amphetamines, and St. John’s Wort) and with drugs that impair metabolism of serotonin, i.e., MAOIs [see Contraindications (4), Drug Interactions (7.1)]. Serotonin syndrome can also occur when these drugs are used alone.

Serotonin syndrome signs and symptoms may include mental status changes (e.g., agitation, hallucinations, delirium, and coma), autonomic instability (e.g., tachycardia, labile blood pressure, dizziness, diaphoresis, flushing, hyperthermia), neuromuscular symptoms (e.g., tremor, rigidity, myoclonus, hyperreflexia, incoordination), seizures, and/or gastrointestinal symptoms (e.g., nausea, vomiting, diarrhea).

The concomitant use of fluoxetine with MAOIs is contraindicated. In addition, do not initiate fluoxetine in a patient being treated with MAOIs such as linezolid or intravenous methylene blue. No reports involved the administration of methylene blue by other routes (such as oral tablets or local tissue injection). If it is necessary to initiate treatment with an MAOI such as linezolid or intravenous methylene blue in a patient taking fluoxetine, discontinue fluoxetine before initiating treatment with the MAOI [see Contraindications (4) and Drug Interactions (7.1)].

Monitor all patients taking fluoxetine for the emergence of serotonin syndrome. Discontinue treatment with fluoxetine and any concomitant serotonergic agents immediately if the above symptoms occur, and initiate supportive symptomatic treatment. If concomitant use of fluoxetine with other serotonergic drugs is clinically warranted, inform patients of the increased risk for serotonin syndrome and monitor for symptoms.

8.6 Hepatic Impairment

In subjects with cirrhosis of the liver, the clearances of fluoxetine and its active metabolite, norfluoxetine, were decreased, thus increasing the elimination half-lives of these substances. A lower or less frequent dose of fluoxetine should be used in patients with cirrhosis. Caution is advised when using fluoxetine in patients with diseases or conditions that could affect its metabolism [ see Dosage and Administration( 2.7) and Clinical Pharmacology( 12.4)].

1 Indications and Usage (1 INDICATIONS AND USAGE)

Fluoxetine capsules are indicated for the treatment of:

  • Acute and maintenance treatment of Major Depressive Disorder [see Clinical Studies (14.1)].
  • Acute and maintenance treatment of obsessions and compulsions in patients with Obsessive Compulsive Disorder (OCD) [see Clinical Studies (14.2)].
  • Acute and maintenance treatment of binge-eating and vomiting behaviors in patients with moderate to severe Bulimia Nervosa [see Clinical Studies (14.3)].
  • Acute treatment of Panic Disorder, with or without agoraphobia [see Clinical Studies (14.4)].

Fluoxetine capsules and Olanzapine in Combination are indicated for the treatment of:

  • Acute treatment of depressive episodes associated with Bipolar I Disorder.
  • Treatment resistant depression (Major Depressive Disorder in patients, who do not respond to 2 separate trials of different antidepressants of adequate dose and duration in the current episode).

Fluoxetine capsules monotherapy is not indicated for the treatment of depressive episodes associated with Bipolar I Disorder or the treatment of treatment resistant depression.

When using fluoxetine capsules and olanzapine in combination, also refer to the Clinical Studies section of the package insert for Symbyax®.

5.17 Sexual Dysfunction

Use of SSRIs, including fluoxetine, may cause symptoms of sexual dysfunction [see Adverse Reactions (6.1)].In male patients, SSRI use may result in ejaculatory delay or failure, decreased libido, and erectile dysfunction. In female patients, SSRI use may result in decreased libido and delayed or absent orgasm.

It is important for prescribers to inquire about sexual function prior to initiation of fluoxetine and to inquire specifically about changes in sexual function during treatment, because sexual function may not be spontaneously reported. When evaluating changes in sexual function, obtaining a detailed history (including timing of symptom onset) is important because sexual symptoms may have other causes, including the underlying psychiatric disorder. Discuss potential management strategies to support patients in making informed decisions about treatment.

12.1 Mechanism of Action

Although the exact mechanism of fluoxetine is unknown, it is presumed to be linked to its inhibition of CNS neuronal uptake of serotonin.

12.4 Specific Populations

Liver Disease— As might be predicted from its primary site of metabolism, liver impairment can affect the elimination of fluoxetine. The elimination half-life of fluoxetine was prolonged in a study of cirrhotic patients, with a mean of 7.6 days compared with the range of 2 to 3 days seen in subjects without liver disease; norfluoxetine elimination was also delayed, with a mean duration of 12 days for cirrhotic patients compared with the range of 7 to 9 days in normal subjects. This suggests that the use of fluoxetine in patients with liver disease must be approached with caution. If fluoxetine is administered to patients with liver disease, a lower or less frequent dose should be used [ see Dosage and Administration ( 2.7) amd Use in Specific Populations ( 8.6) ] .

Renal Disease— In depressed patients on dialysis (N = 12), fluoxetine administered as 20 mg once daily for 2 months produced steady-state fluoxetine and norfluoxetine plasma concentrations comparable with those seen in patients with normal renal function. While the possibility exists that renally excreted metabolites of fluoxetine may accumulate to higher levels in patients with severe renal dysfunction, use of a lower or less frequent dose is not routinely necessary in renally impaired patients.

Geriatric Pharmacokinetics— The disposition of single doses of fluoxetine in healthy elderly subjects (> 65 years of age) did not differ significantly from that in younger normal subjects. However, given the long half-life and nonlinear disposition of the drug, a single-dose study is not adequate to rule out the possibility of altered pharmacokinetics in the elderly, particularly if they have systemic illness or are receiving multiple drugs for concomitant diseases. The effects of age upon the metabolism of fluoxetine have been investigated in 260 elderly but otherwise healthy depressed patients (≥ 60 years of age) who received 20 mg fluoxetine for 6 weeks. Combined fluoxetine plus norfluoxetine plasma concentrations were 209.3 ± 85.7 ng/mL at the end of 6 weeks. No unusual age-associated pattern of adverse reactions was observed in those elderly patients.

Pediatric Pharmacokinetics (children and adolescents) — Fluoxetine pharmacokinetics were evaluated in 21 pediatric patients (10 children ages 6 to < 13, 11 adolescents ages 13 to < 18) diagnosed with Major Depressive Disorder or Obsessive Compulsive Disorder (OCD). Fluoxetine 20 mg/day was administered for up to 62 days. The average steady-state concentrations of fluoxetine in these children were 2 fold higher than in adolescents (171 and 86 ng/mL, respectively). The average norfluoxetine steady-state concentrations in these children were 1.5 fold higher than in adolescents (195 and 113 ng/mL, respectively). These differences can be almost entirely explained by differences in weight. No gender-associated difference in fluoxetine pharmacokinetics was observed. Similar ranges of fluoxetine and norfluoxetine plasma concentrations were observed in another study in 94 pediatric patients (ages 8 to < 18) diagnosed with Major Depressive Disorder.

Higher average steady-state fluoxetine and norfluoxetine concentrations were observed in children relative to adults; however, these concentrations were within the range of concentrations observed in the adult population. As in adults, fluoxetine and norfluoxetine accumulated extensively following multiple oral dosing; steady-state concentrations were achieved within 3 to 4 weeks of daily dosing.

16.2 Storage and Handling

Store at 20° to 25°C (68° to 77°F) [See USP Controlled Room Temperature].

Protect from light.

Dispense in a tight, light-resistant container as defined in the USP, with a child-resistant closure (as required).

KEEP THIS AND ALL MEDICATIONS OUT OF THE REACH OF CHILDREN.

5.10 Anxiety and Insomnia

In U.S. placebo-controlled clinical trials for Major Depressive Disorder, 12% to 16% of patients treated with fluoxetine and 7% to 9% of patients treated with placebo reported anxiety, nervousness, or insomnia.

In U.S. placebo-controlled clinical trials for OCD, insomnia was reported in 28% of patients treated with fluoxetine and in 22% of patients treated with placebo. Anxiety was reported in 14% of patients treated with fluoxetine and in 7% of patients treated with placebo.

In U.S. placebo-controlled clinical trials for Bulimia Nervosa, insomnia was reported in 33% of patients treated with fluoxetine 60 mg, and 13% of patients treated with placebo. Anxiety and nervousness were reported, respectively, in 15% and 11% of patients treated with fluoxetine 60 mg and in 9% and 5% of patients treated with placebo.

Among the most common adverse reactions associated with discontinuation (incidence at least twice that for placebo and at least 1% for fluoxetine in clinical trials collecting only a primary reaction associated with discontinuation) in U.S. placebo-controlled fluoxetine clinical trials were anxiety (2% in OCD), insomnia (1% in combined indications and 2% in bulimia), and nervousness (1% in Major Depressive Disorder) [see Table 5].

5 Warnings and Precautions (5 WARNINGS AND PRECAUTIONS)

When using fluoxetine and olanzapine in combination, also refer to the Warnings and Precautions section of the package insert for Symbyax®.

5.8 Angle Closure Glaucoma (5.8 Angle-Closure Glaucoma)

Angle-Closure Glaucoma— The pupillary dilation that occurs following use of many antidepressant drugs including fluoxetine may trigger an angle closure attack in a patient with anatomically narrow angles who does not have a patent iridectomy.

2 Dosage and Administration (2 DOSAGE AND ADMINISTRATION)
Indication Adult Pediatric
MDD (2.1) 20 mg/day in am (initial dose) 10 to 20 mg/day (initial dose)
OCD (2.2) 20 mg/day in am (initial dose) 10 mg/day (initial dose)
Bulimia Nervosa (2.3) 60 mg/day in am
Panic Disorder (2.4) 10 mg/day (initial dose)
Depressive Episodes Associated with Bipolar I Disorder (2.5) Oral in combination with olanzapine: 5 mg of oral olanzapine and 20 mg of fluoxetine once daily (initial dose) Oral in combination with olanzapine: 2.5 mg of oral olanzapine and 20 mg of fluoxetine once daily (initial dose)
Treatment Resistant Depression (2.6) Oral in combination with olanzapine: 5 mg of oral olanzapine and 20 mg of fluoxetine once daily (initial dose)
  • A lower or less frequent dosage should be used in patients with hepatic impairment, the elderly, and for patients with concurrent disease or on multiple concomitant medications ( 2.7)

Fluoxetine and olanzapine in combination:

  • Dosage adjustments should be made with the individual components according to efficacy and tolerability ( 2.5, 2.6)
  • Fluoxetine monotherapy is not indicated for the treatment of Depressive Episodes associated with Bipolar I Disorder or treatment resistant depression (2.5, 2.6)
  • Safety of the coadministration of doses above 12 mg olanzapine with 50 mg fluoxetine has not been evaluated in children and adolescents ages 10 to 17 ( 2.5)
4.2 Other Contraindications

The use of fluoxetine is contraindicated with the following:

  • Pimozide [ see Warnings and Precautions (5.11) and Drug Interactions (7.7, 7.8)]
  • Thioridazine [ see Warnings and Precautions (5.11) and Drug Interactions (7.7, 7.8 )]

Pimozide and thioridazine prolong the QT interval. Fluoxetine can increase the levels of pimozide and thioridazine through inhibition of CYP2D6. Fluoxetine can also prolong the QT interval.

3 Dosage Forms and Strengths (3 DOSAGE FORMS AND STRENGTHS)

Fluoxetine Capsules USP, 10 mg contain fluoxetine hydrochloride, USP equivalent to 10 mg fluoxetine, and are available as white, opaque capsules printed with PLIVA 647 in green band on cap and body.

Fluoxetine Capsules USP, 20 mg contain fluoxetine hydrochloride, USP equivalent to 20 mg fluoxetine, and are available as white, opaque capsules printed with PLIVA 648 in green band on cap only.

6.2 Postmarketing Experience

The following adverse reactions have been identified during post approval use of fluoxetine. Because these reactions are reported voluntarily from a population of uncertain size, it is not always possible to reliably estimate their frequency or evaluate a causal relationship to drug exposure.

Voluntary reports of adverse reactions temporally associated with fluoxetine that have been received since market introduction and that may have no causal relationship with the drug include the following: aplastic anemia, atrial fibrillation 1, cataract, cerebrovascular accident 1, cholestatic jaundice, dyskinesia (including, for example, a case of buccal-lingual-masticatory syndrome with involuntary tongue protrusion reported to develop in a 77-year-old female after 5 weeks of fluoxetine therapy and which completely resolved over the next few months following drug discontinuation), eosinophilic pneumonia 1, epidermal necrolysis, erythema multiforme, erythema nodosum, exfoliative dermatitis, galactorrhea, gynecomastia, heart arrest 1, hepatic failure/necrosis, hyperprolactinemia, hypoglycemia, immune-related hemolytic anemia, kidney failure, memory impairment, movement disorders developing in patients with risk factors including drugs associated with such reactions and worsening of preexisting movement disorders, optic neuritis, pancreatitis 1, pancytopenia, pulmonary embolism, pulmonary hypertension, QT prolongation, Stevens-Johnson syndrome, thrombocytopenia 1, thrombocytopenic purpura, ventricular tachycardia (including Torsade de Pointes-type arrhythmias), and vaginal bleeding, and violent behaviors 1.

1These terms represent serious adverse events, but do not meet the definition for adverse drug reactions. They are included here because of their seriousness.

7.3 Other Serotonergic Drugs

The concomitant use of serotonergic drugs (including other SSRIs, SNRIs, triptans, tricyclic antidepressants, opioids, lithium, buspirone, amphetamines, tryptophan, and St. John's Wort) with fluoxetine increases the risk of serotonin syndrome. Monitor patients for signs and symptoms of serotonin syndrome, particularly during treatment initiation and dosage increases. If serotonin syndrome occurs, consider discontinuation of fluoxetine and/or concomitant serotonergic drugs [see Warnings and Precautions (5.2)].

8 Use in Specific Populations (8 USE IN SPECIFIC POPULATIONS)

When using fluoxetine and olanzapine in combination, also refer to the Use in Specific Populations section of the package insert for Symbyax®.

Fluoxetine Capsules Usp 10 Mg (FLUOXETINE CAPSULES USP 10 MG)

Fluoxetine Capsules Usp 20 Mg (FLUOXETINE CAPSULES USP 20 MG)

14.1 Major Depressive Disorder

Daily Dosing

Adult
— The efficacy of fluoxetine was studied in 5- and 6-week placebo-controlled trials with depressed adult and geriatric outpatients (≥18 years of age) whose diagnoses corresponded most closely to the DSM-III (currently DSM-IV) category of Major Depressive Disorder. Fluoxetine was shown to be significantly more effective than placebo as measured by the Hamilton Depression Rating Scale (HAM-D). Fluoxetine was also significantly more effective than placebo on the HAM-D subscores for depressed mood, sleep disturbance, and the anxiety subfactor.

Two 6-week controlled studies (N=671, randomized) comparing fluoxetine 20 mg and placebo have shown fluoxetine 20 mg daily to be effective in the treatment of elderly patients (≥60 years of age) with Major Depressive Disorder. In these studies, fluoxetine produced a significantly higher rate of response and remission as defined, respectively, by a 50% decrease in the HAM-D score and a total endpoint HAM-D score of ≤8. Fluoxetine was well tolerated and the rate of treatment discontinuations due to adverse reactions did not differ between fluoxetine (12%) and placebo (9%).

Pediatric (children and adolescents)— The efficacy of fluoxetine 20 mg/day in children and adolescents (N=315 randomized; 170 children ages 8 to <13, 145 adolescents ages 13 to ≤18) was studied in two 8- to 9-week placebo-controlled clinical trials in depressed outpatients whose diagnoses corresponded most closely to the DSM-III-R or DSM-IV category of Major Depressive Disorder.

In both studies independently, fluoxetine produced a statistically significantly greater mean change on the Childhood Depression Rating Scale-Revised (CDRS-R) total score from baseline to endpoint than did placebo.

Subgroup analyses on the CDRS-R total score did not suggest any differential responsiveness on the basis of age or gender.

Maintenance Treatment

A study was conducted involving depressed outpatients who had responded (modified HAMD-17 score of ≤7 during each of the last 3 weeks of open-label treatment and absence of Major Depressive Disorder by DSM-III-R criteria) by the end of an initial 12-week open-treatment phase on fluoxetine 20 mg/day. These patients (N=298) were randomized to continuation on double-blind fluoxetine 20 mg/day or placebo. At 38 weeks (50 weeks total), a statistically significantly lower relapse rate (defined as symptoms sufficient to meet a diagnosis of Major Depressive Disorder for 2 weeks or a modified HAMD-17 score of ≥14 for 3 weeks) was observed for patients taking fluoxetine compared with those on placebo.

An additional maintenance study was conducted involving adult outpatients meeting DSM-IV criteria for Major Depressive Disorder who had responded (defined as having a modified HAMD-17 score of ≤9, a CGI-Severity rating of ≤2, and no longer meeting criteria for Major Depressive Disorder) for 3 consecutive weeks at the end of 13 weeks of open-label treatment with fluoxetine 20 mg once daily. These patients were randomized to double-blind, once-weekly continuation treatment with fluoxetine delayed-release capsules 90 mg once weekly, fluoxetine 20 mg once daily, or placebo. Fluoxetine 20 mg once daily demonstrated superior efficacy (having a significantly longer time to relapse of depressive symptoms) compared with placebo for a period of 25 weeks.

6.1 Clinical Trials Experience

Because clinical trials are conducted under widely varying conditions, adverse reaction rates observed in the clinical trials of a drug cannot be directly compared to rates in the clinical trials of another drug and may not reflect or predict the rates observed in practice.

Multiple doses of fluoxetine have been administered to 10,782 patients with various diagnoses in U.S. clinical trials. In addition, there have been 425 patients administered fluoxetine in panic clinical trials. The stated frequencies represent the proportion of individuals who experienced, at least once, a treatment-emergent adverse reaction of the type listed. A reaction was considered treatment-emergent if it occurred for the first time or worsened while receiving therapy following baseline evaluation.

Incidence in Major Depressive Disorder, OCD, bulimia, and Panic Disorder placebo-controlled clinical trials (excluding data from extensions of trials)— Table 3 enumerates the most common treatment-emergent adverse reactions associated with the use of fluoxetine (incidence of at least 5% for fluoxetine and at least twice that for placebo within at least 1 of the indications) for the treatment of Major Depressive Disorder, OCD, and bulimia in U.S. controlled clinical trials and Panic Disorder in U.S. plus non-U.S. controlled trials. Table 5enumerates treatment-emergent adverse reactions that occurred in 2% or more patients treated with fluoxetine and with incidence greater than placebo who participated in U.S. Major Depressive Disorder, OCD, and bulimia controlled clinical trials and U.S. plus non-U.S. Panic Disorder controlled clinical trials. Table 4 provides combined data for the pool of studies that are provided separately by indication in Table 3.

Table 3: Most Common Treatment-Emergent Adverse Reactions: Incidence in Major Depressive Disorder, OCD, Bulimia, and Panic Disorder Placebo-Controlled Clinical Trials
Percentage of Patients Reporting Event
Major Depressive Disorder OCD Bulimia Panic Disorder
Body System/ Adverse Reaction Fluoxetine(N = 1728) Placebo(N = 975) Fluoxetine(N = 266) Placebo(N = 89) Fluoxetine(N = 450) Placebo(N = 267) Fluoxetine(N = 425) Placebo(N = 342)
Body as a Whole
Asthenia 9 5 15 11 21 9 7 7
Flu syndrome 3 4 10 7 8 3 5 5
Cardiovascular System
Vasodilatation 3 2 5 -- 2 1 1 --
Digestive System
Nausea 21 9 26 13 29 11 12 7
Diarrhea 12 8 18 13 8 6 9 4
Anorexia 11 2 17 10 8 4 4 1
Dry mouth 10 7 12 3 9 6 4 4
Dyspepsia 7 5 10 4 10 6 6 2
Nervous System
Insomnia 16 9 28 22 33 13 10 7
Anxiety 12 7 14 7 15 9 6 2
Nervousness 14 9 14 15 11 5 8 6
Somnolence 13 6 17 7 13 5 5 2
Tremor 10 3 9 1 13 1 3 1

Libido

decreased
3 -- 11 2 5 1 1 2

Abnormal

dreams
1 1 5 2 5 3 1 1
Respiratory System
Pharyngitis 3 3 11 9 10 5 3 3
Sinusitis 1 4 5 2 6 4 2 3
Yawn -- -- 7 -- 11 -- 1 --
Skin and Appendages
Sweating 8 3 7 -- 8 3 2 2
Rash 4 3 6 3 4 4 2 2
Urogenital System
Impotence 2 -- -- -- 7 -- 1 --
Abnormal ejaculation -- -- 7 -- 7 -- 2 1

1Incidence less than 1%.

2Includes U.S. data for Major Depressive Disorder, OCD, Bulimia, and Panic Disorder clinical trials, plus non-U.S. data for Panic Disorder clinical trials.

3Denominator used was for males only (N=690 fluoxetine Major Depressive Disorder; N=410 placebo Major Depressive Disorder; N=116 fluoxetine OCD; N=43 placebo OCD; N=14 fluoxetine bulimia; N=1 placebo bulimia; N=162 fluoxetine panic; N=121 placebo panic).

Table 4: Treatment-Emergent Adverse Reactions: Incidence in Major Depressive Disorder, OCD, Bulimia, and Panic Disorder Placebo-Controlled Clinical Trials 1,2
Percentage of Patients Reporting Event
Major Depressive Disorder, OCD, Bulimia, and Panic Disorder Combined
Body System/Adverse Reaction Fluoxetine(N = 2869) Placebo(N = 1673)
Body as a Whole
Headache 21 19
Asthenia 11 6
Flu syndrome 5 4
Fever 2 1
Cardiovascular System
Vasodilatation 2 1
Digestive System
Nausea 22 9
Diarrhea 11 7
Anorexia 10 3
Dry mouth 9 6
Dyspepsia 8 4
Constipation 5 4
Flatulence 3 2
Vomiting 3 2

Metabolic and Nutritional

Disorders
Weight loss 2 1
Nervous System
Insomnia 19 10
Nervousness 13 8
Anxiety 12 6
Somnolence 12 5
Dizziness 9 6
Tremor 9 2
Libido decreased 4 1
Thinking abnormal 2 1
Respiratory System
Yawn 3 --
Skin and Appendages
Sweating 7 3
Rash 4 3
Pruritus 3 2
Special Senses
Abnormal vision 2 1

1Incidence less than 1%.

2Includes U.S. data for Major Depressive Disorder, OCD, Bulimia, and Panic Disorder clinical trials, plus non-U.S. data for Panic Disorder clinical trials.

Associated with discontinuation in Major Depressive Disorder, OCD, bulimia, and Panic Disorder placebo-controlled clinical trials (excluding data from extensions of trials) Table 5lists the adverse reactions associated with discontinuation of fluoxetine treatment (incidence at least twice that for placebo and at least 1% for fluoxetine in clinical trials collecting only a primary reaction associated with discontinuation) in Major Depressive Disorder, OCD, bulimia, and Panic Disorder clinical trials, plus non-U.S. Panic Disorder clinical trials.

Table 5: Most Common Adverse Reactions Associated With Discontinuation in Major Depressive Disorder, OCD, Bulimia, and Panic Disorder Placebo-Controlled Clinical Trials
Major Depressive Disorder, OCD, Bulimia, and Panic Disorder Combined(N = 1533)

Major Depressive Disorder

(N = 392)

OCD

(N = 266)

Bulimia

(N = 450)

Panic Disorder

(N = 425)
Anxiety (1%) -- Anxiety (2%) -- Anxiety (2%)
-- -- -- Insomnia (2%) --
-- Nervousness (1%) -- -- Nervousness (1%)
-- -- Rash (1%) -- --

1Includes U.S. Major Depressive Disorder, OCD, Bulimia, and Panic Disorder clinical trials, plus non-U.S. Panic Disorder clinical trials.

Other adverse reactions in pediatric patients (children and adolescents)— Treatment-emergent adverse reactions were collected in 322 pediatric patients (180 fluoxetine-treated, 142 placebo-treated). The overall profile of adverse reactions was generally similar to that seen in adult studies, as shown in Tables 4and 5. However, the following adverse reactions (excluding those which appear in the body or footnotes of Tables 4and 5and those for which the COSTART terms were uninformative or misleading) were reported at an incidence of at least 2% for fluoxetine and greater than placebo: thirst, hyperkinesia, agitation, personality disorder, epistaxis, urinary frequency, and menorrhagia.

The most common adverse reaction (incidence at least 1% for fluoxetine and greater than placebo) associated with discontinuation in 3 pediatric placebo-controlled trials (N = 418 randomized; 228 fluoxetine-treated; 190 placebo-treated) was mania/hypomania (1.8% for fluoxetine-treated, 0% for placebo-treated). In these clinical trials, only a primary reaction associated with discontinuation was collected.

Male and female sexual dysfunction with SSRIs— Although changes in sexual desire, sexual performance, and sexual satisfaction often occur as manifestations of a psychiatric disorder, they may also be a consequence of pharmacologic treatment. In particular, some evidence suggests that SSRIs can cause such untoward sexual experiences. Reliable estimates of the incidence and severity of untoward experiences involving sexual desire, performance, and satisfaction are difficult to obtain, however, in part because patients and healthcare providers may be reluctant to discuss them. Accordingly, estimates of the incidence of untoward sexual experience and performance, cited in product labeling, are likely to underestimate their actual incidence. In patients enrolled in U.S. Major Depressive Disorder, OCD, and bulimia placebo-controlled clinical trials, decreased libido was the only sexual side effect reported by at least 2% of patients taking fluoxetine (4% fluoxetine, < 1% placebo). There have been spontaneous reports in women taking fluoxetine of orgasmic dysfunction, including anorgasmia.

There are no adequate and well-controlled studies examining sexual dysfunction with fluoxetine treatment.

Symptoms of sexual dysfunction occasionally persist after discontinuation of fluoxetine treatment.

Priapism has been reported with all SSRIs.

While it is difficult to know the precise risk of sexual dysfunction associated with the use of SSRIs, healthcare providers should routinely inquire about such possible side effects.

Other Reactions

Following is a list of treatment-emergent adverse reactions reported by patients treated with fluoxetine in clinical trials. This listing is not intended to include reactions (1) already listed in previous tables or elsewhere in labeling, (2) for which a drug cause was remote, (3) which were so general as to be uninformative, (4) which were not considered to have significant clinical implications, or (5) which occurred at a rate equal to or less than placebo.

Reactions are classified by body system using the following definitions: frequent adverse reactions are those occurring in at least 1/100 patients; infrequent adverse reactions are those occurring in 1/100 to 1/1000 patients; rare reactions are those occurring in fewer than 1/1000 patients.

Body as a WholeFrequent: chills; Infrequent: suicide attempt; Rare: acute abdominal syndrome, photosensitivity reaction.

Cardiovascular SystemFrequent: palpitation; Infrequent: arrhythmia, hypotension 1.

Digestive SystemInfrequent: dysphagia, gastritis, gastroenteritis, melena, stomach ulcer; Rare: bloody diarrhea, duodenal ulcer, esophageal ulcer, gastrointestinal hemorrhage, hematemesis, hepatitis, peptic ulcer, stomach ulcer hemorrhage.

Hemic and Lymphatic SystemInfrequent: ecchymosis; Rare: petechia, purpura.

InvestigationsFrequent: QT interval prolongation (QT CF ≥450 msec) 3.

Nervous SystemFrequent: emotional lability; Infrequent: akathisia, ataxia, balance disorder 1, bruxism 1, buccoglossal syndrome, depersonalization, euphoria, hypertonia, libido increased, myoclonus, paranoid reaction; Rare: delusions.

Respiratory SystemRare: larynx edema.

Skin and AppendagesInfrequent: alopecia; Rare: purpuric rash.

Special SensesFrequent: taste perversion; Infrequent: mydriasis.

Urogenital SystemFrequent: micturition disorder; Infrequent: dysuria, gynecological bleeding 2.

1MedDRA dictionary term from integrated database of placebo-controlled trials of 15,870 patients, of which 9,673 patients received fluoxetine.

2Group term that includes individual MedDRA terms: cervix hemorrhage uterine, dysfunctional uterine bleeding, genital hemorrhage, menometrorrhagia, menorrhagia, metrorrhagia, polymenorrhea, postmenopausal hemorrhage, uterine hemorrhage, vaginal hemorrhage. Adjusted for gender.

3QT prolongation data are based on routine ECG measurements in clinical trials.

5.14 Long Elimination Half Life (5.14 Long Elimination Half-Life)

Because of the long elimination half-lives of the parent drug and its major active metabolite, changes in dose will not be fully reflected in plasma for several weeks, affecting both strategies for titration to final dose and withdrawal from treatment. This is of potential consequence when drug discontinuation is required or when drugs are prescribed that might interact with fluoxetine and norfluoxetine following the discontinuation of fluoxetine [ see Clinical Pharmacology ( 12.3) ] .

5.3 Allergic Reactions and Rash

In U.S. fluoxetine clinical trials, 7% of 10,782 patients developed various types of rashes and/or urticaria. Among the cases of rash and/or urticaria reported in premarketing clinical trials, almost a third were withdrawn from treatment because of the rash and/or systemic signs or symptoms associated with the rash. Clinical findings reported in association with rash include fever, leukocytosis, arthralgias, edema, carpal tunnel syndrome, respiratory distress, lymphadenopathy, proteinuria, and mild transaminase elevation. Most patients improved promptly with discontinuation of fluoxetine and/or adjunctive treatment with antihistamines or steroids, and all patients experiencing these reactions were reported to recover completely.

In premarketing clinical trials, 2 patients are known to have developed a serious cutaneous systemic illness. In neither patient was there an unequivocal diagnosis, but one was considered to have a leukocytoclastic vasculitis, and the other, a severe desquamating syndrome that was considered variously to be a vasculitis or erythema multiforme. Other patients have had systemic syndromes suggestive of serum sickness.

Since the introduction of fluoxetine, systemic reactions, possibly related to vasculitis and including lupus-like syndrome, have developed in patients with rash. Although these reactions are rare, they may be serious, involving the lung, kidney, or liver. Death has been reported to occur in association with these systemic reactions.

Anaphylactoid reactions, including bronchospasm, angioedema, laryngospasm, and urticaria alone and in combination, have been reported.

Pulmonary reactions, including inflammatory processes of varying histopathology and/or fibrosis, have been reported rarely. These reactions have occurred with dyspnea as the only preceding symptom.

Whether these systemic reactions and rash have a common underlying cause or are due to different etiologies or pathogenic processes is not known. Furthermore, a specific underlying immunologic basis for these reactions has not been identified. Upon the appearance of rash or of other possibly allergic phenomena for which an alternative etiology cannot be identified, fluoxetine should be discontinued.

5.6 Altered Appetite and Weight

Significant weight loss, especially in underweight depressed or bulimic patients, may be an undesirable result of treatment with fluoxetine.

In U.S. placebo-controlled clinical trials for Major Depressive Disorder, 11% of patients treated with fluoxetine and 2% of patients treated with placebo reported anorexia (decreased appetite). Weight loss was reported in 1.4% of patients treated with fluoxetine and in 0.5% of patients treated with placebo. However, only rarely have patients discontinued treatment with fluoxetine because of anorexia or weight loss [ see Use in Specific Populations ( 8.4) ] .

In U.S. placebo-controlled clinical trials for OCD, 17% of patients treated with fluoxetine and 10% of patients treated with placebo reported anorexia (decreased appetite). One patient discontinued treatment with fluoxetine because of anorexia [ see Use in Specific Populations ( 8.4) ] .

In U.S. placebo-controlled clinical trials for Bulimia Nervosa, 8% of patients treated with fluoxetine 60 mg and 4% of patients treated with placebo reported anorexia (decreased appetite). Patients treated with fluoxetine 60 mg on average lost 0.45 kg compared with a gain of 0.16 kg by patients treated with placebo in the 16 week double-blind trial. Weight change should be monitored during therapy.

2.8 Discontinuation of Treatment

Symptoms associated with discontinuation of fluoxetine, SNRIs, and SSRIs, have been reported [ see Warnings and Precautions ( 5.15) ] .

17 Patient Counseling Information (17 PATIENT COUNSELING INFORMATION)

Advise the patient to read the FDA-approved patient labeling (Medication Guide).

Patients should be advised of the following issues and asked to alert their prescriber if these occur while taking fluoxetine as monotherapy or in combination with olanzapine. When using fluoxetine and olanzapine in combination, also refer to the Patient Counseling Information section of the package insert for Symbyax®.

General Information

Healthcare providers should instruct their patients to read the Medication Guide before starting therapy with fluoxetine capsules and to reread it each time the prescription is renewed.

Healthcare providers should inform patients, their families, and their caregivers about the benefits and risks associated with treatment with fluoxetine capsules and should counsel them in its appropriate use. Healthcare providers should instruct patients, their families, and their caregivers to read the Medication Guide and should assist them in understanding its contents. Patients should be given the opportunity to discuss the contents of the Medication Guide and to obtain answers to any questions they may have.

Patients should be advised of the following issues and asked to alert their healthcare provider if these occur while taking fluoxetine capsules.

When using fluoxetine and olanzapine in combination, also refer to the Medication Guide for Symbyax®.

Suicidal Thoughts and Behaviors in Children, Adolescents, and Young Adults

Patients, their families, and their caregivers should be encouraged to be alert to the emergence of anxiety, agitation, panic attacks, insomnia, irritability, hostility, aggressiveness, impulsivity, akathisia (psychomotor restlessness), hypomania, mania, other unusual changes in behavior, worsening of depression, and suicidal ideation, especially early during antidepressant treatment and when the dose is adjusted up or down. Families and caregivers of patients should be advised to look for the emergence of such symptoms on a day-to-day basis, since changes may be abrupt. Such symptoms should be reported to the patient’s prescriber or health professional, especially if they are severe, abrupt in onset, or were not part of the patient’s presenting symptoms. Symptoms such as these may be associated with an increased risk for suicidal thinking and behavior and indicate a need for very close monitoring and possibly changes in the medication [ see Box Warning and Warnings and Precautions (5.1)].

Serotonin Syndrome

Patients should be cautioned about the risk of serotonin syndrome with the concomitant use of fluoxetine and other serotonergic agents including triptans, tricyclic antidepressants, fentanyl, lithium, tramadol, tryptophan, buspirone, amphetamines, and St. John’s Wort [ see Contraindications (4.1), Warnings and Precautions (5.2), and Drug Interactions (7.3)].

Patients should be advised of the signs and symptoms associated with serotonin syndrome that may include mental status changes (e.g., agitation, hallucinations, delirium, and coma), autonomic instability (e.g., tachycardia, labile blood pressure, dizziness, diaphoresis, flushing, hyperthermia), neuromuscular changes (e.g., tremor, rigidity, myoclonus, hyperreflexia, incoordination), seizures, and/or gastrointestinal symptoms (e.g., nausea, vomiting, diarrhea). Patients should be cautioned to seek medical care immediately if they experience these symptoms.

Allergic Reactions and Rash

Patients should be advised to notify their healthcare provider if they develop a rash or hives [ see Warnings and Precautions (5.3)]. Patients should also be advised of the signs and symptoms associated with a severe allergic reaction, including swelling of the face, eyes, or mouth, or have trouble breathing. Patients should be cautioned to seek medical care immediately if they experience these symptoms.

Increased Risk of Bleeding

Patients should be cautioned about the concomitant use of fluoxetine and NSAIDs, aspirin, warfarin, or other drugs that affect coagulation since combined use of psychotropic drugs that interfere with serotonin reuptake and these agents have been associated with an increased risk of bleeding [ see Warnings and Precautions (5.7) and Drug Interactions (7.4)]. Patients should be advised to call their healthcare provider if they experience any increased or unusual bruising or bleeding while taking fluoxetine.

Angle-Closure Glaucoma

Patients should be advised that taking fluoxetine can cause mild pupillary dilation, which in susceptible individuals, can lead to an episode of angle-closure glaucoma. Pre-existing glaucoma is almost always open-angle glaucoma because angle-closure glaucoma, when diagnosed, can be treated definitively with iridectomy. Open-angle glaucoma is not a risk factor for angle-closure glaucoma. Patients may wish to be examined to determine whether they are susceptible to angle closure, and have a prophylactic procedure (e.g., iridectomy), if they are susceptible [ see Warnings and Precautions (5.8)].

Hyponatremia

Patients should be advised that hyponatremia has been reported as a result of treatment with SNRIs and SSRIs, including fluoxetine. Signs and symptoms of hyponatremia include headache, difficulty concentrating, memory impairment, confusion, weakness, and unsteadiness, which may lead to falls. More severe and/or acute cases have been associated with hallucination, syncope, seizure, coma, respiratory arrest, and death [ see Warnings and Precautions (5.9)].

QT Prolongation

Patients should be advised that QT interval prolongation and ventricular arrhythmia including Torsades de Pointes have been reported in patients treated with fluoxetine. Signs and symptoms of ventricular arrhythmia include fast, slow, or irregular heart rate, dyspnea, syncope, or dizziness, which may indicate serious cardiac arrhythmia [ see Warnings and Precautions (5.11)].

Potential for Cognitive and Motor Impairment

Fluoxetine may impair judgment, thinking, or motor skills. Patients should be advised to avoid driving a car or operating hazardous machinery until they are reasonably certain that their performance is not affected [ see Warnings and Precautions (5.13)].

Use of Concomitant Medications

Patients should be advised to inform their healthcare provider if they are taking, or plan to take, any prescription medication, including Symbyax® (olanzapine and fluoxetine hydrochloride capsules), Sarafem® (fluoxetine capsules), or over-the-counter drugs, including herbal supplements or alcohol. Patients should also be advised to inform their healthcare providers if they plan to discontinue any medications they are taking while on fluoxetine.

Discontinuation of Treatment

Patients should be advised to take fluoxetine exactly as prescribed, and to continue taking fluoxetine as prescribed even after their symptoms improve. Patients should be advised that they should not alter their dosing regimen, or stop taking fluoxetine without consulting their healthcare provider [see Warnings and Precautions (5.15)].Patients should be advised to consult with their healthcare provider if their symptoms do not improve with fluoxetine.

Sexual Dysfunction

Advise patients that use of fluoxetine may cause symptoms of sexual dysfunction in both male and female patients.

Inform patients that they should discuss any changes in sexual function and potential management strategies with their healthcare provider [see Warnings and Precautions (5.17)].

Use in Specific Populations

Pregnancy— Advise pregnant women to notify their healthcare provider if they become pregnant or intend to become pregnant during treatment with fluoxetine.

Advise patients that fluoxetine use later in pregnancy may lead to increased risk for neonatal complications requiring prolonged hospitalization, respiratory support, tube feeding, and/or persistent pulmonary hypertension of the newborn (PPHN) [ see Use in

Specific Populations (8.1)].

Advise women that there is a pregnancy exposure registry that monitors pregnancy outcomes in women exposed to fluoxetine during pregnancy [ see Use in Specific Populations (8.1)].

Lactation—Advise breastfeeding women using fluoxetine to monitor infants for agitation, irritability, poor feeding and poor weight gain and to seek medical care if they notice these signs [ see Use in Specific Populations (8.2)].

Pediatric Use of fluoxetine— Fluoxetine is approved for use in pediatric patients with MDD and OCD [see Box Warning and Warnings and Precautions (5.1)].Limited evidence is available concerning the longer-term effects of fluoxetine on the development and maturation of children and adolescent patients. Height and weight should be monitored periodically in pediatric patients receiving fluoxetine [ see Warnings and Precautions (5.6) and Use in Specific Populations (8.4)].

Pediatric Use of fluoxetine and olanzapine in combination- Safety and efficacy of fluoxetine and olanzapine in combination in patients 10 to 17 years of age have been established for the acute treatment of depressive episodes associated with Bipolar I Disorder [ see Warnings and Precautions (5.16) and Use in Specific Populations (8.4)].

Brands listed are the trademarks of their respective owners.

Dispense with Medication Guide available at: www.tevausa.com/medguides

Manufactured In Czech Republic By:

Teva Czech Industries, s .r.o.

Opava-Komarov, Czech Republic

Manufactured For:

Teva Pharmaceuticals

Parsippany, NJ 07054

Distributed by:

Wal-Mart

Bentonville, AR 72716

Packaged by:

Legacy Pharmaceutical Packaging LLC

Earth City, MO 63045

Rev. P 8/2023

5.15 Discontinuation of Treatment

During marketing of fluoxetine, SNRIs, and SSRIs, there have been spontaneous reports of adverse reactions occurring upon discontinuation of these drugs, particularly when abrupt, including the following: dysphoric mood, irritability, agitation, dizziness, sensory disturbances (e.g., paresthesias such as electric shock sensations), anxiety, confusion, headache, lethargy, emotional lability, insomnia, and hypomania. While these reactions are generally self-limiting, there have been reports of serious discontinuation symptoms. Patients should be monitored for these symptoms when discontinuing treatment with fluoxetine. A gradual reduction in the dose rather than abrupt cessation is recommended whenever possible. If intolerable symptoms occur following a decrease in the dose or upon discontinuation of treatment, then resuming the previously prescribed dose may be considered. Subsequently, the healthcare provider may continue decreasing the dose but at a more gradual rate. Plasma fluoxetine and norfluoxetine concentration decrease gradually at the conclusion of therapy which may minimize the risk of discontinuation symptoms with this drug.

14.2 Obsessive Compulsive Disorder

Adult— The effectiveness of fluoxetine for the treatment of Obsessive Compulsive Disorder (OCD) was demonstrated in two 13 week, multicenter, parallel group studies (Studies 1 and 2) of adult outpatients who received fixed fluoxetine doses of 20, 40, or 60 mg/day (on a once-a-day schedule, in the morning) or placebo. Patients in both studies had moderate to severe OCD (DSM-III-R), with mean baseline ratings on the Yale-Brown Obsessive Compulsive Scale (YBOCS, total score) ranging from 22 to 26. In Study 1, patients receiving fluoxetine experienced mean reductions of approximately 4 to 6 units on the YBOCS total score, compared with a 1 unit reduction for placebo patients. In Study 2, patients receiving fluoxetine experienced mean reductions of approximately 4 to 9 units on the YBOCS total score, compared with a 1 unit reduction for placebo patients. While there was no indication of a dose-response relationship for effectiveness in Study 1, a dose-response relationship was observed in Study 2, with numerically better responses in the 2 higher dose groups. The following table provides the outcome classification by treatment group on the Clinical Global Impression (CGI) improvement scale for Studies 1 and 2 combined:

Table 6: Outcome Classification (%) on CGI Improvement Scale for Completers in Pool of Two OCD Studies
    Fluoxetine
 Outcome Classification  Placebo  20 mg  40 mg  60 mg
 Worse  8%  0%  0%  0%
 No change  64%  41%  33%  29%
 Minimally improved  17%  23%  28%  24%
 Much improved  8%  28%  27%  28%
 Very much improved  3%  8%  12%  19%

Exploratory analyses for age and gender effects on outcome did not suggest any differential responsiveness on the basis of age or sex.

Pediatric (children and adolescents)— In one 13 week clinical trial in pediatric patients (N = 103 randomized; 75 children ages 7 to < 13, 28 adolescents ages 13 to < 18) with OCD (DSM-IV), patients received fluoxetine 10 mg/day for 2 weeks, followed by 20 mg/day for 2 weeks. The dose was then adjusted in the range of 20 to 60 mg/day on the basis of clinical response and tolerability. Fluoxetine produced a statistically significantly greater mean change from baseline to endpoint than did placebo as measured by the Children’s Yale-Brown Obsessive Compulsive Scale (CY-BOCS).

Subgroup analyses on outcome did not suggest any differential responsiveness on the basis of age or gender.

2.7 Dosing in Specific Populations

Geriatric— Consider a lower or less frequent dosage for the elderly [see Use in Specific Populations (8.5)].

Hepatic Impairment— As with many other medications, use a lower or less frequent dosage in patients with hepatic impairment [see Clinical Pharmacology (12.4) and Use in Specific Populations (8.6)].

Concomitant Illness— Patients with concurrent disease or on multiple concomitant medications may require dosage adjustments [see Clinical Pharmacology (12.4) and Warnings and Precautions (5.12)].

Fluoxetine and Olanzapine in Combination— Use a starting dose of oral olanzapine 2.5 to 5 mg with fluoxetine 20 mg for patients with a predisposition to hypotensive reactions, patients with hepatic impairment, or patients who exhibit a combination of factors that may slow the metabolism of olanzapine or fluoxetine in combination (female gender, geriatric age, non-smoking status), or those patients who may be pharmacodynamically sensitive to olanzapine. Titrate slowly and adjust dosage as needed in patients who exhibit a combination of factors that may slow metabolism. Fluoxetine and olanzapine in combination have not been systematically studied in patients over 65 years of age or in patients less than 10 years of age [see Warnings and Precautions (5.16) and Drug Interactions (7.7)].

7.5 Electroconvulsive Therapy (ect) (7.5 Electroconvulsive Therapy (ECT))

There are no clinical studies establishing the benefit of the combined use of ECT and fluoxetine. There have been rare reports of prolonged seizures in patients on fluoxetine receiving ECT treatment.

7.8 Drugs That Prolong the Qt Interval (7.8 Drugs that Prolong the QT Interval)

Do not use fluoxetine in combination with thioridazine or pimozide. Use fluoxetine with caution in combination with other drugs that cause QT prolongation. These include: specific antipsychotics (e.g., ziprasidone, iloperidone, chlorpromazine, mesoridazine, droperidol); specific antibiotics (e.g., erythromycin, gatifloxacin, moxifloxacin, sparfloxacin); Class 1A antiarrhythmic medications (e.g., quinidine, procainamide); Class III antiarrhythmics (e.g., amiodarone, sotalol); and others (e.g., pentamidine, levomethadyl acetate, methadone, halofantrine, mefloquine, dolasetron mesylate, probucol or tacrolimus). Fluoxetine is primarily metabolized by CYP2D6. Concomitant treatment with CYP2D6 inhibitors can increase the concentration of fluoxetine. Concomitant use of other highly protein-bound drugs can increase the concentration of fluoxetine [see Contraindications (4.2 ), Warnings and Precautions (5.11), Drug Interactions (7.7 ), and Clinical Pharmacology (12.3 )].

7.1 Monoamine Oxidase Inhibitors (maoi) (7.1 Monoamine Oxidase Inhibitors (MAOI))

[See Dosage and Administration (2.9 ,2.10 ), Contraindications (4.1 ), and Warnings and Precautions (5.2 )].

4.1 Monoamine Oxidase Inhibitors (maois) (4.1 Monoamine Oxidase Inhibitors (MAOIs))

The use of MAOIs intended to treat psychiatric disorders with fluoxetine or within 5 weeks of stopping treatment with fluoxetine is contraindicated because of an increased risk of serotonin syndrome. The use of fluoxetine within 14 days of stopping an MAOI intended to treat psychiatric disorders is also contraindicated [ see Dosage and Administration(2.9) and Warnings and Precautions(5.2)].

Starting fluoxetine in a patient who is being treated with MAOIs such as linezolid or intravenous methylene blue is also contraindicated because of an increased risk of serotonin syndrome [ see Dosage and Administration(2.10) and Warnings and Precautions(5.2)].

13.2 Animal Toxicology And/or Pharmacology (13.2 Animal Toxicology and/or Pharmacology)

Phospholipids are increased in some tissues of mice, rats, and dogs given fluoxetine chronically. This effect is reversible after cessation of fluoxetine treatment. Phospholipid accumulation in animals has been observed with many cationic amphiphilic drugs, including fenfluramine, imipramine, and ranitidine. The significance of this effect in humans is unknown.

5.12 Use in Patients With Concomitant Illness

Clinical experience with fluoxetine in patients with concomitant systemic illness is limited. Caution is advisable in using fluoxetine in patients with diseases or conditions that could affect metabolism or hemodynamic responses.

Cardiovascular— Fluoxetine has not been evaluated or used to any appreciable extent in patients with a recent history of myocardial infarction or unstable heart disease. Patients with these diagnoses were systematically excluded from clinical studies during the product’s premarket testing. However, the electrocardiograms of 312 patients who received fluoxetine in double-blind trials were retrospectively evaluated; no conduction abnormalities that resulted in heart block were observed. The mean heart rate was reduced by approximately 3 beats/min.

Glycemic Control— In patients with diabetes, fluoxetine may alter glycemic control. Hypoglycemia has occurred during therapy with fluoxetine, and hyperglycemia has developed following discontinuation of the drug. As is true with many other types of medication when taken concurrently by patients with diabetes, insulin and/or oral hypoglycemic, dosage may need to be adjusted when therapy with fluoxetine is instituted or discontinued.

5.16 Fluoxetine and Olanzapine in Combination

When using fluoxetine and olanzapine in combination, also refer to the Warnings and Precautions section of the package insert for Symbyax®.

5.13 Potential for Cognitive and Motor Impairment

As with any CNS-active drug, fluoxetine has the potential to impair judgment, thinking, or motor skills. Patients should be cautioned about operating hazardous machinery, including automobiles, until they are reasonably certain that the drug treatment does not affect them adversely.

7.6 Potential for Other Drugs to Affect Fluoxetine

Drugs Tightly Bound to Plasma Proteins– Because fluoxetine is tightly bound to plasma proteins, adverse effects may result from displacement of protein-bound fluoxetine by other tightly-bound drugs [ see Clinical Pharmacology ( 12.3) ] .

7.7 Potential for Fluoxetine to Affect Other Drugs

Pimozide– Concomitant use in patients taking pimozide is contraindicated. Pimozide can prolong the QT interval. Fluoxetine can increase the level of pimozide through inhibition of CYP2D6. Fluoxetine can also prolong the QT interval. Clinical studies of pimozide with other antidepressants demonstrate an increase in drug interaction or QT prolongation. While a specific study with pimozide and fluoxetine has not been conducted, the potential for drug interactions or QT prolongation warrants restricting the concurrent use of pimozide and fluoxetine [see Contraindications ( 4.2), Warnings and Precautions (5.11), and Drug Interactions (7.8)].

Thioridazine– Thioridazine should not be administered with fluoxetine or within a minimum of 5 weeks after fluoxetine has been discontinued, because of the risk of QT Prolongation [ see Contraindications ( 4.2), Warnings and Precautions (5.11), and Drug Interactions (7.8)] .

In a study of 19 healthy male subjects, which included 6 slow and 13 rapid hydroxylators of debrisoquin, a single 25 mg oral dose of thioridazine produced a 2.4 fold higher C maxand a 4.5 fold higher AUC for thioridazine in the slow hydroxylators compared with the rapid hydroxylators. The rate of debrisoquin hydroxylation is felt to depend on the level of CYP2D6 isozyme activity. Thus, this study suggests that drugs which inhibit CYP2D6, such as certain SSRIs, including fluoxetine, will produce elevated plasma levels of thioridazine.

Thioridazine administration produces a dose-related prolongation of the QT interval, which is associated with serious ventricular arrhythmias, such as Torsade de pointes-type arrhythmias, and sudden death. This risk is expected to increase with fluoxetine-induced inhibition of thioridazine metabolism.

Drugs Metabolized by CYP2D6— Fluoxetine inhibits the activity of CYP2D6, and may make individuals with normal CYP2D6 metabolic activity resemble a poor metabolizer. Coadministration of fluoxetine with other drugs that are metabolized by CYP2D6, including certain antidepressants (e.g., TCAs), antipsychotics (e.g., phenothiazines and most atypicals), and antiarrhythmics (e.g., propafenone, flecainide, and others) should be approached with caution. Therapy with medications that are predominantly metabolized by the CYP2D6 system and that have a relatively narrow therapeutic index (see list below) should be initiated at the low end of the dose range if a patient is receiving fluoxetine concurrently or has taken it in the previous 5 weeks. Thus, his/her dosing requirements resemble those of poor metabolizers. If fluoxetine is added to the treatment regimen of a patient already receiving a drug metabolized by CYP2D6, the need for decreased dose of the original medication should be considered. Drugs with a narrow therapeutic index represent the greatest concern (e.g., flecainide, propafenone, vinblastine, and TCAs). Due to the risk of serious ventricular arrhythmias and sudden death potentially associated with elevated plasma levels of thioridazine, thioridazine should not be administered with fluoxetine or within a minimum of 5 weeks after fluoxetine has been discontinued [ see Contraindications ( 4.2) ] .

Tricyclic Antidepressants (TCAs)— In 2 studies, previously stable plasma levels of imipramine and desipramine have increased greater than 2 to 10 fold when fluoxetine has been administered in combination. This influence may persist for 3 weeks or longer after fluoxetine is discontinued. Thus, the dose of TCAs may need to be reduced and plasma TCA concentrations may need to be monitored temporarily when fluoxetine is coadministered or has been recently discontinued [see Warnings and Precautions (5.2) and Clinical Pharmacology( 12.3)] .

Benzodiazepines— The half-life of concurrently administered diazepam may be prolonged in some patients [ see Clinical Pharmacology ( 12.3 )] .Coadministration of alprazolam and fluoxetine has resulted in increased alprazolam plasma concentrations and in further psychomotor performance decrement due to increased alprazolam levels.

Antipsychotics— Some clinical data suggests a possible pharmacodynamic and/or pharmacokinetic interaction between SSRIs and antipsychotics. Elevation of blood levels of haloperidol and clozapine has been observed in patients receiving concomitant fluoxetine .

Anticonvulsants— Patients on stable doses of phenytoin and carbamazepine have developed elevated plasma anticonvulsant concentrations and clinical anticonvulsant toxicity following initiation of concomitant fluoxetine treatment.

Lithium— There have been reports of both increased and decreased lithium levels when lithium was used concomitantly with fluoxetine. Cases of lithium toxicity and increased serotonergic effects have been reported. Lithium levels should be monitored when these drugs are administered concomitantly [ See Warnings and Precautions (5.2)].

Drugs Tightly Bound to Plasma Proteins— Because fluoxetine is tightly bound to plasma proteins, the administration of fluoxetine to a patient taking another drug that is tightly bound to protein (e.g., Coumadin ®, digitoxin) may cause a shift in plasma concentrations potentially resulting in an adverse effect [ see Clinical Pharmacology ( 12.3) ].

Drugs Metabolized by CYP3A4— In an in vivointeraction study involving coadministration of fluoxetine with single doses of terfenadine (a CYP3A4 substrate), no increase in plasma terfenadine concentrations occurred with concomitant fluoxetine.

Additionally, in vitrostudies have shown ketoconazole, a potent inhibitor of CYP3A4 activity, to be at least 100 times more potent than fluoxetine or norfluoxetine as an inhibitor of the metabolism of several substrates for this enzyme, including astemizole, cisapride, and midazolam. These data indicate that fluoxetine’s extent of inhibition of CYP3A4 activity is not likely to be of clinical significance.

Olanzapine— Fluoxetine (60 mg single dose or 60 mg daily dose for 8 days) causes a small (mean 16%) increase in the maximum concentration of olanzapine and a small (mean 16%) decrease in olanzapine clearance. The magnitude of the impact of this factor is small in comparison to the overall variability between individuals, and therefore dose modification is not routinely recommended.

When using fluoxetine and olanzapine and in combination, also refer to the Drug Interactions section of the package insert for Symbyax®.

13.1 Carcinogenesis, Mutagenesis, Impairment of Fertility

Carcinogenicity— The dietary administration of fluoxetine to rats and mice for 2 years at doses of up to 10 and 12 mg/kg/day, respectively [approximately 2.4 and 1.44 times, respectively, the maximum recommended human dose (MRHD) of 20 mg given to children on a mg/m 2basis], produced no evidence of carcinogenicity.

Mutagenicity— Fluoxetine and norfluoxetine have been shown to have no genotoxic effects based on the following assays: bacterial mutation assay, DNA repair assay in cultured rat hepatocytes, mouse lymphoma assay, and in vivosister chromatid exchange assay in Chinese hamster bone marrow cells.

Impairment of Fertility— Two fertility studies conducted in adult rats at doses of up to 7.5 and 12.5 mg/kg/day (approximately 0.97 and 1.6 times, respectively, the MRHD of 60 mg given to adolescents on a mg/m 2basis) indicated that fluoxetine had no adverse effects on fertility. However, adverse effects on fertility were seen when juvenile rats were treated with fluoxetine [ see Use in Specific Populations ( 8.4) ] .

7.4 Drugs That Interfere With Hemostasis (e.g., Nsaids, Aspirin, Warfarin) (7.4 Drugs That Interfere With Hemostasis (e.g., NSAIDS, Aspirin, Warfarin))

Serotonin release by platelets plays an important role in hemostasis. Epidemiological studies of the case-control and cohort design that have demonstrated an association between use of psychotropic drugs that interfere with serotonin reuptake and the occurrence of upper gastrointestinal bleeding have also shown that concurrent use of an NSAID or aspirin may potentiate this risk of bleeding. Altered anticoagulant effects, including increased bleeding, have been reported when SNRIs or SSRIs are coadministered with warfarin. Patients receiving warfarin therapy should be carefully monitored when fluoxetine is initiated or discontinued [ see Warnings and Precautions ( 5.7) ] .

2.10 Use of Fluoxetine With Other Maois Such As Linezolid Or Methylene Blue (2.10 Use of Fluoxetine With Other MAOIs Such as Linezolid or Methylene Blue)

Do not start fluoxetine in a patient who is being treated with linezolid or intravenous methylene blue because there is an increased risk of serotonin syndrome. In a patient who requires more urgent treatment of a psychiatric condition, other interventions, including hospitalization, should be considered [see Contraindications (4.1 )].

In some cases, a patient already receiving fluoxetine therapy may require urgent treatment with linezolid or intravenous methylene blue. If acceptable alternatives to linezolid or intravenous methylene blue treatment are not available and the potential benefits of linezolid or intravenous methylene blue treatment are judged to outweigh the risks of serotonin syndrome in a particular patient, fluoxetine should be stopped promptly, and linezolid or intravenous methylene blue can be administered. The patient should be monitored for symptoms of serotonin syndrome for five weeks or until 24 hours after the last dose of linezolid or intravenous methylene blue, whichever comes first. Therapy with fluoxetine may be resumed 24 hours after the last dose of linezolid or intravenous methylene blue [see Warnings and Precautions (5.2 )].

The risk of administering methylene blue by non-intravenous routes (such as oral tablets or by local injection) or in intravenous doses much lower than 1 mg/kg with fluoxetine is unclear. The healthcare provider should, nevertheless, be aware of the possibility of emergent symptoms of serotonin syndrome with such use [see Warnings and Precautions (5.2 )].

2.6 Fluoxetine and Olanzapine in Combination: Treatment Resistant Depression

When using fluoxetine and olanzapine in combination, also refer to the Clinical Studies section of the package insert for Symbyax®.

Administer fluoxetine in combination with oral olanzapine once daily in the evening, without regard to meals, generally beginning with 5 mg of oral olanzapine and 20 mg of fluoxetine. Adjust dosage, if indicated, according to efficacy and tolerability within dose ranges of fluoxetine 20 to 50 mg and oral olanzapine 5 to 20 mg. Antidepressant efficacy was demonstrated with olanzapine and fluoxetine in combination with a dose range of olanzapine 6 to 18 mg and fluoxetine 25 to 50 mg.

Safety and efficacy of fluoxetine in combination with olanzapine was determined in clinical trials supporting approval of Symbyax (fixed dose combination of olanzapine and fluoxetine). Symbyax is dosed between 3 mg/25 mg (olanzapine/fluoxetine) per day and 12 mg/50 mg (olanzapine/fluoxetine) per day. Table 1 demonstrates the appropriate individual component doses of fluoxetine and olanzapine versus Symbyax. Adjust dosage, if indicated, with the individual components according to efficacy and tolerability.

Periodically re-examine the need for continued pharmacotherapy. Safety of coadministration of doses above 18 mg olanzapine with 75 mg fluoxetine has not been evaluated in clinical studies.

Fluoxetine monotherapy is not indicated for the treatment of treatment resistant depression (Major Depressive Disorder in patients who do not respond to 2 antidepressants of adequate dose and duration in the current episode).

5.1 Suicidal Thoughts and Behaviors in Children, Adolescents, and Young Adults

Patients with Major Depressive Disorder (MDD), both adult and pediatric, may experience worsening of their depression and/or the emergence of suicidal ideation and behavior (suicidality) or unusual changes in behavior, whether or not they are taking antidepressant medications, and this risk may persist until significant remission occurs. Suicide is a known risk of depression and certain other psychiatric disorders, and these disorders themselves are the strongest predictors of suicide. There has been a long-standing concern, however, that antidepressants may have a role in inducing worsening of depression and the emergence of suicidality in certain patients during the early phases of treatment. Pooled analyses of short-term placebo-controlled trials of antidepressant drugs (SSRIs and others) showed that these drugs increase the risk of suicidal thinking and behavior (suicidality) in children, adolescents, and young adults (ages 18 to 24) with Major Depressive Disorder (MDD) and other psychiatric disorders. Short-term studies did not show an increase in the risk of suicidality with antidepressants compared to placebo in adults beyond age 24; there was a reduction with antidepressants compared to placebo in adults aged 65 and older.

The pooled analyses of placebo-controlled trials in children and adolescents with MDD, Obsessive Compulsive Disorder (OCD), or other psychiatric disorders included a total of 24 short-term trials of 9 antidepressant drugs in over 4400 patients. The pooled analyses of placebo-controlled trials in adults with MDD or other psychiatric disorders included a total of 295 short-term trials (median duration of 2 months) of 11 antidepressant drugs in over 77,000 patients. There was considerable variation in risk of suicidality among drugs, but a tendency toward an increase in the younger patients for almost all drugs studied. There were differences in absolute risk of suicidality across the different indications, with the highest incidence in MDD. The risk differences (drug versus placebo), however, were relatively stable within age strata and across indications. These risk differences (drug-placebo difference in the number of cases of suicidality per 1000 patients treated) are provided in Table 2.

Table 2: Suicidality per 1000 Patients Treated
Age Range Drug-Placebo Difference in Number of Cases of Suicidality per 1000 Patients Treated
Increases Compared to Placebo
< 18 14 additional cases
18 to 24 5 additional cases
Decreases Compared to Placebo
25 to 64 1 fewer case
≥ 65 6 fewer cases

No suicides occurred in any of the pediatric trials. There were suicides in the adult trials, but the number was not sufficient to reach any conclusion about drug effect on suicide.

It is unknown whether the suicidality risk extends to longer-term use, i.e., beyond several months. However, there is substantial evidence from placebo-controlled maintenance trials in adults with depression that the use of antidepressants can delay the recurrence of depression.

All patients being treated with antidepressants for any indication should be monitored appropriately and observed closely for clinical worsening, suicidality, and unusual changes in behavior, especially during the initial few months of a course of drug therapy, or at times of dose changes, either increases or decreases.

The following symptoms, anxiety, agitation, panic attacks, insomnia, irritability, hostility, aggressiveness, impulsivity, akathisia (psychomotor restlessness), hypomania, and mania, have been reported in adult and pediatric patients being treated with antidepressants for Major Depressive Disorder as well as for other indications, both psychiatric and nonpsychiatric. Although a causal link between the emergence of such symptoms and either the worsening of depression and/or the emergence of suicidal impulses has not been established, there is concern that such symptoms may represent precursors to emerging suicidality.

Consideration should be given to changing the therapeutic regimen, including possibly discontinuing the medication, in patients whose depression is persistently worse, or who are experiencing emergent suicidality or symptoms that might be precursors to worsening depression or suicidality, especially if these symptoms are severe, abrupt in onset, or were not part of the patient’s presenting symptoms.

If the decision has been made to discontinue treatment, medication should be tapered, as rapidly as is feasible, but with recognition that abrupt discontinuation can be associated with certain symptoms [ see Warnings and Precautions ( 5.15) ] .

Families and caregivers of patients being treated with antidepressants for Major Depressive Disorder or other indications, both psychiatric and nonpsychiatric, should be alerted about the need to monitor patients for the emergence of agitation, irritability, unusual changes in behavior, and the other symptoms described above, as well as the emergence of suicidality, and to report such symptoms immediately to healthcare providers. Such monitoring should include daily observation by families and caregivers.Prescriptions for fluoxetine capsules should be written for the smallest quantity of capsules consistent with good patient management, in order to reduce the risk of overdose.

It should be noted that fluoxetine is approved in the pediatric population only for Major Depressive Disorder and Obsessive Compulsive Disorder; and fluoxetine in combination with olanzapine for the acute treatment of depressive episodes associated with Bipolar I Disorder.

5.4 Screening Patients for Bipolar Disorder and Monitoring for Mania/hypomania (5.4 Screening Patients for Bipolar Disorder and Monitoring for Mania/Hypomania)

A major depressive episode may be the initial presentation of Bipolar Disorder. It is generally believed (though not established in controlled trials) that treating such an episode with an antidepressant alone may increase the likelihood of precipitation of a mixed/manic episode in patients at risk for Bipolar Disorder. Whether any of the symptoms described for clinical worsening and suicide risk represent such a conversion is unknown. However, prior to initiating treatment with an antidepressant, patients with depressive symptoms should be adequately screened to determine if they are at risk for Bipolar Disorder; such screening should include a detailed psychiatric history, including a family history of suicide, Bipolar Disorder, and depression. It should be noted that fluoxetine and olanzapine in combination is approved for the acute treatment of depressive episodes associated with Bipolar I Disorder [ see Warnings and Precautions section of the package insert for Symbyax]. Fluoxetine monotherapy is not indicated for the treatment of depressive episodes associated with Bipolar I Disorder.

In U.S. placebo-controlled clinical trials for Major Depressive Disorder, mania/hypomania was reported in 0.1% of patients treated with fluoxetine and 0.1% of patients treated with placebo. Activation of mania/hypomania has also been reported in a small proportion of patients with Major Affective Disorder treated with other marketed drugs effective in the treatment of Major Depressive Disorder  [ see Use in Specific Populations ( 8.4) ] .

In U.S. placebo-controlled clinical trials for OCD, mania/hypomania was reported in 0.8% of patients treated with fluoxetine and no patients treated with placebo. No patients reported mania/hypomania in U.S. placebo-controlled clinical trials for bulimia. In all U.S. fluoxetine clinical trials, 0.7% of 10,782 patients reported mania/hypomania [ see Use in Specific Populations ( 8.4) ] .

2.5 Fluoxetine and Olanzapine in Combination: Depressive Episodes Associated With Bipolar I Disorder (2.5 Fluoxetine and Olanzapine in Combination: Depressive Episodes Associated with Bipolar I Disorder)

When using fluoxetine and olanzapine in combination, also refer to the Clinical Studies section of the package insert for Symbyax®.

Adult— Administer fluoxetine in combination with oral olanzapine once daily in the evening, without regard to meals, generally beginning with 5 mg of oral olanzapine and 20 mg of fluoxetine. Make dosage adjustments, if indicated, according to efficacy and tolerability within dose ranges of fluoxetine 20 to 50 mg and oral olanzapine 5 to 12.5 mg. Antidepressant efficacy was demonstrated with olanzapine and fluoxetine in combination with a dose range of olanzapine 6 to 12 mg and fluoxetine 25 to 50 mg. Safety of co-administration of doses above 18 mg olanzapine with 75 mg fluoxetine has not been evaluated in clinical studies. Periodically re-examine the need for continue pharmacotherapy.

Children and adolescents (10 to 17 years of age)— Administer olanzapine and fluoxetine combination once daily in the evening, generally beginning with 2.5 mg of olanzapine and 20 mg of fluoxetine. Make dosage adjustments, if indicated, according to efficacy and tolerability. Safety of co-administration of doses above 12 mg of olanzapine with 50 mg of fluoxetine has not been evaluated in pediatric clinical studies. Periodically re-examine the need for continued pharmacotherapy.

Safety and efficacy of fluoxetine in combination with olanzapine was determined in clinical trials supporting approval of Symbyax® (fixed-dose combination of olanzapine and fluoxetine). Symbyax® is dosed between 3 mg/25 mg (olanzapine/fluoxetine) per day and 12 mg/50 mg (olanzapine/fluoxetine) per day. The following table demonstrates the appropriate individual component doses of fluoxetine and olanzapine versus Symbyax®. Adjust dosage, if indicated, with the individual components according to efficacy and tolerability.

Table 1: Approximate Dose Correspondence Between Symbyax 1and the Combination of Fluoxetine and Olanzapine
For Symbyax (mg/day) Use in Combination
Olanzapine (mg/day) Fluoxetine (mg/day)
3 mg olanzapine/25 mg fluoxetine 2.5 20
6 mg olanzapine/25 mg fluoxetine 5 20
12 mg olanzapine/25 mg fluoxetine 10 + 2.5 20
6 mg olanzapine/50 mg fluoxetine 5 40 + 10
12 mg olanzapine/50 mg fluoxetine 10 + 2.5 40 + 10

1Symbyax (olanzapine/fluoxetine HCL) is a fixed-dose combination of fluoxetine and olanzapine.

Fluoxetine monotherapy is not indicated for the treatment of depressive episodes associated with Bipolar I Disorder.

2.9 Switching A Patient to Or From A Monoamine Oxidase Inhibitor (maoi) Intended to Treat Psychiatric Disorders (2.9 Switching a Patient To or From a Monoamine Oxidase Inhibitor (MAOI) Intended To Treat Psychiatric Disorders)

At least 14 days should elapse between discontinuation of an MAOI intended to treat psychiatric disorders and initiation of therapy with fluoxetine. Conversely, at least 5 weeks should be allowed after stopping fluoxetine before starting an MAOI intended to treat psychiatric disorders [see Contraindications (4.1 )].


Advanced Ingredient Data


Raw Label Data

All Sections (JSON)