These Highlights Do Not Include All The Information Needed To Use Betamethasone Dipropionate Ointment (augmented) Safely And Effectively. See Full Prescribing Information For Betamethasone

These Highlights Do Not Include All The Information Needed To Use Betamethasone Dipropionate Ointment (augmented) Safely And Effectively. See Full Prescribing Information For Betamethasone
SPL v21
SPL
SPL Set ID af8317d7-b280-4f40-ad88-802f99d33d78
Route
TOPICAL
Published
Effective Date 2023-02-14
Document Type 34391-3 HUMAN PRESCRIPTION DRUG LABEL

Drug Facts

Composition & Product

Active Ingredients
Betamethasone (0.5 mg)
Inactive Ingredients
Propylene Glycol Propylene Glycol Stearate Petrolatum White Wax

Identifiers & Packaging

Marketing Status
ANDA Active Since 1995-09-01

Description

Betamethasone dipropionate ointment (augmented) is a corticosteroid indicated for the relief of the inflammatory and pruritic manifestations of corticosteroid-responsive dermatoses in patients 13 years of age or older.

Indications and Usage

Betamethasone dipropionate ointment (augmented) is a corticosteroid indicated for the relief of the inflammatory and pruritic manifestations of corticosteroid-responsive dermatoses in patients 13 years of age or older.

Dosage and Administration

Apply a thin film of betamethasone dipropionate ointment (augmented) to the affected skin areas once or twice daily. Therapy should be discontinued when control is achieved. If no improvement is seen within 2 weeks, reassessment of diagnosis may be necessary. Betamethasone dipropionate ointment (augmented) is a super-high-potency topical corticosteroid. Treatment with Betamethasone dipropionate ointment (augmented) should not exceed 50 g per week because of the potential for the drug to suppress the hypothalamic-pituitary-adrenal (HPA) axis [see Warnings and Precautions ( 5.1 )] . Betamethasone dipropionate ointment (augmented) should not be used with occlusive dressings unless directed by a physician. Avoid use on the face, groin, or axillae, or if skin atrophy is present at the treatment site. Avoid contact with eyes. Wash hands after each application. Betamethasone dipropionate ointment (augmented) is for topical use only. It is not for oral, ophthalmic, or intravaginal use.

Warnings and Precautions

Effects on endocrine system: Betamethasone dipropionate ointment (augmented) can cause reversible HPA axis suppression with the potential for glucocorticosteroid insufficiency during and after withdrawal of treatment. Risk factor(s) include the use of high-potency topical corticosteroids, use over a large surface area or to areas under occlusion, prolonged use, altered skin barrier, liver failure, and use in pediatric patients. Modify use should HPA axis suppression develop. ( 5.1 , 8.4 ) Ophthalmic adverse reactions: Betamethasone dipropionate ointment (augmented) may increase the risk of cataracts and glaucoma. If visual symptoms occur, consider referral to an ophthalmologist for evaluation. ( 5.2 )

Contraindications

Betamethasone dipropionate ointment (augmented) is contraindicated in patients who are hypersensitive to betamethasone dipropionate, to other corticosteroids, or to any ingredient in this preparation.

Adverse Reactions

Use of topical corticosteroids, including betamethasone dipropionate ointment (augmented), may increase the risk of posterior subcapsular cataracts and glaucoma. Cataracts and glaucoma have been reported postmarketing with the use of topical corticosteroid products, including betamethasone dipropionate ointment (augmented) [see Adverse Reactions ( 6.2 )]. Avoid contact of betamethasone dipropionate ointment (augmented) with eyes. Advise patients to report any visual symptoms and consider referral to an ophthalmologist for evaluation.

Storage and Handling

Betamethasone Dipropionate Ointment USP (Augmented), 0 . 05% is supplied in: 15 g (0.53 oz) NDC 0472-0382-15 45 g (1.59 oz) NDC 0472-0382-45 Store at 25°C (77°F); excursions permitted to 15° to 30°C (59° to 86°F) [see USP Controlled Room Temperature].

How Supplied

Betamethasone Dipropionate Ointment USP (Augmented), 0 . 05% is supplied in: 15 g (0.53 oz) NDC 0472-0382-15 45 g (1.59 oz) NDC 0472-0382-45 Store at 25°C (77°F); excursions permitted to 15° to 30°C (59° to 86°F) [see USP Controlled Room Temperature].

Patient Information

Betamethasone (bay ” -ta-meth ’ -a-sone) Dipropionate (dye-proe ’ -pee-oh-nate) ointment (augmented) Important information: betamethasone dipropionate ointment (augmented) is for use on skin only. Do not use betamethasone dipropionate ointment (augmented) in your eyes, mouth, or vagina. What is betamethasone dipropionate ointment (augmented)? Betamethasone dipropionate ointment (augmented) is a prescription corticosteroid medicine used on the skin (topical) for the relief of redness, swelling, heat, pain (inflammation) and itching, caused by certain skin problems in people 13 years of age and older. Betamethasone dipropionate ointment (augmented) should not be used in children under 13 years of age. Do not use betamethasone dipropionate ointment (augmented) if you are allergic to betamethasone dipropionate or any of the ingredients in betamethasone dipropionate ointment (augmented). See the end of this leaflet for a complete list of ingredients in betamethasone dipropionate ointment (augmented).  Before using betamethasone dipropionate ointment (augmented), tell your healthcare provider about all of your medical conditions, including if you: have had irritation or other skin reaction to a steroid medicine in the past. have thinning of the skin (atrophy) at the treatment site. have diabetes. have adrenal gland problems. have liver problems. have cataracts or glaucoma. are pregnant or plan to become pregnant. It is not known if betamethasone dipropionate ointment (augmented) will harm your unborn baby. If you use betamethasone dipropionate ointment (augmented) during pregnancy, use betamethasone dipropionate ointment (augmented) on the smallest area of the skin and for the shortest time needed. are breastfeeding or plan to breastfeed. It is not known if betamethasone dipropionate ointment (augmented) passes into your breast milk. Breastfeeding women should use betamethasone dipropionate ointment (augmented) on the smallest area of skin and for the shortest time needed while breastfeeding. Do not apply betamethasone dipropionate ointment (augmented) directly to the nipple and areola to avoid contact with your baby. Tell your healthcare provider about all the medicines you take, including prescription and over-the-counter medicines, vitamins, and herbal supplements. Especially tell your healthcare provider if you take other corticosteroid medicines by mouth or injection or use other products on your skin or scalp that contain corticosteroids. Do not use other products containing a steroid medicine with betamethasone dipropionate ointment (augmented) without talking to your healthcare provider first. How should I use betamethasone dipropionate ointment (augmented)? Use betamethasone dipropionate ointment (augmented) exactly as your healthcare provider tells you to use it. Apply a thin layer (film) of betamethasone dipropionate ointment (augmented) to the affected skin area 1 or 2 times each day. Do not use more than 50 grams of betamethasone dipropionate ointment (augmented) in 1 week. Do not use betamethasone dipropionate ointment (augmented) for longer than 2 weeks in a row unless your healthcare provider tells you to. Tell your healthcare provider if the treated skin area does not get better after 2 weeks of treatment with betamethasone dipropionate ointment (augmented). Do not bandage, cover, or wrap the treated skin area unless your healthcare provider tells you to. Betamethasone dipropionate ointment (augmented) should not be used to treat diaper rash or redness. Avoid using betamethasone dipropionate ointment (augmented) on the face, groin, or underarms (armpits) or if thinning of the skin (atrophy) is present at the treatment site. Wash your hands after applying betamethasone dipropionate ointment (augmented) unless you are using the medicine to treat your hands. What are the possible side effects of betamethasone dipropionate ointment (augmented)? Betamethasone dipropionate ointment (augmented) may cause serious side effects, including: Betamethasone dipropionate ointment (augmented) can pass through your skin . Too much betamethasone dipropionate ointment (augmented) passing through your skin can cause your adrenal glands to stop working properly. Your healthcare provider may do blood tests to check for adrenal gland problems. Cushing’s syndrome, a condition that happens when your body is exposed to too much of the hormone cortisol. High blood sugar (hyperglycemia). Effects on growth and weight in children. Vision problems. Topical corticosteroids including betamethasone dipropionate ointment (augmented) may increase your chance of developing cataract(s) and glaucoma. Tell your healthcare provider if you develop blurred vision or other vision problems during treatment with betamethasone dipropionate ointment (augmented). Skin problems. Skin problems including, allergic reactions (contact dermatitis) may happen during treatment with betamethasone dipropionate ointment (augmented). Stop using betamethasone dipropionate ointment (augmented) and tell your healthcare provider if you develop any skin reactions or have problems with healing during treatment with betamethasone dipropionate ointment (augmented). Your healthcare provider may do certain blood tests to check for side effects. The most common side effects of betamethasone dipropionate ointment (augmented) include redness of the skin, inflamed hair follicles, itching and blistering. These are not all of the possible side effects of betamethasone dipropionate ointment (augmented). Call your doctor for medical advice about side effects. You may report side effects to FDA at 1-800-FDA-1088. How should I store betamethasone dipropionate ointment (augmented)? Store betamethasone dipropionate ointment (augmented) at 77°F (25°C); excursions permitted to 59° to 86°F (15° to 30°C). Keep betamethasone dipropionate ointment (augmented) and all medicines out of the reach of children. General information about the safe and effective use of betamethasone dipropionate ointment (augmented). Medicines are sometimes prescribed for purposes other than those listed in a Patient Information leaflet. Do not use betamethasone dipropionate ointment (augmented) for a condition for which it was not prescribed. Do not give betamethasone dipropionate ointment (augmented) to other people, even if they have the same symptoms that you have. It may harm them. You can ask your pharmacist or healthcare provider for information about betamethasone dipropionate ointment (augmented) that is written for health professionals. What are the ingredients in betamethasone dipropionate ointment (augmented)? Active ingredient: betamethasone dipropionate   Inactive ingredients: propylene glycol; propylene glycol stearate; white petrolatum; and white wax. Manufactured For: Teva Pharmaceuticals Parsippany, NJ 07054 Rev. B 2/2023


Medication Information

Warnings and Precautions

Effects on endocrine system: Betamethasone dipropionate ointment (augmented) can cause reversible HPA axis suppression with the potential for glucocorticosteroid insufficiency during and after withdrawal of treatment. Risk factor(s) include the use of high-potency topical corticosteroids, use over a large surface area or to areas under occlusion, prolonged use, altered skin barrier, liver failure, and use in pediatric patients. Modify use should HPA axis suppression develop. ( 5.1 , 8.4 ) Ophthalmic adverse reactions: Betamethasone dipropionate ointment (augmented) may increase the risk of cataracts and glaucoma. If visual symptoms occur, consider referral to an ophthalmologist for evaluation. ( 5.2 )

Indications and Usage

Betamethasone dipropionate ointment (augmented) is a corticosteroid indicated for the relief of the inflammatory and pruritic manifestations of corticosteroid-responsive dermatoses in patients 13 years of age or older.

Dosage and Administration

Apply a thin film of betamethasone dipropionate ointment (augmented) to the affected skin areas once or twice daily. Therapy should be discontinued when control is achieved. If no improvement is seen within 2 weeks, reassessment of diagnosis may be necessary. Betamethasone dipropionate ointment (augmented) is a super-high-potency topical corticosteroid. Treatment with Betamethasone dipropionate ointment (augmented) should not exceed 50 g per week because of the potential for the drug to suppress the hypothalamic-pituitary-adrenal (HPA) axis [see Warnings and Precautions ( 5.1 )] . Betamethasone dipropionate ointment (augmented) should not be used with occlusive dressings unless directed by a physician. Avoid use on the face, groin, or axillae, or if skin atrophy is present at the treatment site. Avoid contact with eyes. Wash hands after each application. Betamethasone dipropionate ointment (augmented) is for topical use only. It is not for oral, ophthalmic, or intravaginal use.

Contraindications

Betamethasone dipropionate ointment (augmented) is contraindicated in patients who are hypersensitive to betamethasone dipropionate, to other corticosteroids, or to any ingredient in this preparation.

Adverse Reactions

Use of topical corticosteroids, including betamethasone dipropionate ointment (augmented), may increase the risk of posterior subcapsular cataracts and glaucoma. Cataracts and glaucoma have been reported postmarketing with the use of topical corticosteroid products, including betamethasone dipropionate ointment (augmented) [see Adverse Reactions ( 6.2 )]. Avoid contact of betamethasone dipropionate ointment (augmented) with eyes. Advise patients to report any visual symptoms and consider referral to an ophthalmologist for evaluation.

Storage and Handling

Betamethasone Dipropionate Ointment USP (Augmented), 0 . 05% is supplied in: 15 g (0.53 oz) NDC 0472-0382-15 45 g (1.59 oz) NDC 0472-0382-45 Store at 25°C (77°F); excursions permitted to 15° to 30°C (59° to 86°F) [see USP Controlled Room Temperature].

How Supplied

Betamethasone Dipropionate Ointment USP (Augmented), 0 . 05% is supplied in: 15 g (0.53 oz) NDC 0472-0382-15 45 g (1.59 oz) NDC 0472-0382-45 Store at 25°C (77°F); excursions permitted to 15° to 30°C (59° to 86°F) [see USP Controlled Room Temperature].

Patient Information

Betamethasone (bay -ta-meth -a-sone) Dipropionate (dye-proe -pee-oh-nate)

ointment (augmented)

Important information: betamethasone dipropionate ointment (augmented) is for use on skin only. Do not use betamethasone dipropionate ointment (augmented) in your eyes, mouth, or vagina.

What is betamethasone dipropionate ointment (augmented)?

Betamethasone dipropionate ointment (augmented) is a prescription corticosteroid medicine used on the skin (topical) for the relief of redness, swelling, heat, pain (inflammation) and itching, caused by certain skin problems in people 13 years of age and older.

  • Betamethasone dipropionate ointment (augmented) should not be used in children under 13 years of age.

Do not use betamethasone dipropionate ointment (augmented) if you are allergic to betamethasone dipropionate or any of the ingredients in betamethasone dipropionate ointment (augmented). See the end of this leaflet for a complete list of ingredients in betamethasone dipropionate ointment (augmented). 

Before using betamethasone dipropionate ointment (augmented), tell your healthcare provider about all of your medical conditions, including if you:

  • have had irritation or other skin reaction to a steroid medicine in the past.
  • have thinning of the skin (atrophy) at the treatment site.
  • have diabetes.
  • have adrenal gland problems.
  • have liver problems.
  • have cataracts or glaucoma.
  • are pregnant or plan to become pregnant. It is not known if betamethasone dipropionate ointment (augmented) will harm your unborn baby. If you use betamethasone dipropionate ointment (augmented) during pregnancy, use betamethasone dipropionate ointment (augmented) on the smallest area of the skin and for the shortest time needed.
  • are breastfeeding or plan to breastfeed. It is not known if betamethasone dipropionate ointment (augmented) passes into your breast milk. Breastfeeding women should use betamethasone dipropionate ointment (augmented) on the smallest area of skin and for the shortest time needed while breastfeeding. Do not apply betamethasone dipropionate ointment (augmented) directly to the nipple and areola to avoid contact with your baby.

Tell your healthcare provider about all the medicines you take, including prescription and over-the-counter medicines, vitamins, and herbal supplements.

Especially tell your healthcare provider if you take other corticosteroid medicines by mouth or injection or use other products on your skin or scalp that contain corticosteroids.

Do not use other products containing a steroid medicine with betamethasone dipropionate ointment (augmented) without talking to your healthcare provider first.

How should I use betamethasone dipropionate ointment (augmented)?

  • Use betamethasone dipropionate ointment (augmented) exactly as your healthcare provider tells you to use it.
  • Apply a thin layer (film) of betamethasone dipropionate ointment (augmented) to the affected skin area 1 or 2 times each day. Do not use more than 50 grams of betamethasone dipropionate ointment (augmented) in 1 week.
  • Do not use betamethasone dipropionate ointment (augmented) for longer than 2 weeks in a row unless your healthcare provider tells you to.
  • Tell your healthcare provider if the treated skin area does not get better after 2 weeks of treatment with betamethasone dipropionate ointment (augmented).
  • Do not bandage, cover, or wrap the treated skin area unless your healthcare provider tells you to.
  • Betamethasone dipropionate ointment (augmented) should not be used to treat diaper rash or redness.
  • Avoid using betamethasone dipropionate ointment (augmented) on the face, groin, or underarms (armpits) or if thinning of the skin (atrophy) is present at the treatment site.
  • Wash your hands after applying betamethasone dipropionate ointment (augmented) unless you are using the medicine to treat your hands.

What are the possible side effects of betamethasone dipropionate ointment (augmented)?

Betamethasone dipropionate ointment (augmented) may cause serious side effects, including:

  • Betamethasone dipropionate ointment (augmented) can pass through your skin. Too much betamethasone dipropionate ointment (augmented) passing through your skin can cause your adrenal glands to stop working properly. Your healthcare provider may do blood tests to check for adrenal gland problems.
  • Cushing’s syndrome, a condition that happens when your body is exposed to too much of the hormone cortisol.
  • High blood sugar (hyperglycemia).
  • Effects on growth and weight in children.
  • Vision problems. Topical corticosteroids including betamethasone dipropionate ointment (augmented) may increase your chance of developing cataract(s) and glaucoma. Tell your healthcare provider if you develop blurred vision or other vision problems during treatment with betamethasone dipropionate ointment (augmented).
  • Skin problems. Skin problems including, allergic reactions (contact dermatitis) may happen during treatment with betamethasone dipropionate ointment (augmented). Stop using betamethasone dipropionate ointment (augmented) and tell your healthcare provider if you develop any skin reactions or have problems with healing during treatment with betamethasone dipropionate ointment (augmented).

Your healthcare provider may do certain blood tests to check for side effects.

The most common side effects of betamethasone dipropionate ointment (augmented) include redness of the skin, inflamed hair follicles, itching and blistering.

These are not all of the possible side effects of betamethasone dipropionate ointment (augmented).

Call your doctor for medical advice about side effects. You may report side effects to FDA at 1-800-FDA-1088.

How should I store betamethasone dipropionate ointment (augmented)?

  • Store betamethasone dipropionate ointment (augmented) at 77°F (25°C); excursions permitted to 59° to 86°F (15° to 30°C).
  • Keep betamethasone dipropionate ointment (augmented) and all medicines out of the reach of children.

General information about the safe and effective use of betamethasone dipropionate ointment (augmented).

Medicines are sometimes prescribed for purposes other than those listed in a Patient Information leaflet. Do not use betamethasone dipropionate ointment (augmented) for a condition for which it was not prescribed. Do not give betamethasone dipropionate ointment (augmented) to other people, even if they have the same symptoms that you have. It may harm them. You can ask your pharmacist or healthcare provider for information about betamethasone dipropionate ointment (augmented) that is written for health professionals.

What are the ingredients in betamethasone dipropionate ointment (augmented)?

Active ingredient: betamethasone dipropionate

 Inactive ingredients: propylene glycol; propylene glycol stearate; white petrolatum; and white wax.

Manufactured For:

Teva Pharmaceuticals

Parsippany, NJ 07054

Rev. B 2/2023

Description

Betamethasone dipropionate ointment (augmented) is a corticosteroid indicated for the relief of the inflammatory and pruritic manifestations of corticosteroid-responsive dermatoses in patients 13 years of age or older.

8.1 Pregnancy

Risk Summary

There are no available data on betamethasone dipropionate ointment (augmented) use in pregnant women to identify a drug-associated risk of major birth defects, miscarriage, or adverse maternal or fetal outcomes.

Observational studies suggest an increased risk of low birthweight infants with the use of greater than 300 grams of potent or very potent topical corticosteroid during a pregnancy. Advise pregnant women that betamethasone dipropionate ointment (augmented) may increase the risk of having a low birthweight infant and to use betamethasone dipropionate ointment (augmented) on the smallest area of skin and for the shortest duration possible.

In animal reproduction studies, increased malformations, including umbilical hernias, cephalocele, and cleft palate, were observed after intramuscular administration of betamethasone dipropionate to pregnant rabbits. The available data do not allow the calculation of relevant comparisons between the systemic exposure of betamethasone dipropionate in animal studies to the systemic exposure that would be expected in humans after topical use of betamethasone dipropionate ointment (augmented) (see Data).

The background risk of major birth defects and miscarriage for the indicated population is unknown. All pregnancies have a background risk of birth defect, loss, or other adverse outcomes. In the U.S. general population, the estimated risk of major birth defects and miscarriage in clinically recognized pregnancies is 2% to 4% and 15% to 20%, respectively.

Data

Animal Data

Betamethasone dipropionate has been shown to cause malformations in rabbits when given by the intramuscular route at doses of 0.05 mg/kg. The abnormalities observed included umbilical hernias, cephalocele, and cleft palate.

8.2 Lactation

Risk Summary

There are no data regarding the presence of betamethasone dipropionate in human milk, the effects on the breastfed infant, or the effects on milk production after topical application of betamethasone dipropionate ointment (augmented) to women who are breastfeeding.

It is possible that topical administration of betamethasone dipropionate could result in sufficient systemic absorption to produce detectable quantities in human milk. The developmental and health benefits of breastfeeding should be considered along with the mother’s clinical need for betamethasone dipropionate ointment (augmented) and any potential adverse effects on the breastfed infant from betamethasone dipropionate ointment (augmented) or from the underlying maternal condition.

Clinical Considerations

To minimize potential exposure to the breastfed infant via breast milk, use betamethasone dipropionate ointment (augmented) on the smallest area of skin and for the shortest duration possible while breastfeeding. Advise breastfeeding women not to apply betamethasone dipropionate ointment (augmented) directly to the nipple and areola to avoid direct infant exposure [see Use in Specific Populations (8.4)].

11 Description

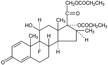
Betamethasone Dipropionate Ointment, USP (Augmented) contains betamethasone dipropionate, USP, a synthetic adrenocorticosteroid, for topical use. Betamethasone, an analog of prednisolone, has a high degree of corticosteroid activity and a slight degree of mineralocorticoid activity. Betamethasone dipropionate, USP is the 17, 21-dipropionate ester of betamethasone.

Chemically, betamethasone dipropionate, USP is 9-Fluoro-11β, 17,21-trihydroxy-16β-methylpregna-1,4-diene-3,20-dione 17,21-dipropionate, with the molecular formula C28H37FO7, a molecular weight of 504.59 and the following structural formula:

 

It is a white to creamy-white, odorless powder insoluble in water; freely soluble in acetone and in chloroform; sparingly soluble in alcohol.

Each gram of Betamethasone Dipropionate Ointment, USP (augmented) 0.05% contains 0.643 mg betamethasone dipropionate, USP (equivalent to 0.5 mg betamethasone), in an off-white ointment base of propylene glycol, propylene glycol stearate, white petrolatum, and white wax.

8.4 Pediatric Use

Use of betamethasone dipropionate ointment (augmented) in pediatric patients younger than 13 years of age is not recommended due to the potential for HPA axis suppression [see Warnings and Precautions (5.1)].

In an open-label HPA axis safety trial in subjects 3 months to 12 years of age with atopic dermatitis, betamethasone dipropionate cream 0.05% was applied twice daily for 2 to 3 weeks over a mean body surface area of 58% (range 35% to 95%). In 19 of 60 (32%) evaluable subjects, adrenal suppression was indicated by either a less than or equal to 5 mcg/dL pre-stimulation cortisol, or a cosyntropin post-stimulation cortisol less than or equal to 18 mcg/dL and/or an increase of less than 7 mcg/dL from the baseline cortisol. Out of the 19 subjects with HPA axis suppression, 4 subjects were tested 2 weeks after discontinuation of betamethasone dipropionate cream, and 3 of the 4 (75%) had complete recovery of HPA axis function. The proportion of subjects with adrenal suppression in this trial was progressively greater, the younger the age group.

Because of a higher ratio of skin surface area to body mass, pediatric patients are at a greater risk than adults of systemic toxicity when treated with topical drugs. They are, therefore, also at greater risk of

HPA axis suppression and adrenal insufficiency upon the use of topical corticosteroids.

Rare systemic effects such as Cushing's syndrome, linear growth retardation, delayed weight gain, and intracranial hypertension have been reported in pediatric patients, especially those with prolonged exposure to large doses of high potency topical corticosteroids.

Local adverse reactions including skin atrophy have also been reported with use of topical corticosteroids in pediatric patients.

Avoid use of betamethasone dipropionate ointment (augmented) in the treatment of diaper dermatitis.

8.5 Geriatric Use

Clinical trials of betamethasone dipropionate ointment (augmented) included 225 subjects who were 65 years of age and over and 46 subjects who were 75 years of age and over. No overall differences in safety or effectiveness were observed between these subjects and younger subjects, and other reported clinical experience has not identified differences in responses between the elderly and younger patients. However, greater sensitivity of some older individuals cannot be ruled out.

14 Clinical Studies

The safety and efficacy of betamethasone dipropionate ointment (augmented) for the treatment of corticosteroid-responsive dermatoses, psoriasis and atopic dermatitis, have been evaluated in three randomized active-controlled trials, two in psoriasis and one in atopic dermatitis. A total of 378 subjects, of whom 152 received betamethasone dipropionate ointment (augmented), were included in these trials. These trials evaluated betamethasone dipropionate ointment (augmented) applied twice daily, for 14 days. Betamethasone dipropionate ointment (augmented) was shown to be effective in relieving signs and symptoms of psoriasis and atopic dermatitis.

4 Contraindications

Betamethasone dipropionate ointment (augmented) is contraindicated in patients who are hypersensitive to betamethasone dipropionate, to other corticosteroids, or to any ingredient in this preparation.

6 Adverse Reactions

Most common adverse reactions (less than 1%) are: erythema, folliculitis, pruritus, and vesiculation. (6.1)

To report SUSPECTED ADVERSE REACTIONS, contact Teva at 1-888-838-2872 or FDA at 1-800-FDA-1088 or www.fda.gov/medwatch.

12.2 Pharmacodynamics

Vasoconstrictor Assay

Trials performed with betamethasone dipropionate ointment (augmented), 0.05% indicate that it is in the super-high range of potency as demonstrated in vasoconstrictor trials in healthy subjects when compared with other topical corticosteroids. However, similar blanching scores do not necessarily imply therapeutic equivalence.

12.3 Pharmacokinetics

No pharmacokinetics trials have been conducted with betamethasone dipropionate ointment (augmented).

The extent of percutaneous absorption of topical corticosteroids is determined by many factors including the vehicle, the integrity of the epidermal barrier, and the use of occlusive dressings.

Topical corticosteroids can be absorbed through normal intact skin. Inflammation and/or other disease processes in the skin may increase percutaneous absorption. Occlusive dressings substantially increase the percutaneous absorption of topical corticosteroids [see Dosage and Administration (2)].

Once absorbed through the skin, topical corticosteroids enter pharmacokinetic pathways similar to systemically administered corticosteroids. Corticosteroids are bound to plasma proteins in varying degrees, are metabolized primarily in the liver, and excreted by the kidneys. Some of the topical corticosteroids and their metabolites are also excreted into the bile.

1 Indications and Usage

Betamethasone dipropionate ointment (augmented) is a corticosteroid indicated for the relief of the inflammatory and pruritic manifestations of corticosteroid-responsive dermatoses in patients 13 years of age or older.

12.1 Mechanism of Action

Corticosteroids play a role in cellular signaling, immune function, inflammation, and protein regulation; however, the precise mechanism of action of betamethasone dipropionate ointment (augmented) in corticosteroid responsive dermatoses is unknown.

5 Warnings and Precautions
  • Effects on endocrine system: Betamethasone dipropionate ointment (augmented) can cause reversible HPA axis suppression with the potential for glucocorticosteroid insufficiency during and after withdrawal of treatment. Risk factor(s) include the use of high-potency topical corticosteroids, use over a large surface area or to areas under occlusion, prolonged use, altered skin barrier, liver failure, and use in pediatric patients. Modify use should HPA axis suppression develop. (5.1, 8.4)
  • Ophthalmic adverse reactions: Betamethasone dipropionate ointment (augmented) may increase the risk of cataracts and glaucoma. If visual symptoms occur, consider referral to an ophthalmologist for evaluation. (5.2)
2 Dosage and Administration

Apply a thin film of betamethasone dipropionate ointment (augmented) to the affected skin areas once or twice daily.

Therapy should be discontinued when control is achieved. If no improvement is seen within 2 weeks, reassessment of diagnosis may be necessary. Betamethasone dipropionate ointment (augmented) is a super-high-potency topical corticosteroid. Treatment with Betamethasone dipropionate ointment (augmented) should not exceed 50 g per week because of the potential for the drug to suppress the hypothalamic-pituitary-adrenal (HPA) axis [see Warnings and Precautions (5.1)].

Betamethasone dipropionate ointment (augmented) should not be used with occlusive dressings unless directed by a physician.

Avoid use on the face, groin, or axillae, or if skin atrophy is present at the treatment site.

Avoid contact with eyes. Wash hands after each application.

Betamethasone dipropionate ointment (augmented) is for topical use only. It is not for oral, ophthalmic, or intravaginal use.

3 Dosage Forms and Strengths

Ointment, 0.05%. Each gram of Betamethasone Dipropionate Ointment USP (augmented), 0.05% contains 0.643 mg betamethasone dipropionate, USP (equivalent to 0.5 mg betamethasone) in an off-white ointment base.

6.2 Postmarketing Experience

Because adverse reactions are reported voluntarily from a population of uncertain size, it is not always possible to reliably estimate their frequency or establish a causal relationship to drug exposure.

Postmarketing reports for local adverse reactions to topical corticosteroids may also include: skin atrophy, telangiectasias, burning, irritation, dryness, acneiform eruptions, hypopigmentation, perioral dermatitis, allergic contact dermatitis, secondary infection, hypertrichosis, striae, and miliaria.

Hypersensitivity reactions, consisting of predominantly skin signs and symptoms, e.g., contact dermatitis, pruritus, bullous dermatitis, and erythematous rash have been reported.

Ophthalmic adverse reactions of cataracts, glaucoma, increased intraocular pressure, and central serous chorioretinopathy have been reported with the use of topical corticosteroids, including topical betamethasone products.

6.1 Clinical Trials Experience

Because clinical trials are conducted under widely varying conditions, adverse reaction rates observed in the clinical trials of a drug cannot be directly compared to rates in the clinical trials of another drug and may not reflect the rates observed in clinical practice.

In controlled clinical trials, adverse reactions associated with the use of betamethasone dipropionate ointment (augmented) reported at a frequency of less than 1% included erythema, folliculitis, pruritus, and vesiculation.

5.1 Effects On Endocrine System

Betamethasone dipropionate ointment (augmented) can produce reversible hypothalamic-pituitary-adrenal (HPA) axis suppression with the potential for glucocorticosteroid insufficiency. This may occur during treatment or after withdrawal of treatment. Factors that predispose to HPA axis suppression include the use of high-potency steroids, large treatment surface areas, prolonged use, use of occlusive dressings, altered skin barrier, liver failure, and young age. Evaluation for HPA axis suppression may be done by using the adrenocorticotropic hormone (ACTH) stimulation test.

In a trial evaluating the effects of betamethasone dipropionate ointment (augmented) on the HPA axis, at 14 g per day, betamethasone dipropionate ointment (augmented) was shown to suppress the plasma levels of adrenal cortical hormones following repeated application to diseased skin in subjects with psoriasis. These effects were reversible upon discontinuation of treatment. At 7 g per day, betamethasone dipropionate ointment (augmented) was shown to cause minimal inhibition of the HPA axis when applied 2 times daily for 2 to 3 weeks in healthy subjects and in subjects with psoriasis and eczematous disorders.

With 6 g to 7 g of betamethasone dipropionate ointment (augmented) applied once daily for 3 weeks, no significant inhibition of the HPA axis was observed in subjects with psoriasis and atopic dermatitis, as measured by plasma cortisol and 24-hour urinary 17-hydroxy-corticosteroid levels.

If HPA axis suppression is documented, gradually withdraw the drug, reduce the frequency of application, or substitute with a less potent corticosteroid. Infrequently, signs and symptoms of steroid withdrawal may occur, requiring supplemental systemic corticosteroids.

Cushing’s syndrome and hyperglycemia may also occur with topical corticosteroids. These events are rare and generally occur after prolonged exposure to excessively large doses, especially of high-potency topical corticosteroids.

Pediatric patients may be more susceptible to systemic toxicity due to their larger skin surface to body mass ratios [see Use in Specific Populations (8.4)].

5.3 Allergic Contact Dermatitis

Allergic contact dermatitis with corticosteroids is usually diagnosed by observing failure to heal rather than noting a clinical exacerbation. Such an observation should be corroborated with appropriate diagnostic patch testing. If irritation develops, topical corticosteroids should be discontinued and appropriate therapy instituted.

5.2 Ophthalmic Adverse Reactions

Use of topical corticosteroids, including betamethasone dipropionate ointment (augmented), may increase the risk of posterior subcapsular cataracts and glaucoma. Cataracts and glaucoma have been reported postmarketing with the use of topical corticosteroid products, including betamethasone dipropionate ointment (augmented) [see Adverse Reactions (6.2)].

Avoid contact of betamethasone dipropionate ointment (augmented) with eyes. Advise patients to report any visual symptoms and consider referral to an ophthalmologist for evaluation.

17 Patient Counseling Information

Advise the patient to read the FDA-approved patient labeling (Patient Information).

Inform patients of the following:

  • Discontinue therapy when control is achieved, unless directed otherwise by the physician.
  • Use no more than 50 grams per week of betamethasone dipropionate ointment (augmented) and no longer than 2 consecutive weeks.
  • Avoid contact with the eyes.
  • Advise patients to report any visual symptoms to their healthcare providers.
  • Avoid use of betamethasone dipropionate ointment (augmented) on the face, underarms, or groin areas unless directed by the physician.
  • Do not occlude the treatment area with bandage or other covering, unless directed by the physician.
  • Note that local reactions and skin atrophy are more likely to occur with occlusive use, prolonged use or use of higher potency corticosteroids.
  • Advise a woman to use betamethasone dipropionate ointment (augmented) on the smallest area of skin and for the shortest duration possible while pregnant or breastfeeding. Advise breastfeeding women not to apply betamethasone dipropionate ointment (augmented) directly to the nipple and areola to avoid direct infant exposure. 

Manufactured For:

Teva Pharmaceuticals

Parsippany, NJ 07054

Rev. B 2/2023

16 How Supplied/storage and Handling

Betamethasone Dipropionate Ointment USP (Augmented), 0.05% is supplied in:

  • 15 g (0.53 oz) NDC 0472-0382-15
  • 45 g (1.59 oz) NDC 0472-0382-45

Store at 25°C (77°F); excursions permitted to 15° to 30°C (59° to 86°F) [see USP Controlled Room Temperature].

Package Label.principal Display Panel

NDC 0472-0382-15

Betamethasone Dipropionate Ointment, USP (Augmented)

0.05%*

*Strength expressed as betamethasone

For Topical Use Only.  Not for oral, ophthalmic, or intravaginal use.

15 g (0.53 oz)

Rx only

13.1 Carcinogenesis, Mutagenesis, Impairment of Fertility

Long-term animal studies have not been performed to evaluate the carcinogenic potential of betamethasone dipropionate.

Betamethasone was negative in the bacterial mutagenicity assay (Salmonella typhimurium and Escherichia coli), and in the mammalian cell mutagenicity assay (CHO/HGPRT). It was positive in the in vitro human lymphocyte chromosome aberration assay, and equivocal in the in vivo mouse bone marrow micronucleus assay.

Studies in rabbits, mice, and rats using intramuscular doses up to 1, 33, and 2 mg/kg, respectively, resulted in dose-related increases in fetal resorptions in rabbits and mice.


Structured Label Content

8.1 Pregnancy

Risk Summary

There are no available data on betamethasone dipropionate ointment (augmented) use in pregnant women to identify a drug-associated risk of major birth defects, miscarriage, or adverse maternal or fetal outcomes.

Observational studies suggest an increased risk of low birthweight infants with the use of greater than 300 grams of potent or very potent topical corticosteroid during a pregnancy. Advise pregnant women that betamethasone dipropionate ointment (augmented) may increase the risk of having a low birthweight infant and to use betamethasone dipropionate ointment (augmented) on the smallest area of skin and for the shortest duration possible.

In animal reproduction studies, increased malformations, including umbilical hernias, cephalocele, and cleft palate, were observed after intramuscular administration of betamethasone dipropionate to pregnant rabbits. The available data do not allow the calculation of relevant comparisons between the systemic exposure of betamethasone dipropionate in animal studies to the systemic exposure that would be expected in humans after topical use of betamethasone dipropionate ointment (augmented) (see Data).

The background risk of major birth defects and miscarriage for the indicated population is unknown. All pregnancies have a background risk of birth defect, loss, or other adverse outcomes. In the U.S. general population, the estimated risk of major birth defects and miscarriage in clinically recognized pregnancies is 2% to 4% and 15% to 20%, respectively.

Data

Animal Data

Betamethasone dipropionate has been shown to cause malformations in rabbits when given by the intramuscular route at doses of 0.05 mg/kg. The abnormalities observed included umbilical hernias, cephalocele, and cleft palate.

8.2 Lactation

Risk Summary

There are no data regarding the presence of betamethasone dipropionate in human milk, the effects on the breastfed infant, or the effects on milk production after topical application of betamethasone dipropionate ointment (augmented) to women who are breastfeeding.

It is possible that topical administration of betamethasone dipropionate could result in sufficient systemic absorption to produce detectable quantities in human milk. The developmental and health benefits of breastfeeding should be considered along with the mother’s clinical need for betamethasone dipropionate ointment (augmented) and any potential adverse effects on the breastfed infant from betamethasone dipropionate ointment (augmented) or from the underlying maternal condition.

Clinical Considerations

To minimize potential exposure to the breastfed infant via breast milk, use betamethasone dipropionate ointment (augmented) on the smallest area of skin and for the shortest duration possible while breastfeeding. Advise breastfeeding women not to apply betamethasone dipropionate ointment (augmented) directly to the nipple and areola to avoid direct infant exposure [see Use in Specific Populations (8.4)].

11 Description (11 DESCRIPTION)

Betamethasone Dipropionate Ointment, USP (Augmented) contains betamethasone dipropionate, USP, a synthetic adrenocorticosteroid, for topical use. Betamethasone, an analog of prednisolone, has a high degree of corticosteroid activity and a slight degree of mineralocorticoid activity. Betamethasone dipropionate, USP is the 17, 21-dipropionate ester of betamethasone.

Chemically, betamethasone dipropionate, USP is 9-Fluoro-11β, 17,21-trihydroxy-16β-methylpregna-1,4-diene-3,20-dione 17,21-dipropionate, with the molecular formula C28H37FO7, a molecular weight of 504.59 and the following structural formula:

 

It is a white to creamy-white, odorless powder insoluble in water; freely soluble in acetone and in chloroform; sparingly soluble in alcohol.

Each gram of Betamethasone Dipropionate Ointment, USP (augmented) 0.05% contains 0.643 mg betamethasone dipropionate, USP (equivalent to 0.5 mg betamethasone), in an off-white ointment base of propylene glycol, propylene glycol stearate, white petrolatum, and white wax.

8.4 Pediatric Use

Use of betamethasone dipropionate ointment (augmented) in pediatric patients younger than 13 years of age is not recommended due to the potential for HPA axis suppression [see Warnings and Precautions (5.1)].

In an open-label HPA axis safety trial in subjects 3 months to 12 years of age with atopic dermatitis, betamethasone dipropionate cream 0.05% was applied twice daily for 2 to 3 weeks over a mean body surface area of 58% (range 35% to 95%). In 19 of 60 (32%) evaluable subjects, adrenal suppression was indicated by either a less than or equal to 5 mcg/dL pre-stimulation cortisol, or a cosyntropin post-stimulation cortisol less than or equal to 18 mcg/dL and/or an increase of less than 7 mcg/dL from the baseline cortisol. Out of the 19 subjects with HPA axis suppression, 4 subjects were tested 2 weeks after discontinuation of betamethasone dipropionate cream, and 3 of the 4 (75%) had complete recovery of HPA axis function. The proportion of subjects with adrenal suppression in this trial was progressively greater, the younger the age group.

Because of a higher ratio of skin surface area to body mass, pediatric patients are at a greater risk than adults of systemic toxicity when treated with topical drugs. They are, therefore, also at greater risk of

HPA axis suppression and adrenal insufficiency upon the use of topical corticosteroids.

Rare systemic effects such as Cushing's syndrome, linear growth retardation, delayed weight gain, and intracranial hypertension have been reported in pediatric patients, especially those with prolonged exposure to large doses of high potency topical corticosteroids.

Local adverse reactions including skin atrophy have also been reported with use of topical corticosteroids in pediatric patients.

Avoid use of betamethasone dipropionate ointment (augmented) in the treatment of diaper dermatitis.

8.5 Geriatric Use

Clinical trials of betamethasone dipropionate ointment (augmented) included 225 subjects who were 65 years of age and over and 46 subjects who were 75 years of age and over. No overall differences in safety or effectiveness were observed between these subjects and younger subjects, and other reported clinical experience has not identified differences in responses between the elderly and younger patients. However, greater sensitivity of some older individuals cannot be ruled out.

14 Clinical Studies (14 CLINICAL STUDIES)

The safety and efficacy of betamethasone dipropionate ointment (augmented) for the treatment of corticosteroid-responsive dermatoses, psoriasis and atopic dermatitis, have been evaluated in three randomized active-controlled trials, two in psoriasis and one in atopic dermatitis. A total of 378 subjects, of whom 152 received betamethasone dipropionate ointment (augmented), were included in these trials. These trials evaluated betamethasone dipropionate ointment (augmented) applied twice daily, for 14 days. Betamethasone dipropionate ointment (augmented) was shown to be effective in relieving signs and symptoms of psoriasis and atopic dermatitis.

4 Contraindications (4 CONTRAINDICATIONS)

Betamethasone dipropionate ointment (augmented) is contraindicated in patients who are hypersensitive to betamethasone dipropionate, to other corticosteroids, or to any ingredient in this preparation.

6 Adverse Reactions (6 ADVERSE REACTIONS)

Most common adverse reactions (less than 1%) are: erythema, folliculitis, pruritus, and vesiculation. (6.1)

To report SUSPECTED ADVERSE REACTIONS, contact Teva at 1-888-838-2872 or FDA at 1-800-FDA-1088 or www.fda.gov/medwatch.

Patient Information (PATIENT INFORMATION)

Betamethasone (bay -ta-meth -a-sone) Dipropionate (dye-proe -pee-oh-nate)

ointment (augmented)

Important information: betamethasone dipropionate ointment (augmented) is for use on skin only. Do not use betamethasone dipropionate ointment (augmented) in your eyes, mouth, or vagina.

What is betamethasone dipropionate ointment (augmented)?

Betamethasone dipropionate ointment (augmented) is a prescription corticosteroid medicine used on the skin (topical) for the relief of redness, swelling, heat, pain (inflammation) and itching, caused by certain skin problems in people 13 years of age and older.

  • Betamethasone dipropionate ointment (augmented) should not be used in children under 13 years of age.

Do not use betamethasone dipropionate ointment (augmented) if you are allergic to betamethasone dipropionate or any of the ingredients in betamethasone dipropionate ointment (augmented). See the end of this leaflet for a complete list of ingredients in betamethasone dipropionate ointment (augmented). 

Before using betamethasone dipropionate ointment (augmented), tell your healthcare provider about all of your medical conditions, including if you:

  • have had irritation or other skin reaction to a steroid medicine in the past.
  • have thinning of the skin (atrophy) at the treatment site.
  • have diabetes.
  • have adrenal gland problems.
  • have liver problems.
  • have cataracts or glaucoma.
  • are pregnant or plan to become pregnant. It is not known if betamethasone dipropionate ointment (augmented) will harm your unborn baby. If you use betamethasone dipropionate ointment (augmented) during pregnancy, use betamethasone dipropionate ointment (augmented) on the smallest area of the skin and for the shortest time needed.
  • are breastfeeding or plan to breastfeed. It is not known if betamethasone dipropionate ointment (augmented) passes into your breast milk. Breastfeeding women should use betamethasone dipropionate ointment (augmented) on the smallest area of skin and for the shortest time needed while breastfeeding. Do not apply betamethasone dipropionate ointment (augmented) directly to the nipple and areola to avoid contact with your baby.

Tell your healthcare provider about all the medicines you take, including prescription and over-the-counter medicines, vitamins, and herbal supplements.

Especially tell your healthcare provider if you take other corticosteroid medicines by mouth or injection or use other products on your skin or scalp that contain corticosteroids.

Do not use other products containing a steroid medicine with betamethasone dipropionate ointment (augmented) without talking to your healthcare provider first.

How should I use betamethasone dipropionate ointment (augmented)?

  • Use betamethasone dipropionate ointment (augmented) exactly as your healthcare provider tells you to use it.
  • Apply a thin layer (film) of betamethasone dipropionate ointment (augmented) to the affected skin area 1 or 2 times each day. Do not use more than 50 grams of betamethasone dipropionate ointment (augmented) in 1 week.
  • Do not use betamethasone dipropionate ointment (augmented) for longer than 2 weeks in a row unless your healthcare provider tells you to.
  • Tell your healthcare provider if the treated skin area does not get better after 2 weeks of treatment with betamethasone dipropionate ointment (augmented).
  • Do not bandage, cover, or wrap the treated skin area unless your healthcare provider tells you to.
  • Betamethasone dipropionate ointment (augmented) should not be used to treat diaper rash or redness.
  • Avoid using betamethasone dipropionate ointment (augmented) on the face, groin, or underarms (armpits) or if thinning of the skin (atrophy) is present at the treatment site.
  • Wash your hands after applying betamethasone dipropionate ointment (augmented) unless you are using the medicine to treat your hands.

What are the possible side effects of betamethasone dipropionate ointment (augmented)?

Betamethasone dipropionate ointment (augmented) may cause serious side effects, including:

  • Betamethasone dipropionate ointment (augmented) can pass through your skin. Too much betamethasone dipropionate ointment (augmented) passing through your skin can cause your adrenal glands to stop working properly. Your healthcare provider may do blood tests to check for adrenal gland problems.
  • Cushing’s syndrome, a condition that happens when your body is exposed to too much of the hormone cortisol.
  • High blood sugar (hyperglycemia).
  • Effects on growth and weight in children.
  • Vision problems. Topical corticosteroids including betamethasone dipropionate ointment (augmented) may increase your chance of developing cataract(s) and glaucoma. Tell your healthcare provider if you develop blurred vision or other vision problems during treatment with betamethasone dipropionate ointment (augmented).
  • Skin problems. Skin problems including, allergic reactions (contact dermatitis) may happen during treatment with betamethasone dipropionate ointment (augmented). Stop using betamethasone dipropionate ointment (augmented) and tell your healthcare provider if you develop any skin reactions or have problems with healing during treatment with betamethasone dipropionate ointment (augmented).

Your healthcare provider may do certain blood tests to check for side effects.

The most common side effects of betamethasone dipropionate ointment (augmented) include redness of the skin, inflamed hair follicles, itching and blistering.

These are not all of the possible side effects of betamethasone dipropionate ointment (augmented).

Call your doctor for medical advice about side effects. You may report side effects to FDA at 1-800-FDA-1088.

How should I store betamethasone dipropionate ointment (augmented)?

  • Store betamethasone dipropionate ointment (augmented) at 77°F (25°C); excursions permitted to 59° to 86°F (15° to 30°C).
  • Keep betamethasone dipropionate ointment (augmented) and all medicines out of the reach of children.

General information about the safe and effective use of betamethasone dipropionate ointment (augmented).

Medicines are sometimes prescribed for purposes other than those listed in a Patient Information leaflet. Do not use betamethasone dipropionate ointment (augmented) for a condition for which it was not prescribed. Do not give betamethasone dipropionate ointment (augmented) to other people, even if they have the same symptoms that you have. It may harm them. You can ask your pharmacist or healthcare provider for information about betamethasone dipropionate ointment (augmented) that is written for health professionals.

What are the ingredients in betamethasone dipropionate ointment (augmented)?

Active ingredient: betamethasone dipropionate

 Inactive ingredients: propylene glycol; propylene glycol stearate; white petrolatum; and white wax.

Manufactured For:

Teva Pharmaceuticals

Parsippany, NJ 07054

Rev. B 2/2023

12.2 Pharmacodynamics

Vasoconstrictor Assay

Trials performed with betamethasone dipropionate ointment (augmented), 0.05% indicate that it is in the super-high range of potency as demonstrated in vasoconstrictor trials in healthy subjects when compared with other topical corticosteroids. However, similar blanching scores do not necessarily imply therapeutic equivalence.

12.3 Pharmacokinetics

No pharmacokinetics trials have been conducted with betamethasone dipropionate ointment (augmented).

The extent of percutaneous absorption of topical corticosteroids is determined by many factors including the vehicle, the integrity of the epidermal barrier, and the use of occlusive dressings.

Topical corticosteroids can be absorbed through normal intact skin. Inflammation and/or other disease processes in the skin may increase percutaneous absorption. Occlusive dressings substantially increase the percutaneous absorption of topical corticosteroids [see Dosage and Administration (2)].

Once absorbed through the skin, topical corticosteroids enter pharmacokinetic pathways similar to systemically administered corticosteroids. Corticosteroids are bound to plasma proteins in varying degrees, are metabolized primarily in the liver, and excreted by the kidneys. Some of the topical corticosteroids and their metabolites are also excreted into the bile.

1 Indications and Usage (1 INDICATIONS AND USAGE)

Betamethasone dipropionate ointment (augmented) is a corticosteroid indicated for the relief of the inflammatory and pruritic manifestations of corticosteroid-responsive dermatoses in patients 13 years of age or older.

12.1 Mechanism of Action

Corticosteroids play a role in cellular signaling, immune function, inflammation, and protein regulation; however, the precise mechanism of action of betamethasone dipropionate ointment (augmented) in corticosteroid responsive dermatoses is unknown.

5 Warnings and Precautions (5 WARNINGS AND PRECAUTIONS)
  • Effects on endocrine system: Betamethasone dipropionate ointment (augmented) can cause reversible HPA axis suppression with the potential for glucocorticosteroid insufficiency during and after withdrawal of treatment. Risk factor(s) include the use of high-potency topical corticosteroids, use over a large surface area or to areas under occlusion, prolonged use, altered skin barrier, liver failure, and use in pediatric patients. Modify use should HPA axis suppression develop. (5.1, 8.4)
  • Ophthalmic adverse reactions: Betamethasone dipropionate ointment (augmented) may increase the risk of cataracts and glaucoma. If visual symptoms occur, consider referral to an ophthalmologist for evaluation. (5.2)
2 Dosage and Administration (2 DOSAGE AND ADMINISTRATION)

Apply a thin film of betamethasone dipropionate ointment (augmented) to the affected skin areas once or twice daily.

Therapy should be discontinued when control is achieved. If no improvement is seen within 2 weeks, reassessment of diagnosis may be necessary. Betamethasone dipropionate ointment (augmented) is a super-high-potency topical corticosteroid. Treatment with Betamethasone dipropionate ointment (augmented) should not exceed 50 g per week because of the potential for the drug to suppress the hypothalamic-pituitary-adrenal (HPA) axis [see Warnings and Precautions (5.1)].

Betamethasone dipropionate ointment (augmented) should not be used with occlusive dressings unless directed by a physician.

Avoid use on the face, groin, or axillae, or if skin atrophy is present at the treatment site.

Avoid contact with eyes. Wash hands after each application.

Betamethasone dipropionate ointment (augmented) is for topical use only. It is not for oral, ophthalmic, or intravaginal use.

3 Dosage Forms and Strengths (3 DOSAGE FORMS AND STRENGTHS)

Ointment, 0.05%. Each gram of Betamethasone Dipropionate Ointment USP (augmented), 0.05% contains 0.643 mg betamethasone dipropionate, USP (equivalent to 0.5 mg betamethasone) in an off-white ointment base.

6.2 Postmarketing Experience

Because adverse reactions are reported voluntarily from a population of uncertain size, it is not always possible to reliably estimate their frequency or establish a causal relationship to drug exposure.

Postmarketing reports for local adverse reactions to topical corticosteroids may also include: skin atrophy, telangiectasias, burning, irritation, dryness, acneiform eruptions, hypopigmentation, perioral dermatitis, allergic contact dermatitis, secondary infection, hypertrichosis, striae, and miliaria.

Hypersensitivity reactions, consisting of predominantly skin signs and symptoms, e.g., contact dermatitis, pruritus, bullous dermatitis, and erythematous rash have been reported.

Ophthalmic adverse reactions of cataracts, glaucoma, increased intraocular pressure, and central serous chorioretinopathy have been reported with the use of topical corticosteroids, including topical betamethasone products.

6.1 Clinical Trials Experience

Because clinical trials are conducted under widely varying conditions, adverse reaction rates observed in the clinical trials of a drug cannot be directly compared to rates in the clinical trials of another drug and may not reflect the rates observed in clinical practice.

In controlled clinical trials, adverse reactions associated with the use of betamethasone dipropionate ointment (augmented) reported at a frequency of less than 1% included erythema, folliculitis, pruritus, and vesiculation.

5.1 Effects On Endocrine System (5.1 Effects on Endocrine System)

Betamethasone dipropionate ointment (augmented) can produce reversible hypothalamic-pituitary-adrenal (HPA) axis suppression with the potential for glucocorticosteroid insufficiency. This may occur during treatment or after withdrawal of treatment. Factors that predispose to HPA axis suppression include the use of high-potency steroids, large treatment surface areas, prolonged use, use of occlusive dressings, altered skin barrier, liver failure, and young age. Evaluation for HPA axis suppression may be done by using the adrenocorticotropic hormone (ACTH) stimulation test.

In a trial evaluating the effects of betamethasone dipropionate ointment (augmented) on the HPA axis, at 14 g per day, betamethasone dipropionate ointment (augmented) was shown to suppress the plasma levels of adrenal cortical hormones following repeated application to diseased skin in subjects with psoriasis. These effects were reversible upon discontinuation of treatment. At 7 g per day, betamethasone dipropionate ointment (augmented) was shown to cause minimal inhibition of the HPA axis when applied 2 times daily for 2 to 3 weeks in healthy subjects and in subjects with psoriasis and eczematous disorders.

With 6 g to 7 g of betamethasone dipropionate ointment (augmented) applied once daily for 3 weeks, no significant inhibition of the HPA axis was observed in subjects with psoriasis and atopic dermatitis, as measured by plasma cortisol and 24-hour urinary 17-hydroxy-corticosteroid levels.

If HPA axis suppression is documented, gradually withdraw the drug, reduce the frequency of application, or substitute with a less potent corticosteroid. Infrequently, signs and symptoms of steroid withdrawal may occur, requiring supplemental systemic corticosteroids.

Cushing’s syndrome and hyperglycemia may also occur with topical corticosteroids. These events are rare and generally occur after prolonged exposure to excessively large doses, especially of high-potency topical corticosteroids.

Pediatric patients may be more susceptible to systemic toxicity due to their larger skin surface to body mass ratios [see Use in Specific Populations (8.4)].

5.3 Allergic Contact Dermatitis

Allergic contact dermatitis with corticosteroids is usually diagnosed by observing failure to heal rather than noting a clinical exacerbation. Such an observation should be corroborated with appropriate diagnostic patch testing. If irritation develops, topical corticosteroids should be discontinued and appropriate therapy instituted.

5.2 Ophthalmic Adverse Reactions

Use of topical corticosteroids, including betamethasone dipropionate ointment (augmented), may increase the risk of posterior subcapsular cataracts and glaucoma. Cataracts and glaucoma have been reported postmarketing with the use of topical corticosteroid products, including betamethasone dipropionate ointment (augmented) [see Adverse Reactions (6.2)].

Avoid contact of betamethasone dipropionate ointment (augmented) with eyes. Advise patients to report any visual symptoms and consider referral to an ophthalmologist for evaluation.

17 Patient Counseling Information (17 PATIENT COUNSELING INFORMATION)

Advise the patient to read the FDA-approved patient labeling (Patient Information).

Inform patients of the following:

  • Discontinue therapy when control is achieved, unless directed otherwise by the physician.
  • Use no more than 50 grams per week of betamethasone dipropionate ointment (augmented) and no longer than 2 consecutive weeks.
  • Avoid contact with the eyes.
  • Advise patients to report any visual symptoms to their healthcare providers.
  • Avoid use of betamethasone dipropionate ointment (augmented) on the face, underarms, or groin areas unless directed by the physician.
  • Do not occlude the treatment area with bandage or other covering, unless directed by the physician.
  • Note that local reactions and skin atrophy are more likely to occur with occlusive use, prolonged use or use of higher potency corticosteroids.
  • Advise a woman to use betamethasone dipropionate ointment (augmented) on the smallest area of skin and for the shortest duration possible while pregnant or breastfeeding. Advise breastfeeding women not to apply betamethasone dipropionate ointment (augmented) directly to the nipple and areola to avoid direct infant exposure. 

Manufactured For:

Teva Pharmaceuticals

Parsippany, NJ 07054

Rev. B 2/2023

16 How Supplied/storage and Handling (16 HOW SUPPLIED/STORAGE AND HANDLING)

Betamethasone Dipropionate Ointment USP (Augmented), 0.05% is supplied in:

  • 15 g (0.53 oz) NDC 0472-0382-15
  • 45 g (1.59 oz) NDC 0472-0382-45

Store at 25°C (77°F); excursions permitted to 15° to 30°C (59° to 86°F) [see USP Controlled Room Temperature].

Package Label.principal Display Panel (PACKAGE LABEL.PRINCIPAL DISPLAY PANEL)

NDC 0472-0382-15

Betamethasone Dipropionate Ointment, USP (Augmented)

0.05%*

*Strength expressed as betamethasone

For Topical Use Only.  Not for oral, ophthalmic, or intravaginal use.

15 g (0.53 oz)

Rx only

13.1 Carcinogenesis, Mutagenesis, Impairment of Fertility

Long-term animal studies have not been performed to evaluate the carcinogenic potential of betamethasone dipropionate.

Betamethasone was negative in the bacterial mutagenicity assay (Salmonella typhimurium and Escherichia coli), and in the mammalian cell mutagenicity assay (CHO/HGPRT). It was positive in the in vitro human lymphocyte chromosome aberration assay, and equivocal in the in vivo mouse bone marrow micronucleus assay.

Studies in rabbits, mice, and rats using intramuscular doses up to 1, 33, and 2 mg/kg, respectively, resulted in dose-related increases in fetal resorptions in rabbits and mice.


Advanced Ingredient Data


Raw Label Data

All Sections (JSON)