These Highlights Do Not Include All The Information Needed To Use Omeprazole Delayed-release Capsules Safely And Effectively. See Full Prescribing Information For Omeprazole Delayed-release Capsules.

These Highlights Do Not Include All The Information Needed To Use Omeprazole Delayed-release Capsules Safely And Effectively. See Full Prescribing Information For Omeprazole Delayed-release Capsules.
SPL v4
SPL
SPL Set ID af707c0a-5193-3f83-e053-2995a90a78ef
Route
ORAL
Published
Effective Date 2026-03-11
Document Type 34391-3 HUMAN PRESCRIPTION DRUG LABEL

Drug Facts

Composition & Product

Active Ingredients
Omeprazole (20 mg)
Inactive Ingredients
Sodium Phosphate, Dibasic, Dihydrate Hydroxypropyl Cellulose (1600000 Wamw) Hypromellose 2910 (5 Mpa.s) Lactose Monohydrate Mannitol Methacrylic Acid - Ethyl Acrylate Copolymer (1:1) Type A Microcrystalline Cellulose Glyceryl Monostearate Polysorbate 80 Sodium Lauryl Sulfate Talc Titanium Dioxide Triethyl Citrate Gelatin, Unspecified Ferric Oxide Red Ferrosoferric Oxide Potassium Hydroxide Propylene Glycol Shellac Ammonia

Identifiers & Packaging

Pill Appearance
Imprint: E;67 Shape: capsule Color: brown Color: pink Size: 19 mm Score: 1
Marketing Status
ANDA Active Since 2015-08-19

Description

Warnings and Precautions, Fundic Gland Polyps ( 5.12 )            01/2018

Indications and Usage

Omeprazole is a proton pump inhibitor (PPI) indicated for the: Treatment of active duodenal ulcer in adults ( 1.1 ) Eradication of Helicobacter pylori to reduce the risk of duodenal ulcer recurrence in adults ( 1.2 ) Treatment of active benign gastric ulcer in adults ( 1.3 ) Treatment of symptomatic gastroesophageal reflux disease (GERD) in patients 2 years of age and older ( 1.4 ) Maintenance of healing of EE due to acid-mediated GERD in patients 2 years of age and older ( 1.6 ) Pathologic hypersecretory conditions in adults ( 1.7 )

Dosage and Administration

* if ulcer present, continue omeprazole delayed-release capsules 20 mg once daily for an additional 18 days. ** if ulcer present, continue omeprazole delayed-release capsules 20 mg once daily for an additional 14 days. *** an additional 4 weeks of treatment may be given if no response; if recurrence additional 4 to 8 week courses may be considered. **** studied for 12 months. Reduce the dosage to 10 mg once daily for patients with hepatic impairment (Child-Pugh Class A, B, or C) and Asian patients ( 8.6 , 8.7 ) Indication Recommended Adult ( 2.1 ) and Pediatric Dosage ( 2.2 ) Treatment of Active Duodenal Ulcer 20 mg once daily for 4 weeks; some patients may require an additional 4 weeks ( 2.1 ) H. pylori Eradication to Reduce the Risk of Duodenal Ulcer Recurrence Triple Therapy:   Omeprazole delayed- release capsules 20 mg Each drug twice daily for 10 days ( 2.1 )* Amoxicillin 1000 mg Clarithromycin 500 mg Dual Therapy :     Omeprazole delayed- release capsules 40 mg once daily for 14 days** Clarithromycin 500 mg three times daily for 14 days ( 2.1 ) Active Benign Gastric Ulcer 40 mg once daily for 4 to 8 weeks ( 2.1 ) Symptomatic GERD 20 mg once daily for up to 4 weeks ( 2.1 ) See full prescribing information for weight based dosing in pediatric patients 2 years of age and older ( 2.2 ) EE due to Acid-Mediated GERD 20 mg once daily for 4 to 8 weeks ( 2.1 )*** Maintenance of Healing of EE due to Acid-Mediated GERD 20 mg once daily ( 2.1 )**** See full prescribing information for weight based dosing in pediatric patients 2 years of age and older ( 2.2 ) Pathological Hypersecretory Conditions Starting dose is 60 mg once daily (varies with individual patient, see full prescribing information) as long as clinically indicated ( 2.1 )

Warnings and Precautions

Gastric Malignancy: In adults, symptomatic response does not preclude the presence of gastric malignancy. Consider additional follow-up and diagnostic testing. ( 5.1 ) Tubulointerstitial Nephritis: Evaluate unexplained decrease in glomerular filtration rate; discontinue treatment. ( 5.2 ) Clostridium difficile -Associated Diarrhea: PPI therapy may be associated with increased risk. ( 5.3 ) Bone Fracture: Long-term and multiple daily dose PPI therapy may be associated with an increased risk for osteoporosis-related fractures of the hip, wrist or spine. ( 5.4 ) Cutaneous and Systemic Lupus Erythematosus: Mostly cutaneous; new onset or exacerbation of existing disease; discontinue omeprazole and refer to specialist for evaluation. ( 5.5 ) Interaction with Clopidogrel: Avoid concomitant use of omeprazole.( 5.6 , 7 ) Cyanocobalamin (Vitamin B-12) Deficiency: Daily long-term use (e.g., longer than 3 years) may lead to malabsorption or a deficiency of cyanocobalamin. ( 5.7 ) Hypomagnesemia: Reported rarely with prolonged treatment with PPIs. ( 5.8 ) Interaction with St. John’s Wort or Rifampin: Avoid concomitant use of omeprazole. ( 5.9 , 7 ) Interactions with Diagnostic Investigations for Neuroendocrine Tumors: Increased Chromogranin A (CgA) levels may interfere with diagnostic investigations for neuroendocrine tumors; temporarily stop omeprazole at least 14 days before assessing CgA levels. ( 5.10 , 7 ) Interaction with Methotrexate: Concomitant use with PPIs may elevate and/or prolong serum concentrations of methotrexate and/or its metabolite, possibly leading to toxicity. With high dose methotrexate administration, consider a temporary withdrawal of omeprazole. ( 5.11 , 7 ) Fundic Gland Polyps : Risk increases with long-term use, especially beyond one year. Use the shortest duration of therapy. ( 5.12 )

Contraindications

Omeprazole delayed-release capsules are contraindicated in patients with known hypersensitivity reactions including anaphylaxis to the formulation [see Warnings and Precautions (5.2) ] or any substituted benzimidazole. Hypersensitivity reactions may include anaphylaxis, anaphylactic shock, angioedema, bronchospasm, and urticaria [see Adverse Reactions (6) ] . Proton pump inhibitors (PPIs), including omeprazole delayed-release capsules, are contraindicated in patients receiving rilpivirine-containing products [see Drug Interactions (7) ]. For information about contraindications of antibacterial agents (clarithromycin and amoxicillin) indicated in combination with omeprazole delayed-release capsules, refer to the CONTRAINDICATIONS section of their package inserts.

Adverse Reactions

The following serious adverse reactions are described below and elsewhere in labeling: Tubulointerstitial Nephritis [see Warnings and Precautions (5.2) ] Clostridium difficile -Associated Diarrhea [see Warnings and Precautions (5.3) ] Bone Fracture [see Warnings and Precautions (5.4) ] Cutaneous and Systemic Lupus Erythematosus [see Warnings and Precautions (5.5) ] Cyanocobalamin (Vitamin B-12) Deficiency [see Warnings and Precautions (5.7) ] Hypomagnesemia [see Warnings and Precautions (5.8) ] Fundic Gland Polyps [see Warnings and Precautions (5.12) ]

Drug Interactions

Tables 3 and 4 include drugs with clinically important drug interactions and interaction with diagnostics when administered concomitantly with omeprazole and instructions for preventing or managing them. Consult the labeling of concomitantly used drugs to obtain further information about interactions with PPIs. Table 3: Clinically Relevant Interactions Affecting Drugs Co-Administered with Omeprazole and Interaction with Diagnostics Antiretrovirals Clinical Impact: The effect of PPIs on antiretroviral drugs is variable. The clinical importance and the mechanisms behind these interactions are not always known.   Decreased exposure of some antiretroviral drugs (e.g., rilpivirine, atazanavir and nelfinavir) when used concomitantly with omeprazole may reduce antiviral effect and promote the development of drug resistance [see Clinical Pharmacology (12.3) ]. Increased exposure of other antiretroviral drugs (e.g., saquinavir) when used concomitantly with omeprazole may increase toxicity [see Clinical Pharmacology (12.3) ]. There are other antiretroviral drugs which do not result in clinically relevant interactions with omeprazole. Intervention: Rilpivirine-containing products: Concomitant use with omeprazole is contraindicated [see Contraindications (4) ] .   Atazanavir: Avoid concomitant use with omeprazole. See prescribing information for atazanavir for dosing information.   Nelfinavir: Avoid concomitant use with omeprazole. See prescribing information for nelfinavir.   Saquinavir: See the prescribing information for saquinavir for monitoring of potential saquinavir-related toxicities.   Other antiretrovirals: See prescribing information for specific antiretroviral drugs. Warfarin Clinical Impact: Increased INR and prothrombin time in patients receiving PPIs, including omeprazole, and warfarin concomitantly. Increases in INR and prothrombin time may lead to abnormal bleeding and even death.          Intervention: Monitor INR and prothrombin time and adjust the dose of warfarin, if needed, to maintain target INR range. Methotrexate Clinical Impact: Concomitant use of omeprazole with methotrexate (primarily at high dose) may elevate and prolong serum concentrations of methotrexate and/or its metabolite hydroxymethotrexate, possibly leading to methotrexate toxicities. No formal drug interaction studies of high-dose methotrexate with PPIs have been conducted [see Warnings and Precautions (5.11) ]. Intervention: A temporary withdrawal of omeprazole may be considered in some patients receiving high-dose methotrexate. CYP2C19 Substrates (e.g., clopidogrel, citalopram, cilostazol, phenytoin, diazepam) Clopidogrel Clinical Impact: Concomitant use of omeprazole 80 mg results in reduced plasma concentrations of the active metabolite of clopidogrel and a reduction in platelet inhibition [see Clinical Pharmacology (12.3) ]. There are no adequate combination studies of a lower dose of omeprazole or a higher dose of clopidogrel in comparison with the approved dose of clopidogrel .         Intervention: Avoid concomitant use with omeprazole. Consider use of alternative anti-platelet therapy [see Warnings and Precautions (5.6) ]. Citalopram Clinical Impact: Increased exposure of citalopram leading to an increased risk of QT prolongation [see Clinical Pharmacology (12.3) ] .          Intervention: Limit the dose of citalopram to a maximum of 20 mg per day. See prescribing information for citalopram. Cilostazol Clinical Impact: Increased exposure of one of the active metabolites of cilostazol (3,4-dihydro-cilostazol) [see Clinical Pharmacology (12.3) ].           Intervention: Reduce the dose of cilostazol to 50 mg twice daily. See prescribing information for cilostazol. Phenytoin Clinical Impact: Potential for increased exposure of phenytoin.          Intervention: Monitor phenytoin serum concentrations. Dose adjustment may be needed to maintain therapeutic drug concentrations. See prescribing information for phenytoin. Diazepam Clinical Impact: Increased exposure of diazepam [see Clinical Pharmacology (12.3) ] . Intervention: Monitor patients for increased sedation and reduce the dose of diazepam as needed. Digoxin Clinical Impact: Potential for increased exposure of digoxin [see Clinical Pharmacology (12.3) ]. Intervention: Monitor digoxin concentrations. Dose adjustment may be needed to maintain therapeutic drug concentrations. See digoxin prescribing information. Drugs Dependent on Gastric pH for Absorption (e.g., iron salts, erlotinib, dasatinib, nilotinib, mycophenolate mofetil, ketoconazole/itraconazole) Clinical Impact: Omeprazole can reduce the absorption of other drugs due to its effect on reducing intragastric acidity. Intervention: Mycophenolate mofetil (MMF): Co-administration of omeprazole in healthy subjects and in transplant patients receiving MMF has been reported to reduce the exposure to the active metabolite, mycophenolic acid (MPA), possibly due to a decrease in MMF solubility at an increased gastric pH. The clinical relevance of reduced MPA exposure on organ rejection has not been established in transplant patients receiving omeprazole and MMF. Use omeprazole with caution in transplant patients receiving MMF [see Clinical Pharmacology (12.3) ] .   See the prescribing information for other drugs dependent on gastric pH for absorption. Combination Therapy with Clarithromycin and Amoxicillin Clinical Impact: Concomitant administration of clarithromycin with other drugs can lead to serious adverse reactions, including potentially fatal arrhythmias, and are contraindicated. Amoxicillin also has drug interactions. Intervention: See Contraindications ,  Warnings and Precautions   in prescribing information for clarithromycin.   See  Drug Interactions   in prescribing information for amoxicillin. Tacrolimus Clinical Impact: Potential for increased exposure of tacrolimus, especially in transplant patients who are intermediate or poor metabolizers of CYP2C19 . Intervention: Monitor tacrolimus whole blood concentrations. Dose adjustment may be needed to maintain therapeutic drug concentrations. See prescribing information for tacrolimus. Interactions with Investigations of Neuroendocrine Tumors Clinical Impact: Serum chromogranin A (CgA) levels increase secondary to PPI-induced decreases in gastric acidity. The increased CgA level may cause false positive results in diagnostic investigations for neuroendocrine tumors [see Warnings and Precautions (5.10) , Clinical Pharmacology (12.2) ] . Intervention: Temporarily stop omeprazole treatment at least 14 days before assessing CgA levels and consider repeating the test if initial CgA levels are high. If serial tests are performed (e.g., for monitoring), the same commercial laboratory should be used for testing, as reference ranges between tests may vary. Interaction with Secretin Stimulation Test Clinical Impact: Hyper-response in gastrin secretion in response to secretin stimulation test, falsely suggesting gastrinoma. Intervention: Temporarily stop omeprazole treatment at least 14 days before assessing to allow gastrin levels to return to baseline [see Clinical Pharmacology (12.2) ] . False Positive Urine Tests for THC Clinical Impact: There have been reports of false positive urine screening tests for tetrahydrocannabinol (THC) in patients receiving PPIs. Intervention: An alternative confirmatory method should be considered to verify positive results. Other Clinical Impact: There have been clinical reports of interactions with other drugs metabolized via the cytochrome P450 system (e.g., cyclosporine, disulfiram). Intervention: Monitor patients to determine if it is necessary to adjust the dosage of these other drugs when taken concomitantly with omeprazole. Table 4: Clinically Relevant Interactions Affecting Omeprazole When Co-Administered with Other Drugs CYP2C19 or CYP3A4 Inducers Clinical Impact: Decreased exposure of omeprazole when used concomitantly with strong inducers [see Clinical Pharmacology (12.3) ]. Intervention: St. John’s Wort, rifampin: Avoid concomitant use with omeprazole [see Warnings and Precautions (5.9) ]. Ritonavir-containing products: see prescribing information for specific drugs. CYP2C19 or CYP3A4 Inhibitors Clinical Impact: Increased exposure of omeprazole [see Clinical Pharmacology (12.3) ]. Intervention: Voriconazole: Dose adjustment of omeprazole is not normally required. However, in patients with Zollinger-Ellison syndrome, who may require higher doses, dose adjustment may be considered.   See prescribing information for voriconazole.

Storage and Handling

Omeprazole Delayed-Release Capsules USP, 20 mg are reddish brown/pink size 1 hard gelatin capsule filled with white to off-white enteric-coated granules and imprinted with E on reddish brown cap and ‘67’ on pink body with black ink. NDC 68071-2262-3 BOTTLES OF 30 Storage Store omeprazole delayed-release capsules in a tight container protected from light and moisture. Store at 20° to 25°C (68° to 77°F) [see USP Controlled Room Temperature].

How Supplied

Omeprazole Delayed-Release Capsules USP, 20 mg are reddish brown/pink size 1 hard gelatin capsule filled with white to off-white enteric-coated granules and imprinted with E on reddish brown cap and ‘67’ on pink body with black ink. NDC 68071-2262-3 BOTTLES OF 30 Storage Store omeprazole delayed-release capsules in a tight container protected from light and moisture. Store at 20° to 25°C (68° to 77°F) [see USP Controlled Room Temperature].


Medication Information

Warnings and Precautions

Gastric Malignancy: In adults, symptomatic response does not preclude the presence of gastric malignancy. Consider additional follow-up and diagnostic testing. ( 5.1 ) Tubulointerstitial Nephritis: Evaluate unexplained decrease in glomerular filtration rate; discontinue treatment. ( 5.2 ) Clostridium difficile -Associated Diarrhea: PPI therapy may be associated with increased risk. ( 5.3 ) Bone Fracture: Long-term and multiple daily dose PPI therapy may be associated with an increased risk for osteoporosis-related fractures of the hip, wrist or spine. ( 5.4 ) Cutaneous and Systemic Lupus Erythematosus: Mostly cutaneous; new onset or exacerbation of existing disease; discontinue omeprazole and refer to specialist for evaluation. ( 5.5 ) Interaction with Clopidogrel: Avoid concomitant use of omeprazole.( 5.6 , 7 ) Cyanocobalamin (Vitamin B-12) Deficiency: Daily long-term use (e.g., longer than 3 years) may lead to malabsorption or a deficiency of cyanocobalamin. ( 5.7 ) Hypomagnesemia: Reported rarely with prolonged treatment with PPIs. ( 5.8 ) Interaction with St. John’s Wort or Rifampin: Avoid concomitant use of omeprazole. ( 5.9 , 7 ) Interactions with Diagnostic Investigations for Neuroendocrine Tumors: Increased Chromogranin A (CgA) levels may interfere with diagnostic investigations for neuroendocrine tumors; temporarily stop omeprazole at least 14 days before assessing CgA levels. ( 5.10 , 7 ) Interaction with Methotrexate: Concomitant use with PPIs may elevate and/or prolong serum concentrations of methotrexate and/or its metabolite, possibly leading to toxicity. With high dose methotrexate administration, consider a temporary withdrawal of omeprazole. ( 5.11 , 7 ) Fundic Gland Polyps : Risk increases with long-term use, especially beyond one year. Use the shortest duration of therapy. ( 5.12 )

Indications and Usage

Omeprazole is a proton pump inhibitor (PPI) indicated for the: Treatment of active duodenal ulcer in adults ( 1.1 ) Eradication of Helicobacter pylori to reduce the risk of duodenal ulcer recurrence in adults ( 1.2 ) Treatment of active benign gastric ulcer in adults ( 1.3 ) Treatment of symptomatic gastroesophageal reflux disease (GERD) in patients 2 years of age and older ( 1.4 ) Maintenance of healing of EE due to acid-mediated GERD in patients 2 years of age and older ( 1.6 ) Pathologic hypersecretory conditions in adults ( 1.7 )

Dosage and Administration

* if ulcer present, continue omeprazole delayed-release capsules 20 mg once daily for an additional 18 days. ** if ulcer present, continue omeprazole delayed-release capsules 20 mg once daily for an additional 14 days. *** an additional 4 weeks of treatment may be given if no response; if recurrence additional 4 to 8 week courses may be considered. **** studied for 12 months. Reduce the dosage to 10 mg once daily for patients with hepatic impairment (Child-Pugh Class A, B, or C) and Asian patients ( 8.6 , 8.7 ) Indication Recommended Adult ( 2.1 ) and Pediatric Dosage ( 2.2 ) Treatment of Active Duodenal Ulcer 20 mg once daily for 4 weeks; some patients may require an additional 4 weeks ( 2.1 ) H. pylori Eradication to Reduce the Risk of Duodenal Ulcer Recurrence Triple Therapy:   Omeprazole delayed- release capsules 20 mg Each drug twice daily for 10 days ( 2.1 )* Amoxicillin 1000 mg Clarithromycin 500 mg Dual Therapy :     Omeprazole delayed- release capsules 40 mg once daily for 14 days** Clarithromycin 500 mg three times daily for 14 days ( 2.1 ) Active Benign Gastric Ulcer 40 mg once daily for 4 to 8 weeks ( 2.1 ) Symptomatic GERD 20 mg once daily for up to 4 weeks ( 2.1 ) See full prescribing information for weight based dosing in pediatric patients 2 years of age and older ( 2.2 ) EE due to Acid-Mediated GERD 20 mg once daily for 4 to 8 weeks ( 2.1 )*** Maintenance of Healing of EE due to Acid-Mediated GERD 20 mg once daily ( 2.1 )**** See full prescribing information for weight based dosing in pediatric patients 2 years of age and older ( 2.2 ) Pathological Hypersecretory Conditions Starting dose is 60 mg once daily (varies with individual patient, see full prescribing information) as long as clinically indicated ( 2.1 )

Contraindications

Omeprazole delayed-release capsules are contraindicated in patients with known hypersensitivity reactions including anaphylaxis to the formulation [see Warnings and Precautions (5.2) ] or any substituted benzimidazole. Hypersensitivity reactions may include anaphylaxis, anaphylactic shock, angioedema, bronchospasm, and urticaria [see Adverse Reactions (6) ] . Proton pump inhibitors (PPIs), including omeprazole delayed-release capsules, are contraindicated in patients receiving rilpivirine-containing products [see Drug Interactions (7) ]. For information about contraindications of antibacterial agents (clarithromycin and amoxicillin) indicated in combination with omeprazole delayed-release capsules, refer to the CONTRAINDICATIONS section of their package inserts.

Adverse Reactions

The following serious adverse reactions are described below and elsewhere in labeling: Tubulointerstitial Nephritis [see Warnings and Precautions (5.2) ] Clostridium difficile -Associated Diarrhea [see Warnings and Precautions (5.3) ] Bone Fracture [see Warnings and Precautions (5.4) ] Cutaneous and Systemic Lupus Erythematosus [see Warnings and Precautions (5.5) ] Cyanocobalamin (Vitamin B-12) Deficiency [see Warnings and Precautions (5.7) ] Hypomagnesemia [see Warnings and Precautions (5.8) ] Fundic Gland Polyps [see Warnings and Precautions (5.12) ]

Drug Interactions

Tables 3 and 4 include drugs with clinically important drug interactions and interaction with diagnostics when administered concomitantly with omeprazole and instructions for preventing or managing them. Consult the labeling of concomitantly used drugs to obtain further information about interactions with PPIs. Table 3: Clinically Relevant Interactions Affecting Drugs Co-Administered with Omeprazole and Interaction with Diagnostics Antiretrovirals Clinical Impact: The effect of PPIs on antiretroviral drugs is variable. The clinical importance and the mechanisms behind these interactions are not always known.   Decreased exposure of some antiretroviral drugs (e.g., rilpivirine, atazanavir and nelfinavir) when used concomitantly with omeprazole may reduce antiviral effect and promote the development of drug resistance [see Clinical Pharmacology (12.3) ]. Increased exposure of other antiretroviral drugs (e.g., saquinavir) when used concomitantly with omeprazole may increase toxicity [see Clinical Pharmacology (12.3) ]. There are other antiretroviral drugs which do not result in clinically relevant interactions with omeprazole. Intervention: Rilpivirine-containing products: Concomitant use with omeprazole is contraindicated [see Contraindications (4) ] .   Atazanavir: Avoid concomitant use with omeprazole. See prescribing information for atazanavir for dosing information.   Nelfinavir: Avoid concomitant use with omeprazole. See prescribing information for nelfinavir.   Saquinavir: See the prescribing information for saquinavir for monitoring of potential saquinavir-related toxicities.   Other antiretrovirals: See prescribing information for specific antiretroviral drugs. Warfarin Clinical Impact: Increased INR and prothrombin time in patients receiving PPIs, including omeprazole, and warfarin concomitantly. Increases in INR and prothrombin time may lead to abnormal bleeding and even death.          Intervention: Monitor INR and prothrombin time and adjust the dose of warfarin, if needed, to maintain target INR range. Methotrexate Clinical Impact: Concomitant use of omeprazole with methotrexate (primarily at high dose) may elevate and prolong serum concentrations of methotrexate and/or its metabolite hydroxymethotrexate, possibly leading to methotrexate toxicities. No formal drug interaction studies of high-dose methotrexate with PPIs have been conducted [see Warnings and Precautions (5.11) ]. Intervention: A temporary withdrawal of omeprazole may be considered in some patients receiving high-dose methotrexate. CYP2C19 Substrates (e.g., clopidogrel, citalopram, cilostazol, phenytoin, diazepam) Clopidogrel Clinical Impact: Concomitant use of omeprazole 80 mg results in reduced plasma concentrations of the active metabolite of clopidogrel and a reduction in platelet inhibition [see Clinical Pharmacology (12.3) ]. There are no adequate combination studies of a lower dose of omeprazole or a higher dose of clopidogrel in comparison with the approved dose of clopidogrel .         Intervention: Avoid concomitant use with omeprazole. Consider use of alternative anti-platelet therapy [see Warnings and Precautions (5.6) ]. Citalopram Clinical Impact: Increased exposure of citalopram leading to an increased risk of QT prolongation [see Clinical Pharmacology (12.3) ] .          Intervention: Limit the dose of citalopram to a maximum of 20 mg per day. See prescribing information for citalopram. Cilostazol Clinical Impact: Increased exposure of one of the active metabolites of cilostazol (3,4-dihydro-cilostazol) [see Clinical Pharmacology (12.3) ].           Intervention: Reduce the dose of cilostazol to 50 mg twice daily. See prescribing information for cilostazol. Phenytoin Clinical Impact: Potential for increased exposure of phenytoin.          Intervention: Monitor phenytoin serum concentrations. Dose adjustment may be needed to maintain therapeutic drug concentrations. See prescribing information for phenytoin. Diazepam Clinical Impact: Increased exposure of diazepam [see Clinical Pharmacology (12.3) ] . Intervention: Monitor patients for increased sedation and reduce the dose of diazepam as needed. Digoxin Clinical Impact: Potential for increased exposure of digoxin [see Clinical Pharmacology (12.3) ]. Intervention: Monitor digoxin concentrations. Dose adjustment may be needed to maintain therapeutic drug concentrations. See digoxin prescribing information. Drugs Dependent on Gastric pH for Absorption (e.g., iron salts, erlotinib, dasatinib, nilotinib, mycophenolate mofetil, ketoconazole/itraconazole) Clinical Impact: Omeprazole can reduce the absorption of other drugs due to its effect on reducing intragastric acidity. Intervention: Mycophenolate mofetil (MMF): Co-administration of omeprazole in healthy subjects and in transplant patients receiving MMF has been reported to reduce the exposure to the active metabolite, mycophenolic acid (MPA), possibly due to a decrease in MMF solubility at an increased gastric pH. The clinical relevance of reduced MPA exposure on organ rejection has not been established in transplant patients receiving omeprazole and MMF. Use omeprazole with caution in transplant patients receiving MMF [see Clinical Pharmacology (12.3) ] .   See the prescribing information for other drugs dependent on gastric pH for absorption. Combination Therapy with Clarithromycin and Amoxicillin Clinical Impact: Concomitant administration of clarithromycin with other drugs can lead to serious adverse reactions, including potentially fatal arrhythmias, and are contraindicated. Amoxicillin also has drug interactions. Intervention: See Contraindications ,  Warnings and Precautions   in prescribing information for clarithromycin.   See  Drug Interactions   in prescribing information for amoxicillin. Tacrolimus Clinical Impact: Potential for increased exposure of tacrolimus, especially in transplant patients who are intermediate or poor metabolizers of CYP2C19 . Intervention: Monitor tacrolimus whole blood concentrations. Dose adjustment may be needed to maintain therapeutic drug concentrations. See prescribing information for tacrolimus. Interactions with Investigations of Neuroendocrine Tumors Clinical Impact: Serum chromogranin A (CgA) levels increase secondary to PPI-induced decreases in gastric acidity. The increased CgA level may cause false positive results in diagnostic investigations for neuroendocrine tumors [see Warnings and Precautions (5.10) , Clinical Pharmacology (12.2) ] . Intervention: Temporarily stop omeprazole treatment at least 14 days before assessing CgA levels and consider repeating the test if initial CgA levels are high. If serial tests are performed (e.g., for monitoring), the same commercial laboratory should be used for testing, as reference ranges between tests may vary. Interaction with Secretin Stimulation Test Clinical Impact: Hyper-response in gastrin secretion in response to secretin stimulation test, falsely suggesting gastrinoma. Intervention: Temporarily stop omeprazole treatment at least 14 days before assessing to allow gastrin levels to return to baseline [see Clinical Pharmacology (12.2) ] . False Positive Urine Tests for THC Clinical Impact: There have been reports of false positive urine screening tests for tetrahydrocannabinol (THC) in patients receiving PPIs. Intervention: An alternative confirmatory method should be considered to verify positive results. Other Clinical Impact: There have been clinical reports of interactions with other drugs metabolized via the cytochrome P450 system (e.g., cyclosporine, disulfiram). Intervention: Monitor patients to determine if it is necessary to adjust the dosage of these other drugs when taken concomitantly with omeprazole. Table 4: Clinically Relevant Interactions Affecting Omeprazole When Co-Administered with Other Drugs CYP2C19 or CYP3A4 Inducers Clinical Impact: Decreased exposure of omeprazole when used concomitantly with strong inducers [see Clinical Pharmacology (12.3) ]. Intervention: St. John’s Wort, rifampin: Avoid concomitant use with omeprazole [see Warnings and Precautions (5.9) ]. Ritonavir-containing products: see prescribing information for specific drugs. CYP2C19 or CYP3A4 Inhibitors Clinical Impact: Increased exposure of omeprazole [see Clinical Pharmacology (12.3) ]. Intervention: Voriconazole: Dose adjustment of omeprazole is not normally required. However, in patients with Zollinger-Ellison syndrome, who may require higher doses, dose adjustment may be considered.   See prescribing information for voriconazole.

Storage and Handling

Omeprazole Delayed-Release Capsules USP, 20 mg are reddish brown/pink size 1 hard gelatin capsule filled with white to off-white enteric-coated granules and imprinted with E on reddish brown cap and ‘67’ on pink body with black ink. NDC 68071-2262-3 BOTTLES OF 30 Storage Store omeprazole delayed-release capsules in a tight container protected from light and moisture. Store at 20° to 25°C (68° to 77°F) [see USP Controlled Room Temperature].

How Supplied

Omeprazole Delayed-Release Capsules USP, 20 mg are reddish brown/pink size 1 hard gelatin capsule filled with white to off-white enteric-coated granules and imprinted with E on reddish brown cap and ‘67’ on pink body with black ink. NDC 68071-2262-3 BOTTLES OF 30 Storage Store omeprazole delayed-release capsules in a tight container protected from light and moisture. Store at 20° to 25°C (68° to 77°F) [see USP Controlled Room Temperature].

Description

Warnings and Precautions, Fundic Gland Polyps ( 5.12 )            01/2018

Section 43683-2

Warnings and Precautions, Fundic Gland Polyps ( 5.12)            01/2018

10 Overdosage


Reports have been received of overdosage with omeprazole in humans. Doses ranged up to 2400 mg (120 times the usual recommended clinical dose). Manifestations were variable, but included confusion, drowsiness, blurred vision, tachycardia, nausea, vomiting, diaphoresis, flushing, headache, dry mouth, and other adverse reactions similar to those seen in normal clinical experience [see Adverse Reactions (6)] . Symptoms were transient, and no serious clinical outcome has been reported when omeprazole was taken alone. No specific antidote for omeprazole overdosage is known. Omeprazole is extensively protein bound and is, therefore, not readily dialyzable. In the event of overdosage, treatment should be symptomatic and supportive.



If over-exposure occurs, call your Poison Control Center at 1-800-222-1222 for current information on the management of poisoning or overdosage.

15 References

1. Clinical and Laboratory Standards Institute (CLSI). Methods for Dilution Antimicrobial Susceptibility Tests for Bacteria That Grow Aerobically; Approved Standard—Tenth Edition. CLSI Document M07-A10, Clinical and Laboratory Standards Institute, 950 West Valley Road, Suite 2500, Wayne, Pennsylvania, 19087, USA 2015.

8.1 Pregnancy

Risk Summary



There are no adequate and well-controlled studies with omeprazole in pregnant women. Available epidemiologic data fail to demonstrate an increased risk of major congenital malformations or other adverse pregnancy outcomes with first trimester omeprazole use. Reproduction studies in rats and rabbits resulted in dose-dependent embryo-lethality at omeprazole doses that were approximately 3.4 to 34 times an oral human dose of 40 mg (based on a body surface area for a 60 kg person). Teratogenicity was not observed in animal reproduction studies with administration of oral esomeprazole (an enantiomer of omeprazole) magnesium in rats and rabbits during organogenesis with doses about 68 times and 42 times, respectively, an oral human dose of 40 mg esomeprazole or 40 mg omeprazole (based on body surface area for a 60 kg person).



Changes in bone morphology were observed in offspring of rats dosed through most of pregnancy and lactation at doses equal to or greater than approximately 34 times an oral human dose of 40 mg esomeprazole or 40 mg omeprazole. When maternal administration was confined to gestation only, there were no effects on bone physeal morphology in the offspring at any age [see Data].



The estimated background risks of major birth defects and miscarriage for the indicated population are unknown. All pregnancies have a background risk of birth defect, loss or other adverse outcomes. In the U.S. general population, the estimated background risk of major birth defects and miscarriage in clinically recognized pregnancies is 2% to 4% and 15% to 20%, respectively.



Data



Human Data



Four published epidemiological studies compared the frequency of congenital abnormalities among infants born to women who used omeprazole during pregnancy with the frequency of abnormalities among infants of women exposed to H 2-receptor antagonists or other controls.



A population-based retrospective cohort epidemiological study from the Swedish Medical Birth Registry, covering approximately 99% of pregnancies, from 1995 to 99, reported on 955 infants (824 exposed during the first trimester with 39 of these exposed beyond first trimester, and 131 exposed after the first trimester) whose mothers used omeprazole during pregnancy. The number of infants exposed in utero to omeprazole that had any malformation, low birth weight, low Apgar score, or hospitalization was similar to the number observed in this population. The number of infants born with ventricular septal defects and the number of stillborn infants was slightly higher in the omeprazole-exposed infants than the expected number in this population.



A population-based retrospective cohort study covering all live births in Denmark from 1996 to 2009, reported on 1,800 live births whose mothers used omeprazole during the first trimester of pregnancy and 837,317 live births whose mothers did not use any proton pump inhibitor. The overall rate of birth defects in infants born to mothers with first trimester exposure to omeprazole was 2.9% and 2.6% in infants born to mothers not exposed to any proton pump inhibitor during the first trimester.



A retrospective cohort study reported on 689 pregnant women exposed to either H 2-blockers or omeprazole in the first trimester (134 exposed to omeprazole) and 1,572 pregnant women unexposed to either during the first trimester. The overall malformation rate in offspring born to mothers with first trimester exposure to omeprazole, an H 2-blocker, or were unexposed was 3.6%, 5.5%, and 4.1% respectively.



A small prospective observational cohort study followed 113 women exposed to omeprazole during pregnancy (89% with first trimester exposures). The reported rate of major congenital malformations was 4% in the omeprazole group, 2% in controls exposed to non-teratogens, and 2.8% in disease-paired controls. Rates of spontaneous and elective abortions, preterm deliveries, gestational age at delivery, and mean birth weight were similar among the groups.



Several studies have reported no apparent adverse short-term effects on the infant when single dose oral or intravenous omeprazole was administered to over 200 pregnant women as premedication for cesarean section under general anesthesia.



Animal Data



Omeprazole



Reproductive studies conducted with omeprazole in rats at oral doses up to 138 mg/kg/day (about 34 times an oral human dose of 40 mg on a body surface area basis) and in rabbits at doses up to 69.1 mg/kg/day (about 34 times an oral human dose of 40 mg on a body surface area basis) during organogenesis did not disclose any evidence for a teratogenic potential of omeprazole. In rabbits, omeprazole in a dose range of 6.9 to 69.1 mg/kg/day (about 3.4 to 34 times an oral human dose of 40 mg on a body surface area basis) administered during organogenesis produced dose-related increases in embryo-lethality, fetal resorptions, and pregnancy disruptions. In rats, dose-related embryo/fetal toxicity and postnatal developmental toxicity were observed in offspring resulting from parents treated with omeprazole at 13.8 to 138 mg/kg/day (about 3.4 to 34 times an oral human doses of 40 mg on a body surface area basis), administered prior to mating through the lactation period.



Esomeprazole



The data described below was generated from studies using esomeprazole, an enantiomer of omeprazole. The animal to human dose multiples are based on the assumption of equal systemic exposure to esomeprazole in humans following oral administration of either 40 mg esomeprazole or 40 mg omeprazole.



No effects on embryo-fetal development were observed in reproduction studies with esomeprazole magnesium in rats at oral doses up to 280 mg/kg/day (about 68 times an oral human dose of 40 mg on a body surface area basis) or in rabbits at oral doses up to 86 mg/kg/day (about 42 times an oral human dose of 40 mg esomeprazole or 40 mg omeprazole on a body surface area basis) administered during organogenesis.



A pre- and postnatal developmental toxicity study in rats with additional endpoints to evaluate bone development was performed with esomeprazole magnesium at oral doses of 14 to 280 mg/kg/day (about 3.4 to 68 times an oral human dose of 40 mg esomeprazole or 40 mg omeprazole on a body surface area basis). Neonatal/early postnatal (birth to weaning) survival was decreased at doses equal to or greater than 138 mg/kg/day (about 34 times an oral human dose of 40 mg esomeprazole or 40 mg omeprazole on a body surface area basis). Body weight and body weight gain were reduced and neurobehavioral or general developmental delays in the immediate post-weaning timeframe were evident at doses equal to or greater than 69 mg/kg/day (about 17 times an oral human dose of 40 mg esomeprazole or 40 mg omeprazole on a body surface area basis). In addition, decreased femur length, width and thickness of cortical bone, decreased thickness of the tibial growth plate and minimal to mild bone marrow hypocellularity were noted at doses equal to or greater than 14 mg/kg/day (about 3.4 times an oral human dose of 40 mg esomeprazole or 40 mg omeprazole on a body surface area basis). Physeal dysplasia in the femur was observed in offspring of rats treated with oral doses of esomeprazole magnesium at doses equal to or greater than 138 mg/kg/day (about 34 times an oral human dose of 40 mg esomeprazole or 40 mg omeprazole on a body surface area basis).



Effects on maternal bone were observed in pregnant and lactating rats in the pre- and postnatal toxicity study when esomeprazole magnesium was administered at oral doses of 14 to 280 mg/kg/day (about 3.4 to 68 times an oral human dose of 40 mg esomeprazole or 40 mg omeprazole on a body surface area basis). When rats were dosed from gestational day 7 through weaning on postnatal day 21, a statistically significant decrease in maternal femur weight of up to 14% (as compared to placebo treatment) was observed at doses equal to or greater than 138 mg/kg/day (about 34 times an oral human dose of 40 mg esomeprazole or 40 mg omeprazole on a body surface area basis).



A pre- and postnatal development study in rats with esomeprazole strontium (using equimolar doses compared to esomeprazole magnesium study) produced similar results in dams and pups as described above.



A follow up developmental toxicity study in rats with further time points to evaluate pup bone development from postnatal day 2 to adulthood was performed with esomeprazole magnesium at oral doses of 280 mg/kg/day (about 68 times an oral human dose of 40 mg on a body surface area basis) where esomeprazole administration was from either gestational day 7 or gestational day 16 until parturition. When maternal administration was confined to gestation only, there were no effects on bone physeal morphology in the offspring at any age.

8.2 Lactation

Risk Summary

Limited data suggest omeprazole may be present in human milk. There are no clinical data on the effects of omeprazole on the breastfed infant or on milk production. The developmental and health benefits of breastfeeding should be considered along with the mother's clinical need for omeprazole and any potential adverse effects on the breastfed infant from omeprazole or from the underlying maternal condition.

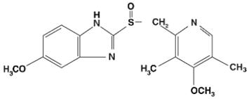
11 Description

The active ingredient in omeprazole delayed-release capsules, USP is a substituted benzimidazole, 5-methoxy-2-[[(4-methoxy-­3, 5-dimethyl-2-pyridinyl) methyl] sulfinyl]-1 H-benzimidazole, a compound that inhibits gastric acid secretion. Its molecular formula is C 17H 19N 3O 3S, with a molecular weight of 345.42. The structural formula is:

 



Omeprazole USP is a white to off-white powder that melts with decomposition between 150°C and 160°C. It is a weak base, freely soluble in ethanol and methanol, and slightly soluble in acetone and isopropanol and very slightly soluble in water. The stability of omeprazole is a function of pH; it is rapidly degraded in acid media, but has acceptable stability under alkaline conditions.



Omeprazole is supplied as delayed-release capsules for oral administration. Each delayed-release capsule contains either 10 mg, 20 mg or 40 mg of omeprazole in the form of enteric-coated granules with the following inactive ingredients: disodium hydrogen phosphate dihydrate, hydroxypropyl cellulose, hypromellose, lactose monohydrate, mannitol, methacrylic acid and ethyl acrylate copolymer dispersion, microcrystalline cellulose, mono and di-glycerides, polysorbate, sodium lauryl sulfate, talc, titanium dioxide, and triethyl citrate. In addition, the empty hard gelatin capsule shells also contain gelatin and iron oxide red. The capsules are printed with edible ink containing black iron oxide, potassium hydroxide, propylene glycol, shellac and strong ammonia solution.



Meets USP Dissolution Test 2.

14.2 H. Pylori

Triple Therapy (omeprazole/clarithromycin/amoxicillin)

Three U.S., randomized, double-blind clinical studies in patients with H. pylori infection and duodenal ulcer disease (n = 558) compared omeprazole plus clarithromycin plus amoxicillin with clarithromycin plus amoxicillin. Two studies (1 and 2) were conducted in patients with an active duodenal ulcer, and the other study (3) was conducted in patients with a history of a duodenal ulcer in the past 5 years but without an ulcer present at the time of enrollment. The dose regimen in the studies was omeprazole 20 mg twice daily plus clarithromycin 500 mg twice daily plus amoxicillin 1 g twice daily for 10 days; or clarithromycin 500 mg twice daily plus amoxicillin 1 g twice daily for 10 days. In studies 1 and 2, patients who took the omeprazole regimen also received an additional 18 days of omeprazole 20 mg once daily. Endpoints studied were eradication of H. pylori and duodenal ulcer healing (studies 1 and 2 only). H. pylori status was determined by CLOtest ®, histology and culture in all three studies. For a given patient, H. pylori was considered eradicated if at least two of these tests were negative, and none was positive.



The combination of omeprazole plus clarithromycin plus amoxicillin was effective in eradicating H. pylori.

Table 9: Per-Protocol and Intent-to-Treat H. pylori Eradication Rates % of Patients Cured [95% Confidence Interval]
1. Patients were included in the analysis if they had confirmed duodenal ulcer disease (active ulcer, studies 1 and 2; history of ulcer within 5 years, study 3) and H. pylori infection at baseline defined as at least two of three positive endoscopic tests from CLOtest ®, histology, and/or culture. Patients were included in the analysis if they completed the study. Additionally, if patients dropped out of the study due to an adverse event related to the study drug, they were included in the analysis as failures of therapy. The impact of eradication on ulcer recurrence has not been assessed in patients with a past history of ulcer.

2. Patients were included in the analysis if they had documented H. pylori infection at baseline and had confirmed duodenal ulcer disease. All dropouts were included as failures of therapy.

3. (p < 0.05) versus clarithromycin plus amoxicillin.

Omeprazole +  clarithromycin + amoxicillin

Clarithromycin + amoxicillin

Per-Protocol 1

Intent-to-Treat 2

Per-Protocol 1

Intent-to-Treat 2

Study 1

77 3 [64, 86]

(n = 64)

69 3 [57, 79]

(n = 80)

43 [31, 56]

(n = 67)

37 [27, 48]

(n = 84)

Study 2

78 3 [67, 88]

(n = 65)

73 3 [61, 82]

(n = 77)

41 [29, 54]

(n = 68)

36 [26, 47]

(n = 83)

Study 3

90 3 [80, 96]

(n = 69)

83 3 [74, 91]

(n = 84)

33 [24, 44]

(n = 93)

32 [23, 42]

(n = 99)

Dual Therapy (omeprazole/clarithromycin)

Four randomized, double-blind, multi-center studies (4, 5, 6, and 7) evaluated omeprazole 40 mg once daily plus clarithromycin 500 mg three times daily for 14 days, followed by omeprazole 20 mg once daily, (Studies 4, 5, and 7) or by omeprazole 40 mg once daily (Study 6) for an additional 14 days in patients with active duodenal ulcer associated with H. pylori. Studies 4 and 5 were conducted in the U.S. and Canada and enrolled 242 and 256 patients, respectively. H. pylori infection and duodenal ulcer were confirmed in 219 patients in Study 4 and 228 patients in Study 5. These studies compared the combination regimen to omeprazole and clarithromycin monotherapies. Studies 6 and 7 were conducted in Europe and enrolled 154 and 215 patients, respectively. H. pylori infection and duodenal ulcer were confirmed in 148 patients in Study 6 and 208 patients in Study 7. These studies compared the combination regimen with omeprazole monotherapy. The results for the efficacy analyses for these studies are described below. H. pylori eradication was defined as no positive test (culture or histology) at 4 weeks following the end of treatment, and two negative tests were required to be considered eradicated of H. pylori. In the per-protocol analysis, the following patients were excluded: dropouts, patients with missing

H. pylori tests post-treatment, and patients that were not assessed for H. pylori eradication because they were found to have an ulcer at the end of treatment.



The combination of omeprazole and clarithromycin was effective in eradicating H. pylori.



Table 10: H. pylori Eradication Rates (Per-Protocol Analysis at 4 to 6 Weeks) % of Patients Cured [95% Confidence Interval]
1. Statistically significantly higher than clarithromycin monotherapy (p < 0.05).

2. Statistically significantly higher than omeprazole monotherapy (p < 0.05).
Omeprazole + Clarithromycin

Omeprazole

Clarithromycin

U.S. Studies

Study 4

74 [60, 85] 1,2

(n = 53)

0 [0, 7]

(n = 54)

31 [18, 47]

(n = 42)

Study 5

64 [51, 76] 1,2

(n = 61)

0 [0, 6]

(n = 59)

39 [24, 55]

(n = 44)

Non U.S. Studies

Study 6

83 [71, 92] 2

(n = 60)

1 [0, 7]

(n = 74)

N/A

Study 7

74 [64, 83] 2

(n = 86)

1 [0, 6]

(n = 90)

N/A



Ulcer healing was not significantly different when clarithromycin was added to omeprazole therapy compared with omeprazole therapy alone.



The combination of omeprazole and clarithromycin was effective in eradicating H. pylori and reduced duodenal ulcer recurrence.

Table 11: Duodenal Ulcer Recurrence Rates by H. pylori Eradication Status % of Patients with Ulcer Recurrence
1. H. pylori eradication status assessed at same time point as ulcer recurrence.

2. Combined results for omeprazole + clarithromycin, omeprazole, and clarithromycin treatment arms.

3. Combined results for omeprazole + clarithromycin and omeprazole treatment arms.

4. (p ≤ 0.01) versus proportion with duodenal ulcer recurrence who were not H. pylori eradicated.
 

H. pylori eradicated 1

H. pylori not eradicated 1

U.S. Studies 2

 

 

6 months post-treatment

 

 

Study 4

35 4

(n = 49)

60

(n = 88)

Study 5

8 4

(n = 53) 4

60

(n = 106)

Non U.S. Studies 3

6 months post-treatment

 

 

Study 6

5 4

(n = 43)

46

(n = 78)

Study 7

6 4

(n = 53) 4

43

(n = 107)

12 months post-treatment

 

 

Study 6

5 4

(n = 39)

68

(n = 71)

Medication Guide


Omeprazole Delayed -Release Capsules, USP

(oh mep' ra zole)



Read this Medication Guide before you start taking omeprazole delayed-release capsules and each time you get a refill. There may be new information. This information does not take the place of talking with your doctor about your medical condition or your treatment.



What is the most important information I should know about omeprazole delayed-release capsules ?



You should take omeprazole delayed-release capsules exactly as prescribed, at the lowest dose possible and for the shortest time needed.



Omeprazole delayed
-release capsules may help your acid-related symptoms, but you could still have serious stomach problems. Talk with your doctor.



Omeprazole delayed -release capsules can cause serious side effects, including:

  • A type of kidney problem ( tubulointerstitial nephritis). Some people who take proton pump inhibitor (PPI) medicines, including omeprazole delayed-release capsules, may develop a kidney problem called tubulointerstitial nephritis that can happen at any time during treatment with omeprazole delayed-release capsules. Call your doctor right away if you have a decrease in the amount that you urinate or if you have blood in your urine. 
  • Diarrhea. Omeprazole delayed-release capsules may increase your risk of getting severe diarrhea. This diarrhea may be caused by an infection ( Clostridium difficile) in your intestines. 

Call your doctor right away if you have watery stool, stomach pain, and fever that does not go away. 

  • Bone fractures. People who take multiple daily doses of PPI medicines for a long period of time (a year or longer) may have an increased risk of fractures of the hip, wrist, or spine. You should take omeprazole delayed-release capsules exactly as prescribed, at the lowest dose possible for your treatment and for the shortest time needed. Talk to your doctor about your risk of bone fracture if you take omeprazole delayed-release capsules. 
  • Certain types of lupus erythematosus. Lupus erythematosus is an autoimmune disorder (the body’s immune cells attack other cells or organs in the body). Some people who take proton PPI medicines, including omeprazole delayed-release capsules, may develop certain types of lupus erythematosus or have worsening of the lupus they already have. Call your doctor right away if you have new or worsening joint pain or a rash on your cheeks or arms that gets worse in the sun.

Omeprazole delayed-release capsules can have other serious side effects. See “What are the possible side effects of omeprazole delayed-release capsules ?”



What are
omeprazole delayed -release capsules ?



Omeprazole delayed-release capsules are a prescription medicine called a proton pump inhibitor (PPI). Omeprazole delayed-release capsules reduce the amount of acid in your stomach.



Omeprazole delayed-release capsules are used in adults: 

  • for up to 8 weeks for the healing of duodenal ulcers. The duodenal area is the area where food passes when it leaves the stomach.
  • with certain antibiotics for 10 to 14 days to treat an infection caused by bacteria called H. pylori. If needed, your doctor may decide to prescribe another 14 to 18 days of omeprazole delayed-release capsules by itself after the antibiotics. Sometimes H. pylori bacteria can cause duodenal ulcers. The infection needs to be treated to prevent the ulcers from coming back.
  • for up to 8 weeks for healing stomach ulcers.
  • for up to 4 weeks to treat heartburn and other symptoms that happen with gastroesophageal reflux disease (GERD). GERD happens when acid in your stomach backs up into the tube (esophagus) that connects your mouth to your stomach. This may cause a burning feeling in your chest or throat, sour taste, or burping.
  • for up to 8 weeks to heal acid-related damage to the lining of the esophagus (called erosive esophagitis or EE). If needed, your doctor may decide to prescribe another 4 weeks of omeprazole delayed-release capsules.
  • to maintain healing of the esophagus. It is not known if omeprazole delayed-release capsules are safe and effective when used for longer than 12 months (1 year) for this purpose.
  • for the long-term treatment of conditions where your stomach makes too much acid. This includes a rare condition called Zollinger-Ellison Syndrome. 

For children 2 to 16 years of age, omeprazole delayed-release capsules are used: 

  • for up to 4 weeks to treat heartburn and other symptoms that happen with gastroesophageal reflux disease (GERD).
  • for up to 8 weeks to treat gastroesophageal reflux disease (GERD) with acid-related damage to the lining of the esophagus [called erosive esophagitis (or EE) due to acid-mediated GERD].
  • to maintain healing of the esophagus. It is not known if omeprazole delayed-release capsules are safe and effective when used longer than 12 months (1 year) for this purpose. 

Who should not take omeprazole delayed -release capsules ?



Do not take
omeprazole delayed-release capsules if you:  

  • are allergic to omeprazole or any of the ingredients in omeprazole delayed-release capsules. See the end of this Medication Guide for a complete list of ingredients in omeprazole delayed-release capsules.
  • are allergic to any other proton pump inhibitor (PPI) medicine.
  • are taking a medicine that contains rilpivirine (EDURANT, COMPLERA) used to treat HIV-1 (Human Immunodeficiency Virus). 

What should I tell my doctor before taking omeprazole delayed -release capsules ?



Before taking
omeprazole delayed -release capsules , tell your doctor about all of your medical conditions, including if you:  

  • have been told that you have low magnesium levels in your blood
  • have liver problems
  • have any other medical conditions
  • are pregnant or plan to become pregnant. It is not known if omeprazole delayed-release capsules will harm your unborn baby.
  • are breastfeeding or plan to breastfeed. Omeprazole passes into your breast milk. Talk to your doctor about the best way to feed your baby if you take omeprazole delayed-release capsules.
  • Tell your doctor about all of the medicines you take including prescription and over-the-counter medicines, vitamins and herbal supplements. Omeprazole delayed-release capsules may affect how other medicines work, and other medicines may affect how omeprazole delayed-release capsules work. Especially tell your doctor if you take an antibiotic that contains clarithromycin or amoxicillin, or if you take clopidogrel (Plavix), methotrexate (Otrxup, Rasuvo, Trexall), St. John’s Wort ( Hypericum perforatum), or rifampin (Rimactane, Rifater, Rifamate). 

Know the medicines that you take. Keep a list of them to show your doctor and pharmacist when you get a new medicine.



How should I take
omeprazole delayed -release capsules ?

  • Take omeprazole delayed-release capsules exactly as prescribed by your doctor.
  • Do not change your dose or stop omeprazole delayed-release capsules without talking to your doctor.
  • Omeprazole delayed-release capsules are usually taken 1 time each day. Your doctor will tell you the time of day to take omeprazole delayed-release capsules, based on your medical condition.
  • Take omeprazole delayed-release capsules before a meal.
  • Antacids may be taken with omeprazole delayed-release capsules. 

Omeprazole Delayed-Release Capsules

  • Swallow omeprazole delayed-release capsules whole. Do not chew or crush omeprazole delayed-release capsules.
  • If you have trouble swallowing a whole capsule, you can open the capsule and take the contents in applesauce. See the “Instructions for Use” at the end of this Medication Guide for instructions on how to take omeprazole delayed-release capsules with applesauce.

If you miss a dose of omeprazole delayed-release capsules, take it as soon as you remember. If it is almost time for your next dose, do not take the missed dose. Take the next dose at your regular time. Do not take 2 doses at the same time to make up for the missed dose.



If you take too much omeprazole, call your doctor or your poison control center at 1-800-222-1222 right away or go to the nearest emergency room.



What are the possible side effects of omeprazole delayed -release capsules ?

Omeprazole delayed-release capsules can cause serious side effects, including:  

  • See “What is the most important information I should know about omeprazole delayed -release capsules ?”
  • Vitamin B-12 deficiency. Omeprazole delayed-release capsules reduce the amount of acid in your stomach. Stomach acid is needed to absorb vitamin B-12 properly. Talk with your doctor about the possibility of vitamin B-12 deficiency if you have been on omeprazole delayed-release capsules for a long time (more than 3 years).
  • Low magnesium levels in your body. This problem can be serious. Low magnesium can happen in some people who take a PPI medicine for at least 3 months. If low magnesium levels happen, it is usually after a year of treatment.
  • Stomach growths (fundic gland polyps). People who take PPI medicines for a long time have an increased risk of developing a certain type of stomach growths called fundic gland polyps, especially after taking PPI medicines for more than 1 year.

You may or may not have symptoms of low magnesium. Tell your doctor right away if you develop any of these symptoms:

  • seizures
  • dizziness
  • abnormal or fast heart beat
  • jitteriness
  • jerking movements or shaking (tremors)
  • muscle weakness
  • spasms of the hands and feet
  • cramps or muscle aches
  • spasm of the voice box 

Your doctor may check the level of magnesium in your body before you start taking omeprazole delayed-release capsules or during treatment if you will be taking omeprazole delayed-release capsules for a long period of time.



The most common side effects with omeprazole delayed-release capsules in adults and children include: 

  • headache
  • nausea
  • vomiting
  • stomach pain
  • diarrhea
  • gas 

In addition to the side effects listed above, the most common side effects in children 2 to 16 years of age include: 

  • respiratory system events
  • fever 

Other side effects:



Serious allergic reactions.
Tell your doctor if you get any of the following symptoms with omeprazole delayed-release capsules: 

  • rash
  • face swelling
  • throat tightness
  • difficulty breathing 

Your doctor may stop omeprazole delayed-release capsules if these symptoms happen. Tell your doctor if you have any side effect that bothers you or that does not go away. These are not all the possible side effects with omeprazole delayed-release capsules. For more information, ask your doctor or pharmacist. Call your doctor for medical advice about side effects. You may report side effects to FDA at 1-800-FDA-1088.



How should I store
omeprazole delayed -release capsules ? 

  • Store omeprazole delayed-release capsules at room temperature between 20� to 25°C (68° to 77°F).
  • Keep the container of omeprazole delayed-release capsules closed tightly.
  • Keep the container of omeprazole delayed-release capsules dry and away from light. 

Keep omeprazole delayed-release capsules and all medicines out of the reach of children.



General information about the safe and effective use of
omeprazole delayed -release capsules.



Medicines are sometimes prescribed for purposes other than those listed in a Medication Guide. Do not use omeprazole delayed-release capsules for a condition for which it was not prescribed. Do not give omeprazole delayed-release capsules to other people, even if they have the same symptoms you have. They may harm them.



This Medication Guide summarizes the most important information about omeprazole delayed-release capsules. For more information, ask your doctor. You can ask your doctor or pharmacist for information that is written for healthcare professionals.



What are the ingredients in
omeprazole delayed -release capsules ?



Active ingredient in
omeprazole delayed-release capsules : omeprazole



Inactive ingredients in
omeprazole delayed-release capsules: disodium hydrogen phosphate dihydrate, hydroxypropyl cellulose, hypromellose, lactose monohydrate, mannitol, methacrylic acid and ethyl acrylate copolymer dispersion, microcrystalline cellulose, mono and di-glycerides, polysorbate, sodium lauryl sulfate, talc, titanium dioxide, and triethyl citrate. In addition, the empty hard gelatin capsule shells also contain gelatin and iron oxide red. The capsules are printed with edible ink containing black iron oxide, potassium hydroxide, propylene glycol, shellac and strong ammonia solution.



All brands listed are the trademarks of their respective owners and are not trademarks of Aurobindo Pharma Limited.



For more information, call Rising Health, LLC at 1-833-395-6928.



This Medication Guide has been approved by the U.S. Food and Drug Administration.



Dispense with Medication Guide available at: http://www.risingpharma.com/med-guides.html



Distributed by:

Rising Health, LLC

Saddle Brook, NJ 07663



Made in India

Code: TS/DRUGS/22/2009



Revised: 08/2020

12.4 Microbiology

Omeprazole and clarithromycin dual therapy and omeprazole, clarithromycin and amoxicillin triple therapy have been shown to be active against most strains of Helicobacter pylori in vitro and in clinical infections [see Indications and Usage (1.2), Clinical Studies (14.2)] .



Helicobacter pylori



Susceptibility testing of H. pylori isolates was performed for amoxicillin and clarithromycin using agar dilution methodology 1, and minimum inhibitory concentrations (MICs) were determined.



Standardized susceptibility test procedures require the use of laboratory control microorganisms to control the technical aspects of the laboratory procedures.



Pretreatment Resistance




Clarithromycin pretreatment resistance rates were 3.5% (4/113) in the omeprazole/clarithromycin dual therapy studies (4 and 5) and 9.3% (41/439) in omeprazole/clarithromycin/amoxicillin triple therapy studies (1, 2 and 3).



Amoxicillin pretreatment susceptible isolates (≤ 0.25 mcg/mL) were found in 99.3% (436/439) of the patients in the omeprazole/clarithromycin/amoxicillin triple therapy studies (1, 2, and 3). Amoxicillin pretreatment minimum inhibitory concentrations (MICs) > 0.25 mcg/mL occurred in 0.7% (3/439) of the patients, all of whom were in the clarithromycin and amoxicillin study arm. One patient had an unconfirmed pretreatment amoxicillin minimum inhibitory concentration (MIC) of > 256 mcg/mL by Etest ®.



Table 8: Clarithromycin Susceptibility Test Results and Clinical/Bacteriological Outcomes


1. Includes only patients with pretreatment clarithromycin susceptibility test results.

2. Susceptible (S) MIC ≤ 0.25 mcg/mL, Intermediate (I) MIC 0.5 to 1 mcg/mL, Resistant (R) MIC ≥ 2 mcg/mL.
Clarithromycin Susceptibility Test Results and Clinical/Bacteriological Outcomes 1

Clarithromycin Pretreatment Results

Clarithromycin Post-treatment Results

H. pylori negative – eradicated

H. pylori positive – not eradicated

Post-treatment susceptibility results

S 2

I 2

R 2

No MIC

Dual Therapy – (omeprazole 40 mg once daily/clarithromycin 500 three times daily for 14 days followed by omeprazole 20 mg once daily for another 14 days) (Studies 4, 5)

Susceptible 2

108

72

1

 

26

9

Intermediate 2

1

 

 

 

1

 

Resistant 2

4

 

 

 

4

 

Triple Therapy – (omeprazole 20 mg twice daily/clarithromycin 500 mg twice daily/amoxicillin 1 g twice daily for 10 days – Studies 1, 2, 3; followed by omeprazole 20 mg once daily for another 18 days – Studies 1, 2)

Susceptible 2

171

153

7

 

3

8

Intermediate 2

 

 

 

 

 

 

Resistant 2

14

4

1

 

6

3

Patients not eradicated of H. pylori following omeprazole/clarithromycin/amoxicillin triple therapy or omeprazole/clarithromycin dual therapy will likely have clarithromycin resistant H. pylori isolates. Therefore, clarithromycin susceptibility testing should be done, if possible. Patients with clarithromycin resistant H. pylori should not be treated with any of the following: omeprazole/clarithromycin dual therapy, omeprazole/clarithromycin/amoxicillin triple therapy, or other regimens which include clarithromycin as the sole antimicrobial agent.



Amoxicillin Susceptibility Test Results and Clinical/Bacteriological Outcomes



In the triple therapy clinical trials, 84.9% (157/185) of the patients in the omeprazole/clarithromycin/amoxicillin treatment group who had pretreatment amoxicillin susceptible MICs (≤ 0.25 mcg/mL) were eradicated of H. pylori and 15.1% (28/185) failed therapy. Of the 28 patients who failed triple therapy, 11 had no post-treatment susceptibility test results and 17 had post-treatment H. pylori isolates with amoxicillin susceptible MICs. Eleven of the patients who failed triple therapy also had post-treatment H. pylori isolates with clarithromycin resistant MICs.



Susceptibility Test for Helicobacter pylori



For susceptibility testing information about Helicobacter pylori, see Microbiology section in prescribing information for clarithromycin and amoxicillin.



Effects on Gastrointestinal Microbial Ecology



Decreased gastric acidity due to any means including proton pump inhibitors, increases gastric counts of bacteria normally present in the gastrointestinal tract. Treatment with proton pump inhibitors may lead to slightly increased risk of gastrointestinal infections such as Salmonella and Campylobacter and, in hospitalized patients, possibly also Clostridium difficile.

5.4 Bone Fracture

Several published observational studies suggest that proton pump inhibitor (PPI) therapy may be associated with an increased risk for osteoporosis-related fractures of the hip, wrist, or spine. The risk of fracture was increased in patients who received high-dose, defined as multiple daily doses, and long-term PPI therapy (a year or longer). Patients should use the lowest dose and shortest duration of PPI therapy appropriate to the condition being treated. Patients at risk for osteoporosis-related fractures should be managed according to established treatment guidelines [see  Dosage and Administration (2.1), Adverse Reactions (6.3)] .

8.4 Pediatric Use

The safety and effectiveness of omeprazole have been established in pediatric patients 2 to 16 years for the treatment of symptomatic GERD, treatment of EE due to acid-mediated GERD, and maintenance of healing of EE due to acid-mediated GERD. Use of omeprazole in this age group is supported by adequate and well-controlled studies in adults and uncontrolled safety, efficacy and pharmacokinetic studies performed in pediatric and adolescent patients [see Clinical Pharmacology (12.3), Clinical Studies (14.8)].



In the pediatric population, adverse reactions of the respiratory system were frequently reported in the entire (2 to 16 years) age group. Accidental injuries were frequently reported in the 2 to 16 year age group [see Adverse Reactions (6.1)].

The safety and effectiveness of omeprazole have not been established in: 

  • patients less than 1 year of age for:
    • Treatment of symptomatic GERD
    • Maintenance of healing of EE due to acid-mediated GERD      
  • pediatric patients for:
    • Treatment of active duodenal ulcer
    • H. pylori eradication to reduce the risk of duodenal ulcer recurrence
    • Treatment of active benign gastric ulcer
    • Pathological hypersecretory conditions                


Juvenile Animal Data



Esomeprazole, an enantiomer of omeprazole, was shown to decrease body weight, body weight gain, femur weight, femur length, and overall growth at oral doses about 34 to 68 times a daily human dose of 40 mg esomeprazole or 40 mg omeprazole based on body surface area in a juvenile rat toxicity study. The animal to human dose multiples are based on the assumption of equal systemic exposure to esomeprazole in humans following oral administration of either 40 mg esomeprazole or 40 mg omeprazole.



A 28-day toxicity study with a 14-day recovery phase was conducted in juvenile rats with  esomeprazole magnesium at doses of 70 to 280 mg/kg/day (about 17 to 68 times a daily oral human dose of 40 mg esomeprazole or 40 mg omeprazole on a body surface area basis). An increase in the number of deaths at the high dose of 280 mg/kg/day was observed when juvenile rats were administered esomeprazole magnesium from postnatal day 7 through postnatal day 35. In addition, doses equal to or greater than 140 mg/kg/day (about 34 times a daily oral human dose of 40 mg esomeprazole or 40 mg omeprazole on a body surface area basis), produced treatment-related decreases in body weight (approximately 14%) and body weight gain, decreases in femur weight and femur length, and affected overall growth. Comparable findings described above have also been observed in this study with another esomeprazole salt, esomeprazole strontium, at equimolar doses of esomeprazole.

8.5 Geriatric Use

Omeprazole was administered to over 2000 elderly individuals (≥ 65 years of age) in clinical trials in the U.S. and Europe. There were no differences in safety and effectiveness between the elderly and younger subjects. Other reported clinical experience has not identified differences in response between the elderly and younger subjects, but greater sensitivity of some older individuals cannot be ruled out.



Pharmacokinetic studies have shown the elimination rate was somewhat decreased in the elderly and bioavailability was increased. The plasma clearance of omeprazole was 250 mL/min (about half that of young volunteers) and its plasma half-life averaged one hour, about twice that of young healthy volunteers. However, no dosage adjustment is necessary in the elderly [see Clinical Pharmacology (12.3)] .

5.8 Hypomagnesemia

Hypomagnesemia, symptomatic and asymptomatic, has been reported rarely in patients treated with PPIs for at least three months, in most cases after a year of therapy. Serious adverse events include tetany, arrhythmias, and seizures. In most patients, treatment of hypomagnesemia required magnesium replacement and discontinuation of the PPI.



For patients expected to be on prolonged treatment or who take PPIs with medications such as digoxin or drugs that may cause hypomagnesemia (e.g., diuretics), health care professionals may consider monitoring magnesium levels prior to initiation of PPI treatment and periodically [see Adverse Reactions (6.3)] .

4 Contraindications
  • Omeprazole delayed-release capsules are contraindicated in patients with known hypersensitivity reactions including anaphylaxis to the formulation [see Warnings and Precautions (5.2)] or any substituted benzimidazole. Hypersensitivity reactions may include anaphylaxis, anaphylactic shock, angioedema, bronchospasm, and urticaria [see Adverse Reactions (6)] .
  • Proton pump inhibitors (PPIs), including omeprazole delayed-release capsules, are contraindicated in patients receiving rilpivirine-containing products [see Drug Interactions (7)].
  • For information about contraindications of antibacterial agents (clarithromycin and amoxicillin) indicated in combination with omeprazole delayed-release capsules, refer to the CONTRAINDICATIONS section of their package inserts.
6 Adverse Reactions

The following serious adverse reactions are described below and elsewhere in labeling:



7 Drug Interactions

Tables 3 and 4 include drugs with clinically important drug interactions and interaction with diagnostics when administered concomitantly with omeprazole and instructions for preventing or managing them.



Consult the labeling of concomitantly used drugs to obtain further information about interactions with PPIs.

Table 3: Clinically Relevant Interactions Affecting Drugs Co-Administered with Omeprazole and Interaction with Diagnostics
Antiretrovirals

Clinical Impact:

The effect of PPIs on antiretroviral drugs is variable. The clinical importance and the mechanisms behind these interactions are not always known.

 

  • Decreased exposure of some antiretroviral drugs (e.g., rilpivirine, atazanavir and nelfinavir) when used concomitantly with omeprazole may reduce antiviral effect and promote the development of drug resistance [see Clinical Pharmacology (12.3)].
  • Increased exposure of other antiretroviral drugs (e.g., saquinavir) when used concomitantly with omeprazole may increase toxicity [see Clinical Pharmacology (12.3)].
  • There are other antiretroviral drugs which do not result in clinically relevant interactions with omeprazole.
Intervention:

Rilpivirine-containing products: Concomitant use with omeprazole is contraindicated [see Contraindications (4) ] .

 

Atazanavir: Avoid concomitant use with omeprazole. See prescribing information for atazanavir for dosing information.

 

Nelfinavir: Avoid concomitant use with omeprazole. See prescribing information for nelfinavir.

 

Saquinavir: See the prescribing information for saquinavir for monitoring of potential saquinavir-related toxicities.

 

Other antiretrovirals: See prescribing information for specific antiretroviral drugs.

Warfarin

Clinical Impact:

Increased INR and prothrombin time in patients receiving PPIs, including omeprazole, and warfarin concomitantly. Increases in INR and prothrombin time may lead to abnormal bleeding and even death.

         Intervention:

Monitor INR and prothrombin time and adjust the dose of warfarin, if needed, to maintain target INR range.

Methotrexate

Clinical Impact:

Concomitant use of omeprazole with methotrexate (primarily at high dose) may elevate and prolong serum concentrations of methotrexate and/or its metabolite hydroxymethotrexate, possibly leading to methotrexate toxicities. No formal drug interaction studies of high-dose methotrexate with PPIs have been conducted [see Warnings and Precautions (5.11) ].

Intervention:

A temporary withdrawal of omeprazole may be considered in some patients receiving high-dose methotrexate.

CYP2C19 Substrates (e.g., clopidogrel, citalopram, cilostazol, phenytoin, diazepam)

Clopidogrel

Clinical Impact:

Concomitant use of omeprazole 80 mg results in reduced plasma concentrations of the active metabolite of clopidogrel and a reduction in platelet inhibition [see Clinical Pharmacology (12.3) ].

There are no adequate combination studies of a lower dose of omeprazole or a higher dose of clopidogrel in comparison with the approved dose of clopidogrel .

        Intervention:

Avoid concomitant use with omeprazole. Consider use of alternative anti-platelet therapy [see Warnings and Precautions (5.6) ].

Citalopram

Clinical Impact:

Increased exposure of citalopram leading to an increased risk of QT prolongation [see Clinical Pharmacology (12.3) ] .

         Intervention:

Limit the dose of citalopram to a maximum of 20 mg per day. See prescribing information for citalopram.

Cilostazol

Clinical Impact:

Increased exposure of one of the active metabolites of cilostazol (3,4-dihydro-cilostazol) [see Clinical Pharmacology (12.3) ].

          Intervention:

Reduce the dose of cilostazol to 50 mg twice daily. See prescribing information for cilostazol.

Phenytoin

Clinical Impact:

Potential for increased exposure of phenytoin.

         Intervention:

Monitor phenytoin serum concentrations. Dose adjustment may be needed to maintain therapeutic drug concentrations. See prescribing information for phenytoin.

Diazepam

Clinical Impact:

Increased exposure of diazepam [see Clinical Pharmacology (12.3) ] .

Intervention:

Monitor patients for increased sedation and reduce the dose of diazepam as needed.

Digoxin

Clinical Impact:

Potential for increased exposure of digoxin [see Clinical Pharmacology (12.3) ].

Intervention:

Monitor digoxin concentrations. Dose adjustment may be needed to maintain therapeutic drug concentrations. See digoxin prescribing information.

Drugs Dependent on Gastric pH for Absorption (e.g., iron salts, erlotinib, dasatinib, nilotinib, mycophenolate mofetil, ketoconazole/itraconazole)

Clinical Impact:

Omeprazole can reduce the absorption of other drugs due to its effect on reducing intragastric acidity.

Intervention:

Mycophenolate mofetil (MMF): Co-administration of omeprazole in healthy subjects and in transplant patients receiving MMF has been reported to reduce the exposure to the active metabolite, mycophenolic acid (MPA), possibly due to a decrease in MMF solubility at an increased gastric pH. The clinical relevance of reduced MPA exposure on organ rejection has not been established in transplant patients receiving omeprazole and MMF. Use omeprazole with caution in transplant patients receiving MMF [see Clinical Pharmacology (12.3) ] .

 

See the prescribing information for other drugs dependent on gastric pH for absorption.

Combination Therapy with Clarithromycin and Amoxicillin

Clinical Impact:

Concomitant administration of clarithromycin with other drugs can lead to serious adverse reactions, including potentially fatal arrhythmias, and are contraindicated. Amoxicillin also has drug interactions.

Intervention:

See Contraindications Warnings and Precautions   in prescribing information for clarithromycin.

 

See  Drug Interactions   in prescribing information for amoxicillin.

Tacrolimus

Clinical Impact:

Potential for increased exposure of tacrolimus, especially in transplant patients who are intermediate or poor metabolizers of CYP2C19 .

Intervention:

Monitor tacrolimus whole blood concentrations. Dose adjustment may be needed to maintain therapeutic drug concentrations. See prescribing information for tacrolimus.

Interactions with Investigations of Neuroendocrine Tumors

Clinical Impact:

Serum chromogranin A (CgA) levels increase secondary to PPI-induced decreases in gastric acidity. The increased CgA level may cause false positive results in diagnostic investigations for neuroendocrine tumors [see Warnings and Precautions (5.10) , Clinical Pharmacology (12.2) ] .

Intervention:

Temporarily stop omeprazole treatment at least 14 days before assessing CgA levels and consider repeating the test if initial CgA levels are high. If serial tests are performed (e.g., for monitoring), the same commercial laboratory should be used for testing, as reference ranges between tests may vary.

Interaction with Secretin Stimulation Test

Clinical Impact:

Hyper-response in gastrin secretion in response to secretin stimulation test, falsely suggesting gastrinoma.

Intervention:

Temporarily stop omeprazole treatment at least 14 days before assessing to allow gastrin levels to return to baseline [see Clinical Pharmacology (12.2) ] .

False Positive Urine Tests for THC

Clinical Impact:

There have been reports of false positive urine screening tests for tetrahydrocannabinol (THC) in patients receiving PPIs.

Intervention:

An alternative confirmatory method should be considered to verify positive results.

Other

Clinical Impact:

There have been clinical reports of interactions with other drugs metabolized via the cytochrome P450 system (e.g., cyclosporine, disulfiram).

Intervention:

Monitor patients to determine if it is necessary to adjust the dosage of these other drugs when taken concomitantly with omeprazole.

Table 4: Clinically Relevant Interactions Affecting Omeprazole When Co-Administered with Other Drugs
CYP2C19 or CYP3A4 Inducers

Clinical Impact:

Decreased exposure of omeprazole when used concomitantly with strong inducers [see Clinical Pharmacology (12.3) ].

Intervention:

St. John’s Wort, rifampin: Avoid concomitant use with omeprazole [see Warnings and Precautions (5.9) ].

Ritonavir-containing products: see prescribing information for specific drugs.

CYP2C19 or CYP3A4 Inhibitors

Clinical Impact:

Increased exposure of omeprazole [see Clinical Pharmacology (12.3) ].

Intervention:

Voriconazole: Dose adjustment of omeprazole is not normally required. However, in patients with Zollinger-Ellison syndrome, who may require higher doses, dose adjustment may be considered.

 

See prescribing information for voriconazole.

8.7 Asian Population

In studies of healthy subjects, Asians had approximately a four-fold higher exposure than Caucasians. Dosage reduction of omeprazole to 10 mg once daily is recommended for Asian patients for maintenance of healing of EE [see Dosage and Administration (2.1) , Clinical Pharmacology (12.5)] .

Instructions for Use



Omeprazole Delayed-Release Capsules, USP


(oh mep' ra zole)

Omeprazole delayed-release capsules

Taking omeprazole delayed-release capsules with applesauce:

1. Place 1 tablespoon of applesauce into a clean container.

2. Carefully open the capsule and sprinkle the pellets onto the applesauce. Mix the pellets with the applesauce.

3. Swallow the applesauce and pellet mixture right away. Do not chew or crush the pellets. Do not store the applesauce and pellet mixture for later use.

12.2 Pharmacodynamics


Antisecretory Activity



After oral administration, the onset of the antisecretory effect of omeprazole occurs within one hour, with the maximum effect occurring within two hours. Inhibition of secretion is about 50% of maximum at 24 hours and the duration of inhibition lasts up to 72 hours. The antisecretory effect thus lasts far longer than would be expected from the very short (less than one hour) plasma half-life, apparently due to prolonged binding to the parietal H +/K + ATPase enzyme. When the drug is discontinued, secretory activity returns gradually, over 3 to 5 days. The inhibitory effect of omeprazole on acid secretion increases with repeated once-daily dosing, reaching a plateau after four days.



Results from numerous studies of the antisecretory effect of multiple doses of 20 mg and 40 mg of omeprazole in healthy subjects and patients are shown below. The “max” value represents determinations at a time of maximum effect (2 to 6 hours after dosing), while “min” values are those 24 hours after the last dose of omeprazole.



Table 5: Range of Mean Values from Multiple Studies of the Mean Antisecretory Effects of Omeprazole After Multiple Daily Dosing
  Omeprazole

20 mg
Omeprazole

40 mg
   Parameter Max Min Max Min
1. Single Studies

   % Decrease in Basal Acid Output

78 1

58 to 80

94 1

80 to 93

   % Decrease in Peak Acid Output

79 1

50 to 59

88 1

62 to 68

   % Decrease in 24-hr. Intragastric Acidity

 

80 to 97

 

92 to 94



Single daily oral doses of omeprazole ranging from a dose of 10 mg to 40 mg have produced 100% inhibition of 24-hour intragastric acidity in some patients.



Serum Gastrin Effects




In studies involving more than 200 patients, serum gastrin levels increased during the first 1 to 2 weeks of once-daily administration of therapeutic doses of omeprazole in parallel with inhibition of acid secretion. No further increase in serum gastrin occurred with continued treatment. In comparison with histamine H 2-receptor antagonists, the median increases produced by 20 mg doses of omeprazole were higher (1.3 to 3.6 fold vs. 1.1 to 1.8 fold increase). Gastrin values returned to pretreatment levels, usually within 1 to 2 weeks after discontinuation of therapy.



Increased gastrin causes enterochromaffin-like cell hyperplasia and increased serum Chromogranin A (CgA) levels. The increased CgA levels may cause false positive results in diagnostic investigations for neuroendocrine tumors [see Warnings and Precautions (5.10)] .



Enterochromaffin-like (ECL) Cell Effects




Human gastric biopsy specimens have been obtained from more than 3000 patients (both children and adults) treated with omeprazole in long-term clinical trials. The incidence of ECL cell hyperplasia in these studies increased with time; however, no case of ECL cell carcinoids, dysplasia, or neoplasia has been found in these patients. However, these studies are of insufficient duration and size to rule out the possible influence of long-term administration of omeprazole on the development of any premalignant or malignant conditions.



Other Effects




Systemic effects of omeprazole in the CNS, cardiovascular and respiratory systems have not been found to date. Omeprazole, given in oral doses of 30 or 40 mg for 2 to 4 weeks, had no effect on thyroid function, carbohydrate metabolism, or circulating levels of parathyroid hormone, cortisol, estradiol, testosterone, prolactin, cholecystokinin or secretin.



No effect on gastric emptying of the solid and liquid components of a test meal was demonstrated after a single dose of omeprazole 90 mg. In healthy subjects, a single intravenous dose of omeprazole (0.35 mg/kg) had no effect on intrinsic factor secretion. No systematic dose-dependent effect has been observed on basal or stimulated pepsin output in humans.



However, when intragastric pH is maintained at 4 or above, basal pepsin output is low, and pepsin activity is decreased.



As do other agents that elevate intragastric pH, omeprazole administered for 14 days in healthy subjects produced a significant increase in the intragastric concentrations of viable bacteria. The pattern of the bacterial species was unchanged from that commonly found in saliva. All changes resolved within three days of stopping treatment.



The course of Barrett’s esophagus in 106 patients was evaluated in a U.S. double-blind controlled study of omeprazole 40 mg twice daily for 12 months followed by 20 mg twice daily for 12 months or ranitidine 300 mg twice daily for 24 months. No clinically significant impact on Barrett’s mucosa by antisecretory therapy was observed. Although neosquamous epithelium developed during antisecretory therapy, complete elimination of Barrett’s mucosa was not achieved. No significant difference was observed between treatment groups in development of dysplasia in Barrett’s mucosa and no patient developed esophageal carcinoma during treatment. No significant differences between treatment groups were observed in development of ECL cell hyperplasia, corpus atrophic gastritis, corpus intestinal metaplasia, or colon polyps exceeding 3 mm in diameter.

12.3 Pharmacokinetics

Omeprazole is a time-dependent inhibitor of CYP2C19, resulting in autoinhibition and nonlinear pharmacokinetics. The systemic exposure increases in a more than dose proportional manner after multiple oral doses of omeprazole. Compared to the first dose, the systemic exposure (C max and AUC 0-24h) at steady state following once a day dosing increased by 61% and 62%, respectively, compared to after the first dose for the 20 mg dose of omeprazole delayed-release capsules and increased by 118% and 175%, respectively, for the 40 mg dose of omeprazole delayed-release capsules.



Absorption

Omeprazole delayed-release capsules contain an enteric-coated granule formulation of omeprazole (because omeprazole is acid-labile), so that absorption of omeprazole begins only after the granules leave the stomach. Absorption is rapid, with peak plasma concentrations of omeprazole occurring within 0.5 to 3.5 hours. Peak plasma concentrations of omeprazole and AUC are approximately proportional to doses up to 40 mg, but because of a saturable first-pass effect, a greater than linear response in peak plasma concentration and AUC occurs with doses greater than 40 mg. Absolute bioavailability (compared with intravenous administration) is about 30 to 40% at doses of 20 to 40 mg, due in large part to presystemic metabolism. In healthy subjects the plasma half-life is 0.5 to 1 hour, and the total body clearance is 500 to 600 mL/min.



The bioavailability of omeprazole increases slightly upon repeated administration of omeprazole delayed-release capsules.



The systemic exposure (C max and AUC) are similar when a 40 mg omeprazole delayed-release capsule is administered with and without applesauce. However, administration of a 20 mg omeprazole delayed-release capsule with applesauce, results in a mean 25% reduction in C max without a significant change in AUC compared to administration without applesauce. The clinical relevance of this finding is unknown.

Distribution

Protein binding is approximately 95%.



Elimination



Metabolism

Omeprazole is extensively metabolized by the cytochrome P450 (CYP) enzyme system. The major part of its metabolism is dependent on the polymorphically expressed CYP2C19, responsible for the formation of hydroxyomeprazole, the major metabolite in plasma. The remaining part is dependent on another specific isoform, CYP3A4, responsible for the formation of omeprazole sulphone.



Excretion

Following single dose oral administration of a buffered solution of omeprazole, little if any unchanged drug was excreted in urine. The majority of the dose (about 77%) was eliminated in urine as at least six metabolites. Two were identified as hydroxyomeprazole and the corresponding carboxylic acid. The remainder of the dose was recoverable in feces. This implies a significant biliary excretion of the metabolites of omeprazole. Three metabolites have been identified in plasma the sulfide and sulfone derivatives of omeprazole, and hydroxyomeprazole. These metabolites have very little or no antisecretory activity.

Combination Therapy with Antimicrobials



Omeprazole 40 mg daily was given in combination with clarithromycin 500 mg every 8 hours to healthy adult male subjects. The steady state plasma concentrations of omeprazole were increased (C max, AUC 0-24, and T 1/2 increases of 30%, 89% and 34% respectively) by the concomitant administration of clarithromycin. The observed increases in omeprazole plasma concentration were associated with the following pharmacological effects. The mean 24-­hour gastric pH value was 5.2 when omeprazole was administered alone and 5.7 when co-administered with clarithromycin.



The plasma concentrations of clarithromycin and 14-hydroxy-clarithromycin were increased by the concomitant administration of omeprazole. For clarithromycin, the mean C max was 10% greater, the mean C min was 27% greater, and the mean AUC 0-8 was 15% greater when clarithromycin was administered with omeprazole than when clarithromycin was administered alone. Similar results were seen for 14-hydroxy-clarithromycin, the mean C max was 45% greater, the mean C min was 57% greater, and the mean AUC 0-8 was 45% greater. Clarithromycin concentrations in the gastric tissue and mucus were also increased by concomitant administration of omeprazole.

  Table 6: Clarithromycin Tissue Concentrations 2 hours after Dose 1
1. Mean ± SD (mcg/g)

Tissue

Clarithromycin

Clarithromycin + Omeprazole

Antrum

10.48 ± 2.01 (n = 5)

19.96 ± 4.71  (n = 5)

Fundus

20.81 ± 7.64 (n = 5)

24.25 ± 6.37  (n = 5)

Mucus

4.15 ± 7.74 (n = 4)

39.29 ± 32.79 (n = 4)

Specific Populations

Age: Geriatric Population



The elimination rate of omeprazole was somewhat decreased in the elderly, and bioavailability was increased. Omeprazole was 76% bioavailable when a single 40 mg oral dose of omeprazole (buffered solution) was administered to healthy elderly volunteers, versus 58% in young volunteers given the same dose. Nearly 70% of the dose was recovered in urine as metabolites of omeprazole and no unchanged drug was detected. The plasma clearance of omeprazole was 250 mL/min (about half that of young volunteers) and its plasma half-life averaged one hour, about twice that of young healthy volunteers.

Age: Pediatric Population



2 to 16 Years of Age

The pharmacokinetics of omeprazole have been investigated in pediatric patients 2 to 16 years of age:

Table 7: Pharmacokinetic Parameters of Omeprazole Following Single and Repeated Oral Administration in Pediatric Populations Compared with Adults
1. Data from single and repeated dose studies. Doses of 10, 20 and 40 mg omeprazole as enteric-coated granules.

2. Data from a single and repeated dose study. Doses of 10, 20 and 40 mg omeprazole as enteric-coated granules.

3. Plasma concentration adjusted to an oral dose of 1 mg/kg.

Single or Repeated

Oral Dosing/Parameter

Children 1

≤ 20 kg

2 to 5 Years

10 mg

Children 1

> 20 kg

6 to 16 Years

20 mg

Adults 2

(Mean 76 kg)

23 to 29 Years (n=12)

Single Dosing

C max 3 (ng/mL)

288 (n=10)

495 (n=49)

668

AUC 3 (ng h/mL)

511 (n=7)

1140 (n=32)

1220

Repeated Dosing

 

 

C max 3 (ng/mL)

539 (n=4)

851 (n=32)

1458

AUC 3 (ng h/mL)

1179 (n=2)

2276 (n=23)

3352

Following comparable mg/kg doses of omeprazole, younger children (2 to 5 years of age) have lower AUCs than children 6 to 16 years of age or adults; AUCs of the latter two groups did not differ [see Dosage and Administration (2)] .



Race/Ethnicity



[See Clinical Pharmacology (12.5)] .



Renal Impairment



In patients with chronic renal impairment (creatinine clearance between 10 and 62 mL/min/1.73 m 2), the disposition of omeprazole was very similar to that in healthy subjects, although there was a slight increase in bioavailability. Because urinary excretion is a primary route of excretion of omeprazole metabolites, their elimination slowed in proportion to the decreased creatinine clearance. This increase in bioavailability is not considered to be clinically meaningful.



Hepatic Impairment



In patients with chronic hepatic disease classified as Child-Pugh Class A (n=3), B (n=4) and C (n=1), the bioavailability increased to approximately 100% compared to healthy subjects, reflecting decreased first-pass effect, and the plasma half- life of the drug increased to nearly 3 hours compared with the half-life in healthy subjects of 0.5 to 1 hour. Plasma clearance averaged 70 mL/min, compared with a value of 500 to 600 mL/min in healthy subjects [see Dosage and Administration (2.1), Use in Specific Populations (8.6)] .



Drug Interaction Studies

Effect of Omeprazole on Other Drugs



Omeprazole is a time-dependent inhibitor of CYP2C19 and can increase the systemic exposure of co-administered drugs that are CYP2C19 substrates. In addition, administration of omeprazole increases intragastric pH and can alter the systemic exposure of certain drugs that exhibit pH-dependent solubility.



Antiretrovirals

For some antiretroviral drugs, such as rilpivirine, atazanavir and nelfinavir, decreased serum concentrations have been reported when given together with omeprazole [see Drug Interactions (7)].

Rilpivirine: Following multiple doses of rilpivirine (150 mg, daily) and omeprazole (20 mg, daily), AUC was decreased by 40%, C max by 40%, and C min by 33% for rilpivirine.



Nelfinavir: Following multiple doses of nelfinavir (1250 mg, twice daily) and omeprazole (40 mg daily), AUC was decreased by 36% and 92%, C max by 37% and 89% and C min by 39% and 75% respectively for nelfinavir and M8.



Atazanavir: Following multiple doses of atazanavir (400 mg, daily) and omeprazole (40 mg, daily, 2 hours before atazanavir), AUC was decreased by 94%, C max by 96%, and C min by 95%.



Saquinavir: Following multiple dosing of saquinavir/ritonavir (1000/100 mg) twice daily for 15 days with omeprazole 40 mg daily co-administered days 11 to 15.



AUC was increased by 82%, C max by 75%, and C min by 106%. The mechanism behind this interaction is not fully elucidated. Therefore, clinical and laboratory monitoring for saquinavir toxicity is recommended during concurrent use with omeprazole.

Clopidogrel

In a crossover clinical study, 72 healthy subjects were administered clopidogrel (300 mg loading dose followed by 75 mg per day) alone and with omeprazole (80 mg at the same time as clopidogrel) for 5 days. The exposure to the active metabolite of clopidogrel was decreased by 46% (Day 1) and 42% (Day 5) when clopidogrel and omeprazole were administered together.



Results from another crossover study in healthy subjects showed a similar pharmacokinetic interaction between clopidogrel (300 mg loading dose/75 mg daily maintenance dose) and omeprazole 80 mg daily when co-administered for 30 days. Exposure to the active metabolite of clopidogrel was reduced by 41% to 46% over this time period.



In another study, 72 healthy subjects were given the same doses of clopidogrel and 80 mg omeprazole but the drugs were administered 12 hours apart; the results were similar, indicating that administering clopidogrel and omeprazole at different times does not prevent their interaction [see Warnings and Precautions (5.6), Drug Interactions (7)] .



Mycophenolate Mofetil

Administration of omeprazole 20 mg twice daily for 4 days and a single 1000 mg dose of MMF approximately one hour after the last dose of omeprazole to 12 healthy subjects in a cross-over study resulted in a 52% reduction in the C max and 23% reduction in the AUC of MPA [see Drug Interactions (7)] .



Cilostazol

Omeprazole acts as an inhibitor of CYP2C19. Omeprazole, given in doses of 40 mg daily for one week to 20 healthy subjects in cross-over study, increased C max and AUC of cilostazol by 18% and 26% respectively. The C max and AUC of one of the active metabolites, 3,4- dihydro-cilostazol, which has 4 to 7 times the activity of cilostazol, were increased by 29% and 69%, respectively. Co-administration of cilostazol with omeprazole is expected to increase concentrations of cilostazol and the above mentioned active metabolite [see Drug Interactions (7)] .



Diazepam

Concomitant administration of omeprazole 20 mg once daily and diazepam 0.1 mg/kg given intravenously resulted in 27% decrease in clearance and 36% increase in diazepam half-life [see Drug Interactions (7)] .



Digoxin

Concomitant administration of omeprazole 20 mg once daily and digoxin in healthy subjects increased the bioavailability of digoxin by 10% (30% in two subjects) [see Drug Interactions (7)] .



Effect of Other Drugs on Omeprazole



Voriconazole

Concomitant administration of omeprazole and voriconazole (a combined inhibitor of CYP2C19 and CYP3A4) resulted in more than doubling of the omeprazole exposure. When voriconazole (400 mg every 12 hours for one day, followed by 200 mg once daily for 6 days) was given with omeprazole (40 mg once daily for 7 days) to healthy subjects, the steady-state C max and AUC 0-24 of omeprazole significantly increased: an average of 2 times (90% CI: 1.8, 2.6) and 4 times (90% CI: 3.3, 4.4), respectively, as compared to when omeprazole was given without voriconazole [see Drug Interactions (7)] .

12.5 Pharmacogenomics

CYP2C19, a polymorphic enzyme, is involved in the metabolism of omeprazole. The CYP2C19*1 allele is fully functional while the CYP2C19*2 and *3 alleles are nonfunctional. There are other alleles associated with no or reduced enzymatic function. Patients carrying two fully functional alleles are extensive metabolizers and those carrying two loss of- function alleles are poor metabolizers. In extensive metabolizers, omeprazole is primarily metabolized by CYP2C19.



The systemic exposure to omeprazole varies with a patient’s metabolism status: poor metabolizers > intermediate metabolizers > extensive metabolizers. Approximately 3% of Caucasians and 15 to 20% of Asians are CYP2C19 poor metabolizers.



In a pharmacokinetic study of single 20 mg omeprazole dose, the AUC of omeprazole in Asian subjects was approximately four-fold of that in Caucasians [see Dosage and Administration (2.1), Use in Specific Populations (8.7)].

14.4 Symptomatic Gerd

A placebo-controlled study was conducted in Scandinavia to compare the efficacy of omeprazole 20 mg or 10 mg once daily for up to 4 weeks in the treatment of heartburn and other symptoms in GERD patients without EE. Results are shown below.

% Successful Symptomatic Outcome 1
1. Defined as complete resolution of heartburn.

2. (p < 0.005) versus 10 mg.

3. (p < 0.005) versus placebo.
Omeprazole

20 mg a.m.

Omeprazole

10 mg a.m.

Placebo

a.m.

All patients

46 2,3

(n = 205)

31 3

(n = 199)

13

(n = 105)

Patients with confirmed GERD

56 2,3

(n = 115)

36 3

(n = 109)

14

(n = 59)

8.6 Hepatic Impairment

In patients with hepatic impairment (Child-Pugh Class A, B, or C) exposure to omeprazole substantially increased compared to healthy subjects. Dosage reduction of omeprazole to 10 mg once daily is recommended for patients with hepatic impairment for maintenance of healing of EE [see Dosage and Administration (2.1), Clinical Pharmacology (12.3)] .

1 Indications and Usage

Omeprazole is a proton pump inhibitor (PPI) indicated for the:

  • Treatment of active duodenal ulcer in adults ( 1.1)
  • Eradication of Helicobacter pylori to reduce the risk of duodenal ulcer recurrence in adults ( 1.2)
  • Treatment of active benign gastric ulcer in adults ( 1.3)
  • Treatment of symptomatic gastroesophageal reflux disease (GERD) in patients 2 years of age and older ( 1.4)
  • Maintenance of healing of EE due to acid-mediated GERD in patients 2 years of age and older ( 1.6)
  • Pathologic hypersecretory conditions in adults ( 1.7)
1.2 Helicobacter Pylori

Eradication of H. pylori has been shown to reduce the risk of duodenal ulcer recurrence.



Triple Therapy



Omeprazole delayed-release capsules in combination with clarithromycin and amoxicillin, are indicated for treatment of patients with H. pylori infection and duodenal ulcer disease (active or up to 1-year history) to eradicate H. pylori in adults.



Dual Therapy




Omeprazole delayed-release capsules in combination with clarithromycin are indicated for treatment of patients with H. pylori infection and duodenal ulcer disease to eradicate H. pylori in adults.



Among patients who fail therapy, omeprazole delayed-release capsules with clarithromycin are more likely to be associated with the development of clarithromycin resistance as compared with triple therapy. In patients who fail therapy, susceptibility testing should be done. If resistance to clarithromycin is demonstrated or susceptibility testing is not possible, alternative antimicrobial therapy should be instituted [see  Clinical Pharmacology (12.4) and the clarithromycin prescribing information, Microbiology sectio n].

12.1 Mechanism of Action


Omeprazole belongs to a class of antisecretory compounds, the substituted benzimidazoles, that suppress gastric acid secretion by specific inhibition of the H +/K + ATPase enzyme system at the secretory surface of the gastric parietal cell. Because this enzyme system is regarded as the acid (proton) pump within the gastric mucosa, omeprazole has been characterized as a gastric acid-pump inhibitor, in that it blocks the final step of acid production. This effect is dose-related and leads to inhibition of both basal and stimulated acid secretion irrespective of the stimulus. 

5.12 Fundic Gland Polyps

PPI use is associated with an increased risk of fundic gland polyps that increases with long-term use, especially beyond one year.  Most PPI users who developed fundic gland polyps were asymptomatic and fundic gland polyps were identified  on endoscopy.  Use the shortest duration of PPI therapy appropriate to the condition being treated. PPI use is associated with an increased risk of fundic gland polyps that increases with long-term use, especially beyond one year.  Most PPI users who developed fundic gland polyps were asymptomatic and fundic gland polyps were identified  incidentally on endoscopy.  Use the shortest duration of PPI therapy appropriate to the condition being treated.

5.3 Clostridium Difficile

Published observational studies suggest that PPI therapy like omeprazole may be associated with an increased risk of Clostridium difficile-associated diarrhea, especially in hospitalized patients. This diagnosis should be considered for diarrhea that does not improve [see Adverse Reactions (6.2)] .



Patients should use the lowest dose and shortest duration of PPI therapy appropriate to the condition being treated.



Clostridium difficile-
associated diarrhea (CDAD) has been reported with use of nearly all antibacterial agents. For more information specific to antibacterial agents (clarithromycin and amoxicillin) indicated for use in combination with omeprazole, refer to Warnings and Precautions sections of the corresponding prescribing information.

14.1 Active Duodenal Ulcer

In a multicenter, double-blind, placebo-controlled study of 147 patients with endoscopically documented duodenal ulcer, the percentage of patients healed (per protocol) at 2 and 4 weeks was significantly higher with omeprazole 20 mg once daily than with placebo (p ≤ 0.01).

Treatment of Active Duodenal Ulcer % of Patients Healed
1. (p ≤ 0.01)
Omeprazole 20 mg a.m.

(n = 99)

Placebo

a.m.

(n = 48)

Week 2

41 1

13

Week 4

75 1

27

Complete daytime and nighttime pain relief occurred significantly faster (p ≤ 0.01) in patients treated with omeprazole 20 mg than in patients treated with placebo. At the end of the study, significantly more patients who had received omeprazole had complete relief of daytime pain (p ≤ 0.05) and nighttime pain   (p ≤ 0.01).



In a multicenter, double-blind study of 293 patients with endoscopically documented duodenal ulcer, the percentage of patients healed (per protocol) at 4 weeks was significantly higher with omeprazole 20 mg once daily than with ranitidine 150 mg b.i.d. (p < 0.01). 

Treatment of Active Duodenal Ulcer % of Patients Healed
1. (p < 0.01)
Omeprazole

20 mg a.m.

(n = 145)

Ranitidine

150 mg

Twice Daily

(n = 148)

Week 2

42

34

Week 4

82 1

63

Healing occurred significantly faster in patients treated with omeprazole than in those treated with ranitidine 150 mg b.i.d. (p < 0.01).



In a foreign multinational randomized, double-blind study of 105 patients with endoscopically documented duodenal ulcer, 20 mg and 40 mg of omeprazole were compared with 150 mg b.i.d. of ranitidine at 2, 4 and 8 weeks. At 2 and 4 weeks both doses of omeprazole were statistically superior (per protocol) to ranitidine, but 40 mg was not superior to 20 mg of omeprazole, and at 8 weeks there was no significant difference between any of the active drugs. 

Treatment of Active Duodenal Ulcer % of Patients Healed
1. (p ≤ 0.01)
Omeprazole

Ranitidine 150 mg Twice Daily

(n = 35)

20 mg

(n = 34)

40 mg

(n = 36)

Week 2

83 1

83 1

53

Week 4

97 1

100 1

82

Week 8

100

100

94



5 Warnings and Precautions
  • Gastric Malignancy: In adults, symptomatic response does not preclude the presence of gastric malignancy. Consider additional follow-up and diagnostic testing. ( 5.1)
  • Tubulointerstitial Nephritis: Evaluate unexplained decrease in glomerular filtration rate; discontinue treatment. ( 5.2)
  • Clostridium difficile -Associated Diarrhea: PPI therapy may be associated with increased risk. ( 5.3)
  • Bone Fracture: Long-term and multiple daily dose PPI therapy may be associated with an increased risk for osteoporosis-related fractures of the hip, wrist or spine. ( 5.4)
  • Cutaneous and Systemic Lupus Erythematosus: Mostly cutaneous; new onset or exacerbation of existing disease; discontinue omeprazole and refer to specialist for evaluation. ( 5.5)
  • Interaction with Clopidogrel: Avoid concomitant use of omeprazole.( 5.6, 7)
  • Cyanocobalamin (Vitamin B-12) Deficiency: Daily long-term use (e.g., longer than 3 years) may lead to malabsorption or a deficiency of cyanocobalamin. ( 5.7)
  • Hypomagnesemia: Reported rarely with prolonged treatment with PPIs. ( 5.8)
  • Interaction with St. John’s Wort or Rifampin: Avoid concomitant use of omeprazole. ( 5.9, 7)
  • Interactions with Diagnostic Investigations for Neuroendocrine Tumors: Increased Chromogranin A (CgA) levels may interfere with diagnostic investigations for neuroendocrine tumors; temporarily stop omeprazole at least 14 days before assessing CgA levels. ( 5.10, 7)
  • Interaction with Methotrexate: Concomitant use with PPIs may elevate and/or prolong serum concentrations of methotrexate and/or its metabolite, possibly leading to toxicity. With high dose methotrexate administration, consider a temporary withdrawal of omeprazole. ( 5.11, 7)
  • Fundic Gland Polyps: Risk increases with long-term use, especially beyond one year. Use the shortest duration of therapy. ( 5.12)
2 Dosage and Administration


* if ulcer present, continue omeprazole delayed-release capsules 20 mg once daily for an additional 18 days.

** if ulcer present, continue omeprazole delayed-release capsules 20 mg once daily for an additional 14 days.

*** an additional 4 weeks of treatment may be given if no response; if recurrence additional 4 to 8 week courses may be considered.

**** studied for 12 months. Reduce the dosage to 10 mg once daily for patients with hepatic impairment (Child-Pugh Class A, B, or C) and Asian patients ( 8.6, 8.7)

Indication

Recommended Adult ( 2.1) and Pediatric Dosage ( 2.2)

Treatment of Active Duodenal Ulcer

20 mg once daily for 4 weeks; some patients may require an additional 4 weeks ( 2.1)

H. pylori Eradication to Reduce the Risk of Duodenal Ulcer Recurrence

Triple Therapy:

 

Omeprazole delayed- release capsules

20 mg

Each drug twice daily for 10 days ( 2.1)*

Amoxicillin

1000 mg

Clarithromycin

500 mg

Dual Therapy :

 

 

Omeprazole delayed- release capsules

40 mg once daily for 14 days**

Clarithromycin

500 mg three times daily for 14 days ( 2.1)

Active Benign Gastric Ulcer

40 mg once daily for 4 to 8 weeks ( 2.1)

Symptomatic GERD

20 mg once daily for up to 4 weeks ( 2.1) See full prescribing information for weight based dosing in pediatric patients 2 years of age and older ( 2.2)

EE due to Acid-Mediated GERD

20 mg once daily for 4 to 8 weeks ( 2.1)***

Maintenance of Healing of EE due to Acid-Mediated GERD

20 mg once daily ( 2.1)****

See full prescribing information for weight based dosing in pediatric patients 2 years of age and older ( 2.2)

Pathological Hypersecretory Conditions

Starting dose is 60 mg once daily (varies with individual patient, see full prescribing information) as long as clinically indicated ( 2.1)





3 Dosage Forms and Strengths


Omeprazole Delayed-Release Capsules USP , 10 mg are pink/pink size ‘3’ hard gelatin capsule filled with white to off-white enteric-coated granules and imprinted with ‘E’ on pink cap and ‘65’ on pink body with black ink. 



Omeprazole Delayed-Release Capsules USP
, 20 mg are reddish brown/pink size ‘1’ hard gelatin capsule filled with white to off-white enteric-coated granules and imprinted with ‘E’ on reddish brown cap and ‘67’ on pink body with black ink. 



Omeprazole Delayed-Release Capsules USP
, 40 mg are reddish brown/reddish brown size ‘0’ hard gelatin capsule filled with white to off-white enteric-coated granules and imprinted with ‘E’ on reddish brown cap and ‘69’ on reddish brown body with black ink.

6.3 Postmarketing Experience

The following adverse reactions have been identified during post-approval use of omeprazole. Because these reactions are voluntarily reported from a population of uncertain size, it is not always possible to reliably estimate their actual frequency or establish a causal relationship to drug exposure.



Body As a Whole:
Hypersensitivity reactions including anaphylaxis, anaphylactic shock, angioedema, bronchospasm, interstitial nephritis, urticaria, (see also Skin below); fever; pain; fatigue; malaise; systemic lupus erythematosus



Cardiovascular:
Chest pain or angina, tachycardia, bradycardia, palpitations, elevated blood pressure, peripheral edema



Endocrine:
Gynecomastia



Gastrointestinal:
Pancreatitis (some fatal), anorexia, irritable colon, fecal discoloration, esophageal candidiasis, mucosal atrophy of the tongue, stomatitis, abdominal swelling, dry mouth, microscopic colitis, fundic gland polyps.



Gastroduodenal carcinoids have been reported in patients with ZE syndrome on long-term treatment with omeprazole. This finding is believed to be a manifestation of the underlying condition, which is known to be associated with such tumors.



Hepatic:
Liver disease including hepatic failure (some fatal), liver necrosis (some fatal), hepatic encephalopathy, hepatocellular disease, cholestatic disease, mixed hepatitis, jaundice, and elevations of liver function tests [ALT, AST, GGT, alkaline phosphatase, and bilirubin]



Infections and Infestations: Clostridium difficile-associated diarrhea



Metabolism and Nutritional Disorders:
Hypoglycemia, hypomagnesemia, with or without hypocalcemia and/or hypokalemia, hyponatremia, weight gain



Musculoskeletal:
Muscle weakness, myalgia, muscle cramps, joint pain, leg pain, bone fracture



Nervous System/Psychiatric:
Psychiatric and sleep disturbances including depression, agitation, aggression, hallucinations, confusion, insomnia, nervousness, apathy, somnolence, anxiety, and dream abnormalities; tremors, paresthesia; vertigo



Respiratory:
Epistaxis, pharyngeal pain



Skin:
Severe generalized skin reactions including toxic epidermal necrolysis (some fatal), Stevens-Johnson syndrome, cutaneous lupus erythematosus and erythema multiforme; photosensitivity; urticaria; rash; skin inflammation; pruritus; petechiae; purpura; alopecia; dry skin; hyperhidrosis



Special Senses:
Tinnitus, taste perversion



Ocular:
Optic atrophy, anterior ischemic optic neuropathy, optic neuritis, dry eye syndrome, ocular irritation, blurred vision, double vision



Urogenital:
Interstitial nephritis, hematuria, proteinuria, elevated serum creatinine, microscopic pyuria, urinary tract infection, glycosuria, urinary frequency, testicular pain



Hematologic:
Agranulocytosis (some fatal), hemolytic anemia, pancytopenia, neutropenia, anemia, thrombocytopenia, leukopenia, leukocytosis

2.3 Administration Instructions
  • Take omeprazole delayed-release capsules before meals.
  • Antacids may be used concomitantly with omeprazole delayed-release capsules.
  • Missed doses: If a dose is missed, administer as soon as possible. However, if the next scheduled dose is due, do not take the missed dose, and take the next dose on time. Do not take two doses at one time to make up for a missed dose.


Omeprazole delayed-release capsules

  • Swallow omeprazole delayed-release capsules whole; do not chew.
  • For patients unable to swallow an intact capsule, omeprazole delayed-release capsules can be opened and administered as follows:
  • Place one tablespoon of applesauce into a clean container (e.g., empty bowl). The applesauce used should not be hot and should be soft enough to be swallowed without chewing.
  • Open the capsule.
  • Carefully empty all of the pellets inside the capsule on the applesauce.
  • Mix the pellets with the applesauce.
  • Swallow applesauce and pellets immediately with a glass of cool water to ensure complete swallowing of the pellets. Do not chew or crush the pellets. Do not save the applesauce and pellets for future use.
14.3 Active Benign Gastric Ulcer

In a U.S. multicenter, double-blind, study of omeprazole 40 mg once daily, 20 mg once daily, and placebo in 520 patients with endoscopically diagnosed gastric ulcer, the following results were obtained.

Treatment of Gastric Ulcer % of Patients Healed (All Patients Treated)
1. (p < 0.01) omeprazole 40 mg or 20 mg versus placebo.

2. (p < 0.05) omeprazole 40 mg versus 20 mg.
Omeprazole

20 mg Once Daily

(n = 202)

Omeprazole

40 mg Once Daily

(n = 214)

Placebo

(n = 104)

Week 4

47.5 1

55.6 1

30.8

Week 8

74.8 1

82.7 1,2

48.1



For the stratified groups of patients with ulcer size less than or equal to 1 cm, no difference in healing rates between 40 mg and 20 mg was detected at either 4 or 8 weeks. For patients with ulcer size greater than 1 cm, 40 mg was significantly more effective than 20 mg at 8 weeks.



In a foreign, multinational, double-blind study of 602 patients with endoscopically diagnosed gastric ulcer, omeprazole 40 mg once daily, 20 mg once daily, and ranitidine 150 mg twice a day were evaluated. 

Treatment of Gastric Ulcer % of Patients Healed (All Patients Treated)
1. (p < 0.01) omeprazole 40 mg versus ranitidine.

2. (p < 0.01) omeprazole 40 mg versus 20 mg.
Omeprazole

20 mg Once Daily

(n = 200)

Omeprazole

40 mg Once Daily

(n = 187)

Ranitidine

150 mg Twice Daily (n = 199)

Week 4

63.5

78.1 1,2

56.3

Week 8

81.5

91.4 1,2

78.4

5.2 Tubulointerstitial Nephritis

Tubulointerstitial nephritis (TIN) has been observed in patients taking PPIs and may occur at any point during PPI therapy. Presentation ranges from symptomatic acute hypersensitivity reactions to an asymptomatic gradual decrease in glomerular filtration rate. In reported case series, TIN was diagnosed on biopsy and in the absence of extra-renal manifestations or systemic inflammatory symptoms up to two years after the start of PPI therapy.



Discontinue omeprazole delayed-release capsules and evaluate patients with an unexplained decrease in glomerular filtration rate for TIN. Avoid PPIs in patients with a prior history of PPI-induced TIN.

5.6 Interaction With Clopidogrel

Avoid concomitant use of omeprazole with clopidogrel. Clopidogrel is a prodrug. Inhibition of platelet aggregation by clopidogrel is entirely due to an active metabolite. The metabolism of clopidogrel to its active metabolite can be impaired by use with concomitant medications, such as omeprazole, that inhibit CYP2C19 activity. Concomitant use of clopidogrel with 80 mg omeprazole reduces the pharmacological activity of clopidogrel, even when administered 12 hours apart. When using omeprazole, consider alternative anti-platelet therapy [see  Drug Interactions (7) and Clinical Pharmacology (12.3)] .

14.5 Ee Due to Acid Mediated Gerd

In a U.S. multicenter double-blind placebo controlled study of 20 mg or 40 mg of omeprazole delayed-release capsules in patients with symptoms of GERD and endoscopically diagnosed EE of grade 2 or above, the percentage healing rates (per protocol) were as follows:



1. (p < 0.01) omeprazole versus placebo.
20 mg

Omeprazole

(n = 83)

40 mg

Omeprazole

(n = 87)

Placebo

(n = 43)

Week 4

39 1

45 1

7

Week 8

74 1

75 1

14

In this study, the 40 mg dose was not superior to the 20 mg dose of omeprazole in the percentage healing rate. Other controlled clinical trials have also shown that omeprazole is effective in severe GERD. In comparisons with histamine H 2-receptor antagonists in patients with EE, grade 2 or above, omeprazole in a dose of 20 mg was significantly more effective than the active controls. Complete daytime and nighttime heartburn relief occurred significantly faster (p < 0.01) in patients treated with omeprazole than in those taking placebo or histamine H 2-receptor antagonists.



In this and five other controlled GERD studies, significantly more patients taking 20 mg omeprazole (84%) reported complete relief of GERD symptoms than patients receiving placebo (12%).

17 Patient Counseling Information

Advise the patient to read the FDA-approved patient labeling ( Medication Guide and Instructions for Use).



Adverse Reactions



Advise patients to report to their healthcare provider if they experience any signs or symptoms consistent with:



Drug Interactions



Advise patients to report to their healthcare provider if they start treatment with clopidogrel, St. John’s Wort or rifampin; or, if they take high-dose methotrexate [see Warnings and Precautions (5.6, 5.9, 5.11)] .



Administration

  • Take omeprazole delayed-release capsules before meals.
  • Antacids may be used concomitantly with omeprazole delayed-release capsules.
  • Missed doses: If a dose is missed, administer as soon as possible. However, if the next scheduled dose is due, do not take the missed dose, and take the next dose on time. Do not take two doses at one time to make up for a missed dose. 

Omeprazole delayed-release capsules

  • Swallow omeprazole delayed-release capsules whole; do not chew.
  • For patients unable to swallow an intact capsule, omeprazole delayed-release capsules can be opened and administered in applesauce, as described in the Medication Guide.

Dispense with Medication Guide available at: http://www.risingpharma.com/med-guides.html

5.1 Presence of Gastric Malignancy

In adults, symptomatic response to therapy with omeprazole does not preclude the presence of gastric malignancy. Consider additional follow-up and diagnostic testing in adult patients who have a suboptimal response or an early symptomatic relapse after completing treatment with a PPI. In older patients, also consider an endoscopy.

5.11 Interaction With Methotrexate

Literature suggests that concomitant use of PPIs with methotrexate (primarily at high dose) may elevate and prolong serum levels of methotrexate and/or its metabolite, possibly leading to methotrexate toxicities. In high-dose methotrexate administration a temporary withdrawal of the PPI may be considered in some patients [see Drug Interactions (7)].

16 How Supplied/storage and Handling

Omeprazole Delayed-Release Capsules USP, 20 mg are reddish brown/pink size 1 hard gelatin capsule filled with white to off-white enteric-coated granules and imprinted with E on reddish brown cap and ‘67’ on pink body with black ink.

NDC 68071-2262-3 BOTTLES OF 30





Storage







Store omeprazole delayed-release capsules in a tight container protected from light and moisture.







Store at 20° to 25°C (68° to 77°F) [see USP Controlled Room Temperature].

Package Label Principal Display Panel

1.1 Treatment of Active Duodenal Ulcer

Omeprazole delayed-release capsules are indicated for short-term treatment of active duodenal ulcer in adults. Most patients heal within four weeks. Some patients may require an additional four weeks of therapy.

1.7 Pathological Hypersecretory Conditions

Omeprazole delayed-release capsules are indicated for the long-term treatment of pathological hypersecretory conditions (e.g., Zollinger-Ellison syndrome, multiple endocrine adenomas and systemic mastocytosis) in adults.

14.7 Pathological Hypersecretory Conditions

In open studies of 136 patients with pathological hypersecretory conditions, such as Zollinger-Ellison (ZE) syndrome with or without multiple endocrine adenomas, omeprazole delayed-release capsules significantly inhibited gastric acid secretion and controlled associated symptoms of diarrhea, anorexia, and pain. Doses ranging from 20 mg every other day to 360 mg per day maintained basal acid secretion below 10 mEq/hr in patients without prior gastric surgery, and below 5 mEq/hr in patients with prior gastric surgery.

Initial doses were titrated to the individual patient need, and adjustments were necessary with time in some patients [see Dosage and Administration (2)] . Omeprazole was well tolerated at these high dose levels for prolonged periods (> 5 years in some patients). In most ZE patients, serum gastrin levels were not modified by omeprazole. However, in some patients serum gastrin increased to levels greater than those present prior to initiation of omeprazole therapy. At least 11 patients with ZE syndrome on long-term treatment with omeprazole developed gastric carcinoids. These findings are believed to be a manifestation of the underlying condition, which is known to be associated with such tumors, rather than the result of the administration of omeprazole [see Adverse Reactions (6)] .

1.3 Treatment of Active Benign Gastric Ulcer

Omeprazole delayed-release capsules are indicated for short-term treatment (4 to 8 weeks) of active benign gastric ulcer in adults.

5.7 Cyanocobalamin (vitamin B 12) Deficiency

Daily treatment with any acid-suppressing medications over a long period of time (e.g., longer than 3 years) may lead to malabsorption of cyanocobalamin (vitamin B-12) caused by hypo- or achlorhydria. Rare reports of cyanocobalamin deficiency occurring with acid-suppressing therapy have been reported in the literature. This diagnosis should be considered if clinical symptoms consistent with cyanocobalamin deficiency are observed in patients treated with omeprazole.

5.5 Cutaneous and Systemic Lupus Erythematosus

Cutaneous lupus erythematosus (CLE) and systemic lupus erythematosus (SLE) have been reported in patients taking PPIs, including omeprazole. These events have occurred as both new onset and an exacerbation of existing autoimmune disease. The majority of PPI-induced lupus erythematosus cases were CLE.



The most common form of CLE reported in patients treated with PPIs was subacute CLE (SCLE) and occurred within weeks to years after continuous drug therapy in patients ranging from infants to the elderly. Generally, histological findings were observed without organ involvement.



Systemic lupus erythematosus (SLE) is less commonly reported than CLE in patients receiving PPIs. PPI associated SLE is usually milder than non-drug induced SLE. Onset of SLE typically occurred within days to years after initiating treatment primarily in patients ranging from young adults to the elderly. The majority of patients presented with rash; however, arthralgia and cytopenia were also reported.



Avoid administration of PPIs for longer than medically indicated. If signs or symptoms consistent with CLE or SLE are noted in patients receiving omeprazole, discontinue the drug and refer the patient to the appropriate specialist for evaluation. Most patients improve with discontinuation of the PPI alone in 4 to 12 weeks. Serological testing (e.g., ANA) may be positive and elevated serological test results may take longer to resolve than clinical manifestations.

6.1 Clinical Trials Experience With Omeprazole

Monotherapy



Because clinical trials are conducted under widely varying conditions, adverse reaction rates observed in the clinical trials of a drug cannot be directly compared to rates in the clinical trials of another drug and may not reflect the rates observed in practice.



The safety data described below reflects exposure to omeprazole delayed-release capsules in 3096 patients from worldwide clinical trials (465 patients from U.S. studies and 2,631 patients from international studies). Indications clinically studied in U.S. trials included duodenal ulcer, resistant ulcer, and Zollinger-Ellison syndrome. The international clinical trials were double blind and open-label in design. The most common adverse reactions reported (i.e., with an incidence rate ≥ 2%) from omeprazole-treated patients enrolled in these studies included headache (7%), abdominal pain (5%), nausea (4%), diarrhea (4%), vomiting (3%), and flatulence (3%).



Additional adverse reactions that were reported with an incidence ≥1% included acid regurgitation (2%), upper respiratory infection (2%), constipation (2%), dizziness (2%), rash (2%), asthenia (1%), back pain (1%), and cough (1%).



The clinical trial safety profile in patients greater than 65 years of age was similar to that in patients 65 years of age or less.



The clinical trial safety profile in pediatric patients who received omeprazole delayed-release capsules was similar to that in adult patients. Unique to the pediatric population, however, adverse reactions of the respiratory system were frequently reported in the 2 to 16 year age group (19%). In addition, accidental injuries were frequently reported in the 2 to 16 year age group (4%) [see Use in Specific Populations (8.4)]

5.9 Interaction With St. John's Wort Or Rifampin

Drugs which induce CYP2C19 or CYP3A4 (such as St. John’s Wort or rifampin) can substantially decrease omeprazole concentrations [see Drug Interactions (7)] . Avoid concomitant use of omeprazole with St. John’s Wort or rifampin.

2.1 Recommended Adult Dosage Regimen By Indication

Table 1 shows the recommended dosage of omeprazole delayed-release capsules in adult patients by indication. 

Table 1: Recommended Dosage Regimen of Omeprazole Delayed-Release Capsules in Adults by Indication
1. Most patients heal within 4 weeks; some patients may require an additional 4 weeks of therapy to achieve healing

2. The efficacy of omeprazole delayed-release capsules used for longer than 8 weeks in patients with EE has not been established. If a patient does not respond to 8 weeks of treatment, an additional 4 weeks of treatment may be given. If there is recurrence of EE or GERD symptoms (e.g., heartburn), additional 4 to 8 week courses of omeprazole delayed-release capsules may be considered.

3. Dosage reduction to 10 mg once daily is recommended for patients with hepatic impairment (Child-Pugh Class A, B or C) and Asian patients when used for the maintenance of healing of EE [see Use in Specific Populations (8.68.7) and Clinical Pharmacology (12.3, 12.5)].

Indication

Dosage of Omeprazole Delayed-Release Capsules

Treatment Duration

Treatment of Active Duodenal

Ulcer

20 mg once daily

4 weeks 1

Helicobacter pylori Eradication to Reduce the Risk of Duodenal Ulcer Recurrence

Triple Therapy

Omeprazole delayed-release capsules 20 mg

Amoxicillin 1000 mg

Clarithromycin 500 mg

 

Take all three drugs twice daily

10 days

 

In patients with an ulcer present at the time of initiation of therapy, continue omeprazole delayed-release capsules 20 mg once daily for an additional 18 days for ulcer healing and symptom relief.

 

Dual Therapy

Omeprazole delayed-release capsules 40 mg once daily Clarithromycin 500 mg three times daily

14 days

 

In patients with an ulcer present at the time of initiation of therapy, an additional 14 days of omeprazole delayed-release capsules 20 mg once daily is recommended for ulcer healing and symptom relief.

Active Benign Gastric Ulcer

40 mg once daily

4 to 8 weeks

Treatment of Symptomatic GERD

20 mg once daily

Up to 4 weeks

Treatment of EE due to Acid-Mediated GERD

20 mg once daily

4 to 8 weeks 2

Maintenance of Healing of EE due to Acid-Mediated GERD

20 mg once daily 3

Controlled studies do not extend beyond 12 months.

Pathological Hypersecretory Conditions

Starting dose is 60 mg once daily;

adjust to patient needs

 

Daily dosages of greater than 80 mg should be administered in divided doses.

 

Dosages up to 120 mg three times

daily have been administered.

As long as clinically indicated.

 

Some patients with Zollinger- Ellison syndrome have been treated continuously for more than 5 years.

2.2 Recommended Pediatric Dosage Regimen By Indication

Table 2 shows the recommended dosage of omeprazole delayed-release capsules in pediatric patients by indication. 

Table 2: Recommended Dosage Regimen of Omeprazole Delayed-Release Capsules in Pediatric Patients by Indication
1. The efficacy of omeprazole delayed-release capsules used for longer than 8 weeks in patients with EE has not been established. If a patient does not respond to 8 weeks of treatment, an additional 4 weeks of treatment may be given. If there is recurrence of EE or GERD symptoms (e.g., heartburn), additional 4 to 8 week courses of omeprazole delayed-release capsules may be considered.

Indication

Omeprazole Delayed-Release Capsules Dosage Regimen and Duration

Patient Age

Weight-Based Dose (mg)

Regimen and Duration

Treatment of Symptomatic GERD

2 to 16 years

10 to less than 20 kg: 10 mg

Once daily for up to 4 weeks

20 kg and greater: 20 mg

Treatment of EE due to Acid- Mediated GERD

2 to 16 years

10 to less than 20 kg: 10 mg

Once daily for 4 to 8 weeks 1

20 kg and greater: 20 mg

Maintenance of Healing of EE due to Acid-Mediated GERD

2 to 16 years

10 to less than 20 kg: 10 mg

Once daily. Controlled studies do not extend beyond 12 months

20 kg and greater: 20 mg

13.1 Carcinogenesis, Mutagenesis, Impairment of Fertility

In two 24-month carcinogenicity studies in rats, omeprazole at daily doses of 1.7, 3.4, 13.8, 44 and 140.8 mg/kg/day (about 0.4 to 34 times a human dose of 40 mg/day, as expressed on a body surface area basis) produced gastric ECL cell carcinoids in a dose-related manner in both male and female rats; the incidence of this effect was markedly higher in female rats, which had higher blood levels of omeprazole. Gastric carcinoids seldom occur in the untreated rat. In addition, ECL cell hyperplasia was present in all treated groups of both sexes. In one of these studies, female rats were treated with 13.8 mg omeprazole/kg/day (about 3.4 times a human dose of 40 mg/day, based on body surface area) for one year, and then followed for an additional year without the drug. No carcinoids were seen in these rats. An increased incidence of treatment-related ECL cell hyperplasia was observed at the end of one year (94% treated vs. 10% controls). By the second year the difference between treated and control rats was much smaller (46% vs. 26%) but still showed more hyperplasia in the treated group. Gastric adenocarcinoma was seen in one rat (2%). No similar tumor was seen in male or female rats treated for two years. For this strain of rat no similar tumor has been noted historically, but a finding involving only one tumor is difficult to interpret. In a 52-week toxicity study in Sprague-Dawley rats, brain astrocytomas were found in a small number of males that received omeprazole at dose levels of 0.4, 2, and 16 mg/kg/day (about 0.1 to 3.9 times the human dose of 40 mg/day, based on a body surface area basis). No astrocytomas were observed in female rats in this study. In a 2-year carcinogenicity study in Sprague-Dawley rats, no astrocytomas were found in males or females at the high dose of 140.8 mg/kg/day (about 34 times the human dose of 40 mg/day on a body surface area basis). A 78-week mouse carcinogenicity study of omeprazole did not show increased tumor occurrence, but the study was not conclusive. A 26-week p53 (+/-) transgenic mouse carcinogenicity study was not positive.



Omeprazole was positive for clastogenic effects in an in vitro human lymphocyte chromosomal aberration assay, in one of two in vivo mouse micronucleus tests, and in an in vivo bone marrow cell chromosomal aberration assay. Omeprazole was negative in the in vitro Ames test, an in vitro mouse lymphoma cell forward mutation assay, and an in vivo rat liver DNA damage assay.



Omeprazole at oral doses up to 138 mg/kg/day in rats (about 34 times an oral human dose of 40 mg on a body surface area basis) was found to have no effect on fertility and reproductive performance.



In 24-month carcinogenicity studies in rats, a dose-related significant increase in gastric carcinoid tumors and ECL cell hyperplasia was observed in both male and female animals [see Warnings and Precautions (5)] . Carcinoid tumors have also been observed in rats subjected to fundectomy or long-term treatment with other proton pump inhibitors or high doses of H 2-receptor antagonists.

1.6 Maintenance of Healing of Ee Due to Acid Mediated Gerd

Omeprazole delayed-release capsules are indicated for the maintenance healing of EE due to acid-mediated GERD in patients 2 years of age and older.



Controlled studies do not extend beyond 12 months.

14.6 Maintenance of Healing of Ee Due to Acid Mediated Gerd

In a U.S. double-blind, randomized, multicenter, placebo controlled study, two dose regimens of omeprazole were studied in patients with endoscopically confirmed healed esophagitis. Results to determine maintenance of healing of EE are shown below.



Life Table Analysis
1. (p < 0.01) omeprazole 20 mg once daily versus omeprazole 20 mg 3 consecutive days per week or placebo.
Omeprazole

20 mg Once Daily

(n = 138)

Omeprazole

20 mg 3 Days per Week

(n = 137)

Placebo

(n = 131)

Percent in endoscopic remission at 6 months

70 1

34

11

In an international multicenter double-blind study, omeprazole 20 mg daily and 10 mg daily were compared with ranitidine 150 mg twice daily in patients with endoscopically confirmed healed esophagitis. The table below provides the results of this study for maintenance of healing of EE.



Life Table Analysis
1. (p = 0.01) omeprazole 20 mg once daily versus omeprazole 10 mg once daily or Ranitidine.

2. (p = 0.03) omeprazole 10 mg once daily versus Ranitidine.
Omeprazole

20 mg Once Daily

(n = 131)

Omeprazole

10 mg Once Daily

(n = 133)

Ranitidine

150 mg Twice Daily

(n = 128)

Percent in endoscopic remission at 12 months

77 1

58 2

46

In patients who initially had grades 3 or 4 erosive esophagitis, for maintenance after healing 20 mg daily of omeprazole was effective, while 10 mg did not demonstrate effectiveness.

1.4 Treatment of Symptomatic Gastroesophageal Reflux Disease (gerd)

Omeprazole delayed-release capsules are indicated for the treatment of heartburn and other symptoms associated with GERD for up to 4 weeks in patients 2 years of age and older.

1.5 Treatment of Erosive Esophagitis (ee) Due to Acid Mediated Gerd

Pediatric Patients 2 Years of Age to Adults



Omeprazole delayed-release capsules are indicated for the short-term treatment (4 to 8 weeks) of EE due to acid-mediated GERD that has been diagnosed by endoscopy in patients 2 years of age and older.



The efficacy of omeprazole delayed-release capsules used for longer than 8 weeks in patients with EE has not been established. If a patient does not respond to 8 weeks of treatment, an additional 4 weeks of treatment may be given. If there is recurrence of EE or GERD symptoms (e.g., heartburn), additional 4 to 8 week courses of omeprazole delayed-release capsules may be considered.

5.10 Interactions With Diagnostic Investigations for Neuroendocrine Tumors

Serum chromogranin A (CgA) levels increase secondary to drug-induced decreases in gastric acidity. The increased CgA level may cause false positive results in diagnostic investigations for neuroendocrine tumors. Healthcare providers should temporarily stop omeprazole treatment at least 14 days before assessing CgA levels and consider repeating the test if initial CgA levels are high. If serial tests are performed (e.g., for monitoring), the same commercial laboratory should be used for testing, as reference ranges between tests may vary [see Drug Interactions (7)].





6.2 Clinical Trials Experience With Omeprazole in Combination Therapy for H. Pylori

In clinical trials using either dual therapy with omeprazole and clarithromycin, or triple therapy with omeprazole, clarithromycin, and amoxicillin, no adverse reactions unique to these drug combinations were observed. Adverse reactions observed were limited to those previously reported with omeprazole, clarithromycin, or amoxicillin alone.

Dual Therapy (omeprazole/clarithromycin)



Adverse reactions observed in controlled clinical trials using combination therapy with omeprazole and clarithromycin (n = 346) that differed from those previously described for omeprazole alone were taste perversion (15%), tongue discoloration (2%), rhinitis (2%), pharyngitis (1%) and flu-syndrome (1%). (For more information on clarithromycin, refer to the clarithromycin prescribing information, Adverse Reactions section.)



Triple Therapy (omeprazole/clarithromycin/amoxicillin)



The most frequent adverse reactions observed in clinical trials using combination therapy with omeprazole, clarithromycin, and amoxicillin (n = 274) were diarrhea (14%), taste perversion (10%), and headache (7%). None of these occurred at a higher frequency than that reported by patients taking antimicrobial agents alone. (For more information on clarithromycin or amoxicillin, refer to the respective prescribing information, Adverse Reactions sections.)

14.8 Pediatric Studies for the Treatment of Symptomatic Gerd, Treatment of Ee Due to Acid Mediated Gerd, and Maintenance of Healing of Ee Due to Acid Mediated Gerd

Treatment of Symptomatic GERD

The effectiveness of omeprazole for the treatment of symptomatic GERD in pediatric patients 2 to 16 years of age is based in part on data obtained from 125 pediatric patients in an uncontrolled clinical studies.



The study enrolled 113 pediatric patients 2 to 16 years of age with a history of symptoms suggestive of symptomatic GERD. Patients were administered a single dose of omeprazole (10 mg or 20 mg, based on body weight) for 4 weeks either as an intact capsule or as an open capsule in applesauce. Successful response was defined as no moderate or severe episodes of either pain-related symptoms or vomiting/regurgitation during the last 4 days of treatment. Results showed success rates of 60% (9/15; 10 mg omeprazole) and 59% (58/98; 20 mg omeprazole), respectively.



Treatment of EE due to Acid-Mediated GERD

In an uncontrolled, open-label dose-titration study, for the treatment of EE in pediatric patients 1 to 16 years of age required doses that ranged from 0.7 to 3.5 mg/kg/day (80 mg/day). Doses were initiated at 0.7 mg/kg/day. Doses were increased in increments of 0.7 mg/kg/day (if intraesophageal pH showed a pH of < 4 for less than 6% of a 24-hour study). After titration, patients remained on treatment for 3 months. Forty-four percent of the patients were healed on a dose of 0.7 mg/kg body weight; most of the remaining patients were healed with 1.4 mg/kg after an additional 3 months’ treatment. EE was healed in 51 of 57 (90%) children who completed the first course of treatment in the healing phase of the study. In addition, after 3 months of treatment, 33% of the children had no overall symptoms, 57% had mild reflux symptoms, and 40% had less frequent regurgitation/vomiting.



Maintenance of Healing of EE due to Acid-Mediated GERD

In an uncontrolled, open-label study of maintenance of healing of EE in 46 pediatric patients 1 to 16 years of age, 54% of patients required half the healing dose. The remaining patients increased the healing dose (0.7 to a maximum of 2.8 mg/kg/day) either for the entire maintenance period, or returned to half the dose before completion. Of the 46 patients who entered the maintenance phase, 19 (41%) had no relapse during follow-up (range 4 to 25 months). In addition, maintenance therapy in EE patients resulted in 63% of patients having no overall symptoms.


Structured Label Content

Section 43683-2 (43683-2)

Warnings and Precautions, Fundic Gland Polyps ( 5.12)            01/2018

10 Overdosage (10 OVERDOSAGE)


Reports have been received of overdosage with omeprazole in humans. Doses ranged up to 2400 mg (120 times the usual recommended clinical dose). Manifestations were variable, but included confusion, drowsiness, blurred vision, tachycardia, nausea, vomiting, diaphoresis, flushing, headache, dry mouth, and other adverse reactions similar to those seen in normal clinical experience [see Adverse Reactions (6)] . Symptoms were transient, and no serious clinical outcome has been reported when omeprazole was taken alone. No specific antidote for omeprazole overdosage is known. Omeprazole is extensively protein bound and is, therefore, not readily dialyzable. In the event of overdosage, treatment should be symptomatic and supportive.



If over-exposure occurs, call your Poison Control Center at 1-800-222-1222 for current information on the management of poisoning or overdosage.

15 References (15 REFERENCES)

1. Clinical and Laboratory Standards Institute (CLSI). Methods for Dilution Antimicrobial Susceptibility Tests for Bacteria That Grow Aerobically; Approved Standard—Tenth Edition. CLSI Document M07-A10, Clinical and Laboratory Standards Institute, 950 West Valley Road, Suite 2500, Wayne, Pennsylvania, 19087, USA 2015.

8.1 Pregnancy

Risk Summary



There are no adequate and well-controlled studies with omeprazole in pregnant women. Available epidemiologic data fail to demonstrate an increased risk of major congenital malformations or other adverse pregnancy outcomes with first trimester omeprazole use. Reproduction studies in rats and rabbits resulted in dose-dependent embryo-lethality at omeprazole doses that were approximately 3.4 to 34 times an oral human dose of 40 mg (based on a body surface area for a 60 kg person). Teratogenicity was not observed in animal reproduction studies with administration of oral esomeprazole (an enantiomer of omeprazole) magnesium in rats and rabbits during organogenesis with doses about 68 times and 42 times, respectively, an oral human dose of 40 mg esomeprazole or 40 mg omeprazole (based on body surface area for a 60 kg person).



Changes in bone morphology were observed in offspring of rats dosed through most of pregnancy and lactation at doses equal to or greater than approximately 34 times an oral human dose of 40 mg esomeprazole or 40 mg omeprazole. When maternal administration was confined to gestation only, there were no effects on bone physeal morphology in the offspring at any age [see Data].



The estimated background risks of major birth defects and miscarriage for the indicated population are unknown. All pregnancies have a background risk of birth defect, loss or other adverse outcomes. In the U.S. general population, the estimated background risk of major birth defects and miscarriage in clinically recognized pregnancies is 2% to 4% and 15% to 20%, respectively.



Data



Human Data



Four published epidemiological studies compared the frequency of congenital abnormalities among infants born to women who used omeprazole during pregnancy with the frequency of abnormalities among infants of women exposed to H 2-receptor antagonists or other controls.



A population-based retrospective cohort epidemiological study from the Swedish Medical Birth Registry, covering approximately 99% of pregnancies, from 1995 to 99, reported on 955 infants (824 exposed during the first trimester with 39 of these exposed beyond first trimester, and 131 exposed after the first trimester) whose mothers used omeprazole during pregnancy. The number of infants exposed in utero to omeprazole that had any malformation, low birth weight, low Apgar score, or hospitalization was similar to the number observed in this population. The number of infants born with ventricular septal defects and the number of stillborn infants was slightly higher in the omeprazole-exposed infants than the expected number in this population.



A population-based retrospective cohort study covering all live births in Denmark from 1996 to 2009, reported on 1,800 live births whose mothers used omeprazole during the first trimester of pregnancy and 837,317 live births whose mothers did not use any proton pump inhibitor. The overall rate of birth defects in infants born to mothers with first trimester exposure to omeprazole was 2.9% and 2.6% in infants born to mothers not exposed to any proton pump inhibitor during the first trimester.



A retrospective cohort study reported on 689 pregnant women exposed to either H 2-blockers or omeprazole in the first trimester (134 exposed to omeprazole) and 1,572 pregnant women unexposed to either during the first trimester. The overall malformation rate in offspring born to mothers with first trimester exposure to omeprazole, an H 2-blocker, or were unexposed was 3.6%, 5.5%, and 4.1% respectively.



A small prospective observational cohort study followed 113 women exposed to omeprazole during pregnancy (89% with first trimester exposures). The reported rate of major congenital malformations was 4% in the omeprazole group, 2% in controls exposed to non-teratogens, and 2.8% in disease-paired controls. Rates of spontaneous and elective abortions, preterm deliveries, gestational age at delivery, and mean birth weight were similar among the groups.



Several studies have reported no apparent adverse short-term effects on the infant when single dose oral or intravenous omeprazole was administered to over 200 pregnant women as premedication for cesarean section under general anesthesia.



Animal Data



Omeprazole



Reproductive studies conducted with omeprazole in rats at oral doses up to 138 mg/kg/day (about 34 times an oral human dose of 40 mg on a body surface area basis) and in rabbits at doses up to 69.1 mg/kg/day (about 34 times an oral human dose of 40 mg on a body surface area basis) during organogenesis did not disclose any evidence for a teratogenic potential of omeprazole. In rabbits, omeprazole in a dose range of 6.9 to 69.1 mg/kg/day (about 3.4 to 34 times an oral human dose of 40 mg on a body surface area basis) administered during organogenesis produced dose-related increases in embryo-lethality, fetal resorptions, and pregnancy disruptions. In rats, dose-related embryo/fetal toxicity and postnatal developmental toxicity were observed in offspring resulting from parents treated with omeprazole at 13.8 to 138 mg/kg/day (about 3.4 to 34 times an oral human doses of 40 mg on a body surface area basis), administered prior to mating through the lactation period.



Esomeprazole



The data described below was generated from studies using esomeprazole, an enantiomer of omeprazole. The animal to human dose multiples are based on the assumption of equal systemic exposure to esomeprazole in humans following oral administration of either 40 mg esomeprazole or 40 mg omeprazole.



No effects on embryo-fetal development were observed in reproduction studies with esomeprazole magnesium in rats at oral doses up to 280 mg/kg/day (about 68 times an oral human dose of 40 mg on a body surface area basis) or in rabbits at oral doses up to 86 mg/kg/day (about 42 times an oral human dose of 40 mg esomeprazole or 40 mg omeprazole on a body surface area basis) administered during organogenesis.



A pre- and postnatal developmental toxicity study in rats with additional endpoints to evaluate bone development was performed with esomeprazole magnesium at oral doses of 14 to 280 mg/kg/day (about 3.4 to 68 times an oral human dose of 40 mg esomeprazole or 40 mg omeprazole on a body surface area basis). Neonatal/early postnatal (birth to weaning) survival was decreased at doses equal to or greater than 138 mg/kg/day (about 34 times an oral human dose of 40 mg esomeprazole or 40 mg omeprazole on a body surface area basis). Body weight and body weight gain were reduced and neurobehavioral or general developmental delays in the immediate post-weaning timeframe were evident at doses equal to or greater than 69 mg/kg/day (about 17 times an oral human dose of 40 mg esomeprazole or 40 mg omeprazole on a body surface area basis). In addition, decreased femur length, width and thickness of cortical bone, decreased thickness of the tibial growth plate and minimal to mild bone marrow hypocellularity were noted at doses equal to or greater than 14 mg/kg/day (about 3.4 times an oral human dose of 40 mg esomeprazole or 40 mg omeprazole on a body surface area basis). Physeal dysplasia in the femur was observed in offspring of rats treated with oral doses of esomeprazole magnesium at doses equal to or greater than 138 mg/kg/day (about 34 times an oral human dose of 40 mg esomeprazole or 40 mg omeprazole on a body surface area basis).



Effects on maternal bone were observed in pregnant and lactating rats in the pre- and postnatal toxicity study when esomeprazole magnesium was administered at oral doses of 14 to 280 mg/kg/day (about 3.4 to 68 times an oral human dose of 40 mg esomeprazole or 40 mg omeprazole on a body surface area basis). When rats were dosed from gestational day 7 through weaning on postnatal day 21, a statistically significant decrease in maternal femur weight of up to 14% (as compared to placebo treatment) was observed at doses equal to or greater than 138 mg/kg/day (about 34 times an oral human dose of 40 mg esomeprazole or 40 mg omeprazole on a body surface area basis).



A pre- and postnatal development study in rats with esomeprazole strontium (using equimolar doses compared to esomeprazole magnesium study) produced similar results in dams and pups as described above.



A follow up developmental toxicity study in rats with further time points to evaluate pup bone development from postnatal day 2 to adulthood was performed with esomeprazole magnesium at oral doses of 280 mg/kg/day (about 68 times an oral human dose of 40 mg on a body surface area basis) where esomeprazole administration was from either gestational day 7 or gestational day 16 until parturition. When maternal administration was confined to gestation only, there were no effects on bone physeal morphology in the offspring at any age.

8.2 Lactation

Risk Summary

Limited data suggest omeprazole may be present in human milk. There are no clinical data on the effects of omeprazole on the breastfed infant or on milk production. The developmental and health benefits of breastfeeding should be considered along with the mother's clinical need for omeprazole and any potential adverse effects on the breastfed infant from omeprazole or from the underlying maternal condition.

11 Description (11 DESCRIPTION)

The active ingredient in omeprazole delayed-release capsules, USP is a substituted benzimidazole, 5-methoxy-2-[[(4-methoxy-­3, 5-dimethyl-2-pyridinyl) methyl] sulfinyl]-1 H-benzimidazole, a compound that inhibits gastric acid secretion. Its molecular formula is C 17H 19N 3O 3S, with a molecular weight of 345.42. The structural formula is:

 



Omeprazole USP is a white to off-white powder that melts with decomposition between 150°C and 160°C. It is a weak base, freely soluble in ethanol and methanol, and slightly soluble in acetone and isopropanol and very slightly soluble in water. The stability of omeprazole is a function of pH; it is rapidly degraded in acid media, but has acceptable stability under alkaline conditions.



Omeprazole is supplied as delayed-release capsules for oral administration. Each delayed-release capsule contains either 10 mg, 20 mg or 40 mg of omeprazole in the form of enteric-coated granules with the following inactive ingredients: disodium hydrogen phosphate dihydrate, hydroxypropyl cellulose, hypromellose, lactose monohydrate, mannitol, methacrylic acid and ethyl acrylate copolymer dispersion, microcrystalline cellulose, mono and di-glycerides, polysorbate, sodium lauryl sulfate, talc, titanium dioxide, and triethyl citrate. In addition, the empty hard gelatin capsule shells also contain gelatin and iron oxide red. The capsules are printed with edible ink containing black iron oxide, potassium hydroxide, propylene glycol, shellac and strong ammonia solution.



Meets USP Dissolution Test 2.

14.2 H. Pylori (14.2 H. pylori)

Triple Therapy (omeprazole/clarithromycin/amoxicillin)

Three U.S., randomized, double-blind clinical studies in patients with H. pylori infection and duodenal ulcer disease (n = 558) compared omeprazole plus clarithromycin plus amoxicillin with clarithromycin plus amoxicillin. Two studies (1 and 2) were conducted in patients with an active duodenal ulcer, and the other study (3) was conducted in patients with a history of a duodenal ulcer in the past 5 years but without an ulcer present at the time of enrollment. The dose regimen in the studies was omeprazole 20 mg twice daily plus clarithromycin 500 mg twice daily plus amoxicillin 1 g twice daily for 10 days; or clarithromycin 500 mg twice daily plus amoxicillin 1 g twice daily for 10 days. In studies 1 and 2, patients who took the omeprazole regimen also received an additional 18 days of omeprazole 20 mg once daily. Endpoints studied were eradication of H. pylori and duodenal ulcer healing (studies 1 and 2 only). H. pylori status was determined by CLOtest ®, histology and culture in all three studies. For a given patient, H. pylori was considered eradicated if at least two of these tests were negative, and none was positive.



The combination of omeprazole plus clarithromycin plus amoxicillin was effective in eradicating H. pylori.

Table 9: Per-Protocol and Intent-to-Treat H. pylori Eradication Rates % of Patients Cured [95% Confidence Interval]
1. Patients were included in the analysis if they had confirmed duodenal ulcer disease (active ulcer, studies 1 and 2; history of ulcer within 5 years, study 3) and H. pylori infection at baseline defined as at least two of three positive endoscopic tests from CLOtest ®, histology, and/or culture. Patients were included in the analysis if they completed the study. Additionally, if patients dropped out of the study due to an adverse event related to the study drug, they were included in the analysis as failures of therapy. The impact of eradication on ulcer recurrence has not been assessed in patients with a past history of ulcer.

2. Patients were included in the analysis if they had documented H. pylori infection at baseline and had confirmed duodenal ulcer disease. All dropouts were included as failures of therapy.

3. (p < 0.05) versus clarithromycin plus amoxicillin.

Omeprazole +  clarithromycin + amoxicillin

Clarithromycin + amoxicillin

Per-Protocol 1

Intent-to-Treat 2

Per-Protocol 1

Intent-to-Treat 2

Study 1

77 3 [64, 86]

(n = 64)

69 3 [57, 79]

(n = 80)

43 [31, 56]

(n = 67)

37 [27, 48]

(n = 84)

Study 2

78 3 [67, 88]

(n = 65)

73 3 [61, 82]

(n = 77)

41 [29, 54]

(n = 68)

36 [26, 47]

(n = 83)

Study 3

90 3 [80, 96]

(n = 69)

83 3 [74, 91]

(n = 84)

33 [24, 44]

(n = 93)

32 [23, 42]

(n = 99)

Dual Therapy (omeprazole/clarithromycin)

Four randomized, double-blind, multi-center studies (4, 5, 6, and 7) evaluated omeprazole 40 mg once daily plus clarithromycin 500 mg three times daily for 14 days, followed by omeprazole 20 mg once daily, (Studies 4, 5, and 7) or by omeprazole 40 mg once daily (Study 6) for an additional 14 days in patients with active duodenal ulcer associated with H. pylori. Studies 4 and 5 were conducted in the U.S. and Canada and enrolled 242 and 256 patients, respectively. H. pylori infection and duodenal ulcer were confirmed in 219 patients in Study 4 and 228 patients in Study 5. These studies compared the combination regimen to omeprazole and clarithromycin monotherapies. Studies 6 and 7 were conducted in Europe and enrolled 154 and 215 patients, respectively. H. pylori infection and duodenal ulcer were confirmed in 148 patients in Study 6 and 208 patients in Study 7. These studies compared the combination regimen with omeprazole monotherapy. The results for the efficacy analyses for these studies are described below. H. pylori eradication was defined as no positive test (culture or histology) at 4 weeks following the end of treatment, and two negative tests were required to be considered eradicated of H. pylori. In the per-protocol analysis, the following patients were excluded: dropouts, patients with missing

H. pylori tests post-treatment, and patients that were not assessed for H. pylori eradication because they were found to have an ulcer at the end of treatment.



The combination of omeprazole and clarithromycin was effective in eradicating H. pylori.



Table 10: H. pylori Eradication Rates (Per-Protocol Analysis at 4 to 6 Weeks) % of Patients Cured [95% Confidence Interval]
1. Statistically significantly higher than clarithromycin monotherapy (p < 0.05).

2. Statistically significantly higher than omeprazole monotherapy (p < 0.05).
Omeprazole + Clarithromycin

Omeprazole

Clarithromycin

U.S. Studies

Study 4

74 [60, 85] 1,2

(n = 53)

0 [0, 7]

(n = 54)

31 [18, 47]

(n = 42)

Study 5

64 [51, 76] 1,2

(n = 61)

0 [0, 6]

(n = 59)

39 [24, 55]

(n = 44)

Non U.S. Studies

Study 6

83 [71, 92] 2

(n = 60)

1 [0, 7]

(n = 74)

N/A

Study 7

74 [64, 83] 2

(n = 86)

1 [0, 6]

(n = 90)

N/A



Ulcer healing was not significantly different when clarithromycin was added to omeprazole therapy compared with omeprazole therapy alone.



The combination of omeprazole and clarithromycin was effective in eradicating H. pylori and reduced duodenal ulcer recurrence.

Table 11: Duodenal Ulcer Recurrence Rates by H. pylori Eradication Status % of Patients with Ulcer Recurrence
1. H. pylori eradication status assessed at same time point as ulcer recurrence.

2. Combined results for omeprazole + clarithromycin, omeprazole, and clarithromycin treatment arms.

3. Combined results for omeprazole + clarithromycin and omeprazole treatment arms.

4. (p ≤ 0.01) versus proportion with duodenal ulcer recurrence who were not H. pylori eradicated.
 

H. pylori eradicated 1

H. pylori not eradicated 1

U.S. Studies 2

 

 

6 months post-treatment

 

 

Study 4

35 4

(n = 49)

60

(n = 88)

Study 5

8 4

(n = 53) 4

60

(n = 106)

Non U.S. Studies 3

6 months post-treatment

 

 

Study 6

5 4

(n = 43)

46

(n = 78)

Study 7

6 4

(n = 53) 4

43

(n = 107)

12 months post-treatment

 

 

Study 6

5 4

(n = 39)

68

(n = 71)

Medication Guide (MEDICATION GUIDE)


Omeprazole Delayed -Release Capsules, USP

(oh mep' ra zole)



Read this Medication Guide before you start taking omeprazole delayed-release capsules and each time you get a refill. There may be new information. This information does not take the place of talking with your doctor about your medical condition or your treatment.



What is the most important information I should know about omeprazole delayed-release capsules ?



You should take omeprazole delayed-release capsules exactly as prescribed, at the lowest dose possible and for the shortest time needed.



Omeprazole delayed
-release capsules may help your acid-related symptoms, but you could still have serious stomach problems. Talk with your doctor.



Omeprazole delayed -release capsules can cause serious side effects, including:

  • A type of kidney problem ( tubulointerstitial nephritis). Some people who take proton pump inhibitor (PPI) medicines, including omeprazole delayed-release capsules, may develop a kidney problem called tubulointerstitial nephritis that can happen at any time during treatment with omeprazole delayed-release capsules. Call your doctor right away if you have a decrease in the amount that you urinate or if you have blood in your urine. 
  • Diarrhea. Omeprazole delayed-release capsules may increase your risk of getting severe diarrhea. This diarrhea may be caused by an infection ( Clostridium difficile) in your intestines. 

Call your doctor right away if you have watery stool, stomach pain, and fever that does not go away. 

  • Bone fractures. People who take multiple daily doses of PPI medicines for a long period of time (a year or longer) may have an increased risk of fractures of the hip, wrist, or spine. You should take omeprazole delayed-release capsules exactly as prescribed, at the lowest dose possible for your treatment and for the shortest time needed. Talk to your doctor about your risk of bone fracture if you take omeprazole delayed-release capsules. 
  • Certain types of lupus erythematosus. Lupus erythematosus is an autoimmune disorder (the body’s immune cells attack other cells or organs in the body). Some people who take proton PPI medicines, including omeprazole delayed-release capsules, may develop certain types of lupus erythematosus or have worsening of the lupus they already have. Call your doctor right away if you have new or worsening joint pain or a rash on your cheeks or arms that gets worse in the sun.

Omeprazole delayed-release capsules can have other serious side effects. See “What are the possible side effects of omeprazole delayed-release capsules ?”



What are
omeprazole delayed -release capsules ?



Omeprazole delayed-release capsules are a prescription medicine called a proton pump inhibitor (PPI). Omeprazole delayed-release capsules reduce the amount of acid in your stomach.



Omeprazole delayed-release capsules are used in adults: 

  • for up to 8 weeks for the healing of duodenal ulcers. The duodenal area is the area where food passes when it leaves the stomach.
  • with certain antibiotics for 10 to 14 days to treat an infection caused by bacteria called H. pylori. If needed, your doctor may decide to prescribe another 14 to 18 days of omeprazole delayed-release capsules by itself after the antibiotics. Sometimes H. pylori bacteria can cause duodenal ulcers. The infection needs to be treated to prevent the ulcers from coming back.
  • for up to 8 weeks for healing stomach ulcers.
  • for up to 4 weeks to treat heartburn and other symptoms that happen with gastroesophageal reflux disease (GERD). GERD happens when acid in your stomach backs up into the tube (esophagus) that connects your mouth to your stomach. This may cause a burning feeling in your chest or throat, sour taste, or burping.
  • for up to 8 weeks to heal acid-related damage to the lining of the esophagus (called erosive esophagitis or EE). If needed, your doctor may decide to prescribe another 4 weeks of omeprazole delayed-release capsules.
  • to maintain healing of the esophagus. It is not known if omeprazole delayed-release capsules are safe and effective when used for longer than 12 months (1 year) for this purpose.
  • for the long-term treatment of conditions where your stomach makes too much acid. This includes a rare condition called Zollinger-Ellison Syndrome. 

For children 2 to 16 years of age, omeprazole delayed-release capsules are used: 

  • for up to 4 weeks to treat heartburn and other symptoms that happen with gastroesophageal reflux disease (GERD).
  • for up to 8 weeks to treat gastroesophageal reflux disease (GERD) with acid-related damage to the lining of the esophagus [called erosive esophagitis (or EE) due to acid-mediated GERD].
  • to maintain healing of the esophagus. It is not known if omeprazole delayed-release capsules are safe and effective when used longer than 12 months (1 year) for this purpose. 

Who should not take omeprazole delayed -release capsules ?



Do not take
omeprazole delayed-release capsules if you:  

  • are allergic to omeprazole or any of the ingredients in omeprazole delayed-release capsules. See the end of this Medication Guide for a complete list of ingredients in omeprazole delayed-release capsules.
  • are allergic to any other proton pump inhibitor (PPI) medicine.
  • are taking a medicine that contains rilpivirine (EDURANT, COMPLERA) used to treat HIV-1 (Human Immunodeficiency Virus). 

What should I tell my doctor before taking omeprazole delayed -release capsules ?



Before taking
omeprazole delayed -release capsules , tell your doctor about all of your medical conditions, including if you:  

  • have been told that you have low magnesium levels in your blood
  • have liver problems
  • have any other medical conditions
  • are pregnant or plan to become pregnant. It is not known if omeprazole delayed-release capsules will harm your unborn baby.
  • are breastfeeding or plan to breastfeed. Omeprazole passes into your breast milk. Talk to your doctor about the best way to feed your baby if you take omeprazole delayed-release capsules.
  • Tell your doctor about all of the medicines you take including prescription and over-the-counter medicines, vitamins and herbal supplements. Omeprazole delayed-release capsules may affect how other medicines work, and other medicines may affect how omeprazole delayed-release capsules work. Especially tell your doctor if you take an antibiotic that contains clarithromycin or amoxicillin, or if you take clopidogrel (Plavix), methotrexate (Otrxup, Rasuvo, Trexall), St. John’s Wort ( Hypericum perforatum), or rifampin (Rimactane, Rifater, Rifamate). 

Know the medicines that you take. Keep a list of them to show your doctor and pharmacist when you get a new medicine.



How should I take
omeprazole delayed -release capsules ?

  • Take omeprazole delayed-release capsules exactly as prescribed by your doctor.
  • Do not change your dose or stop omeprazole delayed-release capsules without talking to your doctor.
  • Omeprazole delayed-release capsules are usually taken 1 time each day. Your doctor will tell you the time of day to take omeprazole delayed-release capsules, based on your medical condition.
  • Take omeprazole delayed-release capsules before a meal.
  • Antacids may be taken with omeprazole delayed-release capsules. 

Omeprazole Delayed-Release Capsules

  • Swallow omeprazole delayed-release capsules whole. Do not chew or crush omeprazole delayed-release capsules.
  • If you have trouble swallowing a whole capsule, you can open the capsule and take the contents in applesauce. See the “Instructions for Use” at the end of this Medication Guide for instructions on how to take omeprazole delayed-release capsules with applesauce.

If you miss a dose of omeprazole delayed-release capsules, take it as soon as you remember. If it is almost time for your next dose, do not take the missed dose. Take the next dose at your regular time. Do not take 2 doses at the same time to make up for the missed dose.



If you take too much omeprazole, call your doctor or your poison control center at 1-800-222-1222 right away or go to the nearest emergency room.



What are the possible side effects of omeprazole delayed -release capsules ?

Omeprazole delayed-release capsules can cause serious side effects, including:  

  • See “What is the most important information I should know about omeprazole delayed -release capsules ?”
  • Vitamin B-12 deficiency. Omeprazole delayed-release capsules reduce the amount of acid in your stomach. Stomach acid is needed to absorb vitamin B-12 properly. Talk with your doctor about the possibility of vitamin B-12 deficiency if you have been on omeprazole delayed-release capsules for a long time (more than 3 years).
  • Low magnesium levels in your body. This problem can be serious. Low magnesium can happen in some people who take a PPI medicine for at least 3 months. If low magnesium levels happen, it is usually after a year of treatment.
  • Stomach growths (fundic gland polyps). People who take PPI medicines for a long time have an increased risk of developing a certain type of stomach growths called fundic gland polyps, especially after taking PPI medicines for more than 1 year.

You may or may not have symptoms of low magnesium. Tell your doctor right away if you develop any of these symptoms:

  • seizures
  • dizziness
  • abnormal or fast heart beat
  • jitteriness
  • jerking movements or shaking (tremors)
  • muscle weakness
  • spasms of the hands and feet
  • cramps or muscle aches
  • spasm of the voice box 

Your doctor may check the level of magnesium in your body before you start taking omeprazole delayed-release capsules or during treatment if you will be taking omeprazole delayed-release capsules for a long period of time.



The most common side effects with omeprazole delayed-release capsules in adults and children include: 

  • headache
  • nausea
  • vomiting
  • stomach pain
  • diarrhea
  • gas 

In addition to the side effects listed above, the most common side effects in children 2 to 16 years of age include: 

  • respiratory system events
  • fever 

Other side effects:



Serious allergic reactions.
Tell your doctor if you get any of the following symptoms with omeprazole delayed-release capsules: 

  • rash
  • face swelling
  • throat tightness
  • difficulty breathing 

Your doctor may stop omeprazole delayed-release capsules if these symptoms happen. Tell your doctor if you have any side effect that bothers you or that does not go away. These are not all the possible side effects with omeprazole delayed-release capsules. For more information, ask your doctor or pharmacist. Call your doctor for medical advice about side effects. You may report side effects to FDA at 1-800-FDA-1088.



How should I store
omeprazole delayed -release capsules ? 

  • Store omeprazole delayed-release capsules at room temperature between 20� to 25°C (68° to 77°F).
  • Keep the container of omeprazole delayed-release capsules closed tightly.
  • Keep the container of omeprazole delayed-release capsules dry and away from light. 

Keep omeprazole delayed-release capsules and all medicines out of the reach of children.



General information about the safe and effective use of
omeprazole delayed -release capsules.



Medicines are sometimes prescribed for purposes other than those listed in a Medication Guide. Do not use omeprazole delayed-release capsules for a condition for which it was not prescribed. Do not give omeprazole delayed-release capsules to other people, even if they have the same symptoms you have. They may harm them.



This Medication Guide summarizes the most important information about omeprazole delayed-release capsules. For more information, ask your doctor. You can ask your doctor or pharmacist for information that is written for healthcare professionals.



What are the ingredients in
omeprazole delayed -release capsules ?



Active ingredient in
omeprazole delayed-release capsules : omeprazole



Inactive ingredients in
omeprazole delayed-release capsules: disodium hydrogen phosphate dihydrate, hydroxypropyl cellulose, hypromellose, lactose monohydrate, mannitol, methacrylic acid and ethyl acrylate copolymer dispersion, microcrystalline cellulose, mono and di-glycerides, polysorbate, sodium lauryl sulfate, talc, titanium dioxide, and triethyl citrate. In addition, the empty hard gelatin capsule shells also contain gelatin and iron oxide red. The capsules are printed with edible ink containing black iron oxide, potassium hydroxide, propylene glycol, shellac and strong ammonia solution.



All brands listed are the trademarks of their respective owners and are not trademarks of Aurobindo Pharma Limited.



For more information, call Rising Health, LLC at 1-833-395-6928.



This Medication Guide has been approved by the U.S. Food and Drug Administration.



Dispense with Medication Guide available at: http://www.risingpharma.com/med-guides.html



Distributed by:

Rising Health, LLC

Saddle Brook, NJ 07663



Made in India

Code: TS/DRUGS/22/2009



Revised: 08/2020

12.4 Microbiology

Omeprazole and clarithromycin dual therapy and omeprazole, clarithromycin and amoxicillin triple therapy have been shown to be active against most strains of Helicobacter pylori in vitro and in clinical infections [see Indications and Usage (1.2), Clinical Studies (14.2)] .



Helicobacter pylori



Susceptibility testing of H. pylori isolates was performed for amoxicillin and clarithromycin using agar dilution methodology 1, and minimum inhibitory concentrations (MICs) were determined.



Standardized susceptibility test procedures require the use of laboratory control microorganisms to control the technical aspects of the laboratory procedures.



Pretreatment Resistance




Clarithromycin pretreatment resistance rates were 3.5% (4/113) in the omeprazole/clarithromycin dual therapy studies (4 and 5) and 9.3% (41/439) in omeprazole/clarithromycin/amoxicillin triple therapy studies (1, 2 and 3).



Amoxicillin pretreatment susceptible isolates (≤ 0.25 mcg/mL) were found in 99.3% (436/439) of the patients in the omeprazole/clarithromycin/amoxicillin triple therapy studies (1, 2, and 3). Amoxicillin pretreatment minimum inhibitory concentrations (MICs) > 0.25 mcg/mL occurred in 0.7% (3/439) of the patients, all of whom were in the clarithromycin and amoxicillin study arm. One patient had an unconfirmed pretreatment amoxicillin minimum inhibitory concentration (MIC) of > 256 mcg/mL by Etest ®.



Table 8: Clarithromycin Susceptibility Test Results and Clinical/Bacteriological Outcomes


1. Includes only patients with pretreatment clarithromycin susceptibility test results.

2. Susceptible (S) MIC ≤ 0.25 mcg/mL, Intermediate (I) MIC 0.5 to 1 mcg/mL, Resistant (R) MIC ≥ 2 mcg/mL.
Clarithromycin Susceptibility Test Results and Clinical/Bacteriological Outcomes 1

Clarithromycin Pretreatment Results

Clarithromycin Post-treatment Results

H. pylori negative – eradicated

H. pylori positive – not eradicated

Post-treatment susceptibility results

S 2

I 2

R 2

No MIC

Dual Therapy – (omeprazole 40 mg once daily/clarithromycin 500 three times daily for 14 days followed by omeprazole 20 mg once daily for another 14 days) (Studies 4, 5)

Susceptible 2

108

72

1

 

26

9

Intermediate 2

1

 

 

 

1

 

Resistant 2

4

 

 

 

4

 

Triple Therapy – (omeprazole 20 mg twice daily/clarithromycin 500 mg twice daily/amoxicillin 1 g twice daily for 10 days – Studies 1, 2, 3; followed by omeprazole 20 mg once daily for another 18 days – Studies 1, 2)

Susceptible 2

171

153

7

 

3

8

Intermediate 2

 

 

 

 

 

 

Resistant 2

14

4

1

 

6

3

Patients not eradicated of H. pylori following omeprazole/clarithromycin/amoxicillin triple therapy or omeprazole/clarithromycin dual therapy will likely have clarithromycin resistant H. pylori isolates. Therefore, clarithromycin susceptibility testing should be done, if possible. Patients with clarithromycin resistant H. pylori should not be treated with any of the following: omeprazole/clarithromycin dual therapy, omeprazole/clarithromycin/amoxicillin triple therapy, or other regimens which include clarithromycin as the sole antimicrobial agent.



Amoxicillin Susceptibility Test Results and Clinical/Bacteriological Outcomes



In the triple therapy clinical trials, 84.9% (157/185) of the patients in the omeprazole/clarithromycin/amoxicillin treatment group who had pretreatment amoxicillin susceptible MICs (≤ 0.25 mcg/mL) were eradicated of H. pylori and 15.1% (28/185) failed therapy. Of the 28 patients who failed triple therapy, 11 had no post-treatment susceptibility test results and 17 had post-treatment H. pylori isolates with amoxicillin susceptible MICs. Eleven of the patients who failed triple therapy also had post-treatment H. pylori isolates with clarithromycin resistant MICs.



Susceptibility Test for Helicobacter pylori



For susceptibility testing information about Helicobacter pylori, see Microbiology section in prescribing information for clarithromycin and amoxicillin.



Effects on Gastrointestinal Microbial Ecology



Decreased gastric acidity due to any means including proton pump inhibitors, increases gastric counts of bacteria normally present in the gastrointestinal tract. Treatment with proton pump inhibitors may lead to slightly increased risk of gastrointestinal infections such as Salmonella and Campylobacter and, in hospitalized patients, possibly also Clostridium difficile.

5.4 Bone Fracture

Several published observational studies suggest that proton pump inhibitor (PPI) therapy may be associated with an increased risk for osteoporosis-related fractures of the hip, wrist, or spine. The risk of fracture was increased in patients who received high-dose, defined as multiple daily doses, and long-term PPI therapy (a year or longer). Patients should use the lowest dose and shortest duration of PPI therapy appropriate to the condition being treated. Patients at risk for osteoporosis-related fractures should be managed according to established treatment guidelines [see  Dosage and Administration (2.1), Adverse Reactions (6.3)] .

8.4 Pediatric Use

The safety and effectiveness of omeprazole have been established in pediatric patients 2 to 16 years for the treatment of symptomatic GERD, treatment of EE due to acid-mediated GERD, and maintenance of healing of EE due to acid-mediated GERD. Use of omeprazole in this age group is supported by adequate and well-controlled studies in adults and uncontrolled safety, efficacy and pharmacokinetic studies performed in pediatric and adolescent patients [see Clinical Pharmacology (12.3), Clinical Studies (14.8)].



In the pediatric population, adverse reactions of the respiratory system were frequently reported in the entire (2 to 16 years) age group. Accidental injuries were frequently reported in the 2 to 16 year age group [see Adverse Reactions (6.1)].

The safety and effectiveness of omeprazole have not been established in: 

  • patients less than 1 year of age for:
    • Treatment of symptomatic GERD
    • Maintenance of healing of EE due to acid-mediated GERD      
  • pediatric patients for:
    • Treatment of active duodenal ulcer
    • H. pylori eradication to reduce the risk of duodenal ulcer recurrence
    • Treatment of active benign gastric ulcer
    • Pathological hypersecretory conditions                


Juvenile Animal Data



Esomeprazole, an enantiomer of omeprazole, was shown to decrease body weight, body weight gain, femur weight, femur length, and overall growth at oral doses about 34 to 68 times a daily human dose of 40 mg esomeprazole or 40 mg omeprazole based on body surface area in a juvenile rat toxicity study. The animal to human dose multiples are based on the assumption of equal systemic exposure to esomeprazole in humans following oral administration of either 40 mg esomeprazole or 40 mg omeprazole.



A 28-day toxicity study with a 14-day recovery phase was conducted in juvenile rats with  esomeprazole magnesium at doses of 70 to 280 mg/kg/day (about 17 to 68 times a daily oral human dose of 40 mg esomeprazole or 40 mg omeprazole on a body surface area basis). An increase in the number of deaths at the high dose of 280 mg/kg/day was observed when juvenile rats were administered esomeprazole magnesium from postnatal day 7 through postnatal day 35. In addition, doses equal to or greater than 140 mg/kg/day (about 34 times a daily oral human dose of 40 mg esomeprazole or 40 mg omeprazole on a body surface area basis), produced treatment-related decreases in body weight (approximately 14%) and body weight gain, decreases in femur weight and femur length, and affected overall growth. Comparable findings described above have also been observed in this study with another esomeprazole salt, esomeprazole strontium, at equimolar doses of esomeprazole.

8.5 Geriatric Use

Omeprazole was administered to over 2000 elderly individuals (≥ 65 years of age) in clinical trials in the U.S. and Europe. There were no differences in safety and effectiveness between the elderly and younger subjects. Other reported clinical experience has not identified differences in response between the elderly and younger subjects, but greater sensitivity of some older individuals cannot be ruled out.



Pharmacokinetic studies have shown the elimination rate was somewhat decreased in the elderly and bioavailability was increased. The plasma clearance of omeprazole was 250 mL/min (about half that of young volunteers) and its plasma half-life averaged one hour, about twice that of young healthy volunteers. However, no dosage adjustment is necessary in the elderly [see Clinical Pharmacology (12.3)] .

5.8 Hypomagnesemia

Hypomagnesemia, symptomatic and asymptomatic, has been reported rarely in patients treated with PPIs for at least three months, in most cases after a year of therapy. Serious adverse events include tetany, arrhythmias, and seizures. In most patients, treatment of hypomagnesemia required magnesium replacement and discontinuation of the PPI.



For patients expected to be on prolonged treatment or who take PPIs with medications such as digoxin or drugs that may cause hypomagnesemia (e.g., diuretics), health care professionals may consider monitoring magnesium levels prior to initiation of PPI treatment and periodically [see Adverse Reactions (6.3)] .

4 Contraindications (4 CONTRAINDICATIONS)
  • Omeprazole delayed-release capsules are contraindicated in patients with known hypersensitivity reactions including anaphylaxis to the formulation [see Warnings and Precautions (5.2)] or any substituted benzimidazole. Hypersensitivity reactions may include anaphylaxis, anaphylactic shock, angioedema, bronchospasm, and urticaria [see Adverse Reactions (6)] .
  • Proton pump inhibitors (PPIs), including omeprazole delayed-release capsules, are contraindicated in patients receiving rilpivirine-containing products [see Drug Interactions (7)].
  • For information about contraindications of antibacterial agents (clarithromycin and amoxicillin) indicated in combination with omeprazole delayed-release capsules, refer to the CONTRAINDICATIONS section of their package inserts.
6 Adverse Reactions (6 ADVERSE REACTIONS)

The following serious adverse reactions are described below and elsewhere in labeling:



7 Drug Interactions (7 DRUG INTERACTIONS)

Tables 3 and 4 include drugs with clinically important drug interactions and interaction with diagnostics when administered concomitantly with omeprazole and instructions for preventing or managing them.



Consult the labeling of concomitantly used drugs to obtain further information about interactions with PPIs.

Table 3: Clinically Relevant Interactions Affecting Drugs Co-Administered with Omeprazole and Interaction with Diagnostics
Antiretrovirals

Clinical Impact:

The effect of PPIs on antiretroviral drugs is variable. The clinical importance and the mechanisms behind these interactions are not always known.

 

  • Decreased exposure of some antiretroviral drugs (e.g., rilpivirine, atazanavir and nelfinavir) when used concomitantly with omeprazole may reduce antiviral effect and promote the development of drug resistance [see Clinical Pharmacology (12.3)].
  • Increased exposure of other antiretroviral drugs (e.g., saquinavir) when used concomitantly with omeprazole may increase toxicity [see Clinical Pharmacology (12.3)].
  • There are other antiretroviral drugs which do not result in clinically relevant interactions with omeprazole.
Intervention:

Rilpivirine-containing products: Concomitant use with omeprazole is contraindicated [see Contraindications (4) ] .

 

Atazanavir: Avoid concomitant use with omeprazole. See prescribing information for atazanavir for dosing information.

 

Nelfinavir: Avoid concomitant use with omeprazole. See prescribing information for nelfinavir.

 

Saquinavir: See the prescribing information for saquinavir for monitoring of potential saquinavir-related toxicities.

 

Other antiretrovirals: See prescribing information for specific antiretroviral drugs.

Warfarin

Clinical Impact:

Increased INR and prothrombin time in patients receiving PPIs, including omeprazole, and warfarin concomitantly. Increases in INR and prothrombin time may lead to abnormal bleeding and even death.

         Intervention:

Monitor INR and prothrombin time and adjust the dose of warfarin, if needed, to maintain target INR range.

Methotrexate

Clinical Impact:

Concomitant use of omeprazole with methotrexate (primarily at high dose) may elevate and prolong serum concentrations of methotrexate and/or its metabolite hydroxymethotrexate, possibly leading to methotrexate toxicities. No formal drug interaction studies of high-dose methotrexate with PPIs have been conducted [see Warnings and Precautions (5.11) ].

Intervention:

A temporary withdrawal of omeprazole may be considered in some patients receiving high-dose methotrexate.

CYP2C19 Substrates (e.g., clopidogrel, citalopram, cilostazol, phenytoin, diazepam)

Clopidogrel

Clinical Impact:

Concomitant use of omeprazole 80 mg results in reduced plasma concentrations of the active metabolite of clopidogrel and a reduction in platelet inhibition [see Clinical Pharmacology (12.3) ].

There are no adequate combination studies of a lower dose of omeprazole or a higher dose of clopidogrel in comparison with the approved dose of clopidogrel .

        Intervention:

Avoid concomitant use with omeprazole. Consider use of alternative anti-platelet therapy [see Warnings and Precautions (5.6) ].

Citalopram

Clinical Impact:

Increased exposure of citalopram leading to an increased risk of QT prolongation [see Clinical Pharmacology (12.3) ] .

         Intervention:

Limit the dose of citalopram to a maximum of 20 mg per day. See prescribing information for citalopram.

Cilostazol

Clinical Impact:

Increased exposure of one of the active metabolites of cilostazol (3,4-dihydro-cilostazol) [see Clinical Pharmacology (12.3) ].

          Intervention:

Reduce the dose of cilostazol to 50 mg twice daily. See prescribing information for cilostazol.

Phenytoin

Clinical Impact:

Potential for increased exposure of phenytoin.

         Intervention:

Monitor phenytoin serum concentrations. Dose adjustment may be needed to maintain therapeutic drug concentrations. See prescribing information for phenytoin.

Diazepam

Clinical Impact:

Increased exposure of diazepam [see Clinical Pharmacology (12.3) ] .

Intervention:

Monitor patients for increased sedation and reduce the dose of diazepam as needed.

Digoxin

Clinical Impact:

Potential for increased exposure of digoxin [see Clinical Pharmacology (12.3) ].

Intervention:

Monitor digoxin concentrations. Dose adjustment may be needed to maintain therapeutic drug concentrations. See digoxin prescribing information.

Drugs Dependent on Gastric pH for Absorption (e.g., iron salts, erlotinib, dasatinib, nilotinib, mycophenolate mofetil, ketoconazole/itraconazole)

Clinical Impact:

Omeprazole can reduce the absorption of other drugs due to its effect on reducing intragastric acidity.

Intervention:

Mycophenolate mofetil (MMF): Co-administration of omeprazole in healthy subjects and in transplant patients receiving MMF has been reported to reduce the exposure to the active metabolite, mycophenolic acid (MPA), possibly due to a decrease in MMF solubility at an increased gastric pH. The clinical relevance of reduced MPA exposure on organ rejection has not been established in transplant patients receiving omeprazole and MMF. Use omeprazole with caution in transplant patients receiving MMF [see Clinical Pharmacology (12.3) ] .

 

See the prescribing information for other drugs dependent on gastric pH for absorption.

Combination Therapy with Clarithromycin and Amoxicillin

Clinical Impact:

Concomitant administration of clarithromycin with other drugs can lead to serious adverse reactions, including potentially fatal arrhythmias, and are contraindicated. Amoxicillin also has drug interactions.

Intervention:

See Contraindications Warnings and Precautions   in prescribing information for clarithromycin.

 

See  Drug Interactions   in prescribing information for amoxicillin.

Tacrolimus

Clinical Impact:

Potential for increased exposure of tacrolimus, especially in transplant patients who are intermediate or poor metabolizers of CYP2C19 .

Intervention:

Monitor tacrolimus whole blood concentrations. Dose adjustment may be needed to maintain therapeutic drug concentrations. See prescribing information for tacrolimus.

Interactions with Investigations of Neuroendocrine Tumors

Clinical Impact:

Serum chromogranin A (CgA) levels increase secondary to PPI-induced decreases in gastric acidity. The increased CgA level may cause false positive results in diagnostic investigations for neuroendocrine tumors [see Warnings and Precautions (5.10) , Clinical Pharmacology (12.2) ] .

Intervention:

Temporarily stop omeprazole treatment at least 14 days before assessing CgA levels and consider repeating the test if initial CgA levels are high. If serial tests are performed (e.g., for monitoring), the same commercial laboratory should be used for testing, as reference ranges between tests may vary.

Interaction with Secretin Stimulation Test

Clinical Impact:

Hyper-response in gastrin secretion in response to secretin stimulation test, falsely suggesting gastrinoma.

Intervention:

Temporarily stop omeprazole treatment at least 14 days before assessing to allow gastrin levels to return to baseline [see Clinical Pharmacology (12.2) ] .

False Positive Urine Tests for THC

Clinical Impact:

There have been reports of false positive urine screening tests for tetrahydrocannabinol (THC) in patients receiving PPIs.

Intervention:

An alternative confirmatory method should be considered to verify positive results.

Other

Clinical Impact:

There have been clinical reports of interactions with other drugs metabolized via the cytochrome P450 system (e.g., cyclosporine, disulfiram).

Intervention:

Monitor patients to determine if it is necessary to adjust the dosage of these other drugs when taken concomitantly with omeprazole.

Table 4: Clinically Relevant Interactions Affecting Omeprazole When Co-Administered with Other Drugs
CYP2C19 or CYP3A4 Inducers

Clinical Impact:

Decreased exposure of omeprazole when used concomitantly with strong inducers [see Clinical Pharmacology (12.3) ].

Intervention:

St. John’s Wort, rifampin: Avoid concomitant use with omeprazole [see Warnings and Precautions (5.9) ].

Ritonavir-containing products: see prescribing information for specific drugs.

CYP2C19 or CYP3A4 Inhibitors

Clinical Impact:

Increased exposure of omeprazole [see Clinical Pharmacology (12.3) ].

Intervention:

Voriconazole: Dose adjustment of omeprazole is not normally required. However, in patients with Zollinger-Ellison syndrome, who may require higher doses, dose adjustment may be considered.

 

See prescribing information for voriconazole.

8.7 Asian Population

In studies of healthy subjects, Asians had approximately a four-fold higher exposure than Caucasians. Dosage reduction of omeprazole to 10 mg once daily is recommended for Asian patients for maintenance of healing of EE [see Dosage and Administration (2.1) , Clinical Pharmacology (12.5)] .

Instructions for Use (INSTRUCTIONS FOR USE)



Omeprazole Delayed-Release Capsules, USP


(oh mep' ra zole)

Omeprazole delayed-release capsules

Taking omeprazole delayed-release capsules with applesauce:

1. Place 1 tablespoon of applesauce into a clean container.

2. Carefully open the capsule and sprinkle the pellets onto the applesauce. Mix the pellets with the applesauce.

3. Swallow the applesauce and pellet mixture right away. Do not chew or crush the pellets. Do not store the applesauce and pellet mixture for later use.

12.2 Pharmacodynamics


Antisecretory Activity



After oral administration, the onset of the antisecretory effect of omeprazole occurs within one hour, with the maximum effect occurring within two hours. Inhibition of secretion is about 50% of maximum at 24 hours and the duration of inhibition lasts up to 72 hours. The antisecretory effect thus lasts far longer than would be expected from the very short (less than one hour) plasma half-life, apparently due to prolonged binding to the parietal H +/K + ATPase enzyme. When the drug is discontinued, secretory activity returns gradually, over 3 to 5 days. The inhibitory effect of omeprazole on acid secretion increases with repeated once-daily dosing, reaching a plateau after four days.



Results from numerous studies of the antisecretory effect of multiple doses of 20 mg and 40 mg of omeprazole in healthy subjects and patients are shown below. The “max” value represents determinations at a time of maximum effect (2 to 6 hours after dosing), while “min” values are those 24 hours after the last dose of omeprazole.



Table 5: Range of Mean Values from Multiple Studies of the Mean Antisecretory Effects of Omeprazole After Multiple Daily Dosing
  Omeprazole

20 mg
Omeprazole

40 mg
   Parameter Max Min Max Min
1. Single Studies

   % Decrease in Basal Acid Output

78 1

58 to 80

94 1

80 to 93

   % Decrease in Peak Acid Output

79 1

50 to 59

88 1

62 to 68

   % Decrease in 24-hr. Intragastric Acidity

 

80 to 97

 

92 to 94



Single daily oral doses of omeprazole ranging from a dose of 10 mg to 40 mg have produced 100% inhibition of 24-hour intragastric acidity in some patients.



Serum Gastrin Effects




In studies involving more than 200 patients, serum gastrin levels increased during the first 1 to 2 weeks of once-daily administration of therapeutic doses of omeprazole in parallel with inhibition of acid secretion. No further increase in serum gastrin occurred with continued treatment. In comparison with histamine H 2-receptor antagonists, the median increases produced by 20 mg doses of omeprazole were higher (1.3 to 3.6 fold vs. 1.1 to 1.8 fold increase). Gastrin values returned to pretreatment levels, usually within 1 to 2 weeks after discontinuation of therapy.



Increased gastrin causes enterochromaffin-like cell hyperplasia and increased serum Chromogranin A (CgA) levels. The increased CgA levels may cause false positive results in diagnostic investigations for neuroendocrine tumors [see Warnings and Precautions (5.10)] .



Enterochromaffin-like (ECL) Cell Effects




Human gastric biopsy specimens have been obtained from more than 3000 patients (both children and adults) treated with omeprazole in long-term clinical trials. The incidence of ECL cell hyperplasia in these studies increased with time; however, no case of ECL cell carcinoids, dysplasia, or neoplasia has been found in these patients. However, these studies are of insufficient duration and size to rule out the possible influence of long-term administration of omeprazole on the development of any premalignant or malignant conditions.



Other Effects




Systemic effects of omeprazole in the CNS, cardiovascular and respiratory systems have not been found to date. Omeprazole, given in oral doses of 30 or 40 mg for 2 to 4 weeks, had no effect on thyroid function, carbohydrate metabolism, or circulating levels of parathyroid hormone, cortisol, estradiol, testosterone, prolactin, cholecystokinin or secretin.



No effect on gastric emptying of the solid and liquid components of a test meal was demonstrated after a single dose of omeprazole 90 mg. In healthy subjects, a single intravenous dose of omeprazole (0.35 mg/kg) had no effect on intrinsic factor secretion. No systematic dose-dependent effect has been observed on basal or stimulated pepsin output in humans.



However, when intragastric pH is maintained at 4 or above, basal pepsin output is low, and pepsin activity is decreased.



As do other agents that elevate intragastric pH, omeprazole administered for 14 days in healthy subjects produced a significant increase in the intragastric concentrations of viable bacteria. The pattern of the bacterial species was unchanged from that commonly found in saliva. All changes resolved within three days of stopping treatment.



The course of Barrett’s esophagus in 106 patients was evaluated in a U.S. double-blind controlled study of omeprazole 40 mg twice daily for 12 months followed by 20 mg twice daily for 12 months or ranitidine 300 mg twice daily for 24 months. No clinically significant impact on Barrett’s mucosa by antisecretory therapy was observed. Although neosquamous epithelium developed during antisecretory therapy, complete elimination of Barrett’s mucosa was not achieved. No significant difference was observed between treatment groups in development of dysplasia in Barrett’s mucosa and no patient developed esophageal carcinoma during treatment. No significant differences between treatment groups were observed in development of ECL cell hyperplasia, corpus atrophic gastritis, corpus intestinal metaplasia, or colon polyps exceeding 3 mm in diameter.

12.3 Pharmacokinetics

Omeprazole is a time-dependent inhibitor of CYP2C19, resulting in autoinhibition and nonlinear pharmacokinetics. The systemic exposure increases in a more than dose proportional manner after multiple oral doses of omeprazole. Compared to the first dose, the systemic exposure (C max and AUC 0-24h) at steady state following once a day dosing increased by 61% and 62%, respectively, compared to after the first dose for the 20 mg dose of omeprazole delayed-release capsules and increased by 118% and 175%, respectively, for the 40 mg dose of omeprazole delayed-release capsules.



Absorption

Omeprazole delayed-release capsules contain an enteric-coated granule formulation of omeprazole (because omeprazole is acid-labile), so that absorption of omeprazole begins only after the granules leave the stomach. Absorption is rapid, with peak plasma concentrations of omeprazole occurring within 0.5 to 3.5 hours. Peak plasma concentrations of omeprazole and AUC are approximately proportional to doses up to 40 mg, but because of a saturable first-pass effect, a greater than linear response in peak plasma concentration and AUC occurs with doses greater than 40 mg. Absolute bioavailability (compared with intravenous administration) is about 30 to 40% at doses of 20 to 40 mg, due in large part to presystemic metabolism. In healthy subjects the plasma half-life is 0.5 to 1 hour, and the total body clearance is 500 to 600 mL/min.



The bioavailability of omeprazole increases slightly upon repeated administration of omeprazole delayed-release capsules.



The systemic exposure (C max and AUC) are similar when a 40 mg omeprazole delayed-release capsule is administered with and without applesauce. However, administration of a 20 mg omeprazole delayed-release capsule with applesauce, results in a mean 25% reduction in C max without a significant change in AUC compared to administration without applesauce. The clinical relevance of this finding is unknown.

Distribution

Protein binding is approximately 95%.



Elimination



Metabolism

Omeprazole is extensively metabolized by the cytochrome P450 (CYP) enzyme system. The major part of its metabolism is dependent on the polymorphically expressed CYP2C19, responsible for the formation of hydroxyomeprazole, the major metabolite in plasma. The remaining part is dependent on another specific isoform, CYP3A4, responsible for the formation of omeprazole sulphone.



Excretion

Following single dose oral administration of a buffered solution of omeprazole, little if any unchanged drug was excreted in urine. The majority of the dose (about 77%) was eliminated in urine as at least six metabolites. Two were identified as hydroxyomeprazole and the corresponding carboxylic acid. The remainder of the dose was recoverable in feces. This implies a significant biliary excretion of the metabolites of omeprazole. Three metabolites have been identified in plasma the sulfide and sulfone derivatives of omeprazole, and hydroxyomeprazole. These metabolites have very little or no antisecretory activity.

Combination Therapy with Antimicrobials



Omeprazole 40 mg daily was given in combination with clarithromycin 500 mg every 8 hours to healthy adult male subjects. The steady state plasma concentrations of omeprazole were increased (C max, AUC 0-24, and T 1/2 increases of 30%, 89% and 34% respectively) by the concomitant administration of clarithromycin. The observed increases in omeprazole plasma concentration were associated with the following pharmacological effects. The mean 24-­hour gastric pH value was 5.2 when omeprazole was administered alone and 5.7 when co-administered with clarithromycin.



The plasma concentrations of clarithromycin and 14-hydroxy-clarithromycin were increased by the concomitant administration of omeprazole. For clarithromycin, the mean C max was 10% greater, the mean C min was 27% greater, and the mean AUC 0-8 was 15% greater when clarithromycin was administered with omeprazole than when clarithromycin was administered alone. Similar results were seen for 14-hydroxy-clarithromycin, the mean C max was 45% greater, the mean C min was 57% greater, and the mean AUC 0-8 was 45% greater. Clarithromycin concentrations in the gastric tissue and mucus were also increased by concomitant administration of omeprazole.

  Table 6: Clarithromycin Tissue Concentrations 2 hours after Dose 1
1. Mean ± SD (mcg/g)

Tissue

Clarithromycin

Clarithromycin + Omeprazole

Antrum

10.48 ± 2.01 (n = 5)

19.96 ± 4.71  (n = 5)

Fundus

20.81 ± 7.64 (n = 5)

24.25 ± 6.37  (n = 5)

Mucus

4.15 ± 7.74 (n = 4)

39.29 ± 32.79 (n = 4)

Specific Populations

Age: Geriatric Population



The elimination rate of omeprazole was somewhat decreased in the elderly, and bioavailability was increased. Omeprazole was 76% bioavailable when a single 40 mg oral dose of omeprazole (buffered solution) was administered to healthy elderly volunteers, versus 58% in young volunteers given the same dose. Nearly 70% of the dose was recovered in urine as metabolites of omeprazole and no unchanged drug was detected. The plasma clearance of omeprazole was 250 mL/min (about half that of young volunteers) and its plasma half-life averaged one hour, about twice that of young healthy volunteers.

Age: Pediatric Population



2 to 16 Years of Age

The pharmacokinetics of omeprazole have been investigated in pediatric patients 2 to 16 years of age:

Table 7: Pharmacokinetic Parameters of Omeprazole Following Single and Repeated Oral Administration in Pediatric Populations Compared with Adults
1. Data from single and repeated dose studies. Doses of 10, 20 and 40 mg omeprazole as enteric-coated granules.

2. Data from a single and repeated dose study. Doses of 10, 20 and 40 mg omeprazole as enteric-coated granules.

3. Plasma concentration adjusted to an oral dose of 1 mg/kg.

Single or Repeated

Oral Dosing/Parameter

Children 1

≤ 20 kg

2 to 5 Years

10 mg

Children 1

> 20 kg

6 to 16 Years

20 mg

Adults 2

(Mean 76 kg)

23 to 29 Years (n=12)

Single Dosing

C max 3 (ng/mL)

288 (n=10)

495 (n=49)

668

AUC 3 (ng h/mL)

511 (n=7)

1140 (n=32)

1220

Repeated Dosing

 

 

C max 3 (ng/mL)

539 (n=4)

851 (n=32)

1458

AUC 3 (ng h/mL)

1179 (n=2)

2276 (n=23)

3352

Following comparable mg/kg doses of omeprazole, younger children (2 to 5 years of age) have lower AUCs than children 6 to 16 years of age or adults; AUCs of the latter two groups did not differ [see Dosage and Administration (2)] .



Race/Ethnicity



[See Clinical Pharmacology (12.5)] .



Renal Impairment



In patients with chronic renal impairment (creatinine clearance between 10 and 62 mL/min/1.73 m 2), the disposition of omeprazole was very similar to that in healthy subjects, although there was a slight increase in bioavailability. Because urinary excretion is a primary route of excretion of omeprazole metabolites, their elimination slowed in proportion to the decreased creatinine clearance. This increase in bioavailability is not considered to be clinically meaningful.



Hepatic Impairment



In patients with chronic hepatic disease classified as Child-Pugh Class A (n=3), B (n=4) and C (n=1), the bioavailability increased to approximately 100% compared to healthy subjects, reflecting decreased first-pass effect, and the plasma half- life of the drug increased to nearly 3 hours compared with the half-life in healthy subjects of 0.5 to 1 hour. Plasma clearance averaged 70 mL/min, compared with a value of 500 to 600 mL/min in healthy subjects [see Dosage and Administration (2.1), Use in Specific Populations (8.6)] .



Drug Interaction Studies

Effect of Omeprazole on Other Drugs



Omeprazole is a time-dependent inhibitor of CYP2C19 and can increase the systemic exposure of co-administered drugs that are CYP2C19 substrates. In addition, administration of omeprazole increases intragastric pH and can alter the systemic exposure of certain drugs that exhibit pH-dependent solubility.



Antiretrovirals

For some antiretroviral drugs, such as rilpivirine, atazanavir and nelfinavir, decreased serum concentrations have been reported when given together with omeprazole [see Drug Interactions (7)].

Rilpivirine: Following multiple doses of rilpivirine (150 mg, daily) and omeprazole (20 mg, daily), AUC was decreased by 40%, C max by 40%, and C min by 33% for rilpivirine.



Nelfinavir: Following multiple doses of nelfinavir (1250 mg, twice daily) and omeprazole (40 mg daily), AUC was decreased by 36% and 92%, C max by 37% and 89% and C min by 39% and 75% respectively for nelfinavir and M8.



Atazanavir: Following multiple doses of atazanavir (400 mg, daily) and omeprazole (40 mg, daily, 2 hours before atazanavir), AUC was decreased by 94%, C max by 96%, and C min by 95%.



Saquinavir: Following multiple dosing of saquinavir/ritonavir (1000/100 mg) twice daily for 15 days with omeprazole 40 mg daily co-administered days 11 to 15.



AUC was increased by 82%, C max by 75%, and C min by 106%. The mechanism behind this interaction is not fully elucidated. Therefore, clinical and laboratory monitoring for saquinavir toxicity is recommended during concurrent use with omeprazole.

Clopidogrel

In a crossover clinical study, 72 healthy subjects were administered clopidogrel (300 mg loading dose followed by 75 mg per day) alone and with omeprazole (80 mg at the same time as clopidogrel) for 5 days. The exposure to the active metabolite of clopidogrel was decreased by 46% (Day 1) and 42% (Day 5) when clopidogrel and omeprazole were administered together.



Results from another crossover study in healthy subjects showed a similar pharmacokinetic interaction between clopidogrel (300 mg loading dose/75 mg daily maintenance dose) and omeprazole 80 mg daily when co-administered for 30 days. Exposure to the active metabolite of clopidogrel was reduced by 41% to 46% over this time period.



In another study, 72 healthy subjects were given the same doses of clopidogrel and 80 mg omeprazole but the drugs were administered 12 hours apart; the results were similar, indicating that administering clopidogrel and omeprazole at different times does not prevent their interaction [see Warnings and Precautions (5.6), Drug Interactions (7)] .



Mycophenolate Mofetil

Administration of omeprazole 20 mg twice daily for 4 days and a single 1000 mg dose of MMF approximately one hour after the last dose of omeprazole to 12 healthy subjects in a cross-over study resulted in a 52% reduction in the C max and 23% reduction in the AUC of MPA [see Drug Interactions (7)] .



Cilostazol

Omeprazole acts as an inhibitor of CYP2C19. Omeprazole, given in doses of 40 mg daily for one week to 20 healthy subjects in cross-over study, increased C max and AUC of cilostazol by 18% and 26% respectively. The C max and AUC of one of the active metabolites, 3,4- dihydro-cilostazol, which has 4 to 7 times the activity of cilostazol, were increased by 29% and 69%, respectively. Co-administration of cilostazol with omeprazole is expected to increase concentrations of cilostazol and the above mentioned active metabolite [see Drug Interactions (7)] .



Diazepam

Concomitant administration of omeprazole 20 mg once daily and diazepam 0.1 mg/kg given intravenously resulted in 27% decrease in clearance and 36% increase in diazepam half-life [see Drug Interactions (7)] .



Digoxin

Concomitant administration of omeprazole 20 mg once daily and digoxin in healthy subjects increased the bioavailability of digoxin by 10% (30% in two subjects) [see Drug Interactions (7)] .



Effect of Other Drugs on Omeprazole



Voriconazole

Concomitant administration of omeprazole and voriconazole (a combined inhibitor of CYP2C19 and CYP3A4) resulted in more than doubling of the omeprazole exposure. When voriconazole (400 mg every 12 hours for one day, followed by 200 mg once daily for 6 days) was given with omeprazole (40 mg once daily for 7 days) to healthy subjects, the steady-state C max and AUC 0-24 of omeprazole significantly increased: an average of 2 times (90% CI: 1.8, 2.6) and 4 times (90% CI: 3.3, 4.4), respectively, as compared to when omeprazole was given without voriconazole [see Drug Interactions (7)] .

12.5 Pharmacogenomics

CYP2C19, a polymorphic enzyme, is involved in the metabolism of omeprazole. The CYP2C19*1 allele is fully functional while the CYP2C19*2 and *3 alleles are nonfunctional. There are other alleles associated with no or reduced enzymatic function. Patients carrying two fully functional alleles are extensive metabolizers and those carrying two loss of- function alleles are poor metabolizers. In extensive metabolizers, omeprazole is primarily metabolized by CYP2C19.



The systemic exposure to omeprazole varies with a patient’s metabolism status: poor metabolizers > intermediate metabolizers > extensive metabolizers. Approximately 3% of Caucasians and 15 to 20% of Asians are CYP2C19 poor metabolizers.



In a pharmacokinetic study of single 20 mg omeprazole dose, the AUC of omeprazole in Asian subjects was approximately four-fold of that in Caucasians [see Dosage and Administration (2.1), Use in Specific Populations (8.7)].

14.4 Symptomatic Gerd (14.4 Symptomatic GERD)

A placebo-controlled study was conducted in Scandinavia to compare the efficacy of omeprazole 20 mg or 10 mg once daily for up to 4 weeks in the treatment of heartburn and other symptoms in GERD patients without EE. Results are shown below.

% Successful Symptomatic Outcome 1
1. Defined as complete resolution of heartburn.

2. (p < 0.005) versus 10 mg.

3. (p < 0.005) versus placebo.
Omeprazole

20 mg a.m.

Omeprazole

10 mg a.m.

Placebo

a.m.

All patients

46 2,3

(n = 205)

31 3

(n = 199)

13

(n = 105)

Patients with confirmed GERD

56 2,3

(n = 115)

36 3

(n = 109)

14

(n = 59)

8.6 Hepatic Impairment

In patients with hepatic impairment (Child-Pugh Class A, B, or C) exposure to omeprazole substantially increased compared to healthy subjects. Dosage reduction of omeprazole to 10 mg once daily is recommended for patients with hepatic impairment for maintenance of healing of EE [see Dosage and Administration (2.1), Clinical Pharmacology (12.3)] .

1 Indications and Usage (1 INDICATIONS AND USAGE)

Omeprazole is a proton pump inhibitor (PPI) indicated for the:

  • Treatment of active duodenal ulcer in adults ( 1.1)
  • Eradication of Helicobacter pylori to reduce the risk of duodenal ulcer recurrence in adults ( 1.2)
  • Treatment of active benign gastric ulcer in adults ( 1.3)
  • Treatment of symptomatic gastroesophageal reflux disease (GERD) in patients 2 years of age and older ( 1.4)
  • Maintenance of healing of EE due to acid-mediated GERD in patients 2 years of age and older ( 1.6)
  • Pathologic hypersecretory conditions in adults ( 1.7)
1.2 Helicobacter Pylori (1.2 Helicobacter pylori)

Eradication of H. pylori has been shown to reduce the risk of duodenal ulcer recurrence.



Triple Therapy



Omeprazole delayed-release capsules in combination with clarithromycin and amoxicillin, are indicated for treatment of patients with H. pylori infection and duodenal ulcer disease (active or up to 1-year history) to eradicate H. pylori in adults.



Dual Therapy




Omeprazole delayed-release capsules in combination with clarithromycin are indicated for treatment of patients with H. pylori infection and duodenal ulcer disease to eradicate H. pylori in adults.



Among patients who fail therapy, omeprazole delayed-release capsules with clarithromycin are more likely to be associated with the development of clarithromycin resistance as compared with triple therapy. In patients who fail therapy, susceptibility testing should be done. If resistance to clarithromycin is demonstrated or susceptibility testing is not possible, alternative antimicrobial therapy should be instituted [see  Clinical Pharmacology (12.4) and the clarithromycin prescribing information, Microbiology sectio n].

12.1 Mechanism of Action


Omeprazole belongs to a class of antisecretory compounds, the substituted benzimidazoles, that suppress gastric acid secretion by specific inhibition of the H +/K + ATPase enzyme system at the secretory surface of the gastric parietal cell. Because this enzyme system is regarded as the acid (proton) pump within the gastric mucosa, omeprazole has been characterized as a gastric acid-pump inhibitor, in that it blocks the final step of acid production. This effect is dose-related and leads to inhibition of both basal and stimulated acid secretion irrespective of the stimulus. 

5.12 Fundic Gland Polyps

PPI use is associated with an increased risk of fundic gland polyps that increases with long-term use, especially beyond one year.  Most PPI users who developed fundic gland polyps were asymptomatic and fundic gland polyps were identified  on endoscopy.  Use the shortest duration of PPI therapy appropriate to the condition being treated. PPI use is associated with an increased risk of fundic gland polyps that increases with long-term use, especially beyond one year.  Most PPI users who developed fundic gland polyps were asymptomatic and fundic gland polyps were identified  incidentally on endoscopy.  Use the shortest duration of PPI therapy appropriate to the condition being treated.

5.3 Clostridium Difficile (5.3 Clostridium difficile)

Published observational studies suggest that PPI therapy like omeprazole may be associated with an increased risk of Clostridium difficile-associated diarrhea, especially in hospitalized patients. This diagnosis should be considered for diarrhea that does not improve [see Adverse Reactions (6.2)] .



Patients should use the lowest dose and shortest duration of PPI therapy appropriate to the condition being treated.



Clostridium difficile-
associated diarrhea (CDAD) has been reported with use of nearly all antibacterial agents. For more information specific to antibacterial agents (clarithromycin and amoxicillin) indicated for use in combination with omeprazole, refer to Warnings and Precautions sections of the corresponding prescribing information.

14.1 Active Duodenal Ulcer

In a multicenter, double-blind, placebo-controlled study of 147 patients with endoscopically documented duodenal ulcer, the percentage of patients healed (per protocol) at 2 and 4 weeks was significantly higher with omeprazole 20 mg once daily than with placebo (p ≤ 0.01).

Treatment of Active Duodenal Ulcer % of Patients Healed
1. (p ≤ 0.01)
Omeprazole 20 mg a.m.

(n = 99)

Placebo

a.m.

(n = 48)

Week 2

41 1

13

Week 4

75 1

27

Complete daytime and nighttime pain relief occurred significantly faster (p ≤ 0.01) in patients treated with omeprazole 20 mg than in patients treated with placebo. At the end of the study, significantly more patients who had received omeprazole had complete relief of daytime pain (p ≤ 0.05) and nighttime pain   (p ≤ 0.01).



In a multicenter, double-blind study of 293 patients with endoscopically documented duodenal ulcer, the percentage of patients healed (per protocol) at 4 weeks was significantly higher with omeprazole 20 mg once daily than with ranitidine 150 mg b.i.d. (p < 0.01). 

Treatment of Active Duodenal Ulcer % of Patients Healed
1. (p < 0.01)
Omeprazole

20 mg a.m.

(n = 145)

Ranitidine

150 mg

Twice Daily

(n = 148)

Week 2

42

34

Week 4

82 1

63

Healing occurred significantly faster in patients treated with omeprazole than in those treated with ranitidine 150 mg b.i.d. (p < 0.01).



In a foreign multinational randomized, double-blind study of 105 patients with endoscopically documented duodenal ulcer, 20 mg and 40 mg of omeprazole were compared with 150 mg b.i.d. of ranitidine at 2, 4 and 8 weeks. At 2 and 4 weeks both doses of omeprazole were statistically superior (per protocol) to ranitidine, but 40 mg was not superior to 20 mg of omeprazole, and at 8 weeks there was no significant difference between any of the active drugs. 

Treatment of Active Duodenal Ulcer % of Patients Healed
1. (p ≤ 0.01)
Omeprazole

Ranitidine 150 mg Twice Daily

(n = 35)

20 mg

(n = 34)

40 mg

(n = 36)

Week 2

83 1

83 1

53

Week 4

97 1

100 1

82

Week 8

100

100

94



5 Warnings and Precautions (5 WARNINGS AND PRECAUTIONS)
  • Gastric Malignancy: In adults, symptomatic response does not preclude the presence of gastric malignancy. Consider additional follow-up and diagnostic testing. ( 5.1)
  • Tubulointerstitial Nephritis: Evaluate unexplained decrease in glomerular filtration rate; discontinue treatment. ( 5.2)
  • Clostridium difficile -Associated Diarrhea: PPI therapy may be associated with increased risk. ( 5.3)
  • Bone Fracture: Long-term and multiple daily dose PPI therapy may be associated with an increased risk for osteoporosis-related fractures of the hip, wrist or spine. ( 5.4)
  • Cutaneous and Systemic Lupus Erythematosus: Mostly cutaneous; new onset or exacerbation of existing disease; discontinue omeprazole and refer to specialist for evaluation. ( 5.5)
  • Interaction with Clopidogrel: Avoid concomitant use of omeprazole.( 5.6, 7)
  • Cyanocobalamin (Vitamin B-12) Deficiency: Daily long-term use (e.g., longer than 3 years) may lead to malabsorption or a deficiency of cyanocobalamin. ( 5.7)
  • Hypomagnesemia: Reported rarely with prolonged treatment with PPIs. ( 5.8)
  • Interaction with St. John’s Wort or Rifampin: Avoid concomitant use of omeprazole. ( 5.9, 7)
  • Interactions with Diagnostic Investigations for Neuroendocrine Tumors: Increased Chromogranin A (CgA) levels may interfere with diagnostic investigations for neuroendocrine tumors; temporarily stop omeprazole at least 14 days before assessing CgA levels. ( 5.10, 7)
  • Interaction with Methotrexate: Concomitant use with PPIs may elevate and/or prolong serum concentrations of methotrexate and/or its metabolite, possibly leading to toxicity. With high dose methotrexate administration, consider a temporary withdrawal of omeprazole. ( 5.11, 7)
  • Fundic Gland Polyps: Risk increases with long-term use, especially beyond one year. Use the shortest duration of therapy. ( 5.12)
2 Dosage and Administration (2 DOSAGE AND ADMINISTRATION)


* if ulcer present, continue omeprazole delayed-release capsules 20 mg once daily for an additional 18 days.

** if ulcer present, continue omeprazole delayed-release capsules 20 mg once daily for an additional 14 days.

*** an additional 4 weeks of treatment may be given if no response; if recurrence additional 4 to 8 week courses may be considered.

**** studied for 12 months. Reduce the dosage to 10 mg once daily for patients with hepatic impairment (Child-Pugh Class A, B, or C) and Asian patients ( 8.6, 8.7)

Indication

Recommended Adult ( 2.1) and Pediatric Dosage ( 2.2)

Treatment of Active Duodenal Ulcer

20 mg once daily for 4 weeks; some patients may require an additional 4 weeks ( 2.1)

H. pylori Eradication to Reduce the Risk of Duodenal Ulcer Recurrence

Triple Therapy:

 

Omeprazole delayed- release capsules

20 mg

Each drug twice daily for 10 days ( 2.1)*

Amoxicillin

1000 mg

Clarithromycin

500 mg

Dual Therapy :

 

 

Omeprazole delayed- release capsules

40 mg once daily for 14 days**

Clarithromycin

500 mg three times daily for 14 days ( 2.1)

Active Benign Gastric Ulcer

40 mg once daily for 4 to 8 weeks ( 2.1)

Symptomatic GERD

20 mg once daily for up to 4 weeks ( 2.1) See full prescribing information for weight based dosing in pediatric patients 2 years of age and older ( 2.2)

EE due to Acid-Mediated GERD

20 mg once daily for 4 to 8 weeks ( 2.1)***

Maintenance of Healing of EE due to Acid-Mediated GERD

20 mg once daily ( 2.1)****

See full prescribing information for weight based dosing in pediatric patients 2 years of age and older ( 2.2)

Pathological Hypersecretory Conditions

Starting dose is 60 mg once daily (varies with individual patient, see full prescribing information) as long as clinically indicated ( 2.1)





3 Dosage Forms and Strengths (3 DOSAGE FORMS AND STRENGTHS)


Omeprazole Delayed-Release Capsules USP , 10 mg are pink/pink size ‘3’ hard gelatin capsule filled with white to off-white enteric-coated granules and imprinted with ‘E’ on pink cap and ‘65’ on pink body with black ink. 



Omeprazole Delayed-Release Capsules USP
, 20 mg are reddish brown/pink size ‘1’ hard gelatin capsule filled with white to off-white enteric-coated granules and imprinted with ‘E’ on reddish brown cap and ‘67’ on pink body with black ink. 



Omeprazole Delayed-Release Capsules USP
, 40 mg are reddish brown/reddish brown size ‘0’ hard gelatin capsule filled with white to off-white enteric-coated granules and imprinted with ‘E’ on reddish brown cap and ‘69’ on reddish brown body with black ink.

6.3 Postmarketing Experience

The following adverse reactions have been identified during post-approval use of omeprazole. Because these reactions are voluntarily reported from a population of uncertain size, it is not always possible to reliably estimate their actual frequency or establish a causal relationship to drug exposure.



Body As a Whole:
Hypersensitivity reactions including anaphylaxis, anaphylactic shock, angioedema, bronchospasm, interstitial nephritis, urticaria, (see also Skin below); fever; pain; fatigue; malaise; systemic lupus erythematosus



Cardiovascular:
Chest pain or angina, tachycardia, bradycardia, palpitations, elevated blood pressure, peripheral edema



Endocrine:
Gynecomastia



Gastrointestinal:
Pancreatitis (some fatal), anorexia, irritable colon, fecal discoloration, esophageal candidiasis, mucosal atrophy of the tongue, stomatitis, abdominal swelling, dry mouth, microscopic colitis, fundic gland polyps.



Gastroduodenal carcinoids have been reported in patients with ZE syndrome on long-term treatment with omeprazole. This finding is believed to be a manifestation of the underlying condition, which is known to be associated with such tumors.



Hepatic:
Liver disease including hepatic failure (some fatal), liver necrosis (some fatal), hepatic encephalopathy, hepatocellular disease, cholestatic disease, mixed hepatitis, jaundice, and elevations of liver function tests [ALT, AST, GGT, alkaline phosphatase, and bilirubin]



Infections and Infestations: Clostridium difficile-associated diarrhea



Metabolism and Nutritional Disorders:
Hypoglycemia, hypomagnesemia, with or without hypocalcemia and/or hypokalemia, hyponatremia, weight gain



Musculoskeletal:
Muscle weakness, myalgia, muscle cramps, joint pain, leg pain, bone fracture



Nervous System/Psychiatric:
Psychiatric and sleep disturbances including depression, agitation, aggression, hallucinations, confusion, insomnia, nervousness, apathy, somnolence, anxiety, and dream abnormalities; tremors, paresthesia; vertigo



Respiratory:
Epistaxis, pharyngeal pain



Skin:
Severe generalized skin reactions including toxic epidermal necrolysis (some fatal), Stevens-Johnson syndrome, cutaneous lupus erythematosus and erythema multiforme; photosensitivity; urticaria; rash; skin inflammation; pruritus; petechiae; purpura; alopecia; dry skin; hyperhidrosis



Special Senses:
Tinnitus, taste perversion



Ocular:
Optic atrophy, anterior ischemic optic neuropathy, optic neuritis, dry eye syndrome, ocular irritation, blurred vision, double vision



Urogenital:
Interstitial nephritis, hematuria, proteinuria, elevated serum creatinine, microscopic pyuria, urinary tract infection, glycosuria, urinary frequency, testicular pain



Hematologic:
Agranulocytosis (some fatal), hemolytic anemia, pancytopenia, neutropenia, anemia, thrombocytopenia, leukopenia, leukocytosis

2.3 Administration Instructions
  • Take omeprazole delayed-release capsules before meals.
  • Antacids may be used concomitantly with omeprazole delayed-release capsules.
  • Missed doses: If a dose is missed, administer as soon as possible. However, if the next scheduled dose is due, do not take the missed dose, and take the next dose on time. Do not take two doses at one time to make up for a missed dose.


Omeprazole delayed-release capsules

  • Swallow omeprazole delayed-release capsules whole; do not chew.
  • For patients unable to swallow an intact capsule, omeprazole delayed-release capsules can be opened and administered as follows:
  • Place one tablespoon of applesauce into a clean container (e.g., empty bowl). The applesauce used should not be hot and should be soft enough to be swallowed without chewing.
  • Open the capsule.
  • Carefully empty all of the pellets inside the capsule on the applesauce.
  • Mix the pellets with the applesauce.
  • Swallow applesauce and pellets immediately with a glass of cool water to ensure complete swallowing of the pellets. Do not chew or crush the pellets. Do not save the applesauce and pellets for future use.
14.3 Active Benign Gastric Ulcer

In a U.S. multicenter, double-blind, study of omeprazole 40 mg once daily, 20 mg once daily, and placebo in 520 patients with endoscopically diagnosed gastric ulcer, the following results were obtained.

Treatment of Gastric Ulcer % of Patients Healed (All Patients Treated)
1. (p < 0.01) omeprazole 40 mg or 20 mg versus placebo.

2. (p < 0.05) omeprazole 40 mg versus 20 mg.
Omeprazole

20 mg Once Daily

(n = 202)

Omeprazole

40 mg Once Daily

(n = 214)

Placebo

(n = 104)

Week 4

47.5 1

55.6 1

30.8

Week 8

74.8 1

82.7 1,2

48.1



For the stratified groups of patients with ulcer size less than or equal to 1 cm, no difference in healing rates between 40 mg and 20 mg was detected at either 4 or 8 weeks. For patients with ulcer size greater than 1 cm, 40 mg was significantly more effective than 20 mg at 8 weeks.



In a foreign, multinational, double-blind study of 602 patients with endoscopically diagnosed gastric ulcer, omeprazole 40 mg once daily, 20 mg once daily, and ranitidine 150 mg twice a day were evaluated. 

Treatment of Gastric Ulcer % of Patients Healed (All Patients Treated)
1. (p < 0.01) omeprazole 40 mg versus ranitidine.

2. (p < 0.01) omeprazole 40 mg versus 20 mg.
Omeprazole

20 mg Once Daily

(n = 200)

Omeprazole

40 mg Once Daily

(n = 187)

Ranitidine

150 mg Twice Daily (n = 199)

Week 4

63.5

78.1 1,2

56.3

Week 8

81.5

91.4 1,2

78.4

5.2 Tubulointerstitial Nephritis

Tubulointerstitial nephritis (TIN) has been observed in patients taking PPIs and may occur at any point during PPI therapy. Presentation ranges from symptomatic acute hypersensitivity reactions to an asymptomatic gradual decrease in glomerular filtration rate. In reported case series, TIN was diagnosed on biopsy and in the absence of extra-renal manifestations or systemic inflammatory symptoms up to two years after the start of PPI therapy.



Discontinue omeprazole delayed-release capsules and evaluate patients with an unexplained decrease in glomerular filtration rate for TIN. Avoid PPIs in patients with a prior history of PPI-induced TIN.

5.6 Interaction With Clopidogrel (5.6 Interaction with Clopidogrel)

Avoid concomitant use of omeprazole with clopidogrel. Clopidogrel is a prodrug. Inhibition of platelet aggregation by clopidogrel is entirely due to an active metabolite. The metabolism of clopidogrel to its active metabolite can be impaired by use with concomitant medications, such as omeprazole, that inhibit CYP2C19 activity. Concomitant use of clopidogrel with 80 mg omeprazole reduces the pharmacological activity of clopidogrel, even when administered 12 hours apart. When using omeprazole, consider alternative anti-platelet therapy [see  Drug Interactions (7) and Clinical Pharmacology (12.3)] .

14.5 Ee Due to Acid Mediated Gerd (14.5 EE due to Acid-Mediated GERD)

In a U.S. multicenter double-blind placebo controlled study of 20 mg or 40 mg of omeprazole delayed-release capsules in patients with symptoms of GERD and endoscopically diagnosed EE of grade 2 or above, the percentage healing rates (per protocol) were as follows:



1. (p < 0.01) omeprazole versus placebo.
20 mg

Omeprazole

(n = 83)

40 mg

Omeprazole

(n = 87)

Placebo

(n = 43)

Week 4

39 1

45 1

7

Week 8

74 1

75 1

14

In this study, the 40 mg dose was not superior to the 20 mg dose of omeprazole in the percentage healing rate. Other controlled clinical trials have also shown that omeprazole is effective in severe GERD. In comparisons with histamine H 2-receptor antagonists in patients with EE, grade 2 or above, omeprazole in a dose of 20 mg was significantly more effective than the active controls. Complete daytime and nighttime heartburn relief occurred significantly faster (p < 0.01) in patients treated with omeprazole than in those taking placebo or histamine H 2-receptor antagonists.



In this and five other controlled GERD studies, significantly more patients taking 20 mg omeprazole (84%) reported complete relief of GERD symptoms than patients receiving placebo (12%).

17 Patient Counseling Information (17 PATIENT COUNSELING INFORMATION)

Advise the patient to read the FDA-approved patient labeling ( Medication Guide and Instructions for Use).



Adverse Reactions



Advise patients to report to their healthcare provider if they experience any signs or symptoms consistent with:



Drug Interactions



Advise patients to report to their healthcare provider if they start treatment with clopidogrel, St. John’s Wort or rifampin; or, if they take high-dose methotrexate [see Warnings and Precautions (5.6, 5.9, 5.11)] .



Administration

  • Take omeprazole delayed-release capsules before meals.
  • Antacids may be used concomitantly with omeprazole delayed-release capsules.
  • Missed doses: If a dose is missed, administer as soon as possible. However, if the next scheduled dose is due, do not take the missed dose, and take the next dose on time. Do not take two doses at one time to make up for a missed dose. 

Omeprazole delayed-release capsules

  • Swallow omeprazole delayed-release capsules whole; do not chew.
  • For patients unable to swallow an intact capsule, omeprazole delayed-release capsules can be opened and administered in applesauce, as described in the Medication Guide.

Dispense with Medication Guide available at: http://www.risingpharma.com/med-guides.html

5.1 Presence of Gastric Malignancy

In adults, symptomatic response to therapy with omeprazole does not preclude the presence of gastric malignancy. Consider additional follow-up and diagnostic testing in adult patients who have a suboptimal response or an early symptomatic relapse after completing treatment with a PPI. In older patients, also consider an endoscopy.

5.11 Interaction With Methotrexate (5.11 Interaction with Methotrexate)

Literature suggests that concomitant use of PPIs with methotrexate (primarily at high dose) may elevate and prolong serum levels of methotrexate and/or its metabolite, possibly leading to methotrexate toxicities. In high-dose methotrexate administration a temporary withdrawal of the PPI may be considered in some patients [see Drug Interactions (7)].

16 How Supplied/storage and Handling (16 HOW SUPPLIED/STORAGE AND HANDLING)

Omeprazole Delayed-Release Capsules USP, 20 mg are reddish brown/pink size 1 hard gelatin capsule filled with white to off-white enteric-coated granules and imprinted with E on reddish brown cap and ‘67’ on pink body with black ink.

NDC 68071-2262-3 BOTTLES OF 30





Storage







Store omeprazole delayed-release capsules in a tight container protected from light and moisture.







Store at 20° to 25°C (68° to 77°F) [see USP Controlled Room Temperature].

Package Label Principal Display Panel (PACKAGE LABEL-PRINCIPAL DISPLAY PANEL)

1.1 Treatment of Active Duodenal Ulcer

Omeprazole delayed-release capsules are indicated for short-term treatment of active duodenal ulcer in adults. Most patients heal within four weeks. Some patients may require an additional four weeks of therapy.

1.7 Pathological Hypersecretory Conditions

Omeprazole delayed-release capsules are indicated for the long-term treatment of pathological hypersecretory conditions (e.g., Zollinger-Ellison syndrome, multiple endocrine adenomas and systemic mastocytosis) in adults.

14.7 Pathological Hypersecretory Conditions

In open studies of 136 patients with pathological hypersecretory conditions, such as Zollinger-Ellison (ZE) syndrome with or without multiple endocrine adenomas, omeprazole delayed-release capsules significantly inhibited gastric acid secretion and controlled associated symptoms of diarrhea, anorexia, and pain. Doses ranging from 20 mg every other day to 360 mg per day maintained basal acid secretion below 10 mEq/hr in patients without prior gastric surgery, and below 5 mEq/hr in patients with prior gastric surgery.

Initial doses were titrated to the individual patient need, and adjustments were necessary with time in some patients [see Dosage and Administration (2)] . Omeprazole was well tolerated at these high dose levels for prolonged periods (> 5 years in some patients). In most ZE patients, serum gastrin levels were not modified by omeprazole. However, in some patients serum gastrin increased to levels greater than those present prior to initiation of omeprazole therapy. At least 11 patients with ZE syndrome on long-term treatment with omeprazole developed gastric carcinoids. These findings are believed to be a manifestation of the underlying condition, which is known to be associated with such tumors, rather than the result of the administration of omeprazole [see Adverse Reactions (6)] .

1.3 Treatment of Active Benign Gastric Ulcer

Omeprazole delayed-release capsules are indicated for short-term treatment (4 to 8 weeks) of active benign gastric ulcer in adults.

5.7 Cyanocobalamin (vitamin B 12) Deficiency (5.7 Cyanocobalamin (Vitamin B-12) Deficiency)

Daily treatment with any acid-suppressing medications over a long period of time (e.g., longer than 3 years) may lead to malabsorption of cyanocobalamin (vitamin B-12) caused by hypo- or achlorhydria. Rare reports of cyanocobalamin deficiency occurring with acid-suppressing therapy have been reported in the literature. This diagnosis should be considered if clinical symptoms consistent with cyanocobalamin deficiency are observed in patients treated with omeprazole.

5.5 Cutaneous and Systemic Lupus Erythematosus

Cutaneous lupus erythematosus (CLE) and systemic lupus erythematosus (SLE) have been reported in patients taking PPIs, including omeprazole. These events have occurred as both new onset and an exacerbation of existing autoimmune disease. The majority of PPI-induced lupus erythematosus cases were CLE.



The most common form of CLE reported in patients treated with PPIs was subacute CLE (SCLE) and occurred within weeks to years after continuous drug therapy in patients ranging from infants to the elderly. Generally, histological findings were observed without organ involvement.



Systemic lupus erythematosus (SLE) is less commonly reported than CLE in patients receiving PPIs. PPI associated SLE is usually milder than non-drug induced SLE. Onset of SLE typically occurred within days to years after initiating treatment primarily in patients ranging from young adults to the elderly. The majority of patients presented with rash; however, arthralgia and cytopenia were also reported.



Avoid administration of PPIs for longer than medically indicated. If signs or symptoms consistent with CLE or SLE are noted in patients receiving omeprazole, discontinue the drug and refer the patient to the appropriate specialist for evaluation. Most patients improve with discontinuation of the PPI alone in 4 to 12 weeks. Serological testing (e.g., ANA) may be positive and elevated serological test results may take longer to resolve than clinical manifestations.

6.1 Clinical Trials Experience With Omeprazole (6.1 Clinical Trials Experience with Omeprazole)

Monotherapy



Because clinical trials are conducted under widely varying conditions, adverse reaction rates observed in the clinical trials of a drug cannot be directly compared to rates in the clinical trials of another drug and may not reflect the rates observed in practice.



The safety data described below reflects exposure to omeprazole delayed-release capsules in 3096 patients from worldwide clinical trials (465 patients from U.S. studies and 2,631 patients from international studies). Indications clinically studied in U.S. trials included duodenal ulcer, resistant ulcer, and Zollinger-Ellison syndrome. The international clinical trials were double blind and open-label in design. The most common adverse reactions reported (i.e., with an incidence rate ≥ 2%) from omeprazole-treated patients enrolled in these studies included headache (7%), abdominal pain (5%), nausea (4%), diarrhea (4%), vomiting (3%), and flatulence (3%).



Additional adverse reactions that were reported with an incidence ≥1% included acid regurgitation (2%), upper respiratory infection (2%), constipation (2%), dizziness (2%), rash (2%), asthenia (1%), back pain (1%), and cough (1%).



The clinical trial safety profile in patients greater than 65 years of age was similar to that in patients 65 years of age or less.



The clinical trial safety profile in pediatric patients who received omeprazole delayed-release capsules was similar to that in adult patients. Unique to the pediatric population, however, adverse reactions of the respiratory system were frequently reported in the 2 to 16 year age group (19%). In addition, accidental injuries were frequently reported in the 2 to 16 year age group (4%) [see Use in Specific Populations (8.4)]

5.9 Interaction With St. John's Wort Or Rifampin (5.9 Interaction with St. John's Wort or Rifampin)

Drugs which induce CYP2C19 or CYP3A4 (such as St. John’s Wort or rifampin) can substantially decrease omeprazole concentrations [see Drug Interactions (7)] . Avoid concomitant use of omeprazole with St. John’s Wort or rifampin.

2.1 Recommended Adult Dosage Regimen By Indication (2.1 Recommended Adult Dosage Regimen by Indication)

Table 1 shows the recommended dosage of omeprazole delayed-release capsules in adult patients by indication. 

Table 1: Recommended Dosage Regimen of Omeprazole Delayed-Release Capsules in Adults by Indication
1. Most patients heal within 4 weeks; some patients may require an additional 4 weeks of therapy to achieve healing

2. The efficacy of omeprazole delayed-release capsules used for longer than 8 weeks in patients with EE has not been established. If a patient does not respond to 8 weeks of treatment, an additional 4 weeks of treatment may be given. If there is recurrence of EE or GERD symptoms (e.g., heartburn), additional 4 to 8 week courses of omeprazole delayed-release capsules may be considered.

3. Dosage reduction to 10 mg once daily is recommended for patients with hepatic impairment (Child-Pugh Class A, B or C) and Asian patients when used for the maintenance of healing of EE [see Use in Specific Populations (8.68.7) and Clinical Pharmacology (12.3, 12.5)].

Indication

Dosage of Omeprazole Delayed-Release Capsules

Treatment Duration

Treatment of Active Duodenal

Ulcer

20 mg once daily

4 weeks 1

Helicobacter pylori Eradication to Reduce the Risk of Duodenal Ulcer Recurrence

Triple Therapy

Omeprazole delayed-release capsules 20 mg

Amoxicillin 1000 mg

Clarithromycin 500 mg

 

Take all three drugs twice daily

10 days

 

In patients with an ulcer present at the time of initiation of therapy, continue omeprazole delayed-release capsules 20 mg once daily for an additional 18 days for ulcer healing and symptom relief.

 

Dual Therapy

Omeprazole delayed-release capsules 40 mg once daily Clarithromycin 500 mg three times daily

14 days

 

In patients with an ulcer present at the time of initiation of therapy, an additional 14 days of omeprazole delayed-release capsules 20 mg once daily is recommended for ulcer healing and symptom relief.

Active Benign Gastric Ulcer

40 mg once daily

4 to 8 weeks

Treatment of Symptomatic GERD

20 mg once daily

Up to 4 weeks

Treatment of EE due to Acid-Mediated GERD

20 mg once daily

4 to 8 weeks 2

Maintenance of Healing of EE due to Acid-Mediated GERD

20 mg once daily 3

Controlled studies do not extend beyond 12 months.

Pathological Hypersecretory Conditions

Starting dose is 60 mg once daily;

adjust to patient needs

 

Daily dosages of greater than 80 mg should be administered in divided doses.

 

Dosages up to 120 mg three times

daily have been administered.

As long as clinically indicated.

 

Some patients with Zollinger- Ellison syndrome have been treated continuously for more than 5 years.

2.2 Recommended Pediatric Dosage Regimen By Indication (2.2 Recommended Pediatric Dosage Regimen by Indication)

Table 2 shows the recommended dosage of omeprazole delayed-release capsules in pediatric patients by indication. 

Table 2: Recommended Dosage Regimen of Omeprazole Delayed-Release Capsules in Pediatric Patients by Indication
1. The efficacy of omeprazole delayed-release capsules used for longer than 8 weeks in patients with EE has not been established. If a patient does not respond to 8 weeks of treatment, an additional 4 weeks of treatment may be given. If there is recurrence of EE or GERD symptoms (e.g., heartburn), additional 4 to 8 week courses of omeprazole delayed-release capsules may be considered.

Indication

Omeprazole Delayed-Release Capsules Dosage Regimen and Duration

Patient Age

Weight-Based Dose (mg)

Regimen and Duration

Treatment of Symptomatic GERD

2 to 16 years

10 to less than 20 kg: 10 mg

Once daily for up to 4 weeks

20 kg and greater: 20 mg

Treatment of EE due to Acid- Mediated GERD

2 to 16 years

10 to less than 20 kg: 10 mg

Once daily for 4 to 8 weeks 1

20 kg and greater: 20 mg

Maintenance of Healing of EE due to Acid-Mediated GERD

2 to 16 years

10 to less than 20 kg: 10 mg

Once daily. Controlled studies do not extend beyond 12 months

20 kg and greater: 20 mg

13.1 Carcinogenesis, Mutagenesis, Impairment of Fertility

In two 24-month carcinogenicity studies in rats, omeprazole at daily doses of 1.7, 3.4, 13.8, 44 and 140.8 mg/kg/day (about 0.4 to 34 times a human dose of 40 mg/day, as expressed on a body surface area basis) produced gastric ECL cell carcinoids in a dose-related manner in both male and female rats; the incidence of this effect was markedly higher in female rats, which had higher blood levels of omeprazole. Gastric carcinoids seldom occur in the untreated rat. In addition, ECL cell hyperplasia was present in all treated groups of both sexes. In one of these studies, female rats were treated with 13.8 mg omeprazole/kg/day (about 3.4 times a human dose of 40 mg/day, based on body surface area) for one year, and then followed for an additional year without the drug. No carcinoids were seen in these rats. An increased incidence of treatment-related ECL cell hyperplasia was observed at the end of one year (94% treated vs. 10% controls). By the second year the difference between treated and control rats was much smaller (46% vs. 26%) but still showed more hyperplasia in the treated group. Gastric adenocarcinoma was seen in one rat (2%). No similar tumor was seen in male or female rats treated for two years. For this strain of rat no similar tumor has been noted historically, but a finding involving only one tumor is difficult to interpret. In a 52-week toxicity study in Sprague-Dawley rats, brain astrocytomas were found in a small number of males that received omeprazole at dose levels of 0.4, 2, and 16 mg/kg/day (about 0.1 to 3.9 times the human dose of 40 mg/day, based on a body surface area basis). No astrocytomas were observed in female rats in this study. In a 2-year carcinogenicity study in Sprague-Dawley rats, no astrocytomas were found in males or females at the high dose of 140.8 mg/kg/day (about 34 times the human dose of 40 mg/day on a body surface area basis). A 78-week mouse carcinogenicity study of omeprazole did not show increased tumor occurrence, but the study was not conclusive. A 26-week p53 (+/-) transgenic mouse carcinogenicity study was not positive.



Omeprazole was positive for clastogenic effects in an in vitro human lymphocyte chromosomal aberration assay, in one of two in vivo mouse micronucleus tests, and in an in vivo bone marrow cell chromosomal aberration assay. Omeprazole was negative in the in vitro Ames test, an in vitro mouse lymphoma cell forward mutation assay, and an in vivo rat liver DNA damage assay.



Omeprazole at oral doses up to 138 mg/kg/day in rats (about 34 times an oral human dose of 40 mg on a body surface area basis) was found to have no effect on fertility and reproductive performance.



In 24-month carcinogenicity studies in rats, a dose-related significant increase in gastric carcinoid tumors and ECL cell hyperplasia was observed in both male and female animals [see Warnings and Precautions (5)] . Carcinoid tumors have also been observed in rats subjected to fundectomy or long-term treatment with other proton pump inhibitors or high doses of H 2-receptor antagonists.

1.6 Maintenance of Healing of Ee Due to Acid Mediated Gerd (1.6 Maintenance of Healing of EE Due to Acid-Mediated GERD)

Omeprazole delayed-release capsules are indicated for the maintenance healing of EE due to acid-mediated GERD in patients 2 years of age and older.



Controlled studies do not extend beyond 12 months.

14.6 Maintenance of Healing of Ee Due to Acid Mediated Gerd (14.6 Maintenance of Healing of EE due to Acid-Mediated GERD)

In a U.S. double-blind, randomized, multicenter, placebo controlled study, two dose regimens of omeprazole were studied in patients with endoscopically confirmed healed esophagitis. Results to determine maintenance of healing of EE are shown below.



Life Table Analysis
1. (p < 0.01) omeprazole 20 mg once daily versus omeprazole 20 mg 3 consecutive days per week or placebo.
Omeprazole

20 mg Once Daily

(n = 138)

Omeprazole

20 mg 3 Days per Week

(n = 137)

Placebo

(n = 131)

Percent in endoscopic remission at 6 months

70 1

34

11

In an international multicenter double-blind study, omeprazole 20 mg daily and 10 mg daily were compared with ranitidine 150 mg twice daily in patients with endoscopically confirmed healed esophagitis. The table below provides the results of this study for maintenance of healing of EE.



Life Table Analysis
1. (p = 0.01) omeprazole 20 mg once daily versus omeprazole 10 mg once daily or Ranitidine.

2. (p = 0.03) omeprazole 10 mg once daily versus Ranitidine.
Omeprazole

20 mg Once Daily

(n = 131)

Omeprazole

10 mg Once Daily

(n = 133)

Ranitidine

150 mg Twice Daily

(n = 128)

Percent in endoscopic remission at 12 months

77 1

58 2

46

In patients who initially had grades 3 or 4 erosive esophagitis, for maintenance after healing 20 mg daily of omeprazole was effective, while 10 mg did not demonstrate effectiveness.

1.4 Treatment of Symptomatic Gastroesophageal Reflux Disease (gerd) (1.4 Treatment of Symptomatic Gastroesophageal Reflux Disease (GERD))

Omeprazole delayed-release capsules are indicated for the treatment of heartburn and other symptoms associated with GERD for up to 4 weeks in patients 2 years of age and older.

1.5 Treatment of Erosive Esophagitis (ee) Due to Acid Mediated Gerd (1.5 Treatment of Erosive Esophagitis (EE) Due to Acid-Mediated GERD)

Pediatric Patients 2 Years of Age to Adults



Omeprazole delayed-release capsules are indicated for the short-term treatment (4 to 8 weeks) of EE due to acid-mediated GERD that has been diagnosed by endoscopy in patients 2 years of age and older.



The efficacy of omeprazole delayed-release capsules used for longer than 8 weeks in patients with EE has not been established. If a patient does not respond to 8 weeks of treatment, an additional 4 weeks of treatment may be given. If there is recurrence of EE or GERD symptoms (e.g., heartburn), additional 4 to 8 week courses of omeprazole delayed-release capsules may be considered.

5.10 Interactions With Diagnostic Investigations for Neuroendocrine Tumors (5.10 Interactions with Diagnostic Investigations for Neuroendocrine Tumors)

Serum chromogranin A (CgA) levels increase secondary to drug-induced decreases in gastric acidity. The increased CgA level may cause false positive results in diagnostic investigations for neuroendocrine tumors. Healthcare providers should temporarily stop omeprazole treatment at least 14 days before assessing CgA levels and consider repeating the test if initial CgA levels are high. If serial tests are performed (e.g., for monitoring), the same commercial laboratory should be used for testing, as reference ranges between tests may vary [see Drug Interactions (7)].





6.2 Clinical Trials Experience With Omeprazole in Combination Therapy for H. Pylori (6.2 Clinical Trials Experience with Omeprazole in Combination Therapy for H. pylori)

In clinical trials using either dual therapy with omeprazole and clarithromycin, or triple therapy with omeprazole, clarithromycin, and amoxicillin, no adverse reactions unique to these drug combinations were observed. Adverse reactions observed were limited to those previously reported with omeprazole, clarithromycin, or amoxicillin alone.

Dual Therapy (omeprazole/clarithromycin)



Adverse reactions observed in controlled clinical trials using combination therapy with omeprazole and clarithromycin (n = 346) that differed from those previously described for omeprazole alone were taste perversion (15%), tongue discoloration (2%), rhinitis (2%), pharyngitis (1%) and flu-syndrome (1%). (For more information on clarithromycin, refer to the clarithromycin prescribing information, Adverse Reactions section.)



Triple Therapy (omeprazole/clarithromycin/amoxicillin)



The most frequent adverse reactions observed in clinical trials using combination therapy with omeprazole, clarithromycin, and amoxicillin (n = 274) were diarrhea (14%), taste perversion (10%), and headache (7%). None of these occurred at a higher frequency than that reported by patients taking antimicrobial agents alone. (For more information on clarithromycin or amoxicillin, refer to the respective prescribing information, Adverse Reactions sections.)

14.8 Pediatric Studies for the Treatment of Symptomatic Gerd, Treatment of Ee Due to Acid Mediated Gerd, and Maintenance of Healing of Ee Due to Acid Mediated Gerd (14.8 Pediatric Studies for the Treatment of Symptomatic GERD, Treatment of EE due to Acid-Mediated GERD, and Maintenance of Healing of EE due to Acid-Mediated GERD)

Treatment of Symptomatic GERD

The effectiveness of omeprazole for the treatment of symptomatic GERD in pediatric patients 2 to 16 years of age is based in part on data obtained from 125 pediatric patients in an uncontrolled clinical studies.



The study enrolled 113 pediatric patients 2 to 16 years of age with a history of symptoms suggestive of symptomatic GERD. Patients were administered a single dose of omeprazole (10 mg or 20 mg, based on body weight) for 4 weeks either as an intact capsule or as an open capsule in applesauce. Successful response was defined as no moderate or severe episodes of either pain-related symptoms or vomiting/regurgitation during the last 4 days of treatment. Results showed success rates of 60% (9/15; 10 mg omeprazole) and 59% (58/98; 20 mg omeprazole), respectively.



Treatment of EE due to Acid-Mediated GERD

In an uncontrolled, open-label dose-titration study, for the treatment of EE in pediatric patients 1 to 16 years of age required doses that ranged from 0.7 to 3.5 mg/kg/day (80 mg/day). Doses were initiated at 0.7 mg/kg/day. Doses were increased in increments of 0.7 mg/kg/day (if intraesophageal pH showed a pH of < 4 for less than 6% of a 24-hour study). After titration, patients remained on treatment for 3 months. Forty-four percent of the patients were healed on a dose of 0.7 mg/kg body weight; most of the remaining patients were healed with 1.4 mg/kg after an additional 3 months’ treatment. EE was healed in 51 of 57 (90%) children who completed the first course of treatment in the healing phase of the study. In addition, after 3 months of treatment, 33% of the children had no overall symptoms, 57% had mild reflux symptoms, and 40% had less frequent regurgitation/vomiting.



Maintenance of Healing of EE due to Acid-Mediated GERD

In an uncontrolled, open-label study of maintenance of healing of EE in 46 pediatric patients 1 to 16 years of age, 54% of patients required half the healing dose. The remaining patients increased the healing dose (0.7 to a maximum of 2.8 mg/kg/day) either for the entire maintenance period, or returned to half the dose before completion. Of the 46 patients who entered the maintenance phase, 19 (41%) had no relapse during follow-up (range 4 to 25 months). In addition, maintenance therapy in EE patients resulted in 63% of patients having no overall symptoms.


Advanced Ingredient Data


Raw Label Data

All Sections (JSON)