Oxacillin For Injection, Usp

Oxacillin For Injection, Usp
SPL v3
SPL
SPL Set ID af2dccac-98c8-488f-a133-6374b3ca8dba
Routes
INTRAMUSCULAR INTRAVENOUS
Published
Effective Date 2020-07-29
Document Type 34391-3 HUMAN PRESCRIPTION DRUG LABEL

Drug Facts

Composition & Product

Active Ingredients
Oxacillin (1 g)
Inactive Ingredients
Sodium Phosphate, Dibasic

Identifiers & Packaging

Marketing Status
ANDA Active Since 2020-11-01

Description

Rx only For Intramuscular or Intravenous Injection To reduce the development of drug-resistant bacteria and maintain the effectiveness of oxacillin for injection and other antibacterial drugs, oxacillin for injection should be used only to treat or prevent infections that are proven or strongly suspected to be caused by bacteria.

Indications and Usage

Oxacillin is indicated in the treatment of infections caused by penicillinase producing staphylococci which have demonstrated susceptibility to the drug.  Cultures and susceptibility tests should be performed initially to determine the causative organism and its susceptibility to the drug (see CLINICAL PHARMACOLOGY-Susceptibility Testing ). Oxacillin may be used to initiate therapy in suspected cases of resistant staphylococcal infections prior to the availability of susceptibility test results.  Oxacillin should not be used in infections caused by organisms susceptible to penicillin G. If the susceptibility tests indicate that the infection is due to an organism other than a resistant Staphylococcus , therapy should not be continued with oxacillin. To reduce the development of drug-resistant bacteria and maintain the effectiveness of Oxacillin for Injection, USP and other antibacterial drugs, Oxacillin for Injection, USP should be used only to treat or prevent infections that are proven or strongly suspected to be caused by susceptible bacteria.  When culture and susceptibility information are available, they should be considered in selecting or modifying antibacterial therapy.  In the absence of such data, local epidemiology and susceptibility patterns may contribute to the empiric selection of therapy.

Dosage and Administration

Bacteriologic studies to determine the causative organisms and their susceptibility to oxacillin should always be performed.  Duration of therapy varies with the type of severity of infection as well as the overall condition of the patient; therefore, it should be determined by the clinical and bacteriological response of the patient.  In severe staphylococcal infections, therapy with oxacillin should be continued for at least 14 days.  Therapy should be continued for at least 48 hours after the patient has become afebrile, asymptomatic, and cultures are negative.  Treatment of endocarditis and osteomyelitis may require a longer duration of therapy. With intravenous administration, particularly in elderly patients, care should be taken because of the possibility of thrombophlebitis.                                                                                     RECOMMENDED DOSAGES FOR OXACILLIN FOR INJECTION, USP     Drug     Adults     Infants and Children < 40 kg (88 lbs)     Other Recommendations   Oxacillin 250 to 500 mg IM or IV every 4 to 6 hours (mild to moderate infections) 50 mg/kg/day IM or IV in equally divided doses every 6 hours (mild to moderate infections)   1 gram IM or IV every 4 to 6 hours (severe infections) 100 mg/kg/day IM or IV in equally divided doses every 4 to 6 hours (severe infections) Premature and Neonates 25 mg/kg/day IM or IV

Contraindications

A history of a hypersensitivity (anaphylactic) reaction to any penicillin is a contraindication.

Drug Interactions

Tetracycline, a bacteriostatic antibiotic, may antagonize the bactericidal effect of penicillin and concurrent use of these drugs should be avoided. Oxacillin blood levels may be increased and prolonged by concurrent administration of probenecid which blocks the renal tubular secretion of penicillins. Probenecid decreases the apparent volume of distribution and slows the rate of excretion by competitively inhibiting renal tubular secretion of penicillins. Oxacillin-probenecid therapy should be limited to those infections where very high serum levels of oxacillin are necessary.

How Supplied

Each vial of Oxacillin for Injection, USP contains oxacillin sodium monohydrate equivalent to 1 gram or 2 grams of oxacillin. Product Code Unit of Sale   Strength   Each 801220   NDC 63323-812-20 Unit of 10 2 grams per vial   NDC 63323-812-01 20 mL Single Dose Vial 801320 NDC 63323-813-20 Unit of 10 1 gram per vial NDC 63323-813-01 20 mL Single Dose Vial Store dry powder at 20° to 25°C (68° to 77°F) [see USP Controlled Room Temperature]. The container closure is not made with natural rubber latex.


Medication Information

Indications and Usage

Oxacillin is indicated in the treatment of infections caused by penicillinase producing staphylococci which have demonstrated susceptibility to the drug.  Cultures and susceptibility tests should be performed initially to determine the causative organism and its susceptibility to the drug (see CLINICAL PHARMACOLOGY-Susceptibility Testing ). Oxacillin may be used to initiate therapy in suspected cases of resistant staphylococcal infections prior to the availability of susceptibility test results.  Oxacillin should not be used in infections caused by organisms susceptible to penicillin G. If the susceptibility tests indicate that the infection is due to an organism other than a resistant Staphylococcus , therapy should not be continued with oxacillin. To reduce the development of drug-resistant bacteria and maintain the effectiveness of Oxacillin for Injection, USP and other antibacterial drugs, Oxacillin for Injection, USP should be used only to treat or prevent infections that are proven or strongly suspected to be caused by susceptible bacteria.  When culture and susceptibility information are available, they should be considered in selecting or modifying antibacterial therapy.  In the absence of such data, local epidemiology and susceptibility patterns may contribute to the empiric selection of therapy.

Dosage and Administration


Bacteriologic studies to determine the causative organisms and their susceptibility to oxacillin should always be performed.  Duration of therapy varies with the type of severity of infection as well as the overall condition of the patient; therefore, it should be determined by the clinical and bacteriological response of the patient.  In severe staphylococcal infections, therapy with oxacillin should be continued for at least 14 days.  Therapy should be continued for at least 48 hours after the patient has become afebrile, asymptomatic, and cultures are negative.  Treatment of endocarditis and osteomyelitis may require a longer duration of therapy.

With intravenous administration, particularly in elderly patients, care should be taken because of the possibility of thrombophlebitis.



                                                                                    RECOMMENDED DOSAGES FOR OXACILLIN FOR INJECTION, USP 



 

Drug

 



 

Adults

 



 

Infants and Children < 40 kg (88 lbs)

 



 

Other Recommendations

 



Oxacillin

250 to 500 mg IM or IV every 4 to 6 hours (mild to moderate infections)

50 mg/kg/day IM or IV in equally divided doses every 6 hours (mild to moderate infections)

 

1 gram IM or IV every 4 to 6 hours (severe infections)

100 mg/kg/day IM or IV in equally divided doses every 4 to 6 hours (severe infections)

Premature and Neonates 25 mg/kg/day IM or IV









Contraindications

A history of a hypersensitivity (anaphylactic) reaction to any penicillin is a contraindication.

Drug Interactions

Tetracycline, a bacteriostatic antibiotic, may antagonize the bactericidal effect of penicillin and concurrent use of these drugs should be avoided.

Oxacillin blood levels may be increased and prolonged by concurrent administration of probenecid which blocks the renal tubular secretion of penicillins. Probenecid decreases the apparent volume of distribution and slows the rate of excretion by competitively inhibiting renal tubular secretion of penicillins.

Oxacillin-probenecid therapy should be limited to those infections where very high serum levels of oxacillin are necessary.



How Supplied

Each vial of Oxacillin for Injection, USP contains oxacillin sodium monohydrate equivalent to 1 gram or 2 grams of oxacillin. Product Code Unit of Sale   Strength   Each 801220   NDC 63323-812-20 Unit of 10 2 grams per vial   NDC 63323-812-01 20 mL Single Dose Vial 801320 NDC 63323-813-20 Unit of 10 1 gram per vial NDC 63323-813-01 20 mL Single Dose Vial Store dry powder at 20° to 25°C (68° to 77°F) [see USP Controlled Room Temperature]. The container closure is not made with natural rubber latex.

Description

Rx only For Intramuscular or Intravenous Injection To reduce the development of drug-resistant bacteria and maintain the effectiveness of oxacillin for injection and other antibacterial drugs, oxacillin for injection should be used only to treat or prevent infections that are proven or strongly suspected to be caused by bacteria.

Section 42229-5

Rx only

For Intramuscular or Intravenous Injection

To reduce the development of drug-resistant bacteria and maintain the effectiveness of oxacillin for injection and other antibacterial drugs, oxacillin for injection should be used only to treat or prevent infections that are proven or strongly suspected to be caused by bacteria.

Section 51945-4

PACKAGE LABEL- PRINCIPAL DISPLAY – Oxacillin 1 gram Carton Label

NDC 63323-813-20  

Oxacillin

for Injection, USP

1 gram per vial

Buffered-For Intramuscular or Intravenous use

Rx only

10 x 1 gram

Single Dose Vials





General

Oxacillin should generally not be administered to patients with a history of sensitivity to any penicillin. Penicillin should be used with caution in individuals with histories of significant allergies and/or asthma.  Whenever allergic reactions occur, penicillin should be withdrawn unless, in the opinion of the physician, the condition being treated is life-threatening and amenable only to penicillin therapy. The use of antibiotics may result in overgrowth of nonsusceptible organisms.  If new infections due to bacteria or fungi occur, the drug should be discontinued and appropriate measures taken.

Prescribing Oxacillin for Injection, USP in the absence of a proven or strongly suspected bacterial infection or a prophylactic indication is unlikely to provide benefit to the patient and increases the risk of the development of drug-resistant bacteria.



Pregnancy

Teratogenic Effects

Pregnancy Category B

Reproduction studies performed in the mouse, rat, and rabbit have revealed no evidence of impaired fertility or harm to the fetus due to the penicillinase-resistant penicillins.  Human experience with the penicillins during pregnancy has not shown any positive evidence of adverse effects on the fetus.  There are, however, no adequate or well-controlled studies in pregnant women showing conclusively that harmful effects of these drugs on the fetus can be excluded.  Because animal reproduction studies are not always predictive of human response, this drug should be used during pregnancy only if clearly needed.



Warnings:

Serious and occasionally fatal hypersensitivity (anaphylactic shock with collapse) reactions have occurred in patients receiving penicillin.  The incidence of anaphylactic shock in all penicillin-treated patients is between 0.015 and 0.04 percent.  Anaphylactic shock resulting in death has occurred in approximately 0.002 percent of the patients treated.   

When oxacillin therapy is indicated, it should be initiated only after a comprehensive patient drug and allergy history has been obtained.  If an allergic reaction occurs, oxacillin should be discontinued and appropriate therapy instituted.

Clostridium difficile associated diarrhea (CDAD) has been reported with use of nearly all antibacterial agents, including Oxacillin for Injection, USP, and may range in severity from mild diarrhea to fatal colitis.  Treatment with antibacterial agents alters the normal flora of the colon leading to overgrowth of C. difficile.

C. difficile produces toxins A and B which contribute to the development of CDAD.  Hypertoxin-producing strains of C. difficile cause increased morbidity and mortality, as these infections can be refractory to antimicrobial therapy and may require colectomy.  CDAD must be considered in all patients who present with diarrhea following antibiotic use.  Careful medical history is necessary since CDAD has been reported to occur over two months after the administration of antibacterial agents.

If CDAD is suspected or confirmed, ongoing antibiotic use not directed against C. difficile may need to be discontinued.  Appropriate fluid and electrolyte management, protein supplementation, antibiotic treatment of C. difficile, and surgical evaluation should be instituted as clinically indicated.



Overdosage

The signs and symptoms of oxacillin overdosage are those described in the ADVERSE REACTIONS  section.  If signs or symptoms occur, discontinue use of the medication, treat symptomatically, and institute appropriate supportive measures.

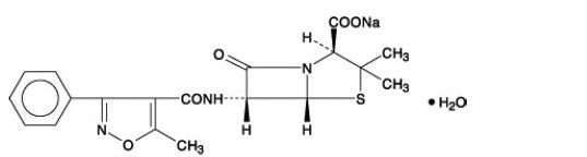
Description:

Oxacillin for Injection, USP is a semisynthetic penicillin antibiotic derived from the penicillin nucleus, 6-amino-penicillanic acid.  It is resistant to inactivation by the enzyme penicillinase (beta-lactamase). It is the sodium salt in parenteral dosage form for intramuscular or intravenous use. 

Each vial of Oxacillin for Injection, USP contains oxacillin sodium monohydrate equivalent to 1 gram or 2 grams of oxacillin. The sodium content is 64 mg (2.8 mEq) per gram oxacillin. The product is buffered with 21 mg dibasic sodium phosphate per gram oxacillin. Oxacillin for Injection, USP is white to off white powder and gives a clear solution upon reconstitution.

OXACILLIN SODIUM

 

 



The chemical name of oxacillin sodium is 4-Thia-1-azabicyclo [3.2.0]heptane-2-carboxylic acid, 3,3-dimethyl-6-[[(5-methyl-3-phenyl-4-isoxazolyl) carbonyl]-amino]-7-oxo-, monosodium salt, monohydrate, [2S(2α,5α,6β)]-. It is resistant to inactivation by the enzyme penicillinase (beta-lactamase). The molecular formula of oxacillin sodium is C19H18N3NaO5S • H2O. The molecular weight is 441.44.

Microbiology

Mode of Action

Penicillinase-resistant penicillins exert a bactericidal action against penicillin susceptible microorganisms during the state of active multiplication.  All penicillins inhibit the biosynthesis of the bacterial cell wall.

Mechanism of Resistance

Resistance to penicillins may be mediated by destruction of the beta-lactam ring by a beta-lactamase, altered affinity of penicillin for target, or decreased penetration of the antibiotic to reach the target site.

Cross Resistance

Resistance to oxacillin (or cefoxitin) implies resistance to all other beta-lactam agents, except newer agents with activity against methicillin-resistant Staphylococcus aureus.

Geriatric Use

Clinical studies of Oxacillin for Injection did not include sufficient number of subjects aged 65 and over to determine whether they respond differently from younger subjects.  Other reported clinical experience has not identified differences in responses between the elderly and younger patients.  In general, dose selection for an elderly patient should be cautious, usually starting at the low end of the dosing range, reflecting the greater frequency of decreased hepatic, renal, or cardiac function, and of concomitant disease or other drug therapy.

This drug is known to be substantially excreted by the kidney, and the risk of toxic reactions to this drug may be greater in patients with impaired renal function.  Because elderly patients are more likely to have decreased renal function, care should be taken in dose selection, and it may be useful to monitor renal function.

Oxacillin for Injection contains 64 mg (2.8 mEq) of sodium per gram Oxacillin.  At the usual recommended doses, patients would receive between 64 and 383 mg (2.8 and 17 mEq) of sodium. The geriatric population may respond with a blunted natriuresis to salt loading. This may be clinically important with regard to such diseases as congestive heart failure.



How Supplied:

Each vial of Oxacillin for Injection, USP contains oxacillin sodium monohydrate equivalent to 1 gram or 2 grams of oxacillin.

Product

Code



Unit of Sale

 

Strength

 





Each
801220  

NDC 63323-812-20

Unit of 10
2 grams per vial  

NDC 63323-812-01

20 mL Single Dose Vial
801320

NDC 63323-813-20

Unit of 10
1 gram per vial

NDC 63323-813-01

20 mL Single Dose Vial

Store dry powder at 20° to 25°C (68° to 77°F) [see USP Controlled Room Temperature].



The container closure is not made with natural rubber latex.



Pediatric Use

Because of incompletely developed renal function in pediatric patients, oxacillin may not be completely excreted, with abnormally high blood levels resulting.  Frequent blood levels are advisable in this group with dosage adjustments when necessary.  All pediatric patients treated with penicillins should be monitored closely for clinical and laboratory evidence of toxic or adverse effects.  Safety and effectiveness in pediatric patients have not been established.

Body As A Whole

The reported incidence of allergic reactions to penicillin ranges from 0.7 to 10 percent (see WARNINGS ).  Sensitization is usually the result of treatment but some individuals have had immediate reactions to penicillin when first treated.  In such cases, it is thought that the patients may have had prior exposure to the drug via trace amounts present in milk and vaccines.

Two types of allergic reactions to penicillin are noted clinically, immediate and delayed.

Immediate reactions usually occur within 20 minutes of administration and range in severity from urticaria and pruritus to angioneurotic edema, laryngospasm, bronchospasm, hypotension, vascular collapse, and death.  Such immediate anaphylactic reactions are very

rare (see WARNINGS ) and usually occur after parenteral therapy but have occurred in patients receiving oral therapy.  Another type of immediate reaction, an accelerated reaction, may occur between 20 minutes and 48 hours after administration and may include urticaria, pruritus, and fever.  Although laryngeal edema, laryngospasm, and hypotension occasionally occur, fatality is uncommon.

Delayed allergic reactions to penicillin therapy usually occur after 48 hours and sometimes as late as 2 to 4 weeks after initiation of therapy. 

Manifestations of this type of reaction include serum sickness-like symptoms (i.e., fever, malaise, urticaria, myalgia, arthralgia, abdominal pain) and various skin rashes.  Nausea, vomiting, diarrhea, stomatitis, black or hairy tongue, and other symptoms of gastrointestinal irritation may occur, especially during oral penicillin therapy.



Nursing Mothers

Penicillins are excreted in breast milk.  Caution should be exercised when penicillins are administered to a nursing woman.

Laboratory Tests

Bacteriologic studies to determine the causative organisms and their susceptibility to oxacillin should be performed (see CLINICAL PHARMACOLOGY-Microbiology ).  In the treatment of suspected staphylococcal infections, therapy should be changed to another active agent if culture tests fail to demonstrate the presence of staphylococci.

Periodic assessment of organ system function including renal, hepatic, and hematopoietic should be made during prolonged therapy with oxacillin.

Blood cultures, white blood cell, and differential cell counts should be obtained prior to initiation of therapy and at least weekly during therapy with oxacillin.

Periodic urinalysis, blood urea nitrogen, and creatinine determinations should be performed during therapy with oxacillin and dosage alterations should be considered if these values become elevated.  If any impairment of renal function is suspected or known to exist, a reduction in the total dosage should be considered and blood levels monitored to avoid possible neurotoxic reactions.

AST (SGOT) and ALT (SGPT) values should be obtained periodically during therapy to monitor for possible liver function abnormalities.



Contraindications:

A history of a hypersensitivity (anaphylactic) reaction to any penicillin is a contraindication.

Directions for Use


For Intramuscular Use

Use Sterile Water for Injection, USP.  Add 5.7 mL to the 1 gram vial and 11.5 mL to the 2 gram vial.  Shake well until a clear solution is obtained.  After reconstitution, vials will contain 250 mg of active drug per 1.5 mL of solution.  The reconstituted solution is stable for 3 days at 70°F or for one week under refrigeration (40°F).

For Direct Intravenous Use

Use Sterile Water for Injection, USP or Sodium Chloride Injection, USP.  Add 10 mL to the 1 gram vial and 20 mL to the 2 gram vial.  Withdraw the entire contents and administer slowly over a period of approximately 10 minutes.

For Administration by Intravenous Drip

Reconstitute as directed above (For Direct Intravenous Use) prior to diluting with Intravenous Solution.

 



                                  STABILITY PERIODS FOR OXACILLIN FOR INJECTION, USP



Concentration

mg/mL





 



Sterile

Water for

Injection, USP



 

0.9% Sodium Chloride Injection, USP

 





M/6

Molar 


Sodium Lactate Solution



5%

Dextrose



in Water

 



5%


Dextrose

in 0.45% Sodium

Chloride



 



10% Invert

Sugar

Injection,

USP





 

Lactated

Ringers

Solution

 

ROOM TEMPERATURE (25°C)

 

10 to 100

 



 

4 Days

 



 

4 Days

 



 

 

 

 

 

 

10 to 30

 



 

 

 

24 Hrs

 



 

 

24 Hrs

 



 

 

 

0.5 to 2

 



 

 

 

 

6 Hrs

 



 

 

6 Hrs

 



 

6 Hrs

 



 

REFRIGERATION (4°C)

 

10 to 100

 



 

7 Days

 



 

7 Days

 



 

 

 

 

 

 

10 to 30

 



 

 

 

4 Days

 



 

4 Days

 



 

4 Days

 



 

4 Days

 



 

4 Days

 



 

FROZEN (-15°C)

 

50 to 100

 



 

30 Days

 



 

 

 

 

 

 

 

250/1.5 mL

 



 

30 Days

 



 

 

 

 

 

 

 

100

 



 

 

30 Days

 



 

 

 

 

 

 

10 to 100

 



 

 

 

30 Days

 



 

30 Days

 



 

30 Days

 



 

30 Days

 



 

30 Days

 



Stability studies on oxacillin sodium at concentrations of 0.5 mg/mL and 2 mg/mL in various intravenous solutions listed below indicate the drug will lose less than 10% activity at room temperature (70°F) during a 6-hour period.



IV Solution



5% Dextrose in Normal Saline



10% Invert Sugar in Normal Saline



10% Invert Sugar Plus 0.3% Potassium Chloride in Water







Only those solutions listed above should be used for the intravenous infusion of oxacillin sodium.  The concentration of the antibiotic should fall within the range specified.  The drug concentration and the rate and volume of the infusion should be adjusted so that the total dose of oxacillin is administered before the drug loses its stability in the solution in use.



If another agent is used in conjunction with oxacillin therapy, it should not be physically mixed with oxacillin but should be administered separately.



Parenteral drug products should be inspected visually for particulate matter and discoloration prior to administration whenever solution and container permit.

Do not add supplementary medication to Oxacillin for Injection, USP.



Metabolic Reactions

Agranulocytosis, neutropenia, and bone marrow depression have been associated with the use of oxacillin.  Hepatotoxicity, characterized by fever, nausea, and vomiting associated with abnormal liver function tests, mainly elevated SGOT levels, has been associated with the use of oxacillin.

To report SUSPECTED ADVERSE REACTIONS, contact Fresenius Kabi USA, LLC at 1-800-551-7176 or FDA at 1-800-FDA-1088 or www.fda.gov/medwatch.



Urogenital Reactions

Renal tubular damage and interstitial nephritis have been associated with the administration of oxacillin.  Manifestations of this reaction may include rash, fever, eosinophilia, hematuria, proteinuria, and renal insufficiency. Nephropathy induced by penicillins does not appear to be dose-related and is generally reversible upon prompt discontinuation of therapy.

Clinical Pharmacology:

Intravenous administration provides peak serum levels approximately 5 minutes after the injection is completed.  Slow I.V. administration of 500 mg gives a peak serum level of 43 mcg/mL after 5 minutes with a half-life of 20 to 30 minutes.

Oxacillin sodium, with normal doses, has insignificant concentrations in the cerebrospinal and ascitic fluids.  It is found in therapeutic concentrations in the pleural, bile, and amniotic fluids.

Oxacillin Sodium is rapidly excreted as unchanged drug in the urine by glomerular filtration and active tubular secretion.  The elimination half-life for oxacillin is about 0.5 hours.  Nonrenal elimination includes hepatic inactivation and excretion in bile.

Oxacillin sodium binds to serum protein, mainly albumin.  The degree of protein binding reported varies with the method of study and the investigator, but generally has been found to be 94.2% ± 2.1%. 

Probenecid blocks the renal tubular secretion of penicillins.  Therefore, the concurrent administration of probenecid prolongs the elimination of oxacillin and, consequently, increases the serum concentration.

Intramuscular injections give peak serum levels 30 minutes after injection. A 250 mg dose gives a level of 5.3 mcg/mL while a 500 mg dose peaks at 10.9 mcg/mL. Intravenous injection gives a peak about 5 minutes after the injection is completed. Slow IV dosing with 500 mg gives a 5 minute peak of 43 mcg/mL with a half-life of 20 to 30 minutes.



Indications and Usage:

Oxacillin is indicated in the treatment of infections caused by penicillinase producing staphylococci which have demonstrated susceptibility to the drug.  Cultures and susceptibility tests should be performed initially to determine the causative organism and its susceptibility to the drug (see CLINICAL PHARMACOLOGY-Susceptibility Testing ).

Oxacillin may be used to initiate therapy in suspected cases of resistant staphylococcal infections prior to the availability of susceptibility test results.  Oxacillin should not be used in infections caused by organisms susceptible to penicillin G.

If the susceptibility tests indicate that the infection is due to an organism other than a resistant Staphylococcus , therapy should not be continued with oxacillin.

To reduce the development of drug-resistant bacteria and maintain the effectiveness of Oxacillin for Injection, USP and other antibacterial drugs, Oxacillin for Injection, USP should be used only to treat or prevent infections that are proven or strongly suspected to be caused by susceptible bacteria.  When culture and susceptibility information are available, they should be considered in selecting or modifying antibacterial therapy.  In the absence of such data, local epidemiology and susceptibility patterns may contribute to the empiric selection of therapy.

Susceptibility Testing

For specific information regarding susceptibility test interpretive criteria and associated test methods and quality control standards recognized by FDA for this drug, please see: https://www.fda.gov/STIC.

Information for Patients

Patients should be counseled that antibacterial drugs including Oxacillin for Injection, USP should only be used to treat bacterial infections.  They do not treat viral infections (e.g., the common cold).  When Oxacillin for Injection, USP is prescribed to treat a bacterial infection, patients should be told that although it is common to feel better early in the course of therapy, the medication should be taken exactly as directed.  Skipping doses or not completing the full course of therapy may: (1) decrease the effectiveness of the immediate treatment, and (2) increase the likelihood that bacteria will develop resistance and will not be treatable by Oxacillin for Injection, USP or other antibacterial drugs in the future.

Diarrhea is a common problem caused by antibiotics which usually ends when the antibiotic is discontinued.  Sometimes after starting treatment with antibiotics, patients can develop watery and bloody stools (with or without stomach cramps and fever) even as late as two or more months after having taken the last dose of the antibiotic.  If this occurs, patients should contact their physician as soon as possible.



Nervous System Reactions

Neurotoxic reactions similar to those observed with penicillin G may occur with large intravenous doses of oxacillin especially with patients with renal insufficiency.

Gastrointestinal Reactions

Pseudomembranous colitis has been reported with the use of oxacillin.  The onset of pseudomembranous colitis symptoms may occur during or after antibiotic treatment (see WARNINGS ).

Package Label.principal Display Panel

PACKAGE LABEL- PRINCIPAL DISPLAY – Oxacillin 1 gram Vial Label

NDC 63323-813-01  

Oxacillin

for Injection, USP

1 gram per vial

Buffered-For Intramuscular or Intravenous use

Rx only





Carcinogenesis, Mutagenesis, Impairment of Fertility

No long-term animal studies have been conducted with these drugs. Studies on reproduction (nafcillin) in rats and rabbits reveal no fetal or maternal abnormalities before conception and continuously through weaning (one generation).


Structured Label Content

Section 42229-5 (42229-5)

Rx only

For Intramuscular or Intravenous Injection

To reduce the development of drug-resistant bacteria and maintain the effectiveness of oxacillin for injection and other antibacterial drugs, oxacillin for injection should be used only to treat or prevent infections that are proven or strongly suspected to be caused by bacteria.

Section 51945-4 (51945-4)

PACKAGE LABEL- PRINCIPAL DISPLAY – Oxacillin 1 gram Carton Label

NDC 63323-813-20  

Oxacillin

for Injection, USP

1 gram per vial

Buffered-For Intramuscular or Intravenous use

Rx only

10 x 1 gram

Single Dose Vials





General

Oxacillin should generally not be administered to patients with a history of sensitivity to any penicillin. Penicillin should be used with caution in individuals with histories of significant allergies and/or asthma.  Whenever allergic reactions occur, penicillin should be withdrawn unless, in the opinion of the physician, the condition being treated is life-threatening and amenable only to penicillin therapy. The use of antibiotics may result in overgrowth of nonsusceptible organisms.  If new infections due to bacteria or fungi occur, the drug should be discontinued and appropriate measures taken.

Prescribing Oxacillin for Injection, USP in the absence of a proven or strongly suspected bacterial infection or a prophylactic indication is unlikely to provide benefit to the patient and increases the risk of the development of drug-resistant bacteria.



Pregnancy

Teratogenic Effects

Pregnancy Category B

Reproduction studies performed in the mouse, rat, and rabbit have revealed no evidence of impaired fertility or harm to the fetus due to the penicillinase-resistant penicillins.  Human experience with the penicillins during pregnancy has not shown any positive evidence of adverse effects on the fetus.  There are, however, no adequate or well-controlled studies in pregnant women showing conclusively that harmful effects of these drugs on the fetus can be excluded.  Because animal reproduction studies are not always predictive of human response, this drug should be used during pregnancy only if clearly needed.



Warnings: (WARNINGS:)

Serious and occasionally fatal hypersensitivity (anaphylactic shock with collapse) reactions have occurred in patients receiving penicillin.  The incidence of anaphylactic shock in all penicillin-treated patients is between 0.015 and 0.04 percent.  Anaphylactic shock resulting in death has occurred in approximately 0.002 percent of the patients treated.   

When oxacillin therapy is indicated, it should be initiated only after a comprehensive patient drug and allergy history has been obtained.  If an allergic reaction occurs, oxacillin should be discontinued and appropriate therapy instituted.

Clostridium difficile associated diarrhea (CDAD) has been reported with use of nearly all antibacterial agents, including Oxacillin for Injection, USP, and may range in severity from mild diarrhea to fatal colitis.  Treatment with antibacterial agents alters the normal flora of the colon leading to overgrowth of C. difficile.

C. difficile produces toxins A and B which contribute to the development of CDAD.  Hypertoxin-producing strains of C. difficile cause increased morbidity and mortality, as these infections can be refractory to antimicrobial therapy and may require colectomy.  CDAD must be considered in all patients who present with diarrhea following antibiotic use.  Careful medical history is necessary since CDAD has been reported to occur over two months after the administration of antibacterial agents.

If CDAD is suspected or confirmed, ongoing antibiotic use not directed against C. difficile may need to be discontinued.  Appropriate fluid and electrolyte management, protein supplementation, antibiotic treatment of C. difficile, and surgical evaluation should be instituted as clinically indicated.



Overdosage (OVERDOSAGE)

The signs and symptoms of oxacillin overdosage are those described in the ADVERSE REACTIONS  section.  If signs or symptoms occur, discontinue use of the medication, treat symptomatically, and institute appropriate supportive measures.

Description: (DESCRIPTION:)

Oxacillin for Injection, USP is a semisynthetic penicillin antibiotic derived from the penicillin nucleus, 6-amino-penicillanic acid.  It is resistant to inactivation by the enzyme penicillinase (beta-lactamase). It is the sodium salt in parenteral dosage form for intramuscular or intravenous use. 

Each vial of Oxacillin for Injection, USP contains oxacillin sodium monohydrate equivalent to 1 gram or 2 grams of oxacillin. The sodium content is 64 mg (2.8 mEq) per gram oxacillin. The product is buffered with 21 mg dibasic sodium phosphate per gram oxacillin. Oxacillin for Injection, USP is white to off white powder and gives a clear solution upon reconstitution.

OXACILLIN SODIUM

 

 



The chemical name of oxacillin sodium is 4-Thia-1-azabicyclo [3.2.0]heptane-2-carboxylic acid, 3,3-dimethyl-6-[[(5-methyl-3-phenyl-4-isoxazolyl) carbonyl]-amino]-7-oxo-, monosodium salt, monohydrate, [2S(2α,5α,6β)]-. It is resistant to inactivation by the enzyme penicillinase (beta-lactamase). The molecular formula of oxacillin sodium is C19H18N3NaO5S • H2O. The molecular weight is 441.44.

Microbiology

Mode of Action

Penicillinase-resistant penicillins exert a bactericidal action against penicillin susceptible microorganisms during the state of active multiplication.  All penicillins inhibit the biosynthesis of the bacterial cell wall.

Mechanism of Resistance

Resistance to penicillins may be mediated by destruction of the beta-lactam ring by a beta-lactamase, altered affinity of penicillin for target, or decreased penetration of the antibiotic to reach the target site.

Cross Resistance

Resistance to oxacillin (or cefoxitin) implies resistance to all other beta-lactam agents, except newer agents with activity against methicillin-resistant Staphylococcus aureus.

Geriatric Use

Clinical studies of Oxacillin for Injection did not include sufficient number of subjects aged 65 and over to determine whether they respond differently from younger subjects.  Other reported clinical experience has not identified differences in responses between the elderly and younger patients.  In general, dose selection for an elderly patient should be cautious, usually starting at the low end of the dosing range, reflecting the greater frequency of decreased hepatic, renal, or cardiac function, and of concomitant disease or other drug therapy.

This drug is known to be substantially excreted by the kidney, and the risk of toxic reactions to this drug may be greater in patients with impaired renal function.  Because elderly patients are more likely to have decreased renal function, care should be taken in dose selection, and it may be useful to monitor renal function.

Oxacillin for Injection contains 64 mg (2.8 mEq) of sodium per gram Oxacillin.  At the usual recommended doses, patients would receive between 64 and 383 mg (2.8 and 17 mEq) of sodium. The geriatric population may respond with a blunted natriuresis to salt loading. This may be clinically important with regard to such diseases as congestive heart failure.



How Supplied: (HOW SUPPLIED:)

Each vial of Oxacillin for Injection, USP contains oxacillin sodium monohydrate equivalent to 1 gram or 2 grams of oxacillin.

Product

Code



Unit of Sale

 

Strength

 





Each
801220  

NDC 63323-812-20

Unit of 10
2 grams per vial  

NDC 63323-812-01

20 mL Single Dose Vial
801320

NDC 63323-813-20

Unit of 10
1 gram per vial

NDC 63323-813-01

20 mL Single Dose Vial

Store dry powder at 20° to 25°C (68° to 77°F) [see USP Controlled Room Temperature].



The container closure is not made with natural rubber latex.



Pediatric Use

Because of incompletely developed renal function in pediatric patients, oxacillin may not be completely excreted, with abnormally high blood levels resulting.  Frequent blood levels are advisable in this group with dosage adjustments when necessary.  All pediatric patients treated with penicillins should be monitored closely for clinical and laboratory evidence of toxic or adverse effects.  Safety and effectiveness in pediatric patients have not been established.

Body As A Whole (Body as a Whole)

The reported incidence of allergic reactions to penicillin ranges from 0.7 to 10 percent (see WARNINGS ).  Sensitization is usually the result of treatment but some individuals have had immediate reactions to penicillin when first treated.  In such cases, it is thought that the patients may have had prior exposure to the drug via trace amounts present in milk and vaccines.

Two types of allergic reactions to penicillin are noted clinically, immediate and delayed.

Immediate reactions usually occur within 20 minutes of administration and range in severity from urticaria and pruritus to angioneurotic edema, laryngospasm, bronchospasm, hypotension, vascular collapse, and death.  Such immediate anaphylactic reactions are very

rare (see WARNINGS ) and usually occur after parenteral therapy but have occurred in patients receiving oral therapy.  Another type of immediate reaction, an accelerated reaction, may occur between 20 minutes and 48 hours after administration and may include urticaria, pruritus, and fever.  Although laryngeal edema, laryngospasm, and hypotension occasionally occur, fatality is uncommon.

Delayed allergic reactions to penicillin therapy usually occur after 48 hours and sometimes as late as 2 to 4 weeks after initiation of therapy. 

Manifestations of this type of reaction include serum sickness-like symptoms (i.e., fever, malaise, urticaria, myalgia, arthralgia, abdominal pain) and various skin rashes.  Nausea, vomiting, diarrhea, stomatitis, black or hairy tongue, and other symptoms of gastrointestinal irritation may occur, especially during oral penicillin therapy.



Nursing Mothers

Penicillins are excreted in breast milk.  Caution should be exercised when penicillins are administered to a nursing woman.

Laboratory Tests

Bacteriologic studies to determine the causative organisms and their susceptibility to oxacillin should be performed (see CLINICAL PHARMACOLOGY-Microbiology ).  In the treatment of suspected staphylococcal infections, therapy should be changed to another active agent if culture tests fail to demonstrate the presence of staphylococci.

Periodic assessment of organ system function including renal, hepatic, and hematopoietic should be made during prolonged therapy with oxacillin.

Blood cultures, white blood cell, and differential cell counts should be obtained prior to initiation of therapy and at least weekly during therapy with oxacillin.

Periodic urinalysis, blood urea nitrogen, and creatinine determinations should be performed during therapy with oxacillin and dosage alterations should be considered if these values become elevated.  If any impairment of renal function is suspected or known to exist, a reduction in the total dosage should be considered and blood levels monitored to avoid possible neurotoxic reactions.

AST (SGOT) and ALT (SGPT) values should be obtained periodically during therapy to monitor for possible liver function abnormalities.



Drug Interactions

Tetracycline, a bacteriostatic antibiotic, may antagonize the bactericidal effect of penicillin and concurrent use of these drugs should be avoided.

Oxacillin blood levels may be increased and prolonged by concurrent administration of probenecid which blocks the renal tubular secretion of penicillins. Probenecid decreases the apparent volume of distribution and slows the rate of excretion by competitively inhibiting renal tubular secretion of penicillins.

Oxacillin-probenecid therapy should be limited to those infections where very high serum levels of oxacillin are necessary.



Contraindications: (CONTRAINDICATIONS:)

A history of a hypersensitivity (anaphylactic) reaction to any penicillin is a contraindication.

Directions for Use


For Intramuscular Use

Use Sterile Water for Injection, USP.  Add 5.7 mL to the 1 gram vial and 11.5 mL to the 2 gram vial.  Shake well until a clear solution is obtained.  After reconstitution, vials will contain 250 mg of active drug per 1.5 mL of solution.  The reconstituted solution is stable for 3 days at 70°F or for one week under refrigeration (40°F).

For Direct Intravenous Use

Use Sterile Water for Injection, USP or Sodium Chloride Injection, USP.  Add 10 mL to the 1 gram vial and 20 mL to the 2 gram vial.  Withdraw the entire contents and administer slowly over a period of approximately 10 minutes.

For Administration by Intravenous Drip

Reconstitute as directed above (For Direct Intravenous Use) prior to diluting with Intravenous Solution.

 



                                  STABILITY PERIODS FOR OXACILLIN FOR INJECTION, USP



Concentration

mg/mL





 



Sterile

Water for

Injection, USP



 

0.9% Sodium Chloride Injection, USP

 





M/6

Molar 


Sodium Lactate Solution



5%

Dextrose



in Water

 



5%


Dextrose

in 0.45% Sodium

Chloride



 



10% Invert

Sugar

Injection,

USP





 

Lactated

Ringers

Solution

 

ROOM TEMPERATURE (25°C)

 

10 to 100

 



 

4 Days

 



 

4 Days

 



 

 

 

 

 

 

10 to 30

 



 

 

 

24 Hrs

 



 

 

24 Hrs

 



 

 

 

0.5 to 2

 



 

 

 

 

6 Hrs

 



 

 

6 Hrs

 



 

6 Hrs

 



 

REFRIGERATION (4°C)

 

10 to 100

 



 

7 Days

 



 

7 Days

 



 

 

 

 

 

 

10 to 30

 



 

 

 

4 Days

 



 

4 Days

 



 

4 Days

 



 

4 Days

 



 

4 Days

 



 

FROZEN (-15°C)

 

50 to 100

 



 

30 Days

 



 

 

 

 

 

 

 

250/1.5 mL

 



 

30 Days

 



 

 

 

 

 

 

 

100

 



 

 

30 Days

 



 

 

 

 

 

 

10 to 100

 



 

 

 

30 Days

 



 

30 Days

 



 

30 Days

 



 

30 Days

 



 

30 Days

 



Stability studies on oxacillin sodium at concentrations of 0.5 mg/mL and 2 mg/mL in various intravenous solutions listed below indicate the drug will lose less than 10% activity at room temperature (70°F) during a 6-hour period.



IV Solution



5% Dextrose in Normal Saline



10% Invert Sugar in Normal Saline



10% Invert Sugar Plus 0.3% Potassium Chloride in Water







Only those solutions listed above should be used for the intravenous infusion of oxacillin sodium.  The concentration of the antibiotic should fall within the range specified.  The drug concentration and the rate and volume of the infusion should be adjusted so that the total dose of oxacillin is administered before the drug loses its stability in the solution in use.



If another agent is used in conjunction with oxacillin therapy, it should not be physically mixed with oxacillin but should be administered separately.



Parenteral drug products should be inspected visually for particulate matter and discoloration prior to administration whenever solution and container permit.

Do not add supplementary medication to Oxacillin for Injection, USP.



Metabolic Reactions

Agranulocytosis, neutropenia, and bone marrow depression have been associated with the use of oxacillin.  Hepatotoxicity, characterized by fever, nausea, and vomiting associated with abnormal liver function tests, mainly elevated SGOT levels, has been associated with the use of oxacillin.

To report SUSPECTED ADVERSE REACTIONS, contact Fresenius Kabi USA, LLC at 1-800-551-7176 or FDA at 1-800-FDA-1088 or www.fda.gov/medwatch.



Urogenital Reactions

Renal tubular damage and interstitial nephritis have been associated with the administration of oxacillin.  Manifestations of this reaction may include rash, fever, eosinophilia, hematuria, proteinuria, and renal insufficiency. Nephropathy induced by penicillins does not appear to be dose-related and is generally reversible upon prompt discontinuation of therapy.

Clinical Pharmacology: (CLINICAL PHARMACOLOGY:)

Intravenous administration provides peak serum levels approximately 5 minutes after the injection is completed.  Slow I.V. administration of 500 mg gives a peak serum level of 43 mcg/mL after 5 minutes with a half-life of 20 to 30 minutes.

Oxacillin sodium, with normal doses, has insignificant concentrations in the cerebrospinal and ascitic fluids.  It is found in therapeutic concentrations in the pleural, bile, and amniotic fluids.

Oxacillin Sodium is rapidly excreted as unchanged drug in the urine by glomerular filtration and active tubular secretion.  The elimination half-life for oxacillin is about 0.5 hours.  Nonrenal elimination includes hepatic inactivation and excretion in bile.

Oxacillin sodium binds to serum protein, mainly albumin.  The degree of protein binding reported varies with the method of study and the investigator, but generally has been found to be 94.2% ± 2.1%. 

Probenecid blocks the renal tubular secretion of penicillins.  Therefore, the concurrent administration of probenecid prolongs the elimination of oxacillin and, consequently, increases the serum concentration.

Intramuscular injections give peak serum levels 30 minutes after injection. A 250 mg dose gives a level of 5.3 mcg/mL while a 500 mg dose peaks at 10.9 mcg/mL. Intravenous injection gives a peak about 5 minutes after the injection is completed. Slow IV dosing with 500 mg gives a 5 minute peak of 43 mcg/mL with a half-life of 20 to 30 minutes.



Indications and Usage: (INDICATIONS AND USAGE:)

Oxacillin is indicated in the treatment of infections caused by penicillinase producing staphylococci which have demonstrated susceptibility to the drug.  Cultures and susceptibility tests should be performed initially to determine the causative organism and its susceptibility to the drug (see CLINICAL PHARMACOLOGY-Susceptibility Testing ).

Oxacillin may be used to initiate therapy in suspected cases of resistant staphylococcal infections prior to the availability of susceptibility test results.  Oxacillin should not be used in infections caused by organisms susceptible to penicillin G.

If the susceptibility tests indicate that the infection is due to an organism other than a resistant Staphylococcus , therapy should not be continued with oxacillin.

To reduce the development of drug-resistant bacteria and maintain the effectiveness of Oxacillin for Injection, USP and other antibacterial drugs, Oxacillin for Injection, USP should be used only to treat or prevent infections that are proven or strongly suspected to be caused by susceptible bacteria.  When culture and susceptibility information are available, they should be considered in selecting or modifying antibacterial therapy.  In the absence of such data, local epidemiology and susceptibility patterns may contribute to the empiric selection of therapy.

Susceptibility Testing

For specific information regarding susceptibility test interpretive criteria and associated test methods and quality control standards recognized by FDA for this drug, please see: https://www.fda.gov/STIC.

Information for Patients

Patients should be counseled that antibacterial drugs including Oxacillin for Injection, USP should only be used to treat bacterial infections.  They do not treat viral infections (e.g., the common cold).  When Oxacillin for Injection, USP is prescribed to treat a bacterial infection, patients should be told that although it is common to feel better early in the course of therapy, the medication should be taken exactly as directed.  Skipping doses or not completing the full course of therapy may: (1) decrease the effectiveness of the immediate treatment, and (2) increase the likelihood that bacteria will develop resistance and will not be treatable by Oxacillin for Injection, USP or other antibacterial drugs in the future.

Diarrhea is a common problem caused by antibiotics which usually ends when the antibiotic is discontinued.  Sometimes after starting treatment with antibiotics, patients can develop watery and bloody stools (with or without stomach cramps and fever) even as late as two or more months after having taken the last dose of the antibiotic.  If this occurs, patients should contact their physician as soon as possible.



Nervous System Reactions

Neurotoxic reactions similar to those observed with penicillin G may occur with large intravenous doses of oxacillin especially with patients with renal insufficiency.

Dosage and Administration (DOSAGE AND ADMINISTRATION)


Bacteriologic studies to determine the causative organisms and their susceptibility to oxacillin should always be performed.  Duration of therapy varies with the type of severity of infection as well as the overall condition of the patient; therefore, it should be determined by the clinical and bacteriological response of the patient.  In severe staphylococcal infections, therapy with oxacillin should be continued for at least 14 days.  Therapy should be continued for at least 48 hours after the patient has become afebrile, asymptomatic, and cultures are negative.  Treatment of endocarditis and osteomyelitis may require a longer duration of therapy.

With intravenous administration, particularly in elderly patients, care should be taken because of the possibility of thrombophlebitis.



                                                                                    RECOMMENDED DOSAGES FOR OXACILLIN FOR INJECTION, USP 



 

Drug

 



 

Adults

 



 

Infants and Children < 40 kg (88 lbs)

 



 

Other Recommendations

 



Oxacillin

250 to 500 mg IM or IV every 4 to 6 hours (mild to moderate infections)

50 mg/kg/day IM or IV in equally divided doses every 6 hours (mild to moderate infections)

 

1 gram IM or IV every 4 to 6 hours (severe infections)

100 mg/kg/day IM or IV in equally divided doses every 4 to 6 hours (severe infections)

Premature and Neonates 25 mg/kg/day IM or IV









Gastrointestinal Reactions

Pseudomembranous colitis has been reported with the use of oxacillin.  The onset of pseudomembranous colitis symptoms may occur during or after antibiotic treatment (see WARNINGS ).

Package Label.principal Display Panel (PACKAGE LABEL.PRINCIPAL DISPLAY PANEL)

PACKAGE LABEL- PRINCIPAL DISPLAY – Oxacillin 1 gram Vial Label

NDC 63323-813-01  

Oxacillin

for Injection, USP

1 gram per vial

Buffered-For Intramuscular or Intravenous use

Rx only





Carcinogenesis, Mutagenesis, Impairment of Fertility

No long-term animal studies have been conducted with these drugs. Studies on reproduction (nafcillin) in rats and rabbits reveal no fetal or maternal abnormalities before conception and continuously through weaning (one generation).


Advanced Ingredient Data


Raw Label Data

All Sections (JSON)