Baclofen Tablets, Usp

Baclofen Tablets, Usp
SPL v11
SPL
SPL Set ID ae732bdc-5178-4565-8219-d1787a5211a6
Route
ORAL
Published
Effective Date 2026-01-09
Document Type 34391-3 HUMAN PRESCRIPTION DRUG LABEL

Drug Facts

Composition & Product

Active Ingredients
Baclofen (10 mg)
Inactive Ingredients
Microcrystalline Cellulose Starch, Corn Silicon Dioxide Magnesium Stearate

Identifiers & Packaging

Pill Appearance
Imprint: LCI;1337 Shape: round Color: white Size: 9 mm Size: 10 mm Score: 2
Marketing Status
ANDA Completed Since 2015-07-15 Until 2026-12-31

Description

Rx Only

Indications and Usage

Baclofen tablets USP are useful for the alleviation of signs and symptoms of spasticity resulting from multiple sclerosis, particularly for the relief of flexor spasms and concomitant pain, clonus, and muscular rigidity. Patients should have reversible spasticity so that baclofen treatment will aid in restoring residual function. Baclofen tablets USP may also be of some value in patients with spinal cord injuries and other spinal cord diseases. Baclofen tablets USP are not indicated in the treatment of skeletal muscle spasm resulting from rheumatic disorders. The efficacy of baclofen in stroke, cerebral palsy, and Parkinson's disease has not been established and, therefore, it is not recommended for these conditions.

Dosage and Administration

The determination of optimal dosage requires individual titration. Start therapy at a low dosage and increase gradually until optimum effect is achieved (usually between 40 to 80 mg daily). The following dosage titration schedule is suggested:    5 mg t.i.d. for 3 days  10 mg t.i.d. for 3 days  15 mg t.i.d. for 3 days  20 mg t.i.d. for 3 days Thereafter additional increases may be necessary but the total daily dose should not exceed a maximum of 80 mg daily (20 mg q.i.d.). The lowest dose compatible with an optimal response is recommended. If benefits are not evident after a reasonable trial period, patients should be slowly withdrawn from the drug (see  WARNINGS , Abrupt Drug Withdrawal ).

Contraindications

Hypersensitivity to baclofen.

Adverse Reactions

The most common is transient drowsiness (10 to 63%). In one controlled study of 175 patients, transient drowsiness was observed in 63% of those receiving baclofen compared to 36% of those in the placebo group. Other common adverse reactions are dizziness (5 to 15%), weakness (5 to 15%) and fatigue (2 to 4%). Others reported: Neuropsychiatric : Confusion (1 to 11%), headache (4 to 8%), insomnia (2 to 7%); and, rarely, euphoria, excitement, depression, hallucinations, paresthesia, muscle pain, tinnitus, slurred speech, coordination disorder, tremor, rigidity, dystonia, ataxia, blurred vision, nystagmus, strabismus, miosis, mydriasis, diplopia, dysarthria, epileptic seizure. Cardiovascular : Hypotension (0 to 9%). Rare instances of dyspnea, palpitation, chest pain, syncope. Gastrointestinal : Nausea (4 to 12%), constipation (2 to 6%); and rarely, dry mouth, anorexia, taste disorder, abdominal pain, vomiting, diarrhea, and positive test for occult blood in stool. Genitourinary : Urinary frequency (2 to 6%); and rarely, enuresis, urinary retention, dysuria, impotence, inability to ejaculate, nocturia, hematuria. Other : Instances of rash, pruritus, ankle edema, excessive perspiration, weight gain, nasal congestion. Some of the CNS and genitourinary symptoms may be related to the underlying disease rather than to drug therapy. The following laboratory tests have been found to be abnormal in a few patients receiving baclofen: increased SGOT, elevated alkaline phosphatase, and elevation of blood sugar.

How Supplied

Baclofen Tablets USP, 10 mg are available as a white round flat-faced beveled edge bisected tablet debossed with "LCI" over "1330" on one side and plain on the other side, containing 10 mg Baclofen USP. Available in Cartons of 100 tablets (10 tablets each blister pack x 10), NDC 0904-6475-61  Baclofen Tablets USP, 20 mg are available as a white round flat-faced beveled edge bisected tablet debossed with "LCI" over "1337" on one side and plain on the other side, containing 20 mg Baclofen USP. Available in Cartons of 100 tablets (10 tablets each blister pack x 10), NDC 0904-6476-61 WARNING: These Unit Dose packages are not child resistant and are Intended for Institutional Use Only. Keep this and all drugs out of the reach of children. PHARMACIST: Dispense in a well-closed container as defined in the USP, with a child-resistant closure (as required). Store at 20° to 25°C (68° to 77°F) [see USP Controlled Room Temperature]. Distributed by: Lannett Company, Inc. Philadelphia, PA 19136 Packaged and Distributed by: MAJOR® PHARMACEUTICALS Indianapolis, IN 46268 USA Refer to package label for Distributor's NDC Number CIB70280E Rev. 02/21


Medication Information

Indications and Usage

Baclofen tablets USP are useful for the alleviation of signs and symptoms of spasticity resulting from multiple sclerosis, particularly for the relief of flexor spasms and concomitant pain, clonus, and muscular rigidity.

Patients should have reversible spasticity so that baclofen treatment will aid in restoring residual function. Baclofen tablets USP may also be of some value in patients with spinal cord injuries and other spinal cord diseases.

Baclofen tablets USP are not indicated in the treatment of skeletal muscle spasm resulting from rheumatic disorders.

The efficacy of baclofen in stroke, cerebral palsy, and Parkinson's disease has not been established and, therefore, it is not recommended for these conditions.

Dosage and Administration

The determination of optimal dosage requires individual titration. Start therapy at a low dosage and increase gradually until optimum effect is achieved (usually between 40 to 80 mg daily).

The following dosage titration schedule is suggested:

   5 mg t.i.d. for 3 days

 10 mg t.i.d. for 3 days

 15 mg t.i.d. for 3 days

 20 mg t.i.d. for 3 days

Thereafter additional increases may be necessary but the total daily dose should not exceed a maximum of 80 mg daily (20 mg q.i.d.).

The lowest dose compatible with an optimal response is recommended. If benefits are not evident after a reasonable trial period, patients should be slowly withdrawn from the drug (see  WARNINGS , Abrupt Drug Withdrawal).

Contraindications

Hypersensitivity to baclofen.

Adverse Reactions

The most common is transient drowsiness (10 to 63%). In one controlled study of 175 patients, transient drowsiness was observed in 63% of those receiving baclofen compared to 36% of those in the placebo group. Other common adverse reactions are dizziness (5 to 15%), weakness (5 to 15%) and fatigue (2 to 4%).

Others reported:

Neuropsychiatric: Confusion (1 to 11%), headache (4 to 8%), insomnia (2 to 7%); and, rarely, euphoria, excitement, depression, hallucinations, paresthesia, muscle pain, tinnitus, slurred speech, coordination disorder, tremor, rigidity, dystonia, ataxia, blurred vision, nystagmus, strabismus, miosis, mydriasis, diplopia, dysarthria, epileptic seizure.

Cardiovascular: Hypotension (0 to 9%). Rare instances of dyspnea, palpitation, chest pain, syncope.

Gastrointestinal: Nausea (4 to 12%), constipation (2 to 6%); and rarely, dry mouth, anorexia, taste disorder, abdominal pain, vomiting, diarrhea, and positive test for occult blood in stool.

Genitourinary: Urinary frequency (2 to 6%); and rarely, enuresis, urinary retention, dysuria, impotence, inability to ejaculate, nocturia, hematuria.

Other: Instances of rash, pruritus, ankle edema, excessive perspiration, weight gain, nasal congestion.

Some of the CNS and genitourinary symptoms may be related to the underlying disease rather than to drug therapy. The following laboratory tests have been found to be abnormal in a few patients receiving baclofen: increased SGOT, elevated alkaline phosphatase, and elevation of blood sugar.

How Supplied

Baclofen Tablets USP, 10 mg are available as a white round flat-faced beveled edge bisected tablet debossed with "LCI" over "1330" on one side and plain on the other side, containing 10 mg Baclofen USP. Available in

Cartons of 100 tablets (10 tablets each blister pack x 10), NDC 0904-6475-61 

Baclofen Tablets USP, 20 mg are available as a white round flat-faced beveled edge bisected tablet debossed with "LCI" over "1337" on one side and plain on the other side, containing 20 mg Baclofen USP. Available in

Cartons of 100 tablets (10 tablets each blister pack x 10), NDC 0904-6476-61

WARNING: These Unit Dose packages are not child resistant and are Intended for Institutional Use Only. Keep this and all drugs out of the reach of children.

PHARMACIST: Dispense in a well-closed container as defined in the USP, with a child-resistant closure (as required).

Store at 20° to 25°C (68° to 77°F) [see USP Controlled Room Temperature].

Distributed by:

Lannett Company, Inc.

Philadelphia, PA 19136

Packaged and Distributed by:

MAJOR® PHARMACEUTICALS

Indianapolis, IN 46268 USA

Refer to package label for Distributor's NDC Number

CIB70280E

Rev. 02/21

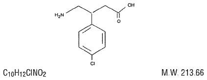
Description

Baclofen, USP is a muscle relaxant and antispastic.

Its chemical name is 4-amino-3-(4-chlorophenyl)-butanoic acid. The structural formula is:

Baclofen USP is a white to off-white, odorless or practically odorless crystalline powder. It is slightly soluble in water, very slightly soluble in methanol and insoluble in chloroform.

Each tablet, for oral administration, contains 5 mg, 10 mg or 20 mg baclofen. In addition, each tablet contains the following inactive ingredients: microcrystalline cellulose, pregelatinized starch, colloidal silicon dioxide, and magnesium stearate.

Section 42229-5

Rx Only

Warnings

a. Neonatal Withdrawal Symptoms: Withdrawal symptoms have been reported starting hours to days after delivery in neonates whose mothers were treated with oral baclofen throughout pregnancy. The symptoms of withdrawal in these infants have included increased muscle tone, tremor, jitteriness, and seizure. If the potential benefit justifies the potential risk to the fetus and oral baclofen is continued during pregnancy, gradually reduce the dose and discontinue baclofen before delivery. If slow withdrawal is not feasible, advise the parents or caregivers of the potential for neonatal withdrawal.

b. Abrupt Drug Withdrawal: Hallucinations and seizures have occurred on abrupt withdrawal of baclofen. Therefore, except for serious adverse reactions, the dose should be reduced slowly when the drug is discontinued.

c. Impaired Renal Function: Because baclofen is primarily excreted unchanged through the kidneys, it should be given with caution, and it may be necessary to reduce the dosage.

d. Stroke: Baclofen has not significantly benefited patients with stroke. These patients have also shown poor tolerability to the drug.

e. Pregnancy: Baclofen has been shown to increase the incidence of omphaloceles (ventral hernias) in fetuses of rats given approximately 13 times the maximum dose recommended for human use, at a dose which caused significant reductions in food intake and weight gain in dams. This abnormality was not seen in mice or rabbits.

There was also an increased incidence of incomplete sternebral ossification in fetuses of rats given approximately 13 times the maximum recommended human dose, and an increased incidence of unossified phalangeal nuclei of forelimbs and hindlimbs in fetuses of rabbits given approximately 7 times the maximum recommended human dose. In mice, no teratogenic effects were observed, although reductions in mean fetal weight with consequent delays in skeletal ossification were present when dams were given 17 and 34 times the human daily dose. There are no studies in pregnant women. Baclofen should be used during pregnancy only if the benefit clearly justifies the potential risk to the fetus.

Overdosage

Signs and Symptoms: Vomiting, muscular hypotonia, drowsiness, accommodation disorders, coma, respiratory depression and seizures.

Treatment: In the alert patient, empty the stomach promptly by induced emesis followed by lavage. In the obtunded patient, secure the airway with a cuffed endotracheal tube before beginning lavage (do not induce emesis). Maintain adequate respiratory exchange, do not use respiratory stimulants.

Precautions

Because of the possibility of sedation, patients should be cautioned regarding the operation of automobiles or other dangerous machinery, and activities made hazardous by decreased alertness. Patients should also be cautioned that the central nervous system effects of baclofen may be additive to those of alcohol and other CNS depressants.

Baclofen should be used with caution where spasticity is utilized to sustain upright posture and balance in locomotion or whenever spasticity is utilized to obtain increased function.

In patients with epilepsy, the clinical state and electroencephalogram should be monitored at regular intervals, since deterioration in seizure control and EEG have been reported occasionally in patients taking baclofen.

It is not known whether this drug is excreted in human milk. As a general rule, nursing should not be undertaken while a patient is on a drug since many drugs are excreted in human milk.

A dose-related increase in incidence of ovarian cysts and a less marked increase in enlarged and/or hemorrhagic adrenal glands was observed in female rats treated chronically with baclofen.

Ovarian cysts have been found by palpation in about 4% of the multiple sclerosis patients that were treated with baclofen for up to one year. In most cases these cysts disappeared spontaneously while patients continued to receive the drug. Ovarian cysts are estimated to occur spontaneously in approximately 1% to 5% of the normal female population.

Pediatric Use

Safety and effectiveness in pediatric patients below the age of 12 years have not been established.

Clinical Pharmacology

The precise mechanism of action of baclofen is not fully known. Baclofen is capable of inhibiting both monosynaptic and polysynaptic reflexes at the spinal level, possibly by hyperpolarization of afferent terminals, although actions at supraspinal sites may also occur and contribute to its clinical effect. Although baclofen is an analog of the putative inhibitory neurotransmitter gamma-aminobutyric acid (GABA), there is no conclusive evidence that actions on GABA systems are involved in the production of its clinical effects. In studies with animals baclofen has been shown to have general CNS depressant properties as indicated by the production of sedation with tolerance, somnolence, ataxia, and respiratory and cardiovascular depression. Baclofen is rapidly and extensively absorbed and eliminated. Absorption may be dose-dependent, being reduced with increasing doses. Baclofen is excreted primarily by the kidney in unchanged form and there is relatively large intersubject variation in absorption and/or elimination.

Package/label Display Panel

MAJOR®

NDC 0904-6475-61

Unit Dose

Baclofen

Tablets, USP

10 mg

100 TABLETS (10 x 10)

Rx only


Structured Label Content

Section 42229-5 (42229-5)

Rx Only

Warnings (WARNINGS)

a. Neonatal Withdrawal Symptoms: Withdrawal symptoms have been reported starting hours to days after delivery in neonates whose mothers were treated with oral baclofen throughout pregnancy. The symptoms of withdrawal in these infants have included increased muscle tone, tremor, jitteriness, and seizure. If the potential benefit justifies the potential risk to the fetus and oral baclofen is continued during pregnancy, gradually reduce the dose and discontinue baclofen before delivery. If slow withdrawal is not feasible, advise the parents or caregivers of the potential for neonatal withdrawal.

b. Abrupt Drug Withdrawal: Hallucinations and seizures have occurred on abrupt withdrawal of baclofen. Therefore, except for serious adverse reactions, the dose should be reduced slowly when the drug is discontinued.

c. Impaired Renal Function: Because baclofen is primarily excreted unchanged through the kidneys, it should be given with caution, and it may be necessary to reduce the dosage.

d. Stroke: Baclofen has not significantly benefited patients with stroke. These patients have also shown poor tolerability to the drug.

e. Pregnancy: Baclofen has been shown to increase the incidence of omphaloceles (ventral hernias) in fetuses of rats given approximately 13 times the maximum dose recommended for human use, at a dose which caused significant reductions in food intake and weight gain in dams. This abnormality was not seen in mice or rabbits.

There was also an increased incidence of incomplete sternebral ossification in fetuses of rats given approximately 13 times the maximum recommended human dose, and an increased incidence of unossified phalangeal nuclei of forelimbs and hindlimbs in fetuses of rabbits given approximately 7 times the maximum recommended human dose. In mice, no teratogenic effects were observed, although reductions in mean fetal weight with consequent delays in skeletal ossification were present when dams were given 17 and 34 times the human daily dose. There are no studies in pregnant women. Baclofen should be used during pregnancy only if the benefit clearly justifies the potential risk to the fetus.

Overdosage (OVERDOSAGE)

Signs and Symptoms: Vomiting, muscular hypotonia, drowsiness, accommodation disorders, coma, respiratory depression and seizures.

Treatment: In the alert patient, empty the stomach promptly by induced emesis followed by lavage. In the obtunded patient, secure the airway with a cuffed endotracheal tube before beginning lavage (do not induce emesis). Maintain adequate respiratory exchange, do not use respiratory stimulants.

Description (DESCRIPTION)

Baclofen, USP is a muscle relaxant and antispastic.

Its chemical name is 4-amino-3-(4-chlorophenyl)-butanoic acid. The structural formula is:

Baclofen USP is a white to off-white, odorless or practically odorless crystalline powder. It is slightly soluble in water, very slightly soluble in methanol and insoluble in chloroform.

Each tablet, for oral administration, contains 5 mg, 10 mg or 20 mg baclofen. In addition, each tablet contains the following inactive ingredients: microcrystalline cellulose, pregelatinized starch, colloidal silicon dioxide, and magnesium stearate.

Precautions (PRECAUTIONS)

Because of the possibility of sedation, patients should be cautioned regarding the operation of automobiles or other dangerous machinery, and activities made hazardous by decreased alertness. Patients should also be cautioned that the central nervous system effects of baclofen may be additive to those of alcohol and other CNS depressants.

Baclofen should be used with caution where spasticity is utilized to sustain upright posture and balance in locomotion or whenever spasticity is utilized to obtain increased function.

In patients with epilepsy, the clinical state and electroencephalogram should be monitored at regular intervals, since deterioration in seizure control and EEG have been reported occasionally in patients taking baclofen.

It is not known whether this drug is excreted in human milk. As a general rule, nursing should not be undertaken while a patient is on a drug since many drugs are excreted in human milk.

A dose-related increase in incidence of ovarian cysts and a less marked increase in enlarged and/or hemorrhagic adrenal glands was observed in female rats treated chronically with baclofen.

Ovarian cysts have been found by palpation in about 4% of the multiple sclerosis patients that were treated with baclofen for up to one year. In most cases these cysts disappeared spontaneously while patients continued to receive the drug. Ovarian cysts are estimated to occur spontaneously in approximately 1% to 5% of the normal female population.

How Supplied (HOW SUPPLIED)

Baclofen Tablets USP, 10 mg are available as a white round flat-faced beveled edge bisected tablet debossed with "LCI" over "1330" on one side and plain on the other side, containing 10 mg Baclofen USP. Available in

Cartons of 100 tablets (10 tablets each blister pack x 10), NDC 0904-6475-61 

Baclofen Tablets USP, 20 mg are available as a white round flat-faced beveled edge bisected tablet debossed with "LCI" over "1337" on one side and plain on the other side, containing 20 mg Baclofen USP. Available in

Cartons of 100 tablets (10 tablets each blister pack x 10), NDC 0904-6476-61

WARNING: These Unit Dose packages are not child resistant and are Intended for Institutional Use Only. Keep this and all drugs out of the reach of children.

PHARMACIST: Dispense in a well-closed container as defined in the USP, with a child-resistant closure (as required).

Store at 20° to 25°C (68° to 77°F) [see USP Controlled Room Temperature].

Distributed by:

Lannett Company, Inc.

Philadelphia, PA 19136

Packaged and Distributed by:

MAJOR® PHARMACEUTICALS

Indianapolis, IN 46268 USA

Refer to package label for Distributor's NDC Number

CIB70280E

Rev. 02/21

Pediatric Use

Safety and effectiveness in pediatric patients below the age of 12 years have not been established.

Adverse Reactions (ADVERSE REACTIONS)

The most common is transient drowsiness (10 to 63%). In one controlled study of 175 patients, transient drowsiness was observed in 63% of those receiving baclofen compared to 36% of those in the placebo group. Other common adverse reactions are dizziness (5 to 15%), weakness (5 to 15%) and fatigue (2 to 4%).

Others reported:

Neuropsychiatric: Confusion (1 to 11%), headache (4 to 8%), insomnia (2 to 7%); and, rarely, euphoria, excitement, depression, hallucinations, paresthesia, muscle pain, tinnitus, slurred speech, coordination disorder, tremor, rigidity, dystonia, ataxia, blurred vision, nystagmus, strabismus, miosis, mydriasis, diplopia, dysarthria, epileptic seizure.

Cardiovascular: Hypotension (0 to 9%). Rare instances of dyspnea, palpitation, chest pain, syncope.

Gastrointestinal: Nausea (4 to 12%), constipation (2 to 6%); and rarely, dry mouth, anorexia, taste disorder, abdominal pain, vomiting, diarrhea, and positive test for occult blood in stool.

Genitourinary: Urinary frequency (2 to 6%); and rarely, enuresis, urinary retention, dysuria, impotence, inability to ejaculate, nocturia, hematuria.

Other: Instances of rash, pruritus, ankle edema, excessive perspiration, weight gain, nasal congestion.

Some of the CNS and genitourinary symptoms may be related to the underlying disease rather than to drug therapy. The following laboratory tests have been found to be abnormal in a few patients receiving baclofen: increased SGOT, elevated alkaline phosphatase, and elevation of blood sugar.

Contraindications (CONTRAINDICATIONS)

Hypersensitivity to baclofen.

Clinical Pharmacology (CLINICAL PHARMACOLOGY)

The precise mechanism of action of baclofen is not fully known. Baclofen is capable of inhibiting both monosynaptic and polysynaptic reflexes at the spinal level, possibly by hyperpolarization of afferent terminals, although actions at supraspinal sites may also occur and contribute to its clinical effect. Although baclofen is an analog of the putative inhibitory neurotransmitter gamma-aminobutyric acid (GABA), there is no conclusive evidence that actions on GABA systems are involved in the production of its clinical effects. In studies with animals baclofen has been shown to have general CNS depressant properties as indicated by the production of sedation with tolerance, somnolence, ataxia, and respiratory and cardiovascular depression. Baclofen is rapidly and extensively absorbed and eliminated. Absorption may be dose-dependent, being reduced with increasing doses. Baclofen is excreted primarily by the kidney in unchanged form and there is relatively large intersubject variation in absorption and/or elimination.

Indications and Usage (INDICATIONS AND USAGE)

Baclofen tablets USP are useful for the alleviation of signs and symptoms of spasticity resulting from multiple sclerosis, particularly for the relief of flexor spasms and concomitant pain, clonus, and muscular rigidity.

Patients should have reversible spasticity so that baclofen treatment will aid in restoring residual function. Baclofen tablets USP may also be of some value in patients with spinal cord injuries and other spinal cord diseases.

Baclofen tablets USP are not indicated in the treatment of skeletal muscle spasm resulting from rheumatic disorders.

The efficacy of baclofen in stroke, cerebral palsy, and Parkinson's disease has not been established and, therefore, it is not recommended for these conditions.

Dosage and Administration (DOSAGE AND ADMINISTRATION)

The determination of optimal dosage requires individual titration. Start therapy at a low dosage and increase gradually until optimum effect is achieved (usually between 40 to 80 mg daily).

The following dosage titration schedule is suggested:

   5 mg t.i.d. for 3 days

 10 mg t.i.d. for 3 days

 15 mg t.i.d. for 3 days

 20 mg t.i.d. for 3 days

Thereafter additional increases may be necessary but the total daily dose should not exceed a maximum of 80 mg daily (20 mg q.i.d.).

The lowest dose compatible with an optimal response is recommended. If benefits are not evident after a reasonable trial period, patients should be slowly withdrawn from the drug (see  WARNINGS , Abrupt Drug Withdrawal).

Package/label Display Panel (Package/Label Display Panel)

MAJOR®

NDC 0904-6475-61

Unit Dose

Baclofen

Tablets, USP

10 mg

100 TABLETS (10 x 10)

Rx only


Advanced Ingredient Data


Raw Label Data

All Sections (JSON)