Hydrocodone Bitartrate And Acetaminophen Oral Solution, 7.5 Mg/325 Mg Per 15 Ml

Hydrocodone Bitartrate And Acetaminophen Oral Solution, 7.5 Mg/325 Mg Per 15 Ml
SPL v3
SPL
SPL Set ID adb37532-aa19-48a2-95a1-8c92a6ce8651
Route
ORAL
Published
Effective Date 2022-10-17
Document Type 34391-3 Human Prescription Drug Label

Drug Facts

Composition & Product

Active Ingredients
Hydrocodone (7.5 mg) Acetaminophen (325 mg)
Inactive Ingredients
Anhydrous Citric Acid Ethyl Maltol Glycerin Methylparaben Propylparaben Propylene Glycol Saccharin Sodium Sorbitol Sucrose D&c Red No. 33 Fd&c Red No. 40 Water

Identifiers & Packaging

Pill Appearance
Color: red
Marketing Status
ANDA Active Since 2019-04-08

Description

WARNING: RISK OF MEDICATION ERRORS; ADDICTION, ABUSE, AND MISUSE; RISK EVALUATION AND MITIGATION STRATEGY (REMS); LIFE-THREATENING RESPIRATORY DEPRESSION; ACCIDENTAL INGESTION; NEONATAL OPIOID WITHDRAWAL SYNDROME; CYTOCHROME P450 3A4 INTERACTION; HEPATOTOXICITY; and RISKS FROM CONCOMITANT USE WITH BENZODIAZEPINES OR OTHER CNS DEPRESSANTS Risk of Medication Errors Ensure accuracy when prescribing, dispensing, and administering hydrocodone bitartrate and acetaminophen oral solution. Dosing errors due to confusion between mg and mL, and other hydrocodone bitartrate and acetaminophen oral solutions of different concentrations can result in accidental overdose and death [see WARNINGS, DOSAGE AND ADMINISTRATION ]. Addiction, Abuse, and Misuse Hydrocodone bitartrate and acetaminophen oral solution exposes patients and other users to the risks of opioid addiction, abuse, and misuse, which can lead to overdose and death. Assess each patient’s risk prior to prescribing hydrocodone bitartrate and acetaminophen oral solution, and monitor all patients regularly for the development of these behaviors and conditions [see WARNINGS ]. Opioid Analgesic Risk Evaluation and Mitigation Strategy (REMS) To ensure that the benefits of opioid analgesics outweigh the risks of addiction, abuse, and misuse, the Food and Drug Administration (FDA) has required a REMS for these products [see Warnings ]. Under the requirements of the REMS, drug companies with approved opioid analgesic products must make REMS- compliant education programs available to healthcare providers. Healthcare providers are strongly encouraged to: •  complete a REMS-compliant education program, •  counsel patients and/or their caregivers, with every prescription, on safe use, serious risks, storage, and disposal of these products, •  emphasize to patients and their caregivers the importance of reading the Medication Guide every time it is provided by their pharmacist, and •  consider other tools to improve patient, household, and community safety. Life-Threatening Respiratory Depression Serious, life-threatening, or fatal respiratory depression may occur with use of hydrocodone bitartrate and acetaminophen oral solution. Follow patients for signs of respiratory depression, especially during initiation of hydrocodone bitartrate and acetaminophen oral solution or following a dose increase [see WARNINGS ]. Accidental Ingestion Accidental ingestion of hydrocodone bitartrate and acetaminophen oral solution, especially by children, can result in a fatal overdose of hydrocodone bitartrate and acetaminophen oral solution [see WARNINGS ]. Neonatal Opioid Withdrawal Syndrome Prolonged use of hydrocodone bitartrate and acetaminophen oral solution during pregnancy can result in neonatal opioid withdrawal syndrome, which may be life-threatening if not recognized and treated, and requires management according to protocols developed by neonatology experts. If opioid use is required for a prolonged period in a pregnant woman, advise the patient of the risk of neonatal opioid withdrawal syndrome and ensure that appropriate treatment will be available [see WARNINGS ]. Cytochrome P450 3A4 Interaction The concomitant use of hydrocodone bitartrate and acetaminophen oral solution with all cytochrome P450 3A4 inhibitors may result in an increase in hydrocodone plasma concentrations, which may cause potentially fatal respiratory depression. In addition, discontinuation of a concomitantly used cytochrome P450 3A4 inducer may result in an increase in hydrocodone plasma concentration. Follow patients receiving hydrocodone bitartrate and acetaminophen oral solution and any cytochrome P450 3A4 inhibitor or inducer for signs and symptoms of respiratory depression and sedation [see CLINICAL PHARMACOLOGY , WARNINGS , PRECAUTIONS; Drug Interactions ]. Hepatotoxicity Acetaminophen has been associated with cases of acute liver failure, at times resulting in liver transplant and death. Most of the cases of liver injury are associated with the use of acetaminophen at doses that exceed 4,000 milligrams per day, and often involve more than one acetaminophen-containing product [see WARNINGS , OVERDOSAGE ]. Risks from Concomitant Use with Benzodiazepines or Other CNS Depressants Concomitant use of opioids with benzodiazepines or other central nervous system (CNS) depressants, including alcohol, may result in profound sedation, respiratory depression, coma, and death [see WARNINGS , PRECAUTIONS; Drug Interactions ]. • Reserve concomitant prescribing of hydrocodone bitartrate and acetaminophen oral solution and benzodiazepines or other CNS depressants for use in patients for whom alternative treatment options are inadequate. • Limit dosages and durations to the minimum required. • Follow patients for signs and symptoms of respiratory depression and sedation.

Indications and Usage

Hydrocodone bitartrate and acetaminophen oral solution is indicated for the management of pain severe enough to require an opioid analgesic and for which alternative treatments are inadequate. Limitations of Use Because of the risks of addiction, abuse, and misuse, with opioids, even at recommended doses [see WARNINGS ], reserve hydrocodone bitartrate and acetaminophen oral solution for use in patients for whom alternative treatment options (e.g., non-opioid analgesics): •  have not been tolerated, or are not expected to be tolerated •  have not provided adequate analgesia, or are not expected to provide adequate analgesia

Dosage and Administration

Important Dosage and Administration Instructions Ensure accuracy when prescribing, dispensing, and administering hydrocodone bitartrate and acetaminophen oral solution to avoid dosing errors due to confusion between mg and mL, and with other hydrocodone bitartrate and acetaminophen oral solutions of different concentrations, which could result in accidental overdose and death. Ensure the proper dose is communicated and dispensed. When writing prescriptions, include both the total dose in mg and the total dose in volume. Always use a calibrated measuring device when administering hydrocodone bitartrate and acetaminophen oral solution to ensure the dose is measured and administered accurately. Health care providers should recommend a dropper that can measure and deliver the prescribed dose accurately, and instruct caregivers to use extreme caution in measuring the dosage. Use the lowest effective dosage for the shortest duration consistent with individual patient treatment goals [see WARNINGS ]. Initiate the dosing regimen for each patient individually; taking into account the patient's severity of pain, patient response, prior analgesic treatment experience, and risk factors for addiction, abuse, and misuse [see WARNINGS ]. Follow patients closely for respiratory depression, especially within the first 24-72 hours of initiating therapy and following dosage increases with hydrocodone bitartrate and acetaminophen oral solution and adjust the dosage accordingly [see WARNINGS ]. Patient Access to Naloxone for the Emergency Treatment of Opioid Overdose Discuss the availability of naloxone for the emergency treatment of opioid overdose with the patient and caregiver and assess the potential need for access to naloxone, both when initiating and renewing treatment with Hydrocodone Bitartrate and Acetaminophen Oral Solution (see WARNINGS , Life-Threatening Respiratory Depression ; PRECAUTIONS , Information for Patients/Caregivers ). Inform patients and caregivers about the various ways to obtain naloxone as permitted by individual state naloxone dispensing and prescribing regulations (e.g., by prescription, directly from a pharmacist, or as part of a community-based program). Consider prescribing naloxone, based on the patient’s risk factors for overdose, such as concomitant use of CNS depressants, a history of opioid use disorder, or prior opioid overdose. The presence of risk factors for overdose should not prevent the proper management of pain in any given patient (see WARNINGS , Addiction, Abuse, and Misuse , Life-Threatening Respiratory Depression , Risks from Concomitant Use with Benzodiazepines or Other CNS Depressants ). Consider prescribing naloxone when the patient has household members (including children) or other close contacts at risk for accidental ingestion or overdose. Initial Dosage Initiating Treatment with Hydrocodone Bitartrate and Acetaminophen Oral Solution The usual adult dosage is one tablespoonful (15 mL) every 4 to 6 hours as needed for pain. The total daily dosage for adults should not exceed 6 tablespoonfuls. The usual dosages for children are given by the table below and is to be given every 4 to 6 hours as needed for pain. The total daily dosage for children should not exceed 6 doses per day. These dosages correspond to an average individual dose of 0.27 mL/kg of hydrocodone bitartrate and acetaminophen oral solution (providing 0.135 mg/kg of hydrocodone bitartrate and 5.85 mg/kg of acetaminophen). Dosing should be based on weight whenever possible. It is of utmost importance that the dose of hydrocodone bitartrate and acetaminophen oral solution be administered accurately. A household teaspoon or tablespoon is not an adequate measuring device, especially when one-half or three-fourths of a teaspoonful is to be measured. Given the variability of the household spoon measure it is strongly recommended that caregivers obtain and use a calibrated measuring device. Health care providers should recommend a dropper that can measure and deliver the prescribed dose accurately, and instruct caregivers to use extreme caution in measuring the dosage.   BODY WEIGHT   APPROXIMATE AGE  DOSE every 4 to 6 hours MAXIMUM TOTAL DAILY DOSE (6 doses per day) 12 to 15 kg 27 to 34 lbs.   2 to 3 years ¾ teaspoonful = 3.75 mL 4 ½ teaspoonfuls = 22.5 mL 16 to 22 kg 35 to 50 lbs.   4 to 6 years 1 teaspoonful = 5 mL 6 teaspoonfuls = 30 mL 23 to 31 kg 51 to 69 lbs.   7 to 9 years 1 ½ teaspoonfuls = 7.5 mL 9 teaspoonfuls = 45 mL 32 to 45 kg 70 to 100 lbs.   10 to 13 years 2 teaspoonfuls = 10 mL 12 teaspoonfuls = 60 mL 46 kg and  up 101 lbs. and up   14 years to adult 1 Tablespoonful = 15 mL 6 Tablespoonfuls = 90 mL Conversion from Other Opioids to Hydrocodone Bitartrate and Acetaminophen Oral Solution There is inter-patient variability in the potency of opioid drugs and opioid formulations. Therefore, a conservative approach is advised when determining the total daily dosage of hydrocodone bitartrate and acetaminophen oral solution. It is safer to underestimate a patient’s 24-hour hydrocodone bitartrate and acetaminophen oral solution dosage than to overestimate the 24-hour hydrocodone bitartrate and acetaminophen oral solution dosage and manage an adverse reaction due to overdose. Conversion from Hydrocodone Bitartrate and Acetaminophen Oral Solution to Extended-Release Hydrocodone The relative bioavailability of hydrocodone from hydrocodone bitartrate and acetaminophen oral solution compared to extended-release hydrocodone is unknown, so conversion to extended-release tablets must be accompanied by close observation for signs of excessive sedation and respiratory depression. Titration and Maintenance of Therapy Individually titrate hydrocodone bitartrate and acetaminophen oral solution to a dose that provides adequate analgesia and minimizes adverse reactions. Continually reevaluate patients receiving hydrocodone bitartrate and acetaminophen oral solution to assess the maintenance of pain control and the relative incidence of adverse reactions, as well as monitoring for the development of addiction, abuse, or misuse [see WARNINGS ]. Frequent communication is important among the prescriber, other members of the healthcare team, the patient, and the caregiver/family during periods of changing analgesic requirements, including initial titration. If the level of pain increases after dosage stabilization, attempt to identify the source of increased pain before increasing the hydrocodone bitartrate and acetaminophen oral solution dosage. If unacceptable opioid-related adverse reactions are observed, consider reducing the dosage. Adjust the dosage to obtain an appropriate balance between management of pain and opioid-related adverse reactions. Safe Reduction or Discontinuation of Hydrocodone Bitartrate and Acetaminophen Oral Solution Do not abruptly discontinue Hydrocodone Bitartrate and Acetaminophen Oral Solution in patients who may be physically dependent on opioids. Rapid discontinuation of opioid analgesics in patients who are physically dependent on opioids has resulted in serious withdrawal symptoms, uncontrolled pain, and suicide. Rapid discontinuation has also been associated with attempts to find other sources of opioid analgesics, which may be confused with drug-seeking for abuse. Patients may also attempt to treat their pain or withdrawal symptoms with illicit opioids, such as heroin, and other substances. When a decision has been made to decrease the dose or discontinue therapy in an opioid-dependent patient taking Hydrocodone Bitartrate and Acetaminophen Oral Solution, there are a variety of factors that should be considered, including the dose of Hydrocodone Bitartrate and Acetaminophen Oral Solution the patient has been taking, the duration of treatment, the type of pain being treated, and the physical and psychological attributes of the patient. It is important to ensure ongoing care of the patient and to agree on an appropriate tapering schedule and follow-up plan so that patient and provider goals and expectations are clear and realistic. When opioid analgesics are being discontinued due to a suspected substance use disorder, evaluate and treat the patient, or refer for evaluation and treatment of the substance use disorder. Treatment should include evidence-based approaches, such as medication assisted treatment of opioid use disorder. Complex patients with co-morbid pain and substance use disorders may benefit from referral to a specialist. There are no standard opioid tapering schedules that are suitable for all patients. Good clinical practice dictates a patient-specific plan to taper the dose of the opioid gradually. For patients on Hydrocodone Bitartrate and Acetaminophen Oral Solution who are physically opioid-dependent, initiate the taper by a small enough increment (e.g., no greater than 10% to 25% of the total daily dose) to avoid withdrawal symptoms, and proceed with dose-lowering at an interval of every 2 to 4 weeks. Patients who have been taking opioids for briefer periods of time may tolerate a more rapid taper. It may be necessary to provide the patient with lower dosage strengths to accomplish a successful taper. Reassess the patient frequently to manage pain and withdrawal symptoms, should they emerge. Common withdrawal symptoms include restlessness, lacrimation, rhinorrhea, yawning, perspiration, chills, myalgia, and mydriasis. Other signs and symptoms also may develop, including irritability, anxiety, backache, joint pain, weakness, abdominal cramps, insomnia, nausea, anorexia, vomiting, diarrhea, or increased blood pressure, respiratory rate, or heart rate. If withdrawal symptoms arise, it may be necessary to pause the taper for a period of time or raise the dose of the opioid analgesic to the previous dose, and then proceed with a slower taper. In addition, monitor patients for any changes in mood, emergence of suicidal thoughts, or use of other substances. When managing patients taking opioid analgesics, particularly those who have been treated for a long duration and/or with high doses for chronic pain, ensure that a multimodal approach to pain management, including mental health support (if needed), is in place prior to initiating an opioid analgesic taper. A multimodal approach to pain management may optimize the treatment of chronic pain, as well as assist with the successful tapering of the opioid analgesic [see WARNINGS / Withdrawal , DRUG ABUSE AND DEPENDENCE ].

Boxed Warning
WARNING: RISK OF MEDICATION ERRORS; ADDICTION, ABUSE, AND MISUSE; RISK EVALUATION AND MITIGATION STRATEGY (REMS); LIFE-THREATENING RESPIRATORY DEPRESSION; ACCIDENTAL INGESTION; NEONATAL OPIOID WITHDRAWAL SYNDROME; CYTOCHROME P450 3A4 INTERACTION; HEPATOTOXICITY; and RISKS FROM CONCOMITANT USE WITH BENZODIAZEPINES OR OTHER CNS DEPRESSANTS Risk of Medication Errors Ensure accuracy when prescribing, dispensing, and administering hydrocodone bitartrate and acetaminophen oral solution. Dosing errors due to confusion between mg and mL, and other hydrocodone bitartrate and acetaminophen oral solutions of different concentrations can result in accidental overdose and death [see WARNINGS, DOSAGE AND ADMINISTRATION ]. Addiction, Abuse, and Misuse Hydrocodone bitartrate and acetaminophen oral solution exposes patients and other users to the risks of opioid addiction, abuse, and misuse, which can lead to overdose and death. Assess each patient’s risk prior to prescribing hydrocodone bitartrate and acetaminophen oral solution, and monitor all patients regularly for the development of these behaviors and conditions [see WARNINGS ]. Opioid Analgesic Risk Evaluation and Mitigation Strategy (REMS) To ensure that the benefits of opioid analgesics outweigh the risks of addiction, abuse, and misuse, the Food and Drug Administration (FDA) has required a REMS for these products [see Warnings ]. Under the requirements of the REMS, drug companies with approved opioid analgesic products must make REMS- compliant education programs available to healthcare providers. Healthcare providers are strongly encouraged to: •  complete a REMS-compliant education program, •  counsel patients and/or their caregivers, with every prescription, on safe use, serious risks, storage, and disposal of these products, •  emphasize to patients and their caregivers the importance of reading the Medication Guide every time it is provided by their pharmacist, and •  consider other tools to improve patient, household, and community safety. Life-Threatening Respiratory Depression Serious, life-threatening, or fatal respiratory depression may occur with use of hydrocodone bitartrate and acetaminophen oral solution. Follow patients for signs of respiratory depression, especially during initiation of hydrocodone bitartrate and acetaminophen oral solution or following a dose increase [see WARNINGS ]. Accidental Ingestion Accidental ingestion of hydrocodone bitartrate and acetaminophen oral solution, especially by children, can result in a fatal overdose of hydrocodone bitartrate and acetaminophen oral solution [see WARNINGS ]. Neonatal Opioid Withdrawal Syndrome Prolonged use of hydrocodone bitartrate and acetaminophen oral solution during pregnancy can result in neonatal opioid withdrawal syndrome, which may be life-threatening if not recognized and treated, and requires management according to protocols developed by neonatology experts. If opioid use is required for a prolonged period in a pregnant woman, advise the patient of the risk of neonatal opioid withdrawal syndrome and ensure that appropriate treatment will be available [see WARNINGS ]. Cytochrome P450 3A4 Interaction The concomitant use of hydrocodone bitartrate and acetaminophen oral solution with all cytochrome P450 3A4 inhibitors may result in an increase in hydrocodone plasma concentrations, which may cause potentially fatal respiratory depression. In addition, discontinuation of a concomitantly used cytochrome P450 3A4 inducer may result in an increase in hydrocodone plasma concentration. Follow patients receiving hydrocodone bitartrate and acetaminophen oral solution and any cytochrome P450 3A4 inhibitor or inducer for signs and symptoms of respiratory depression and sedation [see CLINICAL PHARMACOLOGY , WARNINGS , PRECAUTIONS; Drug Interactions ]. Hepatotoxicity Acetaminophen has been associated with cases of acute liver failure, at times resulting in liver transplant and death. Most of the cases of liver injury are associated with the use of acetaminophen at doses that exceed 4,000 milligrams per day, and often involve more than one acetaminophen-containing product [see WARNINGS , OVERDOSAGE ]. Risks from Concomitant Use with Benzodiazepines or Other CNS Depressants Concomitant use of opioids with benzodiazepines or other central nervous system (CNS) depressants, including alcohol, may result in profound sedation, respiratory depression, coma, and death [see WARNINGS , PRECAUTIONS; Drug Interactions ]. • Reserve concomitant prescribing of hydrocodone bitartrate and acetaminophen oral solution and benzodiazepines or other CNS depressants for use in patients for whom alternative treatment options are inadequate. • Limit dosages and durations to the minimum required. • Follow patients for signs and symptoms of respiratory depression and sedation.
Contraindications

Hydrocodone bitartrate and acetaminophen oral solution is contraindicated in patients with: • Significant respiratory depression [see WARNINGS ] • Acute or severe bronchial asthma in an unmonitored setting or in the absence of resuscitative equipment [see WARNINGS ] • Known or suspected gastrointestinal obstruction, including paralytic ileus [see WARNINGS ] • Hypersensitivity to hydrocodone or acetaminophen (e.g., anaphylaxis) [see WARNINGS , ADVERSE REACTIONS ]

Adverse Reactions

The following adverse reactions have been identified during post approval use of hydrocodone bitartrate and acetaminophen oral solution. Because these reactions are reported voluntarily from a population of uncertain size, it is not always possible to reliably estimate their frequency or establish a causal relationship to drug exposure. The most frequently reported adverse reactions are light-headedness, dizziness, sedation, nausea and vomiting. Other adverse reactions include: Cardio-Renal : Bradycardia, cardiac arrest, circulatory collapse, renal toxicity, renal tubular necrosis, hypotension. Central Nervous System/Psychiatric : Anxiety, dizziness, drowsiness, dysphoria, euphoria, fear, general malaise, impairment of mental and physical performance, lethargy, lightheadedness, mental clouding, mood changes, psychological dependence, sedation, somnolence progressing to stupor or coma. Endocrine : Hypoglycemic coma. Gastrointestinal System : Abdominal pain, constipation, gastric distress, heartburn, hepatic necrosis, hepatitis, occult blood loss, nausea, peptic ulcer, and vomiting. Genitourinary System : Spasm of vesical sphincters, ureteral spasm, and urinary retention. Hematologic : Agranulocytosis, hemolytic anemia, iron deficiency anemia, prolonged bleeding time, thrombocytopenia. Hypersensitivity : Allergic reactions. Musculoskeletal : Skeletal muscle flaccidity. Respiratory Depression : Acute airway obstruction, apnea, dose-related respiratory depression [see OVERDOSAGE ], shortness of breath. Special Senses : Cases of hearing impairment or permanent loss have been reported predominantly in patients with chronic overdose. Skin : Cold and clammy skin, diaphoresis, pruritus, rash. • Serotonin syndrome : Cases of serotonin syndrome, a potentially life-threatening condition, have been reported during concomitant use of opioids with serotonergic drugs. • Adrenal insufficiency : Cases of adrenal insufficiency have been reported with opioid use, more often following greater than one month of use. • Anaphylaxis : Anaphylaxis has been reported with ingredients contained in hydrocodone and acetaminophen oral solution • Androgen deficiency : Cases of androgen deficiency have occurred with chronic use of opioids [see CLINICAL PHARMACOLOGY ].

Drug Interactions

Inhibitors of CYP3A4 and CYP2D6 The concomitant use of hydrocodone bitartrate and acetaminophen oral solution and CYP3A4 inhibitors, such as macrolide antibiotics (e.g., erythromycin), azole-antifungal agents (e.g. ketoconazole), and protease inhibitors (e.g., ritonavir), can increase the plasma concentration of hydrocodone from hydrocodone bitartrate and acetaminophen oral solution, resulting in increased or prolonged opioid effects. These effects could be more pronounced with concomitant use of hydrocodone bitartrate and acetaminophen oral solution and both CYP3A4 and CYP2D6 inhibitors, particularly when an inhibitor is added after a stable dose of hydrocodone bitartrate and acetaminophen oral solution is achieved [see WARNINGS ]. After stopping a CYP3A4 inhibitor, as the effects of the inhibitor decline, hydrocodone plasma concentration will decrease [see CLINICAL PHARMACOLOGY ], resulting in decreased opioid efficacy or a withdrawal syndrome in patients who had developed physical dependence to hydrocodone bitartrate and acetaminophen oral solution. If concomitant use is necessary, consider dosage reduction of hydrocodone bitartrate and acetaminophen oral solution until stable drug effects are achieved. Follow patients for respiratory depression and sedation at frequent intervals. If a CYP3A4 inhibitor is discontinued, consider increasing the hydrocodone bitartrate and acetaminophen oral solution dosage until stable drug effects are achieved. Follow patients for signs or symptoms of opioid withdrawal. Inducers of CYP3A4 The concomitant use of hydrocodone bitartrate and acetaminophen oral solution and CYP3A4 inducers, such as rifampin, carbamazepine, and phenytoin, can decrease the plasma concentration of hydrocodone [see CLINICAL PHARMACOLOGY ], resulting in decreased efficacy or onset of a withdrawal syndrome in patients who have developed physical dependence to hydrocodone bitartrate and acetaminophen oral solution [see WARNINGS ]. After stopping a CYP3A4 inducer, as the effects of the inducer decline, the hydrocodone plasma concentration will increase [see CLINICAL PHARMACOLOGY ], which could increase or prolong both the therapeutic effects and adverse reactions, and may cause serious respiratory depression. If concomitant use is necessary, consider increasing the hydrocodone bitartrate and acetaminophen oral solution dosage until stable drug effects are achieved [see DOSAGE AND ADMINISTRATION ]. Follow for signs of opioid withdrawal. If a CYP3A4 inducer is discontinued, consider hydrocodone bitartrate and acetaminophen oral solution dosage reduction and monitor for signs of respiratory depression. Benzodiazepines and Other CNS Depressants Due to additive pharmacologic effect, the concomitant use of benzodiazepines and other CNS depressants such as benzodiazepines and other sedative hypnotics, anxiolytics, and tranquilizers, muscle relaxants, general anesthetics, antipsychotics, and other opioids, including alcohol, can increase the risk of hypotension, respiratory depression, profound sedation, coma, and death. Reserve concomitant prescribing of these drugs for use in patients for whom alternative treatment options are inadequate. Limit dosages and durations to the minimum required. Follow patients closely for signs of respiratory depression and sedation. If concomitant use is warranted, consider prescribing naloxone for the emergency treatment of opioid overdose [see WARNINGS ]. Serotonergic Drugs The concomitant use of opioids with other drugs that affect the serotonergic neurotransmitter system, such as selective serotonin reuptake inhibitors (SSRIs), serotonin and norepinephrine reuptake inhibitors (SNRIs), tricyclic antidepressants (TCAs), triptans, 5-HT3 receptor antagonists, drugs that affect the serotonin neurotransmitter system (e.g., mirtazapine, trazodone, tramadol), certain muscle relaxants (i.e., cyclobenzaprine, metaxalone), and monoamine oxidase (MAO) inhibitors (those intended to treat psychiatric disorders and also others, such as linezolid and intravenous methylene blue), has resulted in serotonin syndrome [see PRECAUTIONS; Information for Patients/Caregivers ]. If concomitant use is warranted, carefully observe the patient, particularly during treatment initiation and dose adjustment. Discontinue hydrocodone bitartrate and acetaminophen oral solution if serotonin syndrome is suspected. Monoamine Oxidase Inhibitors (MAOIs) The concomitant use of opioids and MAOIs, such as phenelzine, tranylcypromine, or linezolid, may manifest as serotonin syndrome, or opioid toxicity (e.g., respiratory depression, coma) [see WARNINGS ]. The use of hydrocodone bitartrate and acetaminophen oral solution is not recommended for patients taking MAOIs or within 14 days of stopping such treatment. If urgent use of an opioid is necessary, use test doses and frequent titration of small doses to treat pain while closely monitoring blood pressure and signs and symptoms of CNS and respiratory depression. Mixed Agonist/Antagonist and Partial Agonist Opioid Analgesics The concomitant use of opioids with other opioid analgesics, such as butorphanol, nalbuphine, pentazocine, may reduce the analgesic effect of hydrocodone bitartrate and acetaminophen oral solution and/or precipitate withdrawal symptoms. Advise patient to avoid concomitant use of these drugs. Muscle Relaxants Hydrocodone bitartrate and acetaminophen oral solution may enhance the neuromuscular blocking action of skeletal muscle relaxants and produce an increased degree of respiratory depression. If concomitant use is warranted, monitor patients for signs of respiratory depression that may be greater than otherwise expected and decrease the dosage of Hydrocodone Bitartrate and Acetaminophen Oral Solution and/or the muscle relaxant as necessary. Due to the risk of respiratory depression with concomitant use of skeletal muscle relaxants and opioids, consider prescribing naloxone for the emergency treatment of opioid overdose (see WARNINGS ).  Diuretics Opioids can reduce the efficacy of diuretics by inducing the release of antidiuretic hormone. If concomitant use is warranted, monitor patients for signs of diminished diuresis and/or effects on blood pressure and increase the dosage of the diuretic as needed. Anticholinergic Drugs The concomitant use of anticholinergic drugs may increase risk of urinary retention and/or severe constipation, which may lead to paralytic ileus. If concomitant use is warranted, follow patients for signs of urinary retention or reduced gastric motility when hydrocodone bitartrate and acetaminophen oral solution is used concomitantly with anticholinergic drugs.

How Supplied

Hydrocodone Bitartrate and Acetaminophen Oral Solution, each 15 mL of which contains hydrocodone bitartrate 7.5 mg ( WARNING: May be habit-forming ), acetaminophen 325 mg, and alcohol 7%. is supplied as a red-colored, tropical fruit punch-flavored liquid, in the following containers. Bottles of 16 fl. oz. (473 mL), NDC 71930-027-43. Store at 20° to 25°C (68° to 77°F) [see USP Controlled Room Temperature]. Dispense in a tight, light-resistant container with a child-resistant closure. Store Hydrocodone Bitartrate and Acetaminophen Oral Solution securely and dispose of properly [see PRECAUTIONS/Information for Patients ]. Manufactured by: Wes Pharma Inc. Westminster, MD 21157 USA Distributed by: Eywa Pharma Inc. 2 Research Way, Floor 3 Princeton, NJ 08540 Revised: 10/2022


Medication Information

Boxed Warning

WARNING: RISK OF MEDICATION ERRORS; ADDICTION, ABUSE, AND MISUSE; RISK EVALUATION AND MITIGATION STRATEGY (REMS); LIFE-THREATENING RESPIRATORY DEPRESSION; ACCIDENTAL INGESTION; NEONATAL OPIOID WITHDRAWAL SYNDROME; CYTOCHROME P450 3A4 INTERACTION; HEPATOTOXICITY; and RISKS FROM CONCOMITANT USE WITH BENZODIAZEPINES OR OTHER CNS DEPRESSANTS



Risk of Medication Errors

Ensure accuracy when prescribing, dispensing, and administering hydrocodone bitartrate and acetaminophen oral solution. Dosing errors due to confusion between mg and mL, and other hydrocodone bitartrate and acetaminophen oral solutions of different concentrations can result in accidental overdose and death [see WARNINGS, DOSAGE AND ADMINISTRATION].



Addiction, Abuse, and Misuse

Hydrocodone bitartrate and acetaminophen oral solution exposes patients and other users to the risks of opioid addiction, abuse, and misuse, which can lead to overdose and death. Assess each patient’s risk prior to prescribing hydrocodone bitartrate and acetaminophen oral solution, and monitor all patients regularly for the development of these behaviors and conditions [see WARNINGS].



Opioid Analgesic Risk Evaluation and Mitigation Strategy (REMS)

To ensure that the benefits of opioid analgesics outweigh the risks of addiction, abuse, and misuse, the Food and Drug Administration (FDA) has required a REMS for these products [see Warnings]. Under the requirements of the REMS, drug companies with approved opioid analgesic products must make REMS- compliant education programs available to healthcare providers. Healthcare providers are strongly encouraged to:



•  complete a REMS-compliant education program,

•  counsel patients and/or their caregivers, with every prescription, on safe use, serious risks, storage, and disposal of these products,

•  emphasize to patients and their caregivers the importance of reading the Medication Guide every time it is provided by their pharmacist, and

•  consider other tools to improve patient, household, and community safety.



Life-Threatening Respiratory Depression

Serious, life-threatening, or fatal respiratory depression may occur with use of hydrocodone bitartrate and acetaminophen oral solution. Follow patients for signs of respiratory depression, especially during initiation of hydrocodone bitartrate and acetaminophen oral solution or following a dose increase [see WARNINGS].



Accidental Ingestion

Accidental ingestion of hydrocodone bitartrate and acetaminophen oral solution, especially by children, can result in a fatal overdose of hydrocodone bitartrate and acetaminophen oral solution [see WARNINGS].



Neonatal Opioid Withdrawal Syndrome

Prolonged use of hydrocodone bitartrate and acetaminophen oral solution during pregnancy can result in neonatal opioid withdrawal syndrome, which may be life-threatening if not recognized and treated, and requires management according to protocols developed by neonatology experts. If opioid use is required for a prolonged period in a pregnant woman, advise the patient of the risk of neonatal opioid withdrawal syndrome and ensure that appropriate treatment will be available [see WARNINGS].



Cytochrome P450 3A4 Interaction

The concomitant use of hydrocodone bitartrate and acetaminophen oral solution with all cytochrome P450 3A4 inhibitors may result in an increase in hydrocodone plasma concentrations, which may cause potentially fatal respiratory depression. In addition, discontinuation of a concomitantly used cytochrome P450 3A4 inducer may result in an increase in hydrocodone plasma concentration. Follow patients receiving hydrocodone bitartrate and acetaminophen oral solution and any cytochrome P450 3A4 inhibitor or inducer for signs and symptoms of respiratory depression and sedation [see CLINICAL PHARMACOLOGY, WARNINGS, PRECAUTIONS; Drug Interactions].



Hepatotoxicity

Acetaminophen has been associated with cases of acute liver failure, at times resulting in liver transplant and death. Most of the cases of liver injury are associated with the use of acetaminophen at doses that exceed 4,000 milligrams per day, and often involve more than one acetaminophen-containing product [see WARNINGS, OVERDOSAGE].



Risks from Concomitant Use with Benzodiazepines or Other CNS Depressants

Concomitant use of opioids with benzodiazepines or other central nervous system (CNS) depressants, including alcohol, may result in profound sedation, respiratory depression, coma, and death [see WARNINGS, PRECAUTIONS; Drug Interactions].

• Reserve concomitant prescribing of hydrocodone bitartrate and acetaminophen oral solution and benzodiazepines or other CNS depressants for use in patients for whom alternative treatment options are inadequate.

• Limit dosages and durations to the minimum required.

• Follow patients for signs and symptoms of respiratory depression and sedation.







Indications and Usage

Hydrocodone bitartrate and acetaminophen oral solution is indicated for the management of pain severe enough to require an opioid analgesic and for which alternative treatments are inadequate.



Limitations of Use

Because of the risks of addiction, abuse, and misuse, with opioids, even at recommended doses [see WARNINGS], reserve hydrocodone bitartrate and acetaminophen oral solution for use in patients for whom alternative treatment options (e.g., non-opioid analgesics):

•  have not been tolerated, or are not expected to be tolerated

•  have not provided adequate analgesia, or are not expected to provide adequate analgesia

Dosage and Administration

Important Dosage and Administration Instructions

Ensure accuracy when prescribing, dispensing, and administering hydrocodone bitartrate and acetaminophen oral solution to avoid dosing errors due to confusion between mg and mL, and with other hydrocodone bitartrate and acetaminophen oral solutions of different concentrations, which could result in accidental overdose and death. Ensure the proper dose is communicated and dispensed. When writing prescriptions, include both the total dose in mg and the total dose in volume.



Always use a calibrated measuring device when administering hydrocodone bitartrate and acetaminophen oral solution to ensure the dose is measured and administered accurately. Health care providers should recommend a dropper that can measure and deliver the prescribed dose accurately, and instruct caregivers to use extreme caution in measuring the dosage.



Use the lowest effective dosage for the shortest duration consistent with individual patient treatment goals [see WARNINGS].

Initiate the dosing regimen for each patient individually; taking into account the patient's severity of pain, patient response, prior analgesic treatment experience, and risk factors for addiction, abuse, and misuse [see WARNINGS].

Follow patients closely for respiratory depression, especially within the first 24-72 hours of initiating therapy and following dosage increases with hydrocodone bitartrate and acetaminophen oral solution and adjust the dosage accordingly [see WARNINGS].



Patient Access to Naloxone for the Emergency Treatment of Opioid Overdose

Discuss the availability of naloxone for the emergency treatment of opioid overdose with the patient and caregiver and assess the potential need for access to naloxone, both when initiating and renewing treatment with Hydrocodone Bitartrate and Acetaminophen Oral Solution (see WARNINGS, Life-Threatening Respiratory Depression; PRECAUTIONS, Information for Patients/Caregivers).



Inform patients and caregivers about the various ways to obtain naloxone as permitted by individual state naloxone dispensing and prescribing regulations (e.g., by prescription, directly from a pharmacist, or as part of a community-based program). Consider prescribing naloxone, based on the patient’s risk factors for overdose, such as concomitant use of CNS depressants, a history of opioid use disorder, or prior opioid overdose. The presence of risk factors for overdose should not prevent the proper management of pain in any given patient (see WARNINGS, Addiction, Abuse, and Misuse, Life-Threatening Respiratory Depression, Risks from Concomitant Use with Benzodiazepines or Other CNS Depressants).



Consider prescribing naloxone when the patient has household members (including children) or other close contacts at risk for accidental ingestion or overdose.



Initial Dosage



Initiating Treatment with Hydrocodone Bitartrate and Acetaminophen Oral Solution

The usual adult dosage is one tablespoonful (15 mL) every 4 to 6 hours as needed for pain. The total daily dosage for adults should not exceed 6 tablespoonfuls.



The usual dosages for children are given by the table below and is to be given every 4 to 6 hours as needed for pain. The total daily dosage for children should not exceed 6 doses per day. These dosages correspond to an average individual dose of 0.27 mL/kg of hydrocodone bitartrate and acetaminophen oral solution (providing 0.135 mg/kg of hydrocodone bitartrate and 5.85 mg/kg of acetaminophen). Dosing should be based on weight whenever possible.



It is of utmost importance that the dose of hydrocodone bitartrate and acetaminophen oral solution be administered accurately. A household teaspoon or tablespoon is not an adequate measuring device, especially when one-half or three-fourths of a teaspoonful is to be measured. Given the variability of the household spoon measure it is strongly recommended that caregivers obtain and use a calibrated measuring device. Health care providers should recommend a dropper that can measure and deliver the prescribed dose accurately, and instruct caregivers to use extreme caution in measuring the dosage.



 



BODY WEIGHT


 

APPROXIMATE AGE


 DOSE

every 4 to 6 hours


MAXIMUM TOTAL DAILY DOSE

(6 doses per day)


12 to 15 kg

27 to 34 lbs.


 

2 to 3 years


¾ teaspoonful

= 3.75 mL


4 ½ teaspoonfuls

= 22.5 mL


16 to 22 kg

35 to 50 lbs.


 

4 to 6 years


1 teaspoonful

= 5 mL


6 teaspoonfuls

= 30 mL


23 to 31 kg

51 to 69 lbs.


 

7 to 9 years


1 ½ teaspoonfuls

= 7.5 mL


9 teaspoonfuls

= 45 mL


32 to 45 kg

70 to 100 lbs.


 

10 to 13 years


2 teaspoonfuls

= 10 mL


12 teaspoonfuls

= 60 mL


46 kg and  up 101

lbs. and up


 

14 years to adult


1 Tablespoonful

= 15 mL


6 Tablespoonfuls

= 90 mL


Conversion from Other Opioids to Hydrocodone Bitartrate and Acetaminophen Oral Solution

There is inter-patient variability in the potency of opioid drugs and opioid formulations. Therefore, a conservative approach is advised when determining the total daily dosage of hydrocodone bitartrate and acetaminophen oral solution. It is safer to underestimate a patient’s 24-hour hydrocodone bitartrate and acetaminophen oral solution dosage than to overestimate the 24-hour hydrocodone bitartrate and acetaminophen oral solution dosage and manage an adverse reaction due to overdose.



Conversion from Hydrocodone Bitartrate and Acetaminophen Oral Solution to Extended-Release Hydrocodone

The relative bioavailability of hydrocodone from hydrocodone bitartrate and acetaminophen oral solution compared to extended-release hydrocodone is unknown, so conversion to extended-release tablets must be accompanied by close observation for signs of excessive sedation and respiratory depression.



Titration and Maintenance of Therapy

Individually titrate hydrocodone bitartrate and acetaminophen oral solution to a dose that provides adequate analgesia and minimizes adverse reactions. Continually reevaluate patients receiving hydrocodone bitartrate and acetaminophen oral solution to assess the maintenance of pain control and the relative incidence of adverse reactions, as well as monitoring for the development of addiction, abuse, or misuse [see WARNINGS]. Frequent communication is important among the prescriber, other members of the healthcare team, the patient, and the caregiver/family during periods of changing analgesic requirements, including initial titration.



If the level of pain increases after dosage stabilization, attempt to identify the source of increased pain before increasing the hydrocodone bitartrate and acetaminophen oral solution dosage. If unacceptable opioid-related adverse reactions are observed, consider reducing the dosage. Adjust the dosage to obtain an appropriate balance between management of pain and opioid-related adverse reactions.





Safe Reduction or Discontinuation of Hydrocodone Bitartrate and Acetaminophen Oral Solution

Do not abruptly discontinue Hydrocodone Bitartrate and Acetaminophen Oral Solution in patients who may be physically dependent on opioids. Rapid discontinuation of opioid analgesics in patients who are physically dependent on opioids has resulted in serious withdrawal symptoms, uncontrolled pain, and suicide. Rapid discontinuation has also been associated with attempts to find other sources of opioid analgesics, which may be confused with drug-seeking for abuse. Patients may also attempt to treat their pain or withdrawal symptoms with illicit opioids, such as heroin, and other substances.



When a decision has been made to decrease the dose or discontinue therapy in an opioid-dependent patient taking Hydrocodone Bitartrate and Acetaminophen Oral Solution, there are a variety of factors that should be considered, including the dose of Hydrocodone Bitartrate and Acetaminophen Oral Solution the patient has been taking, the duration of treatment, the type of pain being treated, and the physical and psychological attributes of the patient. It is important to ensure ongoing care of the patient and to agree on an appropriate tapering schedule and follow-up plan so that patient and provider goals and expectations are clear and realistic. When opioid analgesics are being discontinued due to a suspected substance use disorder, evaluate and treat the patient, or refer for evaluation and treatment of the substance use disorder. Treatment should include evidence-based approaches, such as medication assisted treatment of opioid use disorder. Complex patients with co-morbid pain and substance use disorders may benefit from referral to a specialist.



There are no standard opioid tapering schedules that are suitable for all patients. Good clinical practice dictates a patient-specific plan to taper the dose of the opioid gradually. For patients on Hydrocodone Bitartrate and Acetaminophen Oral Solution who are physically opioid-dependent, initiate the taper by a small enough increment (e.g., no greater than 10% to 25% of the total daily dose) to avoid withdrawal symptoms, and proceed with dose-lowering at an interval of every 2 to 4 weeks. Patients who have been taking opioids for briefer periods of time may tolerate a more rapid taper.



It may be necessary to provide the patient with lower dosage strengths to accomplish a successful taper. Reassess the patient frequently to manage pain and withdrawal symptoms, should they emerge. Common withdrawal symptoms include restlessness, lacrimation, rhinorrhea, yawning, perspiration, chills, myalgia, and mydriasis. Other signs and symptoms also may develop, including irritability, anxiety, backache, joint pain, weakness, abdominal cramps, insomnia, nausea, anorexia, vomiting, diarrhea, or increased blood pressure, respiratory rate, or heart rate. If withdrawal symptoms arise, it may be necessary to pause the taper for a period of time or raise the dose of the opioid analgesic to the previous dose, and then proceed with a slower taper. In addition, monitor patients for any changes in mood, emergence of suicidal thoughts, or use of other substances.



When managing patients taking opioid analgesics, particularly those who have been treated for a long duration and/or with high doses for chronic pain, ensure that a multimodal approach to pain management, including mental health support (if needed), is in place prior to initiating an opioid analgesic taper. A multimodal approach to pain management may optimize the treatment of chronic pain, as well as assist with the successful tapering of the opioid analgesic [see WARNINGS/ Withdrawal, DRUG ABUSE AND DEPENDENCE].

Contraindications

Hydrocodone bitartrate and acetaminophen oral solution is contraindicated in patients with:



• Significant respiratory depression [see WARNINGS]

• Acute or severe bronchial asthma in an unmonitored setting or in the absence of resuscitative equipment [see WARNINGS]

• Known or suspected gastrointestinal obstruction, including paralytic ileus [see WARNINGS]

• Hypersensitivity to hydrocodone or acetaminophen (e.g., anaphylaxis) [see WARNINGS, ADVERSE REACTIONS]

Adverse Reactions

The following adverse reactions have been identified during post approval use of hydrocodone bitartrate and acetaminophen oral solution. Because these reactions are reported voluntarily from a population of uncertain size, it is not always possible to reliably estimate their frequency or establish a causal relationship to drug exposure.



The most frequently reported adverse reactions are light-headedness, dizziness, sedation, nausea and vomiting. Other adverse reactions include:



Cardio-Renal: Bradycardia, cardiac arrest, circulatory collapse, renal toxicity, renal tubular necrosis, hypotension.



Central Nervous System/Psychiatric: Anxiety, dizziness, drowsiness, dysphoria, euphoria, fear, general malaise, impairment of mental and physical performance, lethargy, lightheadedness, mental clouding, mood changes, psychological dependence, sedation, somnolence progressing to stupor or coma.



Endocrine: Hypoglycemic coma.



Gastrointestinal System: Abdominal pain, constipation, gastric distress, heartburn, hepatic necrosis, hepatitis, occult blood loss, nausea, peptic ulcer, and vomiting.



Genitourinary System: Spasm of vesical sphincters, ureteral spasm, and urinary retention.



Hematologic: Agranulocytosis, hemolytic anemia, iron deficiency anemia, prolonged bleeding time, thrombocytopenia.



Hypersensitivity: Allergic reactions.



Musculoskeletal: Skeletal muscle flaccidity.



Respiratory Depression: Acute airway obstruction, apnea, dose-related respiratory depression [see OVERDOSAGE], shortness of breath.



Special Senses: Cases of hearing impairment or permanent loss have been reported predominantly in patients with chronic overdose.



Skin: Cold and clammy skin, diaphoresis, pruritus, rash.

Serotonin syndrome: Cases of serotonin syndrome, a potentially life-threatening condition, have been reported during concomitant use of opioids with serotonergic drugs.

Adrenal insufficiency: Cases of adrenal insufficiency have been reported with opioid use, more often following greater than one month of use.

Anaphylaxis: Anaphylaxis has been reported with ingredients contained in hydrocodone and acetaminophen oral solution

Androgen deficiency: Cases of androgen deficiency have occurred with chronic use of opioids [see CLINICAL PHARMACOLOGY].



Drug Interactions

Inhibitors of CYP3A4 and CYP2D6

The concomitant use of hydrocodone bitartrate and acetaminophen oral solution and CYP3A4 inhibitors, such as macrolide antibiotics (e.g., erythromycin), azole-antifungal agents (e.g. ketoconazole), and protease inhibitors (e.g., ritonavir), can increase the plasma concentration of hydrocodone from hydrocodone bitartrate and acetaminophen oral solution, resulting in increased or prolonged opioid effects. These effects could be more pronounced with concomitant use of hydrocodone bitartrate and acetaminophen oral solution and both CYP3A4 and CYP2D6 inhibitors, particularly when an inhibitor is added after a stable dose of hydrocodone bitartrate and acetaminophen oral solution is achieved [see WARNINGS].



After stopping a CYP3A4 inhibitor, as the effects of the inhibitor decline, hydrocodone plasma concentration will decrease [see CLINICAL PHARMACOLOGY], resulting in decreased opioid efficacy or a withdrawal syndrome in patients who had developed physical dependence to hydrocodone bitartrate and acetaminophen oral solution.



If concomitant use is necessary, consider dosage reduction of hydrocodone bitartrate and acetaminophen oral solution until stable drug effects are achieved. Follow patients for respiratory depression and sedation at frequent intervals. If a CYP3A4 inhibitor is discontinued, consider increasing the hydrocodone bitartrate and acetaminophen oral solution dosage until stable drug effects are achieved. Follow patients for signs or symptoms of opioid withdrawal.



Inducers of CYP3A4

The concomitant use of hydrocodone bitartrate and acetaminophen oral solution and CYP3A4 inducers, such as rifampin, carbamazepine, and phenytoin, can decrease the plasma concentration of hydrocodone [see CLINICAL PHARMACOLOGY], resulting in decreased efficacy or onset of a withdrawal syndrome in patients who have developed physical dependence to hydrocodone bitartrate and acetaminophen oral solution [see WARNINGS].



After stopping a CYP3A4 inducer, as the effects of the inducer decline, the hydrocodone plasma concentration will increase [see CLINICAL PHARMACOLOGY], which could increase or prolong both the therapeutic effects and adverse reactions, and may cause serious respiratory depression.



If concomitant use is necessary, consider increasing the hydrocodone bitartrate and acetaminophen oral solution dosage until stable drug effects are achieved [see DOSAGE AND ADMINISTRATION].



Follow for signs of opioid withdrawal. If a CYP3A4 inducer is discontinued, consider hydrocodone bitartrate and acetaminophen oral solution dosage reduction and monitor for signs of respiratory depression.



Benzodiazepines and Other CNS Depressants

Due to additive pharmacologic effect, the concomitant use of benzodiazepines and other CNS depressants such as benzodiazepines and other sedative hypnotics, anxiolytics, and tranquilizers, muscle relaxants, general anesthetics, antipsychotics, and other opioids, including alcohol, can increase the risk of hypotension, respiratory depression, profound sedation, coma, and death.



Reserve concomitant prescribing of these drugs for use in patients for whom alternative treatment options are inadequate. Limit dosages and durations to the minimum required. Follow patients closely for signs of respiratory depression and sedation. If concomitant use is warranted, consider prescribing naloxone for the emergency treatment of opioid overdose [see WARNINGS].



Serotonergic Drugs

The concomitant use of opioids with other drugs that affect the serotonergic neurotransmitter system, such as selective serotonin reuptake inhibitors (SSRIs), serotonin and norepinephrine reuptake inhibitors (SNRIs), tricyclic antidepressants (TCAs), triptans, 5-HT3 receptor antagonists, drugs that affect the serotonin neurotransmitter system (e.g., mirtazapine, trazodone, tramadol), certain muscle relaxants (i.e., cyclobenzaprine, metaxalone), and monoamine oxidase (MAO) inhibitors (those intended to treat psychiatric disorders and also others, such as linezolid and intravenous methylene blue), has resulted in serotonin syndrome [see PRECAUTIONS; Information for Patients/Caregivers].



If concomitant use is warranted, carefully observe the patient, particularly during treatment initiation and dose adjustment. Discontinue hydrocodone bitartrate and acetaminophen oral solution if serotonin syndrome is suspected.



Monoamine Oxidase Inhibitors (MAOIs)

The concomitant use of opioids and MAOIs, such as phenelzine, tranylcypromine, or linezolid, may manifest as serotonin syndrome, or opioid toxicity (e.g., respiratory depression, coma) [see WARNINGS].



The use of hydrocodone bitartrate and acetaminophen oral solution is not recommended for patients taking MAOIs or within 14 days of stopping such treatment.



If urgent use of an opioid is necessary, use test doses and frequent titration of small doses to treat pain while closely monitoring blood pressure and signs and symptoms of CNS and respiratory depression.



Mixed Agonist/Antagonist and Partial Agonist Opioid Analgesics

The concomitant use of opioids with other opioid analgesics, such as butorphanol, nalbuphine, pentazocine, may reduce the analgesic effect of hydrocodone bitartrate and acetaminophen oral solution and/or precipitate withdrawal symptoms.



Advise patient to avoid concomitant use of these drugs.



Muscle Relaxants

Hydrocodone bitartrate and acetaminophen oral solution may enhance the neuromuscular blocking action of skeletal muscle relaxants and produce an increased degree of respiratory depression.



If concomitant use is warranted, monitor patients for signs of respiratory depression that may be greater than otherwise expected and decrease the dosage of Hydrocodone Bitartrate and Acetaminophen Oral Solution and/or the muscle relaxant as necessary. Due to the risk of respiratory depression with concomitant use of skeletal muscle relaxants and opioids, consider prescribing naloxone for the emergency treatment of opioid overdose (see WARNINGS). 



Diuretics

Opioids can reduce the efficacy of diuretics by inducing the release of antidiuretic hormone.



If concomitant use is warranted, monitor patients for signs of diminished diuresis and/or effects on blood pressure and increase the dosage of the diuretic as needed.



Anticholinergic Drugs

The concomitant use of anticholinergic drugs may increase risk of urinary retention and/or severe constipation, which may lead to paralytic ileus.



If concomitant use is warranted, follow patients for signs of urinary retention or reduced gastric motility when hydrocodone bitartrate and acetaminophen oral solution is used concomitantly with anticholinergic drugs.





How Supplied

Hydrocodone Bitartrate and Acetaminophen Oral Solution, each 15 mL of which contains hydrocodone bitartrate 7.5 mg (WARNING: May be habit-forming), acetaminophen 325 mg, and alcohol 7%. is supplied as a red-colored, tropical fruit punch-flavored liquid, in the following containers.



Bottles of 16 fl. oz. (473 mL), NDC 71930-027-43.



Store at 20° to 25°C (68° to 77°F) [see USP Controlled Room Temperature].



Dispense in a tight, light-resistant container with a child-resistant closure.



Store Hydrocodone Bitartrate and Acetaminophen Oral Solution securely and dispose of properly [see PRECAUTIONS/Information for Patients].



Manufactured by:

Wes Pharma Inc.

Westminster, MD 21157

USA



Distributed by:

Eywa Pharma Inc.

2 Research Way, Floor 3

Princeton, NJ 08540



Revised: 10/2022

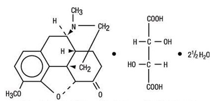
Description

Hydrocodone bitartrate and acetaminophen are available in liquid form for oral administration.



Hydrocodone bitartrate is an opioid analgesic and occurs as fine, white crystals or as a crystalline powder. It is affected by light. The chemical name is 4,5α-epoxy-3-methoxy-17-methylmorphinan-6-one tartrate (1:1) hydrate (2:5). It has the following structural formula:









C18H21NO3 C4H6O6 2½H2O      M. W. 494.490



Acetaminophen, 4’-hydroxyacetanilide, a slightly bitter, white, odorless, crystalline powder, is a non- opiate, non- salicylate analgesic and antipyretic. It has the following structural formula:







C8H9NO2                    M. W. 151.16







Hydrocodone bitartrate and acetaminophen oral solution contains:      
  Per 5 mL Per 15 mL  
Hydrocodone Bitartrate  2.5 mg  7.5 mg
 Acetaminophen  108.0 mg  325.0 mg
 Ethyl Alcohol, USP (190 Proof)  7%    7%


In addition, the liquid contains the following inactive ingredients: citric acid anhydrous, ethyl maltol, glycerin, methylparaben, propylene glycol, propylparaben, purified water, saccharin sodium, sorbitol solution, sucrose, with D&C Red #33 and FD&C Red #40 as coloring and natural and artificial flavoring.

Abuse

Hydrocodone bitartrate and acetaminophen oral solution contains hydrocodone, a substance with a high potential for abuse similar to other opioids including fentanyl, hydromorphone, methadone, morphine, oxycodone, oxymorphone, and tapentadol, can be abused and is subject to misuse, addiction, and criminal diversion [see WARNINGS].



All patients treated with opioids require careful monitoring for signs of abuse and addiction, because use of opioid analgesic products carries the risk of addiction even under appropriate medical use.



Prescription drug abuse is the intentional non-therapeutic use of a prescription drug, even once, for its rewarding psychological or physiological effects.



Drug addiction is a cluster of behavioral, cognitive, and physiological phenomena that develop after repeated substance use and includes: a strong desire to take the drug, difficulties in controlling its use, persisting in its use despite harmful consequences, a higher priority given to drug use than to other activities and obligations, increased tolerance, and sometimes a physical withdrawal.



“Drug-seeking” behavior is very common in persons with substance use disorders. Drug-seeking tactics include emergency calls or visits near the end of office hours, refusal to undergo appropriate examination, testing, or referral, repeated “loss” of prescriptions, tampering with prescriptions, and reluctance to provide prior medical records or contact information for other treating health care provider(s). “Doctor shopping” (visiting multiple prescribers to obtain additional prescriptions) is common among drug abusers and people suffering from untreated addiction. Preoccupation with achieving adequate pain relief can be appropriate behavior in a patient with poor pain control.



Abuse and addiction are separate and distinct from physical dependence and tolerance. Health care providers should be aware that addiction may not be accompanied by concurrent tolerance and symptoms of physical dependence in all addicts. In addition, abuse of opioids can occur in the absence of true addiction.



Hydrocodone bitartrate and acetaminophen oral solution, like other opioids, can be diverted for non- medical use into illicit channels of distribution. Careful record-keeping of prescribing information, including quantity, frequency, and renewal requests, as required by state and federal law, is strongly advised.



Proper assessment of the patient, proper prescribing practices, periodic re-evaluation of therapy, and proper dispensing and storage are appropriate measures that help to limit abuse of opioid drugs.



Risks Specific to Abuse of Hydrocodone Bitartrate and Acetaminophen Oral Solution

Hydrocodone bitartrate and acetaminophen oral solution is for oral use only. Abuse of hydrocodone bitartrate and acetaminophen oral solution poses a risk of overdose and death. The risk is increased with concurrent abuse of hydrocodone bitartrate and acetaminophen oral solution with alcohol and other central nervous system depressants.



Acetaminophen has been associated with cases of acute liver failure, at times resulting in liver transplant and death.



Parenteral drug abuse is commonly associated with transmission of infectious diseases such as hepatitis and HIV.

Warnings

Risk of Accidental Overdose and Death due to Medication Errors

Dosing errors can result in accidental overdose and death. Avoid dosing errors that may result from confusion between mg and mL and confusion with hydrocodone bitartrate and acetaminophen oral solutions of different concentrations, when prescribing, dispensing, and administering hydrocodone bitartrate and acetaminophen oral solution. Ensure that the dose is communicated clearly and dispensed accurately. Always use a calibrated measuring device when administering hydrocodone bitartrate and acetaminophen oral solution to ensure the dose is measured and administered accurately.



Addiction, Abuse, and Misuse

Hydrocodone bitartrate and acetaminophen oral solution contains hydrocodone, a Schedule II controlled substance. As an opioid, hydrocodone bitartrate and acetaminophen oral solution exposes users to the risks of addiction, abuse, and misuse [see DRUG ABUSE AND DEPENDENCE].



Although the risk of addiction in any individual is unknown, it can occur in patients appropriately prescribed hydrocodone bitartrate and acetaminophen oral solution. Addiction can occur at recommended dosages and if the drug is misused or abused.



Assess each patient’s risk for opioid addiction, abuse, or misuse prior to prescribing hydrocodone bitartrate and acetaminophen oral solution, and monitor all patients receiving hydrocodone bitartrate and acetaminophen oral solution for the development of these behaviors and conditions. Risks are increased in patients with a personal or family history of substance abuse (including drug or alcohol abuse or addiction) or mental illness (e.g., major depression). The potential for these risks should not, however, prevent the proper management of pain in any given patient. Patients at increased risk may be prescribed opioids such as hydrocodone bitartrate and acetaminophen oral solution, but use in such patients necessitates intensive counseling about the risks and proper use of hydrocodone bitartrate and acetaminophen oral solution along with intensive monitoring for signs of addiction, abuse, and misuse. Consider prescribing naloxone for the emergency treatment of opioid overdose (see WARNINGS, Life- Threatening Respiratory Depression; Dosage and Administration, Patient Access to Naloxone for the Emergency Treatment of Opioid Overdose).



Opioids are sought by drug abusers and people with addiction disorders and are subject to criminal diversion. Consider these risks when prescribing or dispensing hydrocodone bitartrate and acetaminophen oral solution. Strategies to reduce these risks include prescribing the drug in the smallest appropriate quantity and advising the patient on the proper disposal of unused drug [see PRECAUTIONS; Information for Patients/Caregivers]. Contact local state professional licensing board or state controlled substances authority for information on how to prevent and detect abuse or diversion of this product.



Opioid Analgesic Risk Evaluation and Mitigation Strategy (REMS)

To ensure that the benefits of opioid analgesics outweigh the risks of addiction, abuse, and misuse, the Food and Drug Administration (FDA) has required a Risk Evaluation and Mitigation Strategy (REMS) for these products. Under the requirements of the REMS, drug companies with approved opioid analgesic products must make REMS- compliant education programs available to healthcare providers. Healthcare providers are strongly encouraged to do all of the following:

  • Complete a REMS-compliant education program offered by an accredited provider of continuing education (CE) or another education program that includes all the elements of the FDA Education Blueprint for Health Care Providers Involved in the Management or Support of Patients with Pain.
  • Discuss the safe use, serious risks, and proper storage and disposal of opioid analgesics with patients and/or their caregivers every time these medicines are prescribed. The Patient Counseling Guide (PCG) can be obtained at this link: www.fda.gov/OpioidAnalgesicREMSPCG
  • Emphasize to patients and their caregivers the importance of reading the Medication Guide that they will receive from their pharmacist every time an opioid analgesic is dispensed to them.
  • Consider using other tools to improve patient, household, and community safety, such as patient-prescriber agreements that reinforce patient-prescriber responsibilities.

To obtain further information on the opioid analgesic REMS and for a list of accredited REMS CME/CE, call 800- 503-0784, or log on to www.opioidanalgesicrems.com. The FDA Blueprint can be found at www.fda.gov/OpioidAnalgesicREMSBlueprint



Life-Threatening Respiratory Depression

Serious, life-threatening, or fatal respiratory depression has been reported with the use of opioids, even when used as recommended. Respiratory depression, if not immediately recognized and treated, may lead to respiratory arrest and death. Management of respiratory depression may include close observation, supportive measures, and use of opioid antagonists, depending on the patient’s clinical status [see OVERDOSAGE]. Carbon dioxide (CO2) retention from opioid-induced respiratory depression can exacerbate the sedating effects of opioids.



While serious, life-threatening, or fatal respiratory depression can occur at any time during the use of hydrocodone bitartrate and acetaminophen oral solution, the risk is greatest during the initiation of therapy or following a dosage increase. Follow patients closely for respiratory depression, especially within the first 24-72 hours of initiating therapy with and following dosage increases of hydrocodone bitartrate and acetaminophen oral solution.



To reduce the risk of respiratory depression, proper dosing and titration of hydrocodone bitartrate and acetaminophen oral solution are essential [see DOSAGE AND ADMINISTRATION]. Overestimating the hydrocodone bitartrate and acetaminophen oral solution dosage when converting patients from another opioid product can result in a fatal overdose.



Accidental ingestion of even one dose of hydrocodone bitartrate and acetaminophen oral solution especially by children, can result in respiratory depression and death due to an overdose of hydrocodone bitartrate and acetaminophen.



Educate patients and caregivers on how to recognize respiratory depression and emphasize the importance of calling 911 or getting emergency medical help right away in the event of a known or suspected overdose (see PRECAUTIONS, Information for Patients/Caregivers).



Opioids can cause sleep-related breathing disorders including central sleep apnea (CSA) and sleep-related hypoxemia. Opioid use increases the risk of CSA in a dose-dependent fashion. In patients who present with CSA, consider decreasing the opioid dosage using best practices for opioid taper [see DOSAGE AND ADMINISTRATION].



Patient Access to Naloxone for the Emergency Treatment of Opioid Overdose

Discuss the availability of naloxone for the emergency treatment of opioid overdose with the patient and caregiver and assess the potential need for access to naloxone, both when initiating and renewing treatment with Hydrocodone Bitartrate and Acetaminophen Oral Solution. Inform patients and caregivers about the various ways to obtain naloxone as permitted by individual state naloxone dispensing and prescribing requirements or guidelines (e.g., by prescription, directly from a pharmacist, or as part of a community based program). Educate patients and caregivers on

how to recognize respiratory depression and emphasize the importance of calling 911 or getting emergency medical help, even if naloxone is administered (see PRECAUTIONS, Information for Patients/Caregivers).



Consider prescribing naloxone, based on the patient’s risk factors for overdose, such as concomitant use of other CNS depressants, a history of opioid use disorder, or prior opioid overdose. The presence of risk factors for overdose should not prevent the proper management of pain in any given patient. Also consider prescribing naloxone if the patient has household members (including children) or other close contacts at risk for accidental ingestion or overdose. If naloxone is prescribed, educate patients and caregivers on how to treat with naloxone (see WARNINGS,

Addiction, Abuse, and Misuse, Risks from Concomitant Use with Benzodiazepines or Other CNS Depressants; PRECAUTIONS, Information for Patients/Caregivers).



Neonatal Opioid Withdrawal Syndrome

Prolonged use of hydrocodone bitartrate and acetaminophen oral solution during pregnancy can result in withdrawal in the neonate. Neonatal opioid withdrawal syndrome, unlike opioid withdrawal syndrome in adults, may be life- threatening if not recognized and treated, and requires management according to protocols developed by neonatology experts. Observe newborns for signs of neonatal opioid withdrawal syndrome and manage accordingly. Advise pregnant women using opioids for a prolonged period of the risk of neonatal opioid withdrawal syndrome and ensure that appropriate treatment will be available [see PRECAUTIONS; Information for Patients/Caregivers, Pregnancy].



Risks of Concomitant Use or Discontinuation of Cytochrome P450 3A4 Inhibitors and Inducers

Concomitant use of hydrocodone bitartrate and acetaminophen oral solution with a CYP3A4 inhibitor, such as macrolide antibiotics (e.g., erythromycin), azole-antifungal agents (e.g., ketoconazole), and protease inhibitors (e.g., ritonavir), may increase plasma concentrations of hydrocodone and prolong opioid adverse reactions, and which may cause potentially fatal respiratory depression [see WARNINGS], particularly when an inhibitor is added after a stable dose of hydrocodone bitartrate and acetaminophen oral solution is achieved. Similarly, discontinuation of a CYP3A4 inducer, such as rifampin, carbamazepine, and phenytoin, in hydrocodone bitartrate and acetaminophen oral solution- treated patients may increase hydrocodone plasma concentrations and prolong opioid adverse reactions. When using hydrocodone bitartrate and acetaminophen oral solution with CYP3A4 inhibitors or discontinuing CYP3A4 inducers in hydrocodone bitartrate and acetaminophen oral solution-treated patients, monitor patients closely at frequent intervals and consider dosage reduction of hydrocodone bitartrate and acetaminophen oral solution until stable drug effects are achieved [see PRECAUTIONS; Drug Interactions].



Concomitant use of hydrocodone bitartrate and acetaminophen oral solution with CYP3A4 inducers or discontinuation of an CYP3A4 inhibitor could decrease hydrocodone plasma concentrations, decrease opioid efficacy or, possibly, lead to a withdrawal syndrome in a patient who had developed physical dependence to hydrocodone bitartrate and acetaminophen oral solution. When using hydrocodone bitartrate and acetaminophen oral solution with CYP3A4 inducers or discontinuing CYP3A4 inhibitors, follow patients at frequent intervals and consider increasing the opioid dosage if needed to maintain adequate analgesia or if symptoms of opioid withdrawal occur [see PRECAUTIONS; Drug Interactions].



Risks from Concomitant Use with Benzodiazepines or Other CNS Depressants

Profound sedation, respiratory depression, coma, and death may result from the concomitant use of hydrocodone bitartrate and acetaminophen oral solution with benzodiazepines or other CNS depressants (e.g., non-benzodiazepine sedatives/hypnotics, anxiolytics, tranquilizers, muscle relaxants, general anesthetics, antipsychotics, other opioids, alcohol). Because of these risks, reserve concomitant prescribing of these drugs for use in patients for whom alternative treatment options are inadequate.



Observational studies have demonstrated that concomitant use of opioid analgesics and benzodiazepines increases the risk of drug-related mortality compared to use of opioid analgesics alone. Because of similar pharmacological properties, it is reasonable to expect similar risk with the concomitant use of other CNS depressant drugs with opioid analgesics [see PRECAUTIONS; Drug Interactions].



If the decision is made to prescribe a benzodiazepine or other CNS depressant concomitantly with an opioid analgesic, prescribe the lowest effective dosages and minimum durations of concomitant use. In patients already receiving an opioid analgesic, prescribe a lower initial dose of the benzodiazepine or other CNS depressant than indicated in the absence of an opioid, and titrate based on clinical response. If an opioid analgesic is initiated in a patient already taking a benzodiazepine or other CNS depressant, prescribe a lower initial dose of the opioid analgesic, and titrate based on clinical response. Follow patients closely for signs and symptoms of respiratory depression and sedation.



If concomitant use is warranted, consider prescribing naloxone for the emergency treatment of opioid overdose (see WARNINGS, Life-Threatening Respiratory Depression; Dosage and Administration, Patient Access to Naloxone for the Emergency Treatment of Opioid Overdose).



Advise both patients and caregivers about the risks of respiratory depression and sedation when hydrocodone bitartrate and acetaminophen oral solution is used with benzodiazepines or other CNS depressants (including alcohol and illicit drugs). Advise patients not to drive or operate heavy machinery until the effects of concomitant use of the benzodiazepine or other CNS depressant have been determined. Screen patients for risk of substance use disorders, including opioid abuse and misuse, and warn them of the risk for overdose and death associated with the use of additional CNS depressants including alcohol and illicit drugs [see PRECAUTIONS; Drug Interactions, Information for Patients/Caregivers].



Life-Threatening Respiratory Depression in Patients with Chronic Pulmonary Disease or in Elderly, Cachectic, or Debilitated Patients

The use of hydrocodone bitartrate and acetaminophen oral solution in patients with acute or severe bronchial asthma in an unmonitored setting or in the absence of resuscitative equipment is contraindicated.



Patients with Chronic Pulmonary Disease: Hydrocodone bitartrate and acetaminophen oral solution- treated patients with significant chronic obstructive pulmonary disease or cor pulmonale, and those with a substantially decreased respiratory reserve, hypoxia, hypercapnia, or pre-existing respiratory depression are at increased risk of decreased respiratory drive including apnea, even at recommended dosages of hydrocodone bitartrate and acetaminophen oral solution [see WARNINGS; Life Threatening Respiratory Depression].



Elderly, Cachectic, or Debilitated Patients: Life-threatening respiratory depression is more likely to occur in elderly, cachectic, or debilitated patients because they may have altered pharmacokinetics or altered clearance compared to younger, healthier patients [see WARNINGS; Life Threatening Respiratory Depression].



Follow such patients closely, particularly when initiating and titrating hydrocodone bitartrate and acetaminophen oral solution and when hydrocodone bitartrate and acetaminophen oral solution is given concomitantly with other drugs that depress respiration [see WARNINGS; Life Threatening Respiratory Depression]. Alternatively, consider the use of non-opioid analgesics in these patients.



Adrenal Insufficiency

Cases of adrenal insufficiency have been reported with opioid use, more often following greater than one month of use. Presentation of adrenal insufficiency may include non-specific symptoms and signs including nausea, vomiting, anorexia, fatigue, weakness, dizziness, and low blood pressure. If adrenal insufficiency is suspected, confirm the diagnosis with diagnostic testing as soon as possible. If adrenal insufficiency is diagnosed, treat with physiologic replacement doses of corticosteroids. Wean the patient off of the opioid to allow adrenal function to recover and continue corticosteroid treatment until adrenal function recovers. Other opioids may be tried as some cases reported use of a different opioid without recurrence of adrenal insufficiency. The information available does not identify any particular opioids as being more likely to be associated with adrenal insufficiency.



Severe Hypotension

Hydrocodone bitartrate and acetaminophen oral solution may cause severe hypotension including orthostatic hypotension and syncope in ambulatory patients. There is increased risk in patients whose ability to maintain blood pressure has already been compromised by a reduced blood volume or concurrent administration of certain CNS depressant drugs (e.g., phenothiazines or general anesthetics) [see PRECAUTIONS; Drug Interactions]. Follow these patients for signs of hypotension after initiating or titrating the dosage of hydrocodone and acetaminophen tablets and oral solution. In patients with circulatory shock hydrocodone and acetaminophen oral solution may cause vasodilatation that can further reduce cardiac output and blood pressure. Avoid the use of hydrocodone bitartrate and acetaminophen oral solution with circulatory shock.



Hepatotoxicity

Acetaminophen has been associated with cases of acute liver failure, at times resulting in liver transplant and death. Most of the cases of liver injury are associated with the use of acetaminophen at doses that exceed 4,000 milligrams per day, and often involve more than one acetaminophen-containing product. The excessive intake of acetaminophen may be intentional to cause self-harm or unintentional as patients attempt to obtain more pain relief or unknowingly take other acetaminophen-containing products.



The risk of acute liver failure is higher in individuals with underlying liver disease and in individuals who ingest alcohol while taking acetaminophen.



Instruct patients to look for acetaminophen or APAP on package labels and not to use more than one product that contains acetaminophen. Instruct patients to seek medical attention immediately upon ingestion of more than 4,000 milligrams of acetaminophen per day, even if they feel well.



Serious Skin Reactions

Rarely, acetaminophen may cause serious skin reactions such as acute generalized exanthematous pustulosis (AGEP), Stevens-Johnson Syndrome (SJS), and toxic epidermal necrolysis (TEN), which can be fatal. Patients should be informed about the signs of serious skin reactions, and use of the drug should be discontinued at the first appearance of skin rash or any other sign of hypersensitivity.



Hypersensitivity/Anaphylaxis

There have been postmarketing reports of hypersensitivity and anaphylaxis associated with the use of acetaminophen. Clinical signs included swelling of the face, mouth, and throat, respiratory distress, urticaria, rash, pruritus, and vomiting. There were infrequent reports of life-threatening anaphylaxis requiring emergency medical attention. Instruct patients to discontinue hydrocodone bitartrate and acetaminophen oral solution immediately and seek medical care if they experience these symptoms. Do not prescribe hydrocodone bitartrate and acetaminophen oral solution for patients with acetaminophen allergy [see PRECAUTIONS; Information for Patients/Caregivers].



Risks of Use in Patients with Increased Intracranial Pressure, Brain Tumors, Head Injury, or Impaired Consciousness

In patients who may be susceptible to the intracranial effects of CO2 retention (e.g., those with evidence of increased intracranial pressure or brain tumors), hydrocodone bitartrate and acetaminophen oral solution may reduce respiratory drive, and the resultant CO2 retention can further increase intracranial pressure. Follow such patients for signs of sedation and respiratory depression, particularly when initiating therapy with hydrocodone bitartrate and acetaminophen oral solution.



Opioids may also obscure the clinical course in a patient with a head injury. Avoid the use of hydrocodone bitartrate and acetaminophen oral solution in patients with impaired consciousness or coma.



Risks of Use in Patients with Gastrointestinal Conditions

Hydrocodone bitartrate and acetaminophen oral solution is contraindicated in patients with gastrointestinal obstruction, including paralytic ileus.



The administration of hydrocodone and acetaminophen oral solution or other opioids may obscure the diagnosis or clinical course in patients with acute abdominal conditions.



The hydrocodone in hydrocodone bitartrate and acetaminophen oral solution may cause spasm of the sphincter of Oddi. Opioids may cause increases in serum amylase. Follow patients with biliary tract disease, including acute pancreatitis, for worsening symptoms.



Increased Risk of Seizures in Patients with Seizure Disorders

The hydrocodone in hydrocodone bitartrate and acetaminophen oral solution may increase the frequency of seizures in patients with seizure disorders, and may increase the risk of seizures occurring in other clinical settings associated with seizures. Follow patients with a history of seizure disorders for worsened seizure control during hydrocodone bitartrate and acetaminophen oral solution therapy.



Withdrawal

Do not abruptly discontinue Hydrocodone Bitartrate and Acetaminophen Oral Solution in a patient physically dependent on opioids. When discontinuing Hydrocodone Bitartrate and Acetaminophen Oral Solution in a physically dependent patient, gradually taper the dosage. Rapid tapering of Hydrocodone Bitartrate and Acetaminophen Oral Solution in a patient physically dependent on opioids may lead to a withdrawal syndrome and return of pain [see DOSAGE AND ADMINISTRATION, DRUG ABUSE AND DEPENDENCE].



Additionally, avoid the use of mixed agonist/antagonist (e.g., pentazocine, nalbuphine, and butorphanol) or partial agonist (e.g., buprenorphine) analgesics in patients who are receiving a full opioid agonist analgesic, including Hydrocodone Bitartrate and Acetaminophen Oral Solution. In these patients, mixed agonist/antagonist and partial agonist analgesics may reduce the analgesic effect and/or precipitate withdrawal symptoms [see PRECAUTIONS/Drug Interactions].

Pregnancy

Teratogenic Effects



Pregnancy Category C



There are no adequate and well-controlled studies in pregnant women. Hydrocodone bitartrate and acetaminophen oral solution should be used during pregnancy only if the potential benefit justifies the potential risk to the fetus.



Nonteratogenic Effects



Fetal/Neonatal Adverse Reactions


Prolonged use of opioid analgesics during pregnancy for medical or nonmedical purposes can result in physical dependence in the neonate and neonatal opioid withdrawal syndrome shortly after birth.



Neonatal opioid withdrawal syndrome presents as irritability, hyperactivity and abnormal sleep pattern, high pitched cry, tremor, vomiting, diarrhea and failure to gain weight. The onset, duration, and severity of neonatal opioid withdrawal syndrome vary based on the specific opioid used, duration of use, timing and amount of last maternal use, and rate of elimination of the drug by the newborn. Observe newborns for symptoms of neonatal opioid withdrawal syndrome and manage accordingly [see WARNINGS].

Dependence

Both tolerance and physical dependence can develop during chronic opioid therapy. Tolerance is the need for increasing doses of opioids to maintain a defined effect such as analgesia (in the absence of disease progression or other external factors). Tolerance may occur to both the desired and undesired effects of drugs, and may develop at different rates for different effects.



Physical dependence is a physiological state in which the body adapts to the drug after a period of regular exposure, resulting in withdrawal symptoms after abrupt discontinuation or a significant dosage reduction of a drug. Withdrawal also may be precipitated through the administration of drugs with opioid antagonist activity (e.g., naloxone, nalmefene), mixed agonist/antagonist analgesics (e.g., pentazocine, butorphanol, nalbuphine), or partial agonists (e.g., buprenorphine). Physical dependence may not occur to a clinically significant degree until after several days to weeks of continued opioid usage.





Do not abruptly discontinue Hydrocodone Bitartrate and Acetaminophen Oral Solution in a patient physically dependent on opioids. Rapid tapering of Hydrocodone Bitartrate and Acetaminophen Oral Solution in a patient physically dependent on opioids may lead to serious withdrawal symptoms, uncontrolled pain, and suicide. Rapid discontinuation has also been associated with attempts to find other sources of opioid analgesics, which may be confused with drug-seeking for abuse.



When discontinuing Hydrocodone Bitartrate and Acetaminophen Oral Solution, gradually taper the dosage using a patient-specific plan that considers the following: the dose of Hydrocodone Bitartrate and Acetaminophen Oral Solution the patient has been taking, the duration of treatment, and the physical and psychological attributes of the patient. To improve the likelihood of a successful taper and minimize withdrawal symptoms, it is important that the opioid tapering schedule is agreed upon by the patient. In patients taking opioids for a long duration at high doses, ensure that a multimodal approach to pain management, including mental health support (if needed), is in place prior to initiating an opioid analgesic taper [see DOSAGE AND ADMINISTRATION, WARNINGS].



Infants born to mothers physically dependent on opioids will also be physically dependent and may exhibit respiratory difficulties and withdrawal signs [see PRECAUTIONS; Pregnancy].

Overdosage

Following an acute overdosage, toxicity may result from hydrocodone or acetaminophen.



Clinical Presentation

Acute overdosage with hydrocodone bitartrate and acetaminophen oral solution can be manifested by respiratory depression, somnolence progressing to stupor or coma, skeletal muscle flaccidity, cold and clammy skin, constricted pupils, and, in some cases, pulmonary edema, bradycardia, hypotension, partial or complete airway obstruction, atypical snoring, and death. Marked mydriasis rather than miosis may be seen with hypoxia in overdose situations.



Acetaminophen

Dose-dependent, potentially fatal hepatic necrosis is the most serious adverse effect of acetaminophen overdosage. Renal tubular necrosis, hypoglycemic coma and coagulation defects may also occur. Early symptoms following a potentially hepatotoxic overdose may include: nausea, vomiting, diaphoresis and general malaise. Clinical and laboratory evidence of hepatic toxicity may not be apparent until 48 to 72 hours post-ingestion.



Treatment of Overdose

 

Hydrocodone

In case of overdose, priorities are the reestablishment of a patent and protected airway and institution of assisted or controlled ventilation, if needed. Employ other supportive measures (including oxygen and vasopressors) in the management of circulatory shock and pulmonary edema as indicated. Cardiac arrest or arrhythmias will require advanced life-support techniques.



Opioid antagonists, such as naloxone, are specific antidotes to respiratory depression resulting from opioid overdose. For clinically significant respiratory or circulatory depression secondary to opioid overdose, administer an opioid antagonist.



Because the duration of opioid reversal is expected to be less than the duration of action of hydrocodone in hydrocodone bitartrate and acetaminophen oral solution carefully monitor the patient until spontaneous respiration is reliably reestablished. If the response to an opioid antagonist is suboptimal or only brief in nature, administer additional antagonist as directed by the product’s prescribing information.



In an individual physically dependent on opioids, administration of the recommended usual dosage of the antagonist will precipitate an acute withdrawal syndrome. The severity of the withdrawal symptoms experienced will depend on the degree of physical dependence and the dose of the antagonist administered. If a decision is made to treat serious respiratory depression in the physically dependent patient, administration of the antagonist should be initiated with care and by titration with smaller than usual doses of the antagonist.



Acetaminophen

Gastric decontamination with activated charcoal should be administered just prior to N-acetylcysteine (NAC) to decrease absorption if acetaminophen is known or suspected to have occurred within a few hours of presentation. Serum acetaminophen levels should be obtained immediately if the patient presents 4 hours or more after ingestion to assess potential risk of hepatotoxicity; acetaminophen levels drawn less than 4 hours post-ingestion may be misleading. To obtain best possible outcome, NAC should be administered as soon as possible where impending or evolving liver injury is suspected. Intravenous NAC may be administered when circumstances preclude oral administration.

Vigorous supportive therapy is required in severe intoxication. Procedures to limit the continuing absorption of the drug must be readily performed since the hepatic injury is dose-dependent and occurs in the course of intoxication.



Precautions

Risks of Driving and Operating Machinery



Hydrocodone bitartrate and acetaminophen oral solution may impair the mental or physical abilities needed to perform potentially hazardous activities such as driving a car or operating machinery. Warn patients not to drive or operate dangerous machinery unless they are tolerant to the effects of hydrocodone bitartrate and acetaminophen oral solution and know how they will react to the medication [see PRECAUTIONS; Information for Patients/Caregivers].

Geriatric Use

Elderly patients (aged 65 years or older) may have increased sensitivity to hydrocodone bitartrate and acetaminophen oral solution. In general, use caution when selecting a dosage for an elderly patient, usually starting at the low end of the dosing range, reflecting the greater frequency of decreased hepatic, renal, or cardiac function and of concomitant disease or other drug therapy.



Respiratory depression is the chief risk for elderly patients treated with opioids, and has occurred after large initial doses were administered to patients who were not opioid-tolerant or when opioids were co-administered with other agents that depress respiration. Titrate the dosage of hydrocodone bitartrate and acetaminophen oral solution slowly in geriatric patients and follow closely for signs of central nervous system and respiratory depression [see WARNINGS].



Hydrocodone and acetaminophen are known to be substantially excreted by the kidney, and the risk of adverse reactions to this drug may be greater in patients with impaired renal function. Because elderly patients are more likely to have decreased renal function, care should be taken in dose selection, and it may be useful to follow renal function.



Pediatric Use

The safety and effectiveness of hydrocodone bitartrate and acetaminophen oral solution in the pediatric population below the age of two years have not been established. Use of hydrocodone bitartrate and acetaminophen oral solution in the pediatric patients over the age of 2 years is supported by evidence from adequate and well controlled studies of hydrocodone and acetaminophen combination products in adults, along with additional data which support the development of metabolic pathways in children two years of age and over [see DOSAGE AND ADMINISTRATION] for pediatric dosage information.



Nursing Mothers

Hydrocodone is present in human milk.



The developmental and health benefits of breastfeeding should be considered along with the mother’s clinical need for hydrocodone bitartrate and acetaminophen oral solution and any potential adverse effects on the breastfed infant from hydrocodone bitartrate and acetaminophen oral solution or from the underlying maternal condition.

Infants exposed to hydrocodone bitartrate and acetaminophen oral solution through breast milk should be monitored for excess sedation and respiratory depression. Withdrawal symptoms can occur in breastfed infants when maternal administration of an opioid analgesic is stopped, or when breast-feeding is stopped.

Labor & Delivery

Opioids cross the placenta and may produce respiratory depression and psycho-physiologic effects in neonates. An opioid antagonist, such as naloxone, must be available for reversal of opioid-induced respiratory depression in the neonate. Hydrocodone bitartrate and acetaminophen oral solution is not recommended for use in pregnant women during or immediately prior to labor, when other analgesic techniques are more appropriate. Opioid analgesics, including hydrocodone bitartrate and acetaminophen oral solution, can prolong labor through actions which temporarily reduce the strength, duration, and frequency of uterine contractions. However, this effect is not consistent and may be offset by an increased rate of cervical dilation, which tends to shorten labor. Monitor neonates exposed to opioid analgesics during labor for signs of excess sedation and respiratory depression.

Laboratory Tests

In patients with severe hepatic or renal disease, effects of therapy should be followed with serial liver and/or renal function tests.

Medication Guide

Hydrocodone Bitartrate (hye" droe koe' done bye tar trate) and Acetaminophen (a seet"a min' oh fen) Oral Solution, CII



Hydrocodone Bitartrate and Acetaminophen Oral Solution is:

• A strong prescription pain medicine that contains an opioid (narcotic) that is used to manage pain severe enough to require an opioid pain medicine and for which alternative treatments are inadequate and when other pain treatments such as non-opioid pain medicines do not treat your pain well enough or you cannot tolerate them.

• An opioid pain medicine that can put you at risk for overdose and death. Even if you take your dose correctly as prescribed you are at risk for opioid addiction, abuse, and misuse that can lead to death.



Important information about Hydrocodone Bitartrate and Acetaminophen Oral Solution:

Get emergency help or call 911 right away if you take too much Hydrocodone Bitartrate and Acetaminophen Oral Solution (overdose). When you first start taking Hydrocodone Bitartrate and Acetaminophen Oral Solution, when your dose is changed, or if you take too much (overdose), serious or life-threatening breathing problems that can lead to death may occur. Talk to your healthcare provider about naloxone, a medicine for the emergency treatment of an opioid overdose.

• Taking Hydrocodone Bitartrate and Acetaminophen Oral Solution with other opioid medicines, benzodiazepines, alcohol, or other central nervous system depressants (including street drugs) can cause severe drowsiness, decreased awareness, breathing problems, coma, and death.

• Never give anyone else your Hydrocodone Bitartrate and Acetaminophen Oral Solution. They could die from taking it. Selling or giving away Hydrocodone Bitartrate and Acetaminophen Oral Solution is against the law.

• Store Hydrocodone Bitartrate and Acetaminophen Oral Solution securely, out of sight and reach of children, and in a location not accessible by others, including visitors to the home.



Do not take Hydrocodone Bitartrate and Acetaminophen Oral Solution if you have:

• severe asthma, trouble breathing, or other lung problems.

• a bowel blockage or have narrowing of the stomach or intestines.

• known hypersensitivity to hydrocodone or acetaminophen, or any ingredient in Hydrocodone Bitartrate and Acetaminophen Oral Solution.



Before taking Hydrocodone Bitartrate and Acetaminophen Oral Solution, tell your healthcare provider if you have a history of:

• head injury, seizures

• liver, kidney, thyroid problems

• problems urinating

• pancreas or gallbladder problems

• abuse of street or prescription drugs, alcohol addiction, opioid overdose, or mental health problems.



Tell your healthcare provider if you are:

pregnant or planning to become pregnant. Prolonged use of Hydrocodone Bitartrate and Acetaminophen Oral Solution during pregnancy can cause withdrawal symptoms in your newborn baby that could be life- threatening if not recognized and treated.

breastfeeding. Hydrocodone Bitartrate and Acetaminophen Oral Solution passes into breast milk and may harm your baby.

• living in a household where there are small children or someone who has abused street or prescription drugs.

• taking prescription or over-the-counter medicines, vitamins, or herbal supplements. Taking Hydrocodone Bitartrate and Acetaminophen Oral Solution with certain other medicines can cause serious side effects that could lead to death.



When taking Hydrocodone Bitartrate and Acetaminophen Oral Solution:

• Do not change your dose. Take Hydrocodone Bitartrate and Acetaminophen Oral Solution exactly as prescribed by your healthcare provider. Use the lowest dose possible for the shortest time needed.

• Always use a calibrated measuring device for Hydrocodone Bitartrate and Acetaminophen Oral Solution to correctly measure your dose. A household teaspoon or tablespoon is not an adequate measuring device. Given the inexactitude of the household spoon measure and the possibility of using a tablespoon instead of a teaspoon, which could lead to overdosage, it is strongly recommended that caregivers obtain and use a calibrated measuring device.

 

BODY WEIGHT

 

APPROXIMATE AGE

DOSE

every 4 to 6 hours

MAXIMUM TOTAL DAILY DOSE

(6 doses per day)

12 to 15 kg

27 to 34 lbs.

2 to 3 years

¾ teaspoonful = 3.75 mL

4 ½ teaspoonfuls = 22.5  mL

16 to 22 kg

35 to 50 lbs.

4 to 6 years

1 teaspoonful

= 5 mL

6 teaspoonfuls = 30 mL

23 to 31 kg

51 to 69 lbs.

7 to 9 years

1 ½ teaspoonfuls

= 7.5 mL

9 teaspoonfuls = 45 mL

32 to 45 kg

70 to 100 lbs.

10 to 13 years

2 teaspoonfuls

= 10 mL

12 teaspoonfuls = 60 mL

46 kg and up 101 lbs. and up

14 years to adult

1 Tablespoonful

= 15 mL

6 Tablespoonfuls = 90 mL



• Take your prescribed dose. The usual adult dosage is one tablespoonful (15 mL) every four to six hours as needed for pain. The total daily dosage should not exceed 6 tablespoonfuls. Do not take more than your prescribed dose. If you miss a dose, take your next dose at your usual time.

• Call your healthcare provider if the dose you are taking does not control your pain.

• If you have been taking Hydrocodone Bitartrate and Acetaminophen Oral Solution regularly, do not stop taking Hydrocodone Bitartrate and Acetaminophen Oral Solution without talking to your healthcare provider.

• Dispose of expired, unwanted, or unused Hydrocodone Bitartrate and Acetaminophen Oral Solution by promptly flushing down the toilet, if a drug takeback option is not readily available. Visit www.fda.gov/drugdisposal for additional information on disposal of unused medicines. 



While taking Hydrocodone Bitartrate and Acetaminophen Oral Solution DO NOT:

• Drive or operate heavy machinery, until you know how Hydrocodone Bitartrate and Acetaminophen Oral Solution affects you. Hydrocodone Bitartrate and Acetaminophen Oral Solution can make you sleepy, dizzy, or lightheaded.

• Drink alcohol or use prescription or over-the-counter medicines that contain alcohol. Using products containing alcohol during treatment with Hydrocodone Bitartrate and Acetaminophen Oral Solution may cause you to overdose and die.



The possible side effects of Hydrocodone Bitartrate and Acetaminophen Oral Solution:

• constipation, nausea, sleepiness, vomiting, tiredness, headache, dizziness, abdominal pain. Call your healthcare provider if you have any of these symptoms and they are severe.



Get emergency medical help or call 911 right away   if you have:

• trouble breathing, shortness of breath, fast heartbeat, chest pain, swelling of your face, tongue, or throat, extreme drowsiness, light-headedness when changing positions, feeling faint, agitation, high body temperature, trouble walking, stiff muscles, or mental changes such as confusion.



These are not all the possible side effects of Hydrocodone Bitartrate and Acetaminophen Oral Solution. Call your doctor for medical advice about side effects. You may report side effects to FDA at 1-800- FDA-1088. For more information go to dailymed.nlm.nih.gov



Manufactured by: Wes Pharma Inc., Westminster, MD 21157, USA

1-888-212-6921

Distributed by: Eywa Pharma Inc.,2 Research Way, Floor 3,Princeton, NJ 08540



This Medication Guide has been approved by the U.S. Food and Drug Administration.

Issued: 10/2022



Renal impairment

Patients with renal impairment may have higher plasma hydrocodone concentrations than those with normal function. Use a low initial dose hydrocodone bitartrate and acetaminophen oral solution in patients with renal impairment and follow closely for adverse events such as respiratory depression and sedation.

Hepatic impairment

Patients with hepatic impairment may have higher plasma hydrocodone concentrations than those with normal function. Use a low initial dose of hydrocodone bitartrate and acetaminophen oral solution in patients with hepatic impairment and follow closely for adverse events such as respiratory depression and sedation.

Controlled Substance

Hydrocodone bitartrate and acetaminophen oral solution contains hydrocodone, a Schedule II controlled substance.

Clinical Pharmacology

Mechanism of Action

Hydrocodone is a semi-synthetic opioid agonist with relative selectivity for the mu-opioid (μ) receptor, although it can interact with other opioid receptors at higher doses. Hydrocodone acts as a full agonist, binding to and activating opioid receptors at sites in the peri-aquaductal and peri-ventricular gray matter, the ventro-medial medulla and the spinal cord to produce analgesia. The analgesia, as well as the euphoriant, respiratory depressant and physiologic dependence properties of μ agonist opioids like hydrocodone, result principally from agonist action at the μ receptors.



The precise mechanism of the analgesic properties of acetaminophen is not established but is thought to involve central actions.



Pharmacodynamics



Effects on the Central Nervous System

The principal therapeutic action of hydrocodone is analgesia. Hydrocodone produces respiratory depression by direct action on brain stem respiratory centers. The respiratory depression involves a reduction in the responsiveness of the brain stem respiratory centers to both increases in carbon dioxide tension and electrical stimulation.



Hydrocodone causes miosis, even in total darkness. Pinpoint pupils are a sign of opioid overdose but are not pathognomonic (e.g., pontine lesions of hemorrhagic or ischemic origins may produce similar findings). Marked mydriasis rather than miosis may be seen due to hypoxia in overdose situations.



Therapeutic doses of acetaminophen have negligible effects on the cardiovascular or respiratory systems; however, toxic doses may cause circulatory failure and rapid, shallow breathing.



Effects on the Gastrointestinal Tract and Other Smooth Muscle

Hydrocodone causes a reduction in motility associated with an increase in smooth muscle tone in the antrum of the stomach and duodenum. Digestion of food in the small intestine is delayed and propulsive contractions are decreased. Propulsive peristaltic waves in the colon are decreased, while tone may be increased to the point of spasm, resulting in constipation. Other opioid-induced effects may include a reduction in biliary and pancreatic secretions, spasm of sphincter of Oddi, and transient elevations in serum amylase.



Effects on the Cardiovascular System

Hydrocodone produces peripheral vasodilation which may result in orthostatic hypotension or syncope. Manifestations of histamine release and/or peripheral vasodilation may include pruritus, flushing, red eyes, sweating, and/or orthostatic hypotension.



Effects on the Endocrine System

Opioids inhibit the secretion of adrenocorticotropic hormone (ACTH), cortisol, and luteinizing hormone (LH) in humans [see Adverse Reactions]. They also stimulate prolactin, growth hormone (GH) secretion, and pancreatic secretion of insulin and glucagon.



Chronic use of opioids may influence the hypothalamic-pituitary-gonadal axis, leading to androgen deficiency that may manifest as symptoms as low libido, impotence, erectile dysfunction, amenorrhea, or infertility. The causal role of opioids in the syndrome of hypogonadism is unknown because the various medical, physical, lifestyle, and psychological stressors that may influence gonadal hormone levels have not been adequately controlled for in studies conducted to date [see ADVERSE REACTIONS].



Effects on the Immune System

Opioids have been shown to have a variety of effects on components of the immune system. The clinical significance of these findings is unknown. Overall, the effects of opioids appear to be modestly immunosuppressive.



Concentration-Efficacy Relationships

The minimum effective analgesic concentration will vary widely among patients, especially among patients who have been previously treated with potent agonist opioids. The minimum effective analgesic concentration of hydrocodone for any individual patient may increase over time due to an increase in pain, the development of a new pain syndrome, and/or the development of analgesic tolerance [see DOSAGE AND ADMINISTRATION].



Concentration-Adverse Reaction Relationships

There is a relationship between increasing hydrocodone plasma concentration and increasing frequency of dose- related opioid adverse reactions such as nausea, vomiting, CNS effects, and respiratory depression. In opioid- tolerant patients, the situation may be altered by the development of tolerance to opioid-related adverse reactions [see DOSAGE AND ADMINISTRATION].



Pharmacokinetics

The behavior of the individual components is described below.



Hydrocodone

Following a 10 mg oral dose of hydrocodone administered to five adult male subjects, the mean peak concentration was 23.6 ± 5.2 ng/mL. Maximum serum levels were achieved at 1.3 ± 0.3 hours and the half-life was determined to be 3.8 ± 0.3 hours.



Hydrocodone exhibits a complex pattern of metabolism including O-demethylation, N-demethylation and 6-keto reduction to the corresponding 6-α- and 6-β-hydroxymetabolites. See OVERDOSAGE for toxicity information.



CYP3A4 mediated N-demethylation to norhydrocodone is the primary metabolic pathway of hydrocodone with a lower contribution from CYP2D6 mediated O-demethylation to hydromorphone. Hydromorphone is formed from the O-demethylation of hydrocodone and may contribute to the total analgesic effect of hydrocodone. Therefore, the formation of these and related metabolites can, in theory, be affected by other drugs [see PRECAUTIONS; Drug Interactions]. N-demethylation of hydrocodone to form norhydrocodone via CYP3A4 while O-demethylation of hydrocodone to hydromorphone is predominantly catalyzed by CYP2D6 and to a lesser extent by an unknown low affinity CYP enzyme. Hydrocodone and its metabolites are eliminated primarily in the kidneys.



Acetaminophen

Acetaminophen is rapidly absorbed from the gastrointestinal tract and is distributed throughout most body tissues. A small fraction (10-25%) of acetaminophen is bound to plasma proteins. The plasma half- life is 1.25 to 3 hours, but may be increased by liver damage and following overdosage. Elimination of acetaminophen is principally by liver metabolism (conjugation) and subsequent renal excretion of metabolites. Acetaminophen is primarily metabolized in the liver by first-order kinetics and involves three principal separate pathways: conjugation with glucuronide; conjugation with sulfate; and oxidation via the cytochrome, P450-dependent, mixed-function oxidase enzyme pathway to form a reactive intermediate metabolite, which conjugates with glutathione and is then further metabolized to form cysteine and mercapturic acid conjugates. The principal cytochrome P450 isoenzyme involved appears to be CYP2E1, with CYP1A2 and CYP3A4 as additional pathways. Approximately 85% of an oral dose appears in the urine within 24 hours of administration, most as the glucuronide conjugate, with small amounts of other conjugates and unchanged drug.



See OVERDOSAGEfor toxicity information.



Principal Display Panel

NDC 71930-027-43

CII



Hydrocodone Bitartrate and Acetaminophen Oral solution

7.5 mg/325 mg per 15mL



 Contains Per:  5ml  15ml
 Hydrocodone Bitartrate  2.5mg  7.5mg
 Acetaminophen  108mg  325mg
 Alcohol  7%  7%


Dispense the accompanying Medication Guide to each patient.



Rx Only

16 fl. Oz. (473 mL)



Eywa Pharma





Drug/laboratory Test Interactions

Acetaminophen may produce false-positive test results for urinary 5-hydroxyindoleacetic acid.

Information for Patients/caregivers

Advise the patient to read the FDA-approved patient labeling (Medication Guide).



Storage and Disposal

Because of the risks associated with accidental ingestion, misuse, and abuse, advise patients to store Hydrocodone Bitartrate and Acetaminophen Oral Solution securely, out of sight and reach of children, and in a location not accessible by others, including visitors to the home [see WARNINGS, DRUG ABUSE AND DEPENDENCE]. Inform patients that leaving Hydrocodone Bitartrate and Acetaminophen Oral Solution unsecured can pose a deadly risk to others in the home.



Advise patients and caregivers that when medicines are no longer needed, they should be disposed of promptly. Expired, unwanted, or unused Hydrocodone Bitartrate and Acetaminophen Oral Solution should be disposed of by flushing the unused medication down the toilet if a drug take-back option is not readily available. Inform patients that they can visit www.fda.gov/drugdisposal for a complete list of medicines recommended for disposal by flushing, as well as additional information on disposal of unused medicines.



Medication Errors

Instruct patients how to measure and take the correct dose of hydrocodone bitartrate and acetaminophen oral solution and to always use a calibrated measuring device when administering hydrocodone bitartrate and acetaminophen oral solution to ensure the dose is measured and administered accurately [see WARNINGS]. 

If the prescribed concentration is changed, instruct patients on how to correctly measure the new dose to avoid errors which could result in accidental overdose and death.



Addiction, Abuse, and Misuse

Inform patients that the use of hydrocodone bitartrate and acetaminophen oral solution, even when taken as recommended, can result in addiction, abuse, and misuse, which can lead to overdose and death [see WARNINGS].Instruct patients not to share hydrocodone bitartrate and acetaminophen oral solution with others and to take steps to protect hydrocodone bitartrate and acetaminophen oral solution from theft or misuse.



Life-Threatening Respiratory Depression

Inform patients of the risk of life-threatening respiratory depression, including information that the risk is greatest when starting hydrocodone bitartrate and acetaminophen oral solution or when the dosage is increased, and that it can occur even at recommended dosages.



Educate patients and caregivers on how to recognize respiratory depression and emphasize the importance of calling 911 or getting emergency medical help right away in the event of a known or suspected overdose (see WARNINGS, Life Threatening Respiratory Depression).



Patient Access to Naloxone for the Emergency Treatment of Opioid Overdose

Discuss with the patient and caregiver the availability of naloxone for the emergency treatment of opioid overdose, both when initiating and renewing treatment with Hydrocodone Bitartrate and Acetaminophen Oral Solution. Inform patients and caregivers about the various ways to obtain naloxone as permitted by individual state naloxone dispensing and prescribing requirements or guidelines (e.g., by prescription, directly from a pharmacist, or as part of a community based program) (see WARNINGS, Life-Threatening Respiratory Depression; DOSAGE AND ADMINISTRATION).



Educate patients and caregivers on how to recognize the signs and symptoms of an overdose.



Explain to patients and caregivers that naloxone’s effects are temporary, and that they must call 911 or get emergency medical help right away in all cases of known or suspected opioid overdose, even if naloxone is administered (see OVERDOSAGE).



If naloxone is prescribed, also advise patients and caregivers:

• How to treat with naloxone in the event of an opioid overdose

• To tell family and friends about their naloxone and to keep it in a place where family and friends can access it in an emergency

• To read the Patient Information (or other educational material) that will come with their naloxone. Emphasize the importance of doing this before an opioid emergency happens, so the patient and caregiver will know what to do.



Accidental Ingestion

Inform patients that accidental ingestion, especially by children, may result in respiratory depression or death (see WARNINGS). Instruct patients to take steps to store securely and to dispose of unused hydrocodone bitartrate and acetaminophen oral solution by flushing down the toilet.



Interactions with Benzodiazepines and Other CNS Depressants

Inform patients and caregivers that potentially fatal additive effects may occur if hydrocodone bitartrate and acetaminophen oral solution is used with benzodiazepines and other CNS depressants, including alcohol, and not to use these concomitantly unless supervised by a healthcare provider [see WARNINGSPRECAUTIONS; Drug Interactions ].



Serotonin Syndrome

Inform patients that hydrocodone bitartrate and acetaminophen oral solution could cause a rare but potentially life- threatening condition resulting from concomitant administration of serotonergic drugs. Warn patients of the symptoms of serotonin syndrome and to seek medical attention right away if symptoms develop. Instruct patients to inform their healthcare providers if they are taking, or plan to take serotonergic medications [see PRECAUTIONS; Drug Interactions].



Monoamine Oxidase Inhibitor (MAOI) Interaction

Inform patients to avoid taking hydrocodone bitartrate and acetaminophen oral solution while using any drugs that inhibit monoamine oxidase. Patients should not start MAOIs while taking hydrocodone bitartrate and acetaminophen oral solution [see PRECAUTIONS; Drug Interactions].



Adrenal Insufficiency

Inform patients that hydrocodone bitartrate and acetaminophen oral solution could cause adrenal insufficiency, a potentially life-threatening condition. Adrenal insufficiency may present with non- specific symptoms and signs such as nausea, vomiting, anorexia, fatigue, weakness, dizziness, and low blood pressure. Advise patients to seek medical attention if they experience a constellation of these symptoms [see WARNINGS].



Important Administration Instructions

Instruct patients how to properly measure and take hydrocodone bitartrate and acetaminophen oral solution [see DOSAGE AND ADMINISTRATION, WARNINGS].

• Advise patients to always use the enclosed calibrated oral syringe/dosing cup when administering hydrocodone bitartrate and acetaminophen oral solution to ensure the dose is measured and administered accurately [see WARNINGS].

• Advise patients never to use household teaspoons or tablespoons to measure hydrocodone bitartrate and acetaminophen oral solution.

• Advise patients not to adjust the dose of hydrocodone bitartrate and acetaminophen oral solution without consulting with a physician or other healthcare professional.

• If patients have been receiving treatment with hydrocodone bitartrate and acetaminophen oral solution for more than a few weeks and cessation of therapy is indicated, counsel them on the importance of safely tapering the dose as abrupt discontinuation of the medication could precipitate withdrawal symptoms. Provide a dose schedule to accomplish a gradual discontinuation of the medication [see DOSAGE AND ADMINISTRATION].



Important Discontinuation Instructions

In order to avoid developing withdrawal symptoms, instruct patients not to discontinue Hydrocodone Bitartrate and Acetaminophen Oral Solution without first discussing a tapering plan with the prescriber [see DOSAGE AND ADMINISTRATION].



Maximum Daily Dose of Acetaminophen

Inform patients to not take more than 4000 milligrams of acetaminophen per day. Advise patients to call their prescriber if they take more than the recommended dose.



Hypotension

Inform patients that hydrocodone bitartrate and acetaminophen oral solution may cause orthostatic hypotension and syncope. Instruct patients how to recognize symptoms of low blood pressure and how to reduce the risk of serious consequences should hypotension occur (e.g., sit or lie down, carefully rise from a sitting or lying position) [see WARNINGS].



Anaphylaxis

Inform patients that anaphylaxis has been reported with ingredients contained in hydrocodone bitartrate and acetaminophen oral solution. Advise patients how to recognize such a reaction and when to seek medical attention [see CONTRAINDICATIONS, ADVERSE REACTIONS].



Pregnancy



Neonatal Opioid Withdrawal Syndrome

Inform female patients of reproductive potential that prolonged use of hydrocodone bitartrate and acetaminophen oral solution during pregnancy can result in neonatal opioid withdrawal syndrome, which may be life-threatening if not recognized and treated [see WARNINGS, PRECAUTIONS; Pregnancy].



Embryo-Fetal Toxicity

Inform female patients of reproductive potential that hydrocodone bitartrate and acetaminophen oral solution can cause fetal harm and to inform their healthcare provider of a known or suspected pregnancy [see PRECAUTIONS; Pregnancy].



Lactation

Advise nursing mothers to monitor infants for increased sleepiness (more than usual), breathing difficulties, or limpness. Instruct nursing mothers to seek immediate medical care if they notice these signs [see PRECAUTIONS; Nursing Mothers].



Infertility

Inform patients that chronic use of opioids may cause reduced fertility. It is not known whether these effects on fertility are reversible [see ADVERSE REACTIONS].



Driving or Operating Heavy Machinery

Inform patients that hydrocodone bitartrate and acetaminophen oral solution may impair the ability to perform potentially hazardous activities such as driving a car or operating heavy machinery. Advise patients not to perform such tasks until they know how they will react to the medication [see WARNINGS].



Constipation

Advise patients of the potential for severe constipation, including management instructions and when to seek medical attention [see ADVERSE REACTIONS, CLINICAL PHARMACOLOGY].

Carcinogenesis & Mutagenesis & Impairment of Fertility

Carcinogenesis

Long-term studies to evaluate the carcinogenic potential of the combination of hydrocodone bitartrate and acetaminophen oral solution have not been conducted.



Long-term studies in mice and rats have been completed by the National Toxicology Program to evaluate the carcinogenic potential of acetaminophen. In 2-year feeding studies, F344/N rats and B6C3F1 mice were fed a diet containing acetaminophen up to 6000 ppm. Female rats demonstrated equivocal evidence of carcinogenic activity based on increased incidences of mononuclear cell leukemia at 0.8 times the maximum human daily dose (MHDD) of 4 grams/day, based on a body surface area comparison. In contrast, there was no evidence of carcinogenic activity in male rats that received up to 0.7 times or mice at up to 1.2-1.4 times the MHDD, based on a body surface area comparison.



Mutagenesis

In the published literature, acetaminophen has been reported to be clastogenic when administered at 1500 mg/kg/day to the rat model (3.6-times the MHDD, based on a body surface area comparison). In contrast, no clastogenicity was noted at a dose of 750 mg/kg/day (1.8-times the MHDD, based on a body surface area comparison), suggesting a threshold effect.



Impairment of Fertility

In studies conducted by the National Toxicology Program, fertility assessments with acetaminophen have been completed in Swiss CD-1 mice via a continuous breeding study. There were no effects on fertility parameters in mice consuming up to 1.7 times the MHDD of acetaminophen, based on a body surface area comparison. Although there was no effect on sperm motility or sperm density in the epididymis, there was a significant increase in the percentage of abnormal sperm in mice consuming 1.78 times the MHDD (based on a body surface comparison) and there was a reduction in the number of mating pairs producing a fifth litter at this dose, suggesting the potential for cumulative toxicity with chronic administration of acetaminophen near the upper limit of daily dosing.



Published studies in rodents report that oral acetaminophen treatment of male animals at doses that are 1.2 times the MHDD and greater (based on a body surface comparison) result in decreased testicular weights, reduced spermatogenesis, reduced fertility, and reduced implantation sites in females given the same doses. These effects appear to increase with the duration of treatment. The clinical significance of these findings is not known.



Infertility

Chronic use of opioids may cause reduced fertility in females and males of reproductive potential. It is not known whether these effects on fertility are reversible [see ADVERSE REACTIONS].


Structured Label Content

Abuse (ABUSE)

Hydrocodone bitartrate and acetaminophen oral solution contains hydrocodone, a substance with a high potential for abuse similar to other opioids including fentanyl, hydromorphone, methadone, morphine, oxycodone, oxymorphone, and tapentadol, can be abused and is subject to misuse, addiction, and criminal diversion [see WARNINGS].



All patients treated with opioids require careful monitoring for signs of abuse and addiction, because use of opioid analgesic products carries the risk of addiction even under appropriate medical use.



Prescription drug abuse is the intentional non-therapeutic use of a prescription drug, even once, for its rewarding psychological or physiological effects.



Drug addiction is a cluster of behavioral, cognitive, and physiological phenomena that develop after repeated substance use and includes: a strong desire to take the drug, difficulties in controlling its use, persisting in its use despite harmful consequences, a higher priority given to drug use than to other activities and obligations, increased tolerance, and sometimes a physical withdrawal.



“Drug-seeking” behavior is very common in persons with substance use disorders. Drug-seeking tactics include emergency calls or visits near the end of office hours, refusal to undergo appropriate examination, testing, or referral, repeated “loss” of prescriptions, tampering with prescriptions, and reluctance to provide prior medical records or contact information for other treating health care provider(s). “Doctor shopping” (visiting multiple prescribers to obtain additional prescriptions) is common among drug abusers and people suffering from untreated addiction. Preoccupation with achieving adequate pain relief can be appropriate behavior in a patient with poor pain control.



Abuse and addiction are separate and distinct from physical dependence and tolerance. Health care providers should be aware that addiction may not be accompanied by concurrent tolerance and symptoms of physical dependence in all addicts. In addition, abuse of opioids can occur in the absence of true addiction.



Hydrocodone bitartrate and acetaminophen oral solution, like other opioids, can be diverted for non- medical use into illicit channels of distribution. Careful record-keeping of prescribing information, including quantity, frequency, and renewal requests, as required by state and federal law, is strongly advised.



Proper assessment of the patient, proper prescribing practices, periodic re-evaluation of therapy, and proper dispensing and storage are appropriate measures that help to limit abuse of opioid drugs.



Risks Specific to Abuse of Hydrocodone Bitartrate and Acetaminophen Oral Solution

Hydrocodone bitartrate and acetaminophen oral solution is for oral use only. Abuse of hydrocodone bitartrate and acetaminophen oral solution poses a risk of overdose and death. The risk is increased with concurrent abuse of hydrocodone bitartrate and acetaminophen oral solution with alcohol and other central nervous system depressants.



Acetaminophen has been associated with cases of acute liver failure, at times resulting in liver transplant and death.



Parenteral drug abuse is commonly associated with transmission of infectious diseases such as hepatitis and HIV.

Warnings (WARNINGS)

Risk of Accidental Overdose and Death due to Medication Errors

Dosing errors can result in accidental overdose and death. Avoid dosing errors that may result from confusion between mg and mL and confusion with hydrocodone bitartrate and acetaminophen oral solutions of different concentrations, when prescribing, dispensing, and administering hydrocodone bitartrate and acetaminophen oral solution. Ensure that the dose is communicated clearly and dispensed accurately. Always use a calibrated measuring device when administering hydrocodone bitartrate and acetaminophen oral solution to ensure the dose is measured and administered accurately.



Addiction, Abuse, and Misuse

Hydrocodone bitartrate and acetaminophen oral solution contains hydrocodone, a Schedule II controlled substance. As an opioid, hydrocodone bitartrate and acetaminophen oral solution exposes users to the risks of addiction, abuse, and misuse [see DRUG ABUSE AND DEPENDENCE].



Although the risk of addiction in any individual is unknown, it can occur in patients appropriately prescribed hydrocodone bitartrate and acetaminophen oral solution. Addiction can occur at recommended dosages and if the drug is misused or abused.



Assess each patient’s risk for opioid addiction, abuse, or misuse prior to prescribing hydrocodone bitartrate and acetaminophen oral solution, and monitor all patients receiving hydrocodone bitartrate and acetaminophen oral solution for the development of these behaviors and conditions. Risks are increased in patients with a personal or family history of substance abuse (including drug or alcohol abuse or addiction) or mental illness (e.g., major depression). The potential for these risks should not, however, prevent the proper management of pain in any given patient. Patients at increased risk may be prescribed opioids such as hydrocodone bitartrate and acetaminophen oral solution, but use in such patients necessitates intensive counseling about the risks and proper use of hydrocodone bitartrate and acetaminophen oral solution along with intensive monitoring for signs of addiction, abuse, and misuse. Consider prescribing naloxone for the emergency treatment of opioid overdose (see WARNINGS, Life- Threatening Respiratory Depression; Dosage and Administration, Patient Access to Naloxone for the Emergency Treatment of Opioid Overdose).



Opioids are sought by drug abusers and people with addiction disorders and are subject to criminal diversion. Consider these risks when prescribing or dispensing hydrocodone bitartrate and acetaminophen oral solution. Strategies to reduce these risks include prescribing the drug in the smallest appropriate quantity and advising the patient on the proper disposal of unused drug [see PRECAUTIONS; Information for Patients/Caregivers]. Contact local state professional licensing board or state controlled substances authority for information on how to prevent and detect abuse or diversion of this product.



Opioid Analgesic Risk Evaluation and Mitigation Strategy (REMS)

To ensure that the benefits of opioid analgesics outweigh the risks of addiction, abuse, and misuse, the Food and Drug Administration (FDA) has required a Risk Evaluation and Mitigation Strategy (REMS) for these products. Under the requirements of the REMS, drug companies with approved opioid analgesic products must make REMS- compliant education programs available to healthcare providers. Healthcare providers are strongly encouraged to do all of the following:

  • Complete a REMS-compliant education program offered by an accredited provider of continuing education (CE) or another education program that includes all the elements of the FDA Education Blueprint for Health Care Providers Involved in the Management or Support of Patients with Pain.
  • Discuss the safe use, serious risks, and proper storage and disposal of opioid analgesics with patients and/or their caregivers every time these medicines are prescribed. The Patient Counseling Guide (PCG) can be obtained at this link: www.fda.gov/OpioidAnalgesicREMSPCG
  • Emphasize to patients and their caregivers the importance of reading the Medication Guide that they will receive from their pharmacist every time an opioid analgesic is dispensed to them.
  • Consider using other tools to improve patient, household, and community safety, such as patient-prescriber agreements that reinforce patient-prescriber responsibilities.

To obtain further information on the opioid analgesic REMS and for a list of accredited REMS CME/CE, call 800- 503-0784, or log on to www.opioidanalgesicrems.com. The FDA Blueprint can be found at www.fda.gov/OpioidAnalgesicREMSBlueprint



Life-Threatening Respiratory Depression

Serious, life-threatening, or fatal respiratory depression has been reported with the use of opioids, even when used as recommended. Respiratory depression, if not immediately recognized and treated, may lead to respiratory arrest and death. Management of respiratory depression may include close observation, supportive measures, and use of opioid antagonists, depending on the patient’s clinical status [see OVERDOSAGE]. Carbon dioxide (CO2) retention from opioid-induced respiratory depression can exacerbate the sedating effects of opioids.



While serious, life-threatening, or fatal respiratory depression can occur at any time during the use of hydrocodone bitartrate and acetaminophen oral solution, the risk is greatest during the initiation of therapy or following a dosage increase. Follow patients closely for respiratory depression, especially within the first 24-72 hours of initiating therapy with and following dosage increases of hydrocodone bitartrate and acetaminophen oral solution.



To reduce the risk of respiratory depression, proper dosing and titration of hydrocodone bitartrate and acetaminophen oral solution are essential [see DOSAGE AND ADMINISTRATION]. Overestimating the hydrocodone bitartrate and acetaminophen oral solution dosage when converting patients from another opioid product can result in a fatal overdose.



Accidental ingestion of even one dose of hydrocodone bitartrate and acetaminophen oral solution especially by children, can result in respiratory depression and death due to an overdose of hydrocodone bitartrate and acetaminophen.



Educate patients and caregivers on how to recognize respiratory depression and emphasize the importance of calling 911 or getting emergency medical help right away in the event of a known or suspected overdose (see PRECAUTIONS, Information for Patients/Caregivers).



Opioids can cause sleep-related breathing disorders including central sleep apnea (CSA) and sleep-related hypoxemia. Opioid use increases the risk of CSA in a dose-dependent fashion. In patients who present with CSA, consider decreasing the opioid dosage using best practices for opioid taper [see DOSAGE AND ADMINISTRATION].



Patient Access to Naloxone for the Emergency Treatment of Opioid Overdose

Discuss the availability of naloxone for the emergency treatment of opioid overdose with the patient and caregiver and assess the potential need for access to naloxone, both when initiating and renewing treatment with Hydrocodone Bitartrate and Acetaminophen Oral Solution. Inform patients and caregivers about the various ways to obtain naloxone as permitted by individual state naloxone dispensing and prescribing requirements or guidelines (e.g., by prescription, directly from a pharmacist, or as part of a community based program). Educate patients and caregivers on

how to recognize respiratory depression and emphasize the importance of calling 911 or getting emergency medical help, even if naloxone is administered (see PRECAUTIONS, Information for Patients/Caregivers).



Consider prescribing naloxone, based on the patient’s risk factors for overdose, such as concomitant use of other CNS depressants, a history of opioid use disorder, or prior opioid overdose. The presence of risk factors for overdose should not prevent the proper management of pain in any given patient. Also consider prescribing naloxone if the patient has household members (including children) or other close contacts at risk for accidental ingestion or overdose. If naloxone is prescribed, educate patients and caregivers on how to treat with naloxone (see WARNINGS,

Addiction, Abuse, and Misuse, Risks from Concomitant Use with Benzodiazepines or Other CNS Depressants; PRECAUTIONS, Information for Patients/Caregivers).



Neonatal Opioid Withdrawal Syndrome

Prolonged use of hydrocodone bitartrate and acetaminophen oral solution during pregnancy can result in withdrawal in the neonate. Neonatal opioid withdrawal syndrome, unlike opioid withdrawal syndrome in adults, may be life- threatening if not recognized and treated, and requires management according to protocols developed by neonatology experts. Observe newborns for signs of neonatal opioid withdrawal syndrome and manage accordingly. Advise pregnant women using opioids for a prolonged period of the risk of neonatal opioid withdrawal syndrome and ensure that appropriate treatment will be available [see PRECAUTIONS; Information for Patients/Caregivers, Pregnancy].



Risks of Concomitant Use or Discontinuation of Cytochrome P450 3A4 Inhibitors and Inducers

Concomitant use of hydrocodone bitartrate and acetaminophen oral solution with a CYP3A4 inhibitor, such as macrolide antibiotics (e.g., erythromycin), azole-antifungal agents (e.g., ketoconazole), and protease inhibitors (e.g., ritonavir), may increase plasma concentrations of hydrocodone and prolong opioid adverse reactions, and which may cause potentially fatal respiratory depression [see WARNINGS], particularly when an inhibitor is added after a stable dose of hydrocodone bitartrate and acetaminophen oral solution is achieved. Similarly, discontinuation of a CYP3A4 inducer, such as rifampin, carbamazepine, and phenytoin, in hydrocodone bitartrate and acetaminophen oral solution- treated patients may increase hydrocodone plasma concentrations and prolong opioid adverse reactions. When using hydrocodone bitartrate and acetaminophen oral solution with CYP3A4 inhibitors or discontinuing CYP3A4 inducers in hydrocodone bitartrate and acetaminophen oral solution-treated patients, monitor patients closely at frequent intervals and consider dosage reduction of hydrocodone bitartrate and acetaminophen oral solution until stable drug effects are achieved [see PRECAUTIONS; Drug Interactions].



Concomitant use of hydrocodone bitartrate and acetaminophen oral solution with CYP3A4 inducers or discontinuation of an CYP3A4 inhibitor could decrease hydrocodone plasma concentrations, decrease opioid efficacy or, possibly, lead to a withdrawal syndrome in a patient who had developed physical dependence to hydrocodone bitartrate and acetaminophen oral solution. When using hydrocodone bitartrate and acetaminophen oral solution with CYP3A4 inducers or discontinuing CYP3A4 inhibitors, follow patients at frequent intervals and consider increasing the opioid dosage if needed to maintain adequate analgesia or if symptoms of opioid withdrawal occur [see PRECAUTIONS; Drug Interactions].



Risks from Concomitant Use with Benzodiazepines or Other CNS Depressants

Profound sedation, respiratory depression, coma, and death may result from the concomitant use of hydrocodone bitartrate and acetaminophen oral solution with benzodiazepines or other CNS depressants (e.g., non-benzodiazepine sedatives/hypnotics, anxiolytics, tranquilizers, muscle relaxants, general anesthetics, antipsychotics, other opioids, alcohol). Because of these risks, reserve concomitant prescribing of these drugs for use in patients for whom alternative treatment options are inadequate.



Observational studies have demonstrated that concomitant use of opioid analgesics and benzodiazepines increases the risk of drug-related mortality compared to use of opioid analgesics alone. Because of similar pharmacological properties, it is reasonable to expect similar risk with the concomitant use of other CNS depressant drugs with opioid analgesics [see PRECAUTIONS; Drug Interactions].



If the decision is made to prescribe a benzodiazepine or other CNS depressant concomitantly with an opioid analgesic, prescribe the lowest effective dosages and minimum durations of concomitant use. In patients already receiving an opioid analgesic, prescribe a lower initial dose of the benzodiazepine or other CNS depressant than indicated in the absence of an opioid, and titrate based on clinical response. If an opioid analgesic is initiated in a patient already taking a benzodiazepine or other CNS depressant, prescribe a lower initial dose of the opioid analgesic, and titrate based on clinical response. Follow patients closely for signs and symptoms of respiratory depression and sedation.



If concomitant use is warranted, consider prescribing naloxone for the emergency treatment of opioid overdose (see WARNINGS, Life-Threatening Respiratory Depression; Dosage and Administration, Patient Access to Naloxone for the Emergency Treatment of Opioid Overdose).



Advise both patients and caregivers about the risks of respiratory depression and sedation when hydrocodone bitartrate and acetaminophen oral solution is used with benzodiazepines or other CNS depressants (including alcohol and illicit drugs). Advise patients not to drive or operate heavy machinery until the effects of concomitant use of the benzodiazepine or other CNS depressant have been determined. Screen patients for risk of substance use disorders, including opioid abuse and misuse, and warn them of the risk for overdose and death associated with the use of additional CNS depressants including alcohol and illicit drugs [see PRECAUTIONS; Drug Interactions, Information for Patients/Caregivers].



Life-Threatening Respiratory Depression in Patients with Chronic Pulmonary Disease or in Elderly, Cachectic, or Debilitated Patients

The use of hydrocodone bitartrate and acetaminophen oral solution in patients with acute or severe bronchial asthma in an unmonitored setting or in the absence of resuscitative equipment is contraindicated.



Patients with Chronic Pulmonary Disease: Hydrocodone bitartrate and acetaminophen oral solution- treated patients with significant chronic obstructive pulmonary disease or cor pulmonale, and those with a substantially decreased respiratory reserve, hypoxia, hypercapnia, or pre-existing respiratory depression are at increased risk of decreased respiratory drive including apnea, even at recommended dosages of hydrocodone bitartrate and acetaminophen oral solution [see WARNINGS; Life Threatening Respiratory Depression].



Elderly, Cachectic, or Debilitated Patients: Life-threatening respiratory depression is more likely to occur in elderly, cachectic, or debilitated patients because they may have altered pharmacokinetics or altered clearance compared to younger, healthier patients [see WARNINGS; Life Threatening Respiratory Depression].



Follow such patients closely, particularly when initiating and titrating hydrocodone bitartrate and acetaminophen oral solution and when hydrocodone bitartrate and acetaminophen oral solution is given concomitantly with other drugs that depress respiration [see WARNINGS; Life Threatening Respiratory Depression]. Alternatively, consider the use of non-opioid analgesics in these patients.



Adrenal Insufficiency

Cases of adrenal insufficiency have been reported with opioid use, more often following greater than one month of use. Presentation of adrenal insufficiency may include non-specific symptoms and signs including nausea, vomiting, anorexia, fatigue, weakness, dizziness, and low blood pressure. If adrenal insufficiency is suspected, confirm the diagnosis with diagnostic testing as soon as possible. If adrenal insufficiency is diagnosed, treat with physiologic replacement doses of corticosteroids. Wean the patient off of the opioid to allow adrenal function to recover and continue corticosteroid treatment until adrenal function recovers. Other opioids may be tried as some cases reported use of a different opioid without recurrence of adrenal insufficiency. The information available does not identify any particular opioids as being more likely to be associated with adrenal insufficiency.



Severe Hypotension

Hydrocodone bitartrate and acetaminophen oral solution may cause severe hypotension including orthostatic hypotension and syncope in ambulatory patients. There is increased risk in patients whose ability to maintain blood pressure has already been compromised by a reduced blood volume or concurrent administration of certain CNS depressant drugs (e.g., phenothiazines or general anesthetics) [see PRECAUTIONS; Drug Interactions]. Follow these patients for signs of hypotension after initiating or titrating the dosage of hydrocodone and acetaminophen tablets and oral solution. In patients with circulatory shock hydrocodone and acetaminophen oral solution may cause vasodilatation that can further reduce cardiac output and blood pressure. Avoid the use of hydrocodone bitartrate and acetaminophen oral solution with circulatory shock.



Hepatotoxicity

Acetaminophen has been associated with cases of acute liver failure, at times resulting in liver transplant and death. Most of the cases of liver injury are associated with the use of acetaminophen at doses that exceed 4,000 milligrams per day, and often involve more than one acetaminophen-containing product. The excessive intake of acetaminophen may be intentional to cause self-harm or unintentional as patients attempt to obtain more pain relief or unknowingly take other acetaminophen-containing products.



The risk of acute liver failure is higher in individuals with underlying liver disease and in individuals who ingest alcohol while taking acetaminophen.



Instruct patients to look for acetaminophen or APAP on package labels and not to use more than one product that contains acetaminophen. Instruct patients to seek medical attention immediately upon ingestion of more than 4,000 milligrams of acetaminophen per day, even if they feel well.



Serious Skin Reactions

Rarely, acetaminophen may cause serious skin reactions such as acute generalized exanthematous pustulosis (AGEP), Stevens-Johnson Syndrome (SJS), and toxic epidermal necrolysis (TEN), which can be fatal. Patients should be informed about the signs of serious skin reactions, and use of the drug should be discontinued at the first appearance of skin rash or any other sign of hypersensitivity.



Hypersensitivity/Anaphylaxis

There have been postmarketing reports of hypersensitivity and anaphylaxis associated with the use of acetaminophen. Clinical signs included swelling of the face, mouth, and throat, respiratory distress, urticaria, rash, pruritus, and vomiting. There were infrequent reports of life-threatening anaphylaxis requiring emergency medical attention. Instruct patients to discontinue hydrocodone bitartrate and acetaminophen oral solution immediately and seek medical care if they experience these symptoms. Do not prescribe hydrocodone bitartrate and acetaminophen oral solution for patients with acetaminophen allergy [see PRECAUTIONS; Information for Patients/Caregivers].



Risks of Use in Patients with Increased Intracranial Pressure, Brain Tumors, Head Injury, or Impaired Consciousness

In patients who may be susceptible to the intracranial effects of CO2 retention (e.g., those with evidence of increased intracranial pressure or brain tumors), hydrocodone bitartrate and acetaminophen oral solution may reduce respiratory drive, and the resultant CO2 retention can further increase intracranial pressure. Follow such patients for signs of sedation and respiratory depression, particularly when initiating therapy with hydrocodone bitartrate and acetaminophen oral solution.



Opioids may also obscure the clinical course in a patient with a head injury. Avoid the use of hydrocodone bitartrate and acetaminophen oral solution in patients with impaired consciousness or coma.



Risks of Use in Patients with Gastrointestinal Conditions

Hydrocodone bitartrate and acetaminophen oral solution is contraindicated in patients with gastrointestinal obstruction, including paralytic ileus.



The administration of hydrocodone and acetaminophen oral solution or other opioids may obscure the diagnosis or clinical course in patients with acute abdominal conditions.



The hydrocodone in hydrocodone bitartrate and acetaminophen oral solution may cause spasm of the sphincter of Oddi. Opioids may cause increases in serum amylase. Follow patients with biliary tract disease, including acute pancreatitis, for worsening symptoms.



Increased Risk of Seizures in Patients with Seizure Disorders

The hydrocodone in hydrocodone bitartrate and acetaminophen oral solution may increase the frequency of seizures in patients with seizure disorders, and may increase the risk of seizures occurring in other clinical settings associated with seizures. Follow patients with a history of seizure disorders for worsened seizure control during hydrocodone bitartrate and acetaminophen oral solution therapy.



Withdrawal

Do not abruptly discontinue Hydrocodone Bitartrate and Acetaminophen Oral Solution in a patient physically dependent on opioids. When discontinuing Hydrocodone Bitartrate and Acetaminophen Oral Solution in a physically dependent patient, gradually taper the dosage. Rapid tapering of Hydrocodone Bitartrate and Acetaminophen Oral Solution in a patient physically dependent on opioids may lead to a withdrawal syndrome and return of pain [see DOSAGE AND ADMINISTRATION, DRUG ABUSE AND DEPENDENCE].



Additionally, avoid the use of mixed agonist/antagonist (e.g., pentazocine, nalbuphine, and butorphanol) or partial agonist (e.g., buprenorphine) analgesics in patients who are receiving a full opioid agonist analgesic, including Hydrocodone Bitartrate and Acetaminophen Oral Solution. In these patients, mixed agonist/antagonist and partial agonist analgesics may reduce the analgesic effect and/or precipitate withdrawal symptoms [see PRECAUTIONS/Drug Interactions].

Pregnancy

Teratogenic Effects



Pregnancy Category C



There are no adequate and well-controlled studies in pregnant women. Hydrocodone bitartrate and acetaminophen oral solution should be used during pregnancy only if the potential benefit justifies the potential risk to the fetus.



Nonteratogenic Effects



Fetal/Neonatal Adverse Reactions


Prolonged use of opioid analgesics during pregnancy for medical or nonmedical purposes can result in physical dependence in the neonate and neonatal opioid withdrawal syndrome shortly after birth.



Neonatal opioid withdrawal syndrome presents as irritability, hyperactivity and abnormal sleep pattern, high pitched cry, tremor, vomiting, diarrhea and failure to gain weight. The onset, duration, and severity of neonatal opioid withdrawal syndrome vary based on the specific opioid used, duration of use, timing and amount of last maternal use, and rate of elimination of the drug by the newborn. Observe newborns for symptoms of neonatal opioid withdrawal syndrome and manage accordingly [see WARNINGS].

Dependence (DEPENDENCE)

Both tolerance and physical dependence can develop during chronic opioid therapy. Tolerance is the need for increasing doses of opioids to maintain a defined effect such as analgesia (in the absence of disease progression or other external factors). Tolerance may occur to both the desired and undesired effects of drugs, and may develop at different rates for different effects.



Physical dependence is a physiological state in which the body adapts to the drug after a period of regular exposure, resulting in withdrawal symptoms after abrupt discontinuation or a significant dosage reduction of a drug. Withdrawal also may be precipitated through the administration of drugs with opioid antagonist activity (e.g., naloxone, nalmefene), mixed agonist/antagonist analgesics (e.g., pentazocine, butorphanol, nalbuphine), or partial agonists (e.g., buprenorphine). Physical dependence may not occur to a clinically significant degree until after several days to weeks of continued opioid usage.





Do not abruptly discontinue Hydrocodone Bitartrate and Acetaminophen Oral Solution in a patient physically dependent on opioids. Rapid tapering of Hydrocodone Bitartrate and Acetaminophen Oral Solution in a patient physically dependent on opioids may lead to serious withdrawal symptoms, uncontrolled pain, and suicide. Rapid discontinuation has also been associated with attempts to find other sources of opioid analgesics, which may be confused with drug-seeking for abuse.



When discontinuing Hydrocodone Bitartrate and Acetaminophen Oral Solution, gradually taper the dosage using a patient-specific plan that considers the following: the dose of Hydrocodone Bitartrate and Acetaminophen Oral Solution the patient has been taking, the duration of treatment, and the physical and psychological attributes of the patient. To improve the likelihood of a successful taper and minimize withdrawal symptoms, it is important that the opioid tapering schedule is agreed upon by the patient. In patients taking opioids for a long duration at high doses, ensure that a multimodal approach to pain management, including mental health support (if needed), is in place prior to initiating an opioid analgesic taper [see DOSAGE AND ADMINISTRATION, WARNINGS].



Infants born to mothers physically dependent on opioids will also be physically dependent and may exhibit respiratory difficulties and withdrawal signs [see PRECAUTIONS; Pregnancy].

Overdosage (OVERDOSAGE)

Following an acute overdosage, toxicity may result from hydrocodone or acetaminophen.



Clinical Presentation

Acute overdosage with hydrocodone bitartrate and acetaminophen oral solution can be manifested by respiratory depression, somnolence progressing to stupor or coma, skeletal muscle flaccidity, cold and clammy skin, constricted pupils, and, in some cases, pulmonary edema, bradycardia, hypotension, partial or complete airway obstruction, atypical snoring, and death. Marked mydriasis rather than miosis may be seen with hypoxia in overdose situations.



Acetaminophen

Dose-dependent, potentially fatal hepatic necrosis is the most serious adverse effect of acetaminophen overdosage. Renal tubular necrosis, hypoglycemic coma and coagulation defects may also occur. Early symptoms following a potentially hepatotoxic overdose may include: nausea, vomiting, diaphoresis and general malaise. Clinical and laboratory evidence of hepatic toxicity may not be apparent until 48 to 72 hours post-ingestion.



Treatment of Overdose

 

Hydrocodone

In case of overdose, priorities are the reestablishment of a patent and protected airway and institution of assisted or controlled ventilation, if needed. Employ other supportive measures (including oxygen and vasopressors) in the management of circulatory shock and pulmonary edema as indicated. Cardiac arrest or arrhythmias will require advanced life-support techniques.



Opioid antagonists, such as naloxone, are specific antidotes to respiratory depression resulting from opioid overdose. For clinically significant respiratory or circulatory depression secondary to opioid overdose, administer an opioid antagonist.



Because the duration of opioid reversal is expected to be less than the duration of action of hydrocodone in hydrocodone bitartrate and acetaminophen oral solution carefully monitor the patient until spontaneous respiration is reliably reestablished. If the response to an opioid antagonist is suboptimal or only brief in nature, administer additional antagonist as directed by the product’s prescribing information.



In an individual physically dependent on opioids, administration of the recommended usual dosage of the antagonist will precipitate an acute withdrawal syndrome. The severity of the withdrawal symptoms experienced will depend on the degree of physical dependence and the dose of the antagonist administered. If a decision is made to treat serious respiratory depression in the physically dependent patient, administration of the antagonist should be initiated with care and by titration with smaller than usual doses of the antagonist.



Acetaminophen

Gastric decontamination with activated charcoal should be administered just prior to N-acetylcysteine (NAC) to decrease absorption if acetaminophen is known or suspected to have occurred within a few hours of presentation. Serum acetaminophen levels should be obtained immediately if the patient presents 4 hours or more after ingestion to assess potential risk of hepatotoxicity; acetaminophen levels drawn less than 4 hours post-ingestion may be misleading. To obtain best possible outcome, NAC should be administered as soon as possible where impending or evolving liver injury is suspected. Intravenous NAC may be administered when circumstances preclude oral administration.

Vigorous supportive therapy is required in severe intoxication. Procedures to limit the continuing absorption of the drug must be readily performed since the hepatic injury is dose-dependent and occurs in the course of intoxication.



Description (DESCRIPTION)

Hydrocodone bitartrate and acetaminophen are available in liquid form for oral administration.



Hydrocodone bitartrate is an opioid analgesic and occurs as fine, white crystals or as a crystalline powder. It is affected by light. The chemical name is 4,5α-epoxy-3-methoxy-17-methylmorphinan-6-one tartrate (1:1) hydrate (2:5). It has the following structural formula:









C18H21NO3 C4H6O6 2½H2O      M. W. 494.490



Acetaminophen, 4’-hydroxyacetanilide, a slightly bitter, white, odorless, crystalline powder, is a non- opiate, non- salicylate analgesic and antipyretic. It has the following structural formula:







C8H9NO2                    M. W. 151.16







Hydrocodone bitartrate and acetaminophen oral solution contains:      
  Per 5 mL Per 15 mL  
Hydrocodone Bitartrate  2.5 mg  7.5 mg
 Acetaminophen  108.0 mg  325.0 mg
 Ethyl Alcohol, USP (190 Proof)  7%    7%


In addition, the liquid contains the following inactive ingredients: citric acid anhydrous, ethyl maltol, glycerin, methylparaben, propylene glycol, propylparaben, purified water, saccharin sodium, sorbitol solution, sucrose, with D&C Red #33 and FD&C Red #40 as coloring and natural and artificial flavoring.

Precautions (PRECAUTIONS)

Risks of Driving and Operating Machinery



Hydrocodone bitartrate and acetaminophen oral solution may impair the mental or physical abilities needed to perform potentially hazardous activities such as driving a car or operating machinery. Warn patients not to drive or operate dangerous machinery unless they are tolerant to the effects of hydrocodone bitartrate and acetaminophen oral solution and know how they will react to the medication [see PRECAUTIONS; Information for Patients/Caregivers].

How Supplied (HOW SUPPLIED)

Hydrocodone Bitartrate and Acetaminophen Oral Solution, each 15 mL of which contains hydrocodone bitartrate 7.5 mg (WARNING: May be habit-forming), acetaminophen 325 mg, and alcohol 7%. is supplied as a red-colored, tropical fruit punch-flavored liquid, in the following containers.



Bottles of 16 fl. oz. (473 mL), NDC 71930-027-43.



Store at 20° to 25°C (68° to 77°F) [see USP Controlled Room Temperature].



Dispense in a tight, light-resistant container with a child-resistant closure.



Store Hydrocodone Bitartrate and Acetaminophen Oral Solution securely and dispose of properly [see PRECAUTIONS/Information for Patients].



Manufactured by:

Wes Pharma Inc.

Westminster, MD 21157

USA



Distributed by:

Eywa Pharma Inc.

2 Research Way, Floor 3

Princeton, NJ 08540



Revised: 10/2022

Boxed Warning (BOXED WARNING)

WARNING: RISK OF MEDICATION ERRORS; ADDICTION, ABUSE, AND MISUSE; RISK EVALUATION AND MITIGATION STRATEGY (REMS); LIFE-THREATENING RESPIRATORY DEPRESSION; ACCIDENTAL INGESTION; NEONATAL OPIOID WITHDRAWAL SYNDROME; CYTOCHROME P450 3A4 INTERACTION; HEPATOTOXICITY; and RISKS FROM CONCOMITANT USE WITH BENZODIAZEPINES OR OTHER CNS DEPRESSANTS



Risk of Medication Errors

Ensure accuracy when prescribing, dispensing, and administering hydrocodone bitartrate and acetaminophen oral solution. Dosing errors due to confusion between mg and mL, and other hydrocodone bitartrate and acetaminophen oral solutions of different concentrations can result in accidental overdose and death [see WARNINGS, DOSAGE AND ADMINISTRATION].



Addiction, Abuse, and Misuse

Hydrocodone bitartrate and acetaminophen oral solution exposes patients and other users to the risks of opioid addiction, abuse, and misuse, which can lead to overdose and death. Assess each patient’s risk prior to prescribing hydrocodone bitartrate and acetaminophen oral solution, and monitor all patients regularly for the development of these behaviors and conditions [see WARNINGS].



Opioid Analgesic Risk Evaluation and Mitigation Strategy (REMS)

To ensure that the benefits of opioid analgesics outweigh the risks of addiction, abuse, and misuse, the Food and Drug Administration (FDA) has required a REMS for these products [see Warnings]. Under the requirements of the REMS, drug companies with approved opioid analgesic products must make REMS- compliant education programs available to healthcare providers. Healthcare providers are strongly encouraged to:



•  complete a REMS-compliant education program,

•  counsel patients and/or their caregivers, with every prescription, on safe use, serious risks, storage, and disposal of these products,

•  emphasize to patients and their caregivers the importance of reading the Medication Guide every time it is provided by their pharmacist, and

•  consider other tools to improve patient, household, and community safety.



Life-Threatening Respiratory Depression

Serious, life-threatening, or fatal respiratory depression may occur with use of hydrocodone bitartrate and acetaminophen oral solution. Follow patients for signs of respiratory depression, especially during initiation of hydrocodone bitartrate and acetaminophen oral solution or following a dose increase [see WARNINGS].



Accidental Ingestion

Accidental ingestion of hydrocodone bitartrate and acetaminophen oral solution, especially by children, can result in a fatal overdose of hydrocodone bitartrate and acetaminophen oral solution [see WARNINGS].



Neonatal Opioid Withdrawal Syndrome

Prolonged use of hydrocodone bitartrate and acetaminophen oral solution during pregnancy can result in neonatal opioid withdrawal syndrome, which may be life-threatening if not recognized and treated, and requires management according to protocols developed by neonatology experts. If opioid use is required for a prolonged period in a pregnant woman, advise the patient of the risk of neonatal opioid withdrawal syndrome and ensure that appropriate treatment will be available [see WARNINGS].



Cytochrome P450 3A4 Interaction

The concomitant use of hydrocodone bitartrate and acetaminophen oral solution with all cytochrome P450 3A4 inhibitors may result in an increase in hydrocodone plasma concentrations, which may cause potentially fatal respiratory depression. In addition, discontinuation of a concomitantly used cytochrome P450 3A4 inducer may result in an increase in hydrocodone plasma concentration. Follow patients receiving hydrocodone bitartrate and acetaminophen oral solution and any cytochrome P450 3A4 inhibitor or inducer for signs and symptoms of respiratory depression and sedation [see CLINICAL PHARMACOLOGY, WARNINGS, PRECAUTIONS; Drug Interactions].



Hepatotoxicity

Acetaminophen has been associated with cases of acute liver failure, at times resulting in liver transplant and death. Most of the cases of liver injury are associated with the use of acetaminophen at doses that exceed 4,000 milligrams per day, and often involve more than one acetaminophen-containing product [see WARNINGS, OVERDOSAGE].



Risks from Concomitant Use with Benzodiazepines or Other CNS Depressants

Concomitant use of opioids with benzodiazepines or other central nervous system (CNS) depressants, including alcohol, may result in profound sedation, respiratory depression, coma, and death [see WARNINGS, PRECAUTIONS; Drug Interactions].

• Reserve concomitant prescribing of hydrocodone bitartrate and acetaminophen oral solution and benzodiazepines or other CNS depressants for use in patients for whom alternative treatment options are inadequate.

• Limit dosages and durations to the minimum required.

• Follow patients for signs and symptoms of respiratory depression and sedation.







Geriatric Use

Elderly patients (aged 65 years or older) may have increased sensitivity to hydrocodone bitartrate and acetaminophen oral solution. In general, use caution when selecting a dosage for an elderly patient, usually starting at the low end of the dosing range, reflecting the greater frequency of decreased hepatic, renal, or cardiac function and of concomitant disease or other drug therapy.



Respiratory depression is the chief risk for elderly patients treated with opioids, and has occurred after large initial doses were administered to patients who were not opioid-tolerant or when opioids were co-administered with other agents that depress respiration. Titrate the dosage of hydrocodone bitartrate and acetaminophen oral solution slowly in geriatric patients and follow closely for signs of central nervous system and respiratory depression [see WARNINGS].



Hydrocodone and acetaminophen are known to be substantially excreted by the kidney, and the risk of adverse reactions to this drug may be greater in patients with impaired renal function. Because elderly patients are more likely to have decreased renal function, care should be taken in dose selection, and it may be useful to follow renal function.



Pediatric Use

The safety and effectiveness of hydrocodone bitartrate and acetaminophen oral solution in the pediatric population below the age of two years have not been established. Use of hydrocodone bitartrate and acetaminophen oral solution in the pediatric patients over the age of 2 years is supported by evidence from adequate and well controlled studies of hydrocodone and acetaminophen combination products in adults, along with additional data which support the development of metabolic pathways in children two years of age and over [see DOSAGE AND ADMINISTRATION] for pediatric dosage information.



Nursing Mothers

Hydrocodone is present in human milk.



The developmental and health benefits of breastfeeding should be considered along with the mother’s clinical need for hydrocodone bitartrate and acetaminophen oral solution and any potential adverse effects on the breastfed infant from hydrocodone bitartrate and acetaminophen oral solution or from the underlying maternal condition.

Infants exposed to hydrocodone bitartrate and acetaminophen oral solution through breast milk should be monitored for excess sedation and respiratory depression. Withdrawal symptoms can occur in breastfed infants when maternal administration of an opioid analgesic is stopped, or when breast-feeding is stopped.

Labor & Delivery

Opioids cross the placenta and may produce respiratory depression and psycho-physiologic effects in neonates. An opioid antagonist, such as naloxone, must be available for reversal of opioid-induced respiratory depression in the neonate. Hydrocodone bitartrate and acetaminophen oral solution is not recommended for use in pregnant women during or immediately prior to labor, when other analgesic techniques are more appropriate. Opioid analgesics, including hydrocodone bitartrate and acetaminophen oral solution, can prolong labor through actions which temporarily reduce the strength, duration, and frequency of uterine contractions. However, this effect is not consistent and may be offset by an increased rate of cervical dilation, which tends to shorten labor. Monitor neonates exposed to opioid analgesics during labor for signs of excess sedation and respiratory depression.

Laboratory Tests

In patients with severe hepatic or renal disease, effects of therapy should be followed with serial liver and/or renal function tests.

Medication Guide (MEDICATION GUIDE)

Hydrocodone Bitartrate (hye" droe koe' done bye tar trate) and Acetaminophen (a seet"a min' oh fen) Oral Solution, CII



Hydrocodone Bitartrate and Acetaminophen Oral Solution is:

• A strong prescription pain medicine that contains an opioid (narcotic) that is used to manage pain severe enough to require an opioid pain medicine and for which alternative treatments are inadequate and when other pain treatments such as non-opioid pain medicines do not treat your pain well enough or you cannot tolerate them.

• An opioid pain medicine that can put you at risk for overdose and death. Even if you take your dose correctly as prescribed you are at risk for opioid addiction, abuse, and misuse that can lead to death.



Important information about Hydrocodone Bitartrate and Acetaminophen Oral Solution:

Get emergency help or call 911 right away if you take too much Hydrocodone Bitartrate and Acetaminophen Oral Solution (overdose). When you first start taking Hydrocodone Bitartrate and Acetaminophen Oral Solution, when your dose is changed, or if you take too much (overdose), serious or life-threatening breathing problems that can lead to death may occur. Talk to your healthcare provider about naloxone, a medicine for the emergency treatment of an opioid overdose.

• Taking Hydrocodone Bitartrate and Acetaminophen Oral Solution with other opioid medicines, benzodiazepines, alcohol, or other central nervous system depressants (including street drugs) can cause severe drowsiness, decreased awareness, breathing problems, coma, and death.

• Never give anyone else your Hydrocodone Bitartrate and Acetaminophen Oral Solution. They could die from taking it. Selling or giving away Hydrocodone Bitartrate and Acetaminophen Oral Solution is against the law.

• Store Hydrocodone Bitartrate and Acetaminophen Oral Solution securely, out of sight and reach of children, and in a location not accessible by others, including visitors to the home.



Do not take Hydrocodone Bitartrate and Acetaminophen Oral Solution if you have:

• severe asthma, trouble breathing, or other lung problems.

• a bowel blockage or have narrowing of the stomach or intestines.

• known hypersensitivity to hydrocodone or acetaminophen, or any ingredient in Hydrocodone Bitartrate and Acetaminophen Oral Solution.



Before taking Hydrocodone Bitartrate and Acetaminophen Oral Solution, tell your healthcare provider if you have a history of:

• head injury, seizures

• liver, kidney, thyroid problems

• problems urinating

• pancreas or gallbladder problems

• abuse of street or prescription drugs, alcohol addiction, opioid overdose, or mental health problems.



Tell your healthcare provider if you are:

pregnant or planning to become pregnant. Prolonged use of Hydrocodone Bitartrate and Acetaminophen Oral Solution during pregnancy can cause withdrawal symptoms in your newborn baby that could be life- threatening if not recognized and treated.

breastfeeding. Hydrocodone Bitartrate and Acetaminophen Oral Solution passes into breast milk and may harm your baby.

• living in a household where there are small children or someone who has abused street or prescription drugs.

• taking prescription or over-the-counter medicines, vitamins, or herbal supplements. Taking Hydrocodone Bitartrate and Acetaminophen Oral Solution with certain other medicines can cause serious side effects that could lead to death.



When taking Hydrocodone Bitartrate and Acetaminophen Oral Solution:

• Do not change your dose. Take Hydrocodone Bitartrate and Acetaminophen Oral Solution exactly as prescribed by your healthcare provider. Use the lowest dose possible for the shortest time needed.

• Always use a calibrated measuring device for Hydrocodone Bitartrate and Acetaminophen Oral Solution to correctly measure your dose. A household teaspoon or tablespoon is not an adequate measuring device. Given the inexactitude of the household spoon measure and the possibility of using a tablespoon instead of a teaspoon, which could lead to overdosage, it is strongly recommended that caregivers obtain and use a calibrated measuring device.

 

BODY WEIGHT

 

APPROXIMATE AGE

DOSE

every 4 to 6 hours

MAXIMUM TOTAL DAILY DOSE

(6 doses per day)

12 to 15 kg

27 to 34 lbs.

2 to 3 years

¾ teaspoonful = 3.75 mL

4 ½ teaspoonfuls = 22.5  mL

16 to 22 kg

35 to 50 lbs.

4 to 6 years

1 teaspoonful

= 5 mL

6 teaspoonfuls = 30 mL

23 to 31 kg

51 to 69 lbs.

7 to 9 years

1 ½ teaspoonfuls

= 7.5 mL

9 teaspoonfuls = 45 mL

32 to 45 kg

70 to 100 lbs.

10 to 13 years

2 teaspoonfuls

= 10 mL

12 teaspoonfuls = 60 mL

46 kg and up 101 lbs. and up

14 years to adult

1 Tablespoonful

= 15 mL

6 Tablespoonfuls = 90 mL



• Take your prescribed dose. The usual adult dosage is one tablespoonful (15 mL) every four to six hours as needed for pain. The total daily dosage should not exceed 6 tablespoonfuls. Do not take more than your prescribed dose. If you miss a dose, take your next dose at your usual time.

• Call your healthcare provider if the dose you are taking does not control your pain.

• If you have been taking Hydrocodone Bitartrate and Acetaminophen Oral Solution regularly, do not stop taking Hydrocodone Bitartrate and Acetaminophen Oral Solution without talking to your healthcare provider.

• Dispose of expired, unwanted, or unused Hydrocodone Bitartrate and Acetaminophen Oral Solution by promptly flushing down the toilet, if a drug takeback option is not readily available. Visit www.fda.gov/drugdisposal for additional information on disposal of unused medicines. 



While taking Hydrocodone Bitartrate and Acetaminophen Oral Solution DO NOT:

• Drive or operate heavy machinery, until you know how Hydrocodone Bitartrate and Acetaminophen Oral Solution affects you. Hydrocodone Bitartrate and Acetaminophen Oral Solution can make you sleepy, dizzy, or lightheaded.

• Drink alcohol or use prescription or over-the-counter medicines that contain alcohol. Using products containing alcohol during treatment with Hydrocodone Bitartrate and Acetaminophen Oral Solution may cause you to overdose and die.



The possible side effects of Hydrocodone Bitartrate and Acetaminophen Oral Solution:

• constipation, nausea, sleepiness, vomiting, tiredness, headache, dizziness, abdominal pain. Call your healthcare provider if you have any of these symptoms and they are severe.



Get emergency medical help or call 911 right away   if you have:

• trouble breathing, shortness of breath, fast heartbeat, chest pain, swelling of your face, tongue, or throat, extreme drowsiness, light-headedness when changing positions, feeling faint, agitation, high body temperature, trouble walking, stiff muscles, or mental changes such as confusion.



These are not all the possible side effects of Hydrocodone Bitartrate and Acetaminophen Oral Solution. Call your doctor for medical advice about side effects. You may report side effects to FDA at 1-800- FDA-1088. For more information go to dailymed.nlm.nih.gov



Manufactured by: Wes Pharma Inc., Westminster, MD 21157, USA

1-888-212-6921

Distributed by: Eywa Pharma Inc.,2 Research Way, Floor 3,Princeton, NJ 08540



This Medication Guide has been approved by the U.S. Food and Drug Administration.

Issued: 10/2022



Adverse Reactions (ADVERSE REACTIONS)

The following adverse reactions have been identified during post approval use of hydrocodone bitartrate and acetaminophen oral solution. Because these reactions are reported voluntarily from a population of uncertain size, it is not always possible to reliably estimate their frequency or establish a causal relationship to drug exposure.



The most frequently reported adverse reactions are light-headedness, dizziness, sedation, nausea and vomiting. Other adverse reactions include:



Cardio-Renal: Bradycardia, cardiac arrest, circulatory collapse, renal toxicity, renal tubular necrosis, hypotension.



Central Nervous System/Psychiatric: Anxiety, dizziness, drowsiness, dysphoria, euphoria, fear, general malaise, impairment of mental and physical performance, lethargy, lightheadedness, mental clouding, mood changes, psychological dependence, sedation, somnolence progressing to stupor or coma.



Endocrine: Hypoglycemic coma.



Gastrointestinal System: Abdominal pain, constipation, gastric distress, heartburn, hepatic necrosis, hepatitis, occult blood loss, nausea, peptic ulcer, and vomiting.



Genitourinary System: Spasm of vesical sphincters, ureteral spasm, and urinary retention.



Hematologic: Agranulocytosis, hemolytic anemia, iron deficiency anemia, prolonged bleeding time, thrombocytopenia.



Hypersensitivity: Allergic reactions.



Musculoskeletal: Skeletal muscle flaccidity.



Respiratory Depression: Acute airway obstruction, apnea, dose-related respiratory depression [see OVERDOSAGE], shortness of breath.



Special Senses: Cases of hearing impairment or permanent loss have been reported predominantly in patients with chronic overdose.



Skin: Cold and clammy skin, diaphoresis, pruritus, rash.

Serotonin syndrome: Cases of serotonin syndrome, a potentially life-threatening condition, have been reported during concomitant use of opioids with serotonergic drugs.

Adrenal insufficiency: Cases of adrenal insufficiency have been reported with opioid use, more often following greater than one month of use.

Anaphylaxis: Anaphylaxis has been reported with ingredients contained in hydrocodone and acetaminophen oral solution

Androgen deficiency: Cases of androgen deficiency have occurred with chronic use of opioids [see CLINICAL PHARMACOLOGY].



Contraindications (CONTRAINDICATIONS)

Hydrocodone bitartrate and acetaminophen oral solution is contraindicated in patients with:



• Significant respiratory depression [see WARNINGS]

• Acute or severe bronchial asthma in an unmonitored setting or in the absence of resuscitative equipment [see WARNINGS]

• Known or suspected gastrointestinal obstruction, including paralytic ileus [see WARNINGS]

• Hypersensitivity to hydrocodone or acetaminophen (e.g., anaphylaxis) [see WARNINGS, ADVERSE REACTIONS]

Drug Interactions

Inhibitors of CYP3A4 and CYP2D6

The concomitant use of hydrocodone bitartrate and acetaminophen oral solution and CYP3A4 inhibitors, such as macrolide antibiotics (e.g., erythromycin), azole-antifungal agents (e.g. ketoconazole), and protease inhibitors (e.g., ritonavir), can increase the plasma concentration of hydrocodone from hydrocodone bitartrate and acetaminophen oral solution, resulting in increased or prolonged opioid effects. These effects could be more pronounced with concomitant use of hydrocodone bitartrate and acetaminophen oral solution and both CYP3A4 and CYP2D6 inhibitors, particularly when an inhibitor is added after a stable dose of hydrocodone bitartrate and acetaminophen oral solution is achieved [see WARNINGS].



After stopping a CYP3A4 inhibitor, as the effects of the inhibitor decline, hydrocodone plasma concentration will decrease [see CLINICAL PHARMACOLOGY], resulting in decreased opioid efficacy or a withdrawal syndrome in patients who had developed physical dependence to hydrocodone bitartrate and acetaminophen oral solution.



If concomitant use is necessary, consider dosage reduction of hydrocodone bitartrate and acetaminophen oral solution until stable drug effects are achieved. Follow patients for respiratory depression and sedation at frequent intervals. If a CYP3A4 inhibitor is discontinued, consider increasing the hydrocodone bitartrate and acetaminophen oral solution dosage until stable drug effects are achieved. Follow patients for signs or symptoms of opioid withdrawal.



Inducers of CYP3A4

The concomitant use of hydrocodone bitartrate and acetaminophen oral solution and CYP3A4 inducers, such as rifampin, carbamazepine, and phenytoin, can decrease the plasma concentration of hydrocodone [see CLINICAL PHARMACOLOGY], resulting in decreased efficacy or onset of a withdrawal syndrome in patients who have developed physical dependence to hydrocodone bitartrate and acetaminophen oral solution [see WARNINGS].



After stopping a CYP3A4 inducer, as the effects of the inducer decline, the hydrocodone plasma concentration will increase [see CLINICAL PHARMACOLOGY], which could increase or prolong both the therapeutic effects and adverse reactions, and may cause serious respiratory depression.



If concomitant use is necessary, consider increasing the hydrocodone bitartrate and acetaminophen oral solution dosage until stable drug effects are achieved [see DOSAGE AND ADMINISTRATION].



Follow for signs of opioid withdrawal. If a CYP3A4 inducer is discontinued, consider hydrocodone bitartrate and acetaminophen oral solution dosage reduction and monitor for signs of respiratory depression.



Benzodiazepines and Other CNS Depressants

Due to additive pharmacologic effect, the concomitant use of benzodiazepines and other CNS depressants such as benzodiazepines and other sedative hypnotics, anxiolytics, and tranquilizers, muscle relaxants, general anesthetics, antipsychotics, and other opioids, including alcohol, can increase the risk of hypotension, respiratory depression, profound sedation, coma, and death.



Reserve concomitant prescribing of these drugs for use in patients for whom alternative treatment options are inadequate. Limit dosages and durations to the minimum required. Follow patients closely for signs of respiratory depression and sedation. If concomitant use is warranted, consider prescribing naloxone for the emergency treatment of opioid overdose [see WARNINGS].



Serotonergic Drugs

The concomitant use of opioids with other drugs that affect the serotonergic neurotransmitter system, such as selective serotonin reuptake inhibitors (SSRIs), serotonin and norepinephrine reuptake inhibitors (SNRIs), tricyclic antidepressants (TCAs), triptans, 5-HT3 receptor antagonists, drugs that affect the serotonin neurotransmitter system (e.g., mirtazapine, trazodone, tramadol), certain muscle relaxants (i.e., cyclobenzaprine, metaxalone), and monoamine oxidase (MAO) inhibitors (those intended to treat psychiatric disorders and also others, such as linezolid and intravenous methylene blue), has resulted in serotonin syndrome [see PRECAUTIONS; Information for Patients/Caregivers].



If concomitant use is warranted, carefully observe the patient, particularly during treatment initiation and dose adjustment. Discontinue hydrocodone bitartrate and acetaminophen oral solution if serotonin syndrome is suspected.



Monoamine Oxidase Inhibitors (MAOIs)

The concomitant use of opioids and MAOIs, such as phenelzine, tranylcypromine, or linezolid, may manifest as serotonin syndrome, or opioid toxicity (e.g., respiratory depression, coma) [see WARNINGS].



The use of hydrocodone bitartrate and acetaminophen oral solution is not recommended for patients taking MAOIs or within 14 days of stopping such treatment.



If urgent use of an opioid is necessary, use test doses and frequent titration of small doses to treat pain while closely monitoring blood pressure and signs and symptoms of CNS and respiratory depression.



Mixed Agonist/Antagonist and Partial Agonist Opioid Analgesics

The concomitant use of opioids with other opioid analgesics, such as butorphanol, nalbuphine, pentazocine, may reduce the analgesic effect of hydrocodone bitartrate and acetaminophen oral solution and/or precipitate withdrawal symptoms.



Advise patient to avoid concomitant use of these drugs.



Muscle Relaxants

Hydrocodone bitartrate and acetaminophen oral solution may enhance the neuromuscular blocking action of skeletal muscle relaxants and produce an increased degree of respiratory depression.



If concomitant use is warranted, monitor patients for signs of respiratory depression that may be greater than otherwise expected and decrease the dosage of Hydrocodone Bitartrate and Acetaminophen Oral Solution and/or the muscle relaxant as necessary. Due to the risk of respiratory depression with concomitant use of skeletal muscle relaxants and opioids, consider prescribing naloxone for the emergency treatment of opioid overdose (see WARNINGS). 



Diuretics

Opioids can reduce the efficacy of diuretics by inducing the release of antidiuretic hormone.



If concomitant use is warranted, monitor patients for signs of diminished diuresis and/or effects on blood pressure and increase the dosage of the diuretic as needed.



Anticholinergic Drugs

The concomitant use of anticholinergic drugs may increase risk of urinary retention and/or severe constipation, which may lead to paralytic ileus.



If concomitant use is warranted, follow patients for signs of urinary retention or reduced gastric motility when hydrocodone bitartrate and acetaminophen oral solution is used concomitantly with anticholinergic drugs.





Renal impairment (Renal Impairment)

Patients with renal impairment may have higher plasma hydrocodone concentrations than those with normal function. Use a low initial dose hydrocodone bitartrate and acetaminophen oral solution in patients with renal impairment and follow closely for adverse events such as respiratory depression and sedation.

Hepatic impairment (Hepatic Impairment)

Patients with hepatic impairment may have higher plasma hydrocodone concentrations than those with normal function. Use a low initial dose of hydrocodone bitartrate and acetaminophen oral solution in patients with hepatic impairment and follow closely for adverse events such as respiratory depression and sedation.

Controlled Substance (CONTROLLED SUBSTANCE)

Hydrocodone bitartrate and acetaminophen oral solution contains hydrocodone, a Schedule II controlled substance.

Clinical Pharmacology (CLINICAL PHARMACOLOGY)

Mechanism of Action

Hydrocodone is a semi-synthetic opioid agonist with relative selectivity for the mu-opioid (μ) receptor, although it can interact with other opioid receptors at higher doses. Hydrocodone acts as a full agonist, binding to and activating opioid receptors at sites in the peri-aquaductal and peri-ventricular gray matter, the ventro-medial medulla and the spinal cord to produce analgesia. The analgesia, as well as the euphoriant, respiratory depressant and physiologic dependence properties of μ agonist opioids like hydrocodone, result principally from agonist action at the μ receptors.



The precise mechanism of the analgesic properties of acetaminophen is not established but is thought to involve central actions.



Pharmacodynamics



Effects on the Central Nervous System

The principal therapeutic action of hydrocodone is analgesia. Hydrocodone produces respiratory depression by direct action on brain stem respiratory centers. The respiratory depression involves a reduction in the responsiveness of the brain stem respiratory centers to both increases in carbon dioxide tension and electrical stimulation.



Hydrocodone causes miosis, even in total darkness. Pinpoint pupils are a sign of opioid overdose but are not pathognomonic (e.g., pontine lesions of hemorrhagic or ischemic origins may produce similar findings). Marked mydriasis rather than miosis may be seen due to hypoxia in overdose situations.



Therapeutic doses of acetaminophen have negligible effects on the cardiovascular or respiratory systems; however, toxic doses may cause circulatory failure and rapid, shallow breathing.



Effects on the Gastrointestinal Tract and Other Smooth Muscle

Hydrocodone causes a reduction in motility associated with an increase in smooth muscle tone in the antrum of the stomach and duodenum. Digestion of food in the small intestine is delayed and propulsive contractions are decreased. Propulsive peristaltic waves in the colon are decreased, while tone may be increased to the point of spasm, resulting in constipation. Other opioid-induced effects may include a reduction in biliary and pancreatic secretions, spasm of sphincter of Oddi, and transient elevations in serum amylase.



Effects on the Cardiovascular System

Hydrocodone produces peripheral vasodilation which may result in orthostatic hypotension or syncope. Manifestations of histamine release and/or peripheral vasodilation may include pruritus, flushing, red eyes, sweating, and/or orthostatic hypotension.



Effects on the Endocrine System

Opioids inhibit the secretion of adrenocorticotropic hormone (ACTH), cortisol, and luteinizing hormone (LH) in humans [see Adverse Reactions]. They also stimulate prolactin, growth hormone (GH) secretion, and pancreatic secretion of insulin and glucagon.



Chronic use of opioids may influence the hypothalamic-pituitary-gonadal axis, leading to androgen deficiency that may manifest as symptoms as low libido, impotence, erectile dysfunction, amenorrhea, or infertility. The causal role of opioids in the syndrome of hypogonadism is unknown because the various medical, physical, lifestyle, and psychological stressors that may influence gonadal hormone levels have not been adequately controlled for in studies conducted to date [see ADVERSE REACTIONS].



Effects on the Immune System

Opioids have been shown to have a variety of effects on components of the immune system. The clinical significance of these findings is unknown. Overall, the effects of opioids appear to be modestly immunosuppressive.



Concentration-Efficacy Relationships

The minimum effective analgesic concentration will vary widely among patients, especially among patients who have been previously treated with potent agonist opioids. The minimum effective analgesic concentration of hydrocodone for any individual patient may increase over time due to an increase in pain, the development of a new pain syndrome, and/or the development of analgesic tolerance [see DOSAGE AND ADMINISTRATION].



Concentration-Adverse Reaction Relationships

There is a relationship between increasing hydrocodone plasma concentration and increasing frequency of dose- related opioid adverse reactions such as nausea, vomiting, CNS effects, and respiratory depression. In opioid- tolerant patients, the situation may be altered by the development of tolerance to opioid-related adverse reactions [see DOSAGE AND ADMINISTRATION].



Pharmacokinetics

The behavior of the individual components is described below.



Hydrocodone

Following a 10 mg oral dose of hydrocodone administered to five adult male subjects, the mean peak concentration was 23.6 ± 5.2 ng/mL. Maximum serum levels were achieved at 1.3 ± 0.3 hours and the half-life was determined to be 3.8 ± 0.3 hours.



Hydrocodone exhibits a complex pattern of metabolism including O-demethylation, N-demethylation and 6-keto reduction to the corresponding 6-α- and 6-β-hydroxymetabolites. See OVERDOSAGE for toxicity information.



CYP3A4 mediated N-demethylation to norhydrocodone is the primary metabolic pathway of hydrocodone with a lower contribution from CYP2D6 mediated O-demethylation to hydromorphone. Hydromorphone is formed from the O-demethylation of hydrocodone and may contribute to the total analgesic effect of hydrocodone. Therefore, the formation of these and related metabolites can, in theory, be affected by other drugs [see PRECAUTIONS; Drug Interactions]. N-demethylation of hydrocodone to form norhydrocodone via CYP3A4 while O-demethylation of hydrocodone to hydromorphone is predominantly catalyzed by CYP2D6 and to a lesser extent by an unknown low affinity CYP enzyme. Hydrocodone and its metabolites are eliminated primarily in the kidneys.



Acetaminophen

Acetaminophen is rapidly absorbed from the gastrointestinal tract and is distributed throughout most body tissues. A small fraction (10-25%) of acetaminophen is bound to plasma proteins. The plasma half- life is 1.25 to 3 hours, but may be increased by liver damage and following overdosage. Elimination of acetaminophen is principally by liver metabolism (conjugation) and subsequent renal excretion of metabolites. Acetaminophen is primarily metabolized in the liver by first-order kinetics and involves three principal separate pathways: conjugation with glucuronide; conjugation with sulfate; and oxidation via the cytochrome, P450-dependent, mixed-function oxidase enzyme pathway to form a reactive intermediate metabolite, which conjugates with glutathione and is then further metabolized to form cysteine and mercapturic acid conjugates. The principal cytochrome P450 isoenzyme involved appears to be CYP2E1, with CYP1A2 and CYP3A4 as additional pathways. Approximately 85% of an oral dose appears in the urine within 24 hours of administration, most as the glucuronide conjugate, with small amounts of other conjugates and unchanged drug.



See OVERDOSAGEfor toxicity information.



Indications and Usage (INDICATIONS AND USAGE)

Hydrocodone bitartrate and acetaminophen oral solution is indicated for the management of pain severe enough to require an opioid analgesic and for which alternative treatments are inadequate.



Limitations of Use

Because of the risks of addiction, abuse, and misuse, with opioids, even at recommended doses [see WARNINGS], reserve hydrocodone bitartrate and acetaminophen oral solution for use in patients for whom alternative treatment options (e.g., non-opioid analgesics):

•  have not been tolerated, or are not expected to be tolerated

•  have not provided adequate analgesia, or are not expected to provide adequate analgesia

Principal Display Panel (PRINCIPAL DISPLAY PANEL)

NDC 71930-027-43

CII



Hydrocodone Bitartrate and Acetaminophen Oral solution

7.5 mg/325 mg per 15mL



 Contains Per:  5ml  15ml
 Hydrocodone Bitartrate  2.5mg  7.5mg
 Acetaminophen  108mg  325mg
 Alcohol  7%  7%


Dispense the accompanying Medication Guide to each patient.



Rx Only

16 fl. Oz. (473 mL)



Eywa Pharma





Dosage and Administration (DOSAGE AND ADMINISTRATION)

Important Dosage and Administration Instructions

Ensure accuracy when prescribing, dispensing, and administering hydrocodone bitartrate and acetaminophen oral solution to avoid dosing errors due to confusion between mg and mL, and with other hydrocodone bitartrate and acetaminophen oral solutions of different concentrations, which could result in accidental overdose and death. Ensure the proper dose is communicated and dispensed. When writing prescriptions, include both the total dose in mg and the total dose in volume.



Always use a calibrated measuring device when administering hydrocodone bitartrate and acetaminophen oral solution to ensure the dose is measured and administered accurately. Health care providers should recommend a dropper that can measure and deliver the prescribed dose accurately, and instruct caregivers to use extreme caution in measuring the dosage.



Use the lowest effective dosage for the shortest duration consistent with individual patient treatment goals [see WARNINGS].

Initiate the dosing regimen for each patient individually; taking into account the patient's severity of pain, patient response, prior analgesic treatment experience, and risk factors for addiction, abuse, and misuse [see WARNINGS].

Follow patients closely for respiratory depression, especially within the first 24-72 hours of initiating therapy and following dosage increases with hydrocodone bitartrate and acetaminophen oral solution and adjust the dosage accordingly [see WARNINGS].



Patient Access to Naloxone for the Emergency Treatment of Opioid Overdose

Discuss the availability of naloxone for the emergency treatment of opioid overdose with the patient and caregiver and assess the potential need for access to naloxone, both when initiating and renewing treatment with Hydrocodone Bitartrate and Acetaminophen Oral Solution (see WARNINGS, Life-Threatening Respiratory Depression; PRECAUTIONS, Information for Patients/Caregivers).



Inform patients and caregivers about the various ways to obtain naloxone as permitted by individual state naloxone dispensing and prescribing regulations (e.g., by prescription, directly from a pharmacist, or as part of a community-based program). Consider prescribing naloxone, based on the patient’s risk factors for overdose, such as concomitant use of CNS depressants, a history of opioid use disorder, or prior opioid overdose. The presence of risk factors for overdose should not prevent the proper management of pain in any given patient (see WARNINGS, Addiction, Abuse, and Misuse, Life-Threatening Respiratory Depression, Risks from Concomitant Use with Benzodiazepines or Other CNS Depressants).



Consider prescribing naloxone when the patient has household members (including children) or other close contacts at risk for accidental ingestion or overdose.



Initial Dosage



Initiating Treatment with Hydrocodone Bitartrate and Acetaminophen Oral Solution

The usual adult dosage is one tablespoonful (15 mL) every 4 to 6 hours as needed for pain. The total daily dosage for adults should not exceed 6 tablespoonfuls.



The usual dosages for children are given by the table below and is to be given every 4 to 6 hours as needed for pain. The total daily dosage for children should not exceed 6 doses per day. These dosages correspond to an average individual dose of 0.27 mL/kg of hydrocodone bitartrate and acetaminophen oral solution (providing 0.135 mg/kg of hydrocodone bitartrate and 5.85 mg/kg of acetaminophen). Dosing should be based on weight whenever possible.



It is of utmost importance that the dose of hydrocodone bitartrate and acetaminophen oral solution be administered accurately. A household teaspoon or tablespoon is not an adequate measuring device, especially when one-half or three-fourths of a teaspoonful is to be measured. Given the variability of the household spoon measure it is strongly recommended that caregivers obtain and use a calibrated measuring device. Health care providers should recommend a dropper that can measure and deliver the prescribed dose accurately, and instruct caregivers to use extreme caution in measuring the dosage.



 



BODY WEIGHT


 

APPROXIMATE AGE


 DOSE

every 4 to 6 hours


MAXIMUM TOTAL DAILY DOSE

(6 doses per day)


12 to 15 kg

27 to 34 lbs.


 

2 to 3 years


¾ teaspoonful

= 3.75 mL


4 ½ teaspoonfuls

= 22.5 mL


16 to 22 kg

35 to 50 lbs.


 

4 to 6 years


1 teaspoonful

= 5 mL


6 teaspoonfuls

= 30 mL


23 to 31 kg

51 to 69 lbs.


 

7 to 9 years


1 ½ teaspoonfuls

= 7.5 mL


9 teaspoonfuls

= 45 mL


32 to 45 kg

70 to 100 lbs.


 

10 to 13 years


2 teaspoonfuls

= 10 mL


12 teaspoonfuls

= 60 mL


46 kg and  up 101

lbs. and up


 

14 years to adult


1 Tablespoonful

= 15 mL


6 Tablespoonfuls

= 90 mL


Conversion from Other Opioids to Hydrocodone Bitartrate and Acetaminophen Oral Solution

There is inter-patient variability in the potency of opioid drugs and opioid formulations. Therefore, a conservative approach is advised when determining the total daily dosage of hydrocodone bitartrate and acetaminophen oral solution. It is safer to underestimate a patient’s 24-hour hydrocodone bitartrate and acetaminophen oral solution dosage than to overestimate the 24-hour hydrocodone bitartrate and acetaminophen oral solution dosage and manage an adverse reaction due to overdose.



Conversion from Hydrocodone Bitartrate and Acetaminophen Oral Solution to Extended-Release Hydrocodone

The relative bioavailability of hydrocodone from hydrocodone bitartrate and acetaminophen oral solution compared to extended-release hydrocodone is unknown, so conversion to extended-release tablets must be accompanied by close observation for signs of excessive sedation and respiratory depression.



Titration and Maintenance of Therapy

Individually titrate hydrocodone bitartrate and acetaminophen oral solution to a dose that provides adequate analgesia and minimizes adverse reactions. Continually reevaluate patients receiving hydrocodone bitartrate and acetaminophen oral solution to assess the maintenance of pain control and the relative incidence of adverse reactions, as well as monitoring for the development of addiction, abuse, or misuse [see WARNINGS]. Frequent communication is important among the prescriber, other members of the healthcare team, the patient, and the caregiver/family during periods of changing analgesic requirements, including initial titration.



If the level of pain increases after dosage stabilization, attempt to identify the source of increased pain before increasing the hydrocodone bitartrate and acetaminophen oral solution dosage. If unacceptable opioid-related adverse reactions are observed, consider reducing the dosage. Adjust the dosage to obtain an appropriate balance between management of pain and opioid-related adverse reactions.





Safe Reduction or Discontinuation of Hydrocodone Bitartrate and Acetaminophen Oral Solution

Do not abruptly discontinue Hydrocodone Bitartrate and Acetaminophen Oral Solution in patients who may be physically dependent on opioids. Rapid discontinuation of opioid analgesics in patients who are physically dependent on opioids has resulted in serious withdrawal symptoms, uncontrolled pain, and suicide. Rapid discontinuation has also been associated with attempts to find other sources of opioid analgesics, which may be confused with drug-seeking for abuse. Patients may also attempt to treat their pain or withdrawal symptoms with illicit opioids, such as heroin, and other substances.



When a decision has been made to decrease the dose or discontinue therapy in an opioid-dependent patient taking Hydrocodone Bitartrate and Acetaminophen Oral Solution, there are a variety of factors that should be considered, including the dose of Hydrocodone Bitartrate and Acetaminophen Oral Solution the patient has been taking, the duration of treatment, the type of pain being treated, and the physical and psychological attributes of the patient. It is important to ensure ongoing care of the patient and to agree on an appropriate tapering schedule and follow-up plan so that patient and provider goals and expectations are clear and realistic. When opioid analgesics are being discontinued due to a suspected substance use disorder, evaluate and treat the patient, or refer for evaluation and treatment of the substance use disorder. Treatment should include evidence-based approaches, such as medication assisted treatment of opioid use disorder. Complex patients with co-morbid pain and substance use disorders may benefit from referral to a specialist.



There are no standard opioid tapering schedules that are suitable for all patients. Good clinical practice dictates a patient-specific plan to taper the dose of the opioid gradually. For patients on Hydrocodone Bitartrate and Acetaminophen Oral Solution who are physically opioid-dependent, initiate the taper by a small enough increment (e.g., no greater than 10% to 25% of the total daily dose) to avoid withdrawal symptoms, and proceed with dose-lowering at an interval of every 2 to 4 weeks. Patients who have been taking opioids for briefer periods of time may tolerate a more rapid taper.



It may be necessary to provide the patient with lower dosage strengths to accomplish a successful taper. Reassess the patient frequently to manage pain and withdrawal symptoms, should they emerge. Common withdrawal symptoms include restlessness, lacrimation, rhinorrhea, yawning, perspiration, chills, myalgia, and mydriasis. Other signs and symptoms also may develop, including irritability, anxiety, backache, joint pain, weakness, abdominal cramps, insomnia, nausea, anorexia, vomiting, diarrhea, or increased blood pressure, respiratory rate, or heart rate. If withdrawal symptoms arise, it may be necessary to pause the taper for a period of time or raise the dose of the opioid analgesic to the previous dose, and then proceed with a slower taper. In addition, monitor patients for any changes in mood, emergence of suicidal thoughts, or use of other substances.



When managing patients taking opioid analgesics, particularly those who have been treated for a long duration and/or with high doses for chronic pain, ensure that a multimodal approach to pain management, including mental health support (if needed), is in place prior to initiating an opioid analgesic taper. A multimodal approach to pain management may optimize the treatment of chronic pain, as well as assist with the successful tapering of the opioid analgesic [see WARNINGS/ Withdrawal, DRUG ABUSE AND DEPENDENCE].

Drug/laboratory Test Interactions (Drug/Laboratory Test Interactions)

Acetaminophen may produce false-positive test results for urinary 5-hydroxyindoleacetic acid.

Information for Patients/caregivers (Information for Patients/Caregivers)

Advise the patient to read the FDA-approved patient labeling (Medication Guide).



Storage and Disposal

Because of the risks associated with accidental ingestion, misuse, and abuse, advise patients to store Hydrocodone Bitartrate and Acetaminophen Oral Solution securely, out of sight and reach of children, and in a location not accessible by others, including visitors to the home [see WARNINGS, DRUG ABUSE AND DEPENDENCE]. Inform patients that leaving Hydrocodone Bitartrate and Acetaminophen Oral Solution unsecured can pose a deadly risk to others in the home.



Advise patients and caregivers that when medicines are no longer needed, they should be disposed of promptly. Expired, unwanted, or unused Hydrocodone Bitartrate and Acetaminophen Oral Solution should be disposed of by flushing the unused medication down the toilet if a drug take-back option is not readily available. Inform patients that they can visit www.fda.gov/drugdisposal for a complete list of medicines recommended for disposal by flushing, as well as additional information on disposal of unused medicines.



Medication Errors

Instruct patients how to measure and take the correct dose of hydrocodone bitartrate and acetaminophen oral solution and to always use a calibrated measuring device when administering hydrocodone bitartrate and acetaminophen oral solution to ensure the dose is measured and administered accurately [see WARNINGS]. 

If the prescribed concentration is changed, instruct patients on how to correctly measure the new dose to avoid errors which could result in accidental overdose and death.



Addiction, Abuse, and Misuse

Inform patients that the use of hydrocodone bitartrate and acetaminophen oral solution, even when taken as recommended, can result in addiction, abuse, and misuse, which can lead to overdose and death [see WARNINGS].Instruct patients not to share hydrocodone bitartrate and acetaminophen oral solution with others and to take steps to protect hydrocodone bitartrate and acetaminophen oral solution from theft or misuse.



Life-Threatening Respiratory Depression

Inform patients of the risk of life-threatening respiratory depression, including information that the risk is greatest when starting hydrocodone bitartrate and acetaminophen oral solution or when the dosage is increased, and that it can occur even at recommended dosages.



Educate patients and caregivers on how to recognize respiratory depression and emphasize the importance of calling 911 or getting emergency medical help right away in the event of a known or suspected overdose (see WARNINGS, Life Threatening Respiratory Depression).



Patient Access to Naloxone for the Emergency Treatment of Opioid Overdose

Discuss with the patient and caregiver the availability of naloxone for the emergency treatment of opioid overdose, both when initiating and renewing treatment with Hydrocodone Bitartrate and Acetaminophen Oral Solution. Inform patients and caregivers about the various ways to obtain naloxone as permitted by individual state naloxone dispensing and prescribing requirements or guidelines (e.g., by prescription, directly from a pharmacist, or as part of a community based program) (see WARNINGS, Life-Threatening Respiratory Depression; DOSAGE AND ADMINISTRATION).



Educate patients and caregivers on how to recognize the signs and symptoms of an overdose.



Explain to patients and caregivers that naloxone’s effects are temporary, and that they must call 911 or get emergency medical help right away in all cases of known or suspected opioid overdose, even if naloxone is administered (see OVERDOSAGE).



If naloxone is prescribed, also advise patients and caregivers:

• How to treat with naloxone in the event of an opioid overdose

• To tell family and friends about their naloxone and to keep it in a place where family and friends can access it in an emergency

• To read the Patient Information (or other educational material) that will come with their naloxone. Emphasize the importance of doing this before an opioid emergency happens, so the patient and caregiver will know what to do.



Accidental Ingestion

Inform patients that accidental ingestion, especially by children, may result in respiratory depression or death (see WARNINGS). Instruct patients to take steps to store securely and to dispose of unused hydrocodone bitartrate and acetaminophen oral solution by flushing down the toilet.



Interactions with Benzodiazepines and Other CNS Depressants

Inform patients and caregivers that potentially fatal additive effects may occur if hydrocodone bitartrate and acetaminophen oral solution is used with benzodiazepines and other CNS depressants, including alcohol, and not to use these concomitantly unless supervised by a healthcare provider [see WARNINGSPRECAUTIONS; Drug Interactions ].



Serotonin Syndrome

Inform patients that hydrocodone bitartrate and acetaminophen oral solution could cause a rare but potentially life- threatening condition resulting from concomitant administration of serotonergic drugs. Warn patients of the symptoms of serotonin syndrome and to seek medical attention right away if symptoms develop. Instruct patients to inform their healthcare providers if they are taking, or plan to take serotonergic medications [see PRECAUTIONS; Drug Interactions].



Monoamine Oxidase Inhibitor (MAOI) Interaction

Inform patients to avoid taking hydrocodone bitartrate and acetaminophen oral solution while using any drugs that inhibit monoamine oxidase. Patients should not start MAOIs while taking hydrocodone bitartrate and acetaminophen oral solution [see PRECAUTIONS; Drug Interactions].



Adrenal Insufficiency

Inform patients that hydrocodone bitartrate and acetaminophen oral solution could cause adrenal insufficiency, a potentially life-threatening condition. Adrenal insufficiency may present with non- specific symptoms and signs such as nausea, vomiting, anorexia, fatigue, weakness, dizziness, and low blood pressure. Advise patients to seek medical attention if they experience a constellation of these symptoms [see WARNINGS].



Important Administration Instructions

Instruct patients how to properly measure and take hydrocodone bitartrate and acetaminophen oral solution [see DOSAGE AND ADMINISTRATION, WARNINGS].

• Advise patients to always use the enclosed calibrated oral syringe/dosing cup when administering hydrocodone bitartrate and acetaminophen oral solution to ensure the dose is measured and administered accurately [see WARNINGS].

• Advise patients never to use household teaspoons or tablespoons to measure hydrocodone bitartrate and acetaminophen oral solution.

• Advise patients not to adjust the dose of hydrocodone bitartrate and acetaminophen oral solution without consulting with a physician or other healthcare professional.

• If patients have been receiving treatment with hydrocodone bitartrate and acetaminophen oral solution for more than a few weeks and cessation of therapy is indicated, counsel them on the importance of safely tapering the dose as abrupt discontinuation of the medication could precipitate withdrawal symptoms. Provide a dose schedule to accomplish a gradual discontinuation of the medication [see DOSAGE AND ADMINISTRATION].



Important Discontinuation Instructions

In order to avoid developing withdrawal symptoms, instruct patients not to discontinue Hydrocodone Bitartrate and Acetaminophen Oral Solution without first discussing a tapering plan with the prescriber [see DOSAGE AND ADMINISTRATION].



Maximum Daily Dose of Acetaminophen

Inform patients to not take more than 4000 milligrams of acetaminophen per day. Advise patients to call their prescriber if they take more than the recommended dose.



Hypotension

Inform patients that hydrocodone bitartrate and acetaminophen oral solution may cause orthostatic hypotension and syncope. Instruct patients how to recognize symptoms of low blood pressure and how to reduce the risk of serious consequences should hypotension occur (e.g., sit or lie down, carefully rise from a sitting or lying position) [see WARNINGS].



Anaphylaxis

Inform patients that anaphylaxis has been reported with ingredients contained in hydrocodone bitartrate and acetaminophen oral solution. Advise patients how to recognize such a reaction and when to seek medical attention [see CONTRAINDICATIONS, ADVERSE REACTIONS].



Pregnancy



Neonatal Opioid Withdrawal Syndrome

Inform female patients of reproductive potential that prolonged use of hydrocodone bitartrate and acetaminophen oral solution during pregnancy can result in neonatal opioid withdrawal syndrome, which may be life-threatening if not recognized and treated [see WARNINGS, PRECAUTIONS; Pregnancy].



Embryo-Fetal Toxicity

Inform female patients of reproductive potential that hydrocodone bitartrate and acetaminophen oral solution can cause fetal harm and to inform their healthcare provider of a known or suspected pregnancy [see PRECAUTIONS; Pregnancy].



Lactation

Advise nursing mothers to monitor infants for increased sleepiness (more than usual), breathing difficulties, or limpness. Instruct nursing mothers to seek immediate medical care if they notice these signs [see PRECAUTIONS; Nursing Mothers].



Infertility

Inform patients that chronic use of opioids may cause reduced fertility. It is not known whether these effects on fertility are reversible [see ADVERSE REACTIONS].



Driving or Operating Heavy Machinery

Inform patients that hydrocodone bitartrate and acetaminophen oral solution may impair the ability to perform potentially hazardous activities such as driving a car or operating heavy machinery. Advise patients not to perform such tasks until they know how they will react to the medication [see WARNINGS].



Constipation

Advise patients of the potential for severe constipation, including management instructions and when to seek medical attention [see ADVERSE REACTIONS, CLINICAL PHARMACOLOGY].

Carcinogenesis & Mutagenesis & Impairment of Fertility

Carcinogenesis

Long-term studies to evaluate the carcinogenic potential of the combination of hydrocodone bitartrate and acetaminophen oral solution have not been conducted.



Long-term studies in mice and rats have been completed by the National Toxicology Program to evaluate the carcinogenic potential of acetaminophen. In 2-year feeding studies, F344/N rats and B6C3F1 mice were fed a diet containing acetaminophen up to 6000 ppm. Female rats demonstrated equivocal evidence of carcinogenic activity based on increased incidences of mononuclear cell leukemia at 0.8 times the maximum human daily dose (MHDD) of 4 grams/day, based on a body surface area comparison. In contrast, there was no evidence of carcinogenic activity in male rats that received up to 0.7 times or mice at up to 1.2-1.4 times the MHDD, based on a body surface area comparison.



Mutagenesis

In the published literature, acetaminophen has been reported to be clastogenic when administered at 1500 mg/kg/day to the rat model (3.6-times the MHDD, based on a body surface area comparison). In contrast, no clastogenicity was noted at a dose of 750 mg/kg/day (1.8-times the MHDD, based on a body surface area comparison), suggesting a threshold effect.



Impairment of Fertility

In studies conducted by the National Toxicology Program, fertility assessments with acetaminophen have been completed in Swiss CD-1 mice via a continuous breeding study. There were no effects on fertility parameters in mice consuming up to 1.7 times the MHDD of acetaminophen, based on a body surface area comparison. Although there was no effect on sperm motility or sperm density in the epididymis, there was a significant increase in the percentage of abnormal sperm in mice consuming 1.78 times the MHDD (based on a body surface comparison) and there was a reduction in the number of mating pairs producing a fifth litter at this dose, suggesting the potential for cumulative toxicity with chronic administration of acetaminophen near the upper limit of daily dosing.



Published studies in rodents report that oral acetaminophen treatment of male animals at doses that are 1.2 times the MHDD and greater (based on a body surface comparison) result in decreased testicular weights, reduced spermatogenesis, reduced fertility, and reduced implantation sites in females given the same doses. These effects appear to increase with the duration of treatment. The clinical significance of these findings is not known.



Infertility

Chronic use of opioids may cause reduced fertility in females and males of reproductive potential. It is not known whether these effects on fertility are reversible [see ADVERSE REACTIONS].


Advanced Ingredient Data


Raw Label Data

All Sections (JSON)