SPL v101
SPL
SPL Set ID ad88de0e-6e01-4056-b259-841fb67d2db0
Route
TOPICAL
Published
Effective Date 2011-12-30
Document Type 34391-3 HUMAN PRESCRIPTION DRUG LABEL

Drug Facts

Composition & Product

Active Ingredients
Triamcinolone Acetonide (1 mg)
Inactive Ingredients
Mineral Oil Propylene Glycol Sorbitol Cetyl Palmitate Sorbic Acid Potassium Sorbate Water

Identifiers & Packaging

Marketing Status
ANDA Active Since 2012-04-01

Description

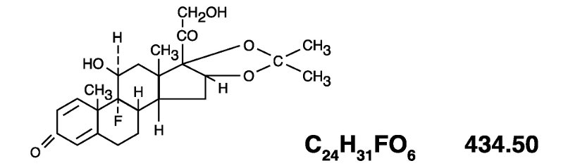
The topical corticosteroids constitute a class of primarily synthetic steroids used as anti-inflammatory and antipruritic agents. Triamcinolone acetonide is a member of this class. Chemically triamcinolone acetonide is pregna-1, 4-diene-3, 20-dione, 9-flouro-11, 21-dihydroxy-16, 17-[(1-methylethylidene)bis(oxy)]-(11β16a). Its structural formula is: Each gram of Triamcinolone Acetonide Cream USP, 0.025 % contains 0.25 mg triamcinolone acetonide USP in a cream base consisting of purified water, emulsifying wax, mineral oil, propylene glycol, sorbitol solution, cetyl palmitate, sorbic acid, and potassium sorbate. Each gram of Triamcinolone Acetonide Cream USP, 0.1 % contains 1 mg triamcinolone acetonide USP in a cream base consisting of purified water, emulsifying wax, mineral oil, propylene glycol, sorbitol solution, cetyl palmitate, sorbic acid, and potassium sorbate. Each gram of Triamcinolone Acetonide Cream USP, 0.5 % contains 5 mg triamcinolone acetonide USP in a cream base consisting of purified water, emulsifying wax, mineral oil, propylene glycol, sorbitol solution, cetyl palmitate, sorbic acid, and potassium sorbate.

Contraindications

 Triamcinolone acetonide cream is contraindicated in those patients with a history of hypersensitivity to any of the components of the preparation.

Adverse Reactions

The following local adverse reactions are reported infrequently with topical corticosteroids, but may occur more frequently with the use of occlusive dressings. These reactions are listed in an approximate decreasing order of occurrence: Burning Itching Irritation Dryness Folliculitis Hypertrichosis Acneiform eruptions Hypopigmentation Perioral dermatitis Allergic contact dermatitis Maceration of the skin Secondary infection Skin Atrophy Striae Miliaria

How Supplied

Triamcinolone acetonide cream USP 0.1% is supplied in 30 g tube NDC: 63629-8779-1 Store at 20-25°C (68°-77°F) [see USP Controlled Room Temperature]. Avoid excessive heat. Protect from freezing. Repackaged/Relabeled by: Bryant Ranch Prepack, Inc. Burbank, CA 91504


Medication Information

Contraindications

 Triamcinolone acetonide cream is contraindicated in those patients with a history of hypersensitivity to any of the components of the preparation.

Adverse Reactions

The following local adverse reactions are reported infrequently with topical corticosteroids, but may occur more frequently with the use of occlusive dressings. These reactions are listed in an approximate decreasing order of occurrence:

Burning

Itching

Irritation

Dryness

Folliculitis

Hypertrichosis

Acneiform eruptions

Hypopigmentation

Perioral dermatitis

Allergic contact dermatitis

Maceration of the skin

Secondary infection

Skin Atrophy

Striae

Miliaria

How Supplied

Triamcinolone acetonide cream USP 0.1% is supplied in

30 g tube NDC: 63629-8779-1

Store at 20-25°C (68°-77°F) [see USP Controlled Room Temperature].

Avoid excessive heat. Protect from freezing.

Repackaged/Relabeled by:

Bryant Ranch Prepack, Inc.

Burbank, CA 91504

Description

The topical corticosteroids constitute a class of primarily synthetic steroids used as anti-inflammatory and antipruritic agents. Triamcinolone acetonide is a member of this class. Chemically triamcinolone acetonide is pregna-1, 4-diene-3, 20-dione, 9-flouro-11, 21-dihydroxy-16, 17-[(1-methylethylidene)bis(oxy)]-(11β16a). Its structural formula is:







Each gram of Triamcinolone Acetonide Cream USP, 0.025 % contains 0.25 mg triamcinolone acetonide USP in a cream base consisting of purified water, emulsifying wax, mineral oil, propylene glycol, sorbitol solution, cetyl palmitate, sorbic acid, and potassium sorbate.

Each gram of Triamcinolone Acetonide Cream USP, 0.1 % contains 1 mg triamcinolone acetonide USP in a cream base consisting of purified water, emulsifying wax, mineral oil, propylene glycol, sorbitol solution, cetyl palmitate, sorbic acid, and potassium sorbate.

Each gram of Triamcinolone Acetonide Cream USP, 0.5 % contains 5 mg triamcinolone acetonide USP in a cream base consisting of purified water, emulsifying wax, mineral oil, propylene glycol, sorbitol solution, cetyl palmitate, sorbic acid, and potassium sorbate.

Section 51945-4

Triamcinolone Acetonide 1mg Cream #30

Overdosage

Topically applied corticosteroids can be absorbed in sufficient amounts to produce systemic effects (See PRECAUTIONS).

Pediatric Use

 Pediatric patients may demonstrate greater susceptibility to topical corticosteroid-induced HPA axis suppression and Cushing's syndrome than mature patients because of a larger skin surface area to body weight ratio.

Hypothalamic- pituitary-adrenal (HPA) axis suppression, Cushings's syndrome and intracranial hypertension have been reported in children receiving topical corticosteroids. Manifestations of adrenal suppression in children include linear growth retardation, delayed weight gain, low plasma cortisol levels, and absence of response to ACTH stimulation. Manifestations of intracranial hypertension include bulging fontanelles, headaches, and bilateral papilledema.

Administration of topical corticosteroids to children should be limited to the least amount compatible with an effective therapeutic regimen. Chronic corticosteroid therapy may interfere with the growth and development of children.

Nursing Mothers

It is not known whether topical administration of corticosteroids could result in sufficient systemic absorption to produce detectable quantities in breast milk. Systemically administered corticosteroids are secreted into breast milk in quantities not likely to have a deleterious effect on the infant. Nevertheless, caution should be exercised when topical corticosteroids are administered to a nursing woman.

Laboratory Tests

The following tests may be helpful in evaluating the HPA axis suppression:

Urinary free cortisol test

ACTH stimulation test

General Precautions

Systemic absorption of topical corticosteroids has produced reversible hypothalamic-pituitary-adrenal (HPA) axis suppression, manifestations of Cushing's syndrome, hyperglycemia, and glucosuria in some patients.

Conditions which augment systemic absorption include the application of the more potent steroids, use over large surface areas, prolonged use, and the addition of occlusive dressings.

Therefore, patients receiving a large dose of a potent topical steroid applied to a large surface area or under an occlusive dressing should be evaluated periodically for evidence of HPA axis suppression by using the urinary free cortisol and ACTH stimulation tests. If HPA axis suppression is noted, an attempt should be made to withdraw the drug, to reduce the frequency of application, or to substitute a less potent steroid.

Recovery of HPA axis function is generally prompt and complete upon discontinuation of the drug. Infrequently, signs and symptoms of steroid withdrawal may occur, requiring supplemental systemic corticosteroids. Children may absorb proportionally larger amounts of topical corticosteroids and thus be more susceptible to systemic toxicity (See PRECAUTIONS-Pediatric Use).

If irritation develops, topical corticosteroids should be discontinued and appropriate therapy instituted.

In the presence of dermatological infections, the use of an appropriate antifungal or antibacterial agent should be instituted. If a favorable response does not occur promptly, the corticosteroid should be discontinued until the infection has been adequately controlled.

Indications & Usage

Triamcinolone acetonide cream is indicated for the relief of the inflammatory and pruritic manifestations of corticosteroid-responsive dermatoses.

Pregnancy Category C

Corticosteroids are generally teratogenic in laboratory animals when administered systemically at relatively low dosage levels. The more potent corticosteroids have been shown to be teratogenic after dermal application in laboratory animals. There are not adequate and well-controlled studies in pregnant women on teratogenic effects from topically applied corticosteroids. Therefore, topical corticosteroids should be used during pregnancy only if the potential benefit justifies the potential risk to the fetus. Drugs of this class should not be used extensively on pregnant patients, in large amounts, or for prolonged periods of time.

Clinical Pharmacology

Topical corticosteroids share anti-inflammatory, antipruritic and vasoconstrictive actions.

The mechanism of anti-inflammatory activity of the topical corticosteroids is unclear. Various laboratory methods, including vasoconstrictor assays, are used to compare and predict potencies and/or clinical efficacies of the topical corticosteroids. There is some evidence to suggest that a recognizable correlation exists between vasoconstrictor potency and therapeutic efficacy in man.

Pharmacokinetics

The extent of percutaneous absorption of topical corticosteroids is determined by many factors including the vehicle, the integrity of the epidermal barrier, and the use of occlusive dressings.

Topical corticosteroids can be absorbed from normal intact skin. Inflammation and/or other disease processes in the skin increase percutaneous absorption. Occlusive dressings substantially increase the percutaneous absorption of topical corticosteroids. Thus, occlusive dressings may be a valuable therapeutic adjunct for treatment of resistant dermatoses. (See DOSAGE AND ADMINISTRATION)

 Once absorbed through the skin, topical corticosteroids are handled through pharmacokinetic pathways similar to systemically administered corticosteroids. Corticosteroids are bound to plasma proteins in varying degrees. Corticosteriods are metabolized primarily in the liver and are then excreted by the kidneys. Some of the topical corticosteroids and their metabolites are also excreted into the bile.

Dosage & Administration

 Topical corticosteroids are generally applied to the affected area as a thin film from two to three times daily depending on the severity of the condition.

Occlusive dressing may be used for the management of psoriasis or recalcitrant conditions.

If an infection develops, the use of occlusive dressing should be discontinued and appropriate antimicrobial therapy instituted.

Information for Patients

Patients using topical corticosteroids should receive the following information and instructions.

  • This medication is to be used as directed by the physician. It is for external use only. Avoid contact with the eyes.
  • Patients should be advised not to use this medication for any disorder other than for which it was prescribed.
  • The treated skin area should not be bandaged or otherwise covered or wrapped as to be occlusive unless directed by the physician.
  • Patients should report any signs of local adverse reactions especially under occlusive dressing.
  • Parents of pediatric patients should be advised not to use tight-fitting diapers or plastic pants on a child being treated in the diaper area, as these garments may constitute occlusive dressings.
Carcinogenesis & Mutagenesis & Impairment of Fertility

 Long-term animal studies have not been performed to evaluate the carcinogenic potential or the effect on fertility of topical corticosteroids.

Studies to determine mutagenicity with prednisolone and hydrocortisone have revealed negative results.


Structured Label Content

Section 51945-4 (51945-4)

Triamcinolone Acetonide 1mg Cream #30

Overdosage (OVERDOSAGE)

Topically applied corticosteroids can be absorbed in sufficient amounts to produce systemic effects (See PRECAUTIONS).

Description (DESCRIPTION)

The topical corticosteroids constitute a class of primarily synthetic steroids used as anti-inflammatory and antipruritic agents. Triamcinolone acetonide is a member of this class. Chemically triamcinolone acetonide is pregna-1, 4-diene-3, 20-dione, 9-flouro-11, 21-dihydroxy-16, 17-[(1-methylethylidene)bis(oxy)]-(11β16a). Its structural formula is:







Each gram of Triamcinolone Acetonide Cream USP, 0.025 % contains 0.25 mg triamcinolone acetonide USP in a cream base consisting of purified water, emulsifying wax, mineral oil, propylene glycol, sorbitol solution, cetyl palmitate, sorbic acid, and potassium sorbate.

Each gram of Triamcinolone Acetonide Cream USP, 0.1 % contains 1 mg triamcinolone acetonide USP in a cream base consisting of purified water, emulsifying wax, mineral oil, propylene glycol, sorbitol solution, cetyl palmitate, sorbic acid, and potassium sorbate.

Each gram of Triamcinolone Acetonide Cream USP, 0.5 % contains 5 mg triamcinolone acetonide USP in a cream base consisting of purified water, emulsifying wax, mineral oil, propylene glycol, sorbitol solution, cetyl palmitate, sorbic acid, and potassium sorbate.

How Supplied (HOW SUPPLIED)

Triamcinolone acetonide cream USP 0.1% is supplied in

30 g tube NDC: 63629-8779-1

Store at 20-25°C (68°-77°F) [see USP Controlled Room Temperature].

Avoid excessive heat. Protect from freezing.

Repackaged/Relabeled by:

Bryant Ranch Prepack, Inc.

Burbank, CA 91504

Pediatric Use (PEDIATRIC USE)

 Pediatric patients may demonstrate greater susceptibility to topical corticosteroid-induced HPA axis suppression and Cushing's syndrome than mature patients because of a larger skin surface area to body weight ratio.

Hypothalamic- pituitary-adrenal (HPA) axis suppression, Cushings's syndrome and intracranial hypertension have been reported in children receiving topical corticosteroids. Manifestations of adrenal suppression in children include linear growth retardation, delayed weight gain, low plasma cortisol levels, and absence of response to ACTH stimulation. Manifestations of intracranial hypertension include bulging fontanelles, headaches, and bilateral papilledema.

Administration of topical corticosteroids to children should be limited to the least amount compatible with an effective therapeutic regimen. Chronic corticosteroid therapy may interfere with the growth and development of children.

Nursing Mothers (NURSING MOTHERS)

It is not known whether topical administration of corticosteroids could result in sufficient systemic absorption to produce detectable quantities in breast milk. Systemically administered corticosteroids are secreted into breast milk in quantities not likely to have a deleterious effect on the infant. Nevertheless, caution should be exercised when topical corticosteroids are administered to a nursing woman.

Laboratory Tests (LABORATORY TESTS)

The following tests may be helpful in evaluating the HPA axis suppression:

Urinary free cortisol test

ACTH stimulation test

Adverse Reactions (ADVERSE REACTIONS)

The following local adverse reactions are reported infrequently with topical corticosteroids, but may occur more frequently with the use of occlusive dressings. These reactions are listed in an approximate decreasing order of occurrence:

Burning

Itching

Irritation

Dryness

Folliculitis

Hypertrichosis

Acneiform eruptions

Hypopigmentation

Perioral dermatitis

Allergic contact dermatitis

Maceration of the skin

Secondary infection

Skin Atrophy

Striae

Miliaria

Contraindications (CONTRAINDICATIONS)

 Triamcinolone acetonide cream is contraindicated in those patients with a history of hypersensitivity to any of the components of the preparation.

General Precautions (GENERAL PRECAUTIONS)

Systemic absorption of topical corticosteroids has produced reversible hypothalamic-pituitary-adrenal (HPA) axis suppression, manifestations of Cushing's syndrome, hyperglycemia, and glucosuria in some patients.

Conditions which augment systemic absorption include the application of the more potent steroids, use over large surface areas, prolonged use, and the addition of occlusive dressings.

Therefore, patients receiving a large dose of a potent topical steroid applied to a large surface area or under an occlusive dressing should be evaluated periodically for evidence of HPA axis suppression by using the urinary free cortisol and ACTH stimulation tests. If HPA axis suppression is noted, an attempt should be made to withdraw the drug, to reduce the frequency of application, or to substitute a less potent steroid.

Recovery of HPA axis function is generally prompt and complete upon discontinuation of the drug. Infrequently, signs and symptoms of steroid withdrawal may occur, requiring supplemental systemic corticosteroids. Children may absorb proportionally larger amounts of topical corticosteroids and thus be more susceptible to systemic toxicity (See PRECAUTIONS-Pediatric Use).

If irritation develops, topical corticosteroids should be discontinued and appropriate therapy instituted.

In the presence of dermatological infections, the use of an appropriate antifungal or antibacterial agent should be instituted. If a favorable response does not occur promptly, the corticosteroid should be discontinued until the infection has been adequately controlled.

Indications & Usage (INDICATIONS & USAGE)

Triamcinolone acetonide cream is indicated for the relief of the inflammatory and pruritic manifestations of corticosteroid-responsive dermatoses.

Pregnancy Category C (PREGNANCY CATEGORY C)

Corticosteroids are generally teratogenic in laboratory animals when administered systemically at relatively low dosage levels. The more potent corticosteroids have been shown to be teratogenic after dermal application in laboratory animals. There are not adequate and well-controlled studies in pregnant women on teratogenic effects from topically applied corticosteroids. Therefore, topical corticosteroids should be used during pregnancy only if the potential benefit justifies the potential risk to the fetus. Drugs of this class should not be used extensively on pregnant patients, in large amounts, or for prolonged periods of time.

Clinical Pharmacology (CLINICAL PHARMACOLOGY)

Topical corticosteroids share anti-inflammatory, antipruritic and vasoconstrictive actions.

The mechanism of anti-inflammatory activity of the topical corticosteroids is unclear. Various laboratory methods, including vasoconstrictor assays, are used to compare and predict potencies and/or clinical efficacies of the topical corticosteroids. There is some evidence to suggest that a recognizable correlation exists between vasoconstrictor potency and therapeutic efficacy in man.

Pharmacokinetics

The extent of percutaneous absorption of topical corticosteroids is determined by many factors including the vehicle, the integrity of the epidermal barrier, and the use of occlusive dressings.

Topical corticosteroids can be absorbed from normal intact skin. Inflammation and/or other disease processes in the skin increase percutaneous absorption. Occlusive dressings substantially increase the percutaneous absorption of topical corticosteroids. Thus, occlusive dressings may be a valuable therapeutic adjunct for treatment of resistant dermatoses. (See DOSAGE AND ADMINISTRATION)

 Once absorbed through the skin, topical corticosteroids are handled through pharmacokinetic pathways similar to systemically administered corticosteroids. Corticosteroids are bound to plasma proteins in varying degrees. Corticosteriods are metabolized primarily in the liver and are then excreted by the kidneys. Some of the topical corticosteroids and their metabolites are also excreted into the bile.

Dosage & Administration (DOSAGE & ADMINISTRATION)

 Topical corticosteroids are generally applied to the affected area as a thin film from two to three times daily depending on the severity of the condition.

Occlusive dressing may be used for the management of psoriasis or recalcitrant conditions.

If an infection develops, the use of occlusive dressing should be discontinued and appropriate antimicrobial therapy instituted.

Information for Patients (INFORMATION FOR PATIENTS)

Patients using topical corticosteroids should receive the following information and instructions.

  • This medication is to be used as directed by the physician. It is for external use only. Avoid contact with the eyes.
  • Patients should be advised not to use this medication for any disorder other than for which it was prescribed.
  • The treated skin area should not be bandaged or otherwise covered or wrapped as to be occlusive unless directed by the physician.
  • Patients should report any signs of local adverse reactions especially under occlusive dressing.
  • Parents of pediatric patients should be advised not to use tight-fitting diapers or plastic pants on a child being treated in the diaper area, as these garments may constitute occlusive dressings.
Carcinogenesis & Mutagenesis & Impairment of Fertility (CARCINOGENESIS & MUTAGENESIS & IMPAIRMENT OF FERTILITY)

 Long-term animal studies have not been performed to evaluate the carcinogenic potential or the effect on fertility of topical corticosteroids.

Studies to determine mutagenicity with prednisolone and hydrocortisone have revealed negative results.


Advanced Ingredient Data


Raw Label Data

All Sections (JSON)