Permethrin Cream 5%

Permethrin Cream 5%
SPL v8
SPL
SPL Set ID ad568fc3-8e4a-4cff-9bbb-35312451c43b
Route
TOPICAL
Published
Effective Date 2019-12-31
Document Type 34391-3 HUMAN PRESCRIPTION DRUG LABEL

Drug Facts

Composition & Product

Active Ingredients
Permethrin (50 mg)
Inactive Ingredients
Butylated Hydroxytoluene Carbomer 934 Coconut Oil Glycerin Glyceryl Monostearate Isopropyl Myristate Lanolin Alcohols Light Mineral Oil Ceteth-10 Ceteth-20 Water Sodium Hydroxide Formaldehyde

Identifiers & Packaging

Marketing Status
ANDA Completed Since 2004-11-30 Until 2026-07-31

Description

Rx Only

Indications and Usage

Permethrin cream is indicated for the treatment of infestation with Sarcoptes scabiei (scabies).

Dosage and Administration

Adults and children: Thoroughly massage permethrin cream into the skin from the head to the soles of the feet. Scabies rarely infests the scalp of adults, although the hairline, neck, temple, and forehead may be infested in infants and geriatric patients. Usually 30 grams is sufficient for an average adult. The cream should be removed by washing (shower or bath) after 8 to 14 hours. Infants should be treated on the scalp, temple and forehead. ONE APPLICATION IS GENERALLY CURATIVE. Patients may experience persistent pruritus after treatment. This is rarely a sign of treatment failure and is not an indication for retreatment. Demonstrable living mites after 14 days indicate that retreatment is necessary.

Contraindications

Permethrin cream is contraindicated in patients with known hypersensitivity to any of its components, to any synthetic pyrethroid or pyrethrin.

Adverse Reactions

In clinical trials, generally mild and transient burning and stinging followed application with permethrin cream in 10% of patients and was associated with the severity of infestation. Pruritis was reported in 7% of patients at various times post-application. Erythema, numbness, tingling, and rash were reported in 1 to 2% or less of patients (see PRECAUTIONS : General ).

How Supplied

Permethrin Cream 5% (wt./wt.) is supplied in 60 g tubes. Store at room temperature 15°-25°C (59°-77°F). Distributed by: Actavis Pharma, Inc. Parsippany, NJ 07054 USA Rev. A 12/2019


Medication Information

Indications and Usage

Permethrin cream is indicated for the treatment of infestation with Sarcoptes scabiei (scabies).

Dosage and Administration

Adults and children: Thoroughly massage permethrin cream into the skin from the head to the soles of the feet. Scabies rarely infests the scalp of adults, although the hairline, neck, temple, and forehead may be infested in infants and geriatric patients. Usually 30 grams is sufficient for an average adult. The cream should be removed by washing (shower or bath) after 8 to 14 hours. Infants should be treated on the scalp, temple and forehead. ONE APPLICATION IS GENERALLY CURATIVE.

Patients may experience persistent pruritus after treatment. This is rarely a sign of treatment failure and is not an indication for retreatment. Demonstrable living mites after 14 days indicate that retreatment is necessary.

Contraindications

Permethrin cream is contraindicated in patients with known hypersensitivity to any of its components, to any synthetic pyrethroid or pyrethrin.

Adverse Reactions

In clinical trials, generally mild and transient burning and stinging followed application with permethrin cream in 10% of patients and was associated with the severity of infestation. Pruritis was reported in 7% of patients at various times post-application. Erythema, numbness, tingling, and rash were reported in 1 to 2% or less of patients (see PRECAUTIONS: General).

How Supplied

Permethrin Cream 5% (wt./wt.) is supplied in 60 g tubes.

Store at room temperature 15°-25°C (59°-77°F).

Distributed by:

Actavis Pharma, Inc.

Parsippany, NJ 07054 USA

Rev. A 12/2019



Description

Permethrin Cream 5% is a topical scabicidal agent for the treatment of infestation with Sarcoptes scabiei (scabies). It is available in a white to off-white, vanishing cream base.

Permethrin cream is for topical use only.

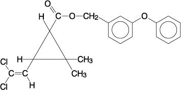
Structural Formula:

Chemical Name: The permethrin used is an approximate 1:3 mixture of the cis and trans isomers of the pyrethroid 3-(2,2-dichloroethenyl)- 2,2-dimethylcyclopropanecarboxylic acid, (3-phenoxyphenyl) methyl ester. Permethrin has a molecular formula of C21H20Cl2O3 and a molecular weight of 391.29. It is a yellow to light orange-brown, low melting solid or viscous liquid.

Each gram contains permethrin 50 mg (5%) and the inactive ingredients butylated hydroxytoluene, carbomer 934P, coconut oil, glycerin, glyceryl stearate, isopropyl myristate, lanolin alcohols, light mineral oil, polyoxyethylene cetyl ethers, purified water, and sodium hydroxide. Formaldehyde 1 mg (0.1%) is added as a preservative.

Section 42229-5



Rx Only

General

Scabies infestation is often accompanied by pruritis, edema and erythema. Treatment with permethrin cream may temporarily exacerbate these conditions.

Warnings

If hypersensitivity to permethrin cream occurs, discontinue use.

Overdosage

No instance of accidental ingestion of permethrin cream has been reported. If ingested, gastric lavage and general supportive measures should be employed.

Geriatric Use

Clinical studies of permethrin cream did not identify sufficient numbers of subjects aged 65 and over to allow a definitive statement regarding whether elderly subjects respond differently from younger subjects. Other reported clinical experience has not identified differences in responses between the elderly and younger patients. This drug is known to be substantially excreted by the kidney. However, since topical permethrin is metabolized in the liver and excreted in the urine as inactive metabolites, there does not appear to be an increased risk of toxic reactions in patients with impaired renal function when used as labeled.

Pediatric Use

Permethrin cream is safe and effective in pediatric patients two months of age and older. Safety and effectiveness in pediatric patients less than two months of age have not been established.

Nursing Mothers

It is not known whether this drug is excreted in human milk. Because many drugs are excreted in human milk and because of the evidence for tumorigenic potential of permethrin in animal studies, consideration should be given to discontinuing nursing temporarily or withholding the drug while the mother is nursing.

Teratogenic Effects

Pregnancy Category B: Reproduction studies have been performed in mice, rats, and rabbits (200 to 400 mg/kg/day orally) and have revealed no evidence of impaired fertility or harm to the fetus due to permethrin. There are, however, no adequate and well-controlled studies in pregnant women. Because animal reproduction studies are not always predictive of human response, this drug should be used during pregnancy only if clearly needed.

Clinical Pharmacology

Permethrin, a pyrethroid, is active against a broad range of pests including lice, ticks, fleas, mites, and other arthropods. It acts on the nerve cell membrane to disrupt the sodium channel current by which the polarization of the membrane is regulated. Delayed repolarization and paralysis of the pests are the consequences of this disturbance.

Permethrin is rapidly metabolized by ester hydrolysis to inactive metabolites which are excreted primarily in the urine. Although the amount of permethrin absorbed after a single application of the 5% cream has not been determined precisely, data from studies with 14C-labeled permethrin and absorption studies of the cream applied to patients with moderate to severe scabies indicate it is 2% or less of the amount applied.

Information for Patients

Patients with scabies should be advised that itching, mild burning and/or stinging may occur after application of permethrin cream. In clinical trials, approximately 75% of patients treated with permethrin cream who continued to manifest pruritis at 2 weeks had cessation by 4 weeks. If irritation persists, they should consult their physician. Permethrin cream may be very mildly irritating to the eyes. Patients should be advised to avoid contact with eyes during application and to flush with water immediately if permethrin cream gets in the eyes.

Package Label.principal Display Panel

Actavis

NDC 0472-0242-60

Permethrin Cream 5% w/w

Rx Only

For External Use Only

Not For Use In Eyes

60g (2.2 oz)

Carcinogenesis, Mutagenesis, Impairment of Fertility

Six carcinogenicity bioassays were evaluated with permethrin, three each in rats and mice. No tumorigenicity was seen in the rat studies. However, species-specific increases in pulmonary adenomas, a common benign tumor of mice of high spontaneous background incidence, were seen in the three mouse studies. In one of these studies there was an increased incidence of pulmonary alveolar-cell carcinomas and benign liver adenomas only in female mice when permethrin was given in their food at a concentration of 5000 ppm. Mutagenicity assays, which give useful correlative data for interpreting results from carcinogenicity bioassays in rodents, were negative. Permethrin showed no evidence of mutagenic potential in a battery of in vitro and in vivo genetic toxicity studies.

Permethrin did not have any adverse effect on reproductive function at a dose of 180 mg/kg/day orally in a three-generation rat study.


Structured Label Content

Section 42229-5 (42229-5)



Rx Only

General

Scabies infestation is often accompanied by pruritis, edema and erythema. Treatment with permethrin cream may temporarily exacerbate these conditions.

Warnings (WARNINGS)

If hypersensitivity to permethrin cream occurs, discontinue use.

Overdosage (OVERDOSAGE)

No instance of accidental ingestion of permethrin cream has been reported. If ingested, gastric lavage and general supportive measures should be employed.

Description (DESCRIPTION)

Permethrin Cream 5% is a topical scabicidal agent for the treatment of infestation with Sarcoptes scabiei (scabies). It is available in a white to off-white, vanishing cream base.

Permethrin cream is for topical use only.

Structural Formula:

Chemical Name: The permethrin used is an approximate 1:3 mixture of the cis and trans isomers of the pyrethroid 3-(2,2-dichloroethenyl)- 2,2-dimethylcyclopropanecarboxylic acid, (3-phenoxyphenyl) methyl ester. Permethrin has a molecular formula of C21H20Cl2O3 and a molecular weight of 391.29. It is a yellow to light orange-brown, low melting solid or viscous liquid.

Each gram contains permethrin 50 mg (5%) and the inactive ingredients butylated hydroxytoluene, carbomer 934P, coconut oil, glycerin, glyceryl stearate, isopropyl myristate, lanolin alcohols, light mineral oil, polyoxyethylene cetyl ethers, purified water, and sodium hydroxide. Formaldehyde 1 mg (0.1%) is added as a preservative.

How Supplied (HOW SUPPLIED)

Permethrin Cream 5% (wt./wt.) is supplied in 60 g tubes.

Store at room temperature 15°-25°C (59°-77°F).

Distributed by:

Actavis Pharma, Inc.

Parsippany, NJ 07054 USA

Rev. A 12/2019



Geriatric Use

Clinical studies of permethrin cream did not identify sufficient numbers of subjects aged 65 and over to allow a definitive statement regarding whether elderly subjects respond differently from younger subjects. Other reported clinical experience has not identified differences in responses between the elderly and younger patients. This drug is known to be substantially excreted by the kidney. However, since topical permethrin is metabolized in the liver and excreted in the urine as inactive metabolites, there does not appear to be an increased risk of toxic reactions in patients with impaired renal function when used as labeled.

Pediatric Use

Permethrin cream is safe and effective in pediatric patients two months of age and older. Safety and effectiveness in pediatric patients less than two months of age have not been established.

Nursing Mothers

It is not known whether this drug is excreted in human milk. Because many drugs are excreted in human milk and because of the evidence for tumorigenic potential of permethrin in animal studies, consideration should be given to discontinuing nursing temporarily or withholding the drug while the mother is nursing.

Adverse Reactions (ADVERSE REACTIONS)

In clinical trials, generally mild and transient burning and stinging followed application with permethrin cream in 10% of patients and was associated with the severity of infestation. Pruritis was reported in 7% of patients at various times post-application. Erythema, numbness, tingling, and rash were reported in 1 to 2% or less of patients (see PRECAUTIONS: General).

Contraindications (CONTRAINDICATIONS)

Permethrin cream is contraindicated in patients with known hypersensitivity to any of its components, to any synthetic pyrethroid or pyrethrin.

Teratogenic Effects

Pregnancy Category B: Reproduction studies have been performed in mice, rats, and rabbits (200 to 400 mg/kg/day orally) and have revealed no evidence of impaired fertility or harm to the fetus due to permethrin. There are, however, no adequate and well-controlled studies in pregnant women. Because animal reproduction studies are not always predictive of human response, this drug should be used during pregnancy only if clearly needed.

Clinical Pharmacology (CLINICAL PHARMACOLOGY)

Permethrin, a pyrethroid, is active against a broad range of pests including lice, ticks, fleas, mites, and other arthropods. It acts on the nerve cell membrane to disrupt the sodium channel current by which the polarization of the membrane is regulated. Delayed repolarization and paralysis of the pests are the consequences of this disturbance.

Permethrin is rapidly metabolized by ester hydrolysis to inactive metabolites which are excreted primarily in the urine. Although the amount of permethrin absorbed after a single application of the 5% cream has not been determined precisely, data from studies with 14C-labeled permethrin and absorption studies of the cream applied to patients with moderate to severe scabies indicate it is 2% or less of the amount applied.

Indications and Usage (INDICATIONS AND USAGE)

Permethrin cream is indicated for the treatment of infestation with Sarcoptes scabiei (scabies).

Information for Patients

Patients with scabies should be advised that itching, mild burning and/or stinging may occur after application of permethrin cream. In clinical trials, approximately 75% of patients treated with permethrin cream who continued to manifest pruritis at 2 weeks had cessation by 4 weeks. If irritation persists, they should consult their physician. Permethrin cream may be very mildly irritating to the eyes. Patients should be advised to avoid contact with eyes during application and to flush with water immediately if permethrin cream gets in the eyes.

Dosage and Administration (DOSAGE AND ADMINISTRATION)

Adults and children: Thoroughly massage permethrin cream into the skin from the head to the soles of the feet. Scabies rarely infests the scalp of adults, although the hairline, neck, temple, and forehead may be infested in infants and geriatric patients. Usually 30 grams is sufficient for an average adult. The cream should be removed by washing (shower or bath) after 8 to 14 hours. Infants should be treated on the scalp, temple and forehead. ONE APPLICATION IS GENERALLY CURATIVE.

Patients may experience persistent pruritus after treatment. This is rarely a sign of treatment failure and is not an indication for retreatment. Demonstrable living mites after 14 days indicate that retreatment is necessary.

Package Label.principal Display Panel (PACKAGE LABEL.PRINCIPAL DISPLAY PANEL)

Actavis

NDC 0472-0242-60

Permethrin Cream 5% w/w

Rx Only

For External Use Only

Not For Use In Eyes

60g (2.2 oz)

Carcinogenesis, Mutagenesis, Impairment of Fertility

Six carcinogenicity bioassays were evaluated with permethrin, three each in rats and mice. No tumorigenicity was seen in the rat studies. However, species-specific increases in pulmonary adenomas, a common benign tumor of mice of high spontaneous background incidence, were seen in the three mouse studies. In one of these studies there was an increased incidence of pulmonary alveolar-cell carcinomas and benign liver adenomas only in female mice when permethrin was given in their food at a concentration of 5000 ppm. Mutagenicity assays, which give useful correlative data for interpreting results from carcinogenicity bioassays in rodents, were negative. Permethrin showed no evidence of mutagenic potential in a battery of in vitro and in vivo genetic toxicity studies.

Permethrin did not have any adverse effect on reproductive function at a dose of 180 mg/kg/day orally in a three-generation rat study.


Advanced Ingredient Data


Raw Label Data

All Sections (JSON)