These Highlights Do Not Include All The Information Needed To Use Morphine Sulfate Extended-release Tablets Safely And Effectively. See Full Prescribing Information For Morphine Sulfate Extended-release Tablets.

These Highlights Do Not Include All The Information Needed To Use Morphine Sulfate Extended-release Tablets Safely And Effectively. See Full Prescribing Information For Morphine Sulfate Extended-release Tablets.
SPL v8
SPL
SPL Set ID ad08cd86-3825-4e77-bbe8-f6333a9ca9d7
Route
ORAL
Published
Effective Date 2024-04-10
Document Type 34391-3 HUMAN PRESCRIPTION DRUG LABEL

Drug Facts

Composition & Product

Active Ingredients
Morphine (30 mg)
Inactive Ingredients
Silicon Dioxide Hypromellose, Unspecified Lactose Monohydrate Magnesium Stearate Povidone, Unspecified Stearic Acid Talc Titanium Dioxide Fd&c Blue No. 2 Polyethylene Glycol 4000 Polyethylene Glycol 400 D&c Red No. 27

Identifiers & Packaging

Pill Appearance
Imprint: RD71 Shape: round Color: purple Size: 6 mm Score: 1
Marketing Status
ANDA Active Since 2012-05-11

Description

Addiction, Abuse, and Misuse Morphine sulfate exposes patients and other users to the risks of opioid addiction, abuse, and misuse, which can lead to overdose and death. Assess each patient’s risk prior to prescribing morphine sulfate extended-release tablets, and monitor all patients regularly for the development of these behaviors and conditions [see Warnings and Precautions (5.1)] . Opioid Analgesic Risk Evaluation and Mitigation Strategy (REMS): To ensure that the benefits of opioid analgesics outweigh the risks of addiction, abuse, and misuse, the Food and Drug Administration (FDA) has required a REMS for these products [see Warnings and Precautions (5.2)] . Under the requirements of the REMS, drug companies with approved opioid analgesic products must make REMS-compliant education programs available to healthcare providers. Healthcare providers are strongly encouraged to: complete a REMS-compliant education program, counsel patients and/or their caregivers, with every prescription, on safe use, serious risks, storage, and disposal of these products, emphasize to patients and their caregivers the importance of reading the Medication Guide every time it is provided by their pharmacist, and consider other tools to improve patient, household, and community safety. Life-Threatening Respiratory Depression Serious, life-threatening, or fatal respiratory depression may occur with use of morphine sulfate. Monitor for respiratory depression, especially during initiation of morphine sulfate or following a dose increase. Instruct patients to swallow morphine sulfate extended-release tablets whole; crushing, chewing, or dissolving morphine sulfate extended-release tablets can cause rapid release and absorption of a potentially fatal dose of morphine [see Warnings and Precautions (5.3)] . Accidental Ingestion Accidental ingestion of even one dose of morphine sulfate, especially by children, can result in a fatal overdose of morphine [see Warnings and Precautions (5.3)] . Neonatal Opioid Withdrawal Syndrome (NOWS) Prolonged use of morphine sulfate during pregnancy can result in neonatal opioid withdrawal syndrome, which may be life-threatening if not recognized and treated, and requires management according to protocols developed by neonatology experts. If opioid use is required for a prolonged period in a pregnant woman, advise the patient of the risk of neonatal opioid withdrawal syndrome and ensure that appropriate treatment will be available [see Warnings and Precautions (5.4)] . Risks From Concomitant Use With Benzodiazepines Or Other CNS Depressants Concomitant use of opioids with benzodiazepines or other central nervous system (CNS) depressants, including alcohol, may result in profound sedation, respiratory depression, coma, and death [ see Warnings and Precautions (5.5), Drug Interactions (7)] . Reserve concomitant prescribing of morphine sulfate and benzodiazepines or other CNS depressants for use in patients for whom alternative treatment options are inadequate. Limit dosages and durations to the minimum required. Follow patients for signs and symptoms of respiratory depression and sedation.

Indications and Usage

Morphine sulfate extended-release tablets are indicated for the management of pain severe enough to require daily, around-the-clock, long-term opioid treatment and for which alternative treatment options are inadequate. Limitations of Use Because of the risks of addiction, abuse, and misuse with opioids, even at recommended doses, and because of the greater risks of overdose and death with extended-release opioid formulations [see Warnings and Precautions (5.1)] , reserve morphine sulfate extended-release tablets for use in patients for whom alternative treatment options (e.g., non-opioid analgesics or immediate-release opioids) are ineffective, not tolerated, or would be otherwise inadequate to provide sufficient management of pain. Morphine sulfate extended-release tablets are not indicated as an as-needed (prn) analgesic.

Dosage and Administration

To be prescribed only by healthcare providers knowledgeable in the use of potent opioids for management of chronic pain. (2.1) Morphine sulfate extended-release 100 mg and 200 mg tablets, a single dose greater than 60 mg, or a total daily dose greater than 120 mg, are only for use in patients in whom tolerance to an opioid of comparable potency has been established. (2.1) Patients considered opioid-tolerant are those taking, for one week or longer, at least 60 mg of morphine per day, 25 mcg transdermal fentanyl per hour, 30 mg of oral oxycodone per day, 8 mg of oral hydromorphone per day, 25 mg oral oxymorphone per day, 60 mg oral hydrocodone per day, or an equianalgesic dose of another opioid. (2.1) Use the lowest effective dosage for the shortest duration consistent with individual patient treatment goals. Reserve titration to higher doses of morphine sulfate extended-release tablets for patients in whom lower doses are insufficiently effective and in whom the expected benefits of using a higher dose opioid clearly outweigh the substantial risks. (2.1, 5) Individualize dosing based on the severity of pain, patient response, prior analgesic experience, and risk factors for addiction, abuse, and misuse. (2.1) Instruct patients to swallow morphine sulfate extended-release tablets intact and not to cut, break, chew, crush, or dissolve morphine sulfate extended-release to avoid the risk of release and absorption of potential fatal dose of morphine. (2.1, 5.1) Discuss availability of naloxone with the patient and caregiver and assess each patient’s need for access to naloxone, both when initiating and renewing treatment with morphine sulfate extended-release tablets. Consider prescribing naloxone based on the patient’s risk factors for overdose (2.2, 5.1, 5.3, 5.5). For opioid-naïve and opioid non-tolerant patients, initiate with 15 mg tablets orally every 8 to 12 hours. (2.3) Do not abruptly discontinue morphine sulfate extended-release tablets in a physically dependent patient because rapid discontinuation of opioid analgesics has resulted in serious withdrawal symptoms, uncontrolled pain, and suicide. (2.5)

Warnings and Precautions

Life-Threatening Respiratory Depression in Patients with Chronic Pulmonary Disease or in Elderly, Cachectic, or Debilitated Patients : Monitor closely, particularly during initiation and titration. (5.6) Adrenal Insufficiency : If diagnosed, treat with physiologic replacement of corticosteroids, and wean patient off of the opioid. (5.8) Severe Hypotension : Monitor during dosage initiation and titration. Avoid use in patients with circulatory shock. (5.9) Risks of Use in Patients with Increased Intracranial Pressure, Brain Tumors, Head Injury, or Impaired Consciousness : Monitor for sedation and respiratory depression.  Avoid use of morphine sulfate in patients with impaired consciousness or coma. ( 5. 10)

Contraindications

Morphine sulfate is contraindicated in patients with: Significant respiratory depression [see Warnings and Precautions (5.3)] Acute or severe bronchial asthma in an unmonitored setting or in the absence of resuscitative equipment [see Warnings and Precautions (5.6)] Concurrent use of monoamine oxidase inhibitors (MAOIs) or use of MAOIs within the last 14 days [see Warnings and Precautions (5.7), Drug Interactions (7)] . Hypersensitivity (e.g., anaphylaxis) to morphine [see Adverse Reactions (6.2)] Known or suspected gastrointestinal obstruction, including paralytic ileus [see Warnings and Precautions (5.11)]

Adverse Reactions

The following serious adverse reactions are described, or described in greater detail, in other sections: Addiction, Abuse, and Misuse [see Warnings and Precautions (5.1)] Life-Threatening Respiratory Depression [see Warnings and Precautions (5.3)] Neonatal Opioid Withdrawal Syndrome [see Warnings and Precautions (5.4)] Interactions with Benzodiazepine or Other CNS Depressants [see Warnings and Precautions (5.5)] Adrenal Insufficiency [see Warnings and Precautions (5.8)] Severe Hypotension [see Warnings and Precautions (5.9)] Gastrointestinal Adverse Reactions [see Warnings and Precautions (5.11)] Seizures [see Warnings and Precautions (5.12)] Withdrawal [see Warnings and Precautions (5.13)]

Drug Interactions

Table 1 includes clinically significant drug interactions with morphine sulfate. Table 1: Clinically Significant Drug Interactions with morphine sulfate Benzodiazepines and Other Central Nervous System (CNS) Depressants Clinical Impact: Due to additive pharmacologic effect, the concomitant use of benzodiazepines or other CNS depressants, including alcohol, can increase the risk of hypotension, respiratory depression, profound sedation, coma, and death. Intervention: Reserve concomitant prescribing of these drugs for use in patients for whom alternative treatment options are inadequate. Limit dosages and durations to the minimum required. Follow patients closely for signs of respiratory depression and sedation. If concomitant use is warranted, consider prescribing naloxone for the emergency treatment of opioid overdose [see Dosage and Administration (2.2, 2.5), Warnings and Precautions (5.1, 5.3, 5.5)] . Examples: Benzodiazepines and other sedative hypnotics, anxiolytics, tranquilizers, muscle relaxants, general anesthetics, antipsychotics, other opioids, alcohol. Serotonergic Drugs Clinical Impact: The concomitant use of opioids with other drugs that affect the serotonergic neurotransmitter system has resulted in serotonin syndrome. Intervention: If concomitant use is warranted, carefully observe the patient, particularly during treatment initiation and dose adjustment. Discontinue morphine sulfate if serotonin syndrome is suspected. Examples: Selective serotonin reuptake inhibitors (SSRIs), serotonin and norepinephrine reuptake inhibitors (SNRIs), tricyclic antidepressants (TCAs), triptans, 5-HT3 receptor antagonists, drugs that effect the serotonin neurotransmitter system (e.g., mirtazapine, trazodone, tramadol), certain muscle relaxants (i.e., cyclobenzaprine, metaxalone), monoamine oxidase (MAO) inhibitors (those intended to treat psychiatric disorders and also others, such as linezolid and intravenous methylene blue). Monoamine Oxidase Inhibitors (MAOIs) Clinical Impact: MAOI interactions with opioids may manifest as serotonin syndrome or opioid toxicity (e.g., respiratory depression, coma) [see Warnings and Precautions (5.7)]. Intervention: Do not use morphine sulfate in patients taking MAOIs or within 14 days of stopping such treatment. Examples: phenelzine, tranylcypromine, linezolid Mixed Agonist/Antagonist and Partial Agonist Opioid Analgesics Clinical Impact: May reduce the analgesic effect of morphine sulfate and/or precipitate withdrawal symptoms. Intervention: Avoid concomitant use. Examples: butorphanol, nalbuphine, pentazocine, buprenorphine Muscle Relaxants Clinical Impact: Morphine may enhance the neuromuscular blocking action of skeletal muscle relaxants and produce an increased degree of respiratory depression. Intervention: Evaluate patients for signs of respiratory depression that may be greater than otherwise expected and decrease the dosage of morphine sulfate and/or the muscle relaxant as necessary. Due to the risk of respiratory depression with concomitant use of skeletal muscle relaxants and opioids, consider prescribing naloxone for the emergency treatment of opioid overdose [see Dosage and Administration (2.2), Warnings and Precautions (5.3, 5.5)] Examples: Cyclobenzaprine, metaxalone Cimetidine Clinical Impact: The concomitant use of cimetidine can potentiate morphine effects and increase risk of hypotension, respiratory depression, profound sedation, coma, and death. Intervention: Evaluate patients for signs of respiratory depression that may be greater than otherwise expected and decrease the dosage of morphine sulfate and/or cimetidine as necessary. Diuretics Clinical Impact: Opioids can reduce the efficacy of diuretics by inducing the release of antidiuretic hormone. Intervention: Evaluate patients for signs of diminished diuresis and/or effects on blood pressure and increase the dosage of the diuretic as needed. Anticholinergic Drugs Clinical Impact: The concomitant use of anticholinergic drugs may increase risk of urinary retention and/or severe constipation, which may lead to paralytic ileus. Intervention: Evaluate patients for signs of urinary retention or reduced gastric motility when morphine sulfate is used concomitantly with anticholinergic drugs. P-Glycoprotein (P-gp) Inhibitors Clinical Impact: The concomitant use of PGP-inhibitors can increase the exposure to morphine by about two-fold and can increase risk of hypotension, respiratory depression, profound sedation, coma, and death. Intervention: Evaluate patients for signs of respiratory depression that may be greater than otherwise expected and decrease the dosage of morphine sulfate and/or the PGP-inhibitor as necessary. Example: Quinidine

Storage and Handling

Morphine sulfate extended-release tablets 30 mg are round, purple-colored, film-coated tablets debossed with “RD” and “71” on one side and plain on the other side. NDC: 71335-0676-1: 30 Tablets in a BOTTLE NDC: 71335-0676-2: 60 Tablets in a BOTTLE NDC: 71335-0676-3: 90 Tablets in a BOTTLE NDC: 71335-0676-4: 120 Tablets in a BOTTLE NDC: 71335-0676-5: 100 Tablets in a BOTTLE NDC: 71335-0676-6: 5 Tablets in a BOTTLE NDC: 71335-0676-7: 15 Tablets in a BOTTLE NDC: 71335-0676-8: 20 Tablets in a BOTTLE NDC: 71335-0676-9: 26 Tablets in a BOTTLE NDC: 71335-0676-10: 40 Tablets in a BOTTLE Store at 20° - 25° C (68° - 77° F) [See USP Controlled Room Temperature]. Store morphine sulfate extended-release tablets securely and dispose of properly [see Patient Counseling Information (17)]. Dispense in a tight, light-resistant container. Repackaged/Relabeled by: Bryant Ranch Prepack, Inc. Burbank, CA 91504

How Supplied

Morphine sulfate extended-release tablets 30 mg are round, purple-colored, film-coated tablets debossed with “RD” and “71” on one side and plain on the other side. NDC: 71335-0676-1: 30 Tablets in a BOTTLE NDC: 71335-0676-2: 60 Tablets in a BOTTLE NDC: 71335-0676-3: 90 Tablets in a BOTTLE NDC: 71335-0676-4: 120 Tablets in a BOTTLE NDC: 71335-0676-5: 100 Tablets in a BOTTLE NDC: 71335-0676-6: 5 Tablets in a BOTTLE NDC: 71335-0676-7: 15 Tablets in a BOTTLE NDC: 71335-0676-8: 20 Tablets in a BOTTLE NDC: 71335-0676-9: 26 Tablets in a BOTTLE NDC: 71335-0676-10: 40 Tablets in a BOTTLE Store at 20° - 25° C (68° - 77° F) [See USP Controlled Room Temperature]. Store morphine sulfate extended-release tablets securely and dispose of properly [see Patient Counseling Information (17)]. Dispense in a tight, light-resistant container. Repackaged/Relabeled by: Bryant Ranch Prepack, Inc. Burbank, CA 91504


Medication Information

Warnings and Precautions

Life-Threatening Respiratory Depression in Patients with Chronic Pulmonary Disease or in Elderly, Cachectic, or Debilitated Patients : Monitor closely, particularly during initiation and titration. (5.6) Adrenal Insufficiency : If diagnosed, treat with physiologic replacement of corticosteroids, and wean patient off of the opioid. (5.8) Severe Hypotension : Monitor during dosage initiation and titration. Avoid use in patients with circulatory shock. (5.9) Risks of Use in Patients with Increased Intracranial Pressure, Brain Tumors, Head Injury, or Impaired Consciousness : Monitor for sedation and respiratory depression.  Avoid use of morphine sulfate in patients with impaired consciousness or coma. ( 5. 10)

Indications and Usage

Morphine sulfate extended-release tablets are indicated for the management of pain severe enough to require daily, around-the-clock, long-term opioid treatment and for which alternative treatment options are inadequate. Limitations of Use Because of the risks of addiction, abuse, and misuse with opioids, even at recommended doses, and because of the greater risks of overdose and death with extended-release opioid formulations [see Warnings and Precautions (5.1)] , reserve morphine sulfate extended-release tablets for use in patients for whom alternative treatment options (e.g., non-opioid analgesics or immediate-release opioids) are ineffective, not tolerated, or would be otherwise inadequate to provide sufficient management of pain. Morphine sulfate extended-release tablets are not indicated as an as-needed (prn) analgesic.

Dosage and Administration

To be prescribed only by healthcare providers knowledgeable in the use of potent opioids for management of chronic pain. (2.1) Morphine sulfate extended-release 100 mg and 200 mg tablets, a single dose greater than 60 mg, or a total daily dose greater than 120 mg, are only for use in patients in whom tolerance to an opioid of comparable potency has been established. (2.1) Patients considered opioid-tolerant are those taking, for one week or longer, at least 60 mg of morphine per day, 25 mcg transdermal fentanyl per hour, 30 mg of oral oxycodone per day, 8 mg of oral hydromorphone per day, 25 mg oral oxymorphone per day, 60 mg oral hydrocodone per day, or an equianalgesic dose of another opioid. (2.1) Use the lowest effective dosage for the shortest duration consistent with individual patient treatment goals. Reserve titration to higher doses of morphine sulfate extended-release tablets for patients in whom lower doses are insufficiently effective and in whom the expected benefits of using a higher dose opioid clearly outweigh the substantial risks. (2.1, 5) Individualize dosing based on the severity of pain, patient response, prior analgesic experience, and risk factors for addiction, abuse, and misuse. (2.1) Instruct patients to swallow morphine sulfate extended-release tablets intact and not to cut, break, chew, crush, or dissolve morphine sulfate extended-release to avoid the risk of release and absorption of potential fatal dose of morphine. (2.1, 5.1) Discuss availability of naloxone with the patient and caregiver and assess each patient’s need for access to naloxone, both when initiating and renewing treatment with morphine sulfate extended-release tablets. Consider prescribing naloxone based on the patient’s risk factors for overdose (2.2, 5.1, 5.3, 5.5). For opioid-naïve and opioid non-tolerant patients, initiate with 15 mg tablets orally every 8 to 12 hours. (2.3) Do not abruptly discontinue morphine sulfate extended-release tablets in a physically dependent patient because rapid discontinuation of opioid analgesics has resulted in serious withdrawal symptoms, uncontrolled pain, and suicide. (2.5)

Contraindications

Morphine sulfate is contraindicated in patients with: Significant respiratory depression [see Warnings and Precautions (5.3)] Acute or severe bronchial asthma in an unmonitored setting or in the absence of resuscitative equipment [see Warnings and Precautions (5.6)] Concurrent use of monoamine oxidase inhibitors (MAOIs) or use of MAOIs within the last 14 days [see Warnings and Precautions (5.7), Drug Interactions (7)] . Hypersensitivity (e.g., anaphylaxis) to morphine [see Adverse Reactions (6.2)] Known or suspected gastrointestinal obstruction, including paralytic ileus [see Warnings and Precautions (5.11)]

Adverse Reactions

The following serious adverse reactions are described, or described in greater detail, in other sections: Addiction, Abuse, and Misuse [see Warnings and Precautions (5.1)] Life-Threatening Respiratory Depression [see Warnings and Precautions (5.3)] Neonatal Opioid Withdrawal Syndrome [see Warnings and Precautions (5.4)] Interactions with Benzodiazepine or Other CNS Depressants [see Warnings and Precautions (5.5)] Adrenal Insufficiency [see Warnings and Precautions (5.8)] Severe Hypotension [see Warnings and Precautions (5.9)] Gastrointestinal Adverse Reactions [see Warnings and Precautions (5.11)] Seizures [see Warnings and Precautions (5.12)] Withdrawal [see Warnings and Precautions (5.13)]

Drug Interactions

Table 1 includes clinically significant drug interactions with morphine sulfate. Table 1: Clinically Significant Drug Interactions with morphine sulfate Benzodiazepines and Other Central Nervous System (CNS) Depressants Clinical Impact: Due to additive pharmacologic effect, the concomitant use of benzodiazepines or other CNS depressants, including alcohol, can increase the risk of hypotension, respiratory depression, profound sedation, coma, and death. Intervention: Reserve concomitant prescribing of these drugs for use in patients for whom alternative treatment options are inadequate. Limit dosages and durations to the minimum required. Follow patients closely for signs of respiratory depression and sedation. If concomitant use is warranted, consider prescribing naloxone for the emergency treatment of opioid overdose [see Dosage and Administration (2.2, 2.5), Warnings and Precautions (5.1, 5.3, 5.5)] . Examples: Benzodiazepines and other sedative hypnotics, anxiolytics, tranquilizers, muscle relaxants, general anesthetics, antipsychotics, other opioids, alcohol. Serotonergic Drugs Clinical Impact: The concomitant use of opioids with other drugs that affect the serotonergic neurotransmitter system has resulted in serotonin syndrome. Intervention: If concomitant use is warranted, carefully observe the patient, particularly during treatment initiation and dose adjustment. Discontinue morphine sulfate if serotonin syndrome is suspected. Examples: Selective serotonin reuptake inhibitors (SSRIs), serotonin and norepinephrine reuptake inhibitors (SNRIs), tricyclic antidepressants (TCAs), triptans, 5-HT3 receptor antagonists, drugs that effect the serotonin neurotransmitter system (e.g., mirtazapine, trazodone, tramadol), certain muscle relaxants (i.e., cyclobenzaprine, metaxalone), monoamine oxidase (MAO) inhibitors (those intended to treat psychiatric disorders and also others, such as linezolid and intravenous methylene blue). Monoamine Oxidase Inhibitors (MAOIs) Clinical Impact: MAOI interactions with opioids may manifest as serotonin syndrome or opioid toxicity (e.g., respiratory depression, coma) [see Warnings and Precautions (5.7)]. Intervention: Do not use morphine sulfate in patients taking MAOIs or within 14 days of stopping such treatment. Examples: phenelzine, tranylcypromine, linezolid Mixed Agonist/Antagonist and Partial Agonist Opioid Analgesics Clinical Impact: May reduce the analgesic effect of morphine sulfate and/or precipitate withdrawal symptoms. Intervention: Avoid concomitant use. Examples: butorphanol, nalbuphine, pentazocine, buprenorphine Muscle Relaxants Clinical Impact: Morphine may enhance the neuromuscular blocking action of skeletal muscle relaxants and produce an increased degree of respiratory depression. Intervention: Evaluate patients for signs of respiratory depression that may be greater than otherwise expected and decrease the dosage of morphine sulfate and/or the muscle relaxant as necessary. Due to the risk of respiratory depression with concomitant use of skeletal muscle relaxants and opioids, consider prescribing naloxone for the emergency treatment of opioid overdose [see Dosage and Administration (2.2), Warnings and Precautions (5.3, 5.5)] Examples: Cyclobenzaprine, metaxalone Cimetidine Clinical Impact: The concomitant use of cimetidine can potentiate morphine effects and increase risk of hypotension, respiratory depression, profound sedation, coma, and death. Intervention: Evaluate patients for signs of respiratory depression that may be greater than otherwise expected and decrease the dosage of morphine sulfate and/or cimetidine as necessary. Diuretics Clinical Impact: Opioids can reduce the efficacy of diuretics by inducing the release of antidiuretic hormone. Intervention: Evaluate patients for signs of diminished diuresis and/or effects on blood pressure and increase the dosage of the diuretic as needed. Anticholinergic Drugs Clinical Impact: The concomitant use of anticholinergic drugs may increase risk of urinary retention and/or severe constipation, which may lead to paralytic ileus. Intervention: Evaluate patients for signs of urinary retention or reduced gastric motility when morphine sulfate is used concomitantly with anticholinergic drugs. P-Glycoprotein (P-gp) Inhibitors Clinical Impact: The concomitant use of PGP-inhibitors can increase the exposure to morphine by about two-fold and can increase risk of hypotension, respiratory depression, profound sedation, coma, and death. Intervention: Evaluate patients for signs of respiratory depression that may be greater than otherwise expected and decrease the dosage of morphine sulfate and/or the PGP-inhibitor as necessary. Example: Quinidine

Storage and Handling

Morphine sulfate extended-release tablets 30 mg are round, purple-colored, film-coated tablets debossed with “RD” and “71” on one side and plain on the other side. NDC: 71335-0676-1: 30 Tablets in a BOTTLE NDC: 71335-0676-2: 60 Tablets in a BOTTLE NDC: 71335-0676-3: 90 Tablets in a BOTTLE NDC: 71335-0676-4: 120 Tablets in a BOTTLE NDC: 71335-0676-5: 100 Tablets in a BOTTLE NDC: 71335-0676-6: 5 Tablets in a BOTTLE NDC: 71335-0676-7: 15 Tablets in a BOTTLE NDC: 71335-0676-8: 20 Tablets in a BOTTLE NDC: 71335-0676-9: 26 Tablets in a BOTTLE NDC: 71335-0676-10: 40 Tablets in a BOTTLE Store at 20° - 25° C (68° - 77° F) [See USP Controlled Room Temperature]. Store morphine sulfate extended-release tablets securely and dispose of properly [see Patient Counseling Information (17)]. Dispense in a tight, light-resistant container. Repackaged/Relabeled by: Bryant Ranch Prepack, Inc. Burbank, CA 91504

How Supplied

Morphine sulfate extended-release tablets 30 mg are round, purple-colored, film-coated tablets debossed with “RD” and “71” on one side and plain on the other side. NDC: 71335-0676-1: 30 Tablets in a BOTTLE NDC: 71335-0676-2: 60 Tablets in a BOTTLE NDC: 71335-0676-3: 90 Tablets in a BOTTLE NDC: 71335-0676-4: 120 Tablets in a BOTTLE NDC: 71335-0676-5: 100 Tablets in a BOTTLE NDC: 71335-0676-6: 5 Tablets in a BOTTLE NDC: 71335-0676-7: 15 Tablets in a BOTTLE NDC: 71335-0676-8: 20 Tablets in a BOTTLE NDC: 71335-0676-9: 26 Tablets in a BOTTLE NDC: 71335-0676-10: 40 Tablets in a BOTTLE Store at 20° - 25° C (68° - 77° F) [See USP Controlled Room Temperature]. Store morphine sulfate extended-release tablets securely and dispose of properly [see Patient Counseling Information (17)]. Dispense in a tight, light-resistant container. Repackaged/Relabeled by: Bryant Ranch Prepack, Inc. Burbank, CA 91504

Description

Addiction, Abuse, and Misuse Morphine sulfate exposes patients and other users to the risks of opioid addiction, abuse, and misuse, which can lead to overdose and death. Assess each patient’s risk prior to prescribing morphine sulfate extended-release tablets, and monitor all patients regularly for the development of these behaviors and conditions [see Warnings and Precautions (5.1)] . Opioid Analgesic Risk Evaluation and Mitigation Strategy (REMS): To ensure that the benefits of opioid analgesics outweigh the risks of addiction, abuse, and misuse, the Food and Drug Administration (FDA) has required a REMS for these products [see Warnings and Precautions (5.2)] . Under the requirements of the REMS, drug companies with approved opioid analgesic products must make REMS-compliant education programs available to healthcare providers. Healthcare providers are strongly encouraged to: complete a REMS-compliant education program, counsel patients and/or their caregivers, with every prescription, on safe use, serious risks, storage, and disposal of these products, emphasize to patients and their caregivers the importance of reading the Medication Guide every time it is provided by their pharmacist, and consider other tools to improve patient, household, and community safety. Life-Threatening Respiratory Depression Serious, life-threatening, or fatal respiratory depression may occur with use of morphine sulfate. Monitor for respiratory depression, especially during initiation of morphine sulfate or following a dose increase. Instruct patients to swallow morphine sulfate extended-release tablets whole; crushing, chewing, or dissolving morphine sulfate extended-release tablets can cause rapid release and absorption of a potentially fatal dose of morphine [see Warnings and Precautions (5.3)] . Accidental Ingestion Accidental ingestion of even one dose of morphine sulfate, especially by children, can result in a fatal overdose of morphine [see Warnings and Precautions (5.3)] . Neonatal Opioid Withdrawal Syndrome (NOWS) Prolonged use of morphine sulfate during pregnancy can result in neonatal opioid withdrawal syndrome, which may be life-threatening if not recognized and treated, and requires management according to protocols developed by neonatology experts. If opioid use is required for a prolonged period in a pregnant woman, advise the patient of the risk of neonatal opioid withdrawal syndrome and ensure that appropriate treatment will be available [see Warnings and Precautions (5.4)] . Risks From Concomitant Use With Benzodiazepines Or Other CNS Depressants Concomitant use of opioids with benzodiazepines or other central nervous system (CNS) depressants, including alcohol, may result in profound sedation, respiratory depression, coma, and death [ see Warnings and Precautions (5.5), Drug Interactions (7)] . Reserve concomitant prescribing of morphine sulfate and benzodiazepines or other CNS depressants for use in patients for whom alternative treatment options are inadequate. Limit dosages and durations to the minimum required. Follow patients for signs and symptoms of respiratory depression and sedation.

Section 43683-2

Boxed Warning                                                                         09/2023

Dosage and Administration (2.4, 2.6)                                          09/2023

Warnings and Precautions (5.1, 5.5)                                            09/2023

Section 51945-4

Morphine Sulfate ER 30 mg (CII) Tablet

9.2 Abuse

Morphine sulfate extended-release tablets contains morphine, a substance with a high potential for abuse similar to other opioids including fentanyl, hydrocodone, hydromorphone, methadone, oxycodone, oxymorphone, and tapentadol. Morphine sulfate can be abused and is subject to misuse, addiction, and criminal diversion [see Warnings and Precautions (5.1)].

The high drug content in extended-release formulations adds to the risk of adverse outcomes from abuse and misuse.

All patients treated with opioids require careful and frequent reevaluation for signs of misuse, abuse, and addiction, because use of opioid analgesic products carries the risk of addiction even under appropriate medical use. Patients at high risk of morphine sulfate extended-release tablets abuse include those with a history of prolonged use of any opioid, including products containing morphine sulfate, those with a history of drug or alcohol abuse, or those who use morphine sulfate extended-release tablets in combination with other abused drugs.

Prescription drug abuse is the intentional non-therapeutic use of an over-the-counter or prescription drug, even once, for its rewarding psychological or physiological effects. Drug addiction is a cluster of behavioral, cognitive, and physiological phenomena that develop after repeated substance use and includes: a strong desire to take the drug, difficulties in controlling its use, persisting in its use despite harmful consequences, a higher priority given to drug use than to other activities and obligations, increased tolerance, and sometimes a physical withdrawal.

“Drug-seeking” behavior is very common in persons with substance use disorders. Drug-seeking tactics include emergency calls or visits near the end of office hours, refusal to undergo appropriate examination, testing, or referral, repeated “loss” of prescriptions, tampering with prescriptions and reluctance to provide prior medical records or contact information for other healthcare provider(s). “Doctor shopping” (visiting multiple prescribers to obtain additional prescriptions) is common among drug abusers and people suffering from untreated addiction. Preoccupation with achieving adequate pain relief can be appropriate behavior in a patient with poor pain control.

Abuse and addiction are separate and distinct from physical dependence and tolerance. Healthcare providers should be aware that addiction may not be accompanied by concurrent tolerance and symptoms of physical dependence in all addicts. In addition, abuse of opioids can occur in the absence of true addiction.

Morphine sulfate, like other opioids, can be diverted for nonmedical use into illicit channels of distribution. Careful record-keeping of prescribing information, including quantity, frequency, and renewal requests, as required by state federal law, is strongly advised.

Proper assessment of the patient, proper prescribing practices, periodic reevaluation of therapy, and proper dispensing and storage are appropriate measures that help to limit abuse of opioid drugs.

Risks Specific to Abuse of Morphine Sulfate

Morphine sulfate extended-release tablets are for oral use only. Abuse of morphine sulfate poses a risk of overdose and death. This is increased with concurrent use of morphine sulfate with alcohol and/or other CNS depressants.  Taking cut, broken, chewed, crushed, or dissolved morphine sulfate extended-release tablets enhances drug release and increases the risk of overdose and death. 

Due to the presence of talc as one of the excipients in morphine sulfate, with parenteral abuse the inactive ingredients can result in local tissue necrosis, infection, pulmonary granulomas, increased risk of endocarditis and valvular heart injury, embolism, and death. Parenteral drug abuse is commonly associated with transmission of infectious diseases such as hepatitis and HIV.

10 Overdosage

Clinical Presentation

Acute overdosage with morphine can be manifested by respiratory depression, somnolence progressing to stupor or coma, skeletal muscle flaccidity, cold and clammy skin, constricted pupils, and, in some cases, pulmonary edema, bradycardia, hypotension, partial or complete airway obstruction, atypical snoring, and death. Marked mydriasis rather than miosis may be seen with hypoxia in overdose situations.

Treatment of Overdose

In case of overdose, priorities are the reestablishment of a patent and protected airway and institution of assisted or controlled ventilation, if needed.  Employ other supportive measures (including oxygen and vasopressors) in the management of circulatory shock and pulmonary edema as indicated. Cardiac arrest or arrhythmias will require advanced life support measures.

Opioid antagonists, such as naloxone, are specific antidotes to respiratory depression resulting from opioid overdose. For clinically significant respiratory or circulatory depression secondary to opioid overdose, administer an opioid antagonist.

Because the duration of reversal would be expected to be less than the duration of action of morphine in morphine sulfate, carefully monitor the patient until spontaneous respiration is reliably reestablished. Morphine sulfate will continue to release morphine and add to the morphine load for 24 to 48 hours or longer following ingestion, necessitating prolonged monitoring.  If the response to opioid antagonists is suboptimal or only brief in nature, administer additional antagonist as directed by the product’s prescribing information.

In an individual physically dependent on opioids, administration of the recommended usual dosage of the antagonist will precipitate an acute withdrawal syndrome. The severity of the withdrawal symptoms experienced will depend on the degree of physical dependence and the dose of the antagonist administered. If a decision is made to treat serious respiratory depression in the physically dependent patient, administration of the antagonist should be initiated with care and by titration with smaller than usual doses of the antagonist.

8.1 Pregnancy

Risk Summary

Prolonged use of opioid analgesics during pregnancy may cause neonatal withdrawal syndrome [see Warnings and Precautions (5.4)]. There are no available data with morphine sulfate in pregnant women to inform a drug-associated risk for major birth defects and miscarriage. Published studies with morphine use during pregnancy have not reported a clear association with morphine and major birth defects [see Human Data]. In published animal reproduction studies, morphine administered subcutaneously during the early gestational period produced neural tube defects (i.e., exencephaly and cranioschisis) at 5 and 16 times the human daily dose of 60 mg based on body surface area (HDD) in hamsters and mice, respectively, lower fetal body weight and increased incidence of abortion at 0.4 times the HDD in the rabbit, growth retardation at 6 times the HDD in the rat, and axial skeletal fusion and cryptorchidism at 16 times the HDD in the mouse. Administration of morphine sulfate to pregnant rats during organogenesis and through lactation resulted in cyanosis, hypothermia, decreased brain weights, pup mortality, decreased pup body weights, and adverse effects on reproductive tissues at 3 to 4 times the HDD; and long-term neurochemical changes in the brain of offspring which correlate with altered behavioral responses that persist through adulthood at exposures comparable to and less than the HDD [see Animal Data]. Based on animal data, advise pregnant women of the potential risk to a fetus. The estimated background risk of major birth defects and miscarriage for the indicated population is unknown. All pregnancies have a background risk of birth defect, loss, or other adverse outcomes. In the U.S. general population, the estimated background risk of major birth defects and miscarriage in clinically recognized pregnancies is 2 to 4% and 15 to 20%, respectively.

Clinical Considerations

Fetal/Neonatal Adverse Reactions

Prolonged use of opioid analgesics during pregnancy for medical or nonmedical purposes can result in physical dependence in the neonate and neonatal opioid withdrawal syndrome shortly after birth. Neonatal opioid withdrawal syndrome presents as irritability, hyperactivity and abnormal sleep pattern, high pitched cry, tremor, vomiting, diarrhea, and failure to gain weight. The onset, duration, and severity of neonatal opioid withdrawal syndrome vary based on the specific opioid used, duration of use, timing and amount of last maternal use, and rate of elimination of the drug by the newborn. Observe newborns for symptoms of neonatal opioid withdrawal syndrome and manage accordingly [see Warnings and Precautions (5.4)].

Labor or Delivery

Opioids cross the placenta and may produce respiratory depression and psycho-physiologic effects in neonates. An opioid antagonist, such as naloxone, must be available for reversal of opioid-induced respiratory depression in the neonate. Morphine sulfate is not recommended for use in pregnant women during or immediately prior to labor, when use of shorter-acting analgesics or other analgesic techniques are more appropriate. Opioid analgesics, including morphine sulfate, can prolong labor through actions which temporarily reduce the strength, duration, and frequency of uterine contractions. However, this effect is not consistent and may be offset by an increased rate of cervical dilation, which tends to shorten labor. Monitor neonates exposed to opioid analgesics during labor for signs of excess sedation and respiratory depression.

Data

Human Data

The results from a population-based prospective cohort, including 70 women exposed to morphine during the first trimester of pregnancy and 448 women exposed to morphine at any time during pregnancy, indicate no increased risk for congenital malformations. However, these studies cannot definitely establish the absence of any risk because of methodological limitations, including small sample size and non-randomized study design.

Animal Data

Formal reproductive and developmental toxicology studies for morphine have not been conducted. Exposure margins for the following published study reports are based on human daily dose of 60 mg morphine using a body surface area comparison (HDD).

Neural tube defects (exencephaly and cranioschisis) were noted following subcutaneous administration of morphine sulfate (35-322 mg/kg) on Gestation Day 8 to pregnant hamsters (4.7 to 43.5 times the HDD). A no adverse effect level was not defined in this study and the findings cannot be clearly attributed to maternal toxicity. Neural tube defects (exencephaly), axial skeletal fusions, and cryptorchidism were reported following a single subcutaneous (SC) injection of morphine sulfate to pregnant mice (100-500 mg/kg) on Gestation Day 8 or 9 at 200 mg/kg or greater (16 times the HDD) and fetal resorption at 400 mg/kg or higher (32 times the HDD). No adverse effects were noted following 100 mg/kg morphine in this model (8 times the HDD). In one study, following continuous subcutaneous infusion of doses greater than or equal to 2.72 mg/kg to mice (0.2 times the HDD), exencephaly, hydronephrosis, intestinal hemorrhage, split supraoccipital, malformed sternebrae, and malformed xiphoid were noted. The effects were reduced with increasing daily dose; possibly due to rapid induction of tolerance under these infusion conditions. The clinical significance of this report is not clear.

Decreased fetal weights were observed in pregnant rats treated with 20 mg/kg/day morphine sulfate (3.2 times the HDD) from Gestation Day 7 to 9. There was no evidence of malformations despite maternal toxicity (10% mortality). In a second rat study, decreased fetal weight and increased incidences of growth retardation were noted at 35 mg/kg/day (5.7 times the HDD) and there was a reduced number of fetuses at 70 mg/kg/day (11.4 times the HDD) when pregnant rats were treated with 10, 35, or 70 mg/kg/day morphine sulfate via continuous infusion from Gestation Day 5 to 20. There was no evidence of fetal malformations or maternal toxicity.

An increased incidence of abortion was noted in a study in which pregnant rabbits were treated with 2.5 (0.8 times the HDD) to 10 mg/kg morphine sulfate via subcutaneous injection from Gestation Day 6 to 10. In a second study, decreased fetal body weights were reported following treatment of pregnant rabbits with increasing doses of morphine (10-50 mg/kg/day) during the pre-mating period and 50 mg/kg/day (16 times the HDD) throughout the gestation period. No overt malformations were reported in either publication; although only limited endpoints were evaluated.

In published studies in rats, exposure to morphine during gestation and/or lactation periods is associated with: decreased pup viability at 12.5 mg/kg/day or greater (2 times the HDD); decreased pup body weights at 15 mg/kg/day or greater (2.4 times the HDD); decreased litter size, decreased absolute brain and cerebellar weights, cyanosis, and hypothermia at 20 mg/kg/day (3.2 times the HDD); alteration of behavioral responses (play, social-interaction) at 1 mg/kg/day or greater (0.2 times the HDD); alteration of maternal behaviors (e.g., decreased nursing and pup retrievals) in mice at 1 mg/kg or higher (0.08 times the HDD) and rats at 1.5 mg/kg/day or higher (0.2 times the HDD); and a host of behavioral abnormalities in the offspring of rats, including altered responsiveness to opioids at 4 mg/kg/day (0.7 times the HDD) or greater.

Fetal and/or postnatal exposure to morphine in mice and rats has been shown to result in morphological changes in fetal and neonatal brain and neuronal cell loss, alteration of a number of neurotransmitter and neuromodulator systems, including opioid and non-opioid systems, and impairment in various learning and memory tests that appear to persist into adulthood. These studies were conducted with morphine treatment usually in the range of 4 to 20 mg/kg/day (0.7 to 3.2 times the HDD).

Additionally, delayed sexual maturation and decreased sexual behaviors in female offspring at 20 mg/kg/day (3.2 times the HDD), and decreased plasma and testicular levels of luteinizing hormone and testosterone, decreased testes weights, seminiferous tubule shrinkage, germinal cell aplasia, and decreased spermatogenesis in male offspring were also observed at 20 mg/kg/day (3.2 times the HDD). Decreased litter size and viability were observed in the offspring of male rats that were intraperitoneally administered morphine sulfate for 1 day prior to mating at 25 mg/kg/day (4.1 times the HDD) and mated to untreated females. Decreased viability and body weight and/or movement deficits in both first and second generation offspring were reported when male mice were treated for 5 days with escalating doses of 120 to 240 mg/kg/day morphine sulfate (9.7 to 19.5 times the HDD) or when female mice treated with escalating doses of 60 to 240 mg/kg/day (4.9 to 19.5 times the HDD) followed by a 5-day treatment-free recovery period prior to mating. Similar multigenerational findings were also seen in female rats pre-gestationally treated with escalating doses of 10 to 22 mg/kg/day morphine (1.6 to 3.6 times the HDD). 

8.2 Lactation

Risk Summary

Morphine is present in breast milk. Published lactation studies report variable concentrations of morphine in breast milk with administration of immediate-release morphine to nursing mothers in the early postpartum period with a milk-to-plasma morphine AUC ratio of 2.5:1 measured in one lactation study. However, there is insufficient information to determine the effects of morphine on the breastfed infant and the effects of morphine on milk production. Lactation studies have not been conducted with extended-release morphine, including morphine sulfate. Because of the potential for serious adverse reactions, including excess sedation and respiratory depression in a breastfed infant, advise patients that breastfeeding is not recommended during treatment with morphine sulfate.

Clinical Considerations

Monitor infants exposed to morphine sulfate through breast milk for excess sedation and respiratory depression. Withdrawal symptoms can occur in breastfed infants when maternal administration of an opioid analgesic is stopped, or when breast-feeding is stopped.

11 Description

Morphine sulfate extended-release tablets are for oral use and contains morphine sulfate, an opioid agonist.

Each tablet contains the following inactive ingredients common to all strengths: colloidal silicon dioxide, hypromellose, lactose monohydrate, magnesium stearate, povidone, stearic acid, talc and titanium dioxide.

The tablet strengths describe the amount of morphine per tablet as the pentahydrated sulfate salt (morphine sulfate, USP).

The 15 mg tablets also contain: FD&C Blue # 2/Indigo carmine aluminum lake, ferrosoferric oxide, macrogol/PEG 4000 and macrogol/PEG 400

The 30 mg tablets also contain: D&C Red # 27/Phloxine aluminum lake, FD&C Blue # 2/Indigo carmine aluminum lake, macrogol/PEG 4000 and macrogol/PEG 400

The 60 mg tablets also contain: FD&C Yellow # 6 aluminum lake and macrogol/PEG 4000 and macrogol/PEG 400

The 100 mg tablets also contain: FD&C Blue # 2/Indigo carmine aluminum lake, ferrosoferric oxide, ferric oxide yellow, macrogol/PEG 4000 and macrogol/PEG 400

The 200 mg tablets also contain: D&C Yellow # 10 aluminum lake, FD&C Blue # 2/Indigo carmine aluminum lake, macrogol/PEG 4000 and macrogol/PEG 400

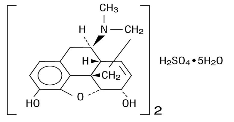
Morphine sulfate, USP are white, feathery, silky crystals, cubical masses of crystals, or white crystalline powder, soluble in water, freely soluble in hot water, slightly soluble in alcohol but more so in hot alcohol, insoluble in chloroform and in ether. The octanol: water partition coefficient of morphine is 1.42 at physiologic pH and the pKb is 7.9 for the tertiary nitrogen (mostly ionized at pH 7.4). Its molecular weight is 758.83 and its structural formula is:

9.3 Dependence

Both tolerance and physical dependence can develop during chronic opioid therapy. Tolerance is the need for increasing doses of opioids to maintain a defined effect such as analgesia (in the absence of disease progression or other external factors).  Tolerance may occur to both the desired and undesired effects of drugs, and may develop at different rates for different effects.

Physical dependence is a physiological state in which the body adapts to the drug after a period of regular exposure, resulting in withdrawal symptoms after abrupt discontinuation or a significant dosage reduction of a drug.  Withdrawal also may be precipitated through the administration of drugs with opioid antagonist activity, (e.g., naloxone, nalmefene), mixed agonist/antagonist analgesics (e.g., pentazocine, butorphanol, nalbuphine), or partial agonists (e.g., buprenorphine). Physical dependence may not occur to a clinically significant degree until after several days to weeks of continued opioid usage.

Do not abruptly discontinue morphine sulfate in a patient physically dependent on opioids. Rapid tapering of morphine sulfate in a patient physically dependent on opioids may lead to serious withdrawal symptoms, uncontrolled pain, and suicide. Rapid discontinuation has also been associated with attempts to find other sources of opioid analgesics, which may be confused with drug-seeking for abuse.

When discontinuing morphine sulfate, gradually taper the dosage using a patient-specific plan that considers the following: the dose of morphine sulfate the patient has been taking, the duration of treatment, and the physical and psychological attributes of the patient. To improve the likelihood of a successful taper and minimize withdrawal symptoms, it is important that the opioid tapering schedule is agreed upon by the patient. In patients taking opioids for a long duration at high doses, ensure that a multimodal approach to pain management, including mental health support (if needed), is in place prior to initiating an opioid analgesic taper [see Dosage and Administration (2.6), Warnings and Precautions (5.13)].

Infants born to mothers physically dependent on opioids will also be physically dependent and may exhibit respiratory difficulties and withdrawal signs [see Use in Specific Populations (8.1)].

5.13 Withdrawal

Do not abruptly discontinue morphine sulfate in a patient physically dependent on opioids. When discontinuing morphine sulfate in a physically dependent patient, gradually taper the dosage. Rapid tapering of morphine in a patient physically dependent on opioids may lead to a withdrawal syndrome and return of pain [see Dosage and Administration (2.5), Drug Abuse and Dependence (9.3)].

Additionally, avoid the use of mixed agonist/antagonist (e.g., pentazocine, nalbuphine, and butorphanol) or partial agonist (e.g., buprenorphine) analgesics in patients who have received or are receiving a course of therapy with a full opioid agonist analgesic, including morphine sulfate. In these patients, mixed agonists/antagonist and partial agonist analgesics may reduce the analgesic effect and/or may precipitate withdrawal symptoms [see Drug Interactions (7)] .

Medication Guide

MEDICATION GUID

MORPHINE (MOR feen) SULFATE EXTENDED-RELEASE TABLETS, CII

Rx only

Morphine sulfate extended-release tablets are:

  • A strong prescription pain medicine that contains an opioid (narcotic) that is used to manage severe and persistent pain that requires an extended treatment period with a daily opioid pain medicine when other do not treat your pain well enough or you cannot tolerate them.
  • A long-acting (extended-release) opioid pain medicine that can put you at risk for overdose and death. Even if you take your dose correctly as prescribed you are at risk for opioid addiction, abuse, and misuse that can lead to death.
  • Not for use to treat pain that is not around-the-clock.

Important information about morphine sulfate extended-release tablets:

  • Get emergency help or call 911 right away if you take too much morphine sulfate extended-release tablets (overdose). When you first start taking morphine sulfate extended-release tablets, when your dose is changed, or if you take too much (overdose), serious or life-threatening breathing problems that can lead to death may occur. Talk to your healthcare provider about naloxone, a medicine for the emergency treatment of an opioid overdose.
  • Taking morphine sulfate extended-release tablets with other opioid medicines, benzodiazepines, alcohol, or other central nervous system depressants (including street drugs) can cause severe drowsiness, decreased awareness, breathing problems, coma, and death.
  • Never give anyone else your morphine sulfate extended-release tablets. They could die from taking it. Selling or giving away morphine sulfate extended-release tablets is against the law.
  • Store morphine sulfate extended-release tablets securely, out of sight and reach of children, and in a location not accessible by others, including visitors to the home.

Do not take morphine sulfate extended-release tablets if you have:

  • severe asthma, trouble breathing, or other lung problems.
  • a bowel blockage or have narrowing of the stomach or intestines.

Before taking morphine sulfate extended-release tablets, tell your healthcare provider if you have a history of:

 • head injury, seizures     • liver, kidney, thyroid problems
 • problems urinating     • pancreas or gallbladder problems

 • abuse of street or prescription drugs, alcohol addiction,

opioid overdose, or mental health problems.

Tell your healthcare provider if you are:

  • noticing your pain getting worse. If your pain gets worse after you take morphine sulfate extended-release tablets, do not take more of morphine sulfate extended-release tablets without first talking to your healthcare provider. Talk to your healthcare provider if the pain that you have increases, if you feel more sensitive to pain, or if you have new pain after taking morphine sulfate extended-release tablets.
  • pregnant or planning to become pregnant.  Prolonged use of morphine sulfate extended-release tablets during pregnancy can cause withdrawal symptoms in your newborn baby that could be life-threatening if not recognized and treated.
  • breastfeeding. Not recommended during treatment with morphine sulfate. It may harm your baby living in a household where there are small children or someone who has abused street or prescription drugs
  • taking prescription or over-the-counter medicines, vitamins, or herbal supplements. Taking morphine sulfate extended-release tablets with certain other medicines can cause serious side effects.

When taking morphine sulfate extended-release tablets:

  • Do not change your dose. Take morphine sulfate extended-release tablets exactly as prescribed by your healthcare provider. Use the lowest dose possible for the shortest duration.
  • Take your prescribed dose every 8 to 12 hours, as directed by your healthcare provider. Do not take more than your prescribed dose. If you miss a dose, take your next dose at the usual time.
  • Swallow morphine sulfate extended-release tablets whole. Do not cut, break, chew, crush, dissolve, snort, or inject morphine sulfate extended-release tablets because this may cause you to overdose and die.
  • Call your healthcare provider if the dose you are ta king does not control your pain.
  • Do not stop taking morphine sulfate extended-release tablets without talking to your healthcare provider.

Dispose of expired, unwanted, or unused morphine sulfate extended-release tablets by taking your drug to an authorized DEA-registered collector or drug take-back program. If one is not available, you can dispose of morphine sulfate extended-release tablets by mixing the product with dirt, cat litter, or coffee grounds; placing the mixture in a sealed plastic bag, and throwing the bag in your trash. Visit www.fda.gov/drugdisposal for additional information on disposal of unused medicines.

While taking morphine sulfate extended-release tablets DO NOT:

  • Drive or operate heavy machinery,until you know how morphine sulfate extended-release tablets affect you. Morphine sulfate extended-release tablets can make you sleepy, dizzy, or lightheaded.
  • Drink alcohol or use prescription or over-the-counter medicines that contain alcohol. Using products containing alcohol during treatment with morphine sulfate extended-release tablets may cause you to overdose and die.

The possible side effects of morphine sulfate extended-release tablets are:

  • Constipation, nausea, sleepiness, vomiting, tiredness, headache, dizziness, abdominal pain. Call your healthcare provider if you have any of these symptoms and they are severe.

Get emergency medical help or call 911 right away if you have:

  • trouble breathing, shortness of breath, fast heartbeat, chest pain, swelling of your face, tongue or throat, extreme drowsiness, light-headedness when changing positions, feeling faint, agitation, high body temperature, trouble walking, stiff muscles, or mental changes such as confusion.

These are not all the possible side effects of morphine sulfate extended-release tablets. Call your healthcare provider for medical advice about side effects. You may report side effects to FDA at 1-800-FDA-1088. For more information go to dailymed.nlm.nih.gov

This Medication Guide has been approved by the U.S. Food and Drug Administration.

Manufactured by:

Ohm Laboratories Inc.

New Brunswick, NJ 08901

Distributed by:

Sun Pharmaceutical Industries, Inc.

Cranbury, NJ 08512

www.sunpharma.com or call 1-800-818-4555

September 2023                                 

FDA-10

8.4 Pediatric Use

The safety and effectiveness in pediatric patients below the age of 18 have not been established.

8.5 Geriatric Use

The pharmacokinetics of morphine sulfate have not been studied in elderly patients.  Clinical studies of morphine sulfate did not include sufficient numbers of subjects aged 65 and over to determine whether they respond differently from younger subjects. 

Elderly patients (aged 65 years or older) may have increased sensitivity to morphine. In general, use caution when selecting a dosage for an elderly patient, usually starting at the low end of the dosing range, reflecting the greater frequency of decreased hepatic, renal, or cardiac function and of concomitant disease or other drug therapy.

Respiratory depression is the chief risk for elderly patients treated with opioids, and has occurred after large initial doses were administered to patients who were not opioid-tolerant or when opioids were co-administered with other agents that depress respiration. Titrate the dosage of morphine sulfate slowly in geriatric patients and monitor closely for signs of central nervous system and respiratory depression [see Warnings and Precautions (5.6)].

Morphine is known to be substantially excreted by the kidney, and the risk of adverse reactions to this drug may be greater in patients with impaired renal function. Because elderly patients are more likely to have decreased renal function, care should be taken in dose selection, and it may be useful to monitor renal function.

2.3 Initial Dosage

Use of Morphine Sulfate Extended-Release Tablets as the First Opioid Analgesic (opioid-naïve patients)

Initiate treatment with morphine sulfate extended-release tablets with 15 mg tablets orally every 8 or 12 hours.

Use of Morphine Sulfate Extended-Release Tablets in Patients who are not Opioid Tolerant (opioid non-tolerant patients)

The starting dose for patients who are not opioid tolerant is morphine sulfate extended-release tablets 15 mg orally every 12 hours.

Use of higher starting doses in patients who are not opioid tolerant may cause fatal respiratory depression.

Conversion from Other Oral Morphine to Morphine Sulfate Extended-Release Tablets

Patients receiving other oral morphine formulations may be converted to morphine sulfate extended-release tablets by administering one-half of the patient's 24-hour requirement as morphine sulfate extended-release tablets on an every-12-hour schedule or by administering one-third of the patient's daily requirement as morphine sulfate extended-release tablets on an every-8-hour schedule. 

Conversion from Other Opioids to Morphine Sulfate Extended-Release Tablets

Discontinue all other around-the-clock opioid drugs when morphine sulfate extended-release tablets therapy is initiated. There are no established conversion ratios for conversion from other opioids to morphine sulfate extended-release tablets defined by clinical trials. Initiate dosing using morphine sulfate extended-release tablets 15 mg orally every 8 to 12 hours.

It is safer to underestimate a patient’s 24-hour oral morphine dosage and provide rescue medication (e.g., immediate-release opioid) than to overestimate the 24-hour oral morphine dosage and manage an adverse reaction due to an overdose. While useful tables of opioid equivalents are readily available, there is inter-patient variability in the potency of opioid drugs and opioid formulations. Close observation and frequent titration are warranted until pain management is stable on the new opioid. Monitor patients for signs and symptoms of opioid withdrawal and for signs of oversedation/toxicity after converting patients to morphine sulfate extended-release tablets.

Conversion from Parenteral Morphine or Other Opioids (Parenteral or Oral) to Morphine Sulfate Extended-Release Tablets

When converting from parenteral morphine or other non-morphine opioids (parenteral or oral) to morphine sulfate extended-release tablets, consider the following general points:

Parenteral to oral morphine ratio: Between 2 to 6 mg of oral morphine may be required to provide analgesia equivalent to 1 mg of parenteral morphine. Typically, a dose of morphine that is approximately three times the previous daily parenteral morphine requirement is sufficient.

Other parenteral or oral non-morphine opioids to oral morphine ratios : Specific recommendations are not available because of a lack of systematic evidence for these types of analgesic substitutions. Published relative potency data are available, but such ratios are approximations. In general, begin with half of the estimated daily morphine requirement as the initial dose, managing inadequate analgesia by supplementation with immediate-release morphine.

Conversion from Methadone to Morphine Sulfate Extended-Release Tablets

Close monitoring is of particular importance when converting methadone to other opioid agonists. The ratio between methadone and other opioid agonists may vary widely as a function of previous dose exposure. Methadone has a long half-life and can accumulate in the plasma.

4 Contraindications

Morphine sulfate is contraindicated in patients with:

  • Significant respiratory depression [see Warnings and Precautions (5.3)]
  • Acute or severe bronchial asthma in an unmonitored setting or in the absence of resuscitative equipment [see Warnings and Precautions (5.6)]
  • Concurrent use of monoamine oxidase inhibitors (MAOIs) or use of MAOIs within the last 14 days [see Warnings and Precautions (5.7), Drug Interactions (7)].
  • Hypersensitivity (e.g., anaphylaxis) to morphine [see Adverse Reactions (6.2)]
  • Known or suspected gastrointestinal obstruction, including paralytic ileus [see Warnings and Precautions (5.11)]
6 Adverse Reactions

The following serious adverse reactions are described, or described in greater detail, in other sections:

  • Addiction, Abuse, and Misuse [see Warnings and Precautions (5.1)]
  • Life-Threatening Respiratory Depression [see Warnings and Precautions (5.3)]
  • Neonatal Opioid Withdrawal Syndrome [see Warnings and Precautions (5.4)]
  • Interactions with Benzodiazepine or Other CNS Depressants [see Warnings and Precautions (5.5)]
  • Adrenal Insufficiency [see Warnings and Precautions (5.8)]
  • Severe Hypotension [see Warnings and Precautions (5.9)]
  • Gastrointestinal Adverse Reactions [see Warnings and Precautions (5.11)]
  • Seizures [see Warnings and Precautions (5.12)]
  • Withdrawal [see Warnings and Precautions (5.13)]
7 Drug Interactions

Table 1 includes clinically significant drug interactions with morphine sulfate.

Table 1: Clinically Significant Drug Interactions with morphine sulfate

Benzodiazepines and Other Central Nervous System (CNS) Depressants

Clinical Impact:

Due to additive pharmacologic effect, the concomitant use of benzodiazepines or other CNS depressants, including alcohol, can increase the risk of hypotension, respiratory depression, profound sedation, coma, and death.

Intervention:

Reserve concomitant prescribing of these drugs for use in patients for whom alternative treatment options are inadequate. Limit dosages and durations to the minimum required. Follow patients closely for signs of respiratory depression and sedation. If concomitant use is warranted, consider prescribing naloxone for the emergency treatment of opioid overdose [see Dosage and Administration (2.2, 2.5), Warnings and Precautions (5.1, 5.3, 5.5)].

Examples:

Benzodiazepines and other sedative hypnotics, anxiolytics, tranquilizers, muscle relaxants, general anesthetics, antipsychotics, other opioids, alcohol.

Serotonergic Drugs

Clinical Impact:

The concomitant use of opioids with other drugs that affect the serotonergic neurotransmitter system has resulted in serotonin syndrome.

Intervention:

If concomitant use is warranted, carefully observe the patient, particularly during treatment initiation and dose adjustment. Discontinue morphine sulfate if serotonin syndrome is suspected.

Examples:

Selective serotonin reuptake inhibitors (SSRIs), serotonin and norepinephrine reuptake inhibitors (SNRIs), tricyclic antidepressants (TCAs), triptans, 5-HT3 receptor antagonists, drugs that effect the serotonin neurotransmitter system (e.g., mirtazapine, trazodone, tramadol), certain muscle relaxants (i.e., cyclobenzaprine, metaxalone), monoamine oxidase (MAO) inhibitors (those intended to treat psychiatric disorders and also others, such as linezolid and intravenous methylene blue).

Monoamine Oxidase Inhibitors (MAOIs)

Clinical Impact:

MAOI interactions with opioids may manifest as serotonin syndrome or opioid toxicity (e.g., respiratory depression, coma) [see Warnings and Precautions (5.7)].

Intervention:

Do not use morphine sulfate in patients taking MAOIs or within 14 days of stopping such treatment.

Examples:

phenelzine, tranylcypromine, linezolid

Mixed Agonist/Antagonist and Partial Agonist Opioid Analgesics

Clinical Impact:

May reduce the analgesic effect of morphine sulfate and/or precipitate withdrawal symptoms.

Intervention:

Avoid concomitant use.

Examples:

butorphanol, nalbuphine, pentazocine, buprenorphine

Muscle Relaxants

Clinical Impact:

Morphine may enhance the neuromuscular blocking action of skeletal muscle relaxants and produce an increased degree of respiratory depression.

Intervention:

Evaluate patients for signs of respiratory depression that may be greater than otherwise expected and decrease the dosage of morphine sulfate and/or the muscle relaxant as necessary. Due to the risk of respiratory depression with concomitant use of skeletal muscle relaxants and opioids, consider prescribing naloxone for the emergency treatment of opioid overdose [see Dosage and Administration (2.2), Warnings and Precautions (5.3, 5.5)]

Examples:

Cyclobenzaprine, metaxalone

Cimetidine

Clinical Impact:

The concomitant use of cimetidine can potentiate morphine effects and increase risk of hypotension, respiratory depression, profound sedation, coma, and death.

Intervention:

Evaluate patients for signs of respiratory depression that may be greater than otherwise expected and decrease the dosage of morphine sulfate and/or cimetidine as necessary.

Diuretics

Clinical Impact:

Opioids can reduce the efficacy of diuretics by inducing the release of antidiuretic hormone.

Intervention:

Evaluate patients for signs of diminished diuresis and/or effects on blood pressure and increase the dosage of the diuretic as needed.

Anticholinergic Drugs

Clinical Impact:

The concomitant use of anticholinergic drugs may increase risk of urinary retention and/or severe constipation, which may lead to paralytic ileus.

Intervention:

Evaluate patients for signs of urinary retention or reduced gastric motility when morphine sulfate is used concomitantly with anticholinergic drugs.

P-Glycoprotein (P-gp) Inhibitors

Clinical Impact:

The concomitant use of PGP-inhibitors can increase the exposure to morphine by about two-fold and can increase risk of hypotension, respiratory depression, profound sedation, coma, and death.

Intervention:

Evaluate patients for signs of respiratory depression that may be greater than otherwise expected and decrease the dosage of morphine sulfate and/or the PGP-inhibitor as necessary.

Example:

Quinidine

8.7 Renal Impairment

Morphine pharmacokinetics are altered in patients with renal failure. Start these patients with a lower than usual dosage of morphine sulfate and titrate slowly while monitoring for signs of respiratory depression, sedation, and hypotension [see Clinical Pharmacology (12.3)].

12.2 Pharmacodynamics

CNS Depressant/Alcohol Interaction

Additive pharmacodynamic effects may be expected when morphine sulfate is used in conjunction with alcohol, other opioids, or illicit drugs that cause central nervous system depression.

Effects on the Central Nervous System

Morphine produces respiratory depression by direct action on brainstem respiratory centers.  The respiratory depression involves a reduction in the responsiveness of the brainstem respiratory centers to both increases in carbon dioxide tension and electrical stimulation.

Morphine causes miosis, even in total darkness.  Pinpoint pupils are a sign of narcotic overdose but are not pathognomonic (e.g., pontine lesions of hemorrhagic or ischemic origins may produce similar findings).  Marked mydriasis rather than miosis may be seen with hypoxia in overdose situations.

Effects on the Gastrointestinal Tract and Other Smooth Muscle

Morphine causes a reduction in motility associated with an increase in smooth muscle tone in the antrum of the stomach and in the duodenum. Digestion of food in the small intestine is delayed and propulsive contractions are decreased.  Propulsive peristaltic waves in the colon are decreased, while tone may be increased to the point of spasm, resulting in constipation.  Other opioid-induced effects may include reduction in biliary and pancreatic secretions, spasm of the sphincter of Oddi, and transient elevations in serum amylase.

Effects on the Cardiovascular System

Morphine produces peripheral vasodilation which may result in orthostatic hypotension or syncope. Manifestations of histamine release and/or peripheral vasodilation may include pruritus, flushing, red eyes, and sweating, and/or orthostatic hypotension.

Effects on the Endocrine System

Opioids inhibit the secretion of adrenocorticotropic hormone (ACTH), cortisol, and luteinizing hormone (LH) in humans [see Adverse Reaction (6.2)].  They also stimulate prolactin, growth hormone (GH) secretion, and pancreatic secretion of insulin and glucagon.

Chronic use of opioids may influence the hypothalamic-pituitary-gonadal axis, leading to androgen deficiency that may manifest as low libido, impotence, erectile dysfunction, amenorrhea, or infertility. The causal role of opioids in the clinical syndrome of hypogonadism is unknown because the various medical, physical, lifestyle, and psychological stressors that may influence gonadal hormone levels have not been adequately controlled for in studies conducted to date [see Adverse Reactions (6.2)].

Effects on the Immune System

Opioids have been shown to have a variety of effects on components of the immune system in in vitro and animal models.  The clinical significance of these findings is unknown.  Overall, the effects of opioids appear to be modestly immunosuppressive.

Concentration-Efficacy Relationships

The minimum effective analgesic concentration will vary widely among patients, especially among patients who have been previously treated with potent agonist opioids. The minimum effective analgesic concentration of morphine for any individual patient may increase over time due to an increase in pain, the development of a new pain syndrome, and/or the development of analgesic tolerance [see Dosage and Administration (2.1, 2.3)]

Concentration–Adverse Reaction Relationships

There is a relationship between increasing morphine plasma concentration and increasing frequency of dose-related opioid adverse reactions such as nausea, vomiting, CNS effects, and respiratory depression. In opioid-tolerant patients, the situation may be altered by the development of tolerance to opioid-related adverse reactions [see Dosage and Administration (2.1, 2.3, 2.4)].

12.3 Pharmacokinetics

Absorption

Morphine sulfate is an extended-release tablet containing morphine sulfate. Morphine is released from morphine sulfate extended-release tablets somewhat more slowly than from immediate-release oral preparations.  Following oral administration of a given dose of morphine, the amount ultimately absorbed is essentially the same whether the source is morphine sulfate extended-release tablets or an immediate-release formulation.  Because of pre-systemic elimination (i.e., metabolism in the gut wall and liver) only about 40% of the administered dose reaches the central compartment.

The oral bioavailability of morphine is approximately 20 to 40%.  When morphine sulfateis given on a fixed dosing regimen, steady-state is achieved in about a day.

Food Effect

The effect of food upon the systemic bioavailability of morphine sulfate has not been systematically evaluated for all strengths.  One study, conducted with the 30 mg morphine sulfateextended-releasetablets, showed no significant differences in Cmax and AUC (0-24h) values, whether the tablet was taken while fasting or with a high-fat breakfast.

Distribution

Once absorbed, morphine is distributed to skeletal muscle, kidneys, liver, intestinal tract, lungs, spleen, and brain.  Morphine also crosses placental membranes and has been found in breast milk. The volume of distribution (Vd) for morphine is approximately 3 to 4 liters per kilogram and morphine is 30 to 35% reversibly bound to plasma proteins.

Elimination

Metabolism

The major pathways of morphine metabolism include glucuronidation to produce metabolites including morphine-3-glucuronide, M3G (about 50%) and morphine-6-glucuronide, M6G (about 5 to 15%) and sulfation in the liver to produce morphine-3-etheral sulfate. A small fraction (less than 5%) of morphine is demethylated.   M6G has been shown to have analgesic activity but crosses the blood-brain barrier poorly, while M3G has no significant analgesic activity.

Excretion

The elimination of morphine occurs primarily as renal excretion of M3G and its effective half-life after intravenous administration is normally 2 to 4 hours. Approximately 10% of the dose is excreted unchanged in urine. In some studies involving longer periods of plasma sampling, a longer terminal half-life of about 15 hours was reported. A small amount of the glucuronide conjugate is excreted in the bile, and there is some minor enterohepatic recycling.

Specific Populations

Sex

A sex analysis of pharmacokinetic data from healthy subjects taking morphine sulfate indicated that morphine concentrations were similar in males and females.

Race /Ethnicity

Chinese subjects given intravenous morphine had a higher clearance when compared to Caucasian subjects (1852 +/- 116 ml/min compared to 1495 +/- 80 ml/min).

Hepatic Impairment

Morphine pharmacokinetics are altered in patients with cirrhosis. Clearance was found to decrease with a corresponding increase in half-life. The M3G and M6G to morphine plasma AUC ratios also decreased in these patients, indicating diminished metabolic activity.  Adequate studies of the pharmacokinetics of morphine in patients with severe hepatic impairment have not been conducted.

Renal Impairment

Morphine pharmacokinetics are altered in patients with renal failure. The AUC is increased, and clearance is decreased and the metabolites, M3G and M6G, may accumulate to much higher plasma levels in patients with renal failure as compared to patients with normal renal function. Adequate studies of the pharmacokinetics of morphine in patients with severe renal impairment have not been conducted.

5.9 Severe Hypotension

Morphine sulfate may cause severe hypotension including orthostatic hypotension and syncope in ambulatory patients. There is increased risk in patients whose ability to maintain blood pressure has already been compromised by a reduced blood volume or concurrent administration of certain CNS depressant drugs (e.g., phenothiazines or general anesthetics) [see Drug Interactions (7)]. Monitor these patients for signs of hypotension after initiating or titrating the dosage of morphinesulfate. In patients with circulatory shock, morphine sulfate may cause vasodilation that can further reduce cardiac output and blood pressure. Avoid the use of morphine sulfate in patients with circulatory shock.

8.6 Hepatic Impairment

Morphine pharmacokinetics have been reported to be significantly altered in patients with cirrhosis. Start these patients with a lower than usual dosage of morphine sulfate and titrate slowly while monitoring for signs of respiratory depression, sedation, and hypotension [see Clinical Pharmacology (12.3)].

1 Indications and Usage

Morphine sulfate extended-release tablets are indicated for the management of pain severe enough to require daily, around-the-clock, long-term opioid treatment and for which alternative treatment options are inadequate.

Limitations of Use

  • Because of the risks of addiction, abuse, and misuse with opioids, even at recommended doses, and because of the greater risks of overdose and death with extended-release opioid formulations [see Warnings and Precautions (5.1)], reserve morphine sulfate extended-release tabletsfor use in patients for whom alternative treatment options (e.g., non-opioid analgesics or immediate-release opioids) are ineffective, not tolerated, or would be otherwise inadequate to provide sufficient management of pain.
  • Morphine sulfate extended-release tabletsare not indicated as an as-needed (prn) analgesic.
12.1 Mechanism of Action

Morphine is a full opioid agonist is relatively selective for the mu-opioid receptor, although it can bind to other opioid receptors at higher doses. The principal therapeutic action of morphine is analgesia. Like all full opioid agonists, there is no ceiling effect for analgesia with morphine. Clinically, dosage is titrated to provide adequate analgesia and may be limited by adverse reactions, including respiratory and CNS depression.

The precise mechanism of the analgesic action is unknown. However, specific CNS opioid receptors for endogenous compounds with opioid-like activity have been identified throughout the brain and spinal cord and are thought to play a role in the analgesic effects of this drug. 

9.1 Controlled Substance

Morphine sulfate extended-release tablets contain morphine, a Schedule II controlled substance.

5.8 Adrenal Insufficiency

Cases of adrenal insufficiency have been reported with opioid use, more often following greater than one month of use. Presentation of adrenal insufficiency may include non-specific symptoms and signs including nausea, vomiting, anorexia, fatigue, weakness, dizziness, and low blood pressure. If adrenal insufficiency is suspected, confirm the diagnosis with diagnostic testing as soon as possible. If adrenal insufficiency is diagnosed, treat with physiologic replacement doses of corticosteroids. Wean the patient off of the opioid to allow adrenal function to recover and continue corticosteroid treatment until adrenal function recovers. Other opioids may be tried as some cases reported use of a different opioid without recurrence of adrenal insufficiency. The information available does not identify any particular opioids as being more likely to be associated with adrenal insufficiency.

5 Warnings and Precautions
  • Life-Threatening Respiratory Depression in Patients with Chronic

Pulmonary Disease or in Elderly, Cachectic, or Debilitated Patients: Monitor closely, particularly during initiation and titration. (5.6)

  • Adrenal Insufficiency: If diagnosed, treat with physiologic replacement of corticosteroids, and wean patient off of the opioid. (5.8)
  • Severe Hypotension: Monitor during dosage initiation and titration. Avoid use in patients with circulatory shock. (5.9)
  • Risks of Use in Patients with Increased Intracranial Pressure, Brain Tumors, Head Injury, or Impaired Consciousness: Monitor for sedation and respiratory depression.  Avoid use of morphine sulfatein patients with impaired consciousness or coma. (5.10)
2 Dosage and Administration
  • To be prescribed only by healthcare providers knowledgeable in the use of potent opioids for management of chronic pain. (2.1)
  • Morphine sulfate extended-release 100 mg and 200 mg tablets, a single dose greater than 60 mg, or a total daily dose greater than 120 mg, are only for use in patients in whom tolerance to an opioid of comparable potency has been established. (2.1)
  • Patients considered opioid-tolerant are those taking, for one week or longer, at least 60 mg of morphine per day, 25 mcg transdermal fentanyl per hour, 30 mg of oral oxycodone per day, 8 mg of oral hydromorphone per day, 25 mg oral oxymorphone per day, 60 mg oral hydrocodone per day, or an equianalgesic dose of another opioid. (2.1)
  • Use the lowest effective dosage for the shortest duration consistent with individual patient treatment goals. Reserve titration to higher doses of morphine sulfate extended-release tablets for patients in whom lower doses are insufficiently effective and in whom the expected benefits of using a higher dose opioid clearly outweigh the substantial risks. (2.1, 5)
  • Individualize dosing based on the severity of pain, patient response, prior analgesic experience, and risk factors for addiction, abuse, and misuse. (2.1)
  • Instruct patients to swallow morphine sulfate extended-release tablets intact and not to cut, break, chew, crush, or dissolve morphine sulfate extended-release to avoid the risk of release and absorption of potential fatal dose of morphine. (2.1, 5.1)
  • Discuss availability of naloxone with the patient and caregiver and assess each patient’s need for access to naloxone, both when initiating and renewing treatment with morphine sulfate extended-release tablets. Consider prescribing naloxone based on the patient’s risk factors for overdose (2.2, 5.1, 5.3, 5.5).
  • For opioid-naïve and opioid non-tolerant patients, initiate with 15 mg tablets orally every 8 to 12 hours. (2.3)
  • Do not abruptly discontinue morphine sulfate extended-release tablets in a physically dependent patient because rapid discontinuation of opioid analgesics has resulted in serious withdrawal symptoms, uncontrolled pain, and suicide. (2.5)
3 Dosage Forms and Strengths
  • · Morphine sulfate extended-release tablets 15 mg

    Round, blue-colored, film-coated tablets debossed with “RD” and “70” on one side and plain on the other side
  • Morphine sulfate extended-release tablets 30 mg

    Round, purple-colored, film-coated tablets debossed with “RD” and “71” on one side and plain on the other side
  • Morphine sulfate extended-release tablets 60 mg

    Round, light orange-colored, film-coated tablets debossed with “RD” and “72” on one side and plain on the other side
  • Morphine sulfate extended-release tablets 100 mg*

    Round, gray-colored, film-coated tablets debossed with “RD” and “73” on one side and plain on the other side
  • Morphine sulfate extended-release tablets 200 mg*

    Oval, green-colored, film-coated tablets debossed with “RD74” on one side and plain on the other side

*100 mg and 200 mg tablets are for use in opioid-tolerant patients only

6.1 Clinical Trial Experience

Because clinical trials are conducted under widely varying conditions, adverse reaction rates observed in the clinical trials of a drug cannot be directly compared to rates in the clinical trials of another drug and may not reflect the rates observed in practice.

Morphine sulfate may increase the risk of serious adverse reactions such as those observed with other opioid analgesics, including respiratory depression, apnea, respiratory arrest, circulatory depression, hypotension, or shock [see Overdosage (10)].

Most Frequently Observed Reactions

In clinical trials, the most common adverse reactions with morphine sulfate were constipation, dizziness, sedation, nausea, vomiting, sweating, dysphoria, and euphoric mood.

Some of these effects seem to be more prominent in ambulatory patients and in those not experiencing severe pain.

Less Frequently Observed Reactions

Cardiovascular disorders: tachycardia, bradycardia, palpitations

Eye disorders: visual impairment, vision blurred, diplopia, miosis

Gastrointestinal disorders: dry mouth, diarrhea, abdominal pain, constipation, dyspepsia

General disorders and administration site conditions: chills, feeling abnormal, edema, edema peripheral, weakness

Hepatobiliary disorders: biliary colic

Metabolism and nutrition disorders:  anorexia

Musculoskeletal and connective tissue disorders: muscle rigidity, muscle twitching

Nervous system disorders: presyncope, syncope, headache, tremor, uncoordinated muscle movements, convulsion, intracranial pressure increased, taste alteration, paresthesia, nystagmus

Psychiatric disorders: agitation, mood altered, anxiety, depression, abnormal dreams, hallucination, disorientation, insomnia

Renal and urinary disorders: urinary retention, urinary hesitation, antidiuretic effects

Reproductive system and breast disorders:  reduced libido and/or potency

Respiratory, thoracic and mediastinal disorders: laryngospasm

Skin and subcutaneous tissue disorders: pruritus, urticaria, rash

Vascular disorders: flushing, hypotension, hypertension

6.2 Post Marketing Experience

The following adverse reactions have been identified during post-approval use of morphine sulfate. Because these reactions are reported voluntarily from a population of uncertain size, it is not always possible to reliably estimate their frequency or establish a causal relationship to drug exposure.

Amenorrhea, asthenia, bronchospasm, confusional state, drug hypersensitivity, fatigue, hyperalgesia, hypertonia, ileus, increased hepatic enzymes, intestinal obstruction, lethargy, malaise, pulmonary edema, thinking disturbances, somnolence, and vertigo.

Serotonin syndrome: Cases of serotonin syndrome, a potentially life-threatening condition, have been reported during concomitant use of opioids with serotonergic drugs.

Adrenal insufficiency: Cases of adrenal insufficiency have been reported with opioid use, more often following greater than one month of use.

Anaphylaxis: Anaphylaxis has been reported with ingredients contained in morphine sulfate.

Androgen deficiency: Cases of androgen deficiency have occurred with chronic use of opioids [see Clinical Pharmacology (12.2)].

8 Use in Specific Populations
  • Pregnancy: May cause fetal harm. (8.1)
  • Lactation: Not recommended. (8.2)
5.1 Addiction, Abuse, and Misuse

Morphine sulfate extended-release tablets contain morphine, a Schedule II controlled substance.   As an opioid, morphine sulfate exposes its users to the risks of addiction, abuse, and misuse. Because extended-release products such as morphine sulfatedeliver the opioid over an extended period of time, there is a greater risk for overdose and death due to the larger amount of morphine present [see Drug Abuse and Dependence (9)].

Although the risk of addiction in any individual is unknown, it can occur in patients appropriately prescribed morphine sulfate. Addiction can occur at recommended doses and if the drug is misused or abused.

Assess each patient’s risk for opioid addiction, abuse, or misuse prior to prescribing morphine sulfate, and monitor all patients receiving morphine sulfate for development of these behaviors and conditions.  Risks are increased in patients with a personal or family history of substance abuse (including drug or alcohol abuse or addiction) or mental illness (e.g., major depression). The potential for these risks should not, however, prevent the proper management of pain in any given patient. Patients at increased risk may be prescribed opioids such as morphine sulfate, but use in such patients necessitates intensive counseling about the risks of proper use of morphine sulfate along with intensive monitoring for signs of addiction, abuse, and misuse. Consider prescribing naloxone for the emergency treatment of opioid overdose [see Dosage and Administration (2.2), Warnings and Precautions (5.3)].

Abuse or misuse of morphine sulfate extended-release tablets by crushing, chewing, snorting, or injecting the dissolved product will result in the uncontrolled delivery of morphine and can result in overdose and death [see Overdosage (10)].

Opioids are sought for nonmedical use and are subject to diversion from legitimate prescribed use. Consider these risks when prescribing or dispensing morphine sulfate. Strategies to reduce these risks include prescribing the drug in the smallest appropriate quantity and advising the patient on careful storage of the drug during the course of treatment and proper disposal of unused drug. Contact local state professional licensing board or state-controlled substances authority for information on how to prevent and detect abuse or diversion of this product.

17 Patient Counseling Information

Advise the patient to read the FDA-approved patient labeling (Medication Guide).

Storage and Disposal

Because of the risks associated with accidental ingestion, misuse, and abuse, advise patients to store morphine sulfate extended-release tablets securely, out of sight and reach of children, and in a location not accessible by others, including visitors to the home [see Warnings and Precautions (5.1), Drug Abuse and Dependence (9.2)]. Inform patients that leaving morphine sulfate extended-release tablets unsecured can pose a deadly risk to others in the home.

Advise patients and caregivers that when medicines are no longer needed, they should be disposed of promptly. Expired, unwanted, or unused morphine sulfate extended-release tablets should be disposed of by flushing the unused medication down the toilet if a drug take-back option is not readily available. Inform patients that they can visit www.fda.gov/drugdisposal for a complete list of medicines recommended for disposal by flushing, as well as additional information on disposal of unused medicines.

Addiction, Abuse, and Misuse

Inform patients that the use of morphine sulfate extended-release tablets even when taken as recommended, can result in addiction, abuse, and misuse, which can lead to overdose and death [see Warnings and Precautions (5.1)].  Instruct patients not to share morphine sulfate extended-release tablets with others and to take steps to protect morphine sulfate extended-release tablets from theft or misuse.

Life-Threatening Respiratory Depression

Inform patients of the risk of life-threatening respiratory depression, including information that the risk is greatest when starting morphine sulfate extended-release tablets or when the dosage is increased, and that it can occur even at recommended dosages. Educate patients and caregivers on how to recognize respiratory depression and emphasize the importance of calling 911 or getting emergency medical help right away in the event of a known or suspected overdose [see Warnings and Precautions (5.3)].

Patient Access to Naloxone for the Emergency Treatment of Opioid Overdose

Discuss with the patient and caregiver the availability of naloxone for the emergency treatment of opioid overdose, both when initiating and renewing treatment with morphine sulfate extended-release tablets. Inform patients and caregivers about the various ways to obtain naloxone as permitted by individual state naloxone dispensing and prescribing requirements or guidelines (e.g., by prescription, directly from a pharmacist, or as part of a community-based program) [see Dosage and Administration (2.2), Warnings and Precautions (5.3)].

Educate patients and caregivers on how to recognize the signs and symptoms of an overdose.

Explain to patients and caregivers that naloxone’s effects are temporary, and that they must call 911 or get emergency medical help right away in all cases of known or suspected opioid overdose, even if naloxone is administered [see Overdosage (10)].

If naloxone is prescribed, also advise patients and caregivers:

  • How to treat with naloxone in the event of an opioid overdose
  • · To tell family and friends about their naloxone and to keep it in a place where family and friends can access it in an emergency
  • To read the Patient Information (or other educational material) that will come with their naloxone. Emphasize the importance of doing this before an opioid emergency happens, so the patient and caregiver will know what to do.

Accidental Ingestion

Inform patients that accidental ingestion, especially by children, may result in respiratory depression or death [see Warnings and Precautions (5.3)].

Interactions with Benzodiazepines and Other CNS Depressants

Inform patients and caregivers that potentially fatal additive effects may occur if morphine sulfate extended-release tablets are used with benzodiazepines or other CNS depressants, including alcohol, and not to use these concomitantly unless supervised by a healthcare provider [see Warnings and Precautions (5.5), Drug Interactions (7)]

Serotonin Syndrome

Inform patients that opioids could cause a rare but potentially life-threatening condition resulting from concomitant administration of serotonergic drugs. Warn patients of the symptoms of serotonin syndrome and to seek medical attention right away if symptoms develop. Instruct patients to inform their physicians if they are taking, or plan to take serotonergic medications [see Drug Interactions 7].

MAOI Interaction

Inform patients not to take morphine sulfate extended-release tablets while using any drugs that inhibit monoamine oxidase. Patients should not start MAOIs while taking morphine sulfate extended-release tablets [see Warnings and Precautions (5.7), Drug Interactions (7)].

Adrenal Insufficiency

Inform patients that opioids could cause adrenal insufficiency, a potentially life-threatening condition. Adrenal insufficiency may present with non-specific symptoms and signs such as nausea, vomiting, anorexia, fatigue, weakness, dizziness, and low blood pressure. Advise patients to seek medical attention if they experience a constellation of these symptoms [see Warnings and Precautions (5.8)].

Important Administration Instructions

Instruct patients how to properly take morphine sulfate extended-release tablets, including the following:

  • Swallow morphine sulfate extended-release tablets whole [see Dosage and Administration (2.1)]
  • Do not crush, chew, or dissolve the tablets [see Dosage and Administration (2.1)]
  • Use morphine sulfate extended-release tablets exactly as prescribed to reduce the risk of life-threatening adverse reactions (e.g., respiratory depression) [see Warnings and Precautions (5.3)]

Important Discontinuation Instructions

In order to avoid developing withdrawal symptoms, instruct patients not to discontinue morphine sulfate extended-release tablets without first discussing a tapering plan with the prescriber [see Dosage and Administration (2.6)].

Hypotension

Inform patients that morphine sulfate extended-release tablets may cause orthostatic hypotension and syncope.  Instruct patients how to recognize symptoms of low blood pressure and how to reduce the risk of serious consequences should hypotension occur (e.g., sit or lie down, carefully rise from a sitting or lying position) [see Warnings and Precautions (5.9)].

Anaphylaxis

Inform patients that anaphylaxis has been reported with ingredients contained in morphine sulfate extended-release tablets. Advise patients how to recognize such a reaction and when to seek medical attention [see Contraindications (4), Adverse Reactions (6)].

Pregnancy

Neonatal Opioid Withdrawal Syndrome

Inform female patients of reproductive potential that use of morphine sulfate extended-release tablets for an extended period of time during pregnancy can result in neonatal opioid withdrawal syndrome, which may be life-threatening if not recognized and treated [see Warnings and Precautions (5.4), Use in Specific Populations (8.1)].

Embryo-Fetal Toxicity

Inform female patients of reproductive potential that morphine sulfate extended-release tablets can cause fetal harm and to inform their healthcare provider of a known or suspected pregnancy [see Adverse Reactions (6.2)].

Lactation

Advise patients that breastfeeding is not recommended during treatment with morphine sulfate extended-release tablets [see Use in Specific Populations (8.2)]

Infertility

Inform patients that use of opioids for an extended period of time may cause reduced fertility. It is not known whether these effects on fertility are reversible [Use in Specific Populations (8.3)].

Driving or Operating Heavy Machinery

Inform patients that morphine sulfate extended-release tablets may impair the ability to perform potentially hazardous activities such as driving a car or operating heavy machinery.  Advise patients not to perform such tasks until they know how they will react to the medication.

Constipation

Advise patients of the potential for severe constipation, including management instructions and when to seek medical attention.

Healthcare professionals can telephone Sun Pharmaceutical Industries Inc. (1-800-818-4555) for information on this product.

Manufactured by:

Ohm Laboratories Inc.

New Brunswick, NJ 08901

Distributed by:

Sun Pharmaceutical Industries, Inc.

Cranbury, NJ 08512

September 2023                      FDA-11

16 How Supplied/storage and Handling

Morphine sulfate extended-release tablets 30 mg are round, purple-colored, film-coated tablets debossed with “RD” and “71” on one side and plain on the other side.

NDC: 71335-0676-1: 30 Tablets in a BOTTLE

NDC: 71335-0676-2: 60 Tablets in a BOTTLE

NDC: 71335-0676-3: 90 Tablets in a BOTTLE

NDC: 71335-0676-4: 120 Tablets in a BOTTLE

NDC: 71335-0676-5: 100 Tablets in a BOTTLE

NDC: 71335-0676-6: 5 Tablets in a BOTTLE

NDC: 71335-0676-7: 15 Tablets in a BOTTLE

NDC: 71335-0676-8: 20 Tablets in a BOTTLE

NDC: 71335-0676-9: 26 Tablets in a BOTTLE

NDC: 71335-0676-10: 40 Tablets in a BOTTLE

Store at 20° - 25° C (68° - 77° F) [See USP Controlled Room Temperature].

Store morphine sulfate extended-release tablets securely and dispose of properly [see Patient Counseling Information (17)].

Dispense in a tight, light-resistant container.

Repackaged/Relabeled by:

Bryant Ranch Prepack, Inc.

Burbank, CA 91504

5.4 Neonatal Opioid Withdrawal Syndrome

Prolonged use of morphine sulfate during pregnancy can result in withdrawal in the neonate. Neonatal opioid withdrawal syndrome, unlike opioid withdrawal syndrome in adults, may be life-threatening if not recognized and treated, and requires management according to protocols developed by neonatology experts. Observe newborns for signs of neonatal opioid withdrawal syndrome and manage accordingly. Advise pregnant women using opioids for a prolonged period of the risk of neonatal opioid withdrawal syndrome and ensure that appropriate treatment will be available [see Use in Specific Populations (8.1), Patient Counseling Information (17)].

2.4 Titration and Maintenance of Therapy

Individually titrate morphine sulfate extended-release tablets to a dose that provides adequate analgesia and minimizes adverse reactions. Continually reevaluate patients receiving morphine sulfate extended-release tablets to assess the maintenance of pain control, signs and symptoms of opioid withdrawal, and other adverse reactions, as well as to reassess for the development of addiction, abuse, or misuse [see Warnings and Precautions (5.1)]. Frequent communication is important among the prescriber, other members of the healthcare team, the patient, and the caregiver/family during periods of changing analgesic requirements, including initial titration. During chronic therapy periodically reassess the continued need for the use of opioid analgesics. 

Patients who experience breakthrough pain may require a dosage adjustment of morphine sulfate extended-release tablets, or may need rescue medication with an appropriate dose of an immediate-release analgesic. If the level of pain increases after dose stabilization, attempt to identify the source of increased pain before increasing the morphine sulfate extended-release tablets dosage.  Because steady-state plasma concentrations are approximated in 1 day, morphine sulfate extended-release tablets dosage adjustments may be done every 1 to 2 days.

If after increasing the dosage, unacceptable opioid-related adverse reactions are observed (including an increase in pain after dosage increase), consider reducing the dosage [see Warnings and Precautions (5)].  Adjust the dosage to obtain an appropriate balance between management of pain and opioid-related adverse reactions.

5.3 Life Threatening Respiratory Depression

Serious, life-threatening, or fatal respiratory depression has been reported with the use of opioids, even when used as recommended. Respiratory depression, if not immediately recognized and treated, may lead to respiratory arrest and death. Management of respiratory depression may include close observation, supportive measures, and use of opioid antagonists, depending on the patient’s clinical status [see Overdosage (10)]. Carbon dioxide (CO2) retention from opioid-induced respiratory depression can exacerbate the sedating effects of opioids.

While serious, life-threatening, or fatal respiratory depression can occur at any time during the use of morphine sulfate, the risk is greatest during the initiation of therapy or following a dosage increase. Monitor patients closely for respiratory depression especially within the first 24 to 72 hours of initiating therapy and following dosage increases of morphine sulfate.

To reduce the risk of respiratory depression, proper dosing and titration of morphine sulfate are essential [see Dosage and Administration (2)]. Overestimating the morphine sulfate dosage when converting patients from another opioid product can result in a fatal overdose with the first dose.

Accidental ingestion of even one dose of morphine sulfate, especially by children, can result in respiratory depression and death due to an overdose of morphine.

Educate patients and caregivers on how to recognize respiratory depression and emphasize the importance of calling 911 or getting emergency medical help right away in the event of a known or suspected overdose [see Patient Counseling Information (17)].

Opioids can cause sleep-related breathing disorders including central sleep apnea (CSA) and sleep-related hypoxemia. Opioid use increases the risk of CSA in a dose-dependent fashion. In patients who present with CSA, consider decreasing the opioid dosage using best practices for opioid taper [see Dosage and Administration (2.6)].

Patient Access to Naloxone for the Emergency Treatment of Opioid Overdose:

Discuss the availability of naloxone for the emergency treatment of opioid overdose with the patient and caregiver and assess the potential need for access to naloxone, both when initiating and renewing treatment with morphine sulfate. Inform patients and caregivers about the various ways to obtain naloxone as permitted by individual state naloxone dispensing and prescribing requirements or guidelines (e.g., by prescription, directly from a pharmacist, or as part of a community-based program). Educate patients and caregivers on how to recognize respiratory depression and emphasize the importance of calling 911 or getting emergency medical help, even if naloxone is administered [see Patient Counseling Information (17)].

Consider prescribing naloxone, based on the patient’s risk factors for overdose, such as concomitant use of CNS depressants, a history of opioid use disorder, or prior opioid overdose. The presence of risk factors for overdose should not prevent the proper management of pain in any given patient. Also consider prescribing naloxone if the patient has household members (including children) or other close contacts at risk for accidental ingestion or overdose. If naloxone is prescribed, educate patients and caregivers on how to treat with naloxone. [see Warnings and Precautions (5.1, 5.5), Patient Counseling Information (17)].

5.14 Risks of Driving and Operating Machinery

Morphine sulfate may impair the mental or physical abilities needed to perform potentially hazardous activities such as driving a car or operating machinery. Warn patients not to drive or operate dangerous machinery unless they are tolerant to the effects of morphine sulfate and know how they will react to the medication [see Patient Counseling Information (17)].

8.3 Females and Males of Reproductive Potential

Infertility

Chronic use of opioids may cause reduced fertility in females and males of reproductive potential. It is not known whether these effects on fertility are reversible [see Adverse Reactions (6.2), Clinical Pharmacology (12.2)].

In published animal studies, morphine administration adversely effected fertility and reproductive endpoints in male rats and prolonged estrus cycle in female rats [see Nonclinical Toxicology (13)].

5.7 Interaction With Monoamine Oxidase Inhibitors

Monoamine oxidase inhibitors (MAOIs) may potentiate the effects of morphine, including respiratory depression, coma, and confusion. Morphine sulfate should not be used in patients taking MAOIs or within 14 days of stopping such treatment.

2.1 Important Dosage and Administration Instructions

Morphine sulfate extended-release tablets should be prescribed only by healthcare professionals who are knowledgeable in the use of potent opioids for the management of chronic pain.

Morphine sulfate extended-release tablets 100 mg and 200 mg, a single dose greater than 60 mg, or a total daily dose greater than 120 mg, are only for use in patients in whom tolerance to an opioid of comparable potency has been established. Patients considered opioid-tolerant are those taking, for one week or longer, at least 60 mg morphine per day, 25 mcg transdermal fentanyl per hour, 30 mg oral oxycodone per day, 8 mg oral hydromorphone daily, 25 mg oral oxymorphone per day, 60 mg oral hydrocodone per day, or an equianalgesic dose of another opioid.

  • Use the lowest effective dosage for the shortest duration consistent with individual patient treatment goals [see Warnings and Precautions (5)].
  • Initiate the dosing regimen for each patient individually, taking into account the patient's severity of pain, prior analgesic treatment experience, and risk factors for addiction, abuse, and misuse [see Warnings and Precautions (5.1)].
  • Monitor patients closely for respiratory depression, especially within the first 24 to 72 hours of initiating therapy and following dosage increases with morphine sulfate extended-release tablets and adjust the dosage accordingly [see Warnings and Precautions (5.3)].

Instruct patients to swallow morphine sulfate extended-release tablets whole [see Patient Counseling Information (17)]. Crushing, chewing, or dissolving morphine sulfate extended-release tablets will result in uncontrolled delivery of morphine and can lead to overdose or death [see Warnings and Precautions (5.1)].

Morphine sulfate extended-release tablets is administered orally once every 8 or 12 hours.

13.1 Carcinogenesis, Mutagenesis, Impairment of Fertility

Carcinogenesis

Long-term studies in animals to evaluate the carcinogenic potential of morphine have not been conducted. 

Mutagenesis

No formal studies to assess the mutagenic potential of morphine have been conducted.  In the published literature, morphine was found to be mutagenic in vitro increasing DNA fragmentation in human T-cells.  Morphine was reported to be mutagenic in the in vivo mouse micronucleus assay and positive for the induction of chromosomal aberrations in mouse spermatids and murine lymphocytes.  Mechanistic studies suggest that the in vivo clastogenic effects reported with morphine in mice may be related to increases in glucocorticoid levels produced by morphine in this species.  In contrast to the above positive findings, in vitro studies in the literature have also shown that morphine did not induce chromosomal aberrations in human leukocytes or translocations or lethal mutations in Drosophila. 

Impairment of Fertility

No formal nonclinical studies to assess the potential of morphine to impair fertility have been conducted.  Several nonclinical studies from the literature have demonstrated adverse effects on male fertility in the rat from exposure to morphine.  One study in which male rats were administered morphine sulfate subcutaneously prior to mating (up to 30 mg/kg twice daily) and during mating (20 mg/kg twice daily) with untreated females, a number of adverse reproductive effects including reduction in total pregnancies and higher incidence of pseudopregnancies at 20 mg/kg/day (3.2 times the HDD)  were reported.

Studies from the literature have also reported changes in hormonal levels in male rats (i.e. testosterone, luteinizing hormone) following treatment with morphine at 10 mg/kg/day or greater (1.6 times the HDD). 

Female rats that were administered morphine sulfate intraperitoneally prior to mating exhibited prolonged estrous cycles at 10 mg/kg/day (1.6 times the HDD).

Exposure of adolescent male rats to morphine has been associated with delayed sexual maturation and following mating to untreated females, smaller litters, increased pup mortality, and/or changes in reproductive endocrine status in adult male offspring have been reported (estimated 5 times the plasma levels at the HDD).

5.11 Risks of Use in Patients With Gastrointestinal Conditions

Morphine sulfate is contraindicated in patients with known or suspected gastrointestinal obstruction, including paralytic ileus.

The morphine in morphine sulfate may cause spasm of the sphincter of Oddi. Opioids may cause increases in serum amylase. Monitor patients with biliary tract disease, including acute pancreatitis, for worsening symptoms.

5.12 Increased Risk of Seizures in Patients With Seizure Disorders

The morphine in morphine sulfate may increase the frequency of seizures in patients with seizure disorders, and may increase the risk of seizures occurring in other clinical settings associated with seizures. Monitor patients with a history of seizure disorders for worsened seizure control during morphine sulfate therapy.

5.2 Opioid Analgesic Risk Evaluation and Mitigation Strategy (rems)

To ensure that the benefits of opioid analgesics outweigh the risks of addiction, abuse, and misuse, the Food and Drug Administration (FDA) has required a Risk Evaluation and Mitigation Strategy (REMS) for these products. Under the requirements of the REMS, drug companies with approved opioid analgesic products must make REMS-compliant education programs available to healthcare providers. Healthcare providers are strongly encouraged to do all of the following:

  • Complete a REMS-compliant education program offered by an accredited provider of continuing education (CE) or another education program that includes all the elements of the FDA Education Blueprint for Health Care Providers Involved in the Management or Support of Patients with Pain.
  • Discuss the safe use, serious risks, and proper storage and disposal of opioid analgesics with patients and/or their caregivers every time these medicines are prescribed. The Patient Counseling Guide (PCG) can be obtained at this link: http://www.fda.gov/OpioidAnalgesicREMSPCG.
  • Emphasize to patients and their caregivers the importance of reading the Medication Guide that they will receive from their pharmacist every time an opioid analgesic is dispensed to them.
  • Consider using other tools to improve patient, household, and community safety, such as patient-prescriber agreements that reinforce patient-prescriber responsibilities.

To obtain further information on the opioid analgesic REMS and for a list of accredited REMS CME/CE, call 1-800-503-0784, or log on to www.opioidanalgesicrems.com. The FDA Blueprint can be found at www.fda.gov/OpioidAnalgesicREMSBlueprint.

5.5 Risks From Concomitant Use With Benzodiazepines Or Other Cns Depressants

Profound sedation, respiratory depression, coma, and death may result from the concomitant use of morphine sulfate with benzodiazepines and/or other CNS depressants, including alcohol (e.g., non-benzodiazepine sedatives/hypnotics, anxiolytics, tranquilizers, muscle relaxants, general anesthetics, antipsychotics, other opioids, alcohol). Because of these risks, reserve concomitant prescribing of these drugs for use in patients for whom alternative treatment options are inadequate.

Observational studies have demonstrated that concomitant use of opioid analgesics and benzodiazepines increases the risk of drug-related mortality compared to use of opioid analgesics alone. Because of similar pharmacological properties, it is reasonable to expect similar risk with the concomitant use of other CNS depressant drugs with opioid analgesics [see Drug Interactions (7)].

If the decision is made to prescribe a benzodiazepine or other CNS depressant concomitantly with an opioid analgesic, prescribe the lowest effective dosages and minimum durations of concomitant use. In patients already receiving an opioid analgesic, prescribe a lower initial dose of the benzodiazepine or other CNS depressant than indicated in the absence of an opioid, and titrate based on clinical response. If an opioid analgesic is initiated in a patient already taking a benzodiazepine or other CNS depressant, prescribe a lower initial dose of the opioid analgesic, and titrate based on clinical response. Follow patients closely for signs and symptoms of respiratory depression and sedation.

If concomitant use is warranted, consider prescribing naloxone for the emergency treatment of opioid overdose [see Dosage and Administration (2.2), Warnings and Precautions (5.3)].

Advise both patients and caregivers about the risks of respiratory depression and sedation when morphine sulfate is used with benzodiazepines or other CNS depressants (including alcohol and illicit drugs). Advise patients not to drive or operate heavy machinery until the effects of concomitant use of the benzodiazepine or other CNS depressant have been determined. Screen patients for risk of substance use disorders, including opioid abuse and misuse, and warn them of the risk for overdose and death associated with the use of additional CNS depressants including alcohol and illicit drugs [see Drug Interactions (7), Patient Counseling Information (17)].

2.2 Patient Access to Naloxone for the Emergency Treatment of Opioid Overdose

Discuss the availability of naloxone for the emergency treatment of opioid overdose with the patient and caregiver and assess the potential need for access to naloxone, both when initiating and renewing treatment with morphine sulfate extended-release tablets [see Warnings and Precautions (5.3), Patient Counseling Information (17)].

Inform patients and caregivers about the various ways to obtain naloxone as permitted by individual state naloxone dispensing and prescribing requirements or guidelines (e.g., by prescription, directly from a pharmacist, or as part of a community-based program).

Consider prescribing naloxone, based on the patient’s risk factors for overdose, such as concomitant use of CNS depressants, a history of opioid use disorder, or prior opioid overdose. The presence of risk factors for overdose should not prevent the proper management of pain in any given patient [see Warnings and Precautions (5.1, 5.3, 5.5)].

Consider prescribing naloxone if the patient has household members (including children) or other close contacts at risk for accidental ingestion or overdose.

2.6 Safe Reduction Or Discontinuation of Morphine Sulfate Extended Release Tablets

Do not abruptly discontinue morphine sulfate extended-release tablets in patients who may be physically dependent on opioids. Rapid discontinuation of opioid analgesics in patients who are physically dependent on opioids has resulted in serious withdrawal symptoms, uncontrolled pain, and suicide. Rapid discontinuation has also been associated with attempts to find other sources of opioid analgesics, which may be confused with drug-seeking for abuse. Patients may also attempt to treat their pain or withdrawal symptoms with illicit opioids, such as heroin, and other substances.

When a decision has been made to decrease the dose or discontinue therapy in an opioid-dependent patient taking morphine sulfate extended-release tablets, there are a variety of factors that should be considered, including the total daily dose of opioid (including morphine sulfate extended-release tablets) the patient has been taking, the duration of treatment, the type of pain being treated, and the physical and psychological attributes of the patient. It is important to ensure ongoing care of the patient and to agree on an appropriate tapering schedule and follow-up plan so that patient and provider goals and expectations are clear and realistic. When opioid analgesics are being discontinued due to a suspected substance use disorder, evaluate and treat the patient, or refer for evaluation and treatment of the substance use disorder. Treatment should include evidence-based approaches, such as medication assisted treatment of opioid use disorder. Complex patients with co-morbid pain and substance use disorders may benefit from referral to a specialist.

There are no standard opioid tapering schedules that are suitable for all patients. Good clinical practice dictates a patient-specific plan to taper the dose of the opioid gradually. For patients on morphine sulfate extended-release tablets who are physically opioid-dependent, initiate the taper by a small enough increment (e.g., no greater than 10% to 25% of the total daily dose) to avoid withdrawal symptoms, and proceed with dose-lowering at an interval of every 2 to 4 weeks. Patients who have been taking opioids for briefer periods of time may tolerate a more rapid taper.

It may be necessary to provide the patient with lower dosage strengths to accomplish a successful taper. Reassess the patient frequently to manage pain and withdrawal symptoms, should they emerge. Common withdrawal symptoms include restlessness, lacrimation, rhinorrhea, yawning, perspiration, chills, myalgia, and mydriasis. Other signs and symptoms also may develop, including irritability, anxiety, backache, joint pain, weakness, abdominal cramps, insomnia, nausea, anorexia, vomiting, diarrhea, or increased blood pressure, respiratory rate, or heart rate. If withdrawal symptoms arise, it may be necessary to pause the taper for a period of time or raise the dose of the opioid analgesic to the previous dose, and then proceed with a slower taper. In addition, monitor patients for any changes in mood, emergence of suicidal thoughts, or use of other substances.

When managing patients taking opioid analgesics, particularly those who have been treated for a long duration and/or with high doses for chronic pain, ensure that a multimodal approach to pain management, including mental health support (if needed), is in place prior to initiating an opioid analgesic taper. A multimodal approach to pain management may optimize the treatment of chronic pain, as well as assist with the successful tapering of the opioid analgesic [see Warnings and Precautions (5.13), Drug Abuse and Dependence (9.3)].

2.5 Dosage Modifications With Concomitant Use of Central Nervous System Depressants

If the patient is currently taking a central nervous system (CNS) depressant and the decision is made to begin morphine sulfate, start with the lowest possible dose, 15 mg every 12 hours, monitor patients for signs of respiratory depression, sedation, and hypotension, and consider using a lower dosage of the concomitant CNS depressant [see Warnings and Precautions (5.5), Drug Interactions (7)].

5.10 Risks of Use in Patients With Increased Intracranial Pressure, Brain Tumors, Head Injury, Or Impaired Consciousness

In patients who may be susceptible to the intracranial effects of CO2 retention (e.g., those with evidence of increased intracranial pressure or brain tumors), morphine sulfate may reduce respiratory drive, and the resultant CO2 retention can further increase intracranial pressure. Monitor such patients for signs of sedation and respiratory depression, particularly when initiating therapy with morphine sulfate.

Opioids may also obscure the clinical course in a patient with a head injury. Avoid the use of morphine sulfate in patients with impaired consciousness or coma.

5.6 Risk of Life Threatening Respiratory Depression in Patients With Chronic Pulmonary Disease Or in Elderly, Cachectic, Or Debilitated Patients

The use of morphine sulfate in patients with acute or severe bronchial asthma in an unmonitored setting or in the absence of resuscitative equipment is contraindicated.

Patients with Chronic Pulmonary Disease: Morphine sulfate -treated patients with significant chronic obstructive pulmonary disease or cor pulmonale, and those with a substantially decreased respiratory reserve, hypoxia, hypercapnia, or pre-existing respiratory depression are at increased risk of decreased respiratory drive including apnea, even at recommended dosages of morphine sulfate [see Warnings and Precautions (5.3)].

Elderly, Cachectic, or Debilitated Patients: Life-threatening respiratory depression is more likely to occur in elderly, cachectic, or debilitated patients as they may have altered pharmacokinetics or altered clearance compared to younger, healthier patients [see Warnings and Precautions (5.3)].

Monitor such patients closely, particularly when initiating and titrating morphine sulfate and when morphine sulfate is given concomitantly with other drugs that depress respiration [see Warnings and Precautions (5.3)]. Alternatively, consider the use of non-opioid analgesics in these patients.

Warning: Addiction, Abuse, and Misuse; Risk Evaluation and Mitigation Strategy (rems); Life Threatening Respiratory Depression; Accidental Ingestion; Neonatal Opioid Withdrawal Syndrome; and Risks From Concomitant Use With Benzodiazepines Or Other Cns Depressants

Addiction, Abuse, and Misuse

Morphine sulfate exposes patients and other users to the risks of opioid addiction, abuse, and misuse, which can lead to overdose and death. Assess each patient’s risk prior to prescribing morphine sulfate extended-release tablets, and monitor all patients regularly for the development of these behaviors and conditions [see Warnings and Precautions (5.1)].

Opioid Analgesic Risk Evaluation and Mitigation Strategy (REMS):

To ensure that the benefits of opioid analgesics outweigh the risks of addiction, abuse, and misuse, the Food and Drug Administration (FDA) has required a REMS for these products [see Warnings and Precautions (5.2)]. Under the requirements of the REMS, drug companies with approved opioid analgesic products must make REMS-compliant education programs available to healthcare providers. Healthcare providers are strongly encouraged to:

  • complete a REMS-compliant education program,
  • counsel patients and/or their caregivers, with every prescription, on safe use, serious risks, storage, and disposal of these products,
  • emphasize to patients and their caregivers the importance of reading the Medication Guide every time it is provided by their pharmacist, and
  • consider other tools to improve patient, household, and community safety.

Life-Threatening Respiratory Depression

Serious, life-threatening, or fatal respiratory depression may occur with use of morphine sulfate. Monitor for respiratory depression, especially during initiation of morphine sulfate or following a dose increase.Instruct patients to swallow morphine sulfate extended-release tablets whole; crushing, chewing, or dissolving morphine sulfate extended-release tablets can cause rapid release and absorption of a potentially fatal dose of morphine [see Warnings and Precautions (5.3)].

Accidental Ingestion

Accidental ingestion of even one dose of morphine sulfate, especially by children, can result in a fatal overdose of morphine [see Warnings and Precautions (5.3)].

Neonatal Opioid Withdrawal Syndrome (NOWS)

Prolonged use of morphine sulfate during pregnancy can result in neonatal opioid withdrawal syndrome, which may be life-threatening if not recognized and treated, and requires management according to protocols developed by neonatology experts. If opioid use is required for a prolonged period in a pregnant woman, advise the patient of the risk of neonatal opioid withdrawal syndrome and ensure that appropriate treatment will be available [see Warnings and Precautions (5.4)].

Risks From Concomitant Use With Benzodiazepines Or Other CNS Depressants

Concomitant use of opioids with benzodiazepines or other central nervous system (CNS) depressants, including alcohol, may result in profound sedation, respiratory depression, coma, and death [see Warnings and Precautions (5.5), Drug Interactions (7)].

  • Reserve concomitant prescribing of morphine sulfate and benzodiazepines or other CNS depressants for use in patients for whom alternative treatment options are inadequate.
  • Limit dosages and durations to the minimum required.
  • Follow patients for signs and symptoms of respiratory depression and sedation.

Structured Label Content

Section 43683-2 (43683-2)

Boxed Warning                                                                         09/2023

Dosage and Administration (2.4, 2.6)                                          09/2023

Warnings and Precautions (5.1, 5.5)                                            09/2023

Section 51945-4 (51945-4)

Morphine Sulfate ER 30 mg (CII) Tablet

9.2 Abuse

Morphine sulfate extended-release tablets contains morphine, a substance with a high potential for abuse similar to other opioids including fentanyl, hydrocodone, hydromorphone, methadone, oxycodone, oxymorphone, and tapentadol. Morphine sulfate can be abused and is subject to misuse, addiction, and criminal diversion [see Warnings and Precautions (5.1)].

The high drug content in extended-release formulations adds to the risk of adverse outcomes from abuse and misuse.

All patients treated with opioids require careful and frequent reevaluation for signs of misuse, abuse, and addiction, because use of opioid analgesic products carries the risk of addiction even under appropriate medical use. Patients at high risk of morphine sulfate extended-release tablets abuse include those with a history of prolonged use of any opioid, including products containing morphine sulfate, those with a history of drug or alcohol abuse, or those who use morphine sulfate extended-release tablets in combination with other abused drugs.

Prescription drug abuse is the intentional non-therapeutic use of an over-the-counter or prescription drug, even once, for its rewarding psychological or physiological effects. Drug addiction is a cluster of behavioral, cognitive, and physiological phenomena that develop after repeated substance use and includes: a strong desire to take the drug, difficulties in controlling its use, persisting in its use despite harmful consequences, a higher priority given to drug use than to other activities and obligations, increased tolerance, and sometimes a physical withdrawal.

“Drug-seeking” behavior is very common in persons with substance use disorders. Drug-seeking tactics include emergency calls or visits near the end of office hours, refusal to undergo appropriate examination, testing, or referral, repeated “loss” of prescriptions, tampering with prescriptions and reluctance to provide prior medical records or contact information for other healthcare provider(s). “Doctor shopping” (visiting multiple prescribers to obtain additional prescriptions) is common among drug abusers and people suffering from untreated addiction. Preoccupation with achieving adequate pain relief can be appropriate behavior in a patient with poor pain control.

Abuse and addiction are separate and distinct from physical dependence and tolerance. Healthcare providers should be aware that addiction may not be accompanied by concurrent tolerance and symptoms of physical dependence in all addicts. In addition, abuse of opioids can occur in the absence of true addiction.

Morphine sulfate, like other opioids, can be diverted for nonmedical use into illicit channels of distribution. Careful record-keeping of prescribing information, including quantity, frequency, and renewal requests, as required by state federal law, is strongly advised.

Proper assessment of the patient, proper prescribing practices, periodic reevaluation of therapy, and proper dispensing and storage are appropriate measures that help to limit abuse of opioid drugs.

Risks Specific to Abuse of Morphine Sulfate

Morphine sulfate extended-release tablets are for oral use only. Abuse of morphine sulfate poses a risk of overdose and death. This is increased with concurrent use of morphine sulfate with alcohol and/or other CNS depressants.  Taking cut, broken, chewed, crushed, or dissolved morphine sulfate extended-release tablets enhances drug release and increases the risk of overdose and death. 

Due to the presence of talc as one of the excipients in morphine sulfate, with parenteral abuse the inactive ingredients can result in local tissue necrosis, infection, pulmonary granulomas, increased risk of endocarditis and valvular heart injury, embolism, and death. Parenteral drug abuse is commonly associated with transmission of infectious diseases such as hepatitis and HIV.

10 Overdosage (10 OVERDOSAGE)

Clinical Presentation

Acute overdosage with morphine can be manifested by respiratory depression, somnolence progressing to stupor or coma, skeletal muscle flaccidity, cold and clammy skin, constricted pupils, and, in some cases, pulmonary edema, bradycardia, hypotension, partial or complete airway obstruction, atypical snoring, and death. Marked mydriasis rather than miosis may be seen with hypoxia in overdose situations.

Treatment of Overdose

In case of overdose, priorities are the reestablishment of a patent and protected airway and institution of assisted or controlled ventilation, if needed.  Employ other supportive measures (including oxygen and vasopressors) in the management of circulatory shock and pulmonary edema as indicated. Cardiac arrest or arrhythmias will require advanced life support measures.

Opioid antagonists, such as naloxone, are specific antidotes to respiratory depression resulting from opioid overdose. For clinically significant respiratory or circulatory depression secondary to opioid overdose, administer an opioid antagonist.

Because the duration of reversal would be expected to be less than the duration of action of morphine in morphine sulfate, carefully monitor the patient until spontaneous respiration is reliably reestablished. Morphine sulfate will continue to release morphine and add to the morphine load for 24 to 48 hours or longer following ingestion, necessitating prolonged monitoring.  If the response to opioid antagonists is suboptimal or only brief in nature, administer additional antagonist as directed by the product’s prescribing information.

In an individual physically dependent on opioids, administration of the recommended usual dosage of the antagonist will precipitate an acute withdrawal syndrome. The severity of the withdrawal symptoms experienced will depend on the degree of physical dependence and the dose of the antagonist administered. If a decision is made to treat serious respiratory depression in the physically dependent patient, administration of the antagonist should be initiated with care and by titration with smaller than usual doses of the antagonist.

8.1 Pregnancy

Risk Summary

Prolonged use of opioid analgesics during pregnancy may cause neonatal withdrawal syndrome [see Warnings and Precautions (5.4)]. There are no available data with morphine sulfate in pregnant women to inform a drug-associated risk for major birth defects and miscarriage. Published studies with morphine use during pregnancy have not reported a clear association with morphine and major birth defects [see Human Data]. In published animal reproduction studies, morphine administered subcutaneously during the early gestational period produced neural tube defects (i.e., exencephaly and cranioschisis) at 5 and 16 times the human daily dose of 60 mg based on body surface area (HDD) in hamsters and mice, respectively, lower fetal body weight and increased incidence of abortion at 0.4 times the HDD in the rabbit, growth retardation at 6 times the HDD in the rat, and axial skeletal fusion and cryptorchidism at 16 times the HDD in the mouse. Administration of morphine sulfate to pregnant rats during organogenesis and through lactation resulted in cyanosis, hypothermia, decreased brain weights, pup mortality, decreased pup body weights, and adverse effects on reproductive tissues at 3 to 4 times the HDD; and long-term neurochemical changes in the brain of offspring which correlate with altered behavioral responses that persist through adulthood at exposures comparable to and less than the HDD [see Animal Data]. Based on animal data, advise pregnant women of the potential risk to a fetus. The estimated background risk of major birth defects and miscarriage for the indicated population is unknown. All pregnancies have a background risk of birth defect, loss, or other adverse outcomes. In the U.S. general population, the estimated background risk of major birth defects and miscarriage in clinically recognized pregnancies is 2 to 4% and 15 to 20%, respectively.

Clinical Considerations

Fetal/Neonatal Adverse Reactions

Prolonged use of opioid analgesics during pregnancy for medical or nonmedical purposes can result in physical dependence in the neonate and neonatal opioid withdrawal syndrome shortly after birth. Neonatal opioid withdrawal syndrome presents as irritability, hyperactivity and abnormal sleep pattern, high pitched cry, tremor, vomiting, diarrhea, and failure to gain weight. The onset, duration, and severity of neonatal opioid withdrawal syndrome vary based on the specific opioid used, duration of use, timing and amount of last maternal use, and rate of elimination of the drug by the newborn. Observe newborns for symptoms of neonatal opioid withdrawal syndrome and manage accordingly [see Warnings and Precautions (5.4)].

Labor or Delivery

Opioids cross the placenta and may produce respiratory depression and psycho-physiologic effects in neonates. An opioid antagonist, such as naloxone, must be available for reversal of opioid-induced respiratory depression in the neonate. Morphine sulfate is not recommended for use in pregnant women during or immediately prior to labor, when use of shorter-acting analgesics or other analgesic techniques are more appropriate. Opioid analgesics, including morphine sulfate, can prolong labor through actions which temporarily reduce the strength, duration, and frequency of uterine contractions. However, this effect is not consistent and may be offset by an increased rate of cervical dilation, which tends to shorten labor. Monitor neonates exposed to opioid analgesics during labor for signs of excess sedation and respiratory depression.

Data

Human Data

The results from a population-based prospective cohort, including 70 women exposed to morphine during the first trimester of pregnancy and 448 women exposed to morphine at any time during pregnancy, indicate no increased risk for congenital malformations. However, these studies cannot definitely establish the absence of any risk because of methodological limitations, including small sample size and non-randomized study design.

Animal Data

Formal reproductive and developmental toxicology studies for morphine have not been conducted. Exposure margins for the following published study reports are based on human daily dose of 60 mg morphine using a body surface area comparison (HDD).

Neural tube defects (exencephaly and cranioschisis) were noted following subcutaneous administration of morphine sulfate (35-322 mg/kg) on Gestation Day 8 to pregnant hamsters (4.7 to 43.5 times the HDD). A no adverse effect level was not defined in this study and the findings cannot be clearly attributed to maternal toxicity. Neural tube defects (exencephaly), axial skeletal fusions, and cryptorchidism were reported following a single subcutaneous (SC) injection of morphine sulfate to pregnant mice (100-500 mg/kg) on Gestation Day 8 or 9 at 200 mg/kg or greater (16 times the HDD) and fetal resorption at 400 mg/kg or higher (32 times the HDD). No adverse effects were noted following 100 mg/kg morphine in this model (8 times the HDD). In one study, following continuous subcutaneous infusion of doses greater than or equal to 2.72 mg/kg to mice (0.2 times the HDD), exencephaly, hydronephrosis, intestinal hemorrhage, split supraoccipital, malformed sternebrae, and malformed xiphoid were noted. The effects were reduced with increasing daily dose; possibly due to rapid induction of tolerance under these infusion conditions. The clinical significance of this report is not clear.

Decreased fetal weights were observed in pregnant rats treated with 20 mg/kg/day morphine sulfate (3.2 times the HDD) from Gestation Day 7 to 9. There was no evidence of malformations despite maternal toxicity (10% mortality). In a second rat study, decreased fetal weight and increased incidences of growth retardation were noted at 35 mg/kg/day (5.7 times the HDD) and there was a reduced number of fetuses at 70 mg/kg/day (11.4 times the HDD) when pregnant rats were treated with 10, 35, or 70 mg/kg/day morphine sulfate via continuous infusion from Gestation Day 5 to 20. There was no evidence of fetal malformations or maternal toxicity.

An increased incidence of abortion was noted in a study in which pregnant rabbits were treated with 2.5 (0.8 times the HDD) to 10 mg/kg morphine sulfate via subcutaneous injection from Gestation Day 6 to 10. In a second study, decreased fetal body weights were reported following treatment of pregnant rabbits with increasing doses of morphine (10-50 mg/kg/day) during the pre-mating period and 50 mg/kg/day (16 times the HDD) throughout the gestation period. No overt malformations were reported in either publication; although only limited endpoints were evaluated.

In published studies in rats, exposure to morphine during gestation and/or lactation periods is associated with: decreased pup viability at 12.5 mg/kg/day or greater (2 times the HDD); decreased pup body weights at 15 mg/kg/day or greater (2.4 times the HDD); decreased litter size, decreased absolute brain and cerebellar weights, cyanosis, and hypothermia at 20 mg/kg/day (3.2 times the HDD); alteration of behavioral responses (play, social-interaction) at 1 mg/kg/day or greater (0.2 times the HDD); alteration of maternal behaviors (e.g., decreased nursing and pup retrievals) in mice at 1 mg/kg or higher (0.08 times the HDD) and rats at 1.5 mg/kg/day or higher (0.2 times the HDD); and a host of behavioral abnormalities in the offspring of rats, including altered responsiveness to opioids at 4 mg/kg/day (0.7 times the HDD) or greater.

Fetal and/or postnatal exposure to morphine in mice and rats has been shown to result in morphological changes in fetal and neonatal brain and neuronal cell loss, alteration of a number of neurotransmitter and neuromodulator systems, including opioid and non-opioid systems, and impairment in various learning and memory tests that appear to persist into adulthood. These studies were conducted with morphine treatment usually in the range of 4 to 20 mg/kg/day (0.7 to 3.2 times the HDD).

Additionally, delayed sexual maturation and decreased sexual behaviors in female offspring at 20 mg/kg/day (3.2 times the HDD), and decreased plasma and testicular levels of luteinizing hormone and testosterone, decreased testes weights, seminiferous tubule shrinkage, germinal cell aplasia, and decreased spermatogenesis in male offspring were also observed at 20 mg/kg/day (3.2 times the HDD). Decreased litter size and viability were observed in the offspring of male rats that were intraperitoneally administered morphine sulfate for 1 day prior to mating at 25 mg/kg/day (4.1 times the HDD) and mated to untreated females. Decreased viability and body weight and/or movement deficits in both first and second generation offspring were reported when male mice were treated for 5 days with escalating doses of 120 to 240 mg/kg/day morphine sulfate (9.7 to 19.5 times the HDD) or when female mice treated with escalating doses of 60 to 240 mg/kg/day (4.9 to 19.5 times the HDD) followed by a 5-day treatment-free recovery period prior to mating. Similar multigenerational findings were also seen in female rats pre-gestationally treated with escalating doses of 10 to 22 mg/kg/day morphine (1.6 to 3.6 times the HDD). 

8.2 Lactation

Risk Summary

Morphine is present in breast milk. Published lactation studies report variable concentrations of morphine in breast milk with administration of immediate-release morphine to nursing mothers in the early postpartum period with a milk-to-plasma morphine AUC ratio of 2.5:1 measured in one lactation study. However, there is insufficient information to determine the effects of morphine on the breastfed infant and the effects of morphine on milk production. Lactation studies have not been conducted with extended-release morphine, including morphine sulfate. Because of the potential for serious adverse reactions, including excess sedation and respiratory depression in a breastfed infant, advise patients that breastfeeding is not recommended during treatment with morphine sulfate.

Clinical Considerations

Monitor infants exposed to morphine sulfate through breast milk for excess sedation and respiratory depression. Withdrawal symptoms can occur in breastfed infants when maternal administration of an opioid analgesic is stopped, or when breast-feeding is stopped.

11 Description (11 DESCRIPTION)

Morphine sulfate extended-release tablets are for oral use and contains morphine sulfate, an opioid agonist.

Each tablet contains the following inactive ingredients common to all strengths: colloidal silicon dioxide, hypromellose, lactose monohydrate, magnesium stearate, povidone, stearic acid, talc and titanium dioxide.

The tablet strengths describe the amount of morphine per tablet as the pentahydrated sulfate salt (morphine sulfate, USP).

The 15 mg tablets also contain: FD&C Blue # 2/Indigo carmine aluminum lake, ferrosoferric oxide, macrogol/PEG 4000 and macrogol/PEG 400

The 30 mg tablets also contain: D&C Red # 27/Phloxine aluminum lake, FD&C Blue # 2/Indigo carmine aluminum lake, macrogol/PEG 4000 and macrogol/PEG 400

The 60 mg tablets also contain: FD&C Yellow # 6 aluminum lake and macrogol/PEG 4000 and macrogol/PEG 400

The 100 mg tablets also contain: FD&C Blue # 2/Indigo carmine aluminum lake, ferrosoferric oxide, ferric oxide yellow, macrogol/PEG 4000 and macrogol/PEG 400

The 200 mg tablets also contain: D&C Yellow # 10 aluminum lake, FD&C Blue # 2/Indigo carmine aluminum lake, macrogol/PEG 4000 and macrogol/PEG 400

Morphine sulfate, USP are white, feathery, silky crystals, cubical masses of crystals, or white crystalline powder, soluble in water, freely soluble in hot water, slightly soluble in alcohol but more so in hot alcohol, insoluble in chloroform and in ether. The octanol: water partition coefficient of morphine is 1.42 at physiologic pH and the pKb is 7.9 for the tertiary nitrogen (mostly ionized at pH 7.4). Its molecular weight is 758.83 and its structural formula is:

9.3 Dependence

Both tolerance and physical dependence can develop during chronic opioid therapy. Tolerance is the need for increasing doses of opioids to maintain a defined effect such as analgesia (in the absence of disease progression or other external factors).  Tolerance may occur to both the desired and undesired effects of drugs, and may develop at different rates for different effects.

Physical dependence is a physiological state in which the body adapts to the drug after a period of regular exposure, resulting in withdrawal symptoms after abrupt discontinuation or a significant dosage reduction of a drug.  Withdrawal also may be precipitated through the administration of drugs with opioid antagonist activity, (e.g., naloxone, nalmefene), mixed agonist/antagonist analgesics (e.g., pentazocine, butorphanol, nalbuphine), or partial agonists (e.g., buprenorphine). Physical dependence may not occur to a clinically significant degree until after several days to weeks of continued opioid usage.

Do not abruptly discontinue morphine sulfate in a patient physically dependent on opioids. Rapid tapering of morphine sulfate in a patient physically dependent on opioids may lead to serious withdrawal symptoms, uncontrolled pain, and suicide. Rapid discontinuation has also been associated with attempts to find other sources of opioid analgesics, which may be confused with drug-seeking for abuse.

When discontinuing morphine sulfate, gradually taper the dosage using a patient-specific plan that considers the following: the dose of morphine sulfate the patient has been taking, the duration of treatment, and the physical and psychological attributes of the patient. To improve the likelihood of a successful taper and minimize withdrawal symptoms, it is important that the opioid tapering schedule is agreed upon by the patient. In patients taking opioids for a long duration at high doses, ensure that a multimodal approach to pain management, including mental health support (if needed), is in place prior to initiating an opioid analgesic taper [see Dosage and Administration (2.6), Warnings and Precautions (5.13)].

Infants born to mothers physically dependent on opioids will also be physically dependent and may exhibit respiratory difficulties and withdrawal signs [see Use in Specific Populations (8.1)].

5.13 Withdrawal

Do not abruptly discontinue morphine sulfate in a patient physically dependent on opioids. When discontinuing morphine sulfate in a physically dependent patient, gradually taper the dosage. Rapid tapering of morphine in a patient physically dependent on opioids may lead to a withdrawal syndrome and return of pain [see Dosage and Administration (2.5), Drug Abuse and Dependence (9.3)].

Additionally, avoid the use of mixed agonist/antagonist (e.g., pentazocine, nalbuphine, and butorphanol) or partial agonist (e.g., buprenorphine) analgesics in patients who have received or are receiving a course of therapy with a full opioid agonist analgesic, including morphine sulfate. In these patients, mixed agonists/antagonist and partial agonist analgesics may reduce the analgesic effect and/or may precipitate withdrawal symptoms [see Drug Interactions (7)] .

Medication Guide (MEDICATION GUIDE)

MEDICATION GUID

MORPHINE (MOR feen) SULFATE EXTENDED-RELEASE TABLETS, CII

Rx only

Morphine sulfate extended-release tablets are:

  • A strong prescription pain medicine that contains an opioid (narcotic) that is used to manage severe and persistent pain that requires an extended treatment period with a daily opioid pain medicine when other do not treat your pain well enough or you cannot tolerate them.
  • A long-acting (extended-release) opioid pain medicine that can put you at risk for overdose and death. Even if you take your dose correctly as prescribed you are at risk for opioid addiction, abuse, and misuse that can lead to death.
  • Not for use to treat pain that is not around-the-clock.

Important information about morphine sulfate extended-release tablets:

  • Get emergency help or call 911 right away if you take too much morphine sulfate extended-release tablets (overdose). When you first start taking morphine sulfate extended-release tablets, when your dose is changed, or if you take too much (overdose), serious or life-threatening breathing problems that can lead to death may occur. Talk to your healthcare provider about naloxone, a medicine for the emergency treatment of an opioid overdose.
  • Taking morphine sulfate extended-release tablets with other opioid medicines, benzodiazepines, alcohol, or other central nervous system depressants (including street drugs) can cause severe drowsiness, decreased awareness, breathing problems, coma, and death.
  • Never give anyone else your morphine sulfate extended-release tablets. They could die from taking it. Selling or giving away morphine sulfate extended-release tablets is against the law.
  • Store morphine sulfate extended-release tablets securely, out of sight and reach of children, and in a location not accessible by others, including visitors to the home.

Do not take morphine sulfate extended-release tablets if you have:

  • severe asthma, trouble breathing, or other lung problems.
  • a bowel blockage or have narrowing of the stomach or intestines.

Before taking morphine sulfate extended-release tablets, tell your healthcare provider if you have a history of:

 • head injury, seizures     • liver, kidney, thyroid problems
 • problems urinating     • pancreas or gallbladder problems

 • abuse of street or prescription drugs, alcohol addiction,

opioid overdose, or mental health problems.

Tell your healthcare provider if you are:

  • noticing your pain getting worse. If your pain gets worse after you take morphine sulfate extended-release tablets, do not take more of morphine sulfate extended-release tablets without first talking to your healthcare provider. Talk to your healthcare provider if the pain that you have increases, if you feel more sensitive to pain, or if you have new pain after taking morphine sulfate extended-release tablets.
  • pregnant or planning to become pregnant.  Prolonged use of morphine sulfate extended-release tablets during pregnancy can cause withdrawal symptoms in your newborn baby that could be life-threatening if not recognized and treated.
  • breastfeeding. Not recommended during treatment with morphine sulfate. It may harm your baby living in a household where there are small children or someone who has abused street or prescription drugs
  • taking prescription or over-the-counter medicines, vitamins, or herbal supplements. Taking morphine sulfate extended-release tablets with certain other medicines can cause serious side effects.

When taking morphine sulfate extended-release tablets:

  • Do not change your dose. Take morphine sulfate extended-release tablets exactly as prescribed by your healthcare provider. Use the lowest dose possible for the shortest duration.
  • Take your prescribed dose every 8 to 12 hours, as directed by your healthcare provider. Do not take more than your prescribed dose. If you miss a dose, take your next dose at the usual time.
  • Swallow morphine sulfate extended-release tablets whole. Do not cut, break, chew, crush, dissolve, snort, or inject morphine sulfate extended-release tablets because this may cause you to overdose and die.
  • Call your healthcare provider if the dose you are ta king does not control your pain.
  • Do not stop taking morphine sulfate extended-release tablets without talking to your healthcare provider.

Dispose of expired, unwanted, or unused morphine sulfate extended-release tablets by taking your drug to an authorized DEA-registered collector or drug take-back program. If one is not available, you can dispose of morphine sulfate extended-release tablets by mixing the product with dirt, cat litter, or coffee grounds; placing the mixture in a sealed plastic bag, and throwing the bag in your trash. Visit www.fda.gov/drugdisposal for additional information on disposal of unused medicines.

While taking morphine sulfate extended-release tablets DO NOT:

  • Drive or operate heavy machinery,until you know how morphine sulfate extended-release tablets affect you. Morphine sulfate extended-release tablets can make you sleepy, dizzy, or lightheaded.
  • Drink alcohol or use prescription or over-the-counter medicines that contain alcohol. Using products containing alcohol during treatment with morphine sulfate extended-release tablets may cause you to overdose and die.

The possible side effects of morphine sulfate extended-release tablets are:

  • Constipation, nausea, sleepiness, vomiting, tiredness, headache, dizziness, abdominal pain. Call your healthcare provider if you have any of these symptoms and they are severe.

Get emergency medical help or call 911 right away if you have:

  • trouble breathing, shortness of breath, fast heartbeat, chest pain, swelling of your face, tongue or throat, extreme drowsiness, light-headedness when changing positions, feeling faint, agitation, high body temperature, trouble walking, stiff muscles, or mental changes such as confusion.

These are not all the possible side effects of morphine sulfate extended-release tablets. Call your healthcare provider for medical advice about side effects. You may report side effects to FDA at 1-800-FDA-1088. For more information go to dailymed.nlm.nih.gov

This Medication Guide has been approved by the U.S. Food and Drug Administration.

Manufactured by:

Ohm Laboratories Inc.

New Brunswick, NJ 08901

Distributed by:

Sun Pharmaceutical Industries, Inc.

Cranbury, NJ 08512

www.sunpharma.com or call 1-800-818-4555

September 2023                                 

FDA-10

8.4 Pediatric Use

The safety and effectiveness in pediatric patients below the age of 18 have not been established.

8.5 Geriatric Use

The pharmacokinetics of morphine sulfate have not been studied in elderly patients.  Clinical studies of morphine sulfate did not include sufficient numbers of subjects aged 65 and over to determine whether they respond differently from younger subjects. 

Elderly patients (aged 65 years or older) may have increased sensitivity to morphine. In general, use caution when selecting a dosage for an elderly patient, usually starting at the low end of the dosing range, reflecting the greater frequency of decreased hepatic, renal, or cardiac function and of concomitant disease or other drug therapy.

Respiratory depression is the chief risk for elderly patients treated with opioids, and has occurred after large initial doses were administered to patients who were not opioid-tolerant or when opioids were co-administered with other agents that depress respiration. Titrate the dosage of morphine sulfate slowly in geriatric patients and monitor closely for signs of central nervous system and respiratory depression [see Warnings and Precautions (5.6)].

Morphine is known to be substantially excreted by the kidney, and the risk of adverse reactions to this drug may be greater in patients with impaired renal function. Because elderly patients are more likely to have decreased renal function, care should be taken in dose selection, and it may be useful to monitor renal function.

2.3 Initial Dosage

Use of Morphine Sulfate Extended-Release Tablets as the First Opioid Analgesic (opioid-naïve patients)

Initiate treatment with morphine sulfate extended-release tablets with 15 mg tablets orally every 8 or 12 hours.

Use of Morphine Sulfate Extended-Release Tablets in Patients who are not Opioid Tolerant (opioid non-tolerant patients)

The starting dose for patients who are not opioid tolerant is morphine sulfate extended-release tablets 15 mg orally every 12 hours.

Use of higher starting doses in patients who are not opioid tolerant may cause fatal respiratory depression.

Conversion from Other Oral Morphine to Morphine Sulfate Extended-Release Tablets

Patients receiving other oral morphine formulations may be converted to morphine sulfate extended-release tablets by administering one-half of the patient's 24-hour requirement as morphine sulfate extended-release tablets on an every-12-hour schedule or by administering one-third of the patient's daily requirement as morphine sulfate extended-release tablets on an every-8-hour schedule. 

Conversion from Other Opioids to Morphine Sulfate Extended-Release Tablets

Discontinue all other around-the-clock opioid drugs when morphine sulfate extended-release tablets therapy is initiated. There are no established conversion ratios for conversion from other opioids to morphine sulfate extended-release tablets defined by clinical trials. Initiate dosing using morphine sulfate extended-release tablets 15 mg orally every 8 to 12 hours.

It is safer to underestimate a patient’s 24-hour oral morphine dosage and provide rescue medication (e.g., immediate-release opioid) than to overestimate the 24-hour oral morphine dosage and manage an adverse reaction due to an overdose. While useful tables of opioid equivalents are readily available, there is inter-patient variability in the potency of opioid drugs and opioid formulations. Close observation and frequent titration are warranted until pain management is stable on the new opioid. Monitor patients for signs and symptoms of opioid withdrawal and for signs of oversedation/toxicity after converting patients to morphine sulfate extended-release tablets.

Conversion from Parenteral Morphine or Other Opioids (Parenteral or Oral) to Morphine Sulfate Extended-Release Tablets

When converting from parenteral morphine or other non-morphine opioids (parenteral or oral) to morphine sulfate extended-release tablets, consider the following general points:

Parenteral to oral morphine ratio: Between 2 to 6 mg of oral morphine may be required to provide analgesia equivalent to 1 mg of parenteral morphine. Typically, a dose of morphine that is approximately three times the previous daily parenteral morphine requirement is sufficient.

Other parenteral or oral non-morphine opioids to oral morphine ratios : Specific recommendations are not available because of a lack of systematic evidence for these types of analgesic substitutions. Published relative potency data are available, but such ratios are approximations. In general, begin with half of the estimated daily morphine requirement as the initial dose, managing inadequate analgesia by supplementation with immediate-release morphine.

Conversion from Methadone to Morphine Sulfate Extended-Release Tablets

Close monitoring is of particular importance when converting methadone to other opioid agonists. The ratio between methadone and other opioid agonists may vary widely as a function of previous dose exposure. Methadone has a long half-life and can accumulate in the plasma.

4 Contraindications (4 CONTRAINDICATIONS)

Morphine sulfate is contraindicated in patients with:

  • Significant respiratory depression [see Warnings and Precautions (5.3)]
  • Acute or severe bronchial asthma in an unmonitored setting or in the absence of resuscitative equipment [see Warnings and Precautions (5.6)]
  • Concurrent use of monoamine oxidase inhibitors (MAOIs) or use of MAOIs within the last 14 days [see Warnings and Precautions (5.7), Drug Interactions (7)].
  • Hypersensitivity (e.g., anaphylaxis) to morphine [see Adverse Reactions (6.2)]
  • Known or suspected gastrointestinal obstruction, including paralytic ileus [see Warnings and Precautions (5.11)]
6 Adverse Reactions (6 ADVERSE REACTIONS)

The following serious adverse reactions are described, or described in greater detail, in other sections:

  • Addiction, Abuse, and Misuse [see Warnings and Precautions (5.1)]
  • Life-Threatening Respiratory Depression [see Warnings and Precautions (5.3)]
  • Neonatal Opioid Withdrawal Syndrome [see Warnings and Precautions (5.4)]
  • Interactions with Benzodiazepine or Other CNS Depressants [see Warnings and Precautions (5.5)]
  • Adrenal Insufficiency [see Warnings and Precautions (5.8)]
  • Severe Hypotension [see Warnings and Precautions (5.9)]
  • Gastrointestinal Adverse Reactions [see Warnings and Precautions (5.11)]
  • Seizures [see Warnings and Precautions (5.12)]
  • Withdrawal [see Warnings and Precautions (5.13)]
7 Drug Interactions (7 DRUG INTERACTIONS)

Table 1 includes clinically significant drug interactions with morphine sulfate.

Table 1: Clinically Significant Drug Interactions with morphine sulfate

Benzodiazepines and Other Central Nervous System (CNS) Depressants

Clinical Impact:

Due to additive pharmacologic effect, the concomitant use of benzodiazepines or other CNS depressants, including alcohol, can increase the risk of hypotension, respiratory depression, profound sedation, coma, and death.

Intervention:

Reserve concomitant prescribing of these drugs for use in patients for whom alternative treatment options are inadequate. Limit dosages and durations to the minimum required. Follow patients closely for signs of respiratory depression and sedation. If concomitant use is warranted, consider prescribing naloxone for the emergency treatment of opioid overdose [see Dosage and Administration (2.2, 2.5), Warnings and Precautions (5.1, 5.3, 5.5)].

Examples:

Benzodiazepines and other sedative hypnotics, anxiolytics, tranquilizers, muscle relaxants, general anesthetics, antipsychotics, other opioids, alcohol.

Serotonergic Drugs

Clinical Impact:

The concomitant use of opioids with other drugs that affect the serotonergic neurotransmitter system has resulted in serotonin syndrome.

Intervention:

If concomitant use is warranted, carefully observe the patient, particularly during treatment initiation and dose adjustment. Discontinue morphine sulfate if serotonin syndrome is suspected.

Examples:

Selective serotonin reuptake inhibitors (SSRIs), serotonin and norepinephrine reuptake inhibitors (SNRIs), tricyclic antidepressants (TCAs), triptans, 5-HT3 receptor antagonists, drugs that effect the serotonin neurotransmitter system (e.g., mirtazapine, trazodone, tramadol), certain muscle relaxants (i.e., cyclobenzaprine, metaxalone), monoamine oxidase (MAO) inhibitors (those intended to treat psychiatric disorders and also others, such as linezolid and intravenous methylene blue).

Monoamine Oxidase Inhibitors (MAOIs)

Clinical Impact:

MAOI interactions with opioids may manifest as serotonin syndrome or opioid toxicity (e.g., respiratory depression, coma) [see Warnings and Precautions (5.7)].

Intervention:

Do not use morphine sulfate in patients taking MAOIs or within 14 days of stopping such treatment.

Examples:

phenelzine, tranylcypromine, linezolid

Mixed Agonist/Antagonist and Partial Agonist Opioid Analgesics

Clinical Impact:

May reduce the analgesic effect of morphine sulfate and/or precipitate withdrawal symptoms.

Intervention:

Avoid concomitant use.

Examples:

butorphanol, nalbuphine, pentazocine, buprenorphine

Muscle Relaxants

Clinical Impact:

Morphine may enhance the neuromuscular blocking action of skeletal muscle relaxants and produce an increased degree of respiratory depression.

Intervention:

Evaluate patients for signs of respiratory depression that may be greater than otherwise expected and decrease the dosage of morphine sulfate and/or the muscle relaxant as necessary. Due to the risk of respiratory depression with concomitant use of skeletal muscle relaxants and opioids, consider prescribing naloxone for the emergency treatment of opioid overdose [see Dosage and Administration (2.2), Warnings and Precautions (5.3, 5.5)]

Examples:

Cyclobenzaprine, metaxalone

Cimetidine

Clinical Impact:

The concomitant use of cimetidine can potentiate morphine effects and increase risk of hypotension, respiratory depression, profound sedation, coma, and death.

Intervention:

Evaluate patients for signs of respiratory depression that may be greater than otherwise expected and decrease the dosage of morphine sulfate and/or cimetidine as necessary.

Diuretics

Clinical Impact:

Opioids can reduce the efficacy of diuretics by inducing the release of antidiuretic hormone.

Intervention:

Evaluate patients for signs of diminished diuresis and/or effects on blood pressure and increase the dosage of the diuretic as needed.

Anticholinergic Drugs

Clinical Impact:

The concomitant use of anticholinergic drugs may increase risk of urinary retention and/or severe constipation, which may lead to paralytic ileus.

Intervention:

Evaluate patients for signs of urinary retention or reduced gastric motility when morphine sulfate is used concomitantly with anticholinergic drugs.

P-Glycoprotein (P-gp) Inhibitors

Clinical Impact:

The concomitant use of PGP-inhibitors can increase the exposure to morphine by about two-fold and can increase risk of hypotension, respiratory depression, profound sedation, coma, and death.

Intervention:

Evaluate patients for signs of respiratory depression that may be greater than otherwise expected and decrease the dosage of morphine sulfate and/or the PGP-inhibitor as necessary.

Example:

Quinidine

8.7 Renal Impairment

Morphine pharmacokinetics are altered in patients with renal failure. Start these patients with a lower than usual dosage of morphine sulfate and titrate slowly while monitoring for signs of respiratory depression, sedation, and hypotension [see Clinical Pharmacology (12.3)].

12.2 Pharmacodynamics

CNS Depressant/Alcohol Interaction

Additive pharmacodynamic effects may be expected when morphine sulfate is used in conjunction with alcohol, other opioids, or illicit drugs that cause central nervous system depression.

Effects on the Central Nervous System

Morphine produces respiratory depression by direct action on brainstem respiratory centers.  The respiratory depression involves a reduction in the responsiveness of the brainstem respiratory centers to both increases in carbon dioxide tension and electrical stimulation.

Morphine causes miosis, even in total darkness.  Pinpoint pupils are a sign of narcotic overdose but are not pathognomonic (e.g., pontine lesions of hemorrhagic or ischemic origins may produce similar findings).  Marked mydriasis rather than miosis may be seen with hypoxia in overdose situations.

Effects on the Gastrointestinal Tract and Other Smooth Muscle

Morphine causes a reduction in motility associated with an increase in smooth muscle tone in the antrum of the stomach and in the duodenum. Digestion of food in the small intestine is delayed and propulsive contractions are decreased.  Propulsive peristaltic waves in the colon are decreased, while tone may be increased to the point of spasm, resulting in constipation.  Other opioid-induced effects may include reduction in biliary and pancreatic secretions, spasm of the sphincter of Oddi, and transient elevations in serum amylase.

Effects on the Cardiovascular System

Morphine produces peripheral vasodilation which may result in orthostatic hypotension or syncope. Manifestations of histamine release and/or peripheral vasodilation may include pruritus, flushing, red eyes, and sweating, and/or orthostatic hypotension.

Effects on the Endocrine System

Opioids inhibit the secretion of adrenocorticotropic hormone (ACTH), cortisol, and luteinizing hormone (LH) in humans [see Adverse Reaction (6.2)].  They also stimulate prolactin, growth hormone (GH) secretion, and pancreatic secretion of insulin and glucagon.

Chronic use of opioids may influence the hypothalamic-pituitary-gonadal axis, leading to androgen deficiency that may manifest as low libido, impotence, erectile dysfunction, amenorrhea, or infertility. The causal role of opioids in the clinical syndrome of hypogonadism is unknown because the various medical, physical, lifestyle, and psychological stressors that may influence gonadal hormone levels have not been adequately controlled for in studies conducted to date [see Adverse Reactions (6.2)].

Effects on the Immune System

Opioids have been shown to have a variety of effects on components of the immune system in in vitro and animal models.  The clinical significance of these findings is unknown.  Overall, the effects of opioids appear to be modestly immunosuppressive.

Concentration-Efficacy Relationships

The minimum effective analgesic concentration will vary widely among patients, especially among patients who have been previously treated with potent agonist opioids. The minimum effective analgesic concentration of morphine for any individual patient may increase over time due to an increase in pain, the development of a new pain syndrome, and/or the development of analgesic tolerance [see Dosage and Administration (2.1, 2.3)]

Concentration–Adverse Reaction Relationships

There is a relationship between increasing morphine plasma concentration and increasing frequency of dose-related opioid adverse reactions such as nausea, vomiting, CNS effects, and respiratory depression. In opioid-tolerant patients, the situation may be altered by the development of tolerance to opioid-related adverse reactions [see Dosage and Administration (2.1, 2.3, 2.4)].

12.3 Pharmacokinetics

Absorption

Morphine sulfate is an extended-release tablet containing morphine sulfate. Morphine is released from morphine sulfate extended-release tablets somewhat more slowly than from immediate-release oral preparations.  Following oral administration of a given dose of morphine, the amount ultimately absorbed is essentially the same whether the source is morphine sulfate extended-release tablets or an immediate-release formulation.  Because of pre-systemic elimination (i.e., metabolism in the gut wall and liver) only about 40% of the administered dose reaches the central compartment.

The oral bioavailability of morphine is approximately 20 to 40%.  When morphine sulfateis given on a fixed dosing regimen, steady-state is achieved in about a day.

Food Effect

The effect of food upon the systemic bioavailability of morphine sulfate has not been systematically evaluated for all strengths.  One study, conducted with the 30 mg morphine sulfateextended-releasetablets, showed no significant differences in Cmax and AUC (0-24h) values, whether the tablet was taken while fasting or with a high-fat breakfast.

Distribution

Once absorbed, morphine is distributed to skeletal muscle, kidneys, liver, intestinal tract, lungs, spleen, and brain.  Morphine also crosses placental membranes and has been found in breast milk. The volume of distribution (Vd) for morphine is approximately 3 to 4 liters per kilogram and morphine is 30 to 35% reversibly bound to plasma proteins.

Elimination

Metabolism

The major pathways of morphine metabolism include glucuronidation to produce metabolites including morphine-3-glucuronide, M3G (about 50%) and morphine-6-glucuronide, M6G (about 5 to 15%) and sulfation in the liver to produce morphine-3-etheral sulfate. A small fraction (less than 5%) of morphine is demethylated.   M6G has been shown to have analgesic activity but crosses the blood-brain barrier poorly, while M3G has no significant analgesic activity.

Excretion

The elimination of morphine occurs primarily as renal excretion of M3G and its effective half-life after intravenous administration is normally 2 to 4 hours. Approximately 10% of the dose is excreted unchanged in urine. In some studies involving longer periods of plasma sampling, a longer terminal half-life of about 15 hours was reported. A small amount of the glucuronide conjugate is excreted in the bile, and there is some minor enterohepatic recycling.

Specific Populations

Sex

A sex analysis of pharmacokinetic data from healthy subjects taking morphine sulfate indicated that morphine concentrations were similar in males and females.

Race /Ethnicity

Chinese subjects given intravenous morphine had a higher clearance when compared to Caucasian subjects (1852 +/- 116 ml/min compared to 1495 +/- 80 ml/min).

Hepatic Impairment

Morphine pharmacokinetics are altered in patients with cirrhosis. Clearance was found to decrease with a corresponding increase in half-life. The M3G and M6G to morphine plasma AUC ratios also decreased in these patients, indicating diminished metabolic activity.  Adequate studies of the pharmacokinetics of morphine in patients with severe hepatic impairment have not been conducted.

Renal Impairment

Morphine pharmacokinetics are altered in patients with renal failure. The AUC is increased, and clearance is decreased and the metabolites, M3G and M6G, may accumulate to much higher plasma levels in patients with renal failure as compared to patients with normal renal function. Adequate studies of the pharmacokinetics of morphine in patients with severe renal impairment have not been conducted.

5.9 Severe Hypotension

Morphine sulfate may cause severe hypotension including orthostatic hypotension and syncope in ambulatory patients. There is increased risk in patients whose ability to maintain blood pressure has already been compromised by a reduced blood volume or concurrent administration of certain CNS depressant drugs (e.g., phenothiazines or general anesthetics) [see Drug Interactions (7)]. Monitor these patients for signs of hypotension after initiating or titrating the dosage of morphinesulfate. In patients with circulatory shock, morphine sulfate may cause vasodilation that can further reduce cardiac output and blood pressure. Avoid the use of morphine sulfate in patients with circulatory shock.

8.6 Hepatic Impairment

Morphine pharmacokinetics have been reported to be significantly altered in patients with cirrhosis. Start these patients with a lower than usual dosage of morphine sulfate and titrate slowly while monitoring for signs of respiratory depression, sedation, and hypotension [see Clinical Pharmacology (12.3)].

1 Indications and Usage (1 INDICATIONS AND USAGE)

Morphine sulfate extended-release tablets are indicated for the management of pain severe enough to require daily, around-the-clock, long-term opioid treatment and for which alternative treatment options are inadequate.

Limitations of Use

  • Because of the risks of addiction, abuse, and misuse with opioids, even at recommended doses, and because of the greater risks of overdose and death with extended-release opioid formulations [see Warnings and Precautions (5.1)], reserve morphine sulfate extended-release tabletsfor use in patients for whom alternative treatment options (e.g., non-opioid analgesics or immediate-release opioids) are ineffective, not tolerated, or would be otherwise inadequate to provide sufficient management of pain.
  • Morphine sulfate extended-release tabletsare not indicated as an as-needed (prn) analgesic.
12.1 Mechanism of Action

Morphine is a full opioid agonist is relatively selective for the mu-opioid receptor, although it can bind to other opioid receptors at higher doses. The principal therapeutic action of morphine is analgesia. Like all full opioid agonists, there is no ceiling effect for analgesia with morphine. Clinically, dosage is titrated to provide adequate analgesia and may be limited by adverse reactions, including respiratory and CNS depression.

The precise mechanism of the analgesic action is unknown. However, specific CNS opioid receptors for endogenous compounds with opioid-like activity have been identified throughout the brain and spinal cord and are thought to play a role in the analgesic effects of this drug. 

9.1 Controlled Substance

Morphine sulfate extended-release tablets contain morphine, a Schedule II controlled substance.

5.8 Adrenal Insufficiency

Cases of adrenal insufficiency have been reported with opioid use, more often following greater than one month of use. Presentation of adrenal insufficiency may include non-specific symptoms and signs including nausea, vomiting, anorexia, fatigue, weakness, dizziness, and low blood pressure. If adrenal insufficiency is suspected, confirm the diagnosis with diagnostic testing as soon as possible. If adrenal insufficiency is diagnosed, treat with physiologic replacement doses of corticosteroids. Wean the patient off of the opioid to allow adrenal function to recover and continue corticosteroid treatment until adrenal function recovers. Other opioids may be tried as some cases reported use of a different opioid without recurrence of adrenal insufficiency. The information available does not identify any particular opioids as being more likely to be associated with adrenal insufficiency.

5 Warnings and Precautions (5 WARNINGS AND PRECAUTIONS)
  • Life-Threatening Respiratory Depression in Patients with Chronic

Pulmonary Disease or in Elderly, Cachectic, or Debilitated Patients: Monitor closely, particularly during initiation and titration. (5.6)

  • Adrenal Insufficiency: If diagnosed, treat with physiologic replacement of corticosteroids, and wean patient off of the opioid. (5.8)
  • Severe Hypotension: Monitor during dosage initiation and titration. Avoid use in patients with circulatory shock. (5.9)
  • Risks of Use in Patients with Increased Intracranial Pressure, Brain Tumors, Head Injury, or Impaired Consciousness: Monitor for sedation and respiratory depression.  Avoid use of morphine sulfatein patients with impaired consciousness or coma. (5.10)
2 Dosage and Administration (2 DOSAGE AND ADMINISTRATION)
  • To be prescribed only by healthcare providers knowledgeable in the use of potent opioids for management of chronic pain. (2.1)
  • Morphine sulfate extended-release 100 mg and 200 mg tablets, a single dose greater than 60 mg, or a total daily dose greater than 120 mg, are only for use in patients in whom tolerance to an opioid of comparable potency has been established. (2.1)
  • Patients considered opioid-tolerant are those taking, for one week or longer, at least 60 mg of morphine per day, 25 mcg transdermal fentanyl per hour, 30 mg of oral oxycodone per day, 8 mg of oral hydromorphone per day, 25 mg oral oxymorphone per day, 60 mg oral hydrocodone per day, or an equianalgesic dose of another opioid. (2.1)
  • Use the lowest effective dosage for the shortest duration consistent with individual patient treatment goals. Reserve titration to higher doses of morphine sulfate extended-release tablets for patients in whom lower doses are insufficiently effective and in whom the expected benefits of using a higher dose opioid clearly outweigh the substantial risks. (2.1, 5)
  • Individualize dosing based on the severity of pain, patient response, prior analgesic experience, and risk factors for addiction, abuse, and misuse. (2.1)
  • Instruct patients to swallow morphine sulfate extended-release tablets intact and not to cut, break, chew, crush, or dissolve morphine sulfate extended-release to avoid the risk of release and absorption of potential fatal dose of morphine. (2.1, 5.1)
  • Discuss availability of naloxone with the patient and caregiver and assess each patient’s need for access to naloxone, both when initiating and renewing treatment with morphine sulfate extended-release tablets. Consider prescribing naloxone based on the patient’s risk factors for overdose (2.2, 5.1, 5.3, 5.5).
  • For opioid-naïve and opioid non-tolerant patients, initiate with 15 mg tablets orally every 8 to 12 hours. (2.3)
  • Do not abruptly discontinue morphine sulfate extended-release tablets in a physically dependent patient because rapid discontinuation of opioid analgesics has resulted in serious withdrawal symptoms, uncontrolled pain, and suicide. (2.5)
3 Dosage Forms and Strengths (3 DOSAGE FORMS AND STRENGTHS)
  • · Morphine sulfate extended-release tablets 15 mg

    Round, blue-colored, film-coated tablets debossed with “RD” and “70” on one side and plain on the other side
  • Morphine sulfate extended-release tablets 30 mg

    Round, purple-colored, film-coated tablets debossed with “RD” and “71” on one side and plain on the other side
  • Morphine sulfate extended-release tablets 60 mg

    Round, light orange-colored, film-coated tablets debossed with “RD” and “72” on one side and plain on the other side
  • Morphine sulfate extended-release tablets 100 mg*

    Round, gray-colored, film-coated tablets debossed with “RD” and “73” on one side and plain on the other side
  • Morphine sulfate extended-release tablets 200 mg*

    Oval, green-colored, film-coated tablets debossed with “RD74” on one side and plain on the other side

*100 mg and 200 mg tablets are for use in opioid-tolerant patients only

6.1 Clinical Trial Experience

Because clinical trials are conducted under widely varying conditions, adverse reaction rates observed in the clinical trials of a drug cannot be directly compared to rates in the clinical trials of another drug and may not reflect the rates observed in practice.

Morphine sulfate may increase the risk of serious adverse reactions such as those observed with other opioid analgesics, including respiratory depression, apnea, respiratory arrest, circulatory depression, hypotension, or shock [see Overdosage (10)].

Most Frequently Observed Reactions

In clinical trials, the most common adverse reactions with morphine sulfate were constipation, dizziness, sedation, nausea, vomiting, sweating, dysphoria, and euphoric mood.

Some of these effects seem to be more prominent in ambulatory patients and in those not experiencing severe pain.

Less Frequently Observed Reactions

Cardiovascular disorders: tachycardia, bradycardia, palpitations

Eye disorders: visual impairment, vision blurred, diplopia, miosis

Gastrointestinal disorders: dry mouth, diarrhea, abdominal pain, constipation, dyspepsia

General disorders and administration site conditions: chills, feeling abnormal, edema, edema peripheral, weakness

Hepatobiliary disorders: biliary colic

Metabolism and nutrition disorders:  anorexia

Musculoskeletal and connective tissue disorders: muscle rigidity, muscle twitching

Nervous system disorders: presyncope, syncope, headache, tremor, uncoordinated muscle movements, convulsion, intracranial pressure increased, taste alteration, paresthesia, nystagmus

Psychiatric disorders: agitation, mood altered, anxiety, depression, abnormal dreams, hallucination, disorientation, insomnia

Renal and urinary disorders: urinary retention, urinary hesitation, antidiuretic effects

Reproductive system and breast disorders:  reduced libido and/or potency

Respiratory, thoracic and mediastinal disorders: laryngospasm

Skin and subcutaneous tissue disorders: pruritus, urticaria, rash

Vascular disorders: flushing, hypotension, hypertension

6.2 Post Marketing Experience (6.2 Post-Marketing Experience)

The following adverse reactions have been identified during post-approval use of morphine sulfate. Because these reactions are reported voluntarily from a population of uncertain size, it is not always possible to reliably estimate their frequency or establish a causal relationship to drug exposure.

Amenorrhea, asthenia, bronchospasm, confusional state, drug hypersensitivity, fatigue, hyperalgesia, hypertonia, ileus, increased hepatic enzymes, intestinal obstruction, lethargy, malaise, pulmonary edema, thinking disturbances, somnolence, and vertigo.

Serotonin syndrome: Cases of serotonin syndrome, a potentially life-threatening condition, have been reported during concomitant use of opioids with serotonergic drugs.

Adrenal insufficiency: Cases of adrenal insufficiency have been reported with opioid use, more often following greater than one month of use.

Anaphylaxis: Anaphylaxis has been reported with ingredients contained in morphine sulfate.

Androgen deficiency: Cases of androgen deficiency have occurred with chronic use of opioids [see Clinical Pharmacology (12.2)].

8 Use in Specific Populations (8 USE IN SPECIFIC POPULATIONS)
  • Pregnancy: May cause fetal harm. (8.1)
  • Lactation: Not recommended. (8.2)
5.1 Addiction, Abuse, and Misuse

Morphine sulfate extended-release tablets contain morphine, a Schedule II controlled substance.   As an opioid, morphine sulfate exposes its users to the risks of addiction, abuse, and misuse. Because extended-release products such as morphine sulfatedeliver the opioid over an extended period of time, there is a greater risk for overdose and death due to the larger amount of morphine present [see Drug Abuse and Dependence (9)].

Although the risk of addiction in any individual is unknown, it can occur in patients appropriately prescribed morphine sulfate. Addiction can occur at recommended doses and if the drug is misused or abused.

Assess each patient’s risk for opioid addiction, abuse, or misuse prior to prescribing morphine sulfate, and monitor all patients receiving morphine sulfate for development of these behaviors and conditions.  Risks are increased in patients with a personal or family history of substance abuse (including drug or alcohol abuse or addiction) or mental illness (e.g., major depression). The potential for these risks should not, however, prevent the proper management of pain in any given patient. Patients at increased risk may be prescribed opioids such as morphine sulfate, but use in such patients necessitates intensive counseling about the risks of proper use of morphine sulfate along with intensive monitoring for signs of addiction, abuse, and misuse. Consider prescribing naloxone for the emergency treatment of opioid overdose [see Dosage and Administration (2.2), Warnings and Precautions (5.3)].

Abuse or misuse of morphine sulfate extended-release tablets by crushing, chewing, snorting, or injecting the dissolved product will result in the uncontrolled delivery of morphine and can result in overdose and death [see Overdosage (10)].

Opioids are sought for nonmedical use and are subject to diversion from legitimate prescribed use. Consider these risks when prescribing or dispensing morphine sulfate. Strategies to reduce these risks include prescribing the drug in the smallest appropriate quantity and advising the patient on careful storage of the drug during the course of treatment and proper disposal of unused drug. Contact local state professional licensing board or state-controlled substances authority for information on how to prevent and detect abuse or diversion of this product.

17 Patient Counseling Information (17 PATIENT COUNSELING INFORMATION)

Advise the patient to read the FDA-approved patient labeling (Medication Guide).

Storage and Disposal

Because of the risks associated with accidental ingestion, misuse, and abuse, advise patients to store morphine sulfate extended-release tablets securely, out of sight and reach of children, and in a location not accessible by others, including visitors to the home [see Warnings and Precautions (5.1), Drug Abuse and Dependence (9.2)]. Inform patients that leaving morphine sulfate extended-release tablets unsecured can pose a deadly risk to others in the home.

Advise patients and caregivers that when medicines are no longer needed, they should be disposed of promptly. Expired, unwanted, or unused morphine sulfate extended-release tablets should be disposed of by flushing the unused medication down the toilet if a drug take-back option is not readily available. Inform patients that they can visit www.fda.gov/drugdisposal for a complete list of medicines recommended for disposal by flushing, as well as additional information on disposal of unused medicines.

Addiction, Abuse, and Misuse

Inform patients that the use of morphine sulfate extended-release tablets even when taken as recommended, can result in addiction, abuse, and misuse, which can lead to overdose and death [see Warnings and Precautions (5.1)].  Instruct patients not to share morphine sulfate extended-release tablets with others and to take steps to protect morphine sulfate extended-release tablets from theft or misuse.

Life-Threatening Respiratory Depression

Inform patients of the risk of life-threatening respiratory depression, including information that the risk is greatest when starting morphine sulfate extended-release tablets or when the dosage is increased, and that it can occur even at recommended dosages. Educate patients and caregivers on how to recognize respiratory depression and emphasize the importance of calling 911 or getting emergency medical help right away in the event of a known or suspected overdose [see Warnings and Precautions (5.3)].

Patient Access to Naloxone for the Emergency Treatment of Opioid Overdose

Discuss with the patient and caregiver the availability of naloxone for the emergency treatment of opioid overdose, both when initiating and renewing treatment with morphine sulfate extended-release tablets. Inform patients and caregivers about the various ways to obtain naloxone as permitted by individual state naloxone dispensing and prescribing requirements or guidelines (e.g., by prescription, directly from a pharmacist, or as part of a community-based program) [see Dosage and Administration (2.2), Warnings and Precautions (5.3)].

Educate patients and caregivers on how to recognize the signs and symptoms of an overdose.

Explain to patients and caregivers that naloxone’s effects are temporary, and that they must call 911 or get emergency medical help right away in all cases of known or suspected opioid overdose, even if naloxone is administered [see Overdosage (10)].

If naloxone is prescribed, also advise patients and caregivers:

  • How to treat with naloxone in the event of an opioid overdose
  • · To tell family and friends about their naloxone and to keep it in a place where family and friends can access it in an emergency
  • To read the Patient Information (or other educational material) that will come with their naloxone. Emphasize the importance of doing this before an opioid emergency happens, so the patient and caregiver will know what to do.

Accidental Ingestion

Inform patients that accidental ingestion, especially by children, may result in respiratory depression or death [see Warnings and Precautions (5.3)].

Interactions with Benzodiazepines and Other CNS Depressants

Inform patients and caregivers that potentially fatal additive effects may occur if morphine sulfate extended-release tablets are used with benzodiazepines or other CNS depressants, including alcohol, and not to use these concomitantly unless supervised by a healthcare provider [see Warnings and Precautions (5.5), Drug Interactions (7)]

Serotonin Syndrome

Inform patients that opioids could cause a rare but potentially life-threatening condition resulting from concomitant administration of serotonergic drugs. Warn patients of the symptoms of serotonin syndrome and to seek medical attention right away if symptoms develop. Instruct patients to inform their physicians if they are taking, or plan to take serotonergic medications [see Drug Interactions 7].

MAOI Interaction

Inform patients not to take morphine sulfate extended-release tablets while using any drugs that inhibit monoamine oxidase. Patients should not start MAOIs while taking morphine sulfate extended-release tablets [see Warnings and Precautions (5.7), Drug Interactions (7)].

Adrenal Insufficiency

Inform patients that opioids could cause adrenal insufficiency, a potentially life-threatening condition. Adrenal insufficiency may present with non-specific symptoms and signs such as nausea, vomiting, anorexia, fatigue, weakness, dizziness, and low blood pressure. Advise patients to seek medical attention if they experience a constellation of these symptoms [see Warnings and Precautions (5.8)].

Important Administration Instructions

Instruct patients how to properly take morphine sulfate extended-release tablets, including the following:

  • Swallow morphine sulfate extended-release tablets whole [see Dosage and Administration (2.1)]
  • Do not crush, chew, or dissolve the tablets [see Dosage and Administration (2.1)]
  • Use morphine sulfate extended-release tablets exactly as prescribed to reduce the risk of life-threatening adverse reactions (e.g., respiratory depression) [see Warnings and Precautions (5.3)]

Important Discontinuation Instructions

In order to avoid developing withdrawal symptoms, instruct patients not to discontinue morphine sulfate extended-release tablets without first discussing a tapering plan with the prescriber [see Dosage and Administration (2.6)].

Hypotension

Inform patients that morphine sulfate extended-release tablets may cause orthostatic hypotension and syncope.  Instruct patients how to recognize symptoms of low blood pressure and how to reduce the risk of serious consequences should hypotension occur (e.g., sit or lie down, carefully rise from a sitting or lying position) [see Warnings and Precautions (5.9)].

Anaphylaxis

Inform patients that anaphylaxis has been reported with ingredients contained in morphine sulfate extended-release tablets. Advise patients how to recognize such a reaction and when to seek medical attention [see Contraindications (4), Adverse Reactions (6)].

Pregnancy

Neonatal Opioid Withdrawal Syndrome

Inform female patients of reproductive potential that use of morphine sulfate extended-release tablets for an extended period of time during pregnancy can result in neonatal opioid withdrawal syndrome, which may be life-threatening if not recognized and treated [see Warnings and Precautions (5.4), Use in Specific Populations (8.1)].

Embryo-Fetal Toxicity

Inform female patients of reproductive potential that morphine sulfate extended-release tablets can cause fetal harm and to inform their healthcare provider of a known or suspected pregnancy [see Adverse Reactions (6.2)].

Lactation

Advise patients that breastfeeding is not recommended during treatment with morphine sulfate extended-release tablets [see Use in Specific Populations (8.2)]

Infertility

Inform patients that use of opioids for an extended period of time may cause reduced fertility. It is not known whether these effects on fertility are reversible [Use in Specific Populations (8.3)].

Driving or Operating Heavy Machinery

Inform patients that morphine sulfate extended-release tablets may impair the ability to perform potentially hazardous activities such as driving a car or operating heavy machinery.  Advise patients not to perform such tasks until they know how they will react to the medication.

Constipation

Advise patients of the potential for severe constipation, including management instructions and when to seek medical attention.

Healthcare professionals can telephone Sun Pharmaceutical Industries Inc. (1-800-818-4555) for information on this product.

Manufactured by:

Ohm Laboratories Inc.

New Brunswick, NJ 08901

Distributed by:

Sun Pharmaceutical Industries, Inc.

Cranbury, NJ 08512

September 2023                      FDA-11

16 How Supplied/storage and Handling (16 HOW SUPPLIED/STORAGE AND HANDLING)

Morphine sulfate extended-release tablets 30 mg are round, purple-colored, film-coated tablets debossed with “RD” and “71” on one side and plain on the other side.

NDC: 71335-0676-1: 30 Tablets in a BOTTLE

NDC: 71335-0676-2: 60 Tablets in a BOTTLE

NDC: 71335-0676-3: 90 Tablets in a BOTTLE

NDC: 71335-0676-4: 120 Tablets in a BOTTLE

NDC: 71335-0676-5: 100 Tablets in a BOTTLE

NDC: 71335-0676-6: 5 Tablets in a BOTTLE

NDC: 71335-0676-7: 15 Tablets in a BOTTLE

NDC: 71335-0676-8: 20 Tablets in a BOTTLE

NDC: 71335-0676-9: 26 Tablets in a BOTTLE

NDC: 71335-0676-10: 40 Tablets in a BOTTLE

Store at 20° - 25° C (68° - 77° F) [See USP Controlled Room Temperature].

Store morphine sulfate extended-release tablets securely and dispose of properly [see Patient Counseling Information (17)].

Dispense in a tight, light-resistant container.

Repackaged/Relabeled by:

Bryant Ranch Prepack, Inc.

Burbank, CA 91504

5.4 Neonatal Opioid Withdrawal Syndrome

Prolonged use of morphine sulfate during pregnancy can result in withdrawal in the neonate. Neonatal opioid withdrawal syndrome, unlike opioid withdrawal syndrome in adults, may be life-threatening if not recognized and treated, and requires management according to protocols developed by neonatology experts. Observe newborns for signs of neonatal opioid withdrawal syndrome and manage accordingly. Advise pregnant women using opioids for a prolonged period of the risk of neonatal opioid withdrawal syndrome and ensure that appropriate treatment will be available [see Use in Specific Populations (8.1), Patient Counseling Information (17)].

2.4 Titration and Maintenance of Therapy

Individually titrate morphine sulfate extended-release tablets to a dose that provides adequate analgesia and minimizes adverse reactions. Continually reevaluate patients receiving morphine sulfate extended-release tablets to assess the maintenance of pain control, signs and symptoms of opioid withdrawal, and other adverse reactions, as well as to reassess for the development of addiction, abuse, or misuse [see Warnings and Precautions (5.1)]. Frequent communication is important among the prescriber, other members of the healthcare team, the patient, and the caregiver/family during periods of changing analgesic requirements, including initial titration. During chronic therapy periodically reassess the continued need for the use of opioid analgesics. 

Patients who experience breakthrough pain may require a dosage adjustment of morphine sulfate extended-release tablets, or may need rescue medication with an appropriate dose of an immediate-release analgesic. If the level of pain increases after dose stabilization, attempt to identify the source of increased pain before increasing the morphine sulfate extended-release tablets dosage.  Because steady-state plasma concentrations are approximated in 1 day, morphine sulfate extended-release tablets dosage adjustments may be done every 1 to 2 days.

If after increasing the dosage, unacceptable opioid-related adverse reactions are observed (including an increase in pain after dosage increase), consider reducing the dosage [see Warnings and Precautions (5)].  Adjust the dosage to obtain an appropriate balance between management of pain and opioid-related adverse reactions.

5.3 Life Threatening Respiratory Depression (5.3 Life-Threatening Respiratory Depression)

Serious, life-threatening, or fatal respiratory depression has been reported with the use of opioids, even when used as recommended. Respiratory depression, if not immediately recognized and treated, may lead to respiratory arrest and death. Management of respiratory depression may include close observation, supportive measures, and use of opioid antagonists, depending on the patient’s clinical status [see Overdosage (10)]. Carbon dioxide (CO2) retention from opioid-induced respiratory depression can exacerbate the sedating effects of opioids.

While serious, life-threatening, or fatal respiratory depression can occur at any time during the use of morphine sulfate, the risk is greatest during the initiation of therapy or following a dosage increase. Monitor patients closely for respiratory depression especially within the first 24 to 72 hours of initiating therapy and following dosage increases of morphine sulfate.

To reduce the risk of respiratory depression, proper dosing and titration of morphine sulfate are essential [see Dosage and Administration (2)]. Overestimating the morphine sulfate dosage when converting patients from another opioid product can result in a fatal overdose with the first dose.

Accidental ingestion of even one dose of morphine sulfate, especially by children, can result in respiratory depression and death due to an overdose of morphine.

Educate patients and caregivers on how to recognize respiratory depression and emphasize the importance of calling 911 or getting emergency medical help right away in the event of a known or suspected overdose [see Patient Counseling Information (17)].

Opioids can cause sleep-related breathing disorders including central sleep apnea (CSA) and sleep-related hypoxemia. Opioid use increases the risk of CSA in a dose-dependent fashion. In patients who present with CSA, consider decreasing the opioid dosage using best practices for opioid taper [see Dosage and Administration (2.6)].

Patient Access to Naloxone for the Emergency Treatment of Opioid Overdose:

Discuss the availability of naloxone for the emergency treatment of opioid overdose with the patient and caregiver and assess the potential need for access to naloxone, both when initiating and renewing treatment with morphine sulfate. Inform patients and caregivers about the various ways to obtain naloxone as permitted by individual state naloxone dispensing and prescribing requirements or guidelines (e.g., by prescription, directly from a pharmacist, or as part of a community-based program). Educate patients and caregivers on how to recognize respiratory depression and emphasize the importance of calling 911 or getting emergency medical help, even if naloxone is administered [see Patient Counseling Information (17)].

Consider prescribing naloxone, based on the patient’s risk factors for overdose, such as concomitant use of CNS depressants, a history of opioid use disorder, or prior opioid overdose. The presence of risk factors for overdose should not prevent the proper management of pain in any given patient. Also consider prescribing naloxone if the patient has household members (including children) or other close contacts at risk for accidental ingestion or overdose. If naloxone is prescribed, educate patients and caregivers on how to treat with naloxone. [see Warnings and Precautions (5.1, 5.5), Patient Counseling Information (17)].

5.14 Risks of Driving and Operating Machinery

Morphine sulfate may impair the mental or physical abilities needed to perform potentially hazardous activities such as driving a car or operating machinery. Warn patients not to drive or operate dangerous machinery unless they are tolerant to the effects of morphine sulfate and know how they will react to the medication [see Patient Counseling Information (17)].

8.3 Females and Males of Reproductive Potential

Infertility

Chronic use of opioids may cause reduced fertility in females and males of reproductive potential. It is not known whether these effects on fertility are reversible [see Adverse Reactions (6.2), Clinical Pharmacology (12.2)].

In published animal studies, morphine administration adversely effected fertility and reproductive endpoints in male rats and prolonged estrus cycle in female rats [see Nonclinical Toxicology (13)].

5.7 Interaction With Monoamine Oxidase Inhibitors (5.7 Interaction with Monoamine Oxidase Inhibitors)

Monoamine oxidase inhibitors (MAOIs) may potentiate the effects of morphine, including respiratory depression, coma, and confusion. Morphine sulfate should not be used in patients taking MAOIs or within 14 days of stopping such treatment.

2.1 Important Dosage and Administration Instructions

Morphine sulfate extended-release tablets should be prescribed only by healthcare professionals who are knowledgeable in the use of potent opioids for the management of chronic pain.

Morphine sulfate extended-release tablets 100 mg and 200 mg, a single dose greater than 60 mg, or a total daily dose greater than 120 mg, are only for use in patients in whom tolerance to an opioid of comparable potency has been established. Patients considered opioid-tolerant are those taking, for one week or longer, at least 60 mg morphine per day, 25 mcg transdermal fentanyl per hour, 30 mg oral oxycodone per day, 8 mg oral hydromorphone daily, 25 mg oral oxymorphone per day, 60 mg oral hydrocodone per day, or an equianalgesic dose of another opioid.

  • Use the lowest effective dosage for the shortest duration consistent with individual patient treatment goals [see Warnings and Precautions (5)].
  • Initiate the dosing regimen for each patient individually, taking into account the patient's severity of pain, prior analgesic treatment experience, and risk factors for addiction, abuse, and misuse [see Warnings and Precautions (5.1)].
  • Monitor patients closely for respiratory depression, especially within the first 24 to 72 hours of initiating therapy and following dosage increases with morphine sulfate extended-release tablets and adjust the dosage accordingly [see Warnings and Precautions (5.3)].

Instruct patients to swallow morphine sulfate extended-release tablets whole [see Patient Counseling Information (17)]. Crushing, chewing, or dissolving morphine sulfate extended-release tablets will result in uncontrolled delivery of morphine and can lead to overdose or death [see Warnings and Precautions (5.1)].

Morphine sulfate extended-release tablets is administered orally once every 8 or 12 hours.

13.1 Carcinogenesis, Mutagenesis, Impairment of Fertility

Carcinogenesis

Long-term studies in animals to evaluate the carcinogenic potential of morphine have not been conducted. 

Mutagenesis

No formal studies to assess the mutagenic potential of morphine have been conducted.  In the published literature, morphine was found to be mutagenic in vitro increasing DNA fragmentation in human T-cells.  Morphine was reported to be mutagenic in the in vivo mouse micronucleus assay and positive for the induction of chromosomal aberrations in mouse spermatids and murine lymphocytes.  Mechanistic studies suggest that the in vivo clastogenic effects reported with morphine in mice may be related to increases in glucocorticoid levels produced by morphine in this species.  In contrast to the above positive findings, in vitro studies in the literature have also shown that morphine did not induce chromosomal aberrations in human leukocytes or translocations or lethal mutations in Drosophila. 

Impairment of Fertility

No formal nonclinical studies to assess the potential of morphine to impair fertility have been conducted.  Several nonclinical studies from the literature have demonstrated adverse effects on male fertility in the rat from exposure to morphine.  One study in which male rats were administered morphine sulfate subcutaneously prior to mating (up to 30 mg/kg twice daily) and during mating (20 mg/kg twice daily) with untreated females, a number of adverse reproductive effects including reduction in total pregnancies and higher incidence of pseudopregnancies at 20 mg/kg/day (3.2 times the HDD)  were reported.

Studies from the literature have also reported changes in hormonal levels in male rats (i.e. testosterone, luteinizing hormone) following treatment with morphine at 10 mg/kg/day or greater (1.6 times the HDD). 

Female rats that were administered morphine sulfate intraperitoneally prior to mating exhibited prolonged estrous cycles at 10 mg/kg/day (1.6 times the HDD).

Exposure of adolescent male rats to morphine has been associated with delayed sexual maturation and following mating to untreated females, smaller litters, increased pup mortality, and/or changes in reproductive endocrine status in adult male offspring have been reported (estimated 5 times the plasma levels at the HDD).

5.11 Risks of Use in Patients With Gastrointestinal Conditions (5.11 Risks of Use in Patients with Gastrointestinal Conditions)

Morphine sulfate is contraindicated in patients with known or suspected gastrointestinal obstruction, including paralytic ileus.

The morphine in morphine sulfate may cause spasm of the sphincter of Oddi. Opioids may cause increases in serum amylase. Monitor patients with biliary tract disease, including acute pancreatitis, for worsening symptoms.

5.12 Increased Risk of Seizures in Patients With Seizure Disorders (5.12 Increased Risk of Seizures in Patients with Seizure Disorders)

The morphine in morphine sulfate may increase the frequency of seizures in patients with seizure disorders, and may increase the risk of seizures occurring in other clinical settings associated with seizures. Monitor patients with a history of seizure disorders for worsened seizure control during morphine sulfate therapy.

5.2 Opioid Analgesic Risk Evaluation and Mitigation Strategy (rems) (5.2 Opioid Analgesic Risk Evaluation and Mitigation Strategy (REMS))

To ensure that the benefits of opioid analgesics outweigh the risks of addiction, abuse, and misuse, the Food and Drug Administration (FDA) has required a Risk Evaluation and Mitigation Strategy (REMS) for these products. Under the requirements of the REMS, drug companies with approved opioid analgesic products must make REMS-compliant education programs available to healthcare providers. Healthcare providers are strongly encouraged to do all of the following:

  • Complete a REMS-compliant education program offered by an accredited provider of continuing education (CE) or another education program that includes all the elements of the FDA Education Blueprint for Health Care Providers Involved in the Management or Support of Patients with Pain.
  • Discuss the safe use, serious risks, and proper storage and disposal of opioid analgesics with patients and/or their caregivers every time these medicines are prescribed. The Patient Counseling Guide (PCG) can be obtained at this link: http://www.fda.gov/OpioidAnalgesicREMSPCG.
  • Emphasize to patients and their caregivers the importance of reading the Medication Guide that they will receive from their pharmacist every time an opioid analgesic is dispensed to them.
  • Consider using other tools to improve patient, household, and community safety, such as patient-prescriber agreements that reinforce patient-prescriber responsibilities.

To obtain further information on the opioid analgesic REMS and for a list of accredited REMS CME/CE, call 1-800-503-0784, or log on to www.opioidanalgesicrems.com. The FDA Blueprint can be found at www.fda.gov/OpioidAnalgesicREMSBlueprint.

5.5 Risks From Concomitant Use With Benzodiazepines Or Other Cns Depressants (5.5 Risks from Concomitant Use with Benzodiazepines or Other CNS Depressants)

Profound sedation, respiratory depression, coma, and death may result from the concomitant use of morphine sulfate with benzodiazepines and/or other CNS depressants, including alcohol (e.g., non-benzodiazepine sedatives/hypnotics, anxiolytics, tranquilizers, muscle relaxants, general anesthetics, antipsychotics, other opioids, alcohol). Because of these risks, reserve concomitant prescribing of these drugs for use in patients for whom alternative treatment options are inadequate.

Observational studies have demonstrated that concomitant use of opioid analgesics and benzodiazepines increases the risk of drug-related mortality compared to use of opioid analgesics alone. Because of similar pharmacological properties, it is reasonable to expect similar risk with the concomitant use of other CNS depressant drugs with opioid analgesics [see Drug Interactions (7)].

If the decision is made to prescribe a benzodiazepine or other CNS depressant concomitantly with an opioid analgesic, prescribe the lowest effective dosages and minimum durations of concomitant use. In patients already receiving an opioid analgesic, prescribe a lower initial dose of the benzodiazepine or other CNS depressant than indicated in the absence of an opioid, and titrate based on clinical response. If an opioid analgesic is initiated in a patient already taking a benzodiazepine or other CNS depressant, prescribe a lower initial dose of the opioid analgesic, and titrate based on clinical response. Follow patients closely for signs and symptoms of respiratory depression and sedation.

If concomitant use is warranted, consider prescribing naloxone for the emergency treatment of opioid overdose [see Dosage and Administration (2.2), Warnings and Precautions (5.3)].

Advise both patients and caregivers about the risks of respiratory depression and sedation when morphine sulfate is used with benzodiazepines or other CNS depressants (including alcohol and illicit drugs). Advise patients not to drive or operate heavy machinery until the effects of concomitant use of the benzodiazepine or other CNS depressant have been determined. Screen patients for risk of substance use disorders, including opioid abuse and misuse, and warn them of the risk for overdose and death associated with the use of additional CNS depressants including alcohol and illicit drugs [see Drug Interactions (7), Patient Counseling Information (17)].

2.2 Patient Access to Naloxone for the Emergency Treatment of Opioid Overdose

Discuss the availability of naloxone for the emergency treatment of opioid overdose with the patient and caregiver and assess the potential need for access to naloxone, both when initiating and renewing treatment with morphine sulfate extended-release tablets [see Warnings and Precautions (5.3), Patient Counseling Information (17)].

Inform patients and caregivers about the various ways to obtain naloxone as permitted by individual state naloxone dispensing and prescribing requirements or guidelines (e.g., by prescription, directly from a pharmacist, or as part of a community-based program).

Consider prescribing naloxone, based on the patient’s risk factors for overdose, such as concomitant use of CNS depressants, a history of opioid use disorder, or prior opioid overdose. The presence of risk factors for overdose should not prevent the proper management of pain in any given patient [see Warnings and Precautions (5.1, 5.3, 5.5)].

Consider prescribing naloxone if the patient has household members (including children) or other close contacts at risk for accidental ingestion or overdose.

2.6 Safe Reduction Or Discontinuation of Morphine Sulfate Extended Release Tablets (2.6 Safe Reduction or Discontinuation of Morphine Sulfate Extended-Release Tablets)

Do not abruptly discontinue morphine sulfate extended-release tablets in patients who may be physically dependent on opioids. Rapid discontinuation of opioid analgesics in patients who are physically dependent on opioids has resulted in serious withdrawal symptoms, uncontrolled pain, and suicide. Rapid discontinuation has also been associated with attempts to find other sources of opioid analgesics, which may be confused with drug-seeking for abuse. Patients may also attempt to treat their pain or withdrawal symptoms with illicit opioids, such as heroin, and other substances.

When a decision has been made to decrease the dose or discontinue therapy in an opioid-dependent patient taking morphine sulfate extended-release tablets, there are a variety of factors that should be considered, including the total daily dose of opioid (including morphine sulfate extended-release tablets) the patient has been taking, the duration of treatment, the type of pain being treated, and the physical and psychological attributes of the patient. It is important to ensure ongoing care of the patient and to agree on an appropriate tapering schedule and follow-up plan so that patient and provider goals and expectations are clear and realistic. When opioid analgesics are being discontinued due to a suspected substance use disorder, evaluate and treat the patient, or refer for evaluation and treatment of the substance use disorder. Treatment should include evidence-based approaches, such as medication assisted treatment of opioid use disorder. Complex patients with co-morbid pain and substance use disorders may benefit from referral to a specialist.

There are no standard opioid tapering schedules that are suitable for all patients. Good clinical practice dictates a patient-specific plan to taper the dose of the opioid gradually. For patients on morphine sulfate extended-release tablets who are physically opioid-dependent, initiate the taper by a small enough increment (e.g., no greater than 10% to 25% of the total daily dose) to avoid withdrawal symptoms, and proceed with dose-lowering at an interval of every 2 to 4 weeks. Patients who have been taking opioids for briefer periods of time may tolerate a more rapid taper.

It may be necessary to provide the patient with lower dosage strengths to accomplish a successful taper. Reassess the patient frequently to manage pain and withdrawal symptoms, should they emerge. Common withdrawal symptoms include restlessness, lacrimation, rhinorrhea, yawning, perspiration, chills, myalgia, and mydriasis. Other signs and symptoms also may develop, including irritability, anxiety, backache, joint pain, weakness, abdominal cramps, insomnia, nausea, anorexia, vomiting, diarrhea, or increased blood pressure, respiratory rate, or heart rate. If withdrawal symptoms arise, it may be necessary to pause the taper for a period of time or raise the dose of the opioid analgesic to the previous dose, and then proceed with a slower taper. In addition, monitor patients for any changes in mood, emergence of suicidal thoughts, or use of other substances.

When managing patients taking opioid analgesics, particularly those who have been treated for a long duration and/or with high doses for chronic pain, ensure that a multimodal approach to pain management, including mental health support (if needed), is in place prior to initiating an opioid analgesic taper. A multimodal approach to pain management may optimize the treatment of chronic pain, as well as assist with the successful tapering of the opioid analgesic [see Warnings and Precautions (5.13), Drug Abuse and Dependence (9.3)].

2.5 Dosage Modifications With Concomitant Use of Central Nervous System Depressants (2.5 Dosage Modifications with Concomitant Use of Central Nervous System Depressants)

If the patient is currently taking a central nervous system (CNS) depressant and the decision is made to begin morphine sulfate, start with the lowest possible dose, 15 mg every 12 hours, monitor patients for signs of respiratory depression, sedation, and hypotension, and consider using a lower dosage of the concomitant CNS depressant [see Warnings and Precautions (5.5), Drug Interactions (7)].

5.10 Risks of Use in Patients With Increased Intracranial Pressure, Brain Tumors, Head Injury, Or Impaired Consciousness (5.10 Risks of Use in Patients with Increased Intracranial Pressure, Brain Tumors, Head Injury, or Impaired Consciousness)

In patients who may be susceptible to the intracranial effects of CO2 retention (e.g., those with evidence of increased intracranial pressure or brain tumors), morphine sulfate may reduce respiratory drive, and the resultant CO2 retention can further increase intracranial pressure. Monitor such patients for signs of sedation and respiratory depression, particularly when initiating therapy with morphine sulfate.

Opioids may also obscure the clinical course in a patient with a head injury. Avoid the use of morphine sulfate in patients with impaired consciousness or coma.

5.6 Risk of Life Threatening Respiratory Depression in Patients With Chronic Pulmonary Disease Or in Elderly, Cachectic, Or Debilitated Patients (5.6 Risk of Life-Threatening Respiratory Depression in Patients with Chronic Pulmonary Disease or in Elderly, Cachectic, or Debilitated Patients)

The use of morphine sulfate in patients with acute or severe bronchial asthma in an unmonitored setting or in the absence of resuscitative equipment is contraindicated.

Patients with Chronic Pulmonary Disease: Morphine sulfate -treated patients with significant chronic obstructive pulmonary disease or cor pulmonale, and those with a substantially decreased respiratory reserve, hypoxia, hypercapnia, or pre-existing respiratory depression are at increased risk of decreased respiratory drive including apnea, even at recommended dosages of morphine sulfate [see Warnings and Precautions (5.3)].

Elderly, Cachectic, or Debilitated Patients: Life-threatening respiratory depression is more likely to occur in elderly, cachectic, or debilitated patients as they may have altered pharmacokinetics or altered clearance compared to younger, healthier patients [see Warnings and Precautions (5.3)].

Monitor such patients closely, particularly when initiating and titrating morphine sulfate and when morphine sulfate is given concomitantly with other drugs that depress respiration [see Warnings and Precautions (5.3)]. Alternatively, consider the use of non-opioid analgesics in these patients.

Warning: Addiction, Abuse, and Misuse; Risk Evaluation and Mitigation Strategy (rems); Life Threatening Respiratory Depression; Accidental Ingestion; Neonatal Opioid Withdrawal Syndrome; and Risks From Concomitant Use With Benzodiazepines Or Other Cns Depressants (WARNING: ADDICTION, ABUSE, AND MISUSE; RISK EVALUATION AND MITIGATION STRATEGY (REMS); LIFE-THREATENING RESPIRATORY DEPRESSION; ACCIDENTAL INGESTION; NEONATAL OPIOID WITHDRAWAL SYNDROME; and RISKS FROM CONCOMITANT USE WITH BENZODIAZEPINES OR OTHER CNS DEPRESSANTS)

Addiction, Abuse, and Misuse

Morphine sulfate exposes patients and other users to the risks of opioid addiction, abuse, and misuse, which can lead to overdose and death. Assess each patient’s risk prior to prescribing morphine sulfate extended-release tablets, and monitor all patients regularly for the development of these behaviors and conditions [see Warnings and Precautions (5.1)].

Opioid Analgesic Risk Evaluation and Mitigation Strategy (REMS):

To ensure that the benefits of opioid analgesics outweigh the risks of addiction, abuse, and misuse, the Food and Drug Administration (FDA) has required a REMS for these products [see Warnings and Precautions (5.2)]. Under the requirements of the REMS, drug companies with approved opioid analgesic products must make REMS-compliant education programs available to healthcare providers. Healthcare providers are strongly encouraged to:

  • complete a REMS-compliant education program,
  • counsel patients and/or their caregivers, with every prescription, on safe use, serious risks, storage, and disposal of these products,
  • emphasize to patients and their caregivers the importance of reading the Medication Guide every time it is provided by their pharmacist, and
  • consider other tools to improve patient, household, and community safety.

Life-Threatening Respiratory Depression

Serious, life-threatening, or fatal respiratory depression may occur with use of morphine sulfate. Monitor for respiratory depression, especially during initiation of morphine sulfate or following a dose increase.Instruct patients to swallow morphine sulfate extended-release tablets whole; crushing, chewing, or dissolving morphine sulfate extended-release tablets can cause rapid release and absorption of a potentially fatal dose of morphine [see Warnings and Precautions (5.3)].

Accidental Ingestion

Accidental ingestion of even one dose of morphine sulfate, especially by children, can result in a fatal overdose of morphine [see Warnings and Precautions (5.3)].

Neonatal Opioid Withdrawal Syndrome (NOWS)

Prolonged use of morphine sulfate during pregnancy can result in neonatal opioid withdrawal syndrome, which may be life-threatening if not recognized and treated, and requires management according to protocols developed by neonatology experts. If opioid use is required for a prolonged period in a pregnant woman, advise the patient of the risk of neonatal opioid withdrawal syndrome and ensure that appropriate treatment will be available [see Warnings and Precautions (5.4)].

Risks From Concomitant Use With Benzodiazepines Or Other CNS Depressants

Concomitant use of opioids with benzodiazepines or other central nervous system (CNS) depressants, including alcohol, may result in profound sedation, respiratory depression, coma, and death [see Warnings and Precautions (5.5), Drug Interactions (7)].

  • Reserve concomitant prescribing of morphine sulfate and benzodiazepines or other CNS depressants for use in patients for whom alternative treatment options are inadequate.
  • Limit dosages and durations to the minimum required.
  • Follow patients for signs and symptoms of respiratory depression and sedation.

Advanced Ingredient Data


Raw Label Data

All Sections (JSON)