Hydrocodone Bitartrate And Ibuprofen Tablets

Hydrocodone Bitartrate And Ibuprofen Tablets
SPL v46
SPL
SPL Set ID abc33718-4e88-43ea-9ffa-2b04ffc812ef
Route
ORAL
Published
Effective Date 2025-11-21
Document Type 34391-3 HUMAN PRESCRIPTION DRUG LABEL

Drug Facts

Composition & Product

Active Ingredients
Hydrocodone (2.5 mg) Ibuprofen (200 mg)
Inactive Ingredients
Carnauba Wax Silicon Dioxide Croscarmellose Sodium Hypromelloses Magnesium Stearate Cellulose, Microcrystalline Polyethylene Glycol, Unspecified Starch, Corn Titanium Dioxide Polydextrose Triacetin D&c Yellow No. 10

Identifiers & Packaging

Pill Appearance
Imprint: IP;145 Shape: capsule Shape: oval Shape: round Color: white Color: yellow Size: 14 mm Size: 10 mm Score: 1
Marketing Status
ANDA Active Since 2010-02-18

Description

Addiction, Abuse, and Misuse Because the use of hydrocodone bitartrate and ibuprofen exposes patients and other users to the risks of opioid addiction, abuse, and misuse, which can lead to overdose and death, assess each patient’s risk prior to prescribing and reassess all patients regularly for the development of these behaviors and conditions (see WARNINGS ) . Life-Threatening Respiratory Depression Serious, life-threatening, or fatal respiratory depression may occur with use of hydrocodone bitartrate and ibuprofen, especially during initiation or following a dosage increase. To reduce the risk of respiratory depression, proper dosing and titration of hydrocodone bitartrate and ibuprofen are essential (see WARNINGS ) . Accidental Ingestion Accidental ingestion of even one dose of hydrocodone bitartrate and ibuprofen, especially by children, can result in a fatal overdose of hydrocodone (see WARNINGS ) . Risks From Concomitant Use With Benzodiazepines Or Other CNS Depressants Concomitant use of opioids with benzodiazepines or other central nervous system (CNS) depressants, including alcohol, may result in profound sedation, respiratory depression, coma, and death. Reserve concomitant prescribing of hydrocodone bitartrate and ibuprofen and benzodiazepines or other CNS depressants for use in patients for whom alternative treatment options are inadequate ( see WARNINGS ) . Neonatal Opioid Withdrawal Syndrome  (NOWS) Advise pregnant women using opioids for an extended period of time of the risk of Neonatal Opioid Withdrawal Syndrome , which may be life-threatening if not recognized and treated. Ensure that management by neonatology experts will be available at delivery   (see WARNINGS ) . Opioid Analgesic Risk Evaluation and Mitigation Strategy (REMS) Healthcare providers are strongly encouraged to complete a REMS-compliant education program and to counsel patients and caregivers on serious risks, safe use, and the importance of reading the Medication Guide with each prescription ( see WARNINGS ). Cytochrome P450 3A4 Interaction The concomitant use of hydrocodone bitartrate and ibuprofen with all cytochrome P450 3A4 inhibitors may result in an increase in hydrocodone plasma concentrations, which may cause potentially fatal respiratory depression. In addition, discontinuation of a concomitantly used cytochrome P450 3A4 inducer may result in an increase in hydrocodone plasma concentration. Monitor patients taking hydrocodone bitartrate and ibuprofen and any CYP3A4 inhibitor or upon discontinuation of a CYP3A4 inducer for signs and symptoms of respiratory depression and sedation (see WARNINGS: Risks of Concomitant Use or Discontinuation of Cytochrome P450 3A4 Inhibitors and Inducers , PRECAUTIONS: Drug Interactions ) . Cardiovascular Thrombotic Events Nonsteroidal anti-inflammatory drugs (NSAIDs) cause an increased risk of serious cardiovascular thrombotic events, including myocardial infarction and stroke, which can be fatal. This risk may occur early in treatment and may increase with duration of use (see WARNINGS: Cardiovascular Thrombotic Events ) . Hydrocodone bitartrate and ibuprofen is contraindicated in the setting of coronary artery bypass graft (CABG) surgery (see CONTRAINDICATIONS , WARNINGS: Cardiovascular Thrombotic Events ) . Gastrointestinal Bleeding, Ulceration, and Perforation NSAIDs cause an increased risk of serious gastrointestinal (GI) adverse events including bleeding, ulceration, and perforation of the stomach or intestines, which can be fatal. These events can occur at any time during use and without warning symptoms. Elderly patients and patients with a prior history of peptic ulcer disease and/or GI bleeding are at greater risk for serious GI events (see WARNINGS: Gastrointestinal Bleeding, Ulceration, and Perforation ) .

Indications and Usage

Hydrocodone bitartrate and ibuprofen tablets are indicated for the short-term management of acute pain severe enough to require an opioid analgesic and for which alternative treatments are inadequate. Limitations of Use Carefully consider the potential benefits and risks of hydrocodone bitartrate and ibuprofen tablets and other treatment options before deciding to use hydrocodone bitartrate and ibuprofen tablets. Use the lowest effective dosage for the shortest duration consistent with individual patient treatment goals (see WARNINGS: Cardiovascular Thrombotic Events, Gastrointestinal Bleeding, Ulceration, and Perforation ) . Do not use hydrocodone bitartrate and ibuprofen tablets for the treatment of conditions such as osteoarthritis or rheumatoid arthritis. Because of the risks of addiction, abuse, misuse, overdose, and death, which can occur at any dosage or duration and persist over the course of therapy (see WARNINGS ) , reserve opioid analgesics, including hydrocodone bitartrate and ibuprofen tablets, for use in patients for whom alternative treatment options are ineffective, not tolerated, or would be otherwise inadequate to provide sufficient management of pain.

Dosage and Administration

Important Dosage and Administration Instructions Hydrocodone bitartrate and ibuprofen tablets should be prescribed only by healthcare professionals who are knowledgeable about the use of opioids and how to mitigate the associated risks. Use the lowest effective dosage for the shortest duration of time consistent with individual patient treatment goals (see WARNINGS ) . Because the risk of overdose increases as opioid doses increase, reserve titration to higher doses of hydrocodone bitartrate and ibuprofen tablets for patients in whom lower doses are insufficiently effective and in whom the expected benefits of using a higher dose opioid clearly outweigh the substantial risks. Many acute pain conditions (e.g., the pain that occurs with a number of surgical procedures or acute musculoskeletal injuries) require no more than a few days of an opioid analgesic. Clinical guidelines on opioid prescribing for some acute pain conditions are available. There is variability in the opioid analgesic dose and duration needed to adequately manage pain due both to the cause of pain and to individual patient factors. Initiate the dosing regimen for each patient individually, taking into account the patient’s underlying cause and severity of pain, prior analgesic treatment and response, and risk factors for addiction, abuse, and misuse (see WARNINGS ) . Respiratory depression can occur at any time during opioid therapy, especially when initiating and following dosage increases with hydrocodone bitartrate and ibuprofen tablets. Consider this risk when selecting an initial dose and when making dose adjustments (see WARNINGS ) . Patient Access to an Opioid Overdose Reversal Agent for the Emergency Treatment of Opioid Overdose Inform patients and caregivers about opioid overdose reversal agents (e.g., naloxone, nalmefene). Discuss the importance of having access to an opioid overdose reversal agent, especially if the patient has risk factors for overdose (e.g., concomitant use of CNS depressants, a history of opioid use disorder, or prior opioid overdose) or if there are household members (including children) or other close contacts at risk for accidental ingestion or opioid overdose. The presence of risk factors for overdose should not prevent the management of pain in any patient (see WARNINGS; Addiction, Abuse, and Misuse ; Life-Threatening Respiratory Depression ; Risks from Concomitant Use with Benzodiazepines or Other CNS Depressants ). Discuss the options for obtaining an opioid overdose reversal agent (e.g., prescription, over-the-counter, or as part of a community-based program). There are important differences among the opioid overdose reversal agents, such as route of administration, product strength, approved patient age range, and pharmacokinetics. Be familiar with these differences, as outlined in the approved labeling for those products, prior to recommending or prescribing such an agent. Initial Dosage Use of Hydrocodone Bitartrate and Ibuprofen Tablets as the First Opioid Analgesic Initiate treatment with hydrocodone bitartrate and ibuprofen tablets in a dosing range of one tablet every 4 to 6 hours as needed for pain, at the lowest dose necessary to achieve adequate analgesia. Titrate the dose based upon the individual patient’s response to their initial dose of hydrocodone bitartrate and ibuprofen tablets. Dosage should not exceed 5 tablets in a 24-hour period. The lowest effective dose or the longest dosing interval should be sought for each patient (see WARNINGS ) , especially in the elderly. After observing the initial response to therapy with hydrocodone bitartrate and ibuprofen tablets, the dose and frequency of dosing should be adjusted to suit the individual patient's need, without exceeding the total daily dose recommended. Titration and Maintenance of Therapy Individually titrate hydrocodone bitartrate and ibuprofen tablets to a dose that provides adequate analgesia and minimizes adverse reactions. Continually reevaluate patients receiving hydrocodone bitartrate and ibuprofen tablets to assess the maintenance of pain control, signs and symptoms of opioid withdrawal, and other adverse reactions, as well as reassessing for the development of addiction, abuse, or misuse (see  WARNINGS ) . Frequent communication is important among the prescriber, other members of the healthcare team, the patient, and the caregiver/family during periods of changing analgesic requirements, including initial titration. If the level of pain increases after dosage stabilization, attempt to identify the source of increased pain before increasing the hydrocodone bitartrate and ibuprofen tablets dosage. If after increasing the dosage, unacceptable opioid-related adverse reactions are observed (including an increase in pain after dosage increase), consider reducing the dosage ( see WARNINGS ) . Adjust the dosage to obtain an appropriate balance between management of pain and opioid-related adverse reactions. Safe Reduction or Discontinuation of Hydrocodone Bitartrate and Ibuprofen Tablets Do not rapidly reduce or abruptly discontinue hydrocodone bitartrate and ibuprofen tablets in patients who may be physically dependent on opioids. Rapid reduction or abrupt discontinuation of opioid analgesics in patients who are physically dependent on opioids has resulted in serious withdrawal symptoms, uncontrolled pain, and suicide. Rapid reduction or abrupt discontinuation has also been associated with attempts to find other sources of opioid analgesics, which may be confused with drug-seeking for abuse. Patients may also attempt to treat their pain or withdrawal symptoms with illicit opioids, such as heroin, and other substances. When a decision has been made to decrease the dose or discontinue therapy in an opioid-dependent patient taking hydrocodone bitartrate and ibuprofen, there are a variety of factors that should be considered, including the dose of hydrocodone bitartrate and ibuprofen the patient has been taking, the duration of treatment, the type of pain being treated, and the physical and psychological attributes of the patient. It is important to ensure ongoing care of the patient and to agree on an appropriate tapering schedule and follow-up plan so that patient and provider goals and expectations are clear and realistic. When opioid analgesics are being discontinued due to a suspected substance use disorder, evaluate and treat the patient, or refer for evaluation and treatment of the substance use disorder. Treatment should include evidence-based approaches, such as medication assisted treatment of opioid use disorder. Complex patients with co-morbid pain and substance use disorders may benefit from referral to a specialist. There are no standard opioid tapering schedules that are suitable for all patients. Good clinical practice dictates a patient-specific plan to taper the dose of the opioid gradually. For patients on hydrocodone bitartrate and ibuprofen who are physically opioid-dependent, initiate the taper by a small enough increment (e.g., no greater than 10% to 25% of the total daily dose) to avoid withdrawal symptoms, and proceed with dose-lowering at an interval of every 2 to 4 weeks. Patients who have been taking opioids for briefer periods of time may tolerate a more rapid taper. It may be necessary to provide the patient with lower dosage strengths to accomplish a successful taper. Reassess the patient frequently to manage pain and withdrawal symptoms, should they emerge. Common withdrawal symptoms include restlessness, lacrimation, rhinorrhea, yawning, perspiration, chills, myalgia, and mydriasis. Other signs and symptoms also may develop, including irritability, anxiety, backache, joint pain, weakness, abdominal cramps, insomnia, nausea, anorexia, vomiting, diarrhea, or increased blood pressure, respiratory rate, or heart rate. If withdrawal symptoms arise, it may be necessary to pause the taper for a period of time or raise the dose of the opioid analgesic to the previous dose, and then proceed with a slower taper. In addition, evaluate patients for any changes in mood, emergence of suicidal thoughts, or use of other substances. When managing patients taking opioid analgesics, particularly those who have been treated for an extended period of time and/or with high doses for chronic pain, ensure that a multimodal approach to pain management, including mental health support (if needed), is in place prior to initiating an opioid analgesic taper. A multimodal approach to pain management may optimize the treatment of chronic pain, as well as assist with the successful tapering of the opioid analgesic (see WARNINGS: Withdrawal , DRUG ABUSE AND DEPENDENCE ) .

Contraindications

Hydrocodone bitartrate and ibuprofen tablets are contraindicated in patients with: Significant respiratory depression (see WARNINGS: Life-Threatening Respiratory Depression ) . Acute or severe bronchial asthma in an unmonitored setting or in the absence of resuscitative equipment (see WARNINGS: Life-Threatening Respiratory Depression in Patients with Chronic Pulmonary Disease or in Elderly, Cachectic, or Debilitated Patients ) . Known or suspected gastrointestinal obstruction, including paralytic ileus (see WARNINGS: Risks of Use in Patients with Gastrointestinal Conditions ) . Known hypersensitivity (e.g., anaphylactic reactions, serious skin reactions) to hydrocodone, ibuprofen, or any components of the drug product (see WARNINGS: Anaphylactic Reactions, Serious Skin Reactions ) . Patients known to be hypersensitive to other opioids may exhibit cross-sensitivity to hydrocodone. History of asthma, urticaria, or other allergic-type reactions after taking aspirin or other NSAIDs. Severe, sometimes fatal, anaphylactic reactions to NSAIDs have been reported in such patients (see WARNINGS: Anaphylactic Reactions, Exacerbation of Asthma Related to Aspirin Sensitivity ) . In the setting of coronary artery bypass graft (CABG) surgery (see WARNINGS: Cardiovascular Thrombotic Events ) .

Adverse Reactions

The following adverse reactions are described below and elsewhere in the labeling including the WARNINGS section. Addiction, Abuse, and Misuse Life-Threatening Respiratory Depression Neonatal Opioid Withdrawal Syndrome Interactions with Cytochrome P450 3A4 Inhibitors and Inducers Interactions with Benzodiazepines or Other CNS Depressants Adrenal Insufficiency Severe Hypotension Seizures Withdrawal Cardiovascular Thrombotic Events Gastrointestinal Bleeding, Ulceration, and Perforation Hepatotoxicity Hypertension Heart Failure and Edema Renal Toxicity and Hyperkalemia Anaphylactic Reactions Exacerbation of Asthma Related to Aspirin Sensitivity Serious Skin Reactions Premature Closure of Fetal Ductus Arteriosus Hematologic Toxicity Aseptic Meningitis Opioid-Induced Hyperalgesia and Allodynia (see  WARNINGS )

Drug Interactions

Inhibitors of CYP3A4 and CYP2D6 The concomitant use of hydrocodone bitartrate and ibuprofen and CYP3A4 inhibitors, such as macrolide antibiotics (e.g., erythromycin), azole-antifungal agents (e.g. ketoconazole), protease inhibitors (e.g., ritonavir), can increase the plasma concentration of hydrocodone, resulting in increased or prolonged opioid effects. These effects could be more pronounced with concomitant use of hydrocodone bitartrate and ibuprofen and CYP2D6 and CYP3A4 inhibitors, particularly when an inhibitor is added after a stable dose of hydrocodone bitartrate and ibuprofen is achieved (see WARNINGS: Risks of Concomitant Use or Discontinuation of Cytochrome P450 3A4 Inhibitors and Inducers ) . After stopping a CYP3A4 inhibitor, as the effects of the inhibitor decline, the hydrocodone plasma concentration will decrease (see CLINICAL PHARMACOLOGY: Pharmacokinetics ) , resulting in decreased opioid efficacy or a withdrawal syndrome in patients who had developed physical dependence to hydrocodone bitartrate and ibuprofen. If concomitant use is necessary, consider dosage reduction of hydrocodone bitartrate and ibuprofen until stable drug effects are achieved. Evaluate patients at frequent intervals for respiratory depression and sedation. If a CYP3A4 inhibitor is discontinued, consider increasing the hydrocodone bitartrate and ibuprofen dosage until stable drug effects are achieved. Assess for signs of opioid withdrawal. CYP3A4 Inducers The concomitant use of hydrocodone bitartrate and ibuprofen and CYP3A4 inducers, such as rifampin, carbamazepine, and phenytoin, can decrease the plasma concentration of hydrocodone (see CLINICAL PHARMACOLOGY: Pharmacokinetics ) , resulting in decreased efficacy or onset of a withdrawal syndrome in patients who have developed physical dependence to hydrocodone (see WARNINGS: Withdrawal ) . After stopping a CYP3A4 inducer, as the effects of the inducer decline, the hydrocodone plasma concentration will increase (see CLINICAL PHARMACOLOGY: Pharmacokinetics ) , which could increase or prolong both the therapeutic effects and adverse reactions, and may cause serious respiratory depression. If concomitant use is necessary, consider a dosage increase of hydrocodone bitartrate and ibuprofen until stable drug effects are achieved. Evaluate for signs of opioid withdrawal. If a CYP3A4 inducer is discontinued, consider hydrocodone bitartrate and ibuprofen dosage reduction and evaluate patients at frequent intervals for signs of respiratory depression and sedation. Benzodiazepines and Other Central Nervous System (CNS) Depressants Due to additive pharmacologic effect, the concomitant use of benzodiazepines or other CNS depressants such as benzodiazepines and other sedatives/hypnotics, anxiolytics, tranquilizers, muscle relaxants, general anesthetics, antipsychotics, gabapentinoids (gabapentin or pregabalin) and other opioids, including alcohol, increase the risk of hypotension, respiratory depression, profound sedation, coma, and death. Reserve concomitant prescribing of these drugs for use in patients for whom alternative treatment options are inadequate. Limit dosages and durations to the minimum required. Inform patients and caregivers of this potential interaction, educate them on the signs and symptoms of respiratory depression (including sedation). If concomitant use is warranted, consider recommending or prescribing an opioid overdose reversal agent ( see WARNINGS , DOSAGE AND ADMINISTRATION ). Serotonergic Drugs Serotonergic Drugs Clinical Impact: The concomitant use of opioids with other drugs that affect the serotonergic neurotransmitter system has resulted in serotonin syndrome. Intervention: If concomitant use is warranted, frequently evaluate the patient, particularly during treatment initiation and dose adjustment. Discontinue hydrocodone bitartrate and ibuprofen if serotonin syndrome is suspected. Examples: Selective serotonin reuptake inhibitors (SSRIs), serotonin and norepinephrine reuptake inhibitors (SNRIs), tricyclic antidepressants (TCAs), triptans, 5-HT3 receptor antagonists, drugs that affect the serotonin neurotransmitter system (e.g., mirtazapine, trazodone, tramadol), certain muscle relaxants (i.e. cyclobenzaprine, metaxalone), monoamine oxidase (MAO) inhibitors (those intended to treat psychiatric disorders and also others, such as linezolid and intravenous methylene blue). Monoamine Oxidase Inhibitors (MAOIs) MAOI interactions with opioids may manifest as serotonin syndrome or opioid toxicity (e.g., respiratory depression, coma). If urgent use of an opioid is necessary with MAOIs such as phenelzine, tranylcypromine, linezolid, use test doses and frequent titration of small doses to treat pain while closely monitoring blood pressure and signs and symptoms of CNS and respiratory depression. The use of hydrocodone bitartrate and ibuprofen is not recommended for patients taking MAOIs or within 14 days of stopping such treatment. Mixed Agonist/Antagonist and Partial Agonist Opioid Analgesics Agonist/antagonist analgesics such as pentazocine, nalbuphine, butorphanol and buprenorphine may reduce the analgesic effect of hydrocodone bitartrate and ibuprofen and/or precipitate withdrawal symptoms in these patients. Avoid concomitant use of these drugs. Muscle Relaxants Hydrocodone, as well as other opioid analgesics, may enhance the neuromuscular blocking action of skeletal muscle relaxants and produce an increased degree of respiratory depression. Because respiratory depression may be greater than otherwise expected decrease the dosage of hydrocodone bitartrate and ibuprofen and/or the muscle relaxant as necessary. Due to the risk of respiratory depression with concomitant use of skeletal muscle relaxants and opioids, consider recommending or prescribing an opioid overdose reversal agent (see WARNINGS ; DOSAGE AND ADMINISTRATION ) . Examples: Cyclobenzaprine, metaxalone. Anticholinergic  Drug s The concomitant use of anticholinergic drugs may increase risk of urinary retention and/or severe constipation, which may lead to paralytic ileus. Evaluate patients for signs of urinary retention or reduced gastric motility when hydrocodone bitartrate and ibuprofen is used concomitantly with anticholinergic drugs. Drugs That Interfere With Hemostasis Ibuprofen and anticoagulants such as warfarin have a synergistic effect on bleeding. The concomitant use of ibuprofen and anticoagulants have an increased risk of serious bleeding compared to the use of either drug alone. Serotonin release by platelets plays an important role in hemostasis. Case-control and cohort epidemiological studies showed that concomitant use of drugs that interfere with serotonin reuptake and an NSAID may potentiate the risk of bleeding more than an NSAID alone. Evaluate patients with concomitant use of hydrocodone bitartrate and ibuprofen with anticoagulants (e.g., warfarin), antiplatelet agents (e.g., aspirin), SSRIs, and SNRIs for signs of bleeding (see WARNINGS: Hematologic Toxicity ) . Aspirin Pharmacodynamic studies have demonstrated interference with the antiplatelet activity of aspirin when ibuprofen 400 mg, given three times daily, is administered with entericcoated low-dose aspirin. The interaction exists even following a once-daily regimen of ibuprofen 400 mg, particularly when ibuprofen is dosed prior to aspirin. The interaction is alleviated if immediate-release low-dose aspirin is dosed at least 2 hours prior to a once-daily regimen of ibuprofen; however, this finding cannot be extended to enteric-coated low-dose aspirin (see CLINICAL PHARMACOLOGY: Pharmacodynamics ) . Because there may be an increased risk of cardiovascular events due to the interference of ibuprofen with the antiplatelet effect of aspirin, for patients taking low-dose aspirin for cardioprotection who require analgesics, consider use of an NSAID that does not interfere with the antiplatelet effect of aspirin, or non-NSAID analgesics, where appropriate. Controlled clinical studies showed that the concomitant use of NSAIDs and analgesic doses of aspirin does not produce any greater therapeutic effect than the use of NSAIDs alone. In a clinical study, the concomitant use of an NSAID and aspirin was associated with a significantly increased incidence of GI adverse reactions as compared to use of the NSAID alone (see WARNINGS: Gastrointestinal Bleeding, Ulceration, and Perforation ) . Concomitant use of hydrocodone bitartrate and ibuprofen and analgesic doses of aspirin is not generally recommended because of the increased risk of bleeding (see WARNINGS: Hematologic Toxicity ) . ACE-Inhibitors, Angiotensin Receptor Blockers, and Beta-blockers NSAIDs may diminish the antihypertensive effect of angiotensin converting enzyme (ACE) inhibitors, angiotensin receptor blockers (ARBs), or beta-blockers (including propranolol). During concomitant use of hydrocodone bitartrate and ibuprofen and ACE-inhibitors, ARBs, or beta-blockers, monitor blood pressure to ensure that the desired blood pressure is obtained. In patients who are elderly, volume-depleted (including those on diuretic therapy), or have renal impairment, co-administration of an NSAID with ACE inhibitors or ARBs may result in deterioration of renal function, including possible acute renal failure. Evaluate for signs of worsening renal function (see WARNINGS: Renal Toxicity and Hyperkalemia ) . These effects are usually reversible. When these drugs are administered concomitantly, patients should be adequately hydrated. Assess renal function at the beginning of the concomitant treatment and periodically thereafter. Diuretics Clinical studies, as well as post-marketing observations, showed that NSAIDs reduced the natriuretic effect of loop diuretics (e.g., furosemide) and thiazide diuretics in some patients. This effect has been attributed to the NSAID inhibition of renal prostaglandin synthesis. During concomitant use of hydrocodone bitartrate and ibuprofen with diuretics, observe patients for signs of worsening renal function, in addition to assuring diuretic efficacy including antihypertensive effects (see WARNINGS: Renal Toxicity and Hyperkalemia ) . Evaluate patients for signs for diminished diuresis and/or effects on blood pressure and increase the dosage of the diuretic as needed. Digoxin The concomitant use of ibuprofen with digoxin has been reported to increase the serum concentration and prolong the half-life of digoxin. During concomitant use of hydrocodone bitartrate and ibuprofen and digoxin, monitor serum digoxin levels. Lithium NSAIDs have produced elevations in plasma lithium concentration and reductions in renal lithium clearance. The mean minimum lithium concentration increased 15%, and the renal clearance decreased by approximately 20%. This effect has been attributed to NSAID inhibition of renal prostaglandin synthesis. During concomitant use of hydrocodone bitartrate and ibuprofen and lithium, evaluate patients for signs of lithium toxicity. Methotrexate Concomitant use of NSAIDs and methotrexate may increase the risk for methotrexate toxicity (e.g., neutropenia, thrombocytopenia, renal dysfunction). During concomitant use of hydrocodone bitartrate and ibuprofen and methotrexate, evaluate patients for methotrexate toxicity. Cyclosporine Concomitant use of hydrocodone bitartrate and ibuprofen and cyclosporine may increase cyclosporine’s nephrotoxicity. During concomitant use of hydrocodone bitartrate and ibuprofen and cyclosporine, evaluate patients for signs of worsening renal function. NSAIDs and Salicylates Concomitant use of ibuprofen with other NSAIDs or salicylates (e.g., diflunisal, salsalate) increases the risk of GI toxicity, with little or no increase in efficacy (see WARNINGS: Gastrointestinal Bleeding, Ulceration, and Perforation ) . The concomitant use of ibuprofen with other NSAIDs or salicylates is not recommended. Pemetrexed Concomitant use of hydrocodone bitartrate and ibuprofen and pemetrexed may increase the risk of pemetrexed-associated myelosuppression, renal, and GI toxicity (see the pemetrexed prescribing information). During concomitant use of hydrocodone bitartrate and ibuprofen and pemetrexed, in patients with renal impairment whose creatinine clearance ranges from 45 to 79 mL/min, monitor for myelosuppression, renal and GI toxicity. NSAIDs with short elimination half-lives (e.g., diclofenac, indomethacin) should be avoided for a period of two days before, the day of, and two days following administration of pemetrexed. In the absence of data regarding potential interaction between pemetrexed and NSAIDs with longer half-lives (e.g., meloxicam, nabumetone), patients taking these NSAIDs should interrupt dosing for at least five days before, the day of, and two days following pemetrexed administration.

How Supplied

Hydrocodone bitartrate and ibuprofen tablets, 2.5 mg/200 mg , are supplied as white, capsule-shaped, film-coated tablets, debossed “IP 116” on obverse and plain on reverse. They are available as follows: Bottles of 100:             NDC 53746-116-01 Hydrocodone bitartrate and ibuprofen tablets, 5 mg/200 mg , are supplied as white, oval-shaped, film-coated tablets, debossed “IP 146” on obverse and plain on reverse. They are available as follows: Bottles of 100:             NDC 53746-146-01 Hydrocodone bitartrate and ibuprofen tablets, 7.5 mg/200 mg , are supplied as white, round, film-coated, biconvex tablets, debossed with “IP” over “145” on one side and plain on the other side. They are available as follows: Bottles of 100:             NDC 53746-145-01 Bottles of 500:             NDC 53746-145-05 Hydrocodone bitartrate and ibuprofen tablets, 10 mg/200 mg , are supplied as yellow, round-shaped, film-coated tablets, debossed “IP 117” on obverse and plain on reverse. They are available as follows: Bottles of 100:             NDC 53746-117-01 Storage Store at room temperature 20° to 25°C (68° to 77°F); excursions permitted between 15° to 30°C (59° to 86°F) [see USP Controlled Room Temperature]. Dispense in a tight, light-resistant container. Store hydrocodone bitartrate and ibuprofen tablets securely and dispose of properly (see PRECAUTIONS: Information for Patients ) . Manufactured by: Amneal Pharmaceuticals of NY, LLC Brookhaven, NY 11719 Rev. 11-2025-15


Medication Information

Indications and Usage

Hydrocodone bitartrate and ibuprofen tablets are indicated for the short-term management of acute pain severe enough to require an opioid analgesic and for which alternative treatments are inadequate.

Limitations of Use

Carefully consider the potential benefits and risks of hydrocodone bitartrate and ibuprofen tablets and other treatment options before deciding to use hydrocodone bitartrate and ibuprofen tablets. Use the lowest effective dosage for the shortest duration consistent with individual patient treatment goals (see WARNINGS: Cardiovascular Thrombotic Events, Gastrointestinal Bleeding, Ulceration, and Perforation ). Do not use hydrocodone bitartrate and ibuprofen tablets for the treatment of conditions such as osteoarthritis or rheumatoid arthritis.

Because of the risks of addiction, abuse, misuse, overdose, and death, which can occur at any dosage or duration and persist over the course of therapy (see WARNINGS ), reserve opioid analgesics, including hydrocodone bitartrate and ibuprofen tablets, for use in patients for whom alternative treatment options are ineffective, not tolerated, or would be otherwise inadequate to provide sufficient management of pain.

Dosage and Administration

Important Dosage and Administration Instructions

Hydrocodone bitartrate and ibuprofen tablets should be prescribed only by healthcare professionals who are knowledgeable about the use of opioids and how to mitigate the associated risks.

Use the lowest effective dosage for the shortest duration of time consistent with individual patient treatment goals (see WARNINGS ). Because the risk of overdose increases as opioid doses increase, reserve titration to higher doses of hydrocodone bitartrate and ibuprofen tablets for patients in whom lower doses are insufficiently effective and in whom the expected benefits of using a higher dose opioid clearly outweigh the substantial risks.

Many acute pain conditions (e.g., the pain that occurs with a number of surgical procedures or acute musculoskeletal injuries) require no more than a few days of an opioid analgesic. Clinical guidelines on opioid prescribing for some acute pain conditions are available.

There is variability in the opioid analgesic dose and duration needed to adequately manage pain due both to the cause of pain and to individual patient factors. Initiate the dosing regimen for each patient individually, taking into account the patient’s underlying cause and severity of pain, prior analgesic treatment and response, and risk factors for addiction, abuse, and misuse (see WARNINGS ).

Respiratory depression can occur at any time during opioid therapy, especially when initiating and following dosage increases with hydrocodone bitartrate and ibuprofen tablets. Consider this risk when selecting an initial dose and when making dose adjustments (see WARNINGS ).

Patient Access to an Opioid Overdose Reversal Agent for the Emergency Treatment of Opioid Overdose

Inform patients and caregivers about opioid overdose reversal agents (e.g., naloxone, nalmefene). Discuss the importance of having access to an opioid overdose reversal agent, especially if the patient has risk factors for overdose (e.g., concomitant use of CNS depressants, a history of opioid use disorder, or prior opioid overdose) or if there are household members (including children) or other close contacts at risk for accidental ingestion or opioid overdose. The presence of risk factors for overdose should not prevent the management of pain in any patient (see WARNINGS; Addiction, Abuse, and Misuse; Life-Threatening Respiratory Depression; Risks from Concomitant Use with Benzodiazepines or Other CNS Depressants ).

Discuss the options for obtaining an opioid overdose reversal agent (e.g., prescription, over-the-counter, or as part of a community-based program).

There are important differences among the opioid overdose reversal agents, such as route of administration, product strength, approved patient age range, and pharmacokinetics. Be familiar with these differences, as outlined in the approved labeling for those products, prior to recommending or prescribing such an agent.

Initial Dosage

Use of Hydrocodone Bitartrate and Ibuprofen Tablets as the First Opioid Analgesic

Initiate treatment with hydrocodone bitartrate and ibuprofen tablets in a dosing range of one tablet every 4 to 6 hours as needed for pain, at the lowest dose necessary to achieve adequate analgesia. Titrate the dose based upon the individual patient’s response to their initial dose of hydrocodone bitartrate and ibuprofen tablets. Dosage should not exceed 5 tablets in a 24-hour period.

The lowest effective dose or the longest dosing interval should be sought for each patient (see WARNINGS ), especially in the elderly. After observing the initial response to therapy with hydrocodone bitartrate and ibuprofen tablets, the dose and frequency of dosing should be adjusted to suit the individual patient's need, without exceeding the total daily dose recommended.

Titration and Maintenance of Therapy

Individually titrate hydrocodone bitartrate and ibuprofen tablets to a dose that provides adequate analgesia and minimizes adverse reactions. Continually reevaluate patients receiving hydrocodone bitartrate and ibuprofen tablets to assess the maintenance of pain control, signs and symptoms of opioid withdrawal, and other adverse reactions, as well as reassessing for the development of addiction, abuse, or misuse (see  WARNINGS ). Frequent communication is important among the prescriber, other members of the healthcare team, the patient, and the caregiver/family during periods of changing analgesic requirements, including initial titration.

If the level of pain increases after dosage stabilization, attempt to identify the source of increased pain before increasing the hydrocodone bitartrate and ibuprofen tablets dosage. If after increasing the dosage, unacceptable opioid-related adverse reactions are observed (including an increase in pain after dosage increase), consider reducing the dosage (see WARNINGS ). Adjust the dosage to obtain an appropriate balance between management of pain and opioid-related adverse reactions.

Safe Reduction or Discontinuation of Hydrocodone Bitartrate and Ibuprofen Tablets

Do not rapidly reduce or abruptly discontinue hydrocodone bitartrate and ibuprofen tablets in patients who may be physically dependent on opioids. Rapid reduction or abrupt discontinuation of opioid analgesics in patients who are physically dependent on opioids has resulted in serious withdrawal symptoms, uncontrolled pain, and suicide. Rapid reduction or abrupt discontinuation has also been associated with attempts to find other sources of opioid analgesics, which may be confused with drug-seeking for abuse. Patients may also attempt to treat their pain or withdrawal symptoms with illicit opioids, such as heroin, and other substances.

When a decision has been made to decrease the dose or discontinue therapy in an opioid-dependent patient taking hydrocodone bitartrate and ibuprofen, there are a variety of factors that should be considered, including the dose of hydrocodone bitartrate and ibuprofen the patient has been taking, the duration of treatment, the type of pain being treated, and the physical and psychological attributes of the patient. It is important to ensure ongoing care of the patient and to agree on an appropriate tapering schedule and follow-up plan so that patient and provider goals and expectations are clear and realistic. When opioid analgesics are being discontinued due to a suspected substance use disorder, evaluate and treat the patient, or refer for evaluation and treatment of the substance use disorder. Treatment should include evidence-based approaches, such as medication assisted treatment of opioid use disorder. Complex patients with co-morbid pain and substance use disorders may benefit from referral to a specialist.

There are no standard opioid tapering schedules that are suitable for all patients. Good clinical practice dictates a patient-specific plan to taper the dose of the opioid gradually. For patients on hydrocodone bitartrate and ibuprofen who are physically opioid-dependent, initiate the taper by a small enough increment (e.g., no greater than 10% to 25% of the total daily dose) to avoid withdrawal symptoms, and proceed with dose-lowering at an interval of every 2 to 4 weeks. Patients who have been taking opioids for briefer periods of time may tolerate a more rapid taper.

It may be necessary to provide the patient with lower dosage strengths to accomplish a successful taper. Reassess the patient frequently to manage pain and withdrawal symptoms, should they emerge. Common withdrawal symptoms include restlessness, lacrimation, rhinorrhea, yawning, perspiration, chills, myalgia, and mydriasis. Other signs and symptoms also may develop, including irritability, anxiety, backache, joint pain, weakness, abdominal cramps, insomnia, nausea, anorexia, vomiting, diarrhea, or increased blood pressure, respiratory rate, or heart rate. If withdrawal symptoms arise, it may be necessary to pause the taper for a period of time or raise the dose of the opioid analgesic to the previous dose, and then proceed with a slower taper. In addition, evaluate patients for any changes in mood, emergence of suicidal thoughts, or use of other substances.

When managing patients taking opioid analgesics, particularly those who have been treated for an extended period of time and/or with high doses for chronic pain, ensure that a multimodal approach to pain management, including mental health support (if needed), is in place prior to initiating an opioid analgesic taper. A multimodal approach to pain management may optimize the treatment of chronic pain, as well as assist with the successful tapering of the opioid analgesic (see WARNINGS: Withdrawal, DRUG ABUSE AND DEPENDENCE ).

Contraindications

Hydrocodone bitartrate and ibuprofen tablets are contraindicated in patients with:

Adverse Reactions

The following adverse reactions are described below and elsewhere in the labeling including the WARNINGS section.

  • Addiction, Abuse, and Misuse
  • Life-Threatening Respiratory Depression
  • Neonatal Opioid Withdrawal Syndrome
  • Interactions with Cytochrome P450 3A4 Inhibitors and Inducers
  • Interactions with Benzodiazepines or Other CNS Depressants
  • Adrenal Insufficiency
  • Severe Hypotension
  • Seizures
  • Withdrawal
  • Cardiovascular Thrombotic Events
  • Gastrointestinal Bleeding, Ulceration, and Perforation
  • Hepatotoxicity
  • Hypertension
  • Heart Failure and Edema
  • Renal Toxicity and Hyperkalemia
  • Anaphylactic Reactions
  • Exacerbation of Asthma Related to Aspirin Sensitivity
  • Serious Skin Reactions
  • Premature Closure of Fetal Ductus Arteriosus
  • Hematologic Toxicity
  • Aseptic Meningitis
  • Opioid-Induced Hyperalgesia and Allodynia (see  WARNINGS )
Drug Interactions

Inhibitors of CYP3A4 and CYP2D6

The concomitant use of hydrocodone bitartrate and ibuprofen and CYP3A4 inhibitors, such as macrolide antibiotics (e.g., erythromycin), azole-antifungal agents (e.g. ketoconazole), protease inhibitors (e.g., ritonavir), can increase the plasma concentration of hydrocodone, resulting in increased or prolonged opioid effects. These effects could be more pronounced with concomitant use of hydrocodone bitartrate and ibuprofen and CYP2D6 and CYP3A4 inhibitors, particularly when an inhibitor is added after a stable dose of hydrocodone bitartrate and ibuprofen is achieved (see WARNINGS: Risks of Concomitant Use or Discontinuation of Cytochrome P450 3A4 Inhibitors and Inducers ).

After stopping a CYP3A4 inhibitor, as the effects of the inhibitor decline, the hydrocodone plasma concentration will decrease (see CLINICAL PHARMACOLOGY: Pharmacokinetics ), resulting in decreased opioid efficacy or a withdrawal syndrome in patients who had developed physical dependence to hydrocodone bitartrate and ibuprofen.

If concomitant use is necessary, consider dosage reduction of hydrocodone bitartrate and ibuprofen until stable drug effects are achieved. Evaluate patients at frequent intervals for respiratory depression and sedation. If a CYP3A4 inhibitor is discontinued, consider increasing the hydrocodone bitartrate and ibuprofen dosage until stable drug effects are achieved. Assess for signs of opioid withdrawal.

CYP3A4 Inducers

The concomitant use of hydrocodone bitartrate and ibuprofen and CYP3A4 inducers, such as rifampin, carbamazepine, and phenytoin, can decrease the plasma concentration of hydrocodone (see CLINICAL PHARMACOLOGY: Pharmacokinetics ), resulting in decreased efficacy or onset of a withdrawal syndrome in patients who have developed physical dependence to hydrocodone (see WARNINGS: Withdrawal ).

After stopping a CYP3A4 inducer, as the effects of the inducer decline, the hydrocodone plasma concentration will increase (see CLINICAL PHARMACOLOGY: Pharmacokinetics ), which could increase or prolong both the therapeutic effects and adverse reactions, and may cause serious respiratory depression.

If concomitant use is necessary, consider a dosage increase of hydrocodone bitartrate and ibuprofen until stable drug effects are achieved. Evaluate for signs of opioid withdrawal. If a CYP3A4 inducer is discontinued, consider hydrocodone bitartrate and ibuprofen dosage reduction and evaluate patients at frequent intervals for signs of respiratory depression and sedation.

Benzodiazepines and Other Central Nervous System (CNS) Depressants

Due to additive pharmacologic effect, the concomitant use of benzodiazepines or other CNS depressants such as benzodiazepines and other sedatives/hypnotics, anxiolytics, tranquilizers, muscle relaxants, general anesthetics, antipsychotics, gabapentinoids (gabapentin or pregabalin) and other opioids, including alcohol, increase the risk of hypotension, respiratory depression, profound sedation, coma, and death.

Reserve concomitant prescribing of these drugs for use in patients for whom alternative treatment options are inadequate. Limit dosages and durations to the minimum required. Inform patients and caregivers of this potential interaction, educate them on the signs and symptoms of respiratory depression (including sedation). If concomitant use is warranted, consider recommending or prescribing an opioid overdose reversal agent (see WARNINGS, DOSAGE AND ADMINISTRATION ).

Serotonergic Drugs

Serotonergic Drugs

Clinical Impact:

The concomitant use of opioids with other drugs that affect the serotonergic neurotransmitter system has resulted in serotonin syndrome.

Intervention:

If concomitant use is warranted, frequently evaluate the patient, particularly during treatment initiation and dose adjustment. Discontinue hydrocodone bitartrate and ibuprofen if serotonin syndrome is suspected.

Examples:

Selective serotonin reuptake inhibitors (SSRIs), serotonin and norepinephrine reuptake inhibitors (SNRIs), tricyclic antidepressants (TCAs), triptans, 5-HT3 receptor antagonists, drugs that affect the serotonin neurotransmitter system (e.g., mirtazapine, trazodone, tramadol), certain muscle relaxants (i.e. cyclobenzaprine, metaxalone), monoamine oxidase (MAO) inhibitors (those intended to treat psychiatric disorders and also others, such as linezolid and intravenous methylene blue).

Monoamine Oxidase Inhibitors (MAOIs)

MAOI interactions with opioids may manifest as serotonin syndrome or opioid toxicity (e.g., respiratory depression, coma).

If urgent use of an opioid is necessary with MAOIs such as phenelzine, tranylcypromine, linezolid, use test doses and frequent titration of small doses to treat pain while closely monitoring blood pressure and signs and symptoms of CNS and respiratory depression.

The use of hydrocodone bitartrate and ibuprofen is not recommended for patients taking MAOIs or within 14 days of stopping such treatment.

Mixed Agonist/Antagonist and Partial Agonist Opioid Analgesics

Agonist/antagonist analgesics such as pentazocine, nalbuphine, butorphanol and buprenorphine may reduce the analgesic effect of hydrocodone bitartrate and ibuprofen and/or precipitate withdrawal symptoms in these patients.

Avoid concomitant use of these drugs.

Muscle Relaxants

Hydrocodone, as well as other opioid analgesics, may enhance the neuromuscular blocking action of skeletal muscle relaxants and produce an increased degree of respiratory depression.

Because respiratory depression may be greater than otherwise expected decrease the dosage of hydrocodone bitartrate and ibuprofen and/or the muscle relaxant as necessary. Due to the risk of respiratory depression with concomitant use of skeletal muscle relaxants and opioids, consider recommending or prescribing an opioid overdose reversal agent (see WARNINGS; DOSAGE AND ADMINISTRATION ).

Examples: Cyclobenzaprine, metaxalone.

Anticholinergic Drugs

The concomitant use of anticholinergic drugs may increase risk of urinary retention and/or severe constipation, which may lead to paralytic ileus.

Evaluate patients for signs of urinary retention or reduced gastric motility when hydrocodone bitartrate and ibuprofen is used concomitantly with anticholinergic drugs.

Drugs That Interfere With Hemostasis

Ibuprofen and anticoagulants such as warfarin have a synergistic effect on bleeding. The concomitant use of ibuprofen and anticoagulants have an increased risk of serious bleeding compared to the use of either drug alone.

Serotonin release by platelets plays an important role in hemostasis. Case-control and cohort epidemiological studies showed that concomitant use of drugs that interfere with serotonin reuptake and an NSAID may potentiate the risk of bleeding more than an NSAID alone.

Evaluate patients with concomitant use of hydrocodone bitartrate and ibuprofen with anticoagulants (e.g., warfarin), antiplatelet agents (e.g., aspirin), SSRIs, and SNRIs for signs of bleeding (see WARNINGS: Hematologic Toxicity ).

Aspirin

Pharmacodynamic studies have demonstrated interference with the antiplatelet activity of aspirin when ibuprofen 400 mg, given three times daily, is administered with entericcoated low-dose aspirin. The interaction exists even following a once-daily regimen of ibuprofen 400 mg, particularly when ibuprofen is dosed prior to aspirin. The interaction is alleviated if immediate-release low-dose aspirin is dosed at least 2 hours prior to a once-daily regimen of ibuprofen; however, this finding cannot be extended to enteric-coated low-dose aspirin (see CLINICAL PHARMACOLOGY: Pharmacodynamics ).

Because there may be an increased risk of cardiovascular events due to the interference of ibuprofen with the antiplatelet effect of aspirin, for patients taking low-dose aspirin for cardioprotection who require analgesics, consider use of an NSAID that does not interfere with the antiplatelet effect of aspirin, or non-NSAID analgesics, where appropriate.

Controlled clinical studies showed that the concomitant use of NSAIDs and analgesic doses of aspirin does not produce any greater therapeutic effect than the use of NSAIDs alone. In a clinical study, the concomitant use of an NSAID and aspirin was associated with a significantly increased incidence of GI adverse reactions as compared to use of the NSAID alone (see WARNINGS: Gastrointestinal Bleeding, Ulceration, and Perforation ).

Concomitant use of hydrocodone bitartrate and ibuprofen and analgesic doses of aspirin is not generally recommended because of the increased risk of bleeding (see WARNINGS: Hematologic Toxicity ).

ACE-Inhibitors, Angiotensin Receptor Blockers, and Beta-blockers

NSAIDs may diminish the antihypertensive effect of angiotensin converting enzyme (ACE) inhibitors, angiotensin receptor blockers (ARBs), or beta-blockers (including propranolol).

During concomitant use of hydrocodone bitartrate and ibuprofen and ACE-inhibitors, ARBs, or beta-blockers, monitor blood pressure to ensure that the desired blood pressure is obtained. In patients who are elderly, volume-depleted (including those on diuretic therapy), or have renal impairment, co-administration of an NSAID with ACE inhibitors or ARBs may result in deterioration of renal function, including possible acute renal failure. Evaluate for signs of worsening renal function (see WARNINGS: Renal Toxicity and Hyperkalemia ). These effects are usually reversible.

When these drugs are administered concomitantly, patients should be adequately hydrated. Assess renal function at the beginning of the concomitant treatment and periodically thereafter.

Diuretics

Clinical studies, as well as post-marketing observations, showed that NSAIDs reduced the natriuretic effect of loop diuretics (e.g., furosemide) and thiazide diuretics in some patients. This effect has been attributed to the NSAID inhibition of renal prostaglandin synthesis.

During concomitant use of hydrocodone bitartrate and ibuprofen with diuretics, observe patients for signs of worsening renal function, in addition to assuring diuretic efficacy including antihypertensive effects (see WARNINGS: Renal Toxicity and Hyperkalemia ).

Evaluate patients for signs for diminished diuresis and/or effects on blood pressure and increase the dosage of the diuretic as needed.

Digoxin

The concomitant use of ibuprofen with digoxin has been reported to increase the serum concentration and prolong the half-life of digoxin.

During concomitant use of hydrocodone bitartrate and ibuprofen and digoxin, monitor serum digoxin levels.

Lithium

NSAIDs have produced elevations in plasma lithium concentration and reductions in renal lithium clearance. The mean minimum lithium concentration increased 15%, and the renal clearance decreased by approximately 20%. This effect has been attributed to NSAID inhibition of renal prostaglandin synthesis.

During concomitant use of hydrocodone bitartrate and ibuprofen and lithium, evaluate patients for signs of lithium toxicity.

Methotrexate

Concomitant use of NSAIDs and methotrexate may increase the risk for methotrexate toxicity (e.g., neutropenia, thrombocytopenia, renal dysfunction).

During concomitant use of hydrocodone bitartrate and ibuprofen and methotrexate, evaluate patients for methotrexate toxicity.

Cyclosporine

Concomitant use of hydrocodone bitartrate and ibuprofen and cyclosporine may increase cyclosporine’s nephrotoxicity.

During concomitant use of hydrocodone bitartrate and ibuprofen and cyclosporine, evaluate patients for signs of worsening renal function.

NSAIDs and Salicylates

Concomitant use of ibuprofen with other NSAIDs or salicylates (e.g., diflunisal, salsalate) increases the risk of GI toxicity, with little or no increase in efficacy (see WARNINGS: Gastrointestinal Bleeding, Ulceration, and Perforation ).

The concomitant use of ibuprofen with other NSAIDs or salicylates is not recommended.

Pemetrexed

Concomitant use of hydrocodone bitartrate and ibuprofen and pemetrexed may increase the risk of pemetrexed-associated myelosuppression, renal, and GI toxicity (see the pemetrexed prescribing information).

During concomitant use of hydrocodone bitartrate and ibuprofen and pemetrexed, in patients with renal impairment whose creatinine clearance ranges from 45 to 79 mL/min, monitor for myelosuppression, renal and GI toxicity.

NSAIDs with short elimination half-lives (e.g., diclofenac, indomethacin) should be avoided for a period of two days before, the day of, and two days following administration of pemetrexed.

In the absence of data regarding potential interaction between pemetrexed and NSAIDs with longer half-lives (e.g., meloxicam, nabumetone), patients taking these NSAIDs should interrupt dosing for at least five days before, the day of, and two days following pemetrexed administration.

How Supplied

Hydrocodone bitartrate and ibuprofen tablets, 2.5 mg/200 mg, are supplied as white, capsule-shaped, film-coated tablets, debossed “IP 116” on obverse and plain on reverse.

They are available as follows:

Bottles of 100:             NDC 53746-116-01

Hydrocodone bitartrate and ibuprofen tablets, 5 mg/200 mg, are supplied as white, oval-shaped, film-coated tablets, debossed “IP 146” on obverse and plain on reverse.

They are available as follows:

Bottles of 100:             NDC 53746-146-01

Hydrocodone bitartrate and ibuprofen tablets, 7.5 mg/200 mg, are supplied as white, round, film-coated, biconvex tablets, debossed with “IP” over “145” on one side and plain on the other side.

They are available as follows:

Bottles of 100:             NDC 53746-145-01

Bottles of 500:             NDC 53746-145-05

Hydrocodone bitartrate and ibuprofen tablets, 10 mg/200 mg, are supplied as yellow, round-shaped, film-coated tablets, debossed “IP 117” on obverse and plain on reverse.

They are available as follows:

Bottles of 100:             NDC 53746-117-01

Storage

Store at room temperature 20° to 25°C (68° to 77°F); excursions permitted between 15° to 30°C (59° to 86°F) [see USP Controlled Room Temperature].

Dispense in a tight, light-resistant container.

Store hydrocodone bitartrate and ibuprofen tablets securely and dispose of properly (see PRECAUTIONS: Information for Patients ).

Manufactured by:

Amneal Pharmaceuticals of NY, LLC

Brookhaven, NY 11719

Rev. 11-2025-15

Description

Each hydrocodone bitartrate and ibuprofen tablet contains either:

Hydrocodone Bitartrate, USP 2.5 mg, 5 mg, 7.5 mg, or 10 mg and Ibuprofen, USP 200 mg

Hydrocodone bitartrate and ibuprofen tablets are supplied in a fixed combination tablet form for oral administration. Hydrocodone bitartrate and ibuprofen tablets combine the opioid agonist, hydrocodone bitartrate, USP, with the nonsteroidal anti-inflammatory (NSAID) agent, ibuprofen, USP.

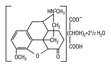
Hydrocodone bitartrate, USP is a semisynthetic opioid agonist. Its chemical name is: 4,5 α-epoxy-3-methoxy-17-methylmorphinan-6-one tartrate (1:1) hydrate (2:5). Its chemical formula is: C18H21NO3•C4H6O6•2½H2O, and the molecular weight is 494.50. Its structural formula is:

Ibuprofen, USP is a nonsteroidal anti-inflammatory agent [non-selective COX inhibitor] with analgesic and antipyretic properties. Its chemical name is: (±)-2-(p-isobutylphenyl) propionic acid. Its chemical formula is: C13H18O2, and the molecular weight is: 206.29. Its structural formula is:

Inactive ingredients in hydrocodone bitartrate and ibuprofen 2.5 mg/200 mg, 5 mg/200 mg and 7.5 mg/200 mg tablets include: carnauba wax, colloidal silicon dioxide, croscarmellose sodium, hypromellose, magnesium stearate, microcrystalline cellulose, polyethylene glycol, polydextrose, pregelatinized starch and titanium dioxide.

Inactive ingredients in hydrocodone bitartrate and ibuprofen 10 mg/200 mg tablets include: colloidal silicon dioxide, croscarmellose sodium, hypromellose, magnesium stearate, microcrystalline cellulose, polyethylene glycol, polydextrose, pregelatinized starch, titanium dioxide, triacetin and D&C Yellow #10 Aluminum Lake.

Warnings

Hydrocodone Component

Pregnancy

Risk Summary

Use of NSAIDs, including hydrocodone bitartrate and ibuprofen, can cause premature closure of the fetal ductus arteriosus and fetal renal dysfunction leading to oligohydramnios and, in some cases, neonatal renal impairment. Because of these risks, limit dose and duration of hydrocodone bitartrate and ibuprofen use between about 20 and 30 weeks of gestation, and avoid hydrocodone bitartrate and ibuprofen use at about 30 weeks of gestation and later in pregnancy (see WARNINGS: Fetal Toxicity ).

Premature Closure of Fetal Ductus Arteriosus

Use of NSAIDs, including hydrocodone bitartrate and ibuprofen, at about 30 weeks gestation or later in pregnancy increases the risk of premature closure of the fetal ductus arteriosus.

Oligohydramnios/Neonatal Renal Impairment

Use of NSAIDs at about 20 weeks gestation or later in pregnancy has been associated with cases of fetal renal dysfunction leading to oligohydramnios, and in some cases, neonatal renal impairment.

Data from observational studies regarding other potential embryo-fetal risks of NSAID use in women in the first or second trimesters of pregnancy are inconclusive.  In animal reproduction studies, an increase in the percentage of litters and fetuses with any major abnormality and an increase in the number of litters and fetuses with one or more nonossified metacarpals was observed when the combination of hydrocodone and ibuprofen was administered orally to pregnant rabbits during organogenesis at 1.8 times the maximum daily dose. There are no animal reproductive and developmental toxicology studies with hydrocodone alone.

In published animal reproduction studies testing ibuprofen alone, there were no clear developmental effects at doses up to 1.2 times the maximum recommended human dose (MRHD) in the rabbit and 1.8 times in the MRHD rat when dosed throughout gestation. In contrast, an increase in membranous ventricular septal defects was reported in rats treated on Gestation Days 9 & 10 with 3 times the MRHD. Based on animal data, prostaglandins have been shown to have an important role in endometrial vascular permeability, blastocyst implantation, and decidualization. In animal studies, administration of prostaglandin synthesis inhibitors such as ibuprofen, resulted in increased pre- and post-implantation loss. Prostaglandins also have been shown to have an important role in fetal kidney development. In published animal studies, prostaglandin synthesis inhibitors have been reported to impair kidney development when administered at clinically relevant doses.

The estimated background risk of major birth defects and miscarriage for the indicated population(s) is unknown. All pregnancies have a background risk of birth defect, loss, or other adverse outcomes. In the U.S. general population, the estimated background risk of major birth defects and miscarriage in clinically recognized pregnancies is 2% to 4% and 15% to 20%, respectively.

Clinical Considerations

Fetal/Neonatal Adverse Reactions

Premature Closure of Fetal Ductus Arteriosus:

Avoid use of NSAIDs in women at about 30 weeks gestation and later in pregnancy, because NSAIDs, including hydrocodone bitartrate and ibuprofen, can cause premature closure of the fetal ductus arteriosus (see WARNINGS: Fetal Toxicity ).

Oligohydramnios/Neonatal Renal Impairment

If an NSAID is necessary at about 20 weeks gestation or later in pregnancy, limit the use to the lowest effective dose and shortest duration possible. If hydrocodone bitartrate and ibuprofen treatment extends beyond 48 hours, consider monitoring with ultrasound for oligohydramnios. If oligohydramnios occurs, discontinue hydrocodone bitartrate and ibuprofen and follow up according to clinical practice (see WARNINGS: Fetal Toxicity ).

Use of opioid analgesics for an extended period of time during pregnancy for medical or nonmedical purposes can result in physical dependence in the neonate and neonatal opioid withdrawal syndrome shortly after birth.

Neonatal opioid withdrawal syndrome presents as irritability, hyperactivity and abnormal sleep pattern, high-pitched cry, tremor, vomiting, diarrhea, and failure to gain weight. The onset, duration, and severity of neonatal opioid withdrawal syndrome vary based on the specific opioid used, duration of use, timing and amount of last maternal use, and rate of elimination of the drug by the newborn. Observe newborns for symptoms of neonatal opioid withdrawal syndrome and manage accordingly (see WARNINGS: Neonatal Opioid Withdrawal Syndrome ).

Labor and Delivery

Opioids cross the placenta and may produce respiratory depression and psycho-physiologic effects in neonates. An opioid overdose reversal agent, such as naloxone or nalmefene, must be available for reversal of opioid-induced respiratory depression in the neonate. Monitor neonates exposed to opioid analgesics during labor for signs of excess sedation and respiratory depression. There are no studies on the effects of hydrocodone bitartrate and ibuprofen during labor or delivery. In animal studies, NSAIDs, including ibuprofen, inhibit prostaglandin synthesis, cause delayed parturition, and increase the incidence of stillbirth.

Hydrocodone bitartrate and ibuprofen is not recommended for use in women during and immediately prior to labor, when use of shorter-acting analgesics or other analgesic techniques are more appropriate. Opioid analgesics, including hydrocodone bitartrate and ibuprofen, can prolong labor through actions that temporarily reduce the strength, duration, and frequency of uterine contractions. However, this effect is not consistent and may be offset by an increased rate of cervical dilatation, which tends to shorten labor. Monitor neonates exposed to opioid analgesics during labor for signs of excess sedation and respiratory depression.

Data

Human Data

Premature Closure of Fetal Ductus Arteriosus:

Published literature reports that the use of NSAIDs at about 30 weeks of gestation and later in pregnancy may cause premature closure of the fetal ductus arteriosus.

Oligohydramnios/Neonatal Renal Impairment:

Published studies and post-marketing reports describe maternal NSAID use at about 20 weeks gestation or later in pregnancy associated with fetal renal dysfunction leading to oligohydramnios, and in some cases, neonatal renal impairment. These adverse outcomes are seen, on average, after days to weeks of treatment, although oligohydramnios has been infrequently reported as soon as 48 hours after NSAID initiation. In many cases, but not all, the decrease in amniotic fluid was transient and reversible with cessation of the drug. There have been a limited number of case reports of maternal NSAID use and neonatal renal dysfunction without oligohydramnios, some of which were irreversible. Some cases of neonatal renal dysfunction required treatment with invasive procedures, such as exchange transfusion or dialysis.

Methodological limitations of these post-marketing studies and reports include lack of a control group; limited information regarding dose, duration, and timing of drug exposure; and concomitant use of other medications. These limitations preclude establishing a reliable estimate of the risk of adverse fetal and neonatal outcomes with maternal NSAID use. Because the published safety data on neonatal outcomes involved mostly preterm infants, the generalizability of certain reported risks to the full-term infant exposed to NSAIDs through maternal use is uncertain.

Animal Data

Pregnant rabbits were treated with 10, 33, or 95 mg/kg of 1:27 ratio of hydrocodone:ibuprofen (the high dose is 1.8 times the maximum daily dose of both compounds based on surface area) from Gestation Day 5 to 18. The dose of 95 mg/kg of the combination, which also produced maternal toxicity (44% decrease in body weight gain compared to control), resulted in an increase in the percentage of litters and fetuses with any major abnormality and an increase in the number of litters and fetuses with one or more nonossified metacarpals (a minor abnormality).

Pregnant rats were treated with 50, 100, or 166 mg/kg of a 1:27 ratio of hydrocodone:ibuprofen (the high dose is 1.6 times the maximum daily dose of both compounds based on body surface area) from Gestation Day 5 to 15. No reproductive toxicity was noted despite the presence of maternal toxicity in the 100 and 166 mg/kg groups (21% and 60% decrease in body weight gain compared to control).

In a published study, female rabbits given 7.5, 20, or 60 mg/kg ibuprofen (0.15, 0.39, or 1.2 times the maximum recommended human daily dose of 1000 mg of ibuprofen based on body surface area) from Gestation Days 1 to 29, no clear treatment-related adverse developmental effects were noted. This dose was associated with significant maternal toxicity (stomach ulcers, gastric lesions). In the same publication, female rats were administered 7.5, 20, 60, 180 mg/kg ibuprofen (0.07, 0.2, 0.6, 1.8 times the maximum daily dose) did not result in clear adverse developmental effects. Maternal toxicity (gastrointestinal lesions) was noted at 20 mg/kg and above.

In a published study, rats were orally dosed with 300 mg/kg ibuprofen (3 times the maximum human daily dose of 1000 mg based on body surface area) during Gestation Days 9 and 10 (critical time points for heart development in rats). Ibuprofen treatment resulted in an increase in the incidence of membranous ventricular septal defects. This dose was associated with significant maternal toxicity including gastrointestinal toxicity (1 out of 20 animals). In the same study/publication rabbits were dosed on Gestation Day 9, 10 and 11 with 500 mg/kg (9.7 times the maximum human daily dose), and only one incidence each of a membranous ventricular septal defect and gastroschisis was noted in the rabbit fetuses. This dose was also associated with maternal toxicity.

Overdosage

Following an acute overdosage, toxicity may result from hydrocodone and/or ibuprofen.

Clinical Presentation

Hydrocodone Component

Acute overdose with hydrocodone bitartrate and ibuprofen tablets can be manifested by respiratory depression, somnolence progressing to stupor or coma, skeletal muscle flaccidity, cold and clammy skin, constricted pupils, and, in some cases, pulmonary edema, bradycardia, hypotension, hypoglycemia, partial or complete airway obstruction, atypical snoring, and death. Marked mydriasis rather than miosis may be seen with hypoxia in overdose situations (see CLINICAL PHARMACOLOGY ). Toxic leukoencephalopathy has been reported after opioid overdose and can present hours, days, or weeks after apparent recovery from the initial intoxication.

Ibuprofen Component

Symptoms following acute NSAID overdosages have been typically limited to lethargy, drowsiness, nausea, vomiting, and epigastric pain, which have been generally reversible with supportive care. Gastrointestinal bleeding has occurred (see WARNINGS: Gastrointestinal Bleeding, Ulceration, and Perforation ). Hypertension, acute renal failure, respiratory depression, and coma have occurred, but were rare (see WARNINGS: Hypertension, Renal Toxicity and Hyperkalemia ).

Treatment of Overdose

In case of overdose, priorities are the re-establishment of a patent and protected airway and institution of assisted or controlled ventilation, if needed. Employ other supportive measures (including oxygen and vasopressors) in the management of circulatory shock and pulmonary edema as indicated. Cardiac arrest or arrhythmias will require advanced life-support measures.

For clinically significant respiratory or circulatory depression secondary to opioid overdose, administer an opioid overdose reversal agent such as naloxone or nalmefene.

Because the duration of opioid reversal is expected to be less than the duration of action of hydrocodone, carefully monitor the patient until spontaneous respiration is reliably re-established. If the response to an opioid overdose reversal agent is suboptimal or only brief in nature, administer additional reversal agent as directed by the product’s prescribing information.

In an individual physically dependent on opioids, administration of the recommended usual dosage of the overdose reversal agent will precipitate an acute withdrawal syndrome. The severity of the withdrawal symptoms experienced will depend on the degree of physical dependence and the dose of the reversal agent administered. If a decision is made to treat serious respiratory depression in the physically dependent patient, administration of the reversal agent should be begun with care and by titration with smaller than usual doses of the reversal agent.

Manage patients with symptomatic and supportive care following an NSAID overdosage. There are no specific antidotes. Consider emesis and/or activated charcoal (60 to 100 grams in adults, 1 to 2 grams per kg of body weight in pediatric patients) and/or osmotic cathartic in symptomatic patients seen within four hours of ingestion or in patients with a large overdose (5 to 10 times the recommended dosage). Forced diuresis, alkalinization of urine, hemodialysis, or hemoperfusion may not be useful due to high protein binding.

For additional information about overdosage treatment contact a poison control center (1-800-222-1222).

Precautions

Masking of Inflammation and Fever

The pharmacological activity of hydrocodone bitartrate and ibuprofen in reducing inflammation, and possibly fever, may diminish the utility of diagnostic signs in detecting infections.

Ophthalmological Effects

Blurred or diminished vision, scotomata, and changes in color vision have been reported with oral ibuprofen. Discontinue ibuprofen if a patient develops such complaints, and refer the patient for an ophthalmologic examination that includes central visual fields and color vision testing.

Information for Patients/Caregivers

Advise the patient to read the FDA-approved patient labeling (Medication Guide) that accompanies each prescription dispensed. Patients, families, or their caregivers should be informed of the following information before initiating therapy with hydrocodone bitartrate and ibuprofen and periodically during the course of ongoing therapy.

1. Storage and Disposal

Because of the risks associated with accidental ingestion, misuse and abuse, advise patients to store hydrocodone bitartrate and ibuprofen tablets securely, out of sight and reach of children, and in a location not accessible by others, including visitors to the home. Inform patients that leaving hydrocodone bitartrate and ibuprofen tablets unsecured can pose a deadly risk to others in the home (see WARNINGS, DRUG ABUSE AND DEPENDENCE ).

Advise patients and caregivers that when medicines are no longer needed, they should be disposed of promptly. Expired, unwanted, or unused hydrocodone bitartrate and ibuprofen tablets should be disposed of by flushing the unused medication down the toilet if a drug take-back option is not readily available. Inform patients that they can visit www.fda.gov/drugdisposal for a complete list of medicines recommended for disposal by flushing, as well as additional information on disposal of unused medicines.

2. Addiction, Abuse, and Misuse

Inform patients that the use of hydrocodone bitartrate and ibuprofen, even when taken as recommended, can result in addiction, abuse, and misuse, which can lead to overdose and death (see WARNINGS: Addiction, Abuse, and Misuse ). Instruct patients not to share hydrocodone bitartrate and ibuprofen with others and to take steps to protect hydrocodone bitartrate and ibuprofen from theft or misuse.

3. Life-Threatening Respiratory Depression

Inform patients of the risk of life-threatening respiratory depression, including information that the risk is greatest when starting hydrocodone bitartrate and ibuprofen or when the dosage is increased, and that it can occur even at recommended dosages.

Educate patients and caregivers on how to recognize respiratory depression and emphasize the importance of calling 911 or getting emergency medical help right away in the event of a known or suspected overdose (see WARNINGS, Life-Threatening Respiratory Depression ).

4. Accidental Ingestion

Inform patients that accidental ingestion, especially by children, may result in respiratory depression or death (see  WARNINGS: Life-Threatening Respiratory Depression ).

5. Interactions with Benzodiazepines and Other CNS Depressants

Inform patients and caregivers that potentially fatal additive effects may occur if hydrocodone bitartrate and ibuprofen is used with benzodiazepines or other CNS depressants, including alcohol (e.g., non-benzodiazepine sedative/hypnotics, anxiolytics tranquilizers, muscle relaxants, general anesthetics, antipsychotics, gabapentinoids [gabapentin or pregabalin], and other opioids), and not to use these concomitantly unless supervised by a healthcare provider (see WARNINGS; PRECAUTIONS: Drug Interactions ).

6. Patient Access to an Opioid Overdose Reversal Agent for the Emergency Treatment of Opioid Overdose

Inform patients and caregivers about opioid overdose reversal agents (e.g., naloxone, nalmefene). Discuss the importance of having access to an opioid overdose reversal agent, especially if the patient has risk factors for overdose (e.g., concomitant use of CNS depressants, a history of opioid use disorder, or prior opioid overdose) or if there are household members (including children) or other close contacts at risk for accidental ingestion or opioid overdose.

Discuss with the patient the options for obtaining an opioid overdose reversal agent (e.g., prescription, over-the-counter, or as part of a community-based program) (see  WARNINGS, DOSAGE AND ADMINISTRATION ).

Educate patients and caregivers on how to recognize the signs and symptoms of an overdose.

Explain to patients and caregivers that effects of opioid overdose reversal agents like naloxone and nalmefene are temporary, and that they must call 911 or get emergency medical help right away in all cases of known or suspected opioid overdose, even if an opioid overdose reversal agent is administered (see OVERDOSAGE ).

Advise patients and caregivers:

  • how to treat with the overdose reversal agent in the event of an opioid overdose
  • to tell family and friends about their opioid overdose reversal agent, and to keep it in a place where family and friends can access it in an emergency
  • to read the Patient Information (or other educational material) that will come with their opioid overdose reversal agent. Emphasize the importance of doing this before an opioid emergency happens, so the patient and caregiver will know what to do.

7. Hyperalgesia and Allodynia

Inform patients and caregivers not to increase opioid dosage without first consulting a clinician. Advise patients to seek medical attention if they experience symptoms of hyperalgesia, including worsening pain, increased sensitivity to pain, or new pain (see WARNINGS; Adverse Reactions ).

8. Serotonin Syndrome

Inform patients that opioids could cause a rare but potentially life-threatening condition resulting from concomitant administration of serotonergic drugs. Warn patients of the symptoms of serotonin syndrome and to seek medical attention right away if symptoms develop. Instruct patients to inform their healthcare providers if they are taking, or plan to take serotonergic medications (see PRECAUTIONS: Drug Interactions ).

9. MAOI Interaction

Inform patients to avoid taking hydrocodone bitartrate and ibuprofen while using any drugs that inhibit monoamine oxidase. Patients should not start MAOIs while taking hydrocodone bitartrate and ibuprofen (see PRECAUTIONS: Drug Interactions ).

10. Important Administration Instructions

Instruct patients how to properly take hydrocodone bitartrate and ibuprofen. For the short-term (generally less than 10 days) management of acute pain, the recommended dose of hydrocodone bitartrate and ibuprofen is one tablet every 4 to 6 hours, as necessary. Inform patients that the dosage should not exceed 5 tablets in a 24-hour period (see  DOSAGE AND ADMINISTRATION ).

11. Important Discontinuation Instructions

In order to avoid developing withdrawal symptoms, instruct patients not to discontinue hydrocodone bitartrate and ibuprofen tablets without first discussing a tapering plan with the prescriber (see  DOSAGE AND ADMINISTRATION ).

12. Driving or Operating Heavy Machinery

Inform patients that hydrocodone bitartrate and ibuprofen may impair the ability to perform potentially hazardous activities such as driving a car or operating heavy machinery. Advise patients not to perform such tasks until they know how they will react to the medication (see  WARNINGS: Risks of Driving and Operating Machinery ).

13. Constipation

Advise patients of the potential for severe constipation, including management instructions and when to seek medical attention (see  ADVERSE REACTIONS: Clinical Trials Experience ).

14. Cardiovascular Thrombotic Events

Advise patients to be alert for the symptoms of cardiovascular thrombotic events, including chest pain, shortness of breath, weakness, or slurring of speech, and to report any of these symptoms to their healthcare provider immediately (see  WARNINGS: Cardiovascular Thrombotic Events ).

15. Gastrointestinal Bleeding, Ulceration, and Perforation

Advise patients to report symptoms of ulcerations and bleeding, including epigastric pain, dyspepsia, melena, and hematemesis to their healthcare provider. In the setting of concomitant use of low-dose aspirin for cardiac prophylaxis, inform patients of the increased risk for and the signs and symptoms of GI bleeding (see  WARNINGS: Gastrointestinal Bleeding, Ulceration, and Perforation ).

16. Hepatotoxicity

Inform patients of the warning signs and symptoms of hepatotoxicity (e.g., nausea, fatigue, lethargy, pruritus, diarrhea, jaundice, right upper quadrant tenderness, and "flu-like" symptoms). If these occur, instruct patients to stop hydrocodone bitartrate and ibuprofen and seek immediate medical therapy (see  WARNINGS: Hepatotoxicity ).

17. Heart Failure and Edema

Advise patients to be alert for the symptoms of congestive heart failure including shortness of breath, unexplained weight gain, or edema and to contact their healthcare provider if such symptoms occur (see  WARNINGS: Heart Failure and Edema ).

18. Adrenal Insufficiency

Inform patients that opioids could cause adrenal insufficiency, a potentially life-threatening condition. Adrenal insufficiency may present with non-specific symptoms and signs such as nausea, vomiting, anorexia, fatigue, weakness, dizziness, and low blood pressure. Advise patients to seek medical attention if they experience a constellation of these symptoms (see WARNINGS: Adrenal Insufficiency ).

19. Hypotension

Inform patients that hydrocodone bitartrate and ibuprofen may cause orthostatic hypotension and syncope. Instruct patients how to recognize symptoms of low blood pressure and how to reduce the risk of serious consequences should hypotension occur (e.g., sit or lie down, carefully rise from a sitting or lying position) (see WARNINGS: Severe Hypotension ).

20. Anaphylaxis

Inform patients that anaphylaxis has been reported with ingredients contained in hydrocodone bitartrate and ibuprofen. Advise patients how to recognize such a reaction and when to seek medical attention (see CONTRAINDICATIONS,  WARNINGS: Anaphylactic Reactions ).

21. Pregnancy

Neonatal Opioid Withdrawal Syndrome

Inform female patients of reproductive potential that use of hydrocodone bitartrate and ibuprofen for an extended period of time during pregnancy can result in neonatal opioid withdrawal syndrome, which may be life-threatening if not recognized and treated (see Boxed Warning,  WARNINGS: Neonatal Opioid Withdrawal Syndrome, PRECAUTIONS: Pregnancy ).

Embryo-Fetal Toxicity

Inform female patients of reproductive potential that hydrocodone bitartrate and ibuprofen can cause fetal harm and to inform the prescriber of a known or suspected pregnancy. Inform pregnant women to avoid use of hydrocodone bitartrate and ibuprofen and other NSAIDs starting at 30 weeks gestation because of the risk of the premature closing of the fetal ductus arteriosus. If treatment with hydrocodone bitartrate and ibuprofen is needed for a pregnant woman between about 20 to 30 weeks gestation, advise her that she may need to be monitored for oligohydramnios, if treatment continues for longer than 48 hours (see WARNINGS: Fetal Toxicity, PRECAUTIONS: Pregnancy ).

22. Lactation

Advise nursing mothers to carefully observe infants for increased sleepiness (more than usual), breathing difficulties, or limpness. Instruct nursing mothers to seek immediate medical care if they notice these signs (see PRECAUTIONS : Nursing Mothers ).

23. Infertility

Inform patients that use of opioids for an extended period of time may cause reduced fertility. It is not known whether these effects on fertility are reversible. Advise female patients of reproductive potential who desire pregnancy that NSAIDs, including hydrocodone bitartrate and ibuprofen, may be associated with a reversible delay in ovulation (see PRECAUTIONS: Carcinogenicity, Mutagenicity, Impairment of Fertility ).

24. Serious Skin Reactions, including DRESS

Advise patients to stop taking hydrocodone bitartrate and ibuprofen immediately if they develop any type of rash or fever and to contact their healthcare provider as soon as possible (see WARNINGS ).

25. Avoid Concomitant use of NSAIDs

Inform patients that the concomitant use of hydrocodone bitartrate and ibuprofen with other NSAIDs or salicylates (e.g., diflunisal, salsalate) is not recommended due to the increased risk of gastrointestinal toxicity, and little or no increase in efficacy (see WARNINGS: Gastrointestinal Bleeding, Ulceration, and Perforation,  PRECAUTIONS: Drug Interactions ). Alert patients that NSAIDs may be present in “over the counter” medications for treatment of colds, fever, or insomnia.

26. Use of NSAIDS and Low-Dose Aspirin

Inform patients not to use low-dose aspirin concomitantly with hydrocodone bitartrate and ibuprofen until they talk to their healthcare provider (see PRECAUTIONS: Drug Interactions ).

27. Ophthalmological Effects

Instruct patients to report any signs of blurred vision or other eye symptoms (see PRECAUTIONS: Ophthalmological Effects ).

Geriatric Use

In controlled clinical trials there was no difference in tolerability between patients < 65 years of age and those ≥ 65, apart from an increased tendency of the elderly to develop constipation. However, elderly patients are at greater risk for NSAID-associated serious cardiovascular, gastrointestinal, and renal adverse reactions as well as possible increased risk of respiratory depression with opioids. In general, use caution when selecting a dosage for an elderly patient, usually starting at the low end of the dosing range, reflecting the greater frequency of decreased hepatic, renal, or cardiac function and of concomitant disease or other drug therapy (see WARNINGS: Cardiovascular Thrombotic Events, Gastrointestinal Bleeding, Ulceration, and Perforation, Renal Toxicity and Hyperkalemia ).

Respiratory depression is the chief risk for elderly patients treated with opioids, and has occurred after large initial doses were administered to patients who were not opioid-tolerant or when opioids were co-administered with other agents that depress respiration. Titrate the dosage of hydrocodone bitartrate and ibuprofen slowly in geriatric patients and frequently reevaluate the patient for signs of central nervous system and respiratory depression (see WARNINGS ).

This drug is known to be substantially excreted by the kidney, and the risk of adverse reactions to this drug may be greater in patients with impaired renal function. Because elderly patients are more likely to have decreased renal function, care should be taken in dose selection, and it may be useful to regularly evaluate renal function.

Pediatric Use

The safety and effectiveness of hydrocodone bitartrate and ibuprofen in pediatric patients below the age of 16 have not been established.

Nursing Mothers

Risk Summary

Hydrocodone is present in human milk. A published lactation study reports variable concentrations of hydrocodone and hydromorphone (an active metabolite) in breast milk with administration of immediate-release hydrocodone to nursing mothers in the early post-partum period. This lactation study did not assess breastfed infants for potential adverse drug reactions.

Limited published literature reports that, following oral administration, ibuprofen is present in human milk at relative infant doses of 0.06% to 0.6% of the maternal weight-adjusted daily dose.

Lactation studies have not been conducted with hydrocodone bitartrate and ibuprofen, and no information is available on the effects of the drug on the breastfed infant or the effects of the drug on milk production.

The developmental and health benefits of breastfeeding should be considered along with the mother’s clinical need for hydrocodone bitartrate and ibuprofen and any potential adverse effects on the breastfed infant from hydrocodone bitartrate and ibuprofen or from the underlying maternal condition.

Clinical Considerations

Monitor infants exposed to hydrocodone bitartrate and ibuprofen through breast milk for excess sedation and respiratory depression. Withdrawal symptoms can occur in breastfed infants when maternal administration of hydrocodone is stopped, or when breastfeeding is stopped.

Clinical Studies

In single-dose studies of post surgical pain (abdominal, gynecological, orthopedic), 940 patients were studied at doses of one or two tablets. Hydrocodone bitartrate and ibuprofen produced greater efficacy than placebo and each of its individual components given at the same dose. No advantage was demonstrated for the two-tablet dose.

Medication Guide

Hydrocodone Bitartrate (hye" droe koe' done bye tar' trate) and Ibuprofen (eye" bue proe' fen) tablets, CII

Hydrocodone bitartrate and ibuprofen tablets are:

  • A strong prescription pain medicine that contains an opioid (narcotic) and a non-steroidal anti-inflammatory drug (NSAID), that is used to manage short-term (acute) pain, when other pain treatments such as non-opioid pain medicines do not treat your pain well enough or you cannot tolerate them.
  • An opioid pain medicine can put you at risk for overdose and death. Even if you take your dose correctly as prescribed you are at risk for opioid addiction, abuse, and misuse that can lead to death.
  • NSAIDs are used to treat pain, redness, swelling, and inflammation.

Important information about hydrocodone bitartrate and ibuprofen tablets:

  • Get emergency help or call 911 right away if you take too much hydrocodone bitartrate and ibuprofen tablets (overdose). When you first start taking hydrocodone bitartrate and ibuprofen tablets, when your dose is changed, or if you take too much (overdose), serious or life-threatening breathing problems that can lead to death may occur. Ask your healthcare provider about medicines like naloxone or nalmefene that can be used in an emergency to reverse an opioid overdose.
  • Taking hydrocodone bitartrate and ibuprofen tablets with other opioid medicines, benzodiazepines, gabapentinoids (gabapentin or pregabalin), alcohol, or other central nervous system depressants (including street drugs) can cause severe drowsiness, decreased awareness, breathing problems, coma, and death.
  • Never give anyone else your hydrocodone bitartrate and ibuprofen tablets. They could die from taking it. Selling or giving away hydrocodone bitartrate and ibuprofen tablets is against the law.
  • Store hydrocodone bitartrate and ibuprofen tablets securely, out of sight and reach of children, and in a location not accessible by others, including visitors to the home.

Hydrocodone bitartrate and ibuprofen tablets contain an NSAID. NSAIDs can cause serious side effects, including:

  • Increased risk of a heart attack or stroke that can lead to death. This risk may happen early in treatment and may increase:
    • with increasing doses of medicine containing NSAIDs
    • with longer use of medicine containing NSAIDs

    Do not take NSAIDS right before or after a heart surgery called a “coronary artery bypass graft (CABG).”

    Avoid taking NSAIDS after a recent heart attack, unless your healthcare provider tells you to. You may have an increased risk of another heart attack if you take NSAIDs after a recent heart attack.

  • Increased risk of bleeding, ulcers, and tears (perforation) of the esophagus (tube leading from the mouth to the stomach), stomach and intestines:
    • any time during use
    • without warning symptoms
    • that may cause death

    The risk of getting an ulcer or bleeding increases with:

    • past history of stomach ulcers, or stomach or intestinal bleeding with use of NSAIDs
    • taking medicines called “corticosteroids,” “anticoagulants,” “SSRIs,” or “SNRIs”
    • increasing doses of NSAIDS
    • older age
    • longer use of NSAIDS
    • poor health
    • smoking
    • drinking alcohol
    • advanced liver disease
    • bleeding problems

Do not take hydrocodone bitartrate and ibuprofen tablets:

  • if you have severe asthma, trouble breathing, or other lung problems.
  • if you have a bowel blockage or have narrowing of the stomach or intestines.
  • if you have had an asthma attack, hives, or other allergic reaction with aspirin, other NSAIDs, or opioid medicine.
  • right before or after heart bypass surgery.

Before taking hydrocodone bitartrate and ibuprofen tablets, tell your healthcare provider if you have a history of:

  • head injury or seizures
  • liver, kidney, or thyroid problems
  • problems urinating
  • pancreas or gallbladder problems
  • high blood pressure
  • asthma
  • abuse of street or prescription drugs, alcohol addiction, opioid overdose, or mental health problems.

Tell your healthcare provider if you:

  • noticing your pain getting worse. If your pain gets worse after you take hydrocodone bitartrate and ibuprofen tablets, do not take more of hydrocodone bitartrate and ibuprofen tablets without first talking to your healthcare provider. Talk to your healthcare provider if the pain that you have increases, if you feel more sensitive to pain, or if you have new pain after taking hydrocodone bitartrate and ibuprofen tablets.
  • are pregnant or planning to become pregnant. Taking NSAIDs at about 20 weeks of pregnancy or later may harm your unborn baby. If you need to take NSAIDs for more than 2 days when you are between 20 and 30 weeks of pregnancy, your healthcare provider may need to monitor the amount of fluid in your womb around your baby. Use of hydrocodone bitartrate and ibuprofen tablets for an extended period of time during pregnancy can cause withdrawal symptoms in your newborn baby that could be life-threatening if not recognized and treated. You should not take NSAIDs after about 30 weeks of pregnancy.
  • are breastfeeding or planning to breastfeed. Hydrocodone bitartrate and ibuprofen passes into breast milk and may harm your baby. Carefully observe infants for increased sleepiness (more than usual), breathing difficulties, or limpness. Seek immediate medical care if you notice these signs.
  • develop any type of rash or fever. Contact your healthcare provider as soon as possible and stop taking hydrocodone bitartrate and ibuprofen tablets.
  • are living in a household where there are small children or someone who has abused street or prescription drugs.
  • are taking prescription or over-the-counter medicines, vitamins, or herbal supplements. Taking hydrocodone bitartrate and ibuprofen tablets with certain other medicines can cause serious side effects that could lead to death.

When taking hydrocodone bitartrate and ibuprofen tablets:

  • Do not change your dose. Take hydrocodone bitartrate and ibuprofen tablets exactly as prescribed by your healthcare provider.
  • For acute (short-term) pain, you may only need to take hydrocodone bitartrate and ibuprofen tablets for a few days. You may have some hydrocodone bitartrate and ibuprofen tablets left over that you did not use. See disposal information at the bottom of this section for directions on how to safely throw away (dispose of) your unused hydrocodone bitartrate and ibuprofen tablets.
  • Use the lowest dose possible for the shortest time needed.
  • Take your prescribed dose every 4 to 6 hours at the same time every day, as needed for pain. Do not take more than your prescribed dose. If you miss a dose, take your next dose at your usual time.
  • Call your healthcare provider if the dose you are taking does not control your pain.
  • If you have been taking hydrocodone bitartrate and ibuprofen tablets regularly, do not stop taking it without talking to your healthcare provider.
  • Dispose of expired, unwanted, or unused hydrocodone bitartrate and ibuprofen tablets by promptly flushing down the toilet, if a drug take-back option is not readily available. Visit www.fda.gov/drugdisposal for additional information on disposal of unused medicines.

While taking hydrocodone bitartrate and ibuprofen tablets DO NOT:

  • drive or operate heavy machinery, until you know how it affects you. Hydrocodone bitartrate and ibuprofen tablets can make you sleepy, dizzy, or lightheaded.
  • drink alcohol or use prescription or over-the-counter medicines that contain alcohol. Using products containing alcohol during treatment with hydrocodone bitartrate and ibuprofen tablets may cause you to overdose and die.

The possible side effects of hydrocodone bitartrate and ibuprofen tablets:

  • constipation, diarrhea, gas, heartburn, nausea, sleepiness, vomiting, tiredness, headache, dizziness, abdominal pain, rash, fever, heart attack, stroke, new or worse high blood pressure, heart failure, liver problems including liver failure, kidney problems including kidney failure, bleeding and ulcers in the stomach and intestine, low red blood cells (anemia), life-threatening skin reactions, life-threatening allergic reactions, asthma attacks in people who have asthma. Call your healthcare provider if you have any of these symptoms and they are severe.

Get emergency medical help or call 911 right away if you have:

  • trouble breathing or shortness of breath
  • fast heartbeat
  • chest pain
  • swelling of your face, tongue, or throat
  • extreme drowsiness
  • lightheadedness when changing positions
  • a fainting spell
  • agitation
  • high body temperature
  • trouble walking
  • stiff muscles
  • mental changes such as confusion
  • weakness in one part or side of your body
  • slurred speech

Stop hydrocodone bitartrate and ibuprofen tablets and call your healthcare provider right away if you have any of the following symptoms:

  • nausea
  • flu-like symptoms
  • more tired or weaker than usual
  • vomit blood
  • diarrhea
  • there is blood in your bowel movement or it is black and sticky like tar
  • itching
  • unusual weight gain
  • your skin or eyes look yellow
  • skin rash or blisters with fever
  • indigestion or stomach pain
  • swelling of the arms and legs, hands and feet

These are not all the possible side effects of hydrocodone bitartrate and ibuprofen tablets. Call your healthcare provider for medical advice about side effects. You may report side effects to FDA at 1-800-FDA-1088. For more information go to dailymed.nlm.nih.gov.

Other information:

  • Aspirin is an NSAID medicine, but it does not increase the chance of a heart attack. Aspirin can cause bleeding in the brain, stomach, and intestines. Aspirin can also cause ulcers in the stomach and intestines.
  • Do not take other NSAID medicines, even those sold in lower doses without a prescription (over-the-counter) while taking hydrocodone bitartrate and ibuprofen tablets. NSAIDs may be present in over-the-counter medications for treatment of colds, fever, or insomnia.

*All trademarks are the property of their respective owner.

Manufactured by:

Amneal Pharmaceuticals of NY, LLC

Brookhaven, NY 11719

Rev. 10-2025-11

For more information, go to www.amneal.com or call 1-877-835-5472.

This Medication Guide has been approved by the U.S. Food and Drug Administration.



Renal Impairment

Patients with renal impairment may have higher hydrocodone plasma concentrations than those with normal function. Use a low initial dose in patients with renal impairment and regularly evaluate closely for adverse events such as respiratory depression, sedation, and hypotension.

Hepatic Impairment

Patients with hepatic impairment may have higher hydrocodone plasma concentrations than those with normal function. In patients with severe hepatic impairment, use a low initial dose. Regularly evaluate these patients closely for adverse events such as respiratory depression, sedation, and hypotension.

Clinical Pharmacology

Mechanism of Action

Hydrocodone Component

Hydrocodone is a full opioid agonist with relative selectivity for the mu-opioid receptor, although it can interact with other opioid receptors at higher doses. The principal therapeutic action of hydrocodone is analgesia. Like all full opioid agonists, there is no ceiling effect for analgesia with hydrocodone. Clinically, dosage is titrated to provide adequate analgesia and may be limited by adverse reactions, including respiratory and CNS depression.

The precise mechanism of the analgesic action is unknown. However, specific CNS opioid receptors for endogenous compounds with opioid-like activity have been identified throughout the brain and spinal cord and are thought to play a role in the analgesic effects of this drug.

Ibuprofen Component

Ibuprofen has analgesic, anti-inflammatory, and antipyretic properties.

The mechanism of action, like that of other NSAIDs, is not completely understood, but involves inhibition of cyclooxygenase (COX-1 and COX-2).

Ibuprofen is a potent inhibitor of prostaglandin synthesis in vitro. Ibuprofen concentrations reached during therapy have produced in vivo effects. Prostaglandins sensitize afferent nerves and potentiate the action of bradykinin in inducing pain in animal models. Prostaglandins are mediators of inflammation. Because ibuprofen is an inhibitor of prostaglandin synthesis, its mode of action may be due to a decrease of prostaglandins in peripheral tissues.

Pharmacodynamics

Hydrocodone

Effects on the Central Nervous System

Hydrocodone produces respiratory depression by direct action on brain stem respiratory centers. The respiratory depression involves a reduction in the responsiveness of the brain stem respiratory centers to both increases in carbon dioxide tension and electrical stimulation.

Hydrocodone causes miosis, even in total darkness. Pinpoint pupils are a sign of opioid overdose but are not pathognomonic (e.g., pontine lesions of hemorrhagic or ischemic origins may produce similar findings). Marked mydriasis rather than miosis may be seen due to hypoxia in overdose situations.

Effects on the Gastrointestinal Tract and Other Smooth Muscle

Hydrocodone causes a reduction in motility associated with an increase in smooth muscle tone in the antrum of the stomach and duodenum. Digestion of food in the small intestine is delayed and propulsive contractions are decreased. Propulsive peristaltic waves in the colon are decreased, while tone may be increased to the point of spasm, resulting in constipation. Other opioid-induced effects may include a reduction in biliary and pancreatic secretions, spasm of sphincter of Oddi, transient elevations in serum amylase, and opioid-induced esophageal dysfunction (OIED).

Effects on the Cardiovascular System

Hydrocodone produces peripheral vasodilation, which may result in orthostatic hypotension or syncope. Manifestations of histamine release and/or peripheral vasodilation may include pruritus, flushing, red eyes, sweating, and/or orthostatic hypotension.

Effects on the Endocrine System

Opioids inhibit the secretion of adrenocorticotropic hormone (ACTH), cortisol, and luteinizing hormone (LH) in humans (see ADVERSE REACTIONS: Postmarketing Experience ). They also stimulate prolactin, growth hormone (GH) secretion, and pancreatic secretion of insulin and glucagon.

Use of opioids for an extended period of time may influence the hypothalamic-pituitary-gonadal axis, leading to androgen deficiency that may manifest as low libido, impotence, erectile dysfunction, amenorrhea, or infertility. The causal role of opioids in the clinical syndrome of hypogonadism is unknown because the various medical, physical, lifestyle, and psychological stressors that may influence gonadal hormone levels have not been adequately controlled for in studies conducted to date (see ADVERSE REACTIONS: Postmarketing Experience ).

Effects on the Immune System

Opioids have been shown to have a variety of effects on components of the immune system in both in vitro and animal models. The clinical significance of these findings is unknown. Overall, the effects of opioids appear to be modestly immunosuppressive.

Concentration-Efficacy Relationships

The minimum effective analgesic concentration will vary widely among patients, especially among patients who have been previously treated with  opioid agonists. The minimum effective analgesic concentration of hydrocodone for any individual patient may increase over time due to an increase in pain, the development of a new pain syndrome, and/or the development of analgesic tolerance (see DOSAGE AND ADMINISTRATION ).

Concentration-Adverse Reaction Relationships

There is a relationship between increasing hydrocodone plasma concentration and increasing frequency of dose-related opioid adverse reactions such as nausea, vomiting, CNS effects, and respiratory depression. In opioid-tolerant patients, the situation may be altered by the development of tolerance to opioid-related adverse reactions (see DOSAGE AND ADMINISTRATION ).

Ibuprofen

In a healthy volunteer study, ibuprofen 400 mg given once daily, administered 2 hours prior to immediate-release aspirin (81 mg) for 6 days, showed an interaction with the antiplatelet activity of aspirin as measured by % serum thromboxane B2 (TxB2) inhibition at 24 hours following the day-6 aspirin dose [53%]. An interaction was still observed, but minimized, when ibuprofen 400 mg given once-daily was administered as early as 8 hours prior to the immediate-release aspirin dose [90.7%]. However, there was no interaction with the antiplatelet activity of aspirin when ibuprofen 400 mg, given once daily, was administered 2 hours after (but not concomitantly, 15 min, or 30 min after) the immediate-release aspirin dose [99.2%].

In another study, where immediate-release aspirin 81 mg was administered once daily with ibuprofen 400 mg given three times daily (1, 7, and 13 hours post-aspirin dose) for 10 consecutive days, the mean % serum thromboxane B2 (TxB2) inhibition suggested no interaction with the antiplatelet activity of aspirin [98.3%]. However, there were individual subjects with serum TxB2 inhibition below 95%, with the lowest being 90.2%.

When a similarly designed study was conducted with enteric-coated aspirin, where healthy subjects were administered enteric-coated aspirin 81 mg once daily for 6 days and ibuprofen 400 mg three times daily (2, 7 and 12 h post-aspirin dose) for 6 days, there was an interaction with the antiplatelet activity at 24 hours following the day-6 aspirin dose [67%] (see PRECAUTIONS: Drug Interactions ).

Pharmacokinetics

Absorption

After oral dosing with the hydrocodone bitartrate and ibuprofen tablet, a peak hydrocodone plasma level of 27 ng/mL is achieved at 1.7 hours, and a peak ibuprofen plasma level of 30 mcg/mL is achieved at 1.8 hours. The effect of food on the absorption of either component from the hydrocodone bitartrate and ibuprofen tablet has not been established.

Distribution

Ibuprofen is highly protein-bound (99%) like most other non-steroidal anti-inflammatory agents. Although the extent of protein binding of hydrocodone in human plasma has not been definitely determined, structural similarities to related opioid analgesics suggest that hydrocodone is not extensively protein bound. As most agents in the 5-ring morphinan group of semi-synthetic opioids bind plasma protein to a similar degree (range 19% [hydromorphone] to 45% [oxycodone]), hydrocodone is expected to fall within this range.

Elimination

Metabolism

Hydrocodone exhibits a complex pattern of metabolism, including O-demethylation, N-demethylation, and 6-keto reduction to the corresponding 6-α-and 6-β-hydroxy metabolites. Hydromorphone, a potent opioid, is formed from the O-demethylation of hydrocodone and contributes to the total analgesic effect of hydrocodone. The O- and N-demethylation processes are mediated by separate P-450 isoenzymes: CYP2D6 and CYP3A4, respectively.

Ibuprofen is present in this product as a racemate, and following absorption it undergoes interconversion in the plasma from the R-isomer to the S-isomer. Both the R- and S- isomers are metabolized to two primary metabolites: (+)-2-4'-(2hydroxy-2-methyl-propyl) phenyl propionic acid and (+)-2-4'-(2carboxypropyl) phenyl propionic acid, both of which circulate in the plasma at low levels relative to the parent.

Excretion

Hydrocodone and its metabolites are eliminated primarily in the kidneys, with a mean plasma half-life of 4.5 hours. Ibuprofen is excreted in the urine, 50% to 60% as metabolites and approximately 15% as unchanged drug and conjugate. The plasma half-life is 2.2 hours.

Specific Populations

No significant pharmacokinetic differences based on age or gender have been demonstrated. The pharmacokinetics of hydrocodone and ibuprofen from hydrocodone bitartrate and ibuprofen tablets has not been evaluated in children.

Renal Impairment

The effect of renal insufficiency on the pharmacokinetics of the hydrocodone bitartrate and ibuprofen dosage form has not been determined.

Drug Interaction Studies

Aspirin

When NSAIDs were administered with aspirin, the protein binding of NSAIDs were reduced, although the clearance of free NSAID was not altered. The clinical significance of this interaction is not known (see PRECAUTIONS: Drug Interactions ).

Laboratory Monitoring

Because serious GI bleeding, hepatotoxicity, and renal injury can occur without warning symptoms or signs, consider monitoring patients with a CBC and a chemistry profile periodically (see WARNINGS: Gastrointestinal Bleeding, Ulceration, and Perforation, Renal Toxicity and Hyperkalemia, Hepatotoxicity ).

Postmarketing Experience

The following adverse reactions have been identified during post approval use of hydrocodone. Because these reactions are reported voluntarily from a population of uncertain size, it is not always possible to reliably estimate their frequency or establish a causal relationship to drug exposure.

Serotonin syndrome: Cases of serotonin syndrome, a potentially life-threatening condition, have been reported during concomitant use of opioids with serotonergic drugs.

Adrenal insufficiency: Cases of adrenal insufficiency have been reported with opioid use, more often following greater than one month of use.

Anaphylaxis: Anaphylaxis has been reported with ingredients contained in hydrocodone bitartrate and ibuprofen.

Androgen deficiency: Cases of androgen deficiency have occurred with use of opioids for an extended period of time (see CLINICAL PHARMACOLOGY: Pharmacodynamics ).

Hyperalgesia and Allodynia: Cases of hyperalgesia and allodynia have been reported with opioid therapy of any duration (see WARNINGS ).

Hypoglycemia: Cases of hypoglycemia have been reported in patients taking opioids. Most reports were in patients with at least one predisposing risk factor (e.g., diabetes).

Skin and Appendages: exfoliative dermatitis, Stevens-Johnson Syndrome (SJS), toxic epidermal necrolysis (TEN), and fixed drug eruption (FDE)

Opioid-induced esophageal dysfunction (OIED): Cases of OIED have been reported in patients taking opioids and may occur more frequently in patients taking higher doses of opioids, and/or in patients taking opioids longer term (see WARNINGS ).

Adverse Reactions from Observational Studies

A prospective, observational cohort study estimated the risks of addiction, abuse, and misuse in patients initiating long-term use of Schedule II opioid analgesics between 2017 and 2021. Study participants included in one or more analyses had been enrolled in selected insurance plans or health systems for at least one year, were free of at least one outcome at baseline, completed a minimum number of follow-up assessments, and either: 1) filled multiple extended-release/long-acting opioid analgesic prescriptions during a 90 day period (n=978); or 2) filled any Schedule II opioid analgesic prescriptions covering at least 70 of 90 days (n=1,244). Those included also had no dispensing of the qualifying opioids in the previous 6 months.

Over 12 months:

  • approximately 1% to 6% of participants across the two cohorts newly met criteria for addiction, as assessed with two validated interview-based measures of moderate-to-severe opioid use disorder based on Diagnostic and Statistical Manual of Mental Disorders, Fifth Edition (DSM-5) criteria, and
  • approximately 9% and 22% of participants across the two cohorts newly met criteria for prescription opioid abuse and misuse (defined in DRUG ABUSE AND DEPENDENCE ), respectively, as measured with a validated self-reported instrument.

A retrospective, observational cohort study estimated the risk of opioid-involved overdose or opioid overdose-related death in patients with new long-term use of Schedule II opioid analgesics from 2006 through 2016

(n=220,249). Included patients had been enrolled in either one of two commercial insurance programs, one managed care program, or one Medicaid program for at least 9 months. New long-term use was defined as having Schedule II opioid analgesic prescriptions covering at least 70 days’ supply over the 3 months prior to study entry and none during the preceding 6 months. Patients were excluded if they had an opioid-involved

overdose in the 9 months prior to study entry. Overdose was measured using a validated medical code-based algorithm with linkage to the National Death Index database. The 5-year cumulative incidence estimates for opioid-involved overdose or opioid overdose-related death ranged from approximately 1.5% to 4% across study sites, counting only the first event during follow-up. Approximately 17% of first opioid overdoses observed

over the entire study period (5 to 11 years, depending on the study site) were fatal. Higher baseline opioid dose was the strongest and most consistent predictor of opioid-involved overdose or opioid overdose-related death.

Study exclusion criteria may have selected patients at lower risk of overdose, and substantial loss to follow-up (approximately 80%) also may have biased estimates.

The risk estimates from the studies described above may not be generalizable to all patients receiving opioid analgesics, such as those with exposures shorter or longer than the duration evaluated in the studies.

To report SUSPECTED ADVERSE REACTIONS, contact Amneal Pharmaceuticals at 1-877-835-5472 or FDA at 1-800-FDA-1088 or www.fda.gov/medwatch .

Drug Abuse and Dependence

Controlled Substance

Hydrocodone bitartrate and ibuprofen contains hydrocodone, a Schedule II controlled substance.

Abuse

Hydrocodone bitartrate and ibuprofen contains hydrocodone, a substance with high potential for misuse and abuse, which can lead to the development of substance use disorder, including addiction (see WARNINGS ).

Misuse is the intentional use, for therapeutic purposes, of a drug by an individual in a way other than prescribed by a healthcare provider or for whom it was not prescribed.

Abuse is the intentional, non-therapeutic use of a drug, even once, for its desirable psychological or physiological effects.

Drug addiction is a cluster of behavioral, cognitive, and physiological phenomena that may include a strong desire to take the drug, difficulties in controlling drug use (e.g., continuing drug use despite harmful consequences, giving a higher priority to drug use than other activities and obligations), and possible tolerance or physical dependence.

Misuse and abuse of hydrocodone bitartrate and ibuprofen increases risk of overdose, which may lead to central nervous system and respiratory depression, hypotension, seizures, and death. The risk is increased with concurrent abuse of hydrocodone bitartrate and ibuprofen with alcohol and other CNS depressants. Abuse of and addiction to opioids in some individuals may not be accompanied by concurrent tolerance and symptoms of physical dependence. In addition, abuse of opioids can occur in the absence of addiction.

All patients treated with opioids require careful and frequent reevaluation for signs of misuse, abuse, and addiction, because use of opioid analgesic products carries the risk of addiction even under appropriate medical use. Patients at high risk of hydrocodone bitartrate and ibuprofen abuse include those with a history of prolonged use of any opioid, including products containing hydrocodone, those with a history of drug or alcohol abuse, or those who use hydrocodone bitartrate and ibuprofen in combination with other abused drugs.

“Drug seeking” behavior is very common in persons with substance use disorders. Drug-seeking tactics include emergency calls or visits near the end of office hours, refusal to undergo appropriate examination, testing, or referral, repeated “loss” of prescriptions, tampering with prescriptions, and reluctance to provide prior medical records or contact information for other treating healthcare provider(s). “Doctor shopping” (visiting multiple prescribers to obtain additional prescriptions) is common among people who abuse drugs and people with substance use disorder. Preoccupation with achieving adequate pain relief can be appropriate behavior in a patient with inadequate pain control.

Hydrocodone bitartrate and ibuprofen, like other opioids, can be diverted for nonmedical use into illicit channels of distribution. Careful record-keeping of prescribing information, including quantity, frequency, and renewal requests, as required by state and federal law, is strongly advised.

Proper assessment of the patient, proper prescribing practices, periodic reevaluation of therapy, and proper dispensing and storage are appropriate measures that help to limit abuse of opioid drugs.

Risks Specific to Abuse of Hydrocodone Bitartrate and Ibuprofen

Abuse of hydrocodone bitartrate and ibuprofen poses a risk of overdose and death. The risk is increased with concurrent use of hydrocodone bitartrate and ibuprofen with alcohol and/or other CNS depressants.

Parenteral drug abuse is commonly associated with transmission of infectious diseases such as hepatitis and HIV.

Dependence

Both tolerance and physical dependence can develop during use of opioid therapy.

Tolerance is a physiological state characterized by a reduced response to a drug after repeated administration (i.e., a higher dose of a drug is required to produce the same effect that was once obtained at a lower dose).

Physical dependence is a state that develops as a result of a physiological adaptation in response to repeated drug use, manifested by withdrawal signs and symptoms after abrupt discontinuation or a significant dose reduction of a drug.

Withdrawal may be precipitated through the administration of drugs with opioid antagonist activity (e.g., naloxone, nalmefene), mixed agonist/antagonist analgesics (e.g., pentazocine, butorphanol, nalbuphine), or partial agonists (e.g., buprenorphine). Physical dependence may not occur to a clinically significant degree until after several days to weeks of continued use.

Do not rapidly reduce or abruptly discontinue hydrocodone bitartrate and ibuprofen in a patient physically dependent on opioids. Rapid tapering of hydrocodone bitartrate and ibuprofen in a patient physically dependent on opioids may lead to serious withdrawal symptoms, uncontrolled pain, and suicide. Rapid discontinuation has also been associated with attempts to find other sources of opioid analgesics, which may be confused with drug-seeking for abuse.

When discontinuing hydrocodone bitartrate and ibuprofen, gradually taper the dosage using a patient-specific plan that considers the following: the dose of hydrocodone bitartrate and ibuprofen the patient has been taking, the duration of treatment, and the physical and psychological attributes of the patient. To improve the likelihood of a successful taper and minimize withdrawal symptoms, it is important that the opioid tapering schedule is agreed upon by the patient. In patients taking opioids for an extended period of time at high doses, ensure that a multimodal approach to pain management, including mental health support (if needed), is in place prior to initiating an opioid analgesic taper (see DOSAGE AND ADMINISTRATION, and  WARNINGS ).

Infants born to mothers physically dependent on opioids will also be physically dependent and may exhibit respiratory difficulties and withdrawal signs (see Pregnancy ).

Clinical Trials Experience

Because clinical trials are conducted under widely varying conditions, adverse reaction rates observed in the clinical trials of a drug cannot be directly compared to rates in the clinical trials of another drug and may not reflect the rates observed in practice.

Hydrocodone bitartrate and ibuprofen was administered to approximately 300 pain patients in a safety study that employed dosages and a duration of treatment sufficient to encompass the recommended usage (see DOSAGE AND ADMINISTRATION ). Adverse event rates generally increased with increasing daily dose. The event rates reported below are from approximately 150 patients who were in a group that received one tablet of hydrocodone bitartrate and ibuprofen an average of three to four times daily. The overall incidence rates of adverse experiences in the trials were fairly similar for this patient group and those who received the comparison treatment, acetaminophen 600 mg with codeine 60 mg.

The following lists adverse events that occurred with an incidence of 1% or greater in clinical trials of hydrocodone bitartrate and ibuprofen, without regard to the causal relationship of the events to the drug. To distinguish different rates of occurrence in clinical studies, the adverse events are listed as follows:

name of adverse event = less than 3%

adverse events marked with an asterisk * = 3% to 9%

adverse event rates over 9% are in parentheses.

Body as a Whole

Abdominal pain*; Asthenia*; Fever; Flu syndrome; Headache (27%); Infection*; Pain.

Cardiovascular

Palpitations; Vasodilation.

Central Nervous System

Anxiety*; Confusion; Dizziness (14%); Hypertonia; Insomnia*; Nervousness*; Paresthesia; Somnolence (22%); Thinking abnormalities.

Digestive

Anorexia; Constipation (22%); Diarrhea*; Dry mouth*; Dyspepsia (12%); Flatulence*; Gastritis; Melena; Mouth ulcers; Nausea (21%); Thirst; Vomiting*.

Metabolic and Nutritional Disorders

Edema*.

Respiratory

Dyspnea; Hiccups; Pharyngitis; Rhinitis.

Skin and Appendages

Pruritus*; Sweating*.

Special Senses

Tinnitus.

Urogenital

Urinary frequency.

Incidence less than 1%

Body as a Whole

Allergic reaction.

Cardiovascular

Arrhythmia; Hypotension; Tachycardia.

Central Nervous System

Agitation; Abnormal dreams; Decreased libido; Depression; Euphoria; Mood changes; Neuralgia; Slurred speech; Tremor, Vertigo.

Digestive

Chalky stool; "Clenching teeth"; Dysphagia; Esophageal spasm; Esophagitis; Gastroenteritis; Glossitis; Liver enzyme elevation.

Metabolic and Nutritional

Weight decrease.

Musculoskeletal

Arthralgia; Myalgia.

Respiratory

Asthma; Bronchitis; Hoarseness; Increased cough; Pulmonary congestion; Pneumonia; Shallow breathing; Sinusitis.

Skin and Appendages

Rash; Urticaria.

Special Senses

Altered vision; Bad taste; Dry eyes.

Urogenital

Cystitis; Glycosuria; Impotence; Urinary incontinence; Urinary retention.

Addiction, Abuse, and Misuse

Hydrocodone bitartrate and ibuprofen contains hydrocodone, a Schedule II controlled substance. As an opioid-containing product, hydrocodone bitartrate and ibuprofen exposes users to the risks of addiction, abuse, and misuse (see  DRUG ABUSE AND DEPENDENCE ).

Although the risk of addiction in any individual is unknown, it can occur in patients appropriately prescribed hydrocodone bitartrate and ibuprofen. Addiction can occur at recommended dosages and if the drug is misused or abused. The risk of opioid-related overdose or overdose-related death is increased with higher opioid doses, and this risk persists over the course of therapy. In postmarketing studies, addiction, abuse, misuse, and fatal and non-fatal opioid overdose were observed in patients with long-term opioid use (see  ADVERSE REACTIONS ).

Assess each patient’s risk for opioid addiction, abuse, or misuse prior to prescribing hydrocodone bitartrate and ibuprofen, and reassess all patients receiving hydrocodone bitartrate and ibuprofen for the development of these behaviors and conditions. Risks are increased in patients with a personal or family history of substance abuse (including drug or alcohol abuse or addiction) or mental illness (e.g., major depression). The potential for these risks should not, however, prevent the proper management of pain in any given patient. Patients at increased risk may be prescribed opioids such as hydrocodone bitartrate and ibuprofen, but use in such patients necessitates intensive counseling about the risks and proper use of hydrocodone bitartrate and ibuprofen along with frequent reevaluation for signs of addiction, abuse, and misuse. Consider recommending or prescribing an opioid overdose reversal agent (see  WARNINGSDOSAGE AND ADMINISTRATION ).

Opioids are sought for nonmedical use and are subject to diversion from legitimate prescribed use. Consider these risks when prescribing or dispensing hydrocodone bitartrate and ibuprofen. Strategies to reduce these risks include prescribing the drug in the smallest appropriate quantity and advising the patient on careful storage of the drug during the course of treatment and the proper disposal of unused drug (see  PRECAUTIONS: Information for Patients ). Contact local state professional licensing board or state-controlled substances authority for information on how to prevent and detect abuse or diversion of this product.

Package Label.principal Display Panel
Life Threatening Respiratory Depression

Serious, life-threatening, or fatal respiratory depression has been reported with the use of opioids, even when used as recommended. Respiratory depression, if not immediately recognized and treated, may lead to respiratory arrest and death. Management of respiratory depression may include close observation, supportive measures, and use of opioid overdose reversal agents, depending on the patient’s clinical status (see OVERDOSAGE ). Carbon dioxide (CO2) retention from opioid-induced respiratory depression can exacerbate the sedating effects of opioids.

While serious, life-threatening, or fatal respiratory depression can occur at any time during the use of hydrocodone bitartrate and ibuprofen, the risk is greatest during the initiation of therapy or following a dosage increase.

To reduce the risk of respiratory depression, proper dosing and titration of hydrocodone bitartrate and ibuprofen are essential (see DOSAGE AND ADMINISTRATION ). Overestimating the hydrocodone bitartrate and ibuprofen dosage when converting patients from another opioid product can result in a fatal overdose with the first dose.

Accidental ingestion of even one dose of hydrocodone bitartrate and ibuprofen, especially by children, can result in respiratory depression and death due to an overdose of hydrocodone bitartrate and ibuprofen.

Educate patients and caregivers on how to recognize respiratory depression and emphasize the importance of calling 911 or getting emergency medical help right away in the event of a known or suspected overdose (see PRECAUTIONS, Information for Patients/Caregivers ).

Opioids can cause sleep-related breathing disorders including central sleep apnea (CSA) and sleep-related hypoxemia. Opioid use increases the risk of CSA in a dose-dependent fashion. In patients who present with CSA, consider decreasing the opioid dosage using best practices for opioid taper (see DOSAGE AND ADMINISTRATION ).

Packaging Label.principal Display Panel



Carcinogenicity, Mutagenicity, Impairment of Fertility

Carcinogenesis

Long-term animal studies to evaluate the carcinogenic potential of the combination of hydrocodone and ibuprofen, ibuprofen alone, or hydrocodone alone have not been conducted.

Mutagenesis

The mutagenic potential of the combination of hydrocodone and ibuprofen or hydrocodone alone has not been investigated.

In published studies, ibuprofen was not mutagenic in the in vitro bacterial reverse mutation assay (Ames assay).

Impairment of Fertility

Animal studies evaluating the impact of the combination of hydrocodone and ibuprofen or hydrocodone alone on fertility have not been conducted.

In a published study, dietary administration of ibuprofen to male and female rats 8-weeks prior to and during mating at dose levels of 20 mg/kg (0.2-times the MRHD of 1000 mg ibuprofen based on body surface area comparison) did not impact male or female fertility or litter size.

In other studies, adult mice were administered ibuprofen intraperitoneally at a dose of 5.6 mg/kg/day (0.03-times the MRHD based on body surface area comparison) for 35 or 60 days in males and 35 days in females. There was no effect on sperm motility or viability in males but decreased ovulation was reported in females.

Based on the mechanism of action, the use of prostaglandin-mediated NSAIDs, including ibuprofen, may delay or prevent rupture of ovarian follicles, which has been associated with reversible infertility in some women. Small studies in women treated with NSAIDs have also shown a reversible delay in ovulation. Consider withdrawal of NSAID-containing products, including hydrocodone bitartrate and ibuprofen, in women who have difficulties conceiving or who are undergoing investigation of infertility.

Use of opioids for an extended period of time may cause reduced fertility in females and males of reproductive potential. It is not known whether these effects on fertility are reversible (see ADVERSE REACTIONS: Postmarketing Experience ).

Risks From Concomitant Use With Benzodiazepines Or Other Cns Depressants

Profound sedation, respiratory depression, coma, and death may result from the concomitant use of hydrocodone bitartrate and ibuprofen with benzodiazepines and/or other CNS depressants, including alcohol (e.g., non-benzodiazepine sedatives/hypnotics, anxiolytics, tranquilizers, muscle relaxants, general anesthetics, antipsychotics, gabapentinoids (gabapentin or pregabalin), and other opioids). Because of these risks, reserve concomitant prescribing of these drugs for use in patients for whom alternative treatment options are inadequate.

Observational studies have demonstrated that concomitant use of opioid analgesics and benzodiazepines increases the risk of drug-related mortality compared to use of opioid analgesics alone. Because of similar pharmacological properties, it is reasonable to expect similar risk with the concomitant use of other CNS depressant drugs with opioid analgesics (see  PRECAUTIONS: Drug Interactions ).

If the decision is made to prescribe a benzodiazepine or other CNS depressant concomitantly with an opioid analgesic, prescribe the lowest effective dosages and minimum durations of concomitant use. In patients already receiving an opioid analgesic, prescribe a lower initial dose of the benzodiazepine or other CNS depressant than indicated in the absence of an opioid, and titrate based on clinical response. If an opioid analgesic is initiated in a patient already taking a benzodiazepine or other CNS depressant, prescribe a lower initial dose of the opioid analgesic, and titrate based on clinical response. Inform patients and caregivers of this potential interaction, educate them on the signs and symptoms of respiratory depression (including sedation).

If concomitant use is warranted, consider recommending or prescribing an opioid overdose reversal agent (see  WARNINGSDOSAGE AND ADMINISTRATION, and OVERDOSAGE ).

Advise both patients and caregivers about the risks of respiratory depression and sedation when hydrocodone bitartrate and ibuprofen is used with benzodiazepines or other CNS depressants (including alcohol and illicit drugs). Advise patients not to drive or operate heavy machinery until the effects of concomitant use of the benzodiazepine or other CNS depressant have been determined. Screen patients for risk of substance use disorders, including opioid abuse and misuse, and warn them of the risk for overdose and death associated with the use of additional CNS depressants including alcohol and illicit drugs (see  PRECAUTIONS: Drug Interactions, Information for Patients ).

Neonatal Opioid Withdrawal Syndrome

Use of hydrocodone bitartrate and ibuprofen for an extended period of time during pregnancy can result in withdrawal in the neonate. Neonatal opioid withdrawal syndrome, unlike opioid withdrawal syndrome in adults, may be life-threatening if not recognized and treated, and requires management according to protocols developed by neonatology experts. Observe newborns for signs of neonatal opioid withdrawal syndrome and manage accordingly. Advise pregnant women using opioids for an extended period of time of the risk of neonatal opioid withdrawal syndrome and ensure that appropriate treatment will be available (see  PRECAUTIONS: Pregnancy, Information for Patients ).

Opioid Analgesic Risk Evaluation and Mitigation Strategy (REMS)

To ensure that the benefits of opioid analgesics outweigh the risks of addiction, abuse, and misuse, the Food and Drug Administration (FDA) has required a Risk Evaluation and Mitigation Strategy (REMS) for these products. Under the requirements of the REMS, drug companies with approved opioid analgesic products must make REMS-compliant education programs available to healthcare providers. Healthcare providers are strongly encouraged to do all of the following:

  • Complete a REMS-compliant education program offered by an accredited provider of continuing education (CE) or another education program that includes all the elements of the FDA Education Blueprint for Health Care Providers Involved in the Management or Support of Patients with Pain.
  • Discuss the safe use, serious risks, and proper storage and disposal of opioid analgesics with patients and/or their caregivers every time these medicines are prescribed. The Patient Counseling Guide (PCG) can be obtained at this link: www.fda.gov/OpioidAnalgesicREMSPCG.
  • Emphasize to patients and their caregivers the importance of reading the Medication Guide that they will receive from their pharmacist every time an opioid analgesic is dispensed to them.
  • Consider using other tools to improve patient, household, and community safety, such as patient-prescriber agreements that reinforce patient-prescriber responsibilities.

To obtain further information on the opioid analgesic REMS and for a list of accredited REMS CME/CE, call 800-503-0784, or log on to www.opioidanalgesicrems.com. The FDA Blueprint can be found at www.fda.gov/OpioidAnalgesicREMSBlueprint.

Risks of Concomitant Use or Discontinuation of Cytochrome P450 3A4 Inhibitors and Inducers

Concomitant use of hydrocodone bitartrate and ibuprofen with a CYP3A4 inhibitor, such as macrolide antibiotics (e.g., erythromycin), azole-antifungal agents (e.g., ketoconazole), and protease inhibitors (e.g., ritonavir), may increase plasma concentrations of hydrocodone and prolong opioid adverse reactions, which may cause potentially fatal respiratory depression (see  WARNINGS: Life-Threatening Respiratory Depression ), particularly when an inhibitor is added after a stable dose of hydrocodone bitartrate and ibuprofen is achieved. Similarly, discontinuation of a CYP3A4 inducer, such as rifampin, carbamazepine, and phenytoin, in hydrocodone bitartrate and ibuprofen-treated patients may increase hydrocodone plasma concentrations and prolong opioid adverse reactions. When using hydrocodone bitartrate and ibuprofen with CYP3A4 inhibitors or discontinuing CYP3A4 inducers in hydrocodone bitartrate and ibuprofen-treated patients, evaluate patients at frequent intervals and consider dosage reduction of hydrocodone bitartrate and ibuprofen until stable drug effects are achieved (see  DOSAGE AND ADMINISTRATION,  PRECAUTIONS: Drug Interactions ).

Concomitant use of hydrocodone bitartrate and ibuprofen with CYP3A4 inducers or discontinuation of a CYP3A4 inhibitor could decrease hydrocodone plasma concentrations, decrease opioid efficacy or, possibly, lead to a withdrawal syndrome in a patient who had developed physical dependence to hydrocodone. When using hydrocodone bitartrate and ibuprofen with CYP3A4 inducers or discontinuing CYP3A4 inhibitors, monitor patients closely at frequent intervals and consider increasing the opioid dosage if needed to maintain adequate analgesia or if symptoms of opioid withdrawal occur (see  DOSAGE AND ADMINISTRATION,  PRECAUTIONS: Drug Interactions ).

Opioid-Induced Hyperalgesia and Allodynia

Opioid-Induced Hyperalgesia (OIH) occurs when an opioid analgesic paradoxically causes an increase in pain, or an increase in sensitivity to pain. This condition differs from tolerance, which is the need for increasing doses of opioids to maintain a defined effect (see  Dependenc e ). Symptoms of OIH include (but may not be limited to) increased levels of pain upon opioid dosage increase, decreased levels of pain upon opioid dosage decrease, or pain from ordinarily non-painful stimuli (allodynia). These symptoms may suggest OIH only if there is no evidence of underlying disease progression, opioid tolerance, opioid withdrawal, or addictive behavior.

Cases of OIH have been reported, both with short-term and longer-term use of opioid analgesics. Though the mechanism of OIH is not fully understood, multiple biochemical pathways have been implicated. Medical literature suggests a strong biologic plausibility between opioid analgesics and OIH and allodynia. If a patient is suspected to be experiencing OIH, carefully consider appropriately decreasing the dose of the current opioid analgesic or opioid rotation (safely switching the patient to a different opioid moiety) (see  DOSAGE AND ADMINISTRATION; WARNINGS ).

Patient Access to an Opioid Overdose Reversal Agent for the Emergency Treatment of Opioid Overdose

Inform patients and caregivers about opioid overdose reversal agents (e.g., naloxone, nalmefene). Discuss the importance of having access to an opioid overdose reversal agent, especially if the patient has risk factors for

overdose (e.g., concomitant use of CNS depressants, a history of opioid use disorder, or prior opioid overdose) or if there are household members (including children) or other close contacts at risk for accidental ingestion

or opioid overdose. The presence of risk factors for overdose should not prevent the management of pain in any patient (see WARNINGS ).

Discuss the options for obtaining an opioid overdose reversal agent (e.g., prescription, over-the-counter, or as part of a community-based program).

There are important differences among the opioid overdose reversal agents, such as route of administration, product strength, approved patient age range, and pharmacokinetics. Be familiar with these differences, as

outlined in the approved labeling for those products, prior to recommending or prescribing such an agent.

Educate patients and caregivers on how to recognize respiratory depression, and how to use an opioid overdose reversal agent for the emergency treatment of opioid overdose. Emphasize the importance of calling 911 or getting emergency medical help, even if an opioid overdose reversal agent is administered (see WARNINGS, OVERDOSAGE ).

Life-Threatening Respiratory Depression in Patients with Chronic Pulmonary Disease or in  Elderly, Cachectic, or Debilitated Patients

The use of hydrocodone bitartrate and ibuprofen in patients with acute or severe bronchial asthma in an unmonitored setting or in the absence of resuscitative equipment is contraindicated.

Patients with Chronic Pulmonary Disease:  Hydrocodone bitartrate and ibuprofen-treated patients with significant chronic obstructive pulmonary disease or cor pulmonale, and those with a substantially decreased respiratory reserve, hypoxia, hypercapnia, or pre-existing respiratory depression are at increased risk of decreased respiratory drive including apnea, even at recommended dosages of hydrocodone bitartrate and ibuprofen (see  WARNINGS: Life-Threatening Respiratory Depression ).

Elderly, Cachectic, or Debilitated Patients: Life-threatening respiratory depression is more likely to occur in elderly, cachectic, or debilitated patients because they may have altered pharmacokinetics or altered clearance compared to younger, healthier patients (see  WARNINGS: Life-Threatening Respiratory Depression ).

Regularly evaluate patients closely, particularly when initiating and titrating hydrocodone bitartrate and ibuprofen and when hydrocodone bitartrate and ibuprofen is given concomitantly with other drugs that depress respiration (see  WARNINGS: Life-Threatening Respiratory Depression ). Alternatively, consider the use of non-opioid analgesics in these patients.

Adrenal Insufficiency

Cases of adrenal insufficiency have been reported with opioid use, more often following greater than one month of use. Presentation of adrenal insufficiency may include non-specific symptoms and signs including nausea, vomiting, anorexia, fatigue, weakness, dizziness, and low blood pressure. If adrenal insufficiency is suspected, confirm the diagnosis with diagnostic testing as soon as possible. If adrenal insufficiency is diagnosed, treat with physiologic replacement doses of corticosteroids. Wean the patient off of the opioid to allow adrenal function to recover and continue corticosteroid treatment until adrenal function recovers. Other opioids may be tried as some cases reported use of a different opioid without recurrence of adrenal insufficiency. The information available does not identify any particular opioids as being more likely to be associated with adrenal insufficiency.

Severe Hypotension

Hydrocodone bitartrate and ibuprofen may cause severe hypotension including orthostatic hypotension and syncope in ambulatory patients. There is increased risk in patients whose ability to maintain blood pressure has already been compromised by a reduced blood volume or concurrent administration of certain CNS depressant drugs (e.g., phenothiazines or general anesthetics) (see  PRECAUTIONS: Drug Interactions ). Regularly evaluate these patients for signs of hypotension after initiating or titrating the dosage of hydrocodone bitartrate and ibuprofen. In patients with circulatory shock, hydrocodone bitartrate and ibuprofen may cause vasodilation that can further reduce cardiac output and blood pressure. Avoid the use of hydrocodone bitartrate and ibuprofen in patients with circulatory shock.

Risks of Use in Patients with Increased Intracranial Pressure, Brain Tumors, Head Injury, or  Impaired Consciousness

In patients who may be susceptible to the intracranial effects of CO2 retention (e.g., those with evidence of increased intracranial pressure or brain tumors), hydrocodone bitartrate and ibuprofen may reduce respiratory drive, and the resultant CO2 retention can further increase intracranial pressure. Monitor such patients for signs of sedation and respiratory depression, particularly when initiating therapy with hydrocodone bitartrate and ibuprofen.

Opioids may also obscure the clinical course in a patient with a head injury. Avoid the use of hydrocodone bitartrate and ibuprofen in patients with impaired consciousness or coma.

Risks of Gastrointestinal Complications

Hydrocodone bitartrate and ibuprofen is contraindicated in patients with known or suspected gastrointestinal obstruction, including paralytic ileus.

The hydrocodone in hydrocodone bitartrate and ibuprofen may cause spasm of the sphincter of Oddi. Opioids may cause increases in serum amylase. Regularly evaluate patients with biliary tract disease, including acute pancreatitis, for worsening symptoms.

Cases of opioid-induced esophageal dysfunction (OIED) have been reported in patients taking opioids. The risk of OIED may increase as the dose and/or duration of opioids increases. Regularly evaluate patients for signs and symptoms of OIED (e.g., dysphagia, regurgitation, non-cardiac chest pain) and, if necessary, adjust opioid therapy as clinically appropriate (see CLINICAL PHARMACOLOGY ).

Increased Risk of Seizures in Patients with Seizure Disorders

The hydrocodone in hydrocodone bitartrate and ibuprofen may increase the frequency of seizures in patients with seizure disorders, and may increase the risk of seizures occurring in other clinical settings associated with seizures. Regularly evaluate patients with a history of seizure disorders for worsened seizure control during hydrocodone bitartrate and ibuprofen therapy.

Withdrawal

Do not rapidly reduce or abruptly discontinue hydrocodone bitartrate and ibuprofen in a patient physically dependent on opioids. When discontinuing hydrocodone bitartrate and ibuprofen in a physically dependent patient, gradually taper the dosage. Rapid tapering of hydrocodone bitartrate and ibuprofen in a patient physically dependent on opioids may lead to a withdrawal syndrome and return of pain (see  DOSAGE AND ADMINISTRATIONDRUG ABUSE AND DEPENDENCE ).

Additionally, avoid the use of mixed agonist/antagonist (e.g., pentazocine, nalbuphine, and butorphanol) or partial agonist (e.g., buprenorphine) analgesics in patients who are receiving a full opioid agonist analgesic, including hydrocodone bitartrate and ibuprofen. In these patients, mixed agonist/antagonist and partial agonist analgesics may reduce the analgesic effect and/or precipitate withdrawal symptoms (see  PRECAUTIONS: Drug Interactions ).

Risks of Driving and Operating Machinery

Hydrocodone bitartrate and ibuprofen may impair the mental or physical abilities needed to perform potentially hazardous activities such as driving a car or operating machinery. Warn patients not to drive or operate dangerous machinery unless they are tolerant to the effects of hydrocodone bitartrate and ibuprofen and know how they will react to the medication (see  PRECAUTIONS: Information for Patients ).

Ibuprofen Component

Cardiovascular Thrombotic Events

Clinical trials of several COX-2 selective and nonselective NSAIDs of up to three years duration have shown an increased risk of serious cardiovascular (CV) thrombotic events, including myocardial infarction (MI), and stroke, which can be fatal. Based on available data, it is unclear that the risk for CV thrombotic events is similar for all NSAIDs. The relative increase in serious CV thrombotic events over baseline conferred by NSAID use appears to be similar in those with and without known CV disease or risk factors for CV disease. However, patients with known CV disease or risk factors had a higher absolute incidence of excess serious CV thrombotic events, due to their increased baseline rate. Some observational studies found that this increased risk of serious CV thrombotic events began as early as the first weeks of treatment. The increase in CV thrombotic risk has been observed most consistently at higher doses.

To minimize the potential risk for an adverse CV event in NSAID-treated patients, use the lowest effective dose for the shortest duration possible. Physicians and patients should remain alert for the development of such events, throughout the entire treatment course, even in the absence of previous CV symptoms. Patients should be informed about the symptoms of serious CV events and the steps to take if they occur.

There is no consistent evidence that concurrent use of aspirin mitigates the increased risk of serious CV thrombotic events associated with NSAID use. The concurrent use of aspirin and an NSAID, such as ibuprofen, increases the risk of serious gastrointestinal (GI) events (see  WARNINGS: Gastrointestinal Bleeding, Ulceration, and Perforation ).

Status Post Coronary Artery Bypass Graft (CABG) Surgery

Two large, controlled clinical trials of a COX-2 selective NSAID for the treatment of pain in the first 10 to 14 days following CABG surgery found an increased incidence of myocardial infarction and stroke. NSAIDs are contraindicated in the setting of CABG (see  CONTRAINDICATIONS ).

Post-MI Patients

Observational studies conducted in the Danish National Registry have demonstrated that patients treated with NSAIDs in the post-MI period were at increased risk of reinfarction, CV-related death, and all-cause mortality beginning in the first week of treatment. In this same cohort, the incidence of death in the first year post-MI was 20 per 100 person years in NSAID-treated patients compared to 12 per 100 person years in non-NSAID exposed patients. Although the absolute rate of death declined somewhat after the first year post-MI, the increased relative risk of death in NSAID users persisted over at least the next four years of follow-up.

Avoid the use of hydrocodone bitartrate and ibuprofen in patients with a recent MI unless the benefits are expected to outweigh the risk of recurrent CV thrombotic events. If hydrocodone bitartrate and ibuprofen is used in patients with a recent MI, monitor patients for signs of cardiac ischemia.

Gastrointestinal Bleeding, Ulceration, and Perforation

NSAIDs, including ibuprofen, cause serious gastrointestinal (GI) adverse events including inflammation, bleeding, ulceration, and perforation of the esophagus, stomach, small intestine, or large intestine, which can be fatal. These serious adverse events can occur at any time, with or without warning symptoms, in patients treated with hydrocodone bitartrate and ibuprofen. Only one in five patients who develop a serious upper GI adverse event on NSAID therapy is symptomatic. Upper GI ulcers, gross bleeding, or perforation caused by NSAIDs occurred in approximately 1% of patients treated for 3 to 6 months, and in about 2% to 4% of patients treated for one year. However, even short-term NSAID therapy is not without risk.

Risk Factors for GI Bleeding, Ulceration, and Perforation

Patients with a prior history of peptic ulcer disease and/or gastrointestinal bleeding who used NSAIDs had a greater than 10-fold increased risk for developing a GI bleed compared to patients without these risk factors. Other factors that increase the risk for GI bleeding in patients treated with NSAIDs include longer duration of NSAID therapy; concomitant use of oral corticosteroids, aspirin, anticoagulants, or selective serotonin reuptake inhibitors (SSRIs); smoking; use of alcohol; older age; and poor general health status. Most postmarketing reports of fatal GI events occurred in elderly or debilitated patients. Additionally, patients with advanced liver disease and/or coagulopathy are at increased risk for GI bleeding.

Strategies to Minimize the GI Risks in NSAID-treated patients:

  • Use the lowest effective dosage for the shortest possible duration.
  • Avoid administration of more than one NSAID at a time.
  • Avoid use in patients at higher risk unless benefits are expected to outweigh the increased risk of bleeding. For high risk patients, as well as those with active GI bleeding, consider alternate therapies other than NSAIDs.
  • Remain alert for signs and symptoms of GI ulceration and bleeding during NSAID therapy.
  • If a serious GI adverse event is suspected, promptly initiate evaluation and treatment, and discontinue hydrocodone bitartrate and ibuprofen until a serious GI adverse event is ruled out.
  • In the setting of concomitant use of low-dose aspirin for cardiac prophylaxis, monitor patients more closely for evidence of GI bleeding (see  PRECAUTIONS: Drug Interactions ).

Hepatotoxicity

Elevations of ALT or AST (three or more times the upper limit of normal [ULN]) have been reported in approximately 1% of NSAID-treated patients in clinical trials with NSAIDS. In addition, rare, sometimes fatal, cases of severe hepatic injury, including fulminant hepatitis, liver necrosis, and hepatic failure have been reported.

Elevations of ALT or AST (less than three times ULN) may occur in up to 15% of patients taking NSAIDs including ibuprofen.

Inform patients of the warning signs and symptoms of hepatotoxicity (e.g., nausea, fatigue, lethargy, diarrhea, pruritus, jaundice, right upper quadrant tenderness, and “flulike” symptoms). If clinical signs and symptoms consistent with liver disease develop, or if systemic manifestations occur (e.g., eosinophilia, rash, etc.), discontinue hydrocodone bitartrate and ibuprofen immediately, and perform a clinical evaluation of the patient.

Hypertension

NSAID-containing products, including hydrocodone bitartrate and ibuprofen, can lead to new onset or worsening of pre-existing hypertension, either of which may contribute to the increased incidence of CV events. Patients taking angiotensin converting enzyme (ACE) inhibitors, thiazide diuretics, or loop diuretics may have impaired response to these therapies when taking NSAIDs (see  PRECAUTIONS: Drug Interactions ).

Monitor blood pressure (BP) during the initiation of NSAID treatment and throughout the course of therapy.

Heart Failure and Edema

The Coxib and Traditional NSAID Trialists’ Collaboration meta-analysis of randomized controlled trials demonstrated an approximately two-fold increase in hospitalizations for heart failure in COX-2 selective-treated patients and nonselective NSAID-treated patients compared to placebo-treated patients. In a Danish National Registry study of patients with heart failure, NSAID use increased the risk of MI, hospitalization for heart failure, and death.

Additionally, fluid retention and edema have been observed in some patients treated with NSAIDs. Use of hydrocodone bitartrate and ibuprofen may blunt the CV effects of several therapeutic agents used to treat these medical conditions (e.g., diuretics, ACE inhibitors, or angiotensin receptor blockers [ARBs]) (see  PRECAUTIONS: Drug Interactions ).

Avoid the use of hydrocodone bitartrate and ibuprofen in patients with severe heart failure unless the benefits are expected to outweigh the risk of worsening heart failure. If hydrocodone bitartrate and ibuprofen is used in patients with severe heart failure, monitor patients for signs of worsening heart failure.

Renal Toxicity and Hyperkalemia

Renal Toxicity

Long-term administration of NSAIDs has resulted in renal papillary necrosis and other renal injury. Renal toxicity has also been seen in patients in whom renal prostaglandins have a compensatory role in the maintenance of renal perfusion. In these patients, administration of an NSAID may cause a dose-dependent reduction in prostaglandin formation and, secondarily, in renal blood flow, which may precipitate overt renal decompensation. Patients at greatest risk of this reaction are those with impaired renal function, dehydration, hypovolemia, heart failure, liver dysfunction, those taking diuretics and ACE inhibitors or angiotensin receptor blockers (ARBs), and the elderly. Discontinuation of NSAID therapy was usually followed by recovery to the pretreatment state.

No information is available from controlled clinical studies regarding the use of hydrocodone bitartrate and ibuprofen in patients with advanced renal disease. The renal effects of hydrocodone bitartrate and ibuprofen may hasten the progression of renal dysfunction in patients with pre-existing renal disease.

Correct volume status in dehydrated or hypovolemic patients prior to initiating hydrocodone bitartrate and ibuprofen. Monitor renal function in patients with renal or hepatic impairment, heart failure, dehydration, or hypovolemia during use of hydrocodone bitartrate and ibuprofen (see  PRECAUTIONS: Drug Interactions ). Avoid the use of hydrocodone bitartrate and ibuprofen in patients with advanced renal disease unless the benefits are expected to outweigh the risk of worsening renal function. If hydrocodone bitartrate and ibuprofen is used in patients with advanced renal disease, monitor patients for signs of worsening renal function.

Hyperkalemia

Increases in serum potassium concentration, including hyperkalemia, have been reported with use of NSAIDs, even in some patients without renal impairment. In patients with normal renal function, those effects have been attributed to a hyporeninemic-hypoaldosteronism state.

Anaphylactic Reactions

Ibuprofen has been associated with anaphylactic reactions in patients with and without known hypersensitivity to ibuprofen and in patients with aspirin-sensitive asthma (see  CONTRAINDICATIONS,  WARNINGS: Exacerbation of Asthma Related to Aspirin Sensitivity ).

Seek emergency help if an anaphylactic reaction occurs.

Exacerbation of Asthma Related to Aspirin Sensitivity

A subpopulation of patients with asthma may have aspirin-sensitive asthma which may include chronic rhinosinusitis complicated by nasal polyps; severe, potentially fatal bronchospasm; and/or intolerance to aspirin and other NSAIDs. Because cross-reactivity between aspirin and other NSAIDs has been reported in such aspirin-sensitive patients, hydrocodone bitartrate and ibuprofen is contraindicated in patients with this form of aspirin sensitivity (see  CONTRAINDICATIONS ). When hydrocodone bitartrate and ibuprofen is used in patients with pre-existing asthma (without known aspirin sensitivity), monitor patients for changes in the signs and symptoms of asthma.

Serious Skin Reactions

NSAIDs, including ibuprofen, can cause serious skin adverse events such as exfoliative dermatitis, Stevens-Johnson Syndrome (SJS), and toxic epidermal necrolysis (TEN), which can be fatal. NSAIDs can also cause fixed drug eruption (FDE). FDE may present as a more severe variant known as generalized bullous fixed drug eruption (GBFDE), which can be life-threatening. These serious events may occur without warning. Inform patients about the signs and symptoms of serious skin reactions, and to discontinue the use of hydrocodone bitartrate and ibuprofen at the first appearance of skin rash or any other sign of hypersensitivity. Hydrocodone bitartrate and ibuprofen is contraindicated in patients with previous serious skin reactions to NSAIDs (see  CONTRAINDICATIONS ).

Drug Reaction with Eosinophilia and Systemic Symptoms (DRESS)

Drug Reaction with Eosinophilia and Systemic Symptoms (DRESS) has been reported in patients taking NSAIDs such as hydrocodone bitartrate and ibuprofen. Some of these events have been fatal or life-threatening. DRESS typically, although not exclusively, presents with fever, rash, lymphadenopathy, and/or facial swelling. Other clinical manifestations may include hepatitis, nephritis, hematological abnormalities, myocarditis, or myositis. Sometimes symptoms of DRESS may resemble an acute viral infection. Eosinophilia is often present. Because this disorder is variable in its presentation, other organ systems not noted here may be involved. It is important to note that early manifestations of hypersensitivity, such as fever or lymphadenopathy, may be present even though rash is not evident. If such signs or symptoms are present, discontinue hydrocodone bitartrate and ibuprofen and evaluate the patient immediately.

Fetal Toxicity

Premature Closure of Fetal Ductus Arteriosus:

Avoid use of NSAIDs, including hydrocodone bitartrate and ibuprofen, in pregnant women at about 30 weeks gestation and later. NSAIDs including hydrocodone bitartrate and ibuprofen, increase the risk of premature closure of the fetal ductus arteriosus at approximately this gestational age.

Oligohydramnios/Neonatal Renal Impairment:

Use of NSAIDs, including hydrocodone bitartrate and ibuprofen, at about 20 weeks gestation or later in pregnancy may cause fetal renal dysfunction leading to oligohydramnios and, in some cases, neonatal renal impairment. These adverse outcomes are seen, on average, after days to weeks of treatment, although oligohydramnios has been infrequently reported as soon as 48 hours after NSAID initiation. Oligohydramnios is often, but not always, reversible with treatment discontinuation. Complications of prolonged oligohydramnios may, for example, include limb contractures and delayed lung maturation. In some post-marketing cases of impaired neonatal renal function, invasive procedures such as exchange transfusion or dialysis were required.

If NSAID treatment is necessary between about 20 weeks and 30 weeks gestation, limit hydrocodone bitartrate and ibuprofen use to the lowest effective dose and shortest duration possible. Consider ultrasound monitoring of amniotic fluid if hydrocodone bitartrate and ibuprofen treatment extends beyond 48 hours. Discontinue hydrocodone bitartrate and ibuprofen if oligohydramnios occurs and follow up according to clinical practice (see  PRECAUTIONS: Pregnancy ).

Hematologic Toxicity

Anemia has occurred in NSAID-treated patients. This may be due to occult or gross blood loss, fluid retention, or an incompletely described effect on erythropoiesis. If a patient treated with hydrocodone bitartrate and ibuprofen has any signs or symptoms of anemia, monitor hemoglobin or hematocrit.

NSAID-containing products, including hydrocodone bitartrate and ibuprofen, may increase the risk of bleeding events. Co-morbid conditions such as coagulation disorders, concomitant use of warfarin, other anticoagulants, antiplatelet agents (e.g., aspirin), serotonin reuptake inhibitors (SSRIs), and serotonin norepinephrine reuptake inhibitors (SNRIs) may increase this risk. Monitor these patients for signs of bleeding (see  PRECAUTIONS: Drug Interactions ).

Aseptic Meningitis

Aseptic meningitis with fever and coma has been observed on rare occasions in patients on ibuprofen therapy as found in hydrocodone bitartrate and ibuprofen. Although it is probably more likely to occur in patients with systemic lupus erythematosus and related connective tissue diseases, it has been reported in patients who do not have an underlying chronic disease. If signs or symptoms of meningitis develop in a patient on hydrocodone bitartrate and ibuprofen, the possibility of its being related to ibuprofen should be considered.

Warning: Serious and Life Threatening Risks From Use of Hydrocodone Bitartrate and Ibuprofen Tablets

Addiction, Abuse, and Misuse

Because the use of hydrocodone bitartrate and ibuprofen exposes patients and other users to the risks of opioid addiction, abuse, and misuse, which can lead to overdose and death, assess each patient’s risk prior to prescribing and reassess all patients regularly for the development of these behaviors and conditions (see WARNINGS).

Life-Threatening Respiratory Depression

Serious, life-threatening, or fatal respiratory depression may occur with use of hydrocodone bitartrate and ibuprofen, especially during initiation or following a dosage increase. To reduce the risk of respiratory depression, proper dosing and titration of hydrocodone bitartrate and ibuprofen are essential (see WARNINGS).

Accidental Ingestion

Accidental ingestion of even one dose of hydrocodone bitartrate and ibuprofen, especially by children, can result in a fatal overdose of hydrocodone (see WARNINGS).

Risks From Concomitant Use With Benzodiazepines Or Other CNS Depressants

Concomitant use of opioids with benzodiazepines or other central nervous system (CNS) depressants, including alcohol, may result in profound sedation, respiratory depression, coma, and death. Reserve concomitant prescribing of hydrocodone bitartrate and ibuprofen and benzodiazepines or other CNS depressants for use in patients for whom alternative treatment options are inadequate (see WARNINGS).

Neonatal Opioid Withdrawal Syndrome  (NOWS)

Advise pregnant women using opioids for an extended period of time of the risk of Neonatal Opioid Withdrawal Syndrome , which may be life-threatening if not recognized and treated. Ensure that management by neonatology experts will be available at delivery (see WARNINGS).

Opioid Analgesic Risk Evaluation and Mitigation Strategy (REMS)

Healthcare providers are strongly encouraged to complete a REMS-compliant education program and to counsel patients and caregivers on serious risks, safe use, and the importance of reading the Medication Guide with each prescription (see WARNINGS).

Cytochrome P450 3A4 Interaction

The concomitant use of hydrocodone bitartrate and ibuprofen with all cytochrome P450 3A4 inhibitors may result in an increase in hydrocodone plasma concentrations, which may cause potentially fatal respiratory depression. In addition, discontinuation of a concomitantly used cytochrome P450 3A4 inducer may result in an increase in hydrocodone plasma concentration. Monitor patients taking hydrocodone bitartrate and ibuprofen and any CYP3A4 inhibitor or upon discontinuation of a CYP3A4 inducer for signs and symptoms of respiratory depression and sedation (see WARNINGS: Risks of Concomitant Use or Discontinuation of Cytochrome P450 3A4 Inhibitors and Inducers, PRECAUTIONS: Drug Interactions).

Cardiovascular Thrombotic Events

Gastrointestinal Bleeding, Ulceration, and Perforation

NSAIDs cause an increased risk of serious gastrointestinal (GI) adverse events including bleeding, ulceration, and perforation of the stomach or intestines, which can be fatal. These events can occur at any time during use and without warning symptoms. Elderly patients and patients with a prior history of peptic ulcer disease and/or GI bleeding are at greater risk for serious GI events (see WARNINGS: Gastrointestinal Bleeding, Ulceration, and Perforation).


Structured Label Content

Warnings (WARNINGS)

Hydrocodone Component

Pregnancy

Risk Summary

Use of NSAIDs, including hydrocodone bitartrate and ibuprofen, can cause premature closure of the fetal ductus arteriosus and fetal renal dysfunction leading to oligohydramnios and, in some cases, neonatal renal impairment. Because of these risks, limit dose and duration of hydrocodone bitartrate and ibuprofen use between about 20 and 30 weeks of gestation, and avoid hydrocodone bitartrate and ibuprofen use at about 30 weeks of gestation and later in pregnancy (see WARNINGS: Fetal Toxicity ).

Premature Closure of Fetal Ductus Arteriosus

Use of NSAIDs, including hydrocodone bitartrate and ibuprofen, at about 30 weeks gestation or later in pregnancy increases the risk of premature closure of the fetal ductus arteriosus.

Oligohydramnios/Neonatal Renal Impairment

Use of NSAIDs at about 20 weeks gestation or later in pregnancy has been associated with cases of fetal renal dysfunction leading to oligohydramnios, and in some cases, neonatal renal impairment.

Data from observational studies regarding other potential embryo-fetal risks of NSAID use in women in the first or second trimesters of pregnancy are inconclusive.  In animal reproduction studies, an increase in the percentage of litters and fetuses with any major abnormality and an increase in the number of litters and fetuses with one or more nonossified metacarpals was observed when the combination of hydrocodone and ibuprofen was administered orally to pregnant rabbits during organogenesis at 1.8 times the maximum daily dose. There are no animal reproductive and developmental toxicology studies with hydrocodone alone.

In published animal reproduction studies testing ibuprofen alone, there were no clear developmental effects at doses up to 1.2 times the maximum recommended human dose (MRHD) in the rabbit and 1.8 times in the MRHD rat when dosed throughout gestation. In contrast, an increase in membranous ventricular septal defects was reported in rats treated on Gestation Days 9 & 10 with 3 times the MRHD. Based on animal data, prostaglandins have been shown to have an important role in endometrial vascular permeability, blastocyst implantation, and decidualization. In animal studies, administration of prostaglandin synthesis inhibitors such as ibuprofen, resulted in increased pre- and post-implantation loss. Prostaglandins also have been shown to have an important role in fetal kidney development. In published animal studies, prostaglandin synthesis inhibitors have been reported to impair kidney development when administered at clinically relevant doses.

The estimated background risk of major birth defects and miscarriage for the indicated population(s) is unknown. All pregnancies have a background risk of birth defect, loss, or other adverse outcomes. In the U.S. general population, the estimated background risk of major birth defects and miscarriage in clinically recognized pregnancies is 2% to 4% and 15% to 20%, respectively.

Clinical Considerations

Fetal/Neonatal Adverse Reactions

Premature Closure of Fetal Ductus Arteriosus:

Avoid use of NSAIDs in women at about 30 weeks gestation and later in pregnancy, because NSAIDs, including hydrocodone bitartrate and ibuprofen, can cause premature closure of the fetal ductus arteriosus (see WARNINGS: Fetal Toxicity ).

Oligohydramnios/Neonatal Renal Impairment

If an NSAID is necessary at about 20 weeks gestation or later in pregnancy, limit the use to the lowest effective dose and shortest duration possible. If hydrocodone bitartrate and ibuprofen treatment extends beyond 48 hours, consider monitoring with ultrasound for oligohydramnios. If oligohydramnios occurs, discontinue hydrocodone bitartrate and ibuprofen and follow up according to clinical practice (see WARNINGS: Fetal Toxicity ).

Use of opioid analgesics for an extended period of time during pregnancy for medical or nonmedical purposes can result in physical dependence in the neonate and neonatal opioid withdrawal syndrome shortly after birth.

Neonatal opioid withdrawal syndrome presents as irritability, hyperactivity and abnormal sleep pattern, high-pitched cry, tremor, vomiting, diarrhea, and failure to gain weight. The onset, duration, and severity of neonatal opioid withdrawal syndrome vary based on the specific opioid used, duration of use, timing and amount of last maternal use, and rate of elimination of the drug by the newborn. Observe newborns for symptoms of neonatal opioid withdrawal syndrome and manage accordingly (see WARNINGS: Neonatal Opioid Withdrawal Syndrome ).

Labor and Delivery

Opioids cross the placenta and may produce respiratory depression and psycho-physiologic effects in neonates. An opioid overdose reversal agent, such as naloxone or nalmefene, must be available for reversal of opioid-induced respiratory depression in the neonate. Monitor neonates exposed to opioid analgesics during labor for signs of excess sedation and respiratory depression. There are no studies on the effects of hydrocodone bitartrate and ibuprofen during labor or delivery. In animal studies, NSAIDs, including ibuprofen, inhibit prostaglandin synthesis, cause delayed parturition, and increase the incidence of stillbirth.

Hydrocodone bitartrate and ibuprofen is not recommended for use in women during and immediately prior to labor, when use of shorter-acting analgesics or other analgesic techniques are more appropriate. Opioid analgesics, including hydrocodone bitartrate and ibuprofen, can prolong labor through actions that temporarily reduce the strength, duration, and frequency of uterine contractions. However, this effect is not consistent and may be offset by an increased rate of cervical dilatation, which tends to shorten labor. Monitor neonates exposed to opioid analgesics during labor for signs of excess sedation and respiratory depression.

Data

Human Data

Premature Closure of Fetal Ductus Arteriosus:

Published literature reports that the use of NSAIDs at about 30 weeks of gestation and later in pregnancy may cause premature closure of the fetal ductus arteriosus.

Oligohydramnios/Neonatal Renal Impairment:

Published studies and post-marketing reports describe maternal NSAID use at about 20 weeks gestation or later in pregnancy associated with fetal renal dysfunction leading to oligohydramnios, and in some cases, neonatal renal impairment. These adverse outcomes are seen, on average, after days to weeks of treatment, although oligohydramnios has been infrequently reported as soon as 48 hours after NSAID initiation. In many cases, but not all, the decrease in amniotic fluid was transient and reversible with cessation of the drug. There have been a limited number of case reports of maternal NSAID use and neonatal renal dysfunction without oligohydramnios, some of which were irreversible. Some cases of neonatal renal dysfunction required treatment with invasive procedures, such as exchange transfusion or dialysis.

Methodological limitations of these post-marketing studies and reports include lack of a control group; limited information regarding dose, duration, and timing of drug exposure; and concomitant use of other medications. These limitations preclude establishing a reliable estimate of the risk of adverse fetal and neonatal outcomes with maternal NSAID use. Because the published safety data on neonatal outcomes involved mostly preterm infants, the generalizability of certain reported risks to the full-term infant exposed to NSAIDs through maternal use is uncertain.

Animal Data

Pregnant rabbits were treated with 10, 33, or 95 mg/kg of 1:27 ratio of hydrocodone:ibuprofen (the high dose is 1.8 times the maximum daily dose of both compounds based on surface area) from Gestation Day 5 to 18. The dose of 95 mg/kg of the combination, which also produced maternal toxicity (44% decrease in body weight gain compared to control), resulted in an increase in the percentage of litters and fetuses with any major abnormality and an increase in the number of litters and fetuses with one or more nonossified metacarpals (a minor abnormality).

Pregnant rats were treated with 50, 100, or 166 mg/kg of a 1:27 ratio of hydrocodone:ibuprofen (the high dose is 1.6 times the maximum daily dose of both compounds based on body surface area) from Gestation Day 5 to 15. No reproductive toxicity was noted despite the presence of maternal toxicity in the 100 and 166 mg/kg groups (21% and 60% decrease in body weight gain compared to control).

In a published study, female rabbits given 7.5, 20, or 60 mg/kg ibuprofen (0.15, 0.39, or 1.2 times the maximum recommended human daily dose of 1000 mg of ibuprofen based on body surface area) from Gestation Days 1 to 29, no clear treatment-related adverse developmental effects were noted. This dose was associated with significant maternal toxicity (stomach ulcers, gastric lesions). In the same publication, female rats were administered 7.5, 20, 60, 180 mg/kg ibuprofen (0.07, 0.2, 0.6, 1.8 times the maximum daily dose) did not result in clear adverse developmental effects. Maternal toxicity (gastrointestinal lesions) was noted at 20 mg/kg and above.

In a published study, rats were orally dosed with 300 mg/kg ibuprofen (3 times the maximum human daily dose of 1000 mg based on body surface area) during Gestation Days 9 and 10 (critical time points for heart development in rats). Ibuprofen treatment resulted in an increase in the incidence of membranous ventricular septal defects. This dose was associated with significant maternal toxicity including gastrointestinal toxicity (1 out of 20 animals). In the same study/publication rabbits were dosed on Gestation Day 9, 10 and 11 with 500 mg/kg (9.7 times the maximum human daily dose), and only one incidence each of a membranous ventricular septal defect and gastroschisis was noted in the rabbit fetuses. This dose was also associated with maternal toxicity.

Overdosage (OVERDOSAGE)

Following an acute overdosage, toxicity may result from hydrocodone and/or ibuprofen.

Clinical Presentation

Hydrocodone Component

Acute overdose with hydrocodone bitartrate and ibuprofen tablets can be manifested by respiratory depression, somnolence progressing to stupor or coma, skeletal muscle flaccidity, cold and clammy skin, constricted pupils, and, in some cases, pulmonary edema, bradycardia, hypotension, hypoglycemia, partial or complete airway obstruction, atypical snoring, and death. Marked mydriasis rather than miosis may be seen with hypoxia in overdose situations (see CLINICAL PHARMACOLOGY ). Toxic leukoencephalopathy has been reported after opioid overdose and can present hours, days, or weeks after apparent recovery from the initial intoxication.

Ibuprofen Component

Symptoms following acute NSAID overdosages have been typically limited to lethargy, drowsiness, nausea, vomiting, and epigastric pain, which have been generally reversible with supportive care. Gastrointestinal bleeding has occurred (see WARNINGS: Gastrointestinal Bleeding, Ulceration, and Perforation ). Hypertension, acute renal failure, respiratory depression, and coma have occurred, but were rare (see WARNINGS: Hypertension, Renal Toxicity and Hyperkalemia ).

Treatment of Overdose

In case of overdose, priorities are the re-establishment of a patent and protected airway and institution of assisted or controlled ventilation, if needed. Employ other supportive measures (including oxygen and vasopressors) in the management of circulatory shock and pulmonary edema as indicated. Cardiac arrest or arrhythmias will require advanced life-support measures.

For clinically significant respiratory or circulatory depression secondary to opioid overdose, administer an opioid overdose reversal agent such as naloxone or nalmefene.

Because the duration of opioid reversal is expected to be less than the duration of action of hydrocodone, carefully monitor the patient until spontaneous respiration is reliably re-established. If the response to an opioid overdose reversal agent is suboptimal or only brief in nature, administer additional reversal agent as directed by the product’s prescribing information.

In an individual physically dependent on opioids, administration of the recommended usual dosage of the overdose reversal agent will precipitate an acute withdrawal syndrome. The severity of the withdrawal symptoms experienced will depend on the degree of physical dependence and the dose of the reversal agent administered. If a decision is made to treat serious respiratory depression in the physically dependent patient, administration of the reversal agent should be begun with care and by titration with smaller than usual doses of the reversal agent.

Manage patients with symptomatic and supportive care following an NSAID overdosage. There are no specific antidotes. Consider emesis and/or activated charcoal (60 to 100 grams in adults, 1 to 2 grams per kg of body weight in pediatric patients) and/or osmotic cathartic in symptomatic patients seen within four hours of ingestion or in patients with a large overdose (5 to 10 times the recommended dosage). Forced diuresis, alkalinization of urine, hemodialysis, or hemoperfusion may not be useful due to high protein binding.

For additional information about overdosage treatment contact a poison control center (1-800-222-1222).

Description (DESCRIPTION)

Each hydrocodone bitartrate and ibuprofen tablet contains either:

Hydrocodone Bitartrate, USP 2.5 mg, 5 mg, 7.5 mg, or 10 mg and Ibuprofen, USP 200 mg

Hydrocodone bitartrate and ibuprofen tablets are supplied in a fixed combination tablet form for oral administration. Hydrocodone bitartrate and ibuprofen tablets combine the opioid agonist, hydrocodone bitartrate, USP, with the nonsteroidal anti-inflammatory (NSAID) agent, ibuprofen, USP.

Hydrocodone bitartrate, USP is a semisynthetic opioid agonist. Its chemical name is: 4,5 α-epoxy-3-methoxy-17-methylmorphinan-6-one tartrate (1:1) hydrate (2:5). Its chemical formula is: C18H21NO3•C4H6O6•2½H2O, and the molecular weight is 494.50. Its structural formula is:

Ibuprofen, USP is a nonsteroidal anti-inflammatory agent [non-selective COX inhibitor] with analgesic and antipyretic properties. Its chemical name is: (±)-2-(p-isobutylphenyl) propionic acid. Its chemical formula is: C13H18O2, and the molecular weight is: 206.29. Its structural formula is:

Inactive ingredients in hydrocodone bitartrate and ibuprofen 2.5 mg/200 mg, 5 mg/200 mg and 7.5 mg/200 mg tablets include: carnauba wax, colloidal silicon dioxide, croscarmellose sodium, hypromellose, magnesium stearate, microcrystalline cellulose, polyethylene glycol, polydextrose, pregelatinized starch and titanium dioxide.

Inactive ingredients in hydrocodone bitartrate and ibuprofen 10 mg/200 mg tablets include: colloidal silicon dioxide, croscarmellose sodium, hypromellose, magnesium stearate, microcrystalline cellulose, polyethylene glycol, polydextrose, pregelatinized starch, titanium dioxide, triacetin and D&C Yellow #10 Aluminum Lake.

Precautions (PRECAUTIONS)

Masking of Inflammation and Fever

The pharmacological activity of hydrocodone bitartrate and ibuprofen in reducing inflammation, and possibly fever, may diminish the utility of diagnostic signs in detecting infections.

Ophthalmological Effects

Blurred or diminished vision, scotomata, and changes in color vision have been reported with oral ibuprofen. Discontinue ibuprofen if a patient develops such complaints, and refer the patient for an ophthalmologic examination that includes central visual fields and color vision testing.

Information for Patients/Caregivers

Advise the patient to read the FDA-approved patient labeling (Medication Guide) that accompanies each prescription dispensed. Patients, families, or their caregivers should be informed of the following information before initiating therapy with hydrocodone bitartrate and ibuprofen and periodically during the course of ongoing therapy.

1. Storage and Disposal

Because of the risks associated with accidental ingestion, misuse and abuse, advise patients to store hydrocodone bitartrate and ibuprofen tablets securely, out of sight and reach of children, and in a location not accessible by others, including visitors to the home. Inform patients that leaving hydrocodone bitartrate and ibuprofen tablets unsecured can pose a deadly risk to others in the home (see WARNINGS, DRUG ABUSE AND DEPENDENCE ).

Advise patients and caregivers that when medicines are no longer needed, they should be disposed of promptly. Expired, unwanted, or unused hydrocodone bitartrate and ibuprofen tablets should be disposed of by flushing the unused medication down the toilet if a drug take-back option is not readily available. Inform patients that they can visit www.fda.gov/drugdisposal for a complete list of medicines recommended for disposal by flushing, as well as additional information on disposal of unused medicines.

2. Addiction, Abuse, and Misuse

Inform patients that the use of hydrocodone bitartrate and ibuprofen, even when taken as recommended, can result in addiction, abuse, and misuse, which can lead to overdose and death (see WARNINGS: Addiction, Abuse, and Misuse ). Instruct patients not to share hydrocodone bitartrate and ibuprofen with others and to take steps to protect hydrocodone bitartrate and ibuprofen from theft or misuse.

3. Life-Threatening Respiratory Depression

Inform patients of the risk of life-threatening respiratory depression, including information that the risk is greatest when starting hydrocodone bitartrate and ibuprofen or when the dosage is increased, and that it can occur even at recommended dosages.

Educate patients and caregivers on how to recognize respiratory depression and emphasize the importance of calling 911 or getting emergency medical help right away in the event of a known or suspected overdose (see WARNINGS, Life-Threatening Respiratory Depression ).

4. Accidental Ingestion

Inform patients that accidental ingestion, especially by children, may result in respiratory depression or death (see  WARNINGS: Life-Threatening Respiratory Depression ).

5. Interactions with Benzodiazepines and Other CNS Depressants

Inform patients and caregivers that potentially fatal additive effects may occur if hydrocodone bitartrate and ibuprofen is used with benzodiazepines or other CNS depressants, including alcohol (e.g., non-benzodiazepine sedative/hypnotics, anxiolytics tranquilizers, muscle relaxants, general anesthetics, antipsychotics, gabapentinoids [gabapentin or pregabalin], and other opioids), and not to use these concomitantly unless supervised by a healthcare provider (see WARNINGS; PRECAUTIONS: Drug Interactions ).

6. Patient Access to an Opioid Overdose Reversal Agent for the Emergency Treatment of Opioid Overdose

Inform patients and caregivers about opioid overdose reversal agents (e.g., naloxone, nalmefene). Discuss the importance of having access to an opioid overdose reversal agent, especially if the patient has risk factors for overdose (e.g., concomitant use of CNS depressants, a history of opioid use disorder, or prior opioid overdose) or if there are household members (including children) or other close contacts at risk for accidental ingestion or opioid overdose.

Discuss with the patient the options for obtaining an opioid overdose reversal agent (e.g., prescription, over-the-counter, or as part of a community-based program) (see  WARNINGS, DOSAGE AND ADMINISTRATION ).

Educate patients and caregivers on how to recognize the signs and symptoms of an overdose.

Explain to patients and caregivers that effects of opioid overdose reversal agents like naloxone and nalmefene are temporary, and that they must call 911 or get emergency medical help right away in all cases of known or suspected opioid overdose, even if an opioid overdose reversal agent is administered (see OVERDOSAGE ).

Advise patients and caregivers:

  • how to treat with the overdose reversal agent in the event of an opioid overdose
  • to tell family and friends about their opioid overdose reversal agent, and to keep it in a place where family and friends can access it in an emergency
  • to read the Patient Information (or other educational material) that will come with their opioid overdose reversal agent. Emphasize the importance of doing this before an opioid emergency happens, so the patient and caregiver will know what to do.

7. Hyperalgesia and Allodynia

Inform patients and caregivers not to increase opioid dosage without first consulting a clinician. Advise patients to seek medical attention if they experience symptoms of hyperalgesia, including worsening pain, increased sensitivity to pain, or new pain (see WARNINGS; Adverse Reactions ).

8. Serotonin Syndrome

Inform patients that opioids could cause a rare but potentially life-threatening condition resulting from concomitant administration of serotonergic drugs. Warn patients of the symptoms of serotonin syndrome and to seek medical attention right away if symptoms develop. Instruct patients to inform their healthcare providers if they are taking, or plan to take serotonergic medications (see PRECAUTIONS: Drug Interactions ).

9. MAOI Interaction

Inform patients to avoid taking hydrocodone bitartrate and ibuprofen while using any drugs that inhibit monoamine oxidase. Patients should not start MAOIs while taking hydrocodone bitartrate and ibuprofen (see PRECAUTIONS: Drug Interactions ).

10. Important Administration Instructions

Instruct patients how to properly take hydrocodone bitartrate and ibuprofen. For the short-term (generally less than 10 days) management of acute pain, the recommended dose of hydrocodone bitartrate and ibuprofen is one tablet every 4 to 6 hours, as necessary. Inform patients that the dosage should not exceed 5 tablets in a 24-hour period (see  DOSAGE AND ADMINISTRATION ).

11. Important Discontinuation Instructions

In order to avoid developing withdrawal symptoms, instruct patients not to discontinue hydrocodone bitartrate and ibuprofen tablets without first discussing a tapering plan with the prescriber (see  DOSAGE AND ADMINISTRATION ).

12. Driving or Operating Heavy Machinery

Inform patients that hydrocodone bitartrate and ibuprofen may impair the ability to perform potentially hazardous activities such as driving a car or operating heavy machinery. Advise patients not to perform such tasks until they know how they will react to the medication (see  WARNINGS: Risks of Driving and Operating Machinery ).

13. Constipation

Advise patients of the potential for severe constipation, including management instructions and when to seek medical attention (see  ADVERSE REACTIONS: Clinical Trials Experience ).

14. Cardiovascular Thrombotic Events

Advise patients to be alert for the symptoms of cardiovascular thrombotic events, including chest pain, shortness of breath, weakness, or slurring of speech, and to report any of these symptoms to their healthcare provider immediately (see  WARNINGS: Cardiovascular Thrombotic Events ).

15. Gastrointestinal Bleeding, Ulceration, and Perforation

Advise patients to report symptoms of ulcerations and bleeding, including epigastric pain, dyspepsia, melena, and hematemesis to their healthcare provider. In the setting of concomitant use of low-dose aspirin for cardiac prophylaxis, inform patients of the increased risk for and the signs and symptoms of GI bleeding (see  WARNINGS: Gastrointestinal Bleeding, Ulceration, and Perforation ).

16. Hepatotoxicity

Inform patients of the warning signs and symptoms of hepatotoxicity (e.g., nausea, fatigue, lethargy, pruritus, diarrhea, jaundice, right upper quadrant tenderness, and "flu-like" symptoms). If these occur, instruct patients to stop hydrocodone bitartrate and ibuprofen and seek immediate medical therapy (see  WARNINGS: Hepatotoxicity ).

17. Heart Failure and Edema

Advise patients to be alert for the symptoms of congestive heart failure including shortness of breath, unexplained weight gain, or edema and to contact their healthcare provider if such symptoms occur (see  WARNINGS: Heart Failure and Edema ).

18. Adrenal Insufficiency

Inform patients that opioids could cause adrenal insufficiency, a potentially life-threatening condition. Adrenal insufficiency may present with non-specific symptoms and signs such as nausea, vomiting, anorexia, fatigue, weakness, dizziness, and low blood pressure. Advise patients to seek medical attention if they experience a constellation of these symptoms (see WARNINGS: Adrenal Insufficiency ).

19. Hypotension

Inform patients that hydrocodone bitartrate and ibuprofen may cause orthostatic hypotension and syncope. Instruct patients how to recognize symptoms of low blood pressure and how to reduce the risk of serious consequences should hypotension occur (e.g., sit or lie down, carefully rise from a sitting or lying position) (see WARNINGS: Severe Hypotension ).

20. Anaphylaxis

Inform patients that anaphylaxis has been reported with ingredients contained in hydrocodone bitartrate and ibuprofen. Advise patients how to recognize such a reaction and when to seek medical attention (see CONTRAINDICATIONS,  WARNINGS: Anaphylactic Reactions ).

21. Pregnancy

Neonatal Opioid Withdrawal Syndrome

Inform female patients of reproductive potential that use of hydrocodone bitartrate and ibuprofen for an extended period of time during pregnancy can result in neonatal opioid withdrawal syndrome, which may be life-threatening if not recognized and treated (see Boxed Warning,  WARNINGS: Neonatal Opioid Withdrawal Syndrome, PRECAUTIONS: Pregnancy ).

Embryo-Fetal Toxicity

Inform female patients of reproductive potential that hydrocodone bitartrate and ibuprofen can cause fetal harm and to inform the prescriber of a known or suspected pregnancy. Inform pregnant women to avoid use of hydrocodone bitartrate and ibuprofen and other NSAIDs starting at 30 weeks gestation because of the risk of the premature closing of the fetal ductus arteriosus. If treatment with hydrocodone bitartrate and ibuprofen is needed for a pregnant woman between about 20 to 30 weeks gestation, advise her that she may need to be monitored for oligohydramnios, if treatment continues for longer than 48 hours (see WARNINGS: Fetal Toxicity, PRECAUTIONS: Pregnancy ).

22. Lactation

Advise nursing mothers to carefully observe infants for increased sleepiness (more than usual), breathing difficulties, or limpness. Instruct nursing mothers to seek immediate medical care if they notice these signs (see PRECAUTIONS : Nursing Mothers ).

23. Infertility

Inform patients that use of opioids for an extended period of time may cause reduced fertility. It is not known whether these effects on fertility are reversible. Advise female patients of reproductive potential who desire pregnancy that NSAIDs, including hydrocodone bitartrate and ibuprofen, may be associated with a reversible delay in ovulation (see PRECAUTIONS: Carcinogenicity, Mutagenicity, Impairment of Fertility ).

24. Serious Skin Reactions, including DRESS

Advise patients to stop taking hydrocodone bitartrate and ibuprofen immediately if they develop any type of rash or fever and to contact their healthcare provider as soon as possible (see WARNINGS ).

25. Avoid Concomitant use of NSAIDs

Inform patients that the concomitant use of hydrocodone bitartrate and ibuprofen with other NSAIDs or salicylates (e.g., diflunisal, salsalate) is not recommended due to the increased risk of gastrointestinal toxicity, and little or no increase in efficacy (see WARNINGS: Gastrointestinal Bleeding, Ulceration, and Perforation,  PRECAUTIONS: Drug Interactions ). Alert patients that NSAIDs may be present in “over the counter” medications for treatment of colds, fever, or insomnia.

26. Use of NSAIDS and Low-Dose Aspirin

Inform patients not to use low-dose aspirin concomitantly with hydrocodone bitartrate and ibuprofen until they talk to their healthcare provider (see PRECAUTIONS: Drug Interactions ).

27. Ophthalmological Effects

Instruct patients to report any signs of blurred vision or other eye symptoms (see PRECAUTIONS: Ophthalmological Effects ).

How Supplied (HOW SUPPLIED)

Hydrocodone bitartrate and ibuprofen tablets, 2.5 mg/200 mg, are supplied as white, capsule-shaped, film-coated tablets, debossed “IP 116” on obverse and plain on reverse.

They are available as follows:

Bottles of 100:             NDC 53746-116-01

Hydrocodone bitartrate and ibuprofen tablets, 5 mg/200 mg, are supplied as white, oval-shaped, film-coated tablets, debossed “IP 146” on obverse and plain on reverse.

They are available as follows:

Bottles of 100:             NDC 53746-146-01

Hydrocodone bitartrate and ibuprofen tablets, 7.5 mg/200 mg, are supplied as white, round, film-coated, biconvex tablets, debossed with “IP” over “145” on one side and plain on the other side.

They are available as follows:

Bottles of 100:             NDC 53746-145-01

Bottles of 500:             NDC 53746-145-05

Hydrocodone bitartrate and ibuprofen tablets, 10 mg/200 mg, are supplied as yellow, round-shaped, film-coated tablets, debossed “IP 117” on obverse and plain on reverse.

They are available as follows:

Bottles of 100:             NDC 53746-117-01

Storage

Store at room temperature 20° to 25°C (68° to 77°F); excursions permitted between 15° to 30°C (59° to 86°F) [see USP Controlled Room Temperature].

Dispense in a tight, light-resistant container.

Store hydrocodone bitartrate and ibuprofen tablets securely and dispose of properly (see PRECAUTIONS: Information for Patients ).

Manufactured by:

Amneal Pharmaceuticals of NY, LLC

Brookhaven, NY 11719

Rev. 11-2025-15

Geriatric Use

In controlled clinical trials there was no difference in tolerability between patients < 65 years of age and those ≥ 65, apart from an increased tendency of the elderly to develop constipation. However, elderly patients are at greater risk for NSAID-associated serious cardiovascular, gastrointestinal, and renal adverse reactions as well as possible increased risk of respiratory depression with opioids. In general, use caution when selecting a dosage for an elderly patient, usually starting at the low end of the dosing range, reflecting the greater frequency of decreased hepatic, renal, or cardiac function and of concomitant disease or other drug therapy (see WARNINGS: Cardiovascular Thrombotic Events, Gastrointestinal Bleeding, Ulceration, and Perforation, Renal Toxicity and Hyperkalemia ).

Respiratory depression is the chief risk for elderly patients treated with opioids, and has occurred after large initial doses were administered to patients who were not opioid-tolerant or when opioids were co-administered with other agents that depress respiration. Titrate the dosage of hydrocodone bitartrate and ibuprofen slowly in geriatric patients and frequently reevaluate the patient for signs of central nervous system and respiratory depression (see WARNINGS ).

This drug is known to be substantially excreted by the kidney, and the risk of adverse reactions to this drug may be greater in patients with impaired renal function. Because elderly patients are more likely to have decreased renal function, care should be taken in dose selection, and it may be useful to regularly evaluate renal function.

Pediatric Use

The safety and effectiveness of hydrocodone bitartrate and ibuprofen in pediatric patients below the age of 16 have not been established.

Nursing Mothers

Risk Summary

Hydrocodone is present in human milk. A published lactation study reports variable concentrations of hydrocodone and hydromorphone (an active metabolite) in breast milk with administration of immediate-release hydrocodone to nursing mothers in the early post-partum period. This lactation study did not assess breastfed infants for potential adverse drug reactions.

Limited published literature reports that, following oral administration, ibuprofen is present in human milk at relative infant doses of 0.06% to 0.6% of the maternal weight-adjusted daily dose.

Lactation studies have not been conducted with hydrocodone bitartrate and ibuprofen, and no information is available on the effects of the drug on the breastfed infant or the effects of the drug on milk production.

The developmental and health benefits of breastfeeding should be considered along with the mother’s clinical need for hydrocodone bitartrate and ibuprofen and any potential adverse effects on the breastfed infant from hydrocodone bitartrate and ibuprofen or from the underlying maternal condition.

Clinical Considerations

Monitor infants exposed to hydrocodone bitartrate and ibuprofen through breast milk for excess sedation and respiratory depression. Withdrawal symptoms can occur in breastfed infants when maternal administration of hydrocodone is stopped, or when breastfeeding is stopped.

Clinical Studies (CLINICAL STUDIES)

In single-dose studies of post surgical pain (abdominal, gynecological, orthopedic), 940 patients were studied at doses of one or two tablets. Hydrocodone bitartrate and ibuprofen produced greater efficacy than placebo and each of its individual components given at the same dose. No advantage was demonstrated for the two-tablet dose.

Medication Guide

Hydrocodone Bitartrate (hye" droe koe' done bye tar' trate) and Ibuprofen (eye" bue proe' fen) tablets, CII

Hydrocodone bitartrate and ibuprofen tablets are:

  • A strong prescription pain medicine that contains an opioid (narcotic) and a non-steroidal anti-inflammatory drug (NSAID), that is used to manage short-term (acute) pain, when other pain treatments such as non-opioid pain medicines do not treat your pain well enough or you cannot tolerate them.
  • An opioid pain medicine can put you at risk for overdose and death. Even if you take your dose correctly as prescribed you are at risk for opioid addiction, abuse, and misuse that can lead to death.
  • NSAIDs are used to treat pain, redness, swelling, and inflammation.

Important information about hydrocodone bitartrate and ibuprofen tablets:

  • Get emergency help or call 911 right away if you take too much hydrocodone bitartrate and ibuprofen tablets (overdose). When you first start taking hydrocodone bitartrate and ibuprofen tablets, when your dose is changed, or if you take too much (overdose), serious or life-threatening breathing problems that can lead to death may occur. Ask your healthcare provider about medicines like naloxone or nalmefene that can be used in an emergency to reverse an opioid overdose.
  • Taking hydrocodone bitartrate and ibuprofen tablets with other opioid medicines, benzodiazepines, gabapentinoids (gabapentin or pregabalin), alcohol, or other central nervous system depressants (including street drugs) can cause severe drowsiness, decreased awareness, breathing problems, coma, and death.
  • Never give anyone else your hydrocodone bitartrate and ibuprofen tablets. They could die from taking it. Selling or giving away hydrocodone bitartrate and ibuprofen tablets is against the law.
  • Store hydrocodone bitartrate and ibuprofen tablets securely, out of sight and reach of children, and in a location not accessible by others, including visitors to the home.

Hydrocodone bitartrate and ibuprofen tablets contain an NSAID. NSAIDs can cause serious side effects, including:

  • Increased risk of a heart attack or stroke that can lead to death. This risk may happen early in treatment and may increase:
    • with increasing doses of medicine containing NSAIDs
    • with longer use of medicine containing NSAIDs

    Do not take NSAIDS right before or after a heart surgery called a “coronary artery bypass graft (CABG).”

    Avoid taking NSAIDS after a recent heart attack, unless your healthcare provider tells you to. You may have an increased risk of another heart attack if you take NSAIDs after a recent heart attack.

  • Increased risk of bleeding, ulcers, and tears (perforation) of the esophagus (tube leading from the mouth to the stomach), stomach and intestines:
    • any time during use
    • without warning symptoms
    • that may cause death

    The risk of getting an ulcer or bleeding increases with:

    • past history of stomach ulcers, or stomach or intestinal bleeding with use of NSAIDs
    • taking medicines called “corticosteroids,” “anticoagulants,” “SSRIs,” or “SNRIs”
    • increasing doses of NSAIDS
    • older age
    • longer use of NSAIDS
    • poor health
    • smoking
    • drinking alcohol
    • advanced liver disease
    • bleeding problems

Do not take hydrocodone bitartrate and ibuprofen tablets:

  • if you have severe asthma, trouble breathing, or other lung problems.
  • if you have a bowel blockage or have narrowing of the stomach or intestines.
  • if you have had an asthma attack, hives, or other allergic reaction with aspirin, other NSAIDs, or opioid medicine.
  • right before or after heart bypass surgery.

Before taking hydrocodone bitartrate and ibuprofen tablets, tell your healthcare provider if you have a history of:

  • head injury or seizures
  • liver, kidney, or thyroid problems
  • problems urinating
  • pancreas or gallbladder problems
  • high blood pressure
  • asthma
  • abuse of street or prescription drugs, alcohol addiction, opioid overdose, or mental health problems.

Tell your healthcare provider if you:

  • noticing your pain getting worse. If your pain gets worse after you take hydrocodone bitartrate and ibuprofen tablets, do not take more of hydrocodone bitartrate and ibuprofen tablets without first talking to your healthcare provider. Talk to your healthcare provider if the pain that you have increases, if you feel more sensitive to pain, or if you have new pain after taking hydrocodone bitartrate and ibuprofen tablets.
  • are pregnant or planning to become pregnant. Taking NSAIDs at about 20 weeks of pregnancy or later may harm your unborn baby. If you need to take NSAIDs for more than 2 days when you are between 20 and 30 weeks of pregnancy, your healthcare provider may need to monitor the amount of fluid in your womb around your baby. Use of hydrocodone bitartrate and ibuprofen tablets for an extended period of time during pregnancy can cause withdrawal symptoms in your newborn baby that could be life-threatening if not recognized and treated. You should not take NSAIDs after about 30 weeks of pregnancy.
  • are breastfeeding or planning to breastfeed. Hydrocodone bitartrate and ibuprofen passes into breast milk and may harm your baby. Carefully observe infants for increased sleepiness (more than usual), breathing difficulties, or limpness. Seek immediate medical care if you notice these signs.
  • develop any type of rash or fever. Contact your healthcare provider as soon as possible and stop taking hydrocodone bitartrate and ibuprofen tablets.
  • are living in a household where there are small children or someone who has abused street or prescription drugs.
  • are taking prescription or over-the-counter medicines, vitamins, or herbal supplements. Taking hydrocodone bitartrate and ibuprofen tablets with certain other medicines can cause serious side effects that could lead to death.

When taking hydrocodone bitartrate and ibuprofen tablets:

  • Do not change your dose. Take hydrocodone bitartrate and ibuprofen tablets exactly as prescribed by your healthcare provider.
  • For acute (short-term) pain, you may only need to take hydrocodone bitartrate and ibuprofen tablets for a few days. You may have some hydrocodone bitartrate and ibuprofen tablets left over that you did not use. See disposal information at the bottom of this section for directions on how to safely throw away (dispose of) your unused hydrocodone bitartrate and ibuprofen tablets.
  • Use the lowest dose possible for the shortest time needed.
  • Take your prescribed dose every 4 to 6 hours at the same time every day, as needed for pain. Do not take more than your prescribed dose. If you miss a dose, take your next dose at your usual time.
  • Call your healthcare provider if the dose you are taking does not control your pain.
  • If you have been taking hydrocodone bitartrate and ibuprofen tablets regularly, do not stop taking it without talking to your healthcare provider.
  • Dispose of expired, unwanted, or unused hydrocodone bitartrate and ibuprofen tablets by promptly flushing down the toilet, if a drug take-back option is not readily available. Visit www.fda.gov/drugdisposal for additional information on disposal of unused medicines.

While taking hydrocodone bitartrate and ibuprofen tablets DO NOT:

  • drive or operate heavy machinery, until you know how it affects you. Hydrocodone bitartrate and ibuprofen tablets can make you sleepy, dizzy, or lightheaded.
  • drink alcohol or use prescription or over-the-counter medicines that contain alcohol. Using products containing alcohol during treatment with hydrocodone bitartrate and ibuprofen tablets may cause you to overdose and die.

The possible side effects of hydrocodone bitartrate and ibuprofen tablets:

  • constipation, diarrhea, gas, heartburn, nausea, sleepiness, vomiting, tiredness, headache, dizziness, abdominal pain, rash, fever, heart attack, stroke, new or worse high blood pressure, heart failure, liver problems including liver failure, kidney problems including kidney failure, bleeding and ulcers in the stomach and intestine, low red blood cells (anemia), life-threatening skin reactions, life-threatening allergic reactions, asthma attacks in people who have asthma. Call your healthcare provider if you have any of these symptoms and they are severe.

Get emergency medical help or call 911 right away if you have:

  • trouble breathing or shortness of breath
  • fast heartbeat
  • chest pain
  • swelling of your face, tongue, or throat
  • extreme drowsiness
  • lightheadedness when changing positions
  • a fainting spell
  • agitation
  • high body temperature
  • trouble walking
  • stiff muscles
  • mental changes such as confusion
  • weakness in one part or side of your body
  • slurred speech

Stop hydrocodone bitartrate and ibuprofen tablets and call your healthcare provider right away if you have any of the following symptoms:

  • nausea
  • flu-like symptoms
  • more tired or weaker than usual
  • vomit blood
  • diarrhea
  • there is blood in your bowel movement or it is black and sticky like tar
  • itching
  • unusual weight gain
  • your skin or eyes look yellow
  • skin rash or blisters with fever
  • indigestion or stomach pain
  • swelling of the arms and legs, hands and feet

These are not all the possible side effects of hydrocodone bitartrate and ibuprofen tablets. Call your healthcare provider for medical advice about side effects. You may report side effects to FDA at 1-800-FDA-1088. For more information go to dailymed.nlm.nih.gov.

Other information:

  • Aspirin is an NSAID medicine, but it does not increase the chance of a heart attack. Aspirin can cause bleeding in the brain, stomach, and intestines. Aspirin can also cause ulcers in the stomach and intestines.
  • Do not take other NSAID medicines, even those sold in lower doses without a prescription (over-the-counter) while taking hydrocodone bitartrate and ibuprofen tablets. NSAIDs may be present in over-the-counter medications for treatment of colds, fever, or insomnia.

*All trademarks are the property of their respective owner.

Manufactured by:

Amneal Pharmaceuticals of NY, LLC

Brookhaven, NY 11719

Rev. 10-2025-11

For more information, go to www.amneal.com or call 1-877-835-5472.

This Medication Guide has been approved by the U.S. Food and Drug Administration.



Renal Impairment

Patients with renal impairment may have higher hydrocodone plasma concentrations than those with normal function. Use a low initial dose in patients with renal impairment and regularly evaluate closely for adverse events such as respiratory depression, sedation, and hypotension.

Adverse Reactions (ADVERSE REACTIONS)

The following adverse reactions are described below and elsewhere in the labeling including the WARNINGS section.

  • Addiction, Abuse, and Misuse
  • Life-Threatening Respiratory Depression
  • Neonatal Opioid Withdrawal Syndrome
  • Interactions with Cytochrome P450 3A4 Inhibitors and Inducers
  • Interactions with Benzodiazepines or Other CNS Depressants
  • Adrenal Insufficiency
  • Severe Hypotension
  • Seizures
  • Withdrawal
  • Cardiovascular Thrombotic Events
  • Gastrointestinal Bleeding, Ulceration, and Perforation
  • Hepatotoxicity
  • Hypertension
  • Heart Failure and Edema
  • Renal Toxicity and Hyperkalemia
  • Anaphylactic Reactions
  • Exacerbation of Asthma Related to Aspirin Sensitivity
  • Serious Skin Reactions
  • Premature Closure of Fetal Ductus Arteriosus
  • Hematologic Toxicity
  • Aseptic Meningitis
  • Opioid-Induced Hyperalgesia and Allodynia (see  WARNINGS )
Contraindications (CONTRAINDICATIONS)

Hydrocodone bitartrate and ibuprofen tablets are contraindicated in patients with:

Drug Interactions (DRUG INTERACTIONS)

Inhibitors of CYP3A4 and CYP2D6

The concomitant use of hydrocodone bitartrate and ibuprofen and CYP3A4 inhibitors, such as macrolide antibiotics (e.g., erythromycin), azole-antifungal agents (e.g. ketoconazole), protease inhibitors (e.g., ritonavir), can increase the plasma concentration of hydrocodone, resulting in increased or prolonged opioid effects. These effects could be more pronounced with concomitant use of hydrocodone bitartrate and ibuprofen and CYP2D6 and CYP3A4 inhibitors, particularly when an inhibitor is added after a stable dose of hydrocodone bitartrate and ibuprofen is achieved (see WARNINGS: Risks of Concomitant Use or Discontinuation of Cytochrome P450 3A4 Inhibitors and Inducers ).

After stopping a CYP3A4 inhibitor, as the effects of the inhibitor decline, the hydrocodone plasma concentration will decrease (see CLINICAL PHARMACOLOGY: Pharmacokinetics ), resulting in decreased opioid efficacy or a withdrawal syndrome in patients who had developed physical dependence to hydrocodone bitartrate and ibuprofen.

If concomitant use is necessary, consider dosage reduction of hydrocodone bitartrate and ibuprofen until stable drug effects are achieved. Evaluate patients at frequent intervals for respiratory depression and sedation. If a CYP3A4 inhibitor is discontinued, consider increasing the hydrocodone bitartrate and ibuprofen dosage until stable drug effects are achieved. Assess for signs of opioid withdrawal.

CYP3A4 Inducers

The concomitant use of hydrocodone bitartrate and ibuprofen and CYP3A4 inducers, such as rifampin, carbamazepine, and phenytoin, can decrease the plasma concentration of hydrocodone (see CLINICAL PHARMACOLOGY: Pharmacokinetics ), resulting in decreased efficacy or onset of a withdrawal syndrome in patients who have developed physical dependence to hydrocodone (see WARNINGS: Withdrawal ).

After stopping a CYP3A4 inducer, as the effects of the inducer decline, the hydrocodone plasma concentration will increase (see CLINICAL PHARMACOLOGY: Pharmacokinetics ), which could increase or prolong both the therapeutic effects and adverse reactions, and may cause serious respiratory depression.

If concomitant use is necessary, consider a dosage increase of hydrocodone bitartrate and ibuprofen until stable drug effects are achieved. Evaluate for signs of opioid withdrawal. If a CYP3A4 inducer is discontinued, consider hydrocodone bitartrate and ibuprofen dosage reduction and evaluate patients at frequent intervals for signs of respiratory depression and sedation.

Benzodiazepines and Other Central Nervous System (CNS) Depressants

Due to additive pharmacologic effect, the concomitant use of benzodiazepines or other CNS depressants such as benzodiazepines and other sedatives/hypnotics, anxiolytics, tranquilizers, muscle relaxants, general anesthetics, antipsychotics, gabapentinoids (gabapentin or pregabalin) and other opioids, including alcohol, increase the risk of hypotension, respiratory depression, profound sedation, coma, and death.

Reserve concomitant prescribing of these drugs for use in patients for whom alternative treatment options are inadequate. Limit dosages and durations to the minimum required. Inform patients and caregivers of this potential interaction, educate them on the signs and symptoms of respiratory depression (including sedation). If concomitant use is warranted, consider recommending or prescribing an opioid overdose reversal agent (see WARNINGS, DOSAGE AND ADMINISTRATION ).

Serotonergic Drugs

Serotonergic Drugs

Clinical Impact:

The concomitant use of opioids with other drugs that affect the serotonergic neurotransmitter system has resulted in serotonin syndrome.

Intervention:

If concomitant use is warranted, frequently evaluate the patient, particularly during treatment initiation and dose adjustment. Discontinue hydrocodone bitartrate and ibuprofen if serotonin syndrome is suspected.

Examples:

Selective serotonin reuptake inhibitors (SSRIs), serotonin and norepinephrine reuptake inhibitors (SNRIs), tricyclic antidepressants (TCAs), triptans, 5-HT3 receptor antagonists, drugs that affect the serotonin neurotransmitter system (e.g., mirtazapine, trazodone, tramadol), certain muscle relaxants (i.e. cyclobenzaprine, metaxalone), monoamine oxidase (MAO) inhibitors (those intended to treat psychiatric disorders and also others, such as linezolid and intravenous methylene blue).

Monoamine Oxidase Inhibitors (MAOIs)

MAOI interactions with opioids may manifest as serotonin syndrome or opioid toxicity (e.g., respiratory depression, coma).

If urgent use of an opioid is necessary with MAOIs such as phenelzine, tranylcypromine, linezolid, use test doses and frequent titration of small doses to treat pain while closely monitoring blood pressure and signs and symptoms of CNS and respiratory depression.

The use of hydrocodone bitartrate and ibuprofen is not recommended for patients taking MAOIs or within 14 days of stopping such treatment.

Mixed Agonist/Antagonist and Partial Agonist Opioid Analgesics

Agonist/antagonist analgesics such as pentazocine, nalbuphine, butorphanol and buprenorphine may reduce the analgesic effect of hydrocodone bitartrate and ibuprofen and/or precipitate withdrawal symptoms in these patients.

Avoid concomitant use of these drugs.

Muscle Relaxants

Hydrocodone, as well as other opioid analgesics, may enhance the neuromuscular blocking action of skeletal muscle relaxants and produce an increased degree of respiratory depression.

Because respiratory depression may be greater than otherwise expected decrease the dosage of hydrocodone bitartrate and ibuprofen and/or the muscle relaxant as necessary. Due to the risk of respiratory depression with concomitant use of skeletal muscle relaxants and opioids, consider recommending or prescribing an opioid overdose reversal agent (see WARNINGS; DOSAGE AND ADMINISTRATION ).

Examples: Cyclobenzaprine, metaxalone.

Anticholinergic Drugs

The concomitant use of anticholinergic drugs may increase risk of urinary retention and/or severe constipation, which may lead to paralytic ileus.

Evaluate patients for signs of urinary retention or reduced gastric motility when hydrocodone bitartrate and ibuprofen is used concomitantly with anticholinergic drugs.

Drugs That Interfere With Hemostasis

Ibuprofen and anticoagulants such as warfarin have a synergistic effect on bleeding. The concomitant use of ibuprofen and anticoagulants have an increased risk of serious bleeding compared to the use of either drug alone.

Serotonin release by platelets plays an important role in hemostasis. Case-control and cohort epidemiological studies showed that concomitant use of drugs that interfere with serotonin reuptake and an NSAID may potentiate the risk of bleeding more than an NSAID alone.

Evaluate patients with concomitant use of hydrocodone bitartrate and ibuprofen with anticoagulants (e.g., warfarin), antiplatelet agents (e.g., aspirin), SSRIs, and SNRIs for signs of bleeding (see WARNINGS: Hematologic Toxicity ).

Aspirin

Pharmacodynamic studies have demonstrated interference with the antiplatelet activity of aspirin when ibuprofen 400 mg, given three times daily, is administered with entericcoated low-dose aspirin. The interaction exists even following a once-daily regimen of ibuprofen 400 mg, particularly when ibuprofen is dosed prior to aspirin. The interaction is alleviated if immediate-release low-dose aspirin is dosed at least 2 hours prior to a once-daily regimen of ibuprofen; however, this finding cannot be extended to enteric-coated low-dose aspirin (see CLINICAL PHARMACOLOGY: Pharmacodynamics ).

Because there may be an increased risk of cardiovascular events due to the interference of ibuprofen with the antiplatelet effect of aspirin, for patients taking low-dose aspirin for cardioprotection who require analgesics, consider use of an NSAID that does not interfere with the antiplatelet effect of aspirin, or non-NSAID analgesics, where appropriate.

Controlled clinical studies showed that the concomitant use of NSAIDs and analgesic doses of aspirin does not produce any greater therapeutic effect than the use of NSAIDs alone. In a clinical study, the concomitant use of an NSAID and aspirin was associated with a significantly increased incidence of GI adverse reactions as compared to use of the NSAID alone (see WARNINGS: Gastrointestinal Bleeding, Ulceration, and Perforation ).

Concomitant use of hydrocodone bitartrate and ibuprofen and analgesic doses of aspirin is not generally recommended because of the increased risk of bleeding (see WARNINGS: Hematologic Toxicity ).

ACE-Inhibitors, Angiotensin Receptor Blockers, and Beta-blockers

NSAIDs may diminish the antihypertensive effect of angiotensin converting enzyme (ACE) inhibitors, angiotensin receptor blockers (ARBs), or beta-blockers (including propranolol).

During concomitant use of hydrocodone bitartrate and ibuprofen and ACE-inhibitors, ARBs, or beta-blockers, monitor blood pressure to ensure that the desired blood pressure is obtained. In patients who are elderly, volume-depleted (including those on diuretic therapy), or have renal impairment, co-administration of an NSAID with ACE inhibitors or ARBs may result in deterioration of renal function, including possible acute renal failure. Evaluate for signs of worsening renal function (see WARNINGS: Renal Toxicity and Hyperkalemia ). These effects are usually reversible.

When these drugs are administered concomitantly, patients should be adequately hydrated. Assess renal function at the beginning of the concomitant treatment and periodically thereafter.

Diuretics

Clinical studies, as well as post-marketing observations, showed that NSAIDs reduced the natriuretic effect of loop diuretics (e.g., furosemide) and thiazide diuretics in some patients. This effect has been attributed to the NSAID inhibition of renal prostaglandin synthesis.

During concomitant use of hydrocodone bitartrate and ibuprofen with diuretics, observe patients for signs of worsening renal function, in addition to assuring diuretic efficacy including antihypertensive effects (see WARNINGS: Renal Toxicity and Hyperkalemia ).

Evaluate patients for signs for diminished diuresis and/or effects on blood pressure and increase the dosage of the diuretic as needed.

Digoxin

The concomitant use of ibuprofen with digoxin has been reported to increase the serum concentration and prolong the half-life of digoxin.

During concomitant use of hydrocodone bitartrate and ibuprofen and digoxin, monitor serum digoxin levels.

Lithium

NSAIDs have produced elevations in plasma lithium concentration and reductions in renal lithium clearance. The mean minimum lithium concentration increased 15%, and the renal clearance decreased by approximately 20%. This effect has been attributed to NSAID inhibition of renal prostaglandin synthesis.

During concomitant use of hydrocodone bitartrate and ibuprofen and lithium, evaluate patients for signs of lithium toxicity.

Methotrexate

Concomitant use of NSAIDs and methotrexate may increase the risk for methotrexate toxicity (e.g., neutropenia, thrombocytopenia, renal dysfunction).

During concomitant use of hydrocodone bitartrate and ibuprofen and methotrexate, evaluate patients for methotrexate toxicity.

Cyclosporine

Concomitant use of hydrocodone bitartrate and ibuprofen and cyclosporine may increase cyclosporine’s nephrotoxicity.

During concomitant use of hydrocodone bitartrate and ibuprofen and cyclosporine, evaluate patients for signs of worsening renal function.

NSAIDs and Salicylates

Concomitant use of ibuprofen with other NSAIDs or salicylates (e.g., diflunisal, salsalate) increases the risk of GI toxicity, with little or no increase in efficacy (see WARNINGS: Gastrointestinal Bleeding, Ulceration, and Perforation ).

The concomitant use of ibuprofen with other NSAIDs or salicylates is not recommended.

Pemetrexed

Concomitant use of hydrocodone bitartrate and ibuprofen and pemetrexed may increase the risk of pemetrexed-associated myelosuppression, renal, and GI toxicity (see the pemetrexed prescribing information).

During concomitant use of hydrocodone bitartrate and ibuprofen and pemetrexed, in patients with renal impairment whose creatinine clearance ranges from 45 to 79 mL/min, monitor for myelosuppression, renal and GI toxicity.

NSAIDs with short elimination half-lives (e.g., diclofenac, indomethacin) should be avoided for a period of two days before, the day of, and two days following administration of pemetrexed.

In the absence of data regarding potential interaction between pemetrexed and NSAIDs with longer half-lives (e.g., meloxicam, nabumetone), patients taking these NSAIDs should interrupt dosing for at least five days before, the day of, and two days following pemetrexed administration.

Hepatic Impairment

Patients with hepatic impairment may have higher hydrocodone plasma concentrations than those with normal function. In patients with severe hepatic impairment, use a low initial dose. Regularly evaluate these patients closely for adverse events such as respiratory depression, sedation, and hypotension.

Clinical Pharmacology (CLINICAL PHARMACOLOGY)

Mechanism of Action

Hydrocodone Component

Hydrocodone is a full opioid agonist with relative selectivity for the mu-opioid receptor, although it can interact with other opioid receptors at higher doses. The principal therapeutic action of hydrocodone is analgesia. Like all full opioid agonists, there is no ceiling effect for analgesia with hydrocodone. Clinically, dosage is titrated to provide adequate analgesia and may be limited by adverse reactions, including respiratory and CNS depression.

The precise mechanism of the analgesic action is unknown. However, specific CNS opioid receptors for endogenous compounds with opioid-like activity have been identified throughout the brain and spinal cord and are thought to play a role in the analgesic effects of this drug.

Ibuprofen Component

Ibuprofen has analgesic, anti-inflammatory, and antipyretic properties.

The mechanism of action, like that of other NSAIDs, is not completely understood, but involves inhibition of cyclooxygenase (COX-1 and COX-2).

Ibuprofen is a potent inhibitor of prostaglandin synthesis in vitro. Ibuprofen concentrations reached during therapy have produced in vivo effects. Prostaglandins sensitize afferent nerves and potentiate the action of bradykinin in inducing pain in animal models. Prostaglandins are mediators of inflammation. Because ibuprofen is an inhibitor of prostaglandin synthesis, its mode of action may be due to a decrease of prostaglandins in peripheral tissues.

Pharmacodynamics

Hydrocodone

Effects on the Central Nervous System

Hydrocodone produces respiratory depression by direct action on brain stem respiratory centers. The respiratory depression involves a reduction in the responsiveness of the brain stem respiratory centers to both increases in carbon dioxide tension and electrical stimulation.

Hydrocodone causes miosis, even in total darkness. Pinpoint pupils are a sign of opioid overdose but are not pathognomonic (e.g., pontine lesions of hemorrhagic or ischemic origins may produce similar findings). Marked mydriasis rather than miosis may be seen due to hypoxia in overdose situations.

Effects on the Gastrointestinal Tract and Other Smooth Muscle

Hydrocodone causes a reduction in motility associated with an increase in smooth muscle tone in the antrum of the stomach and duodenum. Digestion of food in the small intestine is delayed and propulsive contractions are decreased. Propulsive peristaltic waves in the colon are decreased, while tone may be increased to the point of spasm, resulting in constipation. Other opioid-induced effects may include a reduction in biliary and pancreatic secretions, spasm of sphincter of Oddi, transient elevations in serum amylase, and opioid-induced esophageal dysfunction (OIED).

Effects on the Cardiovascular System

Hydrocodone produces peripheral vasodilation, which may result in orthostatic hypotension or syncope. Manifestations of histamine release and/or peripheral vasodilation may include pruritus, flushing, red eyes, sweating, and/or orthostatic hypotension.

Effects on the Endocrine System

Opioids inhibit the secretion of adrenocorticotropic hormone (ACTH), cortisol, and luteinizing hormone (LH) in humans (see ADVERSE REACTIONS: Postmarketing Experience ). They also stimulate prolactin, growth hormone (GH) secretion, and pancreatic secretion of insulin and glucagon.

Use of opioids for an extended period of time may influence the hypothalamic-pituitary-gonadal axis, leading to androgen deficiency that may manifest as low libido, impotence, erectile dysfunction, amenorrhea, or infertility. The causal role of opioids in the clinical syndrome of hypogonadism is unknown because the various medical, physical, lifestyle, and psychological stressors that may influence gonadal hormone levels have not been adequately controlled for in studies conducted to date (see ADVERSE REACTIONS: Postmarketing Experience ).

Effects on the Immune System

Opioids have been shown to have a variety of effects on components of the immune system in both in vitro and animal models. The clinical significance of these findings is unknown. Overall, the effects of opioids appear to be modestly immunosuppressive.

Concentration-Efficacy Relationships

The minimum effective analgesic concentration will vary widely among patients, especially among patients who have been previously treated with  opioid agonists. The minimum effective analgesic concentration of hydrocodone for any individual patient may increase over time due to an increase in pain, the development of a new pain syndrome, and/or the development of analgesic tolerance (see DOSAGE AND ADMINISTRATION ).

Concentration-Adverse Reaction Relationships

There is a relationship between increasing hydrocodone plasma concentration and increasing frequency of dose-related opioid adverse reactions such as nausea, vomiting, CNS effects, and respiratory depression. In opioid-tolerant patients, the situation may be altered by the development of tolerance to opioid-related adverse reactions (see DOSAGE AND ADMINISTRATION ).

Ibuprofen

In a healthy volunteer study, ibuprofen 400 mg given once daily, administered 2 hours prior to immediate-release aspirin (81 mg) for 6 days, showed an interaction with the antiplatelet activity of aspirin as measured by % serum thromboxane B2 (TxB2) inhibition at 24 hours following the day-6 aspirin dose [53%]. An interaction was still observed, but minimized, when ibuprofen 400 mg given once-daily was administered as early as 8 hours prior to the immediate-release aspirin dose [90.7%]. However, there was no interaction with the antiplatelet activity of aspirin when ibuprofen 400 mg, given once daily, was administered 2 hours after (but not concomitantly, 15 min, or 30 min after) the immediate-release aspirin dose [99.2%].

In another study, where immediate-release aspirin 81 mg was administered once daily with ibuprofen 400 mg given three times daily (1, 7, and 13 hours post-aspirin dose) for 10 consecutive days, the mean % serum thromboxane B2 (TxB2) inhibition suggested no interaction with the antiplatelet activity of aspirin [98.3%]. However, there were individual subjects with serum TxB2 inhibition below 95%, with the lowest being 90.2%.

When a similarly designed study was conducted with enteric-coated aspirin, where healthy subjects were administered enteric-coated aspirin 81 mg once daily for 6 days and ibuprofen 400 mg three times daily (2, 7 and 12 h post-aspirin dose) for 6 days, there was an interaction with the antiplatelet activity at 24 hours following the day-6 aspirin dose [67%] (see PRECAUTIONS: Drug Interactions ).

Pharmacokinetics

Absorption

After oral dosing with the hydrocodone bitartrate and ibuprofen tablet, a peak hydrocodone plasma level of 27 ng/mL is achieved at 1.7 hours, and a peak ibuprofen plasma level of 30 mcg/mL is achieved at 1.8 hours. The effect of food on the absorption of either component from the hydrocodone bitartrate and ibuprofen tablet has not been established.

Distribution

Ibuprofen is highly protein-bound (99%) like most other non-steroidal anti-inflammatory agents. Although the extent of protein binding of hydrocodone in human plasma has not been definitely determined, structural similarities to related opioid analgesics suggest that hydrocodone is not extensively protein bound. As most agents in the 5-ring morphinan group of semi-synthetic opioids bind plasma protein to a similar degree (range 19% [hydromorphone] to 45% [oxycodone]), hydrocodone is expected to fall within this range.

Elimination

Metabolism

Hydrocodone exhibits a complex pattern of metabolism, including O-demethylation, N-demethylation, and 6-keto reduction to the corresponding 6-α-and 6-β-hydroxy metabolites. Hydromorphone, a potent opioid, is formed from the O-demethylation of hydrocodone and contributes to the total analgesic effect of hydrocodone. The O- and N-demethylation processes are mediated by separate P-450 isoenzymes: CYP2D6 and CYP3A4, respectively.

Ibuprofen is present in this product as a racemate, and following absorption it undergoes interconversion in the plasma from the R-isomer to the S-isomer. Both the R- and S- isomers are metabolized to two primary metabolites: (+)-2-4'-(2hydroxy-2-methyl-propyl) phenyl propionic acid and (+)-2-4'-(2carboxypropyl) phenyl propionic acid, both of which circulate in the plasma at low levels relative to the parent.

Excretion

Hydrocodone and its metabolites are eliminated primarily in the kidneys, with a mean plasma half-life of 4.5 hours. Ibuprofen is excreted in the urine, 50% to 60% as metabolites and approximately 15% as unchanged drug and conjugate. The plasma half-life is 2.2 hours.

Specific Populations

No significant pharmacokinetic differences based on age or gender have been demonstrated. The pharmacokinetics of hydrocodone and ibuprofen from hydrocodone bitartrate and ibuprofen tablets has not been evaluated in children.

Renal Impairment

The effect of renal insufficiency on the pharmacokinetics of the hydrocodone bitartrate and ibuprofen dosage form has not been determined.

Drug Interaction Studies

Aspirin

When NSAIDs were administered with aspirin, the protein binding of NSAIDs were reduced, although the clearance of free NSAID was not altered. The clinical significance of this interaction is not known (see PRECAUTIONS: Drug Interactions ).

Indications and Usage (INDICATIONS AND USAGE)

Hydrocodone bitartrate and ibuprofen tablets are indicated for the short-term management of acute pain severe enough to require an opioid analgesic and for which alternative treatments are inadequate.

Limitations of Use

Carefully consider the potential benefits and risks of hydrocodone bitartrate and ibuprofen tablets and other treatment options before deciding to use hydrocodone bitartrate and ibuprofen tablets. Use the lowest effective dosage for the shortest duration consistent with individual patient treatment goals (see WARNINGS: Cardiovascular Thrombotic Events, Gastrointestinal Bleeding, Ulceration, and Perforation ). Do not use hydrocodone bitartrate and ibuprofen tablets for the treatment of conditions such as osteoarthritis or rheumatoid arthritis.

Because of the risks of addiction, abuse, misuse, overdose, and death, which can occur at any dosage or duration and persist over the course of therapy (see WARNINGS ), reserve opioid analgesics, including hydrocodone bitartrate and ibuprofen tablets, for use in patients for whom alternative treatment options are ineffective, not tolerated, or would be otherwise inadequate to provide sufficient management of pain.

Laboratory Monitoring

Because serious GI bleeding, hepatotoxicity, and renal injury can occur without warning symptoms or signs, consider monitoring patients with a CBC and a chemistry profile periodically (see WARNINGS: Gastrointestinal Bleeding, Ulceration, and Perforation, Renal Toxicity and Hyperkalemia, Hepatotoxicity ).

Postmarketing Experience

The following adverse reactions have been identified during post approval use of hydrocodone. Because these reactions are reported voluntarily from a population of uncertain size, it is not always possible to reliably estimate their frequency or establish a causal relationship to drug exposure.

Serotonin syndrome: Cases of serotonin syndrome, a potentially life-threatening condition, have been reported during concomitant use of opioids with serotonergic drugs.

Adrenal insufficiency: Cases of adrenal insufficiency have been reported with opioid use, more often following greater than one month of use.

Anaphylaxis: Anaphylaxis has been reported with ingredients contained in hydrocodone bitartrate and ibuprofen.

Androgen deficiency: Cases of androgen deficiency have occurred with use of opioids for an extended period of time (see CLINICAL PHARMACOLOGY: Pharmacodynamics ).

Hyperalgesia and Allodynia: Cases of hyperalgesia and allodynia have been reported with opioid therapy of any duration (see WARNINGS ).

Hypoglycemia: Cases of hypoglycemia have been reported in patients taking opioids. Most reports were in patients with at least one predisposing risk factor (e.g., diabetes).

Skin and Appendages: exfoliative dermatitis, Stevens-Johnson Syndrome (SJS), toxic epidermal necrolysis (TEN), and fixed drug eruption (FDE)

Opioid-induced esophageal dysfunction (OIED): Cases of OIED have been reported in patients taking opioids and may occur more frequently in patients taking higher doses of opioids, and/or in patients taking opioids longer term (see WARNINGS ).

Adverse Reactions from Observational Studies

A prospective, observational cohort study estimated the risks of addiction, abuse, and misuse in patients initiating long-term use of Schedule II opioid analgesics between 2017 and 2021. Study participants included in one or more analyses had been enrolled in selected insurance plans or health systems for at least one year, were free of at least one outcome at baseline, completed a minimum number of follow-up assessments, and either: 1) filled multiple extended-release/long-acting opioid analgesic prescriptions during a 90 day period (n=978); or 2) filled any Schedule II opioid analgesic prescriptions covering at least 70 of 90 days (n=1,244). Those included also had no dispensing of the qualifying opioids in the previous 6 months.

Over 12 months:

  • approximately 1% to 6% of participants across the two cohorts newly met criteria for addiction, as assessed with two validated interview-based measures of moderate-to-severe opioid use disorder based on Diagnostic and Statistical Manual of Mental Disorders, Fifth Edition (DSM-5) criteria, and
  • approximately 9% and 22% of participants across the two cohorts newly met criteria for prescription opioid abuse and misuse (defined in DRUG ABUSE AND DEPENDENCE ), respectively, as measured with a validated self-reported instrument.

A retrospective, observational cohort study estimated the risk of opioid-involved overdose or opioid overdose-related death in patients with new long-term use of Schedule II opioid analgesics from 2006 through 2016

(n=220,249). Included patients had been enrolled in either one of two commercial insurance programs, one managed care program, or one Medicaid program for at least 9 months. New long-term use was defined as having Schedule II opioid analgesic prescriptions covering at least 70 days’ supply over the 3 months prior to study entry and none during the preceding 6 months. Patients were excluded if they had an opioid-involved

overdose in the 9 months prior to study entry. Overdose was measured using a validated medical code-based algorithm with linkage to the National Death Index database. The 5-year cumulative incidence estimates for opioid-involved overdose or opioid overdose-related death ranged from approximately 1.5% to 4% across study sites, counting only the first event during follow-up. Approximately 17% of first opioid overdoses observed

over the entire study period (5 to 11 years, depending on the study site) were fatal. Higher baseline opioid dose was the strongest and most consistent predictor of opioid-involved overdose or opioid overdose-related death.

Study exclusion criteria may have selected patients at lower risk of overdose, and substantial loss to follow-up (approximately 80%) also may have biased estimates.

The risk estimates from the studies described above may not be generalizable to all patients receiving opioid analgesics, such as those with exposures shorter or longer than the duration evaluated in the studies.

To report SUSPECTED ADVERSE REACTIONS, contact Amneal Pharmaceuticals at 1-877-835-5472 or FDA at 1-800-FDA-1088 or www.fda.gov/medwatch .

Dosage and Administration (DOSAGE AND ADMINISTRATION)

Important Dosage and Administration Instructions

Hydrocodone bitartrate and ibuprofen tablets should be prescribed only by healthcare professionals who are knowledgeable about the use of opioids and how to mitigate the associated risks.

Use the lowest effective dosage for the shortest duration of time consistent with individual patient treatment goals (see WARNINGS ). Because the risk of overdose increases as opioid doses increase, reserve titration to higher doses of hydrocodone bitartrate and ibuprofen tablets for patients in whom lower doses are insufficiently effective and in whom the expected benefits of using a higher dose opioid clearly outweigh the substantial risks.

Many acute pain conditions (e.g., the pain that occurs with a number of surgical procedures or acute musculoskeletal injuries) require no more than a few days of an opioid analgesic. Clinical guidelines on opioid prescribing for some acute pain conditions are available.

There is variability in the opioid analgesic dose and duration needed to adequately manage pain due both to the cause of pain and to individual patient factors. Initiate the dosing regimen for each patient individually, taking into account the patient’s underlying cause and severity of pain, prior analgesic treatment and response, and risk factors for addiction, abuse, and misuse (see WARNINGS ).

Respiratory depression can occur at any time during opioid therapy, especially when initiating and following dosage increases with hydrocodone bitartrate and ibuprofen tablets. Consider this risk when selecting an initial dose and when making dose adjustments (see WARNINGS ).

Patient Access to an Opioid Overdose Reversal Agent for the Emergency Treatment of Opioid Overdose

Inform patients and caregivers about opioid overdose reversal agents (e.g., naloxone, nalmefene). Discuss the importance of having access to an opioid overdose reversal agent, especially if the patient has risk factors for overdose (e.g., concomitant use of CNS depressants, a history of opioid use disorder, or prior opioid overdose) or if there are household members (including children) or other close contacts at risk for accidental ingestion or opioid overdose. The presence of risk factors for overdose should not prevent the management of pain in any patient (see WARNINGS; Addiction, Abuse, and Misuse; Life-Threatening Respiratory Depression; Risks from Concomitant Use with Benzodiazepines or Other CNS Depressants ).

Discuss the options for obtaining an opioid overdose reversal agent (e.g., prescription, over-the-counter, or as part of a community-based program).

There are important differences among the opioid overdose reversal agents, such as route of administration, product strength, approved patient age range, and pharmacokinetics. Be familiar with these differences, as outlined in the approved labeling for those products, prior to recommending or prescribing such an agent.

Initial Dosage

Use of Hydrocodone Bitartrate and Ibuprofen Tablets as the First Opioid Analgesic

Initiate treatment with hydrocodone bitartrate and ibuprofen tablets in a dosing range of one tablet every 4 to 6 hours as needed for pain, at the lowest dose necessary to achieve adequate analgesia. Titrate the dose based upon the individual patient’s response to their initial dose of hydrocodone bitartrate and ibuprofen tablets. Dosage should not exceed 5 tablets in a 24-hour period.

The lowest effective dose or the longest dosing interval should be sought for each patient (see WARNINGS ), especially in the elderly. After observing the initial response to therapy with hydrocodone bitartrate and ibuprofen tablets, the dose and frequency of dosing should be adjusted to suit the individual patient's need, without exceeding the total daily dose recommended.

Titration and Maintenance of Therapy

Individually titrate hydrocodone bitartrate and ibuprofen tablets to a dose that provides adequate analgesia and minimizes adverse reactions. Continually reevaluate patients receiving hydrocodone bitartrate and ibuprofen tablets to assess the maintenance of pain control, signs and symptoms of opioid withdrawal, and other adverse reactions, as well as reassessing for the development of addiction, abuse, or misuse (see  WARNINGS ). Frequent communication is important among the prescriber, other members of the healthcare team, the patient, and the caregiver/family during periods of changing analgesic requirements, including initial titration.

If the level of pain increases after dosage stabilization, attempt to identify the source of increased pain before increasing the hydrocodone bitartrate and ibuprofen tablets dosage. If after increasing the dosage, unacceptable opioid-related adverse reactions are observed (including an increase in pain after dosage increase), consider reducing the dosage (see WARNINGS ). Adjust the dosage to obtain an appropriate balance between management of pain and opioid-related adverse reactions.

Safe Reduction or Discontinuation of Hydrocodone Bitartrate and Ibuprofen Tablets

Do not rapidly reduce or abruptly discontinue hydrocodone bitartrate and ibuprofen tablets in patients who may be physically dependent on opioids. Rapid reduction or abrupt discontinuation of opioid analgesics in patients who are physically dependent on opioids has resulted in serious withdrawal symptoms, uncontrolled pain, and suicide. Rapid reduction or abrupt discontinuation has also been associated with attempts to find other sources of opioid analgesics, which may be confused with drug-seeking for abuse. Patients may also attempt to treat their pain or withdrawal symptoms with illicit opioids, such as heroin, and other substances.

When a decision has been made to decrease the dose or discontinue therapy in an opioid-dependent patient taking hydrocodone bitartrate and ibuprofen, there are a variety of factors that should be considered, including the dose of hydrocodone bitartrate and ibuprofen the patient has been taking, the duration of treatment, the type of pain being treated, and the physical and psychological attributes of the patient. It is important to ensure ongoing care of the patient and to agree on an appropriate tapering schedule and follow-up plan so that patient and provider goals and expectations are clear and realistic. When opioid analgesics are being discontinued due to a suspected substance use disorder, evaluate and treat the patient, or refer for evaluation and treatment of the substance use disorder. Treatment should include evidence-based approaches, such as medication assisted treatment of opioid use disorder. Complex patients with co-morbid pain and substance use disorders may benefit from referral to a specialist.

There are no standard opioid tapering schedules that are suitable for all patients. Good clinical practice dictates a patient-specific plan to taper the dose of the opioid gradually. For patients on hydrocodone bitartrate and ibuprofen who are physically opioid-dependent, initiate the taper by a small enough increment (e.g., no greater than 10% to 25% of the total daily dose) to avoid withdrawal symptoms, and proceed with dose-lowering at an interval of every 2 to 4 weeks. Patients who have been taking opioids for briefer periods of time may tolerate a more rapid taper.

It may be necessary to provide the patient with lower dosage strengths to accomplish a successful taper. Reassess the patient frequently to manage pain and withdrawal symptoms, should they emerge. Common withdrawal symptoms include restlessness, lacrimation, rhinorrhea, yawning, perspiration, chills, myalgia, and mydriasis. Other signs and symptoms also may develop, including irritability, anxiety, backache, joint pain, weakness, abdominal cramps, insomnia, nausea, anorexia, vomiting, diarrhea, or increased blood pressure, respiratory rate, or heart rate. If withdrawal symptoms arise, it may be necessary to pause the taper for a period of time or raise the dose of the opioid analgesic to the previous dose, and then proceed with a slower taper. In addition, evaluate patients for any changes in mood, emergence of suicidal thoughts, or use of other substances.

When managing patients taking opioid analgesics, particularly those who have been treated for an extended period of time and/or with high doses for chronic pain, ensure that a multimodal approach to pain management, including mental health support (if needed), is in place prior to initiating an opioid analgesic taper. A multimodal approach to pain management may optimize the treatment of chronic pain, as well as assist with the successful tapering of the opioid analgesic (see WARNINGS: Withdrawal, DRUG ABUSE AND DEPENDENCE ).

Drug Abuse and Dependence (DRUG ABUSE AND DEPENDENCE)

Controlled Substance

Hydrocodone bitartrate and ibuprofen contains hydrocodone, a Schedule II controlled substance.

Abuse

Hydrocodone bitartrate and ibuprofen contains hydrocodone, a substance with high potential for misuse and abuse, which can lead to the development of substance use disorder, including addiction (see WARNINGS ).

Misuse is the intentional use, for therapeutic purposes, of a drug by an individual in a way other than prescribed by a healthcare provider or for whom it was not prescribed.

Abuse is the intentional, non-therapeutic use of a drug, even once, for its desirable psychological or physiological effects.

Drug addiction is a cluster of behavioral, cognitive, and physiological phenomena that may include a strong desire to take the drug, difficulties in controlling drug use (e.g., continuing drug use despite harmful consequences, giving a higher priority to drug use than other activities and obligations), and possible tolerance or physical dependence.

Misuse and abuse of hydrocodone bitartrate and ibuprofen increases risk of overdose, which may lead to central nervous system and respiratory depression, hypotension, seizures, and death. The risk is increased with concurrent abuse of hydrocodone bitartrate and ibuprofen with alcohol and other CNS depressants. Abuse of and addiction to opioids in some individuals may not be accompanied by concurrent tolerance and symptoms of physical dependence. In addition, abuse of opioids can occur in the absence of addiction.

All patients treated with opioids require careful and frequent reevaluation for signs of misuse, abuse, and addiction, because use of opioid analgesic products carries the risk of addiction even under appropriate medical use. Patients at high risk of hydrocodone bitartrate and ibuprofen abuse include those with a history of prolonged use of any opioid, including products containing hydrocodone, those with a history of drug or alcohol abuse, or those who use hydrocodone bitartrate and ibuprofen in combination with other abused drugs.

“Drug seeking” behavior is very common in persons with substance use disorders. Drug-seeking tactics include emergency calls or visits near the end of office hours, refusal to undergo appropriate examination, testing, or referral, repeated “loss” of prescriptions, tampering with prescriptions, and reluctance to provide prior medical records or contact information for other treating healthcare provider(s). “Doctor shopping” (visiting multiple prescribers to obtain additional prescriptions) is common among people who abuse drugs and people with substance use disorder. Preoccupation with achieving adequate pain relief can be appropriate behavior in a patient with inadequate pain control.

Hydrocodone bitartrate and ibuprofen, like other opioids, can be diverted for nonmedical use into illicit channels of distribution. Careful record-keeping of prescribing information, including quantity, frequency, and renewal requests, as required by state and federal law, is strongly advised.

Proper assessment of the patient, proper prescribing practices, periodic reevaluation of therapy, and proper dispensing and storage are appropriate measures that help to limit abuse of opioid drugs.

Risks Specific to Abuse of Hydrocodone Bitartrate and Ibuprofen

Abuse of hydrocodone bitartrate and ibuprofen poses a risk of overdose and death. The risk is increased with concurrent use of hydrocodone bitartrate and ibuprofen with alcohol and/or other CNS depressants.

Parenteral drug abuse is commonly associated with transmission of infectious diseases such as hepatitis and HIV.

Dependence

Both tolerance and physical dependence can develop during use of opioid therapy.

Tolerance is a physiological state characterized by a reduced response to a drug after repeated administration (i.e., a higher dose of a drug is required to produce the same effect that was once obtained at a lower dose).

Physical dependence is a state that develops as a result of a physiological adaptation in response to repeated drug use, manifested by withdrawal signs and symptoms after abrupt discontinuation or a significant dose reduction of a drug.

Withdrawal may be precipitated through the administration of drugs with opioid antagonist activity (e.g., naloxone, nalmefene), mixed agonist/antagonist analgesics (e.g., pentazocine, butorphanol, nalbuphine), or partial agonists (e.g., buprenorphine). Physical dependence may not occur to a clinically significant degree until after several days to weeks of continued use.

Do not rapidly reduce or abruptly discontinue hydrocodone bitartrate and ibuprofen in a patient physically dependent on opioids. Rapid tapering of hydrocodone bitartrate and ibuprofen in a patient physically dependent on opioids may lead to serious withdrawal symptoms, uncontrolled pain, and suicide. Rapid discontinuation has also been associated with attempts to find other sources of opioid analgesics, which may be confused with drug-seeking for abuse.

When discontinuing hydrocodone bitartrate and ibuprofen, gradually taper the dosage using a patient-specific plan that considers the following: the dose of hydrocodone bitartrate and ibuprofen the patient has been taking, the duration of treatment, and the physical and psychological attributes of the patient. To improve the likelihood of a successful taper and minimize withdrawal symptoms, it is important that the opioid tapering schedule is agreed upon by the patient. In patients taking opioids for an extended period of time at high doses, ensure that a multimodal approach to pain management, including mental health support (if needed), is in place prior to initiating an opioid analgesic taper (see DOSAGE AND ADMINISTRATION, and  WARNINGS ).

Infants born to mothers physically dependent on opioids will also be physically dependent and may exhibit respiratory difficulties and withdrawal signs (see Pregnancy ).

Clinical Trials Experience

Because clinical trials are conducted under widely varying conditions, adverse reaction rates observed in the clinical trials of a drug cannot be directly compared to rates in the clinical trials of another drug and may not reflect the rates observed in practice.

Hydrocodone bitartrate and ibuprofen was administered to approximately 300 pain patients in a safety study that employed dosages and a duration of treatment sufficient to encompass the recommended usage (see DOSAGE AND ADMINISTRATION ). Adverse event rates generally increased with increasing daily dose. The event rates reported below are from approximately 150 patients who were in a group that received one tablet of hydrocodone bitartrate and ibuprofen an average of three to four times daily. The overall incidence rates of adverse experiences in the trials were fairly similar for this patient group and those who received the comparison treatment, acetaminophen 600 mg with codeine 60 mg.

The following lists adverse events that occurred with an incidence of 1% or greater in clinical trials of hydrocodone bitartrate and ibuprofen, without regard to the causal relationship of the events to the drug. To distinguish different rates of occurrence in clinical studies, the adverse events are listed as follows:

name of adverse event = less than 3%

adverse events marked with an asterisk * = 3% to 9%

adverse event rates over 9% are in parentheses.

Body as a Whole

Abdominal pain*; Asthenia*; Fever; Flu syndrome; Headache (27%); Infection*; Pain.

Cardiovascular

Palpitations; Vasodilation.

Central Nervous System

Anxiety*; Confusion; Dizziness (14%); Hypertonia; Insomnia*; Nervousness*; Paresthesia; Somnolence (22%); Thinking abnormalities.

Digestive

Anorexia; Constipation (22%); Diarrhea*; Dry mouth*; Dyspepsia (12%); Flatulence*; Gastritis; Melena; Mouth ulcers; Nausea (21%); Thirst; Vomiting*.

Metabolic and Nutritional Disorders

Edema*.

Respiratory

Dyspnea; Hiccups; Pharyngitis; Rhinitis.

Skin and Appendages

Pruritus*; Sweating*.

Special Senses

Tinnitus.

Urogenital

Urinary frequency.

Incidence less than 1%

Body as a Whole

Allergic reaction.

Cardiovascular

Arrhythmia; Hypotension; Tachycardia.

Central Nervous System

Agitation; Abnormal dreams; Decreased libido; Depression; Euphoria; Mood changes; Neuralgia; Slurred speech; Tremor, Vertigo.

Digestive

Chalky stool; "Clenching teeth"; Dysphagia; Esophageal spasm; Esophagitis; Gastroenteritis; Glossitis; Liver enzyme elevation.

Metabolic and Nutritional

Weight decrease.

Musculoskeletal

Arthralgia; Myalgia.

Respiratory

Asthma; Bronchitis; Hoarseness; Increased cough; Pulmonary congestion; Pneumonia; Shallow breathing; Sinusitis.

Skin and Appendages

Rash; Urticaria.

Special Senses

Altered vision; Bad taste; Dry eyes.

Urogenital

Cystitis; Glycosuria; Impotence; Urinary incontinence; Urinary retention.

Addiction, Abuse, and Misuse

Hydrocodone bitartrate and ibuprofen contains hydrocodone, a Schedule II controlled substance. As an opioid-containing product, hydrocodone bitartrate and ibuprofen exposes users to the risks of addiction, abuse, and misuse (see  DRUG ABUSE AND DEPENDENCE ).

Although the risk of addiction in any individual is unknown, it can occur in patients appropriately prescribed hydrocodone bitartrate and ibuprofen. Addiction can occur at recommended dosages and if the drug is misused or abused. The risk of opioid-related overdose or overdose-related death is increased with higher opioid doses, and this risk persists over the course of therapy. In postmarketing studies, addiction, abuse, misuse, and fatal and non-fatal opioid overdose were observed in patients with long-term opioid use (see  ADVERSE REACTIONS ).

Assess each patient’s risk for opioid addiction, abuse, or misuse prior to prescribing hydrocodone bitartrate and ibuprofen, and reassess all patients receiving hydrocodone bitartrate and ibuprofen for the development of these behaviors and conditions. Risks are increased in patients with a personal or family history of substance abuse (including drug or alcohol abuse or addiction) or mental illness (e.g., major depression). The potential for these risks should not, however, prevent the proper management of pain in any given patient. Patients at increased risk may be prescribed opioids such as hydrocodone bitartrate and ibuprofen, but use in such patients necessitates intensive counseling about the risks and proper use of hydrocodone bitartrate and ibuprofen along with frequent reevaluation for signs of addiction, abuse, and misuse. Consider recommending or prescribing an opioid overdose reversal agent (see  WARNINGSDOSAGE AND ADMINISTRATION ).

Opioids are sought for nonmedical use and are subject to diversion from legitimate prescribed use. Consider these risks when prescribing or dispensing hydrocodone bitartrate and ibuprofen. Strategies to reduce these risks include prescribing the drug in the smallest appropriate quantity and advising the patient on careful storage of the drug during the course of treatment and the proper disposal of unused drug (see  PRECAUTIONS: Information for Patients ). Contact local state professional licensing board or state-controlled substances authority for information on how to prevent and detect abuse or diversion of this product.

Package Label.principal Display Panel (PACKAGE LABEL.PRINCIPAL DISPLAY PANEL)
Life Threatening Respiratory Depression (Life-Threatening Respiratory Depression)

Serious, life-threatening, or fatal respiratory depression has been reported with the use of opioids, even when used as recommended. Respiratory depression, if not immediately recognized and treated, may lead to respiratory arrest and death. Management of respiratory depression may include close observation, supportive measures, and use of opioid overdose reversal agents, depending on the patient’s clinical status (see OVERDOSAGE ). Carbon dioxide (CO2) retention from opioid-induced respiratory depression can exacerbate the sedating effects of opioids.

While serious, life-threatening, or fatal respiratory depression can occur at any time during the use of hydrocodone bitartrate and ibuprofen, the risk is greatest during the initiation of therapy or following a dosage increase.

To reduce the risk of respiratory depression, proper dosing and titration of hydrocodone bitartrate and ibuprofen are essential (see DOSAGE AND ADMINISTRATION ). Overestimating the hydrocodone bitartrate and ibuprofen dosage when converting patients from another opioid product can result in a fatal overdose with the first dose.

Accidental ingestion of even one dose of hydrocodone bitartrate and ibuprofen, especially by children, can result in respiratory depression and death due to an overdose of hydrocodone bitartrate and ibuprofen.

Educate patients and caregivers on how to recognize respiratory depression and emphasize the importance of calling 911 or getting emergency medical help right away in the event of a known or suspected overdose (see PRECAUTIONS, Information for Patients/Caregivers ).

Opioids can cause sleep-related breathing disorders including central sleep apnea (CSA) and sleep-related hypoxemia. Opioid use increases the risk of CSA in a dose-dependent fashion. In patients who present with CSA, consider decreasing the opioid dosage using best practices for opioid taper (see DOSAGE AND ADMINISTRATION ).

Packaging Label.principal Display Panel (PACKAGING LABEL.PRINCIPAL DISPLAY PANEL)



Carcinogenicity, Mutagenicity, Impairment of Fertility

Carcinogenesis

Long-term animal studies to evaluate the carcinogenic potential of the combination of hydrocodone and ibuprofen, ibuprofen alone, or hydrocodone alone have not been conducted.

Mutagenesis

The mutagenic potential of the combination of hydrocodone and ibuprofen or hydrocodone alone has not been investigated.

In published studies, ibuprofen was not mutagenic in the in vitro bacterial reverse mutation assay (Ames assay).

Impairment of Fertility

Animal studies evaluating the impact of the combination of hydrocodone and ibuprofen or hydrocodone alone on fertility have not been conducted.

In a published study, dietary administration of ibuprofen to male and female rats 8-weeks prior to and during mating at dose levels of 20 mg/kg (0.2-times the MRHD of 1000 mg ibuprofen based on body surface area comparison) did not impact male or female fertility or litter size.

In other studies, adult mice were administered ibuprofen intraperitoneally at a dose of 5.6 mg/kg/day (0.03-times the MRHD based on body surface area comparison) for 35 or 60 days in males and 35 days in females. There was no effect on sperm motility or viability in males but decreased ovulation was reported in females.

Based on the mechanism of action, the use of prostaglandin-mediated NSAIDs, including ibuprofen, may delay or prevent rupture of ovarian follicles, which has been associated with reversible infertility in some women. Small studies in women treated with NSAIDs have also shown a reversible delay in ovulation. Consider withdrawal of NSAID-containing products, including hydrocodone bitartrate and ibuprofen, in women who have difficulties conceiving or who are undergoing investigation of infertility.

Use of opioids for an extended period of time may cause reduced fertility in females and males of reproductive potential. It is not known whether these effects on fertility are reversible (see ADVERSE REACTIONS: Postmarketing Experience ).

Risks From Concomitant Use With Benzodiazepines Or Other Cns Depressants (Risks from Concomitant Use with Benzodiazepines or Other CNS Depressants)

Profound sedation, respiratory depression, coma, and death may result from the concomitant use of hydrocodone bitartrate and ibuprofen with benzodiazepines and/or other CNS depressants, including alcohol (e.g., non-benzodiazepine sedatives/hypnotics, anxiolytics, tranquilizers, muscle relaxants, general anesthetics, antipsychotics, gabapentinoids (gabapentin or pregabalin), and other opioids). Because of these risks, reserve concomitant prescribing of these drugs for use in patients for whom alternative treatment options are inadequate.

Observational studies have demonstrated that concomitant use of opioid analgesics and benzodiazepines increases the risk of drug-related mortality compared to use of opioid analgesics alone. Because of similar pharmacological properties, it is reasonable to expect similar risk with the concomitant use of other CNS depressant drugs with opioid analgesics (see  PRECAUTIONS: Drug Interactions ).

If the decision is made to prescribe a benzodiazepine or other CNS depressant concomitantly with an opioid analgesic, prescribe the lowest effective dosages and minimum durations of concomitant use. In patients already receiving an opioid analgesic, prescribe a lower initial dose of the benzodiazepine or other CNS depressant than indicated in the absence of an opioid, and titrate based on clinical response. If an opioid analgesic is initiated in a patient already taking a benzodiazepine or other CNS depressant, prescribe a lower initial dose of the opioid analgesic, and titrate based on clinical response. Inform patients and caregivers of this potential interaction, educate them on the signs and symptoms of respiratory depression (including sedation).

If concomitant use is warranted, consider recommending or prescribing an opioid overdose reversal agent (see  WARNINGSDOSAGE AND ADMINISTRATION, and OVERDOSAGE ).

Advise both patients and caregivers about the risks of respiratory depression and sedation when hydrocodone bitartrate and ibuprofen is used with benzodiazepines or other CNS depressants (including alcohol and illicit drugs). Advise patients not to drive or operate heavy machinery until the effects of concomitant use of the benzodiazepine or other CNS depressant have been determined. Screen patients for risk of substance use disorders, including opioid abuse and misuse, and warn them of the risk for overdose and death associated with the use of additional CNS depressants including alcohol and illicit drugs (see  PRECAUTIONS: Drug Interactions, Information for Patients ).

Neonatal Opioid Withdrawal Syndrome

Use of hydrocodone bitartrate and ibuprofen for an extended period of time during pregnancy can result in withdrawal in the neonate. Neonatal opioid withdrawal syndrome, unlike opioid withdrawal syndrome in adults, may be life-threatening if not recognized and treated, and requires management according to protocols developed by neonatology experts. Observe newborns for signs of neonatal opioid withdrawal syndrome and manage accordingly. Advise pregnant women using opioids for an extended period of time of the risk of neonatal opioid withdrawal syndrome and ensure that appropriate treatment will be available (see  PRECAUTIONS: Pregnancy, Information for Patients ).

Opioid Analgesic Risk Evaluation and Mitigation Strategy (REMS)

To ensure that the benefits of opioid analgesics outweigh the risks of addiction, abuse, and misuse, the Food and Drug Administration (FDA) has required a Risk Evaluation and Mitigation Strategy (REMS) for these products. Under the requirements of the REMS, drug companies with approved opioid analgesic products must make REMS-compliant education programs available to healthcare providers. Healthcare providers are strongly encouraged to do all of the following:

  • Complete a REMS-compliant education program offered by an accredited provider of continuing education (CE) or another education program that includes all the elements of the FDA Education Blueprint for Health Care Providers Involved in the Management or Support of Patients with Pain.
  • Discuss the safe use, serious risks, and proper storage and disposal of opioid analgesics with patients and/or their caregivers every time these medicines are prescribed. The Patient Counseling Guide (PCG) can be obtained at this link: www.fda.gov/OpioidAnalgesicREMSPCG.
  • Emphasize to patients and their caregivers the importance of reading the Medication Guide that they will receive from their pharmacist every time an opioid analgesic is dispensed to them.
  • Consider using other tools to improve patient, household, and community safety, such as patient-prescriber agreements that reinforce patient-prescriber responsibilities.

To obtain further information on the opioid analgesic REMS and for a list of accredited REMS CME/CE, call 800-503-0784, or log on to www.opioidanalgesicrems.com. The FDA Blueprint can be found at www.fda.gov/OpioidAnalgesicREMSBlueprint.

Risks of Concomitant Use or Discontinuation of Cytochrome P450 3A4 Inhibitors and Inducers

Concomitant use of hydrocodone bitartrate and ibuprofen with a CYP3A4 inhibitor, such as macrolide antibiotics (e.g., erythromycin), azole-antifungal agents (e.g., ketoconazole), and protease inhibitors (e.g., ritonavir), may increase plasma concentrations of hydrocodone and prolong opioid adverse reactions, which may cause potentially fatal respiratory depression (see  WARNINGS: Life-Threatening Respiratory Depression ), particularly when an inhibitor is added after a stable dose of hydrocodone bitartrate and ibuprofen is achieved. Similarly, discontinuation of a CYP3A4 inducer, such as rifampin, carbamazepine, and phenytoin, in hydrocodone bitartrate and ibuprofen-treated patients may increase hydrocodone plasma concentrations and prolong opioid adverse reactions. When using hydrocodone bitartrate and ibuprofen with CYP3A4 inhibitors or discontinuing CYP3A4 inducers in hydrocodone bitartrate and ibuprofen-treated patients, evaluate patients at frequent intervals and consider dosage reduction of hydrocodone bitartrate and ibuprofen until stable drug effects are achieved (see  DOSAGE AND ADMINISTRATION,  PRECAUTIONS: Drug Interactions ).

Concomitant use of hydrocodone bitartrate and ibuprofen with CYP3A4 inducers or discontinuation of a CYP3A4 inhibitor could decrease hydrocodone plasma concentrations, decrease opioid efficacy or, possibly, lead to a withdrawal syndrome in a patient who had developed physical dependence to hydrocodone. When using hydrocodone bitartrate and ibuprofen with CYP3A4 inducers or discontinuing CYP3A4 inhibitors, monitor patients closely at frequent intervals and consider increasing the opioid dosage if needed to maintain adequate analgesia or if symptoms of opioid withdrawal occur (see  DOSAGE AND ADMINISTRATION,  PRECAUTIONS: Drug Interactions ).

Opioid-Induced Hyperalgesia and Allodynia

Opioid-Induced Hyperalgesia (OIH) occurs when an opioid analgesic paradoxically causes an increase in pain, or an increase in sensitivity to pain. This condition differs from tolerance, which is the need for increasing doses of opioids to maintain a defined effect (see  Dependenc e ). Symptoms of OIH include (but may not be limited to) increased levels of pain upon opioid dosage increase, decreased levels of pain upon opioid dosage decrease, or pain from ordinarily non-painful stimuli (allodynia). These symptoms may suggest OIH only if there is no evidence of underlying disease progression, opioid tolerance, opioid withdrawal, or addictive behavior.

Cases of OIH have been reported, both with short-term and longer-term use of opioid analgesics. Though the mechanism of OIH is not fully understood, multiple biochemical pathways have been implicated. Medical literature suggests a strong biologic plausibility between opioid analgesics and OIH and allodynia. If a patient is suspected to be experiencing OIH, carefully consider appropriately decreasing the dose of the current opioid analgesic or opioid rotation (safely switching the patient to a different opioid moiety) (see  DOSAGE AND ADMINISTRATION; WARNINGS ).

Patient Access to an Opioid Overdose Reversal Agent for the Emergency Treatment of Opioid Overdose

Inform patients and caregivers about opioid overdose reversal agents (e.g., naloxone, nalmefene). Discuss the importance of having access to an opioid overdose reversal agent, especially if the patient has risk factors for

overdose (e.g., concomitant use of CNS depressants, a history of opioid use disorder, or prior opioid overdose) or if there are household members (including children) or other close contacts at risk for accidental ingestion

or opioid overdose. The presence of risk factors for overdose should not prevent the management of pain in any patient (see WARNINGS ).

Discuss the options for obtaining an opioid overdose reversal agent (e.g., prescription, over-the-counter, or as part of a community-based program).

There are important differences among the opioid overdose reversal agents, such as route of administration, product strength, approved patient age range, and pharmacokinetics. Be familiar with these differences, as

outlined in the approved labeling for those products, prior to recommending or prescribing such an agent.

Educate patients and caregivers on how to recognize respiratory depression, and how to use an opioid overdose reversal agent for the emergency treatment of opioid overdose. Emphasize the importance of calling 911 or getting emergency medical help, even if an opioid overdose reversal agent is administered (see WARNINGS, OVERDOSAGE ).

Life-Threatening Respiratory Depression in Patients with Chronic Pulmonary Disease or in  Elderly, Cachectic, or Debilitated Patients

The use of hydrocodone bitartrate and ibuprofen in patients with acute or severe bronchial asthma in an unmonitored setting or in the absence of resuscitative equipment is contraindicated.

Patients with Chronic Pulmonary Disease:  Hydrocodone bitartrate and ibuprofen-treated patients with significant chronic obstructive pulmonary disease or cor pulmonale, and those with a substantially decreased respiratory reserve, hypoxia, hypercapnia, or pre-existing respiratory depression are at increased risk of decreased respiratory drive including apnea, even at recommended dosages of hydrocodone bitartrate and ibuprofen (see  WARNINGS: Life-Threatening Respiratory Depression ).

Elderly, Cachectic, or Debilitated Patients: Life-threatening respiratory depression is more likely to occur in elderly, cachectic, or debilitated patients because they may have altered pharmacokinetics or altered clearance compared to younger, healthier patients (see  WARNINGS: Life-Threatening Respiratory Depression ).

Regularly evaluate patients closely, particularly when initiating and titrating hydrocodone bitartrate and ibuprofen and when hydrocodone bitartrate and ibuprofen is given concomitantly with other drugs that depress respiration (see  WARNINGS: Life-Threatening Respiratory Depression ). Alternatively, consider the use of non-opioid analgesics in these patients.

Adrenal Insufficiency

Cases of adrenal insufficiency have been reported with opioid use, more often following greater than one month of use. Presentation of adrenal insufficiency may include non-specific symptoms and signs including nausea, vomiting, anorexia, fatigue, weakness, dizziness, and low blood pressure. If adrenal insufficiency is suspected, confirm the diagnosis with diagnostic testing as soon as possible. If adrenal insufficiency is diagnosed, treat with physiologic replacement doses of corticosteroids. Wean the patient off of the opioid to allow adrenal function to recover and continue corticosteroid treatment until adrenal function recovers. Other opioids may be tried as some cases reported use of a different opioid without recurrence of adrenal insufficiency. The information available does not identify any particular opioids as being more likely to be associated with adrenal insufficiency.

Severe Hypotension

Hydrocodone bitartrate and ibuprofen may cause severe hypotension including orthostatic hypotension and syncope in ambulatory patients. There is increased risk in patients whose ability to maintain blood pressure has already been compromised by a reduced blood volume or concurrent administration of certain CNS depressant drugs (e.g., phenothiazines or general anesthetics) (see  PRECAUTIONS: Drug Interactions ). Regularly evaluate these patients for signs of hypotension after initiating or titrating the dosage of hydrocodone bitartrate and ibuprofen. In patients with circulatory shock, hydrocodone bitartrate and ibuprofen may cause vasodilation that can further reduce cardiac output and blood pressure. Avoid the use of hydrocodone bitartrate and ibuprofen in patients with circulatory shock.

Risks of Use in Patients with Increased Intracranial Pressure, Brain Tumors, Head Injury, or  Impaired Consciousness

In patients who may be susceptible to the intracranial effects of CO2 retention (e.g., those with evidence of increased intracranial pressure or brain tumors), hydrocodone bitartrate and ibuprofen may reduce respiratory drive, and the resultant CO2 retention can further increase intracranial pressure. Monitor such patients for signs of sedation and respiratory depression, particularly when initiating therapy with hydrocodone bitartrate and ibuprofen.

Opioids may also obscure the clinical course in a patient with a head injury. Avoid the use of hydrocodone bitartrate and ibuprofen in patients with impaired consciousness or coma.

Risks of Gastrointestinal Complications

Hydrocodone bitartrate and ibuprofen is contraindicated in patients with known or suspected gastrointestinal obstruction, including paralytic ileus.

The hydrocodone in hydrocodone bitartrate and ibuprofen may cause spasm of the sphincter of Oddi. Opioids may cause increases in serum amylase. Regularly evaluate patients with biliary tract disease, including acute pancreatitis, for worsening symptoms.

Cases of opioid-induced esophageal dysfunction (OIED) have been reported in patients taking opioids. The risk of OIED may increase as the dose and/or duration of opioids increases. Regularly evaluate patients for signs and symptoms of OIED (e.g., dysphagia, regurgitation, non-cardiac chest pain) and, if necessary, adjust opioid therapy as clinically appropriate (see CLINICAL PHARMACOLOGY ).

Increased Risk of Seizures in Patients with Seizure Disorders

The hydrocodone in hydrocodone bitartrate and ibuprofen may increase the frequency of seizures in patients with seizure disorders, and may increase the risk of seizures occurring in other clinical settings associated with seizures. Regularly evaluate patients with a history of seizure disorders for worsened seizure control during hydrocodone bitartrate and ibuprofen therapy.

Withdrawal

Do not rapidly reduce or abruptly discontinue hydrocodone bitartrate and ibuprofen in a patient physically dependent on opioids. When discontinuing hydrocodone bitartrate and ibuprofen in a physically dependent patient, gradually taper the dosage. Rapid tapering of hydrocodone bitartrate and ibuprofen in a patient physically dependent on opioids may lead to a withdrawal syndrome and return of pain (see  DOSAGE AND ADMINISTRATIONDRUG ABUSE AND DEPENDENCE ).

Additionally, avoid the use of mixed agonist/antagonist (e.g., pentazocine, nalbuphine, and butorphanol) or partial agonist (e.g., buprenorphine) analgesics in patients who are receiving a full opioid agonist analgesic, including hydrocodone bitartrate and ibuprofen. In these patients, mixed agonist/antagonist and partial agonist analgesics may reduce the analgesic effect and/or precipitate withdrawal symptoms (see  PRECAUTIONS: Drug Interactions ).

Risks of Driving and Operating Machinery

Hydrocodone bitartrate and ibuprofen may impair the mental or physical abilities needed to perform potentially hazardous activities such as driving a car or operating machinery. Warn patients not to drive or operate dangerous machinery unless they are tolerant to the effects of hydrocodone bitartrate and ibuprofen and know how they will react to the medication (see  PRECAUTIONS: Information for Patients ).

Ibuprofen Component

Cardiovascular Thrombotic Events

Clinical trials of several COX-2 selective and nonselective NSAIDs of up to three years duration have shown an increased risk of serious cardiovascular (CV) thrombotic events, including myocardial infarction (MI), and stroke, which can be fatal. Based on available data, it is unclear that the risk for CV thrombotic events is similar for all NSAIDs. The relative increase in serious CV thrombotic events over baseline conferred by NSAID use appears to be similar in those with and without known CV disease or risk factors for CV disease. However, patients with known CV disease or risk factors had a higher absolute incidence of excess serious CV thrombotic events, due to their increased baseline rate. Some observational studies found that this increased risk of serious CV thrombotic events began as early as the first weeks of treatment. The increase in CV thrombotic risk has been observed most consistently at higher doses.

To minimize the potential risk for an adverse CV event in NSAID-treated patients, use the lowest effective dose for the shortest duration possible. Physicians and patients should remain alert for the development of such events, throughout the entire treatment course, even in the absence of previous CV symptoms. Patients should be informed about the symptoms of serious CV events and the steps to take if they occur.

There is no consistent evidence that concurrent use of aspirin mitigates the increased risk of serious CV thrombotic events associated with NSAID use. The concurrent use of aspirin and an NSAID, such as ibuprofen, increases the risk of serious gastrointestinal (GI) events (see  WARNINGS: Gastrointestinal Bleeding, Ulceration, and Perforation ).

Status Post Coronary Artery Bypass Graft (CABG) Surgery

Two large, controlled clinical trials of a COX-2 selective NSAID for the treatment of pain in the first 10 to 14 days following CABG surgery found an increased incidence of myocardial infarction and stroke. NSAIDs are contraindicated in the setting of CABG (see  CONTRAINDICATIONS ).

Post-MI Patients

Observational studies conducted in the Danish National Registry have demonstrated that patients treated with NSAIDs in the post-MI period were at increased risk of reinfarction, CV-related death, and all-cause mortality beginning in the first week of treatment. In this same cohort, the incidence of death in the first year post-MI was 20 per 100 person years in NSAID-treated patients compared to 12 per 100 person years in non-NSAID exposed patients. Although the absolute rate of death declined somewhat after the first year post-MI, the increased relative risk of death in NSAID users persisted over at least the next four years of follow-up.

Avoid the use of hydrocodone bitartrate and ibuprofen in patients with a recent MI unless the benefits are expected to outweigh the risk of recurrent CV thrombotic events. If hydrocodone bitartrate and ibuprofen is used in patients with a recent MI, monitor patients for signs of cardiac ischemia.

Gastrointestinal Bleeding, Ulceration, and Perforation

NSAIDs, including ibuprofen, cause serious gastrointestinal (GI) adverse events including inflammation, bleeding, ulceration, and perforation of the esophagus, stomach, small intestine, or large intestine, which can be fatal. These serious adverse events can occur at any time, with or without warning symptoms, in patients treated with hydrocodone bitartrate and ibuprofen. Only one in five patients who develop a serious upper GI adverse event on NSAID therapy is symptomatic. Upper GI ulcers, gross bleeding, or perforation caused by NSAIDs occurred in approximately 1% of patients treated for 3 to 6 months, and in about 2% to 4% of patients treated for one year. However, even short-term NSAID therapy is not without risk.

Risk Factors for GI Bleeding, Ulceration, and Perforation

Patients with a prior history of peptic ulcer disease and/or gastrointestinal bleeding who used NSAIDs had a greater than 10-fold increased risk for developing a GI bleed compared to patients without these risk factors. Other factors that increase the risk for GI bleeding in patients treated with NSAIDs include longer duration of NSAID therapy; concomitant use of oral corticosteroids, aspirin, anticoagulants, or selective serotonin reuptake inhibitors (SSRIs); smoking; use of alcohol; older age; and poor general health status. Most postmarketing reports of fatal GI events occurred in elderly or debilitated patients. Additionally, patients with advanced liver disease and/or coagulopathy are at increased risk for GI bleeding.

Strategies to Minimize the GI Risks in NSAID-treated patients:

  • Use the lowest effective dosage for the shortest possible duration.
  • Avoid administration of more than one NSAID at a time.
  • Avoid use in patients at higher risk unless benefits are expected to outweigh the increased risk of bleeding. For high risk patients, as well as those with active GI bleeding, consider alternate therapies other than NSAIDs.
  • Remain alert for signs and symptoms of GI ulceration and bleeding during NSAID therapy.
  • If a serious GI adverse event is suspected, promptly initiate evaluation and treatment, and discontinue hydrocodone bitartrate and ibuprofen until a serious GI adverse event is ruled out.
  • In the setting of concomitant use of low-dose aspirin for cardiac prophylaxis, monitor patients more closely for evidence of GI bleeding (see  PRECAUTIONS: Drug Interactions ).

Hepatotoxicity

Elevations of ALT or AST (three or more times the upper limit of normal [ULN]) have been reported in approximately 1% of NSAID-treated patients in clinical trials with NSAIDS. In addition, rare, sometimes fatal, cases of severe hepatic injury, including fulminant hepatitis, liver necrosis, and hepatic failure have been reported.

Elevations of ALT or AST (less than three times ULN) may occur in up to 15% of patients taking NSAIDs including ibuprofen.

Inform patients of the warning signs and symptoms of hepatotoxicity (e.g., nausea, fatigue, lethargy, diarrhea, pruritus, jaundice, right upper quadrant tenderness, and “flulike” symptoms). If clinical signs and symptoms consistent with liver disease develop, or if systemic manifestations occur (e.g., eosinophilia, rash, etc.), discontinue hydrocodone bitartrate and ibuprofen immediately, and perform a clinical evaluation of the patient.

Hypertension

NSAID-containing products, including hydrocodone bitartrate and ibuprofen, can lead to new onset or worsening of pre-existing hypertension, either of which may contribute to the increased incidence of CV events. Patients taking angiotensin converting enzyme (ACE) inhibitors, thiazide diuretics, or loop diuretics may have impaired response to these therapies when taking NSAIDs (see  PRECAUTIONS: Drug Interactions ).

Monitor blood pressure (BP) during the initiation of NSAID treatment and throughout the course of therapy.

Heart Failure and Edema

The Coxib and Traditional NSAID Trialists’ Collaboration meta-analysis of randomized controlled trials demonstrated an approximately two-fold increase in hospitalizations for heart failure in COX-2 selective-treated patients and nonselective NSAID-treated patients compared to placebo-treated patients. In a Danish National Registry study of patients with heart failure, NSAID use increased the risk of MI, hospitalization for heart failure, and death.

Additionally, fluid retention and edema have been observed in some patients treated with NSAIDs. Use of hydrocodone bitartrate and ibuprofen may blunt the CV effects of several therapeutic agents used to treat these medical conditions (e.g., diuretics, ACE inhibitors, or angiotensin receptor blockers [ARBs]) (see  PRECAUTIONS: Drug Interactions ).

Avoid the use of hydrocodone bitartrate and ibuprofen in patients with severe heart failure unless the benefits are expected to outweigh the risk of worsening heart failure. If hydrocodone bitartrate and ibuprofen is used in patients with severe heart failure, monitor patients for signs of worsening heart failure.

Renal Toxicity and Hyperkalemia

Renal Toxicity

Long-term administration of NSAIDs has resulted in renal papillary necrosis and other renal injury. Renal toxicity has also been seen in patients in whom renal prostaglandins have a compensatory role in the maintenance of renal perfusion. In these patients, administration of an NSAID may cause a dose-dependent reduction in prostaglandin formation and, secondarily, in renal blood flow, which may precipitate overt renal decompensation. Patients at greatest risk of this reaction are those with impaired renal function, dehydration, hypovolemia, heart failure, liver dysfunction, those taking diuretics and ACE inhibitors or angiotensin receptor blockers (ARBs), and the elderly. Discontinuation of NSAID therapy was usually followed by recovery to the pretreatment state.

No information is available from controlled clinical studies regarding the use of hydrocodone bitartrate and ibuprofen in patients with advanced renal disease. The renal effects of hydrocodone bitartrate and ibuprofen may hasten the progression of renal dysfunction in patients with pre-existing renal disease.

Correct volume status in dehydrated or hypovolemic patients prior to initiating hydrocodone bitartrate and ibuprofen. Monitor renal function in patients with renal or hepatic impairment, heart failure, dehydration, or hypovolemia during use of hydrocodone bitartrate and ibuprofen (see  PRECAUTIONS: Drug Interactions ). Avoid the use of hydrocodone bitartrate and ibuprofen in patients with advanced renal disease unless the benefits are expected to outweigh the risk of worsening renal function. If hydrocodone bitartrate and ibuprofen is used in patients with advanced renal disease, monitor patients for signs of worsening renal function.

Hyperkalemia

Increases in serum potassium concentration, including hyperkalemia, have been reported with use of NSAIDs, even in some patients without renal impairment. In patients with normal renal function, those effects have been attributed to a hyporeninemic-hypoaldosteronism state.

Anaphylactic Reactions

Ibuprofen has been associated with anaphylactic reactions in patients with and without known hypersensitivity to ibuprofen and in patients with aspirin-sensitive asthma (see  CONTRAINDICATIONS,  WARNINGS: Exacerbation of Asthma Related to Aspirin Sensitivity ).

Seek emergency help if an anaphylactic reaction occurs.

Exacerbation of Asthma Related to Aspirin Sensitivity

A subpopulation of patients with asthma may have aspirin-sensitive asthma which may include chronic rhinosinusitis complicated by nasal polyps; severe, potentially fatal bronchospasm; and/or intolerance to aspirin and other NSAIDs. Because cross-reactivity between aspirin and other NSAIDs has been reported in such aspirin-sensitive patients, hydrocodone bitartrate and ibuprofen is contraindicated in patients with this form of aspirin sensitivity (see  CONTRAINDICATIONS ). When hydrocodone bitartrate and ibuprofen is used in patients with pre-existing asthma (without known aspirin sensitivity), monitor patients for changes in the signs and symptoms of asthma.

Serious Skin Reactions

NSAIDs, including ibuprofen, can cause serious skin adverse events such as exfoliative dermatitis, Stevens-Johnson Syndrome (SJS), and toxic epidermal necrolysis (TEN), which can be fatal. NSAIDs can also cause fixed drug eruption (FDE). FDE may present as a more severe variant known as generalized bullous fixed drug eruption (GBFDE), which can be life-threatening. These serious events may occur without warning. Inform patients about the signs and symptoms of serious skin reactions, and to discontinue the use of hydrocodone bitartrate and ibuprofen at the first appearance of skin rash or any other sign of hypersensitivity. Hydrocodone bitartrate and ibuprofen is contraindicated in patients with previous serious skin reactions to NSAIDs (see  CONTRAINDICATIONS ).

Drug Reaction with Eosinophilia and Systemic Symptoms (DRESS)

Drug Reaction with Eosinophilia and Systemic Symptoms (DRESS) has been reported in patients taking NSAIDs such as hydrocodone bitartrate and ibuprofen. Some of these events have been fatal or life-threatening. DRESS typically, although not exclusively, presents with fever, rash, lymphadenopathy, and/or facial swelling. Other clinical manifestations may include hepatitis, nephritis, hematological abnormalities, myocarditis, or myositis. Sometimes symptoms of DRESS may resemble an acute viral infection. Eosinophilia is often present. Because this disorder is variable in its presentation, other organ systems not noted here may be involved. It is important to note that early manifestations of hypersensitivity, such as fever or lymphadenopathy, may be present even though rash is not evident. If such signs or symptoms are present, discontinue hydrocodone bitartrate and ibuprofen and evaluate the patient immediately.

Fetal Toxicity

Premature Closure of Fetal Ductus Arteriosus:

Avoid use of NSAIDs, including hydrocodone bitartrate and ibuprofen, in pregnant women at about 30 weeks gestation and later. NSAIDs including hydrocodone bitartrate and ibuprofen, increase the risk of premature closure of the fetal ductus arteriosus at approximately this gestational age.

Oligohydramnios/Neonatal Renal Impairment:

Use of NSAIDs, including hydrocodone bitartrate and ibuprofen, at about 20 weeks gestation or later in pregnancy may cause fetal renal dysfunction leading to oligohydramnios and, in some cases, neonatal renal impairment. These adverse outcomes are seen, on average, after days to weeks of treatment, although oligohydramnios has been infrequently reported as soon as 48 hours after NSAID initiation. Oligohydramnios is often, but not always, reversible with treatment discontinuation. Complications of prolonged oligohydramnios may, for example, include limb contractures and delayed lung maturation. In some post-marketing cases of impaired neonatal renal function, invasive procedures such as exchange transfusion or dialysis were required.

If NSAID treatment is necessary between about 20 weeks and 30 weeks gestation, limit hydrocodone bitartrate and ibuprofen use to the lowest effective dose and shortest duration possible. Consider ultrasound monitoring of amniotic fluid if hydrocodone bitartrate and ibuprofen treatment extends beyond 48 hours. Discontinue hydrocodone bitartrate and ibuprofen if oligohydramnios occurs and follow up according to clinical practice (see  PRECAUTIONS: Pregnancy ).

Hematologic Toxicity

Anemia has occurred in NSAID-treated patients. This may be due to occult or gross blood loss, fluid retention, or an incompletely described effect on erythropoiesis. If a patient treated with hydrocodone bitartrate and ibuprofen has any signs or symptoms of anemia, monitor hemoglobin or hematocrit.

NSAID-containing products, including hydrocodone bitartrate and ibuprofen, may increase the risk of bleeding events. Co-morbid conditions such as coagulation disorders, concomitant use of warfarin, other anticoagulants, antiplatelet agents (e.g., aspirin), serotonin reuptake inhibitors (SSRIs), and serotonin norepinephrine reuptake inhibitors (SNRIs) may increase this risk. Monitor these patients for signs of bleeding (see  PRECAUTIONS: Drug Interactions ).

Aseptic Meningitis

Aseptic meningitis with fever and coma has been observed on rare occasions in patients on ibuprofen therapy as found in hydrocodone bitartrate and ibuprofen. Although it is probably more likely to occur in patients with systemic lupus erythematosus and related connective tissue diseases, it has been reported in patients who do not have an underlying chronic disease. If signs or symptoms of meningitis develop in a patient on hydrocodone bitartrate and ibuprofen, the possibility of its being related to ibuprofen should be considered.

Warning: Serious and Life Threatening Risks From Use of Hydrocodone Bitartrate and Ibuprofen Tablets (WARNING: SERIOUS AND LIFE-THREATENING RISKS FROM USE OF HYDROCODONE BITARTRATE AND IBUPROFEN TABLETS)

Addiction, Abuse, and Misuse

Because the use of hydrocodone bitartrate and ibuprofen exposes patients and other users to the risks of opioid addiction, abuse, and misuse, which can lead to overdose and death, assess each patient’s risk prior to prescribing and reassess all patients regularly for the development of these behaviors and conditions (see WARNINGS).

Life-Threatening Respiratory Depression

Serious, life-threatening, or fatal respiratory depression may occur with use of hydrocodone bitartrate and ibuprofen, especially during initiation or following a dosage increase. To reduce the risk of respiratory depression, proper dosing and titration of hydrocodone bitartrate and ibuprofen are essential (see WARNINGS).

Accidental Ingestion

Accidental ingestion of even one dose of hydrocodone bitartrate and ibuprofen, especially by children, can result in a fatal overdose of hydrocodone (see WARNINGS).

Risks From Concomitant Use With Benzodiazepines Or Other CNS Depressants

Concomitant use of opioids with benzodiazepines or other central nervous system (CNS) depressants, including alcohol, may result in profound sedation, respiratory depression, coma, and death. Reserve concomitant prescribing of hydrocodone bitartrate and ibuprofen and benzodiazepines or other CNS depressants for use in patients for whom alternative treatment options are inadequate (see WARNINGS).

Neonatal Opioid Withdrawal Syndrome  (NOWS)

Advise pregnant women using opioids for an extended period of time of the risk of Neonatal Opioid Withdrawal Syndrome , which may be life-threatening if not recognized and treated. Ensure that management by neonatology experts will be available at delivery (see WARNINGS).

Opioid Analgesic Risk Evaluation and Mitigation Strategy (REMS)

Healthcare providers are strongly encouraged to complete a REMS-compliant education program and to counsel patients and caregivers on serious risks, safe use, and the importance of reading the Medication Guide with each prescription (see WARNINGS).

Cytochrome P450 3A4 Interaction

The concomitant use of hydrocodone bitartrate and ibuprofen with all cytochrome P450 3A4 inhibitors may result in an increase in hydrocodone plasma concentrations, which may cause potentially fatal respiratory depression. In addition, discontinuation of a concomitantly used cytochrome P450 3A4 inducer may result in an increase in hydrocodone plasma concentration. Monitor patients taking hydrocodone bitartrate and ibuprofen and any CYP3A4 inhibitor or upon discontinuation of a CYP3A4 inducer for signs and symptoms of respiratory depression and sedation (see WARNINGS: Risks of Concomitant Use or Discontinuation of Cytochrome P450 3A4 Inhibitors and Inducers, PRECAUTIONS: Drug Interactions).

Cardiovascular Thrombotic Events

Gastrointestinal Bleeding, Ulceration, and Perforation

NSAIDs cause an increased risk of serious gastrointestinal (GI) adverse events including bleeding, ulceration, and perforation of the stomach or intestines, which can be fatal. These events can occur at any time during use and without warning symptoms. Elderly patients and patients with a prior history of peptic ulcer disease and/or GI bleeding are at greater risk for serious GI events (see WARNINGS: Gastrointestinal Bleeding, Ulceration, and Perforation).


Advanced Ingredient Data


Raw Label Data

All Sections (JSON)