These Highlights Do Not Include All The Information Needed To Use Hailey 24 Fe Safely And Effectively. See Full Prescribing Information For Hailey 24 Fe.

These Highlights Do Not Include All The Information Needed To Use Hailey 24 Fe Safely And Effectively. See Full Prescribing Information For Hailey 24 Fe.
SPL v11
SPL
SPL Set ID ab399c1c-5613-4e7d-88f7-ec41533d4da3
Route
ORAL
Published
Effective Date 2025-05-14
Document Type 34391-3 HUMAN PRESCRIPTION DRUG LABEL

Drug Facts

Composition & Product

Active Ingredients
Norethindrone (1 mg) Ethinyl Estradiol (0.02 mg)
Inactive Ingredients
Acacia Lactose Monohydrate Magnesium Stearate Starch, Corn Talc Sucrose Ferrous Fumarate Microcrystalline Cellulose Povidone K30 Sodium Starch Glycolate Type A Potato

Identifiers & Packaging

Pill Appearance
Imprint: 17;G Shape: round Color: white Color: brown Size: 6 mm Score: 1
Marketing Status
ANDA Active Since 2017-11-17

Description

Cigarette smoking increases the risk of serious cardiovascular events from combination oral contraceptive (COC) use. This risk increases with age, particularly in women over 35 years of age, and with the number of cigarettes smoked. For this reason, COCs should not be used by women who are over 35 years of age and smoke [see Contraindications ( 4 )] .

Indications and Usage

Hailey 24 Fe is indicated for use by women to prevent pregnancy [see Clinical Studies ( 14 )]. The efficacy of Hailey 24 Fe in women with a body mass index (BMI) of > 35 kg/m 2 has not been evaluated.

Dosage and Administration

• Take one tablet by mouth at the same time every day for 28 days ( 2.1 ) • Take tablets in the order directed on the blister pack ( 2.1 ) • Hailey 24 Fe may be administered without regard to meals ( 12.3 )

Warnings and Precautions

• Thrombotic Disorders and Other Vascular Problems: Stop Hailey 24 Fe if a thrombotic event occurs. Stop at least 4 weeks before through 2 weeks after major surgery. Start no earlier than 4 weeks after delivery, in women who are not breastfeeding. ( 5.1 ) • Liver disease: Discontinue Hailey 24 Fe if jaundice occurs. ( 5.2 ) • High blood pressure: If used in women with well-controlled hypertension, monitor blood pressure and stop Hailey 24 Fe if blood pressure rises significantly. ( 5.4 ) • Carbohydrate and lipid metabolic effects: Monitor prediabetic and diabetic women taking Hailey 24 Fe. Consider an alternative contraceptive method for women with uncontrolled dyslipidemia. ( 5.6 ) • Headache: Evaluate significant change in headaches and discontinue Hailey 24 Fe if indicated. ( 5.7 ) • Bleeding Irregularities and Amenorrhea: Evaluate irregular bleeding or amenorrhea. ( 5.8 )

Contraindications

Hailey 24 Fe is contraindicated in females who are known to have or develop the following conditions: • A high risk of arterial or venous thrombotic diseases. Examples include women who are known to: • Smoke, if over age 35 [see Boxed Warning and Warnings and Precautions ( 5.1 )] • Have deep vein thrombosis or pulmonary embolism, now or in the past [see Warnings and Precautions ( 5.1 )] • Have inherited or acquired hypercoagulopathies [see Warnings and Precautions ( 5.1 )] • Have cerebrovascular disease [see Warnings and Precautions ( 5.1 )] • Have coronary artery disease [see Warnings and Precautions ( 5.1 )] • Have thrombogenic valvular or thrombogenic rhythm diseases of the heart (for example, subacute bacterial endocarditis with valvular disease, or atrial fibrillation) [see Warnings and Precautions ( 5.1 )] • Have uncontrolled hypertension [see Warnings and Precautions ( 5.4 )] • Have diabetes mellitus with vascular disease [see Warnings and Precautions ( 5.6 )] • Have headaches with focal neurological symptoms or have migraine headaches with aura [see Warnings and Precautions ( 5.7 )] o Women over age 35 with any migraine headaches [see Warnings and Precautions ( 5.7 )] • Liver tumors, benign or malignant, or liver disease [see Warnings and Precautions ( 5.2 )] • Undiag nosed abnormal uterine bleeding [see Warnings and Precautions ( 5.8 )]   ● Current diagnosis of, or history of, breast cancer, which may be hormone sensitive [see Warnings and Precautions ( 5.11 )]   ● Use of Hepatitis C drug combinations containing ombitasvir/paritaprevir/ritonavir, with or without dasabuvir, due to the potential for ALT elevations [see Warnings and Precautions ( 5.3 )]

Adverse Reactions

The following serious adverse reactions with the use of COCs are discussed elsewhere in the labeling: • Serious cardiovascular events and stroke [see Boxed Warning and Warnings and Precautions ( 5.1 )] • Vascular events [see Warnings and Precautions ( 5.1 )] • Liver disease [see Warnings and Precautions ( 5.2 )] Adverse reactions commonly reported by COC users are: • Irregular uterine bleeding • Nausea • Breast tenderness • Headache

Drug Interactions

Consult the labeling of concurrently used drugs to obtain further information about interactions with oral contraceptives or the potential for enzyme alterations.

How Supplied

Hailey ® 24 Fe (norethindrone acetate and ethinyl estradiol tablets, USP and ferrous fumarate tablets, USP) is available in cartons (NDC 68462-731-29) of three blisters (NDC 68462-731-84). Each blister (28 tablets) contains in the following order: • 24 white to off-white, round, flat faced beveled edge, uncoated tablets debossed with ‘16’ on one side and ‘G’ on the other side and each containing 1 mg norethindrone acetate, USP and 20 mcg ethinyl estradiol, USP. • 4 brown to dark brown, round, flat faced beveled edge, uncoated tablets debossed with ‘17’ on one side and ‘G’ on the other side and each containing 75 mg ferrous fumarate, USP. The ferrous fumarate tablets do not serve any therapeutic purpose.

Patient Information

Hailey ® 24 Fe (HAY-lee 24 Fe) (norethindrone acetate and ethinyl estradiol tablets, USP and ferrous fumarate tablets, USP) What is the most important information I should know about Hailey 24 Fe? Do not use Hailey 24 Fe if you smoke cigarettes and are over 35 years old. Smoking increases your risk of serious cardiovascular side effects from hormonal birth control pills, including death from heart attack, blood clots or stroke. This risk increases with age and the number of cigarettes you smoke. What is Hailey 24 Fe? Hailey 24 Fe is a birth control pill (hormonal contraceptive) used by women to prevent pregnancy. How does Hailey 24 Fe work for contraception? Your chance of getting pregnant depends on how well you follow the directions for taking your birth control pills. The better you follow the directions, the less chance you have of getting pregnant. Based on the results from the clinical study, about 1 to 4 out of 100 women may get pregnant during the first year they use Hailey 24 Fe. The following chart shows the chance of getting pregnant for women who use different methods of birth control. Each box on the chart contains a list of birth control methods that are similar in effectiveness. The most effective methods are at the top of the chart. The box on the bottom of the chart shows the chance of getting pregnant for women who do not use birth control and are trying to get pregnant. Who should not take Hailey 24 Fe? Do not take Hailey 24 Fe if you: • smoke and are over 35 years of age • had blood clots in your arms, legs, lungs, or eyes • had a problem with your blood that makes it clot more than normal • have certain heart valve problems or irregular heart beat that increases your risk of having blood clots • had a stroke • had a heart attack • have high blood pressure that cannot be controlled by medicine • have diabetes with kidney, eye, nerve, or blood vessel damage • have certain kinds of severe migraine headaches with aura, numbness, weakness or changes in vision, or any migraine headaches if you are over 35 years of age • have liver problems, including liver tumors • have any unexplained vaginal bleeding • had breast cancer • take any Hepatitis C drug combination containing ombitasvir/paritaprevir/ritonavir, with or without dasabuvir. This may increase levels of the liver enzyme “alanine aminotransferase” (ALT) in the blood. If any of these conditions happen while you are taking Hailey 24 Fe, stop taking Hailey 24 Fe right away and talk to your healthcare provider. Use non-hormonal contraception (such as condoms and spermicide) when you stop taking Hailey 24 Fe. What should I tell my healthcare provider before taking Hailey 24 Fe? Tell your healthcare provider if you: • are pregnant or think you may be pregnant • are depressed now or have been depressed in the past • had yellowing of your skin or eyes (jaundice) caused by pregnancy (cholestasis of pregnancy) • are breastfeeding or plan to breastfeed. Hailey 24 Fe may decrease the amount of breast milk you make. A small amount of the hormones in Hailey 24 Fe may pass into your breast milk. Talk to your healthcare provider about the best birth control method for you while breastfeeding. Tell your healthcare provider about all the medicines you take, including prescription and over-the-counter medicines, vitamins and herbal supplements. Hailey 24 Fe may affect the way other medicines work, and other medicines may affect how well Hailey 24 Fe works. Know the medicines you take. Keep a list of them to show your healthcare provider and pharmacist when you get a new medicine. How should I take Hailey 24 Fe? Read the Instructions for Use at the end of this Patient Information . What are the possible serious side effects of Hailey 24 Fe? • Like pregnancy, Hailey 24 Fe may cause serious side effects, including blood clots in your lungs, heart attack, or a stroke that may lead to death. Some other examples of serious blood clots include blood clots in the legs or eyes. Serious blood clots can happen especially if you smoke, are obese, or are older than 35 years of age. Serious blood clots are more likely to happen when you: • first start taking birth control pills • restart the same or different birth control pills after not using them for a month or more Call your healthcare provider or go to a hospital emergency room right away if you have: • leg pain that will not go away • a sudden, severe headache unlike your usual headaches • sudden severe shortness of breath • weakness or numbness in your arm or leg • sudden change in vision or blindness • trouble speaking • chest pain Other serious side effects include: • liver problems, including: o rare liver tumors o jaundice (cholestasis), especially if you previously had cholestasis of pregnancy. Call your healthcare provider if you have yellowing of your skin or eyes. • high blood pressure. You should see your healthcare provider for a yearly check of your blood pressure. • gallbladder problems • changes in the sugar and fat (cholesterol and triglycerides) levels in your blood • new or worsening headaches including migraine headaches • depression • possible cancer in your breast and cervix • swelling of your skin especially around your mouth, eyes, and in your throat (angioedema). Call your healthcare provider if you have a swollen face, lips, mouth tongue or throat, which may lead to difficulty swallowing or breathing. Your chance of having angioedema is higher is you have a history of angioedema. • dark patches of skin around your forehead, nose, cheeks and around your mouth, especially during pregnancy (chloasma). Women who tend to get chloasma should avoid spending a long time in sunlight, tanning booths, and under sun lamps while taking Hailey 24 Fe. Use sunscreen if you have to be in the sunlight. What are the most common side effects of Hailey 24 Fe? • headache • vaginal infections • nausea • menstrual cramps • breast tenderness • mood changes • acne • weight gain These are not all the possible side effects of Hailey 24 Fe. For more information, ask your healthcare provider or pharmacist. You may report side effects to the FDA at 1-800-FDA-1088. What else should I know about taking Hailey 24 Fe? • If you are scheduled for any lab tests, tell your healthcare provider you are taking Hailey 24 Fe. Certain blood tests may be affected by Hailey 24 Fe. • Hailey 24 Fe does not protect against HIV infection (AIDS) and other sexually transmitted infections. How should I store Hailey 24 Fe? • Store Hailey 24 Fe at room temperature between 68°F to 77°F (20°C to 25°C). • Store away from light. • Keep Hailey 24 Fe and all medicines out of the reach of children. General information about the safe and effective use of Hailey 24 Fe. Medicines are sometimes prescribed for purposes other than those listed in a Patient Information leaflet. Do not use Hailey 24 Fe for a condition for which it was not prescribed. Do not give Hailey 24 Fe to other people. This Patient Information summarizes the most important information about Hailey 24 Fe. You can ask your pharmacist or healthcare provider for information about Hailey 24 Fe that is written for health professionals . For more information, call Glenmark Pharmaceuticals Inc., USA at 1 (888) 721-7115. Do birth control pills cause cancer? It is not known if hormonal birth control pills cause breast cancer. Some studies, but not all, suggest that there could be a slight increase in the risk of breast cancer among current users with longer duration of use. If you have breast cancer now, or have had it in the past, do not use hormonal birth control because some breast cancers are sensitive to hormones. Women who use birth control pills may have a slightly higher chance of getting cervical cancer. However, this may be due to other reasons such as having more sexual partners. What if I want to become pregnant? You may stop taking the pill whenever you wish. Consider a visit with your healthcare provider for a pre-pregnancy checkup before you stop taking the pill. What should I know about my period when taking Hailey 24 Fe? Your periods may be lighter and shorter than usual. Some women may miss a period. Irregular vaginal bleeding or spotting may happen while you are taking Hailey 24 Fe, especially during the first few months of use. This usually is not a serious problem. It is important to continue taking your pills on a regular schedule to prevent a pregnancy. What are the ingredients in Hailey 24 Fe? Active ingredients: White to off-white pills: norethindrone acetate and ethinyl estradiol Inactive ingredients: Brown to dark brown pills: ferrous fumarate


Medication Information

Warnings and Precautions

• Thrombotic Disorders and Other Vascular Problems: Stop Hailey 24 Fe if a thrombotic event occurs. Stop at least 4 weeks before through 2 weeks after major surgery. Start no earlier than 4 weeks after delivery, in women who are not breastfeeding. ( 5.1 ) • Liver disease: Discontinue Hailey 24 Fe if jaundice occurs. ( 5.2 ) • High blood pressure: If used in women with well-controlled hypertension, monitor blood pressure and stop Hailey 24 Fe if blood pressure rises significantly. ( 5.4 ) • Carbohydrate and lipid metabolic effects: Monitor prediabetic and diabetic women taking Hailey 24 Fe. Consider an alternative contraceptive method for women with uncontrolled dyslipidemia. ( 5.6 ) • Headache: Evaluate significant change in headaches and discontinue Hailey 24 Fe if indicated. ( 5.7 ) • Bleeding Irregularities and Amenorrhea: Evaluate irregular bleeding or amenorrhea. ( 5.8 )

Indications and Usage

Hailey 24 Fe is indicated for use by women to prevent pregnancy [see Clinical Studies ( 14 )]. The efficacy of Hailey 24 Fe in women with a body mass index (BMI) of > 35 kg/m 2 has not been evaluated.

Dosage and Administration

• Take one tablet by mouth at the same time every day for 28 days ( 2.1 ) • Take tablets in the order directed on the blister pack ( 2.1 ) • Hailey 24 Fe may be administered without regard to meals ( 12.3 )

Contraindications

Hailey 24 Fe is contraindicated in females who are known to have or develop the following conditions: • A high risk of arterial or venous thrombotic diseases. Examples include women who are known to: • Smoke, if over age 35 [see Boxed Warning and Warnings and Precautions ( 5.1 )] • Have deep vein thrombosis or pulmonary embolism, now or in the past [see Warnings and Precautions ( 5.1 )] • Have inherited or acquired hypercoagulopathies [see Warnings and Precautions ( 5.1 )] • Have cerebrovascular disease [see Warnings and Precautions ( 5.1 )] • Have coronary artery disease [see Warnings and Precautions ( 5.1 )] • Have thrombogenic valvular or thrombogenic rhythm diseases of the heart (for example, subacute bacterial endocarditis with valvular disease, or atrial fibrillation) [see Warnings and Precautions ( 5.1 )] • Have uncontrolled hypertension [see Warnings and Precautions ( 5.4 )] • Have diabetes mellitus with vascular disease [see Warnings and Precautions ( 5.6 )] • Have headaches with focal neurological symptoms or have migraine headaches with aura [see Warnings and Precautions ( 5.7 )] o Women over age 35 with any migraine headaches [see Warnings and Precautions ( 5.7 )] • Liver tumors, benign or malignant, or liver disease [see Warnings and Precautions ( 5.2 )] • Undiag nosed abnormal uterine bleeding [see Warnings and Precautions ( 5.8 )]   ● Current diagnosis of, or history of, breast cancer, which may be hormone sensitive [see Warnings and Precautions ( 5.11 )]   ● Use of Hepatitis C drug combinations containing ombitasvir/paritaprevir/ritonavir, with or without dasabuvir, due to the potential for ALT elevations [see Warnings and Precautions ( 5.3 )]

Adverse Reactions

The following serious adverse reactions with the use of COCs are discussed elsewhere in the labeling: • Serious cardiovascular events and stroke [see Boxed Warning and Warnings and Precautions ( 5.1 )] • Vascular events [see Warnings and Precautions ( 5.1 )] • Liver disease [see Warnings and Precautions ( 5.2 )] Adverse reactions commonly reported by COC users are: • Irregular uterine bleeding • Nausea • Breast tenderness • Headache

Drug Interactions

Consult the labeling of concurrently used drugs to obtain further information about interactions with oral contraceptives or the potential for enzyme alterations.

How Supplied

Hailey ® 24 Fe (norethindrone acetate and ethinyl estradiol tablets, USP and ferrous fumarate tablets, USP) is available in cartons (NDC 68462-731-29) of three blisters (NDC 68462-731-84). Each blister (28 tablets) contains in the following order: • 24 white to off-white, round, flat faced beveled edge, uncoated tablets debossed with ‘16’ on one side and ‘G’ on the other side and each containing 1 mg norethindrone acetate, USP and 20 mcg ethinyl estradiol, USP. • 4 brown to dark brown, round, flat faced beveled edge, uncoated tablets debossed with ‘17’ on one side and ‘G’ on the other side and each containing 75 mg ferrous fumarate, USP. The ferrous fumarate tablets do not serve any therapeutic purpose.

Patient Information

Hailey® 24 Fe (HAY-lee 24 Fe)

(norethindrone acetate and ethinyl estradiol tablets, USP and ferrous fumarate tablets, USP)

What is the most important information I should know about Hailey 24 Fe?

Do not use Hailey 24 Fe if you smoke cigarettes and are over 35 years old. Smoking increases your risk of serious cardiovascular side effects from hormonal birth control pills, including death from heart attack, blood clots or stroke. This risk increases with age and the number of cigarettes you smoke.

What is Hailey 24 Fe?

Hailey 24 Fe is a birth control pill (hormonal contraceptive) used by women to prevent pregnancy.

How does Hailey 24 Fe work for contraception?

Your chance of getting pregnant depends on how well you follow the directions for taking your birth control pills. The better you follow the directions, the less chance you have of getting pregnant.

Based on the results from the clinical study, about 1 to 4 out of 100 women may get pregnant during the first year they use Hailey 24 Fe.

The following chart shows the chance of getting pregnant for women who use different methods of birth control. Each box on the chart contains a list of birth control methods that are similar in effectiveness. The most effective methods are at the top of the chart. The box on the bottom of the chart shows the chance of getting pregnant for women who do not use birth control and are trying to get pregnant.

Who should not take Hailey 24 Fe?

Do not take Hailey 24 Fe if you:

  • smoke and are over 35 years of age
  • had blood clots in your arms, legs, lungs, or eyes
  • had a problem with your blood that makes it clot more than normal
  • have certain heart valve problems or irregular heart beat that increases your risk of having blood clots
  • had a stroke
  • had a heart attack
  • have high blood pressure that cannot be controlled by medicine
  • have diabetes with kidney, eye, nerve, or blood vessel damage
  • have certain kinds of severe migraine headaches with aura, numbness, weakness or changes in vision, or any migraine headaches if you are over 35 years of age
  • have liver problems, including liver tumors
  • have any unexplained vaginal bleeding
  • had breast cancer
  • take any Hepatitis C drug combination containing ombitasvir/paritaprevir/ritonavir, with or without dasabuvir. This may increase levels of the liver enzyme “alanine aminotransferase” (ALT) in the blood.

If any of these conditions happen while you are taking Hailey 24 Fe, stop taking Hailey 24 Fe right away and talk to your healthcare provider. Use non-hormonal contraception (such as condoms and spermicide) when you stop taking Hailey 24 Fe.

What should I tell my healthcare provider before taking Hailey 24 Fe?

Tell your healthcare provider if you:

  • are pregnant or think you may be pregnant
  • are depressed now or have been depressed in the past
  • had yellowing of your skin or eyes (jaundice) caused by pregnancy (cholestasis of pregnancy)
  • are breastfeeding or plan to breastfeed. Hailey 24 Fe may decrease the amount of breast milk you make. A small amount of the hormones in Hailey 24 Fe may pass into your breast milk. Talk to your healthcare provider about the best birth control method for you while breastfeeding.

Tell your healthcare provider about all the medicines you take, including prescription and over-the-counter medicines, vitamins and herbal supplements.

Hailey 24 Fe may affect the way other medicines work, and other medicines may affect how well Hailey 24 Fe works.

Know the medicines you take. Keep a list of them to show your healthcare provider and pharmacist when you get a new medicine.

How should I take Hailey 24 Fe?

Read the Instructions for Use at the end of this Patient Information.

What are the possible serious side effects of Hailey 24 Fe?

  • Like pregnancy, Hailey 24 Fe may cause serious side effects, including blood clots in your lungs, heart attack, or a stroke that may lead to death. Some other examples of serious blood clots include blood clots in the legs or eyes.

Serious blood clots can happen especially if you smoke, are obese, or are older than 35 years of age. Serious blood clots are more likely to happen when you:

  • first start taking birth control pills
  • restart the same or different birth control pills after not using them for a month or more

Call your healthcare provider or go to a hospital emergency room right away if you have:

  • leg pain that will not go away
  • a sudden, severe headache unlike your usual headaches
  • sudden severe shortness of breath
  • weakness or numbness in your arm or leg
  • sudden change in vision or blindness
  • trouble speaking
  • chest pain

Other serious side effects include:

  • liver problems, including:
    • o
      rare liver tumors
    • o
      jaundice (cholestasis), especially if you previously had cholestasis of pregnancy. Call your healthcare provider if you have yellowing of your skin or eyes.
  • high blood pressure. You should see your healthcare provider for a yearly check of your blood pressure.
  • gallbladder problems
  • changes in the sugar and fat (cholesterol and triglycerides) levels in your blood
  • new or worsening headaches including migraine headaches
  • depression
  • possible cancer in your breast and cervix
  • swelling of your skin especially around your mouth, eyes, and in your throat (angioedema). Call your healthcare provider if you have a swollen face, lips, mouth tongue or throat, which may lead to difficulty swallowing or breathing. Your chance of having angioedema is higher is you have a history of angioedema.
  • dark patches of skin around your forehead, nose, cheeks and around your mouth, especially during pregnancy (chloasma). Women who tend to get chloasma should avoid spending a long time in sunlight, tanning booths, and under sun lamps while taking Hailey 24 Fe. Use sunscreen if you have to be in the sunlight.

What are the most common side effects of Hailey 24 Fe?

  • headache
  • vaginal infections
  • nausea
  • menstrual cramps
  • breast tenderness
  • mood changes
  • acne
  • weight gain

These are not all the possible side effects of Hailey 24 Fe. For more information, ask your healthcare provider or pharmacist.

You may report side effects to the FDA at 1-800-FDA-1088.

What else should I know about taking Hailey 24 Fe?

  • If you are scheduled for any lab tests, tell your healthcare provider you are taking Hailey 24 Fe. Certain blood tests may be affected by Hailey 24 Fe.
  • Hailey 24 Fe does not protect against HIV infection (AIDS) and other sexually transmitted infections.

How should I store Hailey 24 Fe?

  • Store Hailey 24 Fe at room temperature between 68°F to 77°F (20°C to 25°C).
  • Store away from light.
  • Keep Hailey 24 Fe and all medicines out of the reach of children.

General information about the safe and effective use of Hailey 24 Fe.

Medicines are sometimes prescribed for purposes other than those listed in a Patient Information leaflet. Do not use Hailey 24 Fe for a condition for which it was not prescribed. Do not give Hailey 24 Fe to other people.

This Patient Information summarizes the most important information about Hailey 24 Fe. You can ask your pharmacist or healthcare provider for information about Hailey 24 Fe that is written for health professionals.

For more information, call Glenmark Pharmaceuticals Inc., USA at 1 (888) 721-7115.

Do birth control pills cause cancer?

It is not known if hormonal birth control pills cause breast cancer. Some studies, but not all, suggest that there could be a slight increase in the risk of breast cancer among current users with longer duration of use.

If you have breast cancer now, or have had it in the past, do not use hormonal birth control because some breast cancers are sensitive to hormones.

Women who use birth control pills may have a slightly higher chance of getting cervical cancer. However, this may be due to other reasons such as having more sexual partners.

What if I want to become pregnant?

You may stop taking the pill whenever you wish. Consider a visit with your healthcare provider for a pre-pregnancy checkup before you stop taking the pill.

What should I know about my period when taking Hailey 24 Fe?

Your periods may be lighter and shorter than usual. Some women may miss a period. Irregular vaginal bleeding or spotting may happen while you are taking Hailey 24 Fe, especially during the first few months of use. This usually is not a serious problem. It is important to continue taking your pills on a regular schedule to prevent a pregnancy.

What are the ingredients in Hailey 24 Fe?

Active ingredients:

White to off-white pills: norethindrone acetate and ethinyl estradiol

Inactive ingredients:

Brown to dark brown pills: ferrous fumarate

Description

Cigarette smoking increases the risk of serious cardiovascular events from combination oral contraceptive (COC) use. This risk increases with age, particularly in women over 35 years of age, and with the number of cigarettes smoked. For this reason, COCs should not be used by women who are over 35 years of age and smoke [see Contraindications ( 4 )] .

5.7 Headache

If a woman taking Hailey 24 Fe develops new headaches that are recurrent, persistent, or severe, evaluate the cause and discontinue Hailey 24 Fe if indicated. Consider discontinuation of Hailey 24 Fe in the case of increased frequency or severity of migraine during COC use (which may be prodromal of a cerebrovascular event).

10 Overdosage

There have been no reports of serious ill effects from overdose of oral contraceptives, including ingestion by children. Overdosage may cause withdrawal bleeding in females and nausea.

5.15 Chloasma

Chloasma may occasionally occur, especially in women with a history of chloasma gravidarum. Women with a tendency to chloasma should avoid exposure to the sun or ultraviolet radiation while taking Hailey 24 Fe.

8.1 Pregnancy

Risk Summary

There is no use for contraception in pregnancy; therefore, Hailey 24 Fe should be discontinued during pregnancy. Epidemiologic studies and meta-analyses have not found an increased risk of genital or nongenital birth defects (including cardiac anomalies and limb-reduction defects) following exposure to CHCs before conception or during early pregnancy.

In the U.S. general population, the estimated background risk of major birth defects and miscarriage in clinically recognized pregnancies is 2 to 4 percent and 15 to 20 percent, respectively.

Data

Human Data

Epidemiologic studies and meta-analyses have not found an increased risk of genital or nongenital birth defects (including cardiac anomalies and limb-reduction defects) following exposure to CHCs before conception or during early pregnancy.

8.2 Lactation

Risk Summary

Contraceptive hormones and/or metabolites are present in human milk. CHCs can reduce milk production in breastfeeding females. This reduction can occur at any time but is less likely to occur once breastfeeding is well-established. When possible, advise the nursing female to use other methods of contraception until she discontinues breastfeeding [see Dosage and Administration (2.2).] The developmental and health benefits of breastfeeding should be considered along with the mother’s clinical need for Hailey 24 Fe and any potential adverse effects on the breastfed child from Hailey 24 Fe or from the underlying maternal condition.

11 Description

Hailey® 24 Fe (norethindrone acetate and ethinyl estradiol tablets, USP and ferrous fumarate tablets, USP) is a combination oral contraceptive for oral administration consisting of active tablets containing norethindrone acetate, USP, a progestin, and ethinyl estradiol, USP, an estrogen, and placebo tablets containing ferrous fumarate, USP which serve no therapeutic purpose.

  • Each active white to off-white tablet contains 1 mg norethindrone acetate, USP and 20 mcg ethinyl estradiol, USP. Inactive ingredients include acacia, corn starch, lactose monohydrate, magnesium stearate, sucrose and talc.
  • Each placebo brown to dark brown tablet contains 75 mg ferrous fumarate, microcrystalline cellulose, magnesium stearate, povidone, sodium starch glycolate, corn starch and talc. The ferrous fumarate tablets do not serve any therapeutic purpose.

The chemical name of ethinyl estradiol, USP is [19-Norpregna-1,3,5(10)-trien-20-yne-3,17-diol, (17α)-]. The empirical formula of ethinyl estradiol, USP is C20H24O2 and the structural formula is:

The chemical name of norethindrone acetate, USP is [19-Norpregn-4-en-20-yn-3-one, 17-(acetyloxy)-, (17α)-]. The empirical formula of norethindrone acetate, USP is C22H28O3 and the structural formula is:

5.10 Depression

Carefully observe women with a history of depression and discontinue Hailey 24 Fe if depression recurs to a serious degree.

5.13 Monitoring

A woman who is taking COCs should have a yearly visit with her healthcare provider for a blood pressure check and for other indicated healthcare.

16.1 How Supplied

Hailey® 24 Fe (norethindrone acetate and ethinyl estradiol tablets, USP and ferrous fumarate tablets, USP) is available in cartons (NDC 68462-731-29) of three blisters (NDC 68462-731-84).

Each blister (28 tablets) contains in the following order:

  • 24 white to off-white, round, flat faced beveled edge, uncoated tablets debossed with ‘16’ on one side and ‘G’ on the other side and each containing 1 mg norethindrone acetate, USP and 20 mcg ethinyl estradiol, USP.
  • 4 brown to dark brown, round, flat faced beveled edge, uncoated tablets debossed with ‘17’ on one side and ‘G’ on the other side and each containing 75 mg ferrous fumarate, USP. The ferrous fumarate tablets do not serve any therapeutic purpose.
5.2 Liver Disease

Impaired Liver Function

Do not use Hailey 24 Fe in women with liver disease, such as acute viral hepatitis or severe (decompensated) cirrhosis of liver [see Contraindications (4)]. Acute or chronic disturbances of liver function may necessitate the discontinuation of COC use until markers of liver function return to normal and COC causation has been excluded. Discontinue Hailey 24 Fe if jaundice develops.

Liver Tumors

Hailey 24 Fe is contraindicated in women with benign and malignant liver tumors [see Contraindications (4)]. Hepatic adenomas are associated with COC use. An estimate of the attributable risk is 3.3 cases per 100,000 COC users. Rupture of hepatic adenomas may cause death through intra-abdominal hemorrhage.

Studies have shown an increased risk of developing hepatocellular carcinoma in long-term (>8 years) COC users. However, the risk of liver cancers in COC users is less than one case per million users.

8.4 Pediatric Use

Safety and efficacy of norethindrone acetate and ethinyl estradiol tablets and ferrous fumarate tablets have been established in women of reproductive age. Efficacy is expected to be the same in postpubertal adolescents under the age of 18 years as for users 18 years and older. Use of this product before menarche is not indicated.

8.5 Geriatric Use

Norethindrone acetate and ethinyl estradiol tablets and ferrous fumarate tablets have not been studied in postmenopausal women and is not indicated in this population.

2.3 Missed Tablets
  •  
    Table 2: Instructions for Missed Hailey 24 Fe Tablets
  • If one active tablet is missed in Weeks 1, 2 or 3

Take the tablet as soon as possible. Take the next pill at the regular time and continue taking one tablet a day until the pack is finished. Back-up contraception is not needed

  • If two consecutive active tablets are missed in Week 1 or Week 2

Take the two missed tablets as soon as possible and the next two active tablets the next day. Continue taking one tablet a day until the pack is finished. Additional non-hormonal contraception (such as condoms and spermicide) must be used as back-up if the patient has sex within 7 days after missing tablets.

  • If two consecutive active tablets are missed in Week 3 or Week 4 or three or more consecutive active tablets are missed at any time

Day 1 Start: Throw out the rest of the pack and start a new pack that same day.

Sunday Start: Continue taking one tablet a day until Sunday, then throw out the rest of the pack and start a new pack that same day.

Additional non-hormonal contraception (such as condoms and spermicide) must be used as back-up if the patient has sex within 7 days after missing 3 tablets.

14 Clinical Studies

In an active-controlled clinical trial, 743 women 18 to 45 years of age were studied to assess the efficacy of norethindrone acetate and ethinyl estradiol tablets and ferrous fumarate tablets, for up to six 28-day cycles. The racial demographic of women randomized to norethindrone acetate and ethinyl estradiol tablets and ferrous fumarate tablets was: 69.5% Caucasian, 15.5% African-American, 10.4% Hispanic, 2.3% Asian and 2.3% Native American/Other. Women with body mass index (BMI) greater than 35 mg/m2 were excluded from the study. The weight range for those women treated was 90 to 260 pounds, with a mean weight of 147 pounds. Among the women in the study randomized to norethindrone acetate and ethinyl estradiol tablets and ferrous fumarate tablets, 38.9% had not used hormonal contraception immediately prior to enrolling in this study.

A total of 583 women completed 6 cycles of treatment. There were a total of 5 on-treatment pregnancies among women aged 18 to 45 years in 3,565 treatment cycles during which no back-up contraception was used. The Pearl Index for norethindrone acetate and ethinyl estradiol tablets and ferrous fumarate tablets was 1.82 (95% confidence interval 0.59 to 4.25).

4 Contraindications

Hailey 24 Fe is contraindicated in females who are known to have or develop the following conditions:

  • A high risk of arterial or venous thrombotic diseases. Examples include women who are known to:
  • Smoke, if over age 35 [see Boxed Warning and Warnings and Precautions (5.1)]
  • Have deep vein thrombosis or pulmonary embolism, now or in the past [see Warnings and Precautions (5.1)]
  • Have inherited or acquired hypercoagulopathies [see Warnings and Precautions (5.1)]
  • Have cerebrovascular disease [see Warnings and Precautions (5.1)]
  • Have coronary artery disease [see Warnings and Precautions (5.1)]
  • Have thrombogenic valvular or thrombogenic rhythm diseases of the heart (for example, subacute bacterial endocarditis with valvular disease, or atrial fibrillation) [see Warnings and Precautions (5.1)]
  • Have uncontrolled hypertension [see Warnings and Precautions (5.4)]
  • Have diabetes mellitus with vascular disease [see Warnings and Precautions (5.6)]
  • Have headaches with focal neurological symptoms or have migraine headaches with aura [see Warnings and Precautions (5.7)]
    • o
      Women over age 35 with any migraine headaches [see Warnings and Precautions (5.7)]
  • Liver tumors, benign or malignant, or liver disease [see Warnings and Precautions (5.2)]
  • Undiagnosed abnormal uterine bleeding [see Warnings and Precautions (5.8)]
  •  
    ● Current diagnosis of, or history of, breast cancer, which may be hormone sensitive[see Warnings and Precautions (5.11)]
  •  
    ● Use of Hepatitis C drug combinations containing ombitasvir/paritaprevir/ritonavir, with or without dasabuvir, due to the potential for ALT elevations [see Warnings and Precautions (5.3)]
6 Adverse Reactions

The following serious adverse reactions with the use of COCs are discussed elsewhere in the labeling:

  • Serious cardiovascular events and stroke [see Boxed Warning and Warnings and Precautions (5.1)]
  • Vascular events [see Warnings and Precautions (5.1)]
  • Liver disease [see Warnings and Precautions (5.2)]

Adverse reactions commonly reported by COC users are:

  • Irregular uterine bleeding
  • Nausea
  • Breast tenderness
  • Headache
7 Drug Interactions

Consult the labeling of concurrently used drugs to obtain further information about interactions with oral contraceptives or the potential for enzyme alterations.

8.8 Body Mass Index

The safety and efficacy of norethindrone acetate and ethinyl estradiol tablets and ferrous fumarate tablets in women with a body mass index (BMI) > 35 kg/m2 has not been evaluated [see Clinical Studies (14)].

8.7 Renal Impairment

The pharmacokinetics of norethindrone acetate and ethinyl estradiol tablets and ferrous fumarate tablets have not been studied in women with renal impairment.

Instructions for Use

Hailey® 24 Fe (HAY-lee 24 Fe)

(norethindrone acetate and ethinyl estradiol tablets and ferrous fumarate tablets)

Important Information about taking Hailey 24 Fe

  • Take 1 pill every day at the same time. Take the pills in the order directed on your pill dispenser.
  • Do not skip your pills, even if you do not have sex often. If you miss pills (including starting the pack late), you could get pregnant. The more pills you miss, the more likely you are to get pregnant.
  • If you have trouble remembering to take Hailey 24 Fe, talk to your healthcare provider.
  • When you first start taking Hailey 24 Fe, spotting or light bleeding in between your periods may occur. Contact your healthcare provider if this does not go away after a few months.
  • You may feel sick to your stomach (nauseous), especially during the first few months of taking Hailey 24 Fe. If you feel sick to your stomach, do not stop taking the pill. The problem will usually go away. If your nausea does not go away, call your healthcare provider.
  • Missing pills can also cause spotting or light bleeding, even when you take the missed pills later. On the days you take 2 pills to make up for missed pills (see, What should I do if I miss any Hailey 24 Fe pills? below), you could also feel a little sick to your stomach.
  • It is not uncommon to miss a period. However, if you miss a period and have not taken Hailey 24 Fe according to directions, or miss 2 periods in a row, or feel like you may be pregnant, call your healthcare provider. If you have a positive pregnancy test, you should stop taking Hailey 24 Fe.
  • If you have vomiting or diarrhea within 3 to 4 hours of taking a white to off-white active pill, take another white to off-white pill from your extra pill dispenser. If you do not have an extra pill dispenser, take the next white to off-white pill in your pill dispenser. Continue taking all your remaining pills in order. Start the first pill of your next pill dispenser the day after finishing your current pill dispenser. This will be 1 day earlier than originally scheduled. Continue on your new schedule.
  • If you have vomiting or diarrhea for more than 1 day, your birth control pills may not work as well. Use an additional birth control method, like condoms and a spermicide, until you check with your healthcare provider.
  • Stop taking Hailey 24 Fe at least 4 weeks before you have major surgery and do not restart after the surgery without asking your healthcare provider. Be sure to use other forms of contraception (like condoms and spermicide) during this time period.

Before you start taking Hailey 24 Fe:

  • Decide what time of day you want to take your pill. It is important to take it at the same time every day and in the order as directed on your pill dispenser.
  • Have backup contraception (condoms and spermicide) available and if possible, an extra full pack of pills as needed.

When should I start taking Hailey 24 Fe?

If you start taking Hailey 24 Fe and you have not used a hormonal birth control method before:

  • There are 2 ways to start taking your birth control pills. You can either start on a Sunday (Sunday Start) or on the first day (Day 1) of your natural menstrual period (Day 1 Start). Your healthcare provider should tell you when to start taking your birth control pill.
  • If you use the Sunday Start, use non-hormonal back-up contraception such as condoms and spermicide for the first 7 days that you take Hailey 24 Fe. You do not need back-up contraception if you use the Day 1 Start.

If you start taking Hailey 24 Fe and you are switching from another birth control pill:

  • Start your new Hailey 24 Fe pack on the same day that you would start the next pack of your previous birth control method.
  • Do not continue taking the pills from your previous birth control pack.

If you start taking Hailey 24 Fe and previously used a vaginal ring or transdermal patch:

  • Start using Hailey 24 Fe on the day you would have reapplied the next ring or patch.

If you start taking Hailey 24 Fe and you are switching from a progestin-only method such as an implant or injection:

  • Start taking Hailey 24 Fe on the day of removal of your implant or on the day when you would have had your next injection.

If you start taking Hailey 24 Fe and you are switching from an intrauterine device or system (IUD or IUS):

  • Start taking Hailey 24 Fe on the day of removal of your IUD or IUS.
  • You do not need back-up contraception if your IUD or IUS is removed on the first day (Day 1) of your period. If your IUD or IUS is removed on any other day, use non-hormonal back-up contraception such as condoms and spermicide for the first 7 days that you take Hailey 24 Fe.

Keep a calendar to track your period:

If this is the first time you are taking birth control pills, read, “When should I start taking Hailey 24 Fe?” above. Follow these instructions for either a Sunday Start or a Day 1 Start.

Sunday Start:

You will use a Sunday Start if your healthcare provider told you to take your first pill on a Sunday.

  • Take pill 1 on the Sunday after your period starts.
  • If your period starts on a Sunday, take pill “1” that day and refer to Day 1 Start instructions below.
  • Take 1 pill every day in the order on the pill dispenser at the same time each day for 28 days.
  • After taking the last pill on Day 28 from the pill dispenser, start taking the first pill from a new pack, on the same day of the week as the first pack (Sunday). Take the first pill in the new pack whether or not you are having your period.
  • Use non-hormonal back-up contraception such as condoms and spermicide for the first 7 days of the first cycle that you take Hailey 24 Fe.

Day 1 Start:

You will use a Day 1 Start if your doctor told you to take your first pill (Day 1) on the first day of your period.

  • Take 1 pill every day in the order of the pill dispenser dial pack, at the same time each day, for 28 days.
  • After taking the last pill on Day 28 from the pill dispenser, start taking the first pill from a new pack, on the same day of the week as the first pack. Take the first pill in the new pack whether or not you are having your period.

Instructions for using your pill pack:

The Hailey 24 Fe pill pack has 24 "active" white to off-white pills (with hormones) to be taken for 24 days, followed by 4 "reminder" brown to dark brown pills (without hormones) to be taken for the next 4 days.

Look for:

  • Where on the pack to start taking pills
  • In what order to take the pills. Follow the arrows shown in Figure A.
  • The week numbers as shown in Figure A.

What if should I do if I miss any Hailey 24 Fe white to off-white pills?

If you miss 1 white to off-white pill in Weeks 1, 2, or 3, follow these steps:

  • Take it as soon as you remember. Take the next pill at your regular time. This means you may take 2 pills in 1 day.
  • Then continue taking 1 pill every day until you finish the pack.
  • You do not need to use a back-up birth control method if you have sex.

If you miss 2 white to off-white pills in a row in Week 1 or Week 2 of your pack, follow these steps:

  • Take the 2 missed pills as soon as possible and the next 2 pills the next day.
  • Then continue to take 1 pill every day until you finish the pack.
  • Use a non-hormonal birth control method (such as a condom and spermicide) as a back-up if you have sex during the first 7 days after missing your pills.

If you miss 2 white to off-white pills in a row in Week 3 or Week 4, or you miss 3 or more white to off-white pills in a row at any time, follow these steps:

  • If you are a Day 1 Starter:
    • o
      Throw out the rest of the pill pack and start a new pack that same day.
  • If you are a Sunday Starter:
    • o
      Keep taking 1 pill every day until Sunday. On Sunday, throw out the rest of the pack and start a new pack of pills that same day.
  • You may not have your period this month but this is expected. However, if you miss your period 2 months in a row, call your healthcare provider because you might be pregnant.
  • You could become pregnant if you have sex during the first 7 days after you restart your pills. You MUST use a non-hormonal birth control method (such as a condom and spermicide) as a back-up if you have sex during the first 7 days after you restart your pills.

If you miss any of the 4 brown to dark brown “reminder” pills in Week 4, throw away the pills you missed and keep taking 1 pill each day until the pack is empty. You do not need to use a back-up method of birth control.

If you have any questions or are unsure about the information in this leaflet, call your healthcare provider.

This Patient Information and Instructions for Use has been approved by the U.S. Food and Drug Administration.

Distributed by:

Glenmark Pharmaceuticals Inc., USA

Elmwood Park, NJ 07407

Questions? 1 (888) 721-7115

www.glenmarkpharma-us.com

May 2025

12.2 Pharmacodynamics

No specific pharmacodynamic studies were conducted with norethindrone acetate and ethinyl estradiol tablets and ferrous fumarate tablets.

12.3 Pharmacokinetics

Absorption

Norethindrone acetate appears to be completely and rapidly deacetylated to norethindrone after oral administration, because the disposition of norethindrone acetate is indistinguishable from that of orally administered norethindrone. Norethindrone acetate and ethinyl estradiol are rapidly absorbed from norethindrone acetate and ethinyl estradiol tablets and ferrous fumarate tablets, with maximum plasma concentrations of norethindrone and ethinyl estradiol occurring 1 to 4 hours postdose. Both are subject to first-pass metabolism after oral dosing, resulting in an absolute bioavailability of approximately 64% for norethindrone and 43% for ethinyl estradiol.

The plasma norethindrone and ethinyl estradiol pharmacokinetics following single- and multiple-dose administrations of norethindrone acetate and ethinyl estradiol tablets and ferrous fumarate tablets in 17 healthy female volunteers are provided in Figures 2 and 3, and Table 3.

Following multiple-dose administration of norethindrone acetate and ethinyl estradiol tablets and ferrous fumarate tablets, mean maximum concentrations of norethindrone and ethinyl estradiol were increased by 95% and 27%, respectively, as compared to single-dose administration. Mean norethindrone and ethinyl estradiol exposures (AUC values) were increased by 164% and 51% respectively, as compared to single-dose administration of norethindrone acetate and ethinyl estradiol tablets and ferrous fumarate tablets.

Steady-state with respect to norethindrone was reached by Day 17 and steady-state with respect to ethinyl estradiol was reached by Day 13.

Mean SHBG concentrations were increased by 150% from baseline (57.5 nmol/L) to 144 nmol/L at steady-state.

Figure 2. Mean Plasma Norethindrone Concentration-Time Profiles Following Single- and Multiple-Dose Oral Administration of Norethindrone Acetate and Ethinyl Estradiol Tablets and Ferrous Fumarate Tablets to Healthy Female Volunteers Under Fasting Condition (n = 17)

Figure 3. Mean Plasma Ethinyl Estradiol Concentration-Time Profiles Following Single- and Multiple-Dose Oral Administration of Norethindrone Acetate and Ethinyl Estradiol Tablets and Ferrous Fumarate Tablets to Healthy Female Volunteers Under Fasting Condition (n = 17)

Table 3. Summary of Norethindrone (NE) and Ethinyl Estradiol (EE) Pharmacokinetics Following Single- and Multiple-Dose Oral Administration of Norethindrone Acetate and Ethinyl Estradiol Tablets and Ferrous Fumarate Tablets to Healthy Female Volunteers Under Fasting Condition (n = 17)

Regimen

Analyte

Arithmetic Meana (% CV) by Pharmacokinetic Parameter

Cmax

(pg/mL)

tmax

(hr)

AUC(0 to 24)

(pg/mL•h)

Cmin

(pg/mL)

t½

(hr)

Cavg

(pg/mL)

Day 1

(Single Dose)

NE

8420

(31)

1.0

(0.7 to 4.0)

33390

(40)

--

--

--

EE

64.5

(27)

1.3

(0.7 to 4.0)

465.4

(26)

--

--

--

SHBG

--

--

--

57.5

(37)b

--

--

Day 24 (Multiple Dose)

NE

16400

(26)

1.3

(0.7 to 4.0)

88160

(30)

880

(51)

8.4

3670

(30)

EE

81.9

(24)

1.7

(1.0 to 2.0)

701.3

(28)

11.4

(43)

14.5

29.2

(28)

SHBG

--

--

--

144

(24)

--

--

Cmax = Maximum plasma concentration

tmax = Time of Cmax

Cmin = minimum plasma concentration at steady-state

AUC(0 to 24) = Area under plasma concentration versus time curve from 0 to 24 hours

t½ = Apparent first-order terminal elimination half-life

Cavg = Average plasma concentration = AUC(0 to 24)/24

% CV = Coefficient of Variation (%)

SHBG = Sex Hormone Binding Globulin (nmol/L)

aThe harmonic mean (0.693/mean apparent elimination rate constant) is reported for t½, and the median (range) is reported for tmax.

bThe SHBG concentration reported here is the pre-dose concentration.

Food Effect

A single-dose administration of norethindrone acetate and ethinyl estradiol tablets and ferrous fumarate tablet with food decreased the maximum concentration of norethindrone by 11% and increased the extent of absorption by 27% and decreased the maximum concentration of ethinyl estradiol by 30% but not the extent of absorption.

Distribution

Volume of distribution of norethindrone and ethinyl estradiol ranges from 2 to 4 L/kg. Plasma protein binding of both steroids is extensive (>95%); norethindrone binds to both albumin and SHBG, whereas ethinyl estradiol binds only to albumin. Although ethinyl estradiol does not bind to SHBG, it induces SHBG synthesis.

Metabolism

Norethindrone undergoes extensive biotransformation, primarily via reduction, followed by sulfate and glucuronide conjugation. The majority of metabolites in the circulation are sulfates, with glucuronides accounting for most of the urinary metabolites.

Ethinyl estradiol is also extensively metabolized, both by oxidation and by conjugation with sulfate and glucuronide. Sulfates are the major circulating conjugates of ethinyl estradiol and glucuronides predominate in urine. The primary oxidative metabolite is 2-hydroxy ethinyl estradiol, formed by the CYP3A4 isoform of cytochrome P450. Part of the first-pass metabolism of ethinyl estradiol is believed to occur in gastrointestinal mucosa. Ethinyl estradiol may undergo enterohepatic circulation.

Excretion

Norethindrone and ethinyl estradiol are excreted in both urine and feces, primarily as metabolites. Plasma clearance values for norethindrone and ethinyl estradiol are similar (approximately 0.4 L/hr/kg). Steady-state elimination half-lives of norethindrone and ethinyl estradiol following administration of norethindrone acetate and ethinyl estradiol tablets and ferrous fumarate tablets are approximately 8 hours and 14 hours, respectively.

8.6 Hepatic Impairment

The pharmacokinetics of norethindrone acetate and ethinyl estradiol tablets and ferrous fumarate tablets have not been studied in subjects with hepatic impairment. However, steroid hormones may be poorly metabolized in patients with hepatic impairment. Acute or chronic disturbances of liver function may necessitate the discontinuation of COC use until markers of liver function return to normal and COC causation has been excluded [see Contraindications (4) and Warnings and Precautions (5.2)].

1 Indications and Usage

Hailey 24 Fe is indicated for use by women to prevent pregnancy [see Clinical Studies (14)].

The efficacy of Hailey 24 Fe in women with a body mass index (BMI) of > 35 kg/m2 has not been evaluated.

16.2 Storage Conditions
  • Store at 20ºC to 25ºC (68ºF to 77ºF); excursions permitted from 15ºC to 30ºC (59ºF to 86ºF) [see USP Controlled Room Temperature].
  • Protect from light.
5.4 High Blood Pressure

Hailey 24 Fe is contraindicated in women with uncontrolled hypertension or hypertension with vascular disease [see Contraindications (4)]. For women with well-controlled hypertension, monitor blood pressure and stop Hailey 24 Fe if blood pressure rises significantly.

An increase in blood pressure has been reported in women taking COCs, and this increase is more likely in older women with extended duration of use. The incidence of hypertension increases with increasing concentrations of progestin.

5.5 Gallbladder Disease

Studies suggest a small increased relative risk of developing gallbladder disease among COC users. Use of COCs may worsen existing gallbladder disease. A past history of COC-related cholestasis predicts an increased risk with subsequent COC use. Women with a history of pregnancy-related cholestasis may be at an increased risk for COC related cholestasis.

12.1 Mechanism of Action

CHCs prevent pregnancy primarily by suppressing ovulation.

5.11 Malignant Neoplasms

Breast Cancer

Hailey 24 Fe is contraindicated in women who currently have or have had breast cancer because breast cancer may be hormonally-sensitive [see Contraindications (4)].

Epidemiology studies have not found a consistent association between use of combined oral contraceptives (COCs) and breast cancer risk. Studies do not show an association between ever (current or past) use of COCs and risk of breast cancer. However, some studies report a small increase in the risk of breast cancer among current or recent users (<6 months since last use) and current users with longer duration of COCuse [see Postmarketing Experience (6.2)].

Cervical Cancer

Some studies suggest that COCs are associated with an increase in the risk of cervical cancer or intraepithelial neoplasia. However, there is controversy about the extent to which these findings may be due to differences in sexual behavior and other factors.

5 Warnings and Precautions
  • Thrombotic Disorders and Other Vascular Problems: Stop Hailey 24 Fe if a thrombotic event occurs. Stop at least 4 weeks before through 2 weeks after major surgery. Start no earlier than 4 weeks after delivery, in women who are not breastfeeding. (5.1)
  • Liver disease: Discontinue Hailey 24 Fe if jaundice occurs. (5.2)
  • High blood pressure: If used in women with well-controlled hypertension, monitor blood pressure and stop Hailey 24 Fe if blood pressure rises significantly. (5.4)
  • Carbohydrate and lipid metabolic effects: Monitor prediabetic and diabetic women taking Hailey 24 Fe. Consider an alternative contraceptive method for women with uncontrolled dyslipidemia. (5.6)
  • Headache: Evaluate significant change in headaches and discontinue Hailey 24 Fe if indicated. (5.7)
  • Bleeding Irregularities and Amenorrhea: Evaluate irregular bleeding or amenorrhea. (5.8)
5.14 Hereditary Angioedema

In women with hereditary angioedema, exogenous estrogens may induce or exacerbate symptoms of angioedema.

2 Dosage and Administration
  • Take one tablet by mouth at the same time every day for 28 days (2.1)
  • Take tablets in the order directed on the blister pack (2.1)
  • Hailey 24 Fe may be administered without regard to meals (12.3)
2.2 How to Take Hailey 24 Fe
  •  
    Table 1: Instructions for Administration of Hailey 24 Fe

Starting COCs in women not currently using hormonal contraception (Day 1 Start or Sunday Start)

Important:

Consider the possibility of ovulation and conception prior to initiation of this product.

Tablet Color:

  • Hailey 24 Fe active tablets are white to off-white (Day 1 to Day 24).
  • Hailey 24 Fe inactive tablets are brown to dark brown (Day 25 to Day 28).

Day 1 Start:

  • Take first white to off-white active tablet without regard to meals on the first day of menses.
  • Take subsequent active tablets once daily at the same time each day for a total of 24 days.
  • Take one brown to dark brown inactive tablet daily for 4 days and at the same time of day that active tablets were taken.
  • Begin each subsequent pack on the same day of the week as the first cycle pack (i.e., on the day after taking the last inactive tablet).

Sunday Start:

For each 28-day course, take in the following order:

  • Take the white to off-white active tablet without regard to meals on the first Sunday after the onset of menses. Due to the potential risk of becoming pregnant, use additional non-hormonal contraception (such as condoms and spermicide) for the first 7 days of the patient’s first cycle pack of Hailey 24 Fe.
  • Take subsequent active tablets once daily at the same time each day for a total of 24 days.
  • Take one brown to dark brown tablet (ferrous fumarate) daily for the following 4 days and at the same time of day that active tablets were taken. A scheduled period should occur during the 4 days that the brown to dark brown tablets are taken.
  • Begin each subsequent pack on the same day of the week as the first cycle pack (i.e., on the Sunday after taking the last inactive tablet) and additional non-hormonal contraceptive is not needed.

Switching to Hailey 24 Fe from another oral contraceptive

Start on the same day that a new pack of the previous oral contraceptive would have started.

Switching from another contraceptive method to Hailey 24 Fe

Start Hailey 24 Fe:

  • Transdermal patch
  • On the day when next application would have been scheduled.
  • Vaginal ring
  • On the day when next insertion would have been scheduled
  • Injection
  • On the day when next injection would have been scheduled
  • Intrauterine contraceptive
  • On the day of removal
  • If the IUD is not removed on first day of the patient’s menstrual cycle, additional non-hormonal contraceptive (such as condoms and spermicide) is needed for the first seven days of the first cycle pack.
  • Implant
  • On the day of removal

Starting Hailey 24 Fe after Abortion or Miscarriage

First-trimester

  • After a first-trimester abortion or miscarriage, Hailey 24 Fe may be started immediately. An additional method of contraception is not needed if Hailey 24 Fe is started immediately.
  • If Hailey 24 Fe is not started within 5 days after termination of the pregnancy, the patient must use additional non-hormonal contraception (such as condoms and spermicide) for the first 7 days of her first 28-day course of Hailey 24 Fe.

Second-trimester

  • Do not start until 4 weeks after a second-trimester abortion or miscarriage, due to the increased risk of thromboembolic disease. Start Hailey 24 Fe following the instructions in Table 1 for Sunday start. Use additional non-hormonal contraception (such as condoms and spermicide) for the first 7 days of the patient’s first 28-day course of Hailey 24 Fe [see Contraindications (4) and Warnings and Precautions (5.1)].

Starting Hailey 24 Fe after Childbirth

  • Do not start until 4 weeks after delivery, due to the increased risk of thromboembolic disease. Start contraceptive therapy with Hailey 24 Fe following the instructions in Table 1 for women not currently using hormonal contraception.
  • If the woman has not yet had a period postpartum, consider the possibility of ovulation and conception occurring prior to use of Hailey 24 Fe [see Contraindications (4), Warnings and Precautions (5.1), Use in Specific Populations (8.1 and 8.2)].
3 Dosage Forms and Strengths

Hailey® 24 Fe (norethindrone acetate and ethinyl estradiol tablets, USP and ferrous fumarate tablets, USP) is available in blister packs.

Each blister pack (28 tablets) contains in the following order:

  • 24 white to off-white, round, flat faced beveled edge, uncoated tablets debossed with ‘16’ on one side and ‘G’ on the other side and each containing 1 mg norethindrone acetate, USP and 20 mcg ethinyl estradiol, USP.
  • 4 brown to dark brown, round, flat faced beveled edge, uncoated tablets debossed with ‘17’ on one side and ‘G’ on the other side and each containing 75 mg ferrous fumarate, USP. The ferrous fumarate tablets do not serve any therapeutic purpose.
6.2 Postmarketing Experience

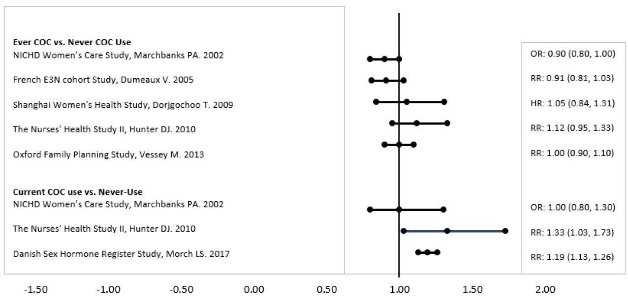
Five studies that compared breast cancer risk between ever-users (current or past use) of COCs and never-users of COCs reported no association between ever use of COCs and breast cancer risk, with effect estimates ranging from 0.90 to 1.12 (Figure 1).

Three studies compared breast cancer risk between current or recent COC users (<6 months since last use) and never users of COCs (Figure 1). One of these studies reported no association between breast cancer risk and COC use. The other two studies found an increased relative risk of 1.19 to 1.33 with current or recent use. Both of these studies found an increased risk of breast cancer with current use of longer duration, with relative risks ranging from 1.03 with less than one year of COC use to approximately 1.4 with more than 8 to 10 years of COC use.

Figure 1. Relevant Studies of Risk of Breast Cancer with Combined Oral Contraceptives

RR = relative risk; OR = odds ratio; HR = hazard ratio. “ever COC” are females with current or past COC use; “never COC use” are females that never used COCs.

The following adverse reactions have been identified during post approval use of norethindrone acetate and ethinyl estradiol tablets and ferrous fumarate tablets. Because these reactions are reported voluntarily from a population of uncertain size, it is difficult to reliably estimate their frequency or evaluate a causal relationship to drug exposure.

Cardiovascular: chest pain, palpitations, tachycardia, angina pectoris, myocardial infarction.

Endocrine disorders: hypothyroidism, hyperthyroidism.

Eye disorders: blurred vision, visual impairment, transient blindness, corneal thinning, change in corneal curvature (steepening).

GI disorders: nausea, vomiting, abdominal pain, constipation, pancreatitis.

Hepatobiliary disorders: cholelithiasis, cholecystitis, hepatic adenoma, hemangioma of liver.

Immune system disorders: anaphylactic reactions, including urticaria, angioedema, and severe reactions with respiratory and circulatory symptoms.

Infections: vaginal infection.

Metabolism and nutrition disorders: change in weight or appetite (increase or decrease).

hypoglycemia, diabetes mellitus, anemia.

Musculoskeletal and connective tissue disorders: myalgia.

Skin and subcutaneous disorders: alopecia, rash (generalized and allergic), pruritus, skin discoloration, night sweats, swelling face or lips, hirsutism, skin burning sensation, erythema multiforme, erythema nodosum, hemorrhagic eruption.

Nervous system disorders: headache, dizziness, migraine, hyperesthesia, paraesthesia, hypoaesthesia, somnolence, loss of consciousness, sensory disturbance.

Psychiatric disorders: mood swings, depression, insomnia, anxiety, suicidal ideation, panic attack, changes in libido, bipolar disorder, dissociation, homicidal ideation.

Renal and urinary disorders: pollakiuria, dysuria, cystitis-like syndrome.

Reproductive system and breast disorders: breast changes (tenderness, pain, enlargement, and secretion), premenstrual syndrome, ovarian cyst, pelvic pain, ovarian cyst ruptured, pelvic fluid collection.

Vascular disorders: hot flush, thrombosis/embolism (coronary artery, pulmonary, cerebral, deep vein), migraine, transient ischemic attack, ischemic stroke.

2.1 How to Start Hailey 24 Fe

Hailey 24 Fe is dispensed in a blister [see How Supplied/Storage and Handling (16)]. Hailey 24 Fe may be started using either a Day 1 start or a Sunday start (see Table 1). For the first cycle of a Sunday Start regimen, an additional method of contraception must be used until after the first 7 consecutive days of administration.

6.1 Clinical Trial Experience

Because clinical trials are conducted under widely varying conditions, adverse reaction rates observed in the clinical trials of a drug cannot be directly compared to the rates in the clinical trials of another drug and may not reflect the rates observed in practice.

The safety of norethindrone acetate and ethinyl estradiol tablets and ferrous fumarate tablets were evaluated in 743 subjects who participated in an open-label, randomized, active-controlled, multicenter clinical trial of norethindrone acetate and ethinyl estradiol tablets and ferrous fumarate tablets for contraception. This trial examined healthy, non-pregnant volunteers aged 18 to 45 years, who were sexually active and had a body mass index of ≤ 35 kg/m2. Subjects were followed for up to six 28-day cycles providing a total of 3,823 treatment-cycles of exposure.

Common Adverse Reactions (≥ 2% of all subjects): The most common adverse reactions reported by at least 2% of the 743 women using norethindrone acetate and ethinyl estradiol tablets and ferrous fumarate tablets were the following, in order of decreasing incidence: headache (6.3%), vaginal candidiasis (6.1%), nausea (4.6%), menstrual cramps (4.4%), breast tenderness (3.4%), mood changes (including mood swings (2.2%) and depression (1.1%), bacterial vaginitis (3.1%), acne (2.7%), and weight gain (2.0%).

Adverse Reactions Leading to Study Discontinuation: Among the 743 women using norethindrone acetate and ethinyl estradiol tablets and ferrous fumarate tablets, 46 women (6.2%) withdrew because of an adverse event. Adverse events occurring in 3 or more subjects leading to discontinuation of treatment were, in decreasing order: abnormal bleeding (0.9%), nausea (0.8%), mood changes (0.8%), menstrual cramps (0.4%), increased blood pressure (0.4%), and irregular bleeding (0.4%).

8 Use in Specific Populations
  • Lactation: Advise use of another contraceptive method. Hailey 24 Fe can decrease milk production. (8.2)
5.12 Effect On Binding Globulins

The estrogen component of COCs may raise the serum concentrations of thyroxine-binding globulin, sex hormone-binding globulin, and cortisol-binding globulin. The dose of replacement thyroid hormone or cortisol therapy may need to be increased.

17 Patient Counseling Information

Counsel patients to read the FDA-approved Patient Labeling (Patient Information and Instructions for Use).

Counsel patients about the following information:

  • Cigarette smoking increases the risk of serious cardiovascular events from COC use, and that women who are over 35 years old and smoke should not use COCs [see Boxed Warning].
  • Increased risk of VTE compared to non-users of COCs is greatest after initially starting a COC or restarting (following a 4-week or greater pill-free interval) the same or a different COC [see Warnings and Precautions (5.1)].
  • Hailey 24 Fe does not protect against HIV infection (AIDS) and other sexually transmitted diseases.
  • Hailey 24 Fe is not to be used during pregnancy; if pregnancy occurs during use of Hailey 24 Fe instruct the patient to stop further use [see Warnings and Precautions (5.9)].
  • Take one tablet daily by mouth at the same time every day. Instruct patients what to do in the event pills are missed [see Dosage and Administration (2.2)].
  • Use a back-up or alternative method of contraception when enzyme inducers are used with Hailey 24 Fe [see Drug Interactions (7.1)].
  • COCs may reduce breast milk production; this is less likely to occur if breastfeeding is well established [see Use in Specific Populations (8.2)].
  • Women who start COCs postpartum, and who has not yet had a period, must use an additional method of contraception until she has taken a white to off-white tablet for 7 consecutive days [see Dosage and Administration (2.2)].
  • Amenorrhea may occur. Consider pregnancy in the event of amenorrhea at the time of the first missed period. Rule out pregnancy in the event of amenorrhea in two or more consecutive cycles [see Warnings and Precautions (5.8)].

Distributed by:

Glenmark Pharmaceuticals Inc., USA

Elmwood Park, NJ 07407

Questions? 1 (888) 721-7115

www.glenmarkpharma-us.com

May 2025

Package/label Principal Display Panel
7.4 Interactions With Laboratory Tests

The use of contraceptive steroids may influence the results of certain laboratory tests, such as coagulation factors, lipids, glucose tolerance, and binding proteins.

5.8 Bleeding Irregularities and Amenorrhea

Unscheduled Bleeding and Spotting

Unscheduled (breakthrough or intracyclic) bleeding and spotting sometimes occur in patients on COCs, especially during the first three months of use. If bleeding persists or occurs after previously regular cycles, check for causes such as pregnancy or malignancy. If pathology and pregnancy are excluded, bleeding irregularities may resolve over time or with a change to a different contraceptive product.

In a clinical trial of norethindrone acetate and ethinyl estradiol tablets and ferrous fumarate tablets, the frequency and duration of unscheduled bleeding and/or spotting was assessed in 743 women (3,823 28-day cycles). A total of 10 subjects (1.3%) discontinued norethindrone acetate and ethinyl estradiol tablets and ferrous fumarate tablets, at least in part, due to bleeding or spotting. Based on data from the clinical trial, [24 to 38%] of women using norethindrone acetate and ethinyl estradiol tablets and ferrous fumarate tablets experienced unscheduled bleeding per cycle in the six months of the trial. The percent of women who experienced unscheduled bleeding tended to decrease over time.

Amenorrhea and Oligomenorrhea

Women who use norethindrone acetate and ethinyl estradiol tablets and ferrous fumarate tablets may experience absence of withdrawal bleeding, even if they are not pregnant. In the clinical trial with norethindrone acetate and ethinyl estradiol tablets and ferrous fumarate tablets, 31 to 41% of the women using norethindrone acetate and ethinyl estradiol tablets and ferrous fumarate tablets did not have a withdrawal menses in at least one of 6 cycles of use.

Some women may experience amenorrhea or oligomenorrhea after discontinuation of COCs, especially when such a condition was preexistent.

If scheduled (withdrawal) bleeding does not occur, consider the possibility of pregnancy. If the patient has not adhered to the prescribed dosing schedule (missed one or more active tablets or started taking them on a day later than she should have), consider the possibility of pregnancy at the time of the first missed period and take appropriate diagnostic measures. If the patient has adhered to the prescribed regimen and misses two consecutive periods, rule out pregnancy.

5.6 Carbohydrate and Lipid Metabolic Effects

Carefully monitor prediabetic and diabetic women who are taking Hailey 24 Fe. COCs may decrease glucose tolerance.

Consider alternative contraception for women with uncontrolled dyslipidemias. A small proportion of women will have adverse lipid changes while on COCs.

Women with hypertriglyceridemia, or a family history thereof, may be at an increased risk of pancreatitis when using COCs.

5.9 Coc Use Before Or During Early Pregnancy

Extensive epidemiologic studies have revealed no increased risk of birth defects in women who have used oral contraceptives prior to pregnancy. Studies also do not suggest a teratogenic effect, particularly in so far as cardiac anomalies and limb reduction defects are concerned, when oral contraceptives are taken inadvertently during early pregnancy. Discontinue Hailey 24 Fe use if pregnancy is confirmed.

Administration of COCs to induce withdrawal bleeding should not be used as a test for pregnancy [see Use in Specific Populations (8.1)].

2.4 Advice in Case of Gastrointestinal Disturbances

In case of severe vomiting or diarrhea, absorption may not be complete and additional contraceptive measures must be taken. If vomiting or diarrhea occurs within 3 to 4 hours after taking a white to off-white tablet, handle this as a missed tablet [see Dosage and Administration (2.3)].

5.1 Thrombotic Disorders and Other Vascular Problems
  • Stop Hailey 24 Fe if an arterial thrombotic event or venous thromboembolic (VTE) event occurs.
  • Stop Hailey 24 Fe if there is unexplained loss of vision, proptosis, diplopia, papilledema, or retinal vascular lesions. Evaluate for retinal vein thrombosis immediately [see Adverse Reactions (6.2)].
  • If feasible, stop Hailey 24 Fe at least 4 weeks before and through 2 weeks after major surgery or other surgeries known to have an elevated risk of VTE as well as during the following prolonged immobilization.
  • Start Hailey 24 Fe no earlier than 4 weeks after delivery, in women who are not breastfeeding. The risk of postpartum VTE decreases after the third postpartum week, whereas the risk of ovulation increases after the third postpartum week.
  • The use of COCs increases the risk of VTE. However, pregnancy increases the risk of VTE as much or more than the use of COCs. The risk of VTE in women using COCs is 3 to 9 cases per 10,000 woman-years. The risk of VTE is highest during the first year of use of a COCs and when restarting oral contraception after a break of 4 weeks or longer. The risk of thromboembolic disease due to COCs gradually disappears after COC use is discontinued.
  • Use of COCs also increases the risk of arterial thromboses such as strokes and myocardial infarctions, especially in women with other risk factors for these events. COCs have been shown to increase both the relative and attributable risks of cerebrovascular events (thrombotic and hemorrhagic strokes). This risk increases with age, particularly in women over 35 years of age who smoke.
  • Use COCs with caution in women with cardiovascular disease risk factors.
13.1 Carcinogenesis, Mutagenesis, Impairment of Fertility

[See Warnings and Precautions (5.2, 5.11)]

7.1 Effects of Other Drugs On Combined Oral Contraceptives

Substances decreasing the plasma concentrations of COCs and potentially diminishing the efficacy of COCs:

Drugs or herbal products that induce certain enzymes, including cytochrome P450 3A4 (CYP3A4), may decrease the plasma concentrations of COCs and potentially diminish the effectiveness of COCs or increase breakthrough bleeding. Some drugs or herbal products that may decrease the effectiveness of oral contraceptives including phenytoin, barbiturates, carbamazepine, bosentan, felbamate, griseofulvin, oxcarbazepine, rifampicin, topiramate, rifabutin, rufinamide, aprepitant, and products containing St. John’s wort. Interactions between COCs and other drugs may lead to breakthrough bleeding and/or contraceptive failure. Counsel women to use an alternative method of contraception or a back-up method when enzyme inducers are used with COCs, and to continue back-up contraception for 28 days after discontinuing the enzyme inducer to ensure contraceptive reliability.

Substances increasing the plasma concentrations of COCs:

Co-administration of atorvastatin or rosuvastatin and certain COCs containing ethinyl estradiol (EE) increase AUC values for EE by approximately 20 to 25%. Ascorbic acid and acetaminophen may increase plasma EE concentrations, possibly by inhibition of conjugation. CYP3A4 inhibitors such as itraconazole, voriconazole, fluconazole, grapefruit juice, or ketoconazole may increase plasma hormone concentrations.

Human immunodeficiency virus (HIV)/Hepatitis C virus (HCV) protease inhibitors and non-nucleoside reverse transcriptase inhibitors:

Significant changes (increase or decrease) in the plasma concentrations of estrogen and/or progestin have been noted in some cases of co-administration with HIV protease inhibitors (decrease [e.g., nelfinavir, ritonavir, darunavir/ritonavir, (fos)amprenavir/ritonavir, lopinavir/ritnoavir, and tipranavir/ritonavir] or increase [e.g., indinavir and atazanavir/ritonavir])/HCV protease inhibitors or with non-nucleoside reverse transcriptase inhibitors (decrease [e.g., nevirapine] or increase [e.g., etravirine]).

7.2 Effects of Combined Oral Contraceptives On Other Drugs

COCs containing EE may inhibit the metabolism of other compounds (e.g., cyclosporine, prednisolone, theophylline, tizanidine, and voriconazole) and increase their plasma concentrations. COCs have been shown to decrease plasma concentrations of acetaminophen, clofibric acid, morphine, salicylic acid, and temazepam. Significant decrease in plasma concentration of lamotrigine has been shown, likely due to induction of lamotrigine glucuronidation. This may reduce seizure control; therefore, dosage adjustments of lamotrigine may be necessary.

Women on thyroid hormone replacement therapy may need increased doses of thyroid hormone because the serum concentration of thyroid-binding globulin increases with use of COCs [see Warnings and Precautions (5.12)].

Warning: Cigarette Smoking and Serious Cardiovascular Events

Cigarette smoking increases the risk of serious cardiovascular events from combination oral contraceptive (COC) use. This risk increases with age, particularly in women over 35 years of age, and with the number of cigarettes smoked. For this reason, COCs should not be used by women who are over 35 years of age and smoke [see Contraindications (4)].

5.3 Risk of Liver Enzyme Elevations With Concomitant Hepatitis C Treatment

During clinical trials with the Hepatitis C combination drug regimen that contains ombitasvir/paritaprevir/ritonavir, with or without dasabuvir, ALT elevations greater than 5 times the upper limit of normal (ULN), including some cases greater than 20 times the ULN, were significantly more frequent in women using ethinyl estradiol-containing medications, such as COCs. Discontinue Hailey 24 Fe prior to starting therapy with the combination drug regimen ombitasvir/paritaprevir/ritonavir, with or without dasabuvir [see Contraindications (4)]. Hailey 24 Fe can be restarted approximately 2 weeks following completion of treatment with the Hepatitis C combination drug regimen.

7.3 Concomitant Use With Hcv Combination Therapy – Liver Enzyme Elevation

Co-administration of Hailey 24 Fe with HCV drug combinations containing ombitasvir/paritaprevir/ritonavir, with or without dasabuvir is contraindicated due to potential for ALT elevations [see Warnings and Precautions (5.3)]. Co-administration of Hailey 24 Fe and glecaprevir/pibrentasvir is not recommended due to potential for ALT elevations.


Structured Label Content

5.7 Headache

If a woman taking Hailey 24 Fe develops new headaches that are recurrent, persistent, or severe, evaluate the cause and discontinue Hailey 24 Fe if indicated. Consider discontinuation of Hailey 24 Fe in the case of increased frequency or severity of migraine during COC use (which may be prodromal of a cerebrovascular event).

10 Overdosage (10 OVERDOSAGE)

There have been no reports of serious ill effects from overdose of oral contraceptives, including ingestion by children. Overdosage may cause withdrawal bleeding in females and nausea.

5.15 Chloasma

Chloasma may occasionally occur, especially in women with a history of chloasma gravidarum. Women with a tendency to chloasma should avoid exposure to the sun or ultraviolet radiation while taking Hailey 24 Fe.

8.1 Pregnancy

Risk Summary

There is no use for contraception in pregnancy; therefore, Hailey 24 Fe should be discontinued during pregnancy. Epidemiologic studies and meta-analyses have not found an increased risk of genital or nongenital birth defects (including cardiac anomalies and limb-reduction defects) following exposure to CHCs before conception or during early pregnancy.

In the U.S. general population, the estimated background risk of major birth defects and miscarriage in clinically recognized pregnancies is 2 to 4 percent and 15 to 20 percent, respectively.

Data

Human Data

Epidemiologic studies and meta-analyses have not found an increased risk of genital or nongenital birth defects (including cardiac anomalies and limb-reduction defects) following exposure to CHCs before conception or during early pregnancy.

8.2 Lactation

Risk Summary

Contraceptive hormones and/or metabolites are present in human milk. CHCs can reduce milk production in breastfeeding females. This reduction can occur at any time but is less likely to occur once breastfeeding is well-established. When possible, advise the nursing female to use other methods of contraception until she discontinues breastfeeding [see Dosage and Administration (2.2).] The developmental and health benefits of breastfeeding should be considered along with the mother’s clinical need for Hailey 24 Fe and any potential adverse effects on the breastfed child from Hailey 24 Fe or from the underlying maternal condition.

11 Description (11 DESCRIPTION)

Hailey® 24 Fe (norethindrone acetate and ethinyl estradiol tablets, USP and ferrous fumarate tablets, USP) is a combination oral contraceptive for oral administration consisting of active tablets containing norethindrone acetate, USP, a progestin, and ethinyl estradiol, USP, an estrogen, and placebo tablets containing ferrous fumarate, USP which serve no therapeutic purpose.

  • Each active white to off-white tablet contains 1 mg norethindrone acetate, USP and 20 mcg ethinyl estradiol, USP. Inactive ingredients include acacia, corn starch, lactose monohydrate, magnesium stearate, sucrose and talc.
  • Each placebo brown to dark brown tablet contains 75 mg ferrous fumarate, microcrystalline cellulose, magnesium stearate, povidone, sodium starch glycolate, corn starch and talc. The ferrous fumarate tablets do not serve any therapeutic purpose.

The chemical name of ethinyl estradiol, USP is [19-Norpregna-1,3,5(10)-trien-20-yne-3,17-diol, (17α)-]. The empirical formula of ethinyl estradiol, USP is C20H24O2 and the structural formula is:

The chemical name of norethindrone acetate, USP is [19-Norpregn-4-en-20-yn-3-one, 17-(acetyloxy)-, (17α)-]. The empirical formula of norethindrone acetate, USP is C22H28O3 and the structural formula is:

5.10 Depression

Carefully observe women with a history of depression and discontinue Hailey 24 Fe if depression recurs to a serious degree.

5.13 Monitoring

A woman who is taking COCs should have a yearly visit with her healthcare provider for a blood pressure check and for other indicated healthcare.

16.1 How Supplied

Hailey® 24 Fe (norethindrone acetate and ethinyl estradiol tablets, USP and ferrous fumarate tablets, USP) is available in cartons (NDC 68462-731-29) of three blisters (NDC 68462-731-84).

Each blister (28 tablets) contains in the following order:

  • 24 white to off-white, round, flat faced beveled edge, uncoated tablets debossed with ‘16’ on one side and ‘G’ on the other side and each containing 1 mg norethindrone acetate, USP and 20 mcg ethinyl estradiol, USP.
  • 4 brown to dark brown, round, flat faced beveled edge, uncoated tablets debossed with ‘17’ on one side and ‘G’ on the other side and each containing 75 mg ferrous fumarate, USP. The ferrous fumarate tablets do not serve any therapeutic purpose.
5.2 Liver Disease

Impaired Liver Function

Do not use Hailey 24 Fe in women with liver disease, such as acute viral hepatitis or severe (decompensated) cirrhosis of liver [see Contraindications (4)]. Acute or chronic disturbances of liver function may necessitate the discontinuation of COC use until markers of liver function return to normal and COC causation has been excluded. Discontinue Hailey 24 Fe if jaundice develops.

Liver Tumors

Hailey 24 Fe is contraindicated in women with benign and malignant liver tumors [see Contraindications (4)]. Hepatic adenomas are associated with COC use. An estimate of the attributable risk is 3.3 cases per 100,000 COC users. Rupture of hepatic adenomas may cause death through intra-abdominal hemorrhage.

Studies have shown an increased risk of developing hepatocellular carcinoma in long-term (>8 years) COC users. However, the risk of liver cancers in COC users is less than one case per million users.

8.4 Pediatric Use

Safety and efficacy of norethindrone acetate and ethinyl estradiol tablets and ferrous fumarate tablets have been established in women of reproductive age. Efficacy is expected to be the same in postpubertal adolescents under the age of 18 years as for users 18 years and older. Use of this product before menarche is not indicated.

8.5 Geriatric Use

Norethindrone acetate and ethinyl estradiol tablets and ferrous fumarate tablets have not been studied in postmenopausal women and is not indicated in this population.

2.3 Missed Tablets
  •  
    Table 2: Instructions for Missed Hailey 24 Fe Tablets
  • If one active tablet is missed in Weeks 1, 2 or 3

Take the tablet as soon as possible. Take the next pill at the regular time and continue taking one tablet a day until the pack is finished. Back-up contraception is not needed

  • If two consecutive active tablets are missed in Week 1 or Week 2

Take the two missed tablets as soon as possible and the next two active tablets the next day. Continue taking one tablet a day until the pack is finished. Additional non-hormonal contraception (such as condoms and spermicide) must be used as back-up if the patient has sex within 7 days after missing tablets.

  • If two consecutive active tablets are missed in Week 3 or Week 4 or three or more consecutive active tablets are missed at any time

Day 1 Start: Throw out the rest of the pack and start a new pack that same day.

Sunday Start: Continue taking one tablet a day until Sunday, then throw out the rest of the pack and start a new pack that same day.

Additional non-hormonal contraception (such as condoms and spermicide) must be used as back-up if the patient has sex within 7 days after missing 3 tablets.

14 Clinical Studies (14 CLINICAL STUDIES)

In an active-controlled clinical trial, 743 women 18 to 45 years of age were studied to assess the efficacy of norethindrone acetate and ethinyl estradiol tablets and ferrous fumarate tablets, for up to six 28-day cycles. The racial demographic of women randomized to norethindrone acetate and ethinyl estradiol tablets and ferrous fumarate tablets was: 69.5% Caucasian, 15.5% African-American, 10.4% Hispanic, 2.3% Asian and 2.3% Native American/Other. Women with body mass index (BMI) greater than 35 mg/m2 were excluded from the study. The weight range for those women treated was 90 to 260 pounds, with a mean weight of 147 pounds. Among the women in the study randomized to norethindrone acetate and ethinyl estradiol tablets and ferrous fumarate tablets, 38.9% had not used hormonal contraception immediately prior to enrolling in this study.

A total of 583 women completed 6 cycles of treatment. There were a total of 5 on-treatment pregnancies among women aged 18 to 45 years in 3,565 treatment cycles during which no back-up contraception was used. The Pearl Index for norethindrone acetate and ethinyl estradiol tablets and ferrous fumarate tablets was 1.82 (95% confidence interval 0.59 to 4.25).

4 Contraindications (4 CONTRAINDICATIONS)

Hailey 24 Fe is contraindicated in females who are known to have or develop the following conditions:

  • A high risk of arterial or venous thrombotic diseases. Examples include women who are known to:
  • Smoke, if over age 35 [see Boxed Warning and Warnings and Precautions (5.1)]
  • Have deep vein thrombosis or pulmonary embolism, now or in the past [see Warnings and Precautions (5.1)]
  • Have inherited or acquired hypercoagulopathies [see Warnings and Precautions (5.1)]
  • Have cerebrovascular disease [see Warnings and Precautions (5.1)]
  • Have coronary artery disease [see Warnings and Precautions (5.1)]
  • Have thrombogenic valvular or thrombogenic rhythm diseases of the heart (for example, subacute bacterial endocarditis with valvular disease, or atrial fibrillation) [see Warnings and Precautions (5.1)]
  • Have uncontrolled hypertension [see Warnings and Precautions (5.4)]
  • Have diabetes mellitus with vascular disease [see Warnings and Precautions (5.6)]
  • Have headaches with focal neurological symptoms or have migraine headaches with aura [see Warnings and Precautions (5.7)]
    • o
      Women over age 35 with any migraine headaches [see Warnings and Precautions (5.7)]
  • Liver tumors, benign or malignant, or liver disease [see Warnings and Precautions (5.2)]
  • Undiagnosed abnormal uterine bleeding [see Warnings and Precautions (5.8)]
  •  
    ● Current diagnosis of, or history of, breast cancer, which may be hormone sensitive[see Warnings and Precautions (5.11)]
  •  
    ● Use of Hepatitis C drug combinations containing ombitasvir/paritaprevir/ritonavir, with or without dasabuvir, due to the potential for ALT elevations [see Warnings and Precautions (5.3)]
6 Adverse Reactions (6 ADVERSE REACTIONS)

The following serious adverse reactions with the use of COCs are discussed elsewhere in the labeling:

  • Serious cardiovascular events and stroke [see Boxed Warning and Warnings and Precautions (5.1)]
  • Vascular events [see Warnings and Precautions (5.1)]
  • Liver disease [see Warnings and Precautions (5.2)]

Adverse reactions commonly reported by COC users are:

  • Irregular uterine bleeding
  • Nausea
  • Breast tenderness
  • Headache
7 Drug Interactions (7 DRUG INTERACTIONS)

Consult the labeling of concurrently used drugs to obtain further information about interactions with oral contraceptives or the potential for enzyme alterations.

8.8 Body Mass Index

The safety and efficacy of norethindrone acetate and ethinyl estradiol tablets and ferrous fumarate tablets in women with a body mass index (BMI) > 35 kg/m2 has not been evaluated [see Clinical Studies (14)].

Patient Information (PATIENT INFORMATION)

Hailey® 24 Fe (HAY-lee 24 Fe)

(norethindrone acetate and ethinyl estradiol tablets, USP and ferrous fumarate tablets, USP)

What is the most important information I should know about Hailey 24 Fe?

Do not use Hailey 24 Fe if you smoke cigarettes and are over 35 years old. Smoking increases your risk of serious cardiovascular side effects from hormonal birth control pills, including death from heart attack, blood clots or stroke. This risk increases with age and the number of cigarettes you smoke.

What is Hailey 24 Fe?

Hailey 24 Fe is a birth control pill (hormonal contraceptive) used by women to prevent pregnancy.

How does Hailey 24 Fe work for contraception?

Your chance of getting pregnant depends on how well you follow the directions for taking your birth control pills. The better you follow the directions, the less chance you have of getting pregnant.

Based on the results from the clinical study, about 1 to 4 out of 100 women may get pregnant during the first year they use Hailey 24 Fe.

The following chart shows the chance of getting pregnant for women who use different methods of birth control. Each box on the chart contains a list of birth control methods that are similar in effectiveness. The most effective methods are at the top of the chart. The box on the bottom of the chart shows the chance of getting pregnant for women who do not use birth control and are trying to get pregnant.

Who should not take Hailey 24 Fe?

Do not take Hailey 24 Fe if you:

  • smoke and are over 35 years of age
  • had blood clots in your arms, legs, lungs, or eyes
  • had a problem with your blood that makes it clot more than normal
  • have certain heart valve problems or irregular heart beat that increases your risk of having blood clots
  • had a stroke
  • had a heart attack
  • have high blood pressure that cannot be controlled by medicine
  • have diabetes with kidney, eye, nerve, or blood vessel damage
  • have certain kinds of severe migraine headaches with aura, numbness, weakness or changes in vision, or any migraine headaches if you are over 35 years of age
  • have liver problems, including liver tumors
  • have any unexplained vaginal bleeding
  • had breast cancer
  • take any Hepatitis C drug combination containing ombitasvir/paritaprevir/ritonavir, with or without dasabuvir. This may increase levels of the liver enzyme “alanine aminotransferase” (ALT) in the blood.

If any of these conditions happen while you are taking Hailey 24 Fe, stop taking Hailey 24 Fe right away and talk to your healthcare provider. Use non-hormonal contraception (such as condoms and spermicide) when you stop taking Hailey 24 Fe.

What should I tell my healthcare provider before taking Hailey 24 Fe?

Tell your healthcare provider if you:

  • are pregnant or think you may be pregnant
  • are depressed now or have been depressed in the past
  • had yellowing of your skin or eyes (jaundice) caused by pregnancy (cholestasis of pregnancy)
  • are breastfeeding or plan to breastfeed. Hailey 24 Fe may decrease the amount of breast milk you make. A small amount of the hormones in Hailey 24 Fe may pass into your breast milk. Talk to your healthcare provider about the best birth control method for you while breastfeeding.

Tell your healthcare provider about all the medicines you take, including prescription and over-the-counter medicines, vitamins and herbal supplements.

Hailey 24 Fe may affect the way other medicines work, and other medicines may affect how well Hailey 24 Fe works.

Know the medicines you take. Keep a list of them to show your healthcare provider and pharmacist when you get a new medicine.

How should I take Hailey 24 Fe?

Read the Instructions for Use at the end of this Patient Information.

What are the possible serious side effects of Hailey 24 Fe?

  • Like pregnancy, Hailey 24 Fe may cause serious side effects, including blood clots in your lungs, heart attack, or a stroke that may lead to death. Some other examples of serious blood clots include blood clots in the legs or eyes.

Serious blood clots can happen especially if you smoke, are obese, or are older than 35 years of age. Serious blood clots are more likely to happen when you:

  • first start taking birth control pills
  • restart the same or different birth control pills after not using them for a month or more

Call your healthcare provider or go to a hospital emergency room right away if you have:

  • leg pain that will not go away
  • a sudden, severe headache unlike your usual headaches
  • sudden severe shortness of breath
  • weakness or numbness in your arm or leg
  • sudden change in vision or blindness
  • trouble speaking
  • chest pain

Other serious side effects include:

  • liver problems, including:
    • o
      rare liver tumors
    • o
      jaundice (cholestasis), especially if you previously had cholestasis of pregnancy. Call your healthcare provider if you have yellowing of your skin or eyes.
  • high blood pressure. You should see your healthcare provider for a yearly check of your blood pressure.
  • gallbladder problems
  • changes in the sugar and fat (cholesterol and triglycerides) levels in your blood
  • new or worsening headaches including migraine headaches
  • depression
  • possible cancer in your breast and cervix
  • swelling of your skin especially around your mouth, eyes, and in your throat (angioedema). Call your healthcare provider if you have a swollen face, lips, mouth tongue or throat, which may lead to difficulty swallowing or breathing. Your chance of having angioedema is higher is you have a history of angioedema.
  • dark patches of skin around your forehead, nose, cheeks and around your mouth, especially during pregnancy (chloasma). Women who tend to get chloasma should avoid spending a long time in sunlight, tanning booths, and under sun lamps while taking Hailey 24 Fe. Use sunscreen if you have to be in the sunlight.

What are the most common side effects of Hailey 24 Fe?

  • headache
  • vaginal infections
  • nausea
  • menstrual cramps
  • breast tenderness
  • mood changes
  • acne
  • weight gain

These are not all the possible side effects of Hailey 24 Fe. For more information, ask your healthcare provider or pharmacist.

You may report side effects to the FDA at 1-800-FDA-1088.

What else should I know about taking Hailey 24 Fe?

  • If you are scheduled for any lab tests, tell your healthcare provider you are taking Hailey 24 Fe. Certain blood tests may be affected by Hailey 24 Fe.
  • Hailey 24 Fe does not protect against HIV infection (AIDS) and other sexually transmitted infections.

How should I store Hailey 24 Fe?

  • Store Hailey 24 Fe at room temperature between 68°F to 77°F (20°C to 25°C).
  • Store away from light.
  • Keep Hailey 24 Fe and all medicines out of the reach of children.

General information about the safe and effective use of Hailey 24 Fe.

Medicines are sometimes prescribed for purposes other than those listed in a Patient Information leaflet. Do not use Hailey 24 Fe for a condition for which it was not prescribed. Do not give Hailey 24 Fe to other people.

This Patient Information summarizes the most important information about Hailey 24 Fe. You can ask your pharmacist or healthcare provider for information about Hailey 24 Fe that is written for health professionals.

For more information, call Glenmark Pharmaceuticals Inc., USA at 1 (888) 721-7115.

Do birth control pills cause cancer?

It is not known if hormonal birth control pills cause breast cancer. Some studies, but not all, suggest that there could be a slight increase in the risk of breast cancer among current users with longer duration of use.

If you have breast cancer now, or have had it in the past, do not use hormonal birth control because some breast cancers are sensitive to hormones.

Women who use birth control pills may have a slightly higher chance of getting cervical cancer. However, this may be due to other reasons such as having more sexual partners.

What if I want to become pregnant?

You may stop taking the pill whenever you wish. Consider a visit with your healthcare provider for a pre-pregnancy checkup before you stop taking the pill.

What should I know about my period when taking Hailey 24 Fe?

Your periods may be lighter and shorter than usual. Some women may miss a period. Irregular vaginal bleeding or spotting may happen while you are taking Hailey 24 Fe, especially during the first few months of use. This usually is not a serious problem. It is important to continue taking your pills on a regular schedule to prevent a pregnancy.

What are the ingredients in Hailey 24 Fe?

Active ingredients:

White to off-white pills: norethindrone acetate and ethinyl estradiol

Inactive ingredients:

Brown to dark brown pills: ferrous fumarate

8.7 Renal Impairment

The pharmacokinetics of norethindrone acetate and ethinyl estradiol tablets and ferrous fumarate tablets have not been studied in women with renal impairment.

Instructions for Use (INSTRUCTIONS FOR USE)

Hailey® 24 Fe (HAY-lee 24 Fe)

(norethindrone acetate and ethinyl estradiol tablets and ferrous fumarate tablets)

Important Information about taking Hailey 24 Fe

  • Take 1 pill every day at the same time. Take the pills in the order directed on your pill dispenser.
  • Do not skip your pills, even if you do not have sex often. If you miss pills (including starting the pack late), you could get pregnant. The more pills you miss, the more likely you are to get pregnant.
  • If you have trouble remembering to take Hailey 24 Fe, talk to your healthcare provider.
  • When you first start taking Hailey 24 Fe, spotting or light bleeding in between your periods may occur. Contact your healthcare provider if this does not go away after a few months.
  • You may feel sick to your stomach (nauseous), especially during the first few months of taking Hailey 24 Fe. If you feel sick to your stomach, do not stop taking the pill. The problem will usually go away. If your nausea does not go away, call your healthcare provider.
  • Missing pills can also cause spotting or light bleeding, even when you take the missed pills later. On the days you take 2 pills to make up for missed pills (see, What should I do if I miss any Hailey 24 Fe pills? below), you could also feel a little sick to your stomach.
  • It is not uncommon to miss a period. However, if you miss a period and have not taken Hailey 24 Fe according to directions, or miss 2 periods in a row, or feel like you may be pregnant, call your healthcare provider. If you have a positive pregnancy test, you should stop taking Hailey 24 Fe.
  • If you have vomiting or diarrhea within 3 to 4 hours of taking a white to off-white active pill, take another white to off-white pill from your extra pill dispenser. If you do not have an extra pill dispenser, take the next white to off-white pill in your pill dispenser. Continue taking all your remaining pills in order. Start the first pill of your next pill dispenser the day after finishing your current pill dispenser. This will be 1 day earlier than originally scheduled. Continue on your new schedule.
  • If you have vomiting or diarrhea for more than 1 day, your birth control pills may not work as well. Use an additional birth control method, like condoms and a spermicide, until you check with your healthcare provider.
  • Stop taking Hailey 24 Fe at least 4 weeks before you have major surgery and do not restart after the surgery without asking your healthcare provider. Be sure to use other forms of contraception (like condoms and spermicide) during this time period.

Before you start taking Hailey 24 Fe:

  • Decide what time of day you want to take your pill. It is important to take it at the same time every day and in the order as directed on your pill dispenser.
  • Have backup contraception (condoms and spermicide) available and if possible, an extra full pack of pills as needed.

When should I start taking Hailey 24 Fe?

If you start taking Hailey 24 Fe and you have not used a hormonal birth control method before:

  • There are 2 ways to start taking your birth control pills. You can either start on a Sunday (Sunday Start) or on the first day (Day 1) of your natural menstrual period (Day 1 Start). Your healthcare provider should tell you when to start taking your birth control pill.
  • If you use the Sunday Start, use non-hormonal back-up contraception such as condoms and spermicide for the first 7 days that you take Hailey 24 Fe. You do not need back-up contraception if you use the Day 1 Start.

If you start taking Hailey 24 Fe and you are switching from another birth control pill:

  • Start your new Hailey 24 Fe pack on the same day that you would start the next pack of your previous birth control method.
  • Do not continue taking the pills from your previous birth control pack.

If you start taking Hailey 24 Fe and previously used a vaginal ring or transdermal patch:

  • Start using Hailey 24 Fe on the day you would have reapplied the next ring or patch.

If you start taking Hailey 24 Fe and you are switching from a progestin-only method such as an implant or injection:

  • Start taking Hailey 24 Fe on the day of removal of your implant or on the day when you would have had your next injection.

If you start taking Hailey 24 Fe and you are switching from an intrauterine device or system (IUD or IUS):

  • Start taking Hailey 24 Fe on the day of removal of your IUD or IUS.
  • You do not need back-up contraception if your IUD or IUS is removed on the first day (Day 1) of your period. If your IUD or IUS is removed on any other day, use non-hormonal back-up contraception such as condoms and spermicide for the first 7 days that you take Hailey 24 Fe.

Keep a calendar to track your period:

If this is the first time you are taking birth control pills, read, “When should I start taking Hailey 24 Fe?” above. Follow these instructions for either a Sunday Start or a Day 1 Start.

Sunday Start:

You will use a Sunday Start if your healthcare provider told you to take your first pill on a Sunday.

  • Take pill 1 on the Sunday after your period starts.
  • If your period starts on a Sunday, take pill “1” that day and refer to Day 1 Start instructions below.
  • Take 1 pill every day in the order on the pill dispenser at the same time each day for 28 days.
  • After taking the last pill on Day 28 from the pill dispenser, start taking the first pill from a new pack, on the same day of the week as the first pack (Sunday). Take the first pill in the new pack whether or not you are having your period.
  • Use non-hormonal back-up contraception such as condoms and spermicide for the first 7 days of the first cycle that you take Hailey 24 Fe.

Day 1 Start:

You will use a Day 1 Start if your doctor told you to take your first pill (Day 1) on the first day of your period.

  • Take 1 pill every day in the order of the pill dispenser dial pack, at the same time each day, for 28 days.
  • After taking the last pill on Day 28 from the pill dispenser, start taking the first pill from a new pack, on the same day of the week as the first pack. Take the first pill in the new pack whether or not you are having your period.

Instructions for using your pill pack:

The Hailey 24 Fe pill pack has 24 "active" white to off-white pills (with hormones) to be taken for 24 days, followed by 4 "reminder" brown to dark brown pills (without hormones) to be taken for the next 4 days.

Look for:

  • Where on the pack to start taking pills
  • In what order to take the pills. Follow the arrows shown in Figure A.
  • The week numbers as shown in Figure A.

What if should I do if I miss any Hailey 24 Fe white to off-white pills?

If you miss 1 white to off-white pill in Weeks 1, 2, or 3, follow these steps:

  • Take it as soon as you remember. Take the next pill at your regular time. This means you may take 2 pills in 1 day.
  • Then continue taking 1 pill every day until you finish the pack.
  • You do not need to use a back-up birth control method if you have sex.

If you miss 2 white to off-white pills in a row in Week 1 or Week 2 of your pack, follow these steps:

  • Take the 2 missed pills as soon as possible and the next 2 pills the next day.
  • Then continue to take 1 pill every day until you finish the pack.
  • Use a non-hormonal birth control method (such as a condom and spermicide) as a back-up if you have sex during the first 7 days after missing your pills.

If you miss 2 white to off-white pills in a row in Week 3 or Week 4, or you miss 3 or more white to off-white pills in a row at any time, follow these steps:

  • If you are a Day 1 Starter:
    • o
      Throw out the rest of the pill pack and start a new pack that same day.
  • If you are a Sunday Starter:
    • o
      Keep taking 1 pill every day until Sunday. On Sunday, throw out the rest of the pack and start a new pack of pills that same day.
  • You may not have your period this month but this is expected. However, if you miss your period 2 months in a row, call your healthcare provider because you might be pregnant.
  • You could become pregnant if you have sex during the first 7 days after you restart your pills. You MUST use a non-hormonal birth control method (such as a condom and spermicide) as a back-up if you have sex during the first 7 days after you restart your pills.

If you miss any of the 4 brown to dark brown “reminder” pills in Week 4, throw away the pills you missed and keep taking 1 pill each day until the pack is empty. You do not need to use a back-up method of birth control.

If you have any questions or are unsure about the information in this leaflet, call your healthcare provider.

This Patient Information and Instructions for Use has been approved by the U.S. Food and Drug Administration.

Distributed by:

Glenmark Pharmaceuticals Inc., USA

Elmwood Park, NJ 07407

Questions? 1 (888) 721-7115

www.glenmarkpharma-us.com

May 2025

12.2 Pharmacodynamics

No specific pharmacodynamic studies were conducted with norethindrone acetate and ethinyl estradiol tablets and ferrous fumarate tablets.

12.3 Pharmacokinetics

Absorption

Norethindrone acetate appears to be completely and rapidly deacetylated to norethindrone after oral administration, because the disposition of norethindrone acetate is indistinguishable from that of orally administered norethindrone. Norethindrone acetate and ethinyl estradiol are rapidly absorbed from norethindrone acetate and ethinyl estradiol tablets and ferrous fumarate tablets, with maximum plasma concentrations of norethindrone and ethinyl estradiol occurring 1 to 4 hours postdose. Both are subject to first-pass metabolism after oral dosing, resulting in an absolute bioavailability of approximately 64% for norethindrone and 43% for ethinyl estradiol.

The plasma norethindrone and ethinyl estradiol pharmacokinetics following single- and multiple-dose administrations of norethindrone acetate and ethinyl estradiol tablets and ferrous fumarate tablets in 17 healthy female volunteers are provided in Figures 2 and 3, and Table 3.

Following multiple-dose administration of norethindrone acetate and ethinyl estradiol tablets and ferrous fumarate tablets, mean maximum concentrations of norethindrone and ethinyl estradiol were increased by 95% and 27%, respectively, as compared to single-dose administration. Mean norethindrone and ethinyl estradiol exposures (AUC values) were increased by 164% and 51% respectively, as compared to single-dose administration of norethindrone acetate and ethinyl estradiol tablets and ferrous fumarate tablets.

Steady-state with respect to norethindrone was reached by Day 17 and steady-state with respect to ethinyl estradiol was reached by Day 13.

Mean SHBG concentrations were increased by 150% from baseline (57.5 nmol/L) to 144 nmol/L at steady-state.

Figure 2. Mean Plasma Norethindrone Concentration-Time Profiles Following Single- and Multiple-Dose Oral Administration of Norethindrone Acetate and Ethinyl Estradiol Tablets and Ferrous Fumarate Tablets to Healthy Female Volunteers Under Fasting Condition (n = 17)

Figure 3. Mean Plasma Ethinyl Estradiol Concentration-Time Profiles Following Single- and Multiple-Dose Oral Administration of Norethindrone Acetate and Ethinyl Estradiol Tablets and Ferrous Fumarate Tablets to Healthy Female Volunteers Under Fasting Condition (n = 17)

Table 3. Summary of Norethindrone (NE) and Ethinyl Estradiol (EE) Pharmacokinetics Following Single- and Multiple-Dose Oral Administration of Norethindrone Acetate and Ethinyl Estradiol Tablets and Ferrous Fumarate Tablets to Healthy Female Volunteers Under Fasting Condition (n = 17)

Regimen

Analyte

Arithmetic Meana (% CV) by Pharmacokinetic Parameter

Cmax

(pg/mL)

tmax

(hr)

AUC(0 to 24)

(pg/mL•h)

Cmin

(pg/mL)

t½

(hr)

Cavg

(pg/mL)

Day 1

(Single Dose)

NE

8420

(31)

1.0

(0.7 to 4.0)

33390

(40)

--

--

--

EE

64.5

(27)

1.3

(0.7 to 4.0)

465.4

(26)

--

--

--

SHBG

--

--

--

57.5

(37)b

--

--

Day 24 (Multiple Dose)

NE

16400

(26)

1.3

(0.7 to 4.0)

88160

(30)

880

(51)

8.4

3670

(30)

EE

81.9

(24)

1.7

(1.0 to 2.0)

701.3

(28)

11.4

(43)

14.5

29.2

(28)

SHBG

--

--

--

144

(24)

--

--

Cmax = Maximum plasma concentration

tmax = Time of Cmax

Cmin = minimum plasma concentration at steady-state

AUC(0 to 24) = Area under plasma concentration versus time curve from 0 to 24 hours

t½ = Apparent first-order terminal elimination half-life

Cavg = Average plasma concentration = AUC(0 to 24)/24

% CV = Coefficient of Variation (%)

SHBG = Sex Hormone Binding Globulin (nmol/L)

aThe harmonic mean (0.693/mean apparent elimination rate constant) is reported for t½, and the median (range) is reported for tmax.

bThe SHBG concentration reported here is the pre-dose concentration.

Food Effect

A single-dose administration of norethindrone acetate and ethinyl estradiol tablets and ferrous fumarate tablet with food decreased the maximum concentration of norethindrone by 11% and increased the extent of absorption by 27% and decreased the maximum concentration of ethinyl estradiol by 30% but not the extent of absorption.

Distribution

Volume of distribution of norethindrone and ethinyl estradiol ranges from 2 to 4 L/kg. Plasma protein binding of both steroids is extensive (>95%); norethindrone binds to both albumin and SHBG, whereas ethinyl estradiol binds only to albumin. Although ethinyl estradiol does not bind to SHBG, it induces SHBG synthesis.

Metabolism

Norethindrone undergoes extensive biotransformation, primarily via reduction, followed by sulfate and glucuronide conjugation. The majority of metabolites in the circulation are sulfates, with glucuronides accounting for most of the urinary metabolites.

Ethinyl estradiol is also extensively metabolized, both by oxidation and by conjugation with sulfate and glucuronide. Sulfates are the major circulating conjugates of ethinyl estradiol and glucuronides predominate in urine. The primary oxidative metabolite is 2-hydroxy ethinyl estradiol, formed by the CYP3A4 isoform of cytochrome P450. Part of the first-pass metabolism of ethinyl estradiol is believed to occur in gastrointestinal mucosa. Ethinyl estradiol may undergo enterohepatic circulation.

Excretion

Norethindrone and ethinyl estradiol are excreted in both urine and feces, primarily as metabolites. Plasma clearance values for norethindrone and ethinyl estradiol are similar (approximately 0.4 L/hr/kg). Steady-state elimination half-lives of norethindrone and ethinyl estradiol following administration of norethindrone acetate and ethinyl estradiol tablets and ferrous fumarate tablets are approximately 8 hours and 14 hours, respectively.

8.6 Hepatic Impairment

The pharmacokinetics of norethindrone acetate and ethinyl estradiol tablets and ferrous fumarate tablets have not been studied in subjects with hepatic impairment. However, steroid hormones may be poorly metabolized in patients with hepatic impairment. Acute or chronic disturbances of liver function may necessitate the discontinuation of COC use until markers of liver function return to normal and COC causation has been excluded [see Contraindications (4) and Warnings and Precautions (5.2)].

1 Indications and Usage (1 INDICATIONS AND USAGE)

Hailey 24 Fe is indicated for use by women to prevent pregnancy [see Clinical Studies (14)].

The efficacy of Hailey 24 Fe in women with a body mass index (BMI) of > 35 kg/m2 has not been evaluated.

16.2 Storage Conditions
  • Store at 20ºC to 25ºC (68ºF to 77ºF); excursions permitted from 15ºC to 30ºC (59ºF to 86ºF) [see USP Controlled Room Temperature].
  • Protect from light.
5.4 High Blood Pressure

Hailey 24 Fe is contraindicated in women with uncontrolled hypertension or hypertension with vascular disease [see Contraindications (4)]. For women with well-controlled hypertension, monitor blood pressure and stop Hailey 24 Fe if blood pressure rises significantly.

An increase in blood pressure has been reported in women taking COCs, and this increase is more likely in older women with extended duration of use. The incidence of hypertension increases with increasing concentrations of progestin.

5.5 Gallbladder Disease

Studies suggest a small increased relative risk of developing gallbladder disease among COC users. Use of COCs may worsen existing gallbladder disease. A past history of COC-related cholestasis predicts an increased risk with subsequent COC use. Women with a history of pregnancy-related cholestasis may be at an increased risk for COC related cholestasis.

12.1 Mechanism of Action

CHCs prevent pregnancy primarily by suppressing ovulation.

5.11 Malignant Neoplasms

Breast Cancer

Hailey 24 Fe is contraindicated in women who currently have or have had breast cancer because breast cancer may be hormonally-sensitive [see Contraindications (4)].

Epidemiology studies have not found a consistent association between use of combined oral contraceptives (COCs) and breast cancer risk. Studies do not show an association between ever (current or past) use of COCs and risk of breast cancer. However, some studies report a small increase in the risk of breast cancer among current or recent users (<6 months since last use) and current users with longer duration of COCuse [see Postmarketing Experience (6.2)].

Cervical Cancer

Some studies suggest that COCs are associated with an increase in the risk of cervical cancer or intraepithelial neoplasia. However, there is controversy about the extent to which these findings may be due to differences in sexual behavior and other factors.

5 Warnings and Precautions (5 WARNINGS AND PRECAUTIONS)
  • Thrombotic Disorders and Other Vascular Problems: Stop Hailey 24 Fe if a thrombotic event occurs. Stop at least 4 weeks before through 2 weeks after major surgery. Start no earlier than 4 weeks after delivery, in women who are not breastfeeding. (5.1)
  • Liver disease: Discontinue Hailey 24 Fe if jaundice occurs. (5.2)
  • High blood pressure: If used in women with well-controlled hypertension, monitor blood pressure and stop Hailey 24 Fe if blood pressure rises significantly. (5.4)
  • Carbohydrate and lipid metabolic effects: Monitor prediabetic and diabetic women taking Hailey 24 Fe. Consider an alternative contraceptive method for women with uncontrolled dyslipidemia. (5.6)
  • Headache: Evaluate significant change in headaches and discontinue Hailey 24 Fe if indicated. (5.7)
  • Bleeding Irregularities and Amenorrhea: Evaluate irregular bleeding or amenorrhea. (5.8)
5.14 Hereditary Angioedema

In women with hereditary angioedema, exogenous estrogens may induce or exacerbate symptoms of angioedema.

2 Dosage and Administration (2 DOSAGE AND ADMINISTRATION)
  • Take one tablet by mouth at the same time every day for 28 days (2.1)
  • Take tablets in the order directed on the blister pack (2.1)
  • Hailey 24 Fe may be administered without regard to meals (12.3)
2.2 How to Take Hailey 24 Fe
  •  
    Table 1: Instructions for Administration of Hailey 24 Fe

Starting COCs in women not currently using hormonal contraception (Day 1 Start or Sunday Start)

Important:

Consider the possibility of ovulation and conception prior to initiation of this product.

Tablet Color:

  • Hailey 24 Fe active tablets are white to off-white (Day 1 to Day 24).
  • Hailey 24 Fe inactive tablets are brown to dark brown (Day 25 to Day 28).

Day 1 Start:

  • Take first white to off-white active tablet without regard to meals on the first day of menses.
  • Take subsequent active tablets once daily at the same time each day for a total of 24 days.
  • Take one brown to dark brown inactive tablet daily for 4 days and at the same time of day that active tablets were taken.
  • Begin each subsequent pack on the same day of the week as the first cycle pack (i.e., on the day after taking the last inactive tablet).

Sunday Start:

For each 28-day course, take in the following order:

  • Take the white to off-white active tablet without regard to meals on the first Sunday after the onset of menses. Due to the potential risk of becoming pregnant, use additional non-hormonal contraception (such as condoms and spermicide) for the first 7 days of the patient’s first cycle pack of Hailey 24 Fe.
  • Take subsequent active tablets once daily at the same time each day for a total of 24 days.
  • Take one brown to dark brown tablet (ferrous fumarate) daily for the following 4 days and at the same time of day that active tablets were taken. A scheduled period should occur during the 4 days that the brown to dark brown tablets are taken.
  • Begin each subsequent pack on the same day of the week as the first cycle pack (i.e., on the Sunday after taking the last inactive tablet) and additional non-hormonal contraceptive is not needed.

Switching to Hailey 24 Fe from another oral contraceptive

Start on the same day that a new pack of the previous oral contraceptive would have started.

Switching from another contraceptive method to Hailey 24 Fe

Start Hailey 24 Fe:

  • Transdermal patch
  • On the day when next application would have been scheduled.
  • Vaginal ring
  • On the day when next insertion would have been scheduled
  • Injection
  • On the day when next injection would have been scheduled
  • Intrauterine contraceptive
  • On the day of removal
  • If the IUD is not removed on first day of the patient’s menstrual cycle, additional non-hormonal contraceptive (such as condoms and spermicide) is needed for the first seven days of the first cycle pack.
  • Implant
  • On the day of removal

Starting Hailey 24 Fe after Abortion or Miscarriage

First-trimester

  • After a first-trimester abortion or miscarriage, Hailey 24 Fe may be started immediately. An additional method of contraception is not needed if Hailey 24 Fe is started immediately.
  • If Hailey 24 Fe is not started within 5 days after termination of the pregnancy, the patient must use additional non-hormonal contraception (such as condoms and spermicide) for the first 7 days of her first 28-day course of Hailey 24 Fe.

Second-trimester

  • Do not start until 4 weeks after a second-trimester abortion or miscarriage, due to the increased risk of thromboembolic disease. Start Hailey 24 Fe following the instructions in Table 1 for Sunday start. Use additional non-hormonal contraception (such as condoms and spermicide) for the first 7 days of the patient’s first 28-day course of Hailey 24 Fe [see Contraindications (4) and Warnings and Precautions (5.1)].

Starting Hailey 24 Fe after Childbirth

  • Do not start until 4 weeks after delivery, due to the increased risk of thromboembolic disease. Start contraceptive therapy with Hailey 24 Fe following the instructions in Table 1 for women not currently using hormonal contraception.
  • If the woman has not yet had a period postpartum, consider the possibility of ovulation and conception occurring prior to use of Hailey 24 Fe [see Contraindications (4), Warnings and Precautions (5.1), Use in Specific Populations (8.1 and 8.2)].
3 Dosage Forms and Strengths (3 DOSAGE FORMS AND STRENGTHS)

Hailey® 24 Fe (norethindrone acetate and ethinyl estradiol tablets, USP and ferrous fumarate tablets, USP) is available in blister packs.

Each blister pack (28 tablets) contains in the following order:

  • 24 white to off-white, round, flat faced beveled edge, uncoated tablets debossed with ‘16’ on one side and ‘G’ on the other side and each containing 1 mg norethindrone acetate, USP and 20 mcg ethinyl estradiol, USP.
  • 4 brown to dark brown, round, flat faced beveled edge, uncoated tablets debossed with ‘17’ on one side and ‘G’ on the other side and each containing 75 mg ferrous fumarate, USP. The ferrous fumarate tablets do not serve any therapeutic purpose.
6.2 Postmarketing Experience

Five studies that compared breast cancer risk between ever-users (current or past use) of COCs and never-users of COCs reported no association between ever use of COCs and breast cancer risk, with effect estimates ranging from 0.90 to 1.12 (Figure 1).

Three studies compared breast cancer risk between current or recent COC users (<6 months since last use) and never users of COCs (Figure 1). One of these studies reported no association between breast cancer risk and COC use. The other two studies found an increased relative risk of 1.19 to 1.33 with current or recent use. Both of these studies found an increased risk of breast cancer with current use of longer duration, with relative risks ranging from 1.03 with less than one year of COC use to approximately 1.4 with more than 8 to 10 years of COC use.

Figure 1. Relevant Studies of Risk of Breast Cancer with Combined Oral Contraceptives

RR = relative risk; OR = odds ratio; HR = hazard ratio. “ever COC” are females with current or past COC use; “never COC use” are females that never used COCs.

The following adverse reactions have been identified during post approval use of norethindrone acetate and ethinyl estradiol tablets and ferrous fumarate tablets. Because these reactions are reported voluntarily from a population of uncertain size, it is difficult to reliably estimate their frequency or evaluate a causal relationship to drug exposure.

Cardiovascular: chest pain, palpitations, tachycardia, angina pectoris, myocardial infarction.

Endocrine disorders: hypothyroidism, hyperthyroidism.

Eye disorders: blurred vision, visual impairment, transient blindness, corneal thinning, change in corneal curvature (steepening).

GI disorders: nausea, vomiting, abdominal pain, constipation, pancreatitis.

Hepatobiliary disorders: cholelithiasis, cholecystitis, hepatic adenoma, hemangioma of liver.

Immune system disorders: anaphylactic reactions, including urticaria, angioedema, and severe reactions with respiratory and circulatory symptoms.

Infections: vaginal infection.

Metabolism and nutrition disorders: change in weight or appetite (increase or decrease).

hypoglycemia, diabetes mellitus, anemia.

Musculoskeletal and connective tissue disorders: myalgia.

Skin and subcutaneous disorders: alopecia, rash (generalized and allergic), pruritus, skin discoloration, night sweats, swelling face or lips, hirsutism, skin burning sensation, erythema multiforme, erythema nodosum, hemorrhagic eruption.

Nervous system disorders: headache, dizziness, migraine, hyperesthesia, paraesthesia, hypoaesthesia, somnolence, loss of consciousness, sensory disturbance.

Psychiatric disorders: mood swings, depression, insomnia, anxiety, suicidal ideation, panic attack, changes in libido, bipolar disorder, dissociation, homicidal ideation.

Renal and urinary disorders: pollakiuria, dysuria, cystitis-like syndrome.

Reproductive system and breast disorders: breast changes (tenderness, pain, enlargement, and secretion), premenstrual syndrome, ovarian cyst, pelvic pain, ovarian cyst ruptured, pelvic fluid collection.

Vascular disorders: hot flush, thrombosis/embolism (coronary artery, pulmonary, cerebral, deep vein), migraine, transient ischemic attack, ischemic stroke.

2.1 How to Start Hailey 24 Fe

Hailey 24 Fe is dispensed in a blister [see How Supplied/Storage and Handling (16)]. Hailey 24 Fe may be started using either a Day 1 start or a Sunday start (see Table 1). For the first cycle of a Sunday Start regimen, an additional method of contraception must be used until after the first 7 consecutive days of administration.

6.1 Clinical Trial Experience

Because clinical trials are conducted under widely varying conditions, adverse reaction rates observed in the clinical trials of a drug cannot be directly compared to the rates in the clinical trials of another drug and may not reflect the rates observed in practice.

The safety of norethindrone acetate and ethinyl estradiol tablets and ferrous fumarate tablets were evaluated in 743 subjects who participated in an open-label, randomized, active-controlled, multicenter clinical trial of norethindrone acetate and ethinyl estradiol tablets and ferrous fumarate tablets for contraception. This trial examined healthy, non-pregnant volunteers aged 18 to 45 years, who were sexually active and had a body mass index of ≤ 35 kg/m2. Subjects were followed for up to six 28-day cycles providing a total of 3,823 treatment-cycles of exposure.

Common Adverse Reactions (≥ 2% of all subjects): The most common adverse reactions reported by at least 2% of the 743 women using norethindrone acetate and ethinyl estradiol tablets and ferrous fumarate tablets were the following, in order of decreasing incidence: headache (6.3%), vaginal candidiasis (6.1%), nausea (4.6%), menstrual cramps (4.4%), breast tenderness (3.4%), mood changes (including mood swings (2.2%) and depression (1.1%), bacterial vaginitis (3.1%), acne (2.7%), and weight gain (2.0%).

Adverse Reactions Leading to Study Discontinuation: Among the 743 women using norethindrone acetate and ethinyl estradiol tablets and ferrous fumarate tablets, 46 women (6.2%) withdrew because of an adverse event. Adverse events occurring in 3 or more subjects leading to discontinuation of treatment were, in decreasing order: abnormal bleeding (0.9%), nausea (0.8%), mood changes (0.8%), menstrual cramps (0.4%), increased blood pressure (0.4%), and irregular bleeding (0.4%).

8 Use in Specific Populations (8 USE IN SPECIFIC POPULATIONS)
  • Lactation: Advise use of another contraceptive method. Hailey 24 Fe can decrease milk production. (8.2)
5.12 Effect On Binding Globulins (5.12 Effect on Binding Globulins)

The estrogen component of COCs may raise the serum concentrations of thyroxine-binding globulin, sex hormone-binding globulin, and cortisol-binding globulin. The dose of replacement thyroid hormone or cortisol therapy may need to be increased.

17 Patient Counseling Information (17 PATIENT COUNSELING INFORMATION)

Counsel patients to read the FDA-approved Patient Labeling (Patient Information and Instructions for Use).

Counsel patients about the following information:

  • Cigarette smoking increases the risk of serious cardiovascular events from COC use, and that women who are over 35 years old and smoke should not use COCs [see Boxed Warning].
  • Increased risk of VTE compared to non-users of COCs is greatest after initially starting a COC or restarting (following a 4-week or greater pill-free interval) the same or a different COC [see Warnings and Precautions (5.1)].
  • Hailey 24 Fe does not protect against HIV infection (AIDS) and other sexually transmitted diseases.
  • Hailey 24 Fe is not to be used during pregnancy; if pregnancy occurs during use of Hailey 24 Fe instruct the patient to stop further use [see Warnings and Precautions (5.9)].
  • Take one tablet daily by mouth at the same time every day. Instruct patients what to do in the event pills are missed [see Dosage and Administration (2.2)].
  • Use a back-up or alternative method of contraception when enzyme inducers are used with Hailey 24 Fe [see Drug Interactions (7.1)].
  • COCs may reduce breast milk production; this is less likely to occur if breastfeeding is well established [see Use in Specific Populations (8.2)].
  • Women who start COCs postpartum, and who has not yet had a period, must use an additional method of contraception until she has taken a white to off-white tablet for 7 consecutive days [see Dosage and Administration (2.2)].
  • Amenorrhea may occur. Consider pregnancy in the event of amenorrhea at the time of the first missed period. Rule out pregnancy in the event of amenorrhea in two or more consecutive cycles [see Warnings and Precautions (5.8)].

Distributed by:

Glenmark Pharmaceuticals Inc., USA

Elmwood Park, NJ 07407

Questions? 1 (888) 721-7115

www.glenmarkpharma-us.com

May 2025

Package/label Principal Display Panel (PACKAGE/LABEL PRINCIPAL DISPLAY PANEL)
7.4 Interactions With Laboratory Tests (7.4 Interactions with Laboratory Tests)

The use of contraceptive steroids may influence the results of certain laboratory tests, such as coagulation factors, lipids, glucose tolerance, and binding proteins.

5.8 Bleeding Irregularities and Amenorrhea

Unscheduled Bleeding and Spotting

Unscheduled (breakthrough or intracyclic) bleeding and spotting sometimes occur in patients on COCs, especially during the first three months of use. If bleeding persists or occurs after previously regular cycles, check for causes such as pregnancy or malignancy. If pathology and pregnancy are excluded, bleeding irregularities may resolve over time or with a change to a different contraceptive product.

In a clinical trial of norethindrone acetate and ethinyl estradiol tablets and ferrous fumarate tablets, the frequency and duration of unscheduled bleeding and/or spotting was assessed in 743 women (3,823 28-day cycles). A total of 10 subjects (1.3%) discontinued norethindrone acetate and ethinyl estradiol tablets and ferrous fumarate tablets, at least in part, due to bleeding or spotting. Based on data from the clinical trial, [24 to 38%] of women using norethindrone acetate and ethinyl estradiol tablets and ferrous fumarate tablets experienced unscheduled bleeding per cycle in the six months of the trial. The percent of women who experienced unscheduled bleeding tended to decrease over time.

Amenorrhea and Oligomenorrhea

Women who use norethindrone acetate and ethinyl estradiol tablets and ferrous fumarate tablets may experience absence of withdrawal bleeding, even if they are not pregnant. In the clinical trial with norethindrone acetate and ethinyl estradiol tablets and ferrous fumarate tablets, 31 to 41% of the women using norethindrone acetate and ethinyl estradiol tablets and ferrous fumarate tablets did not have a withdrawal menses in at least one of 6 cycles of use.

Some women may experience amenorrhea or oligomenorrhea after discontinuation of COCs, especially when such a condition was preexistent.

If scheduled (withdrawal) bleeding does not occur, consider the possibility of pregnancy. If the patient has not adhered to the prescribed dosing schedule (missed one or more active tablets or started taking them on a day later than she should have), consider the possibility of pregnancy at the time of the first missed period and take appropriate diagnostic measures. If the patient has adhered to the prescribed regimen and misses two consecutive periods, rule out pregnancy.

5.6 Carbohydrate and Lipid Metabolic Effects

Carefully monitor prediabetic and diabetic women who are taking Hailey 24 Fe. COCs may decrease glucose tolerance.

Consider alternative contraception for women with uncontrolled dyslipidemias. A small proportion of women will have adverse lipid changes while on COCs.

Women with hypertriglyceridemia, or a family history thereof, may be at an increased risk of pancreatitis when using COCs.

5.9 Coc Use Before Or During Early Pregnancy (5.9 COC Use Before or During Early Pregnancy)

Extensive epidemiologic studies have revealed no increased risk of birth defects in women who have used oral contraceptives prior to pregnancy. Studies also do not suggest a teratogenic effect, particularly in so far as cardiac anomalies and limb reduction defects are concerned, when oral contraceptives are taken inadvertently during early pregnancy. Discontinue Hailey 24 Fe use if pregnancy is confirmed.

Administration of COCs to induce withdrawal bleeding should not be used as a test for pregnancy [see Use in Specific Populations (8.1)].

2.4 Advice in Case of Gastrointestinal Disturbances

In case of severe vomiting or diarrhea, absorption may not be complete and additional contraceptive measures must be taken. If vomiting or diarrhea occurs within 3 to 4 hours after taking a white to off-white tablet, handle this as a missed tablet [see Dosage and Administration (2.3)].

5.1 Thrombotic Disorders and Other Vascular Problems
  • Stop Hailey 24 Fe if an arterial thrombotic event or venous thromboembolic (VTE) event occurs.
  • Stop Hailey 24 Fe if there is unexplained loss of vision, proptosis, diplopia, papilledema, or retinal vascular lesions. Evaluate for retinal vein thrombosis immediately [see Adverse Reactions (6.2)].
  • If feasible, stop Hailey 24 Fe at least 4 weeks before and through 2 weeks after major surgery or other surgeries known to have an elevated risk of VTE as well as during the following prolonged immobilization.
  • Start Hailey 24 Fe no earlier than 4 weeks after delivery, in women who are not breastfeeding. The risk of postpartum VTE decreases after the third postpartum week, whereas the risk of ovulation increases after the third postpartum week.
  • The use of COCs increases the risk of VTE. However, pregnancy increases the risk of VTE as much or more than the use of COCs. The risk of VTE in women using COCs is 3 to 9 cases per 10,000 woman-years. The risk of VTE is highest during the first year of use of a COCs and when restarting oral contraception after a break of 4 weeks or longer. The risk of thromboembolic disease due to COCs gradually disappears after COC use is discontinued.
  • Use of COCs also increases the risk of arterial thromboses such as strokes and myocardial infarctions, especially in women with other risk factors for these events. COCs have been shown to increase both the relative and attributable risks of cerebrovascular events (thrombotic and hemorrhagic strokes). This risk increases with age, particularly in women over 35 years of age who smoke.
  • Use COCs with caution in women with cardiovascular disease risk factors.
13.1 Carcinogenesis, Mutagenesis, Impairment of Fertility

[See Warnings and Precautions (5.2, 5.11)]

7.1 Effects of Other Drugs On Combined Oral Contraceptives (7.1 Effects of Other Drugs on Combined Oral Contraceptives)

Substances decreasing the plasma concentrations of COCs and potentially diminishing the efficacy of COCs:

Drugs or herbal products that induce certain enzymes, including cytochrome P450 3A4 (CYP3A4), may decrease the plasma concentrations of COCs and potentially diminish the effectiveness of COCs or increase breakthrough bleeding. Some drugs or herbal products that may decrease the effectiveness of oral contraceptives including phenytoin, barbiturates, carbamazepine, bosentan, felbamate, griseofulvin, oxcarbazepine, rifampicin, topiramate, rifabutin, rufinamide, aprepitant, and products containing St. John’s wort. Interactions between COCs and other drugs may lead to breakthrough bleeding and/or contraceptive failure. Counsel women to use an alternative method of contraception or a back-up method when enzyme inducers are used with COCs, and to continue back-up contraception for 28 days after discontinuing the enzyme inducer to ensure contraceptive reliability.

Substances increasing the plasma concentrations of COCs:

Co-administration of atorvastatin or rosuvastatin and certain COCs containing ethinyl estradiol (EE) increase AUC values for EE by approximately 20 to 25%. Ascorbic acid and acetaminophen may increase plasma EE concentrations, possibly by inhibition of conjugation. CYP3A4 inhibitors such as itraconazole, voriconazole, fluconazole, grapefruit juice, or ketoconazole may increase plasma hormone concentrations.

Human immunodeficiency virus (HIV)/Hepatitis C virus (HCV) protease inhibitors and non-nucleoside reverse transcriptase inhibitors:

Significant changes (increase or decrease) in the plasma concentrations of estrogen and/or progestin have been noted in some cases of co-administration with HIV protease inhibitors (decrease [e.g., nelfinavir, ritonavir, darunavir/ritonavir, (fos)amprenavir/ritonavir, lopinavir/ritnoavir, and tipranavir/ritonavir] or increase [e.g., indinavir and atazanavir/ritonavir])/HCV protease inhibitors or with non-nucleoside reverse transcriptase inhibitors (decrease [e.g., nevirapine] or increase [e.g., etravirine]).

7.2 Effects of Combined Oral Contraceptives On Other Drugs (7.2 Effects of Combined Oral Contraceptives on Other Drugs)

COCs containing EE may inhibit the metabolism of other compounds (e.g., cyclosporine, prednisolone, theophylline, tizanidine, and voriconazole) and increase their plasma concentrations. COCs have been shown to decrease plasma concentrations of acetaminophen, clofibric acid, morphine, salicylic acid, and temazepam. Significant decrease in plasma concentration of lamotrigine has been shown, likely due to induction of lamotrigine glucuronidation. This may reduce seizure control; therefore, dosage adjustments of lamotrigine may be necessary.

Women on thyroid hormone replacement therapy may need increased doses of thyroid hormone because the serum concentration of thyroid-binding globulin increases with use of COCs [see Warnings and Precautions (5.12)].

Warning: Cigarette Smoking and Serious Cardiovascular Events (WARNING: CIGARETTE SMOKING AND SERIOUS CARDIOVASCULAR EVENTS)

Cigarette smoking increases the risk of serious cardiovascular events from combination oral contraceptive (COC) use. This risk increases with age, particularly in women over 35 years of age, and with the number of cigarettes smoked. For this reason, COCs should not be used by women who are over 35 years of age and smoke [see Contraindications (4)].

5.3 Risk of Liver Enzyme Elevations With Concomitant Hepatitis C Treatment (5.3 Risk of Liver Enzyme Elevations with Concomitant Hepatitis C Treatment)

During clinical trials with the Hepatitis C combination drug regimen that contains ombitasvir/paritaprevir/ritonavir, with or without dasabuvir, ALT elevations greater than 5 times the upper limit of normal (ULN), including some cases greater than 20 times the ULN, were significantly more frequent in women using ethinyl estradiol-containing medications, such as COCs. Discontinue Hailey 24 Fe prior to starting therapy with the combination drug regimen ombitasvir/paritaprevir/ritonavir, with or without dasabuvir [see Contraindications (4)]. Hailey 24 Fe can be restarted approximately 2 weeks following completion of treatment with the Hepatitis C combination drug regimen.

7.3 Concomitant Use With Hcv Combination Therapy – Liver Enzyme Elevation (7.3 Concomitant Use with HCV Combination Therapy – Liver Enzyme Elevation)

Co-administration of Hailey 24 Fe with HCV drug combinations containing ombitasvir/paritaprevir/ritonavir, with or without dasabuvir is contraindicated due to potential for ALT elevations [see Warnings and Precautions (5.3)]. Co-administration of Hailey 24 Fe and glecaprevir/pibrentasvir is not recommended due to potential for ALT elevations.


Advanced Ingredient Data


Raw Label Data

All Sections (JSON)