These Highlights Do Not Include All The Information Needed To Use Levetiracetam Oral Solution Safely And Effectively. See Full Prescribing Information For Levetiracetam Oral Solution.

These Highlights Do Not Include All The Information Needed To Use Levetiracetam Oral Solution Safely And Effectively. See Full Prescribing Information For Levetiracetam Oral Solution.
SPL v3
SPL
SPL Set ID a91defd2-486b-4995-ba4c-640525ab575d
Route
ORAL
Published
Effective Date 2024-01-25
Document Type 34391-3 HUMAN PRESCRIPTION DRUG LABEL

Drug Facts

Composition & Product

Active Ingredients
Levetiracetam (100 mg)
Inactive Ingredients
Acesulfame Potassium Citric Acid Monohydrate Glycerin Maltitol Methylparaben Propylparaben Water Sodium Citrate, Unspecified Form

Identifiers & Packaging

Marketing Status
ANDA Active Since 2015-06-04

Description

Indications and Usage ( 1.1 ) 10/2019 Dosage and Administration ( 2.2 , 2.6 ) 10/2019

Indications and Usage

Levetiracetam Oral Solution USP is indicated for the treatment of partial-onset seizures in patients 1 month of age and older ( 1.1 ) Levetiracetam Oral Solution USP is indicated for adjunctive therapy for the treatment of: • Myoclonic seizures in patients 12 years of age and older with juvenile myoclonic epilepsy ( 1.2 ) • Primary generalized tonic-clonic seizures in patients 6 years of age and older with idiopathic generalized epilepsy ( 1.3 )

Dosage and Administration

• Use the oral solution for pediatric patients with body weight ≤ 20 kg ( 2.1 ) • For pediatric patients, use weight-based dosing for the oral solution with a calibrated measuring device (not a household teaspoon or tablespoon) ( 2.1 ) Partial-Onset Seizures (monotherapy or adjunctive therapy) • 1 Month to ˂ 6 Months: 7 mg/kg twice daily; increase by 7 mg/kg twice daily every 2 weeks to recommended dose of 21 mg/kg twice daily ( 2.2 ) • 6 Months to ˂ 4 Years: 10 mg/kg twice daily; increase by 10 mg/kg twice daily every 2 weeks to recommended dose of 25 mg/kg twice daily ( 2.2 ) • 4 Years to ˂ 16 Years: 10 mg/kg twice daily; increase by 10 mg/kg twice daily every 2 weeks to recommended dose of 30 mg/kg twice daily ( 2.2 ) • Adults 16 Years and Older: 500 mg twice daily; increase by 500 mg twice daily every 2 weeks to a recommended dose of 1500 mg twice daily ( 2.2 ) Myoclonic Seizures in Adults and Pediatric Patients 12 Years and Older • 500 mg twice daily; increase by 500 mg twice daily every 2 weeks to recommended dose of 1500 mg twice daily ( 2.3 ) Primary Generalized Tonic-Clonic Seizures • 6 Years to ˂ 16 Years: 10 mg/kg twice daily, increase in increments of 10 mg/kg twice daily every 2 weeks to recommended dose of 30 mg/kg twice daily ( 2.4 ) • Adults 16 Years and Older: 500 mg twice daily, increase by 500 mg twice daily every 2 weeks to recommended dose of 1500 mg twice daily ( 2.4 ) Adult Patients with Impaired Renal Function • Dose adjustment is recommended, based on the patient's estimated creatinine clearance ( 2.5 , 8.6 )

Warnings and Precautions

• Behavioral abnormalities including psychotic symptoms, suicidal ideation, irritability, and aggressive behavior have been observed; monitor patients for psychiatric signs and symptoms ( 5.1 ) • Suicidal Behavior and Ideation: Monitor patients for new or worsening depression, suicidal thoughts/behavior, and/or unusual changes in mood or behavior ( 5.2 ) • Monitor for somnolence and fatigue and advise patients not to drive or operate machinery until they have gained sufficient experience on levetiracetam ( 5.3 ) • Serious Dermatological Reactions: Discontinue levetiracetam at the first sign of rash unless clearly not drug related ( 5.5 ) • Coordination Difficulties: Monitor for ataxia, abnormal gait, and incoordination. Advise patients to not drive or operate machinery until they have gained experience on levetiracetam ( 5.6 ) • Withdrawal Seizures: Levetiracetam must be gradually withdrawn ( 5.7 )

Contraindications

Levetiracetam Oral Solution USP is contraindicated in patients with a hypersensitivity to levetiracetam. Reactions have included anaphylaxis and angioedema [ see Warnings and Precautions (5.4) ] .

Adverse Reactions

The following adverse reactions are discussed in more details in other sections of labeling: • Behavior Abnormalities and Psychotic Symptoms [ see Warnings and Precautions (5.1) ] • Suicidal Behavior and Ideation [ see Warnings and Precautions (5.2) ] • Somnolence and Fatigue [ see Warnings and Precautions (5.3) ] • Anaphylaxis and Angioedema [ see Warnings and Precautions (5.4) ] • Serious Dermatological Reactions [ see Warnings and Precautions (5.5) ] • Coordination Difficulties [ see Warnings and Precautions (5.6) ] • Hematologic Abnormalities [ see Warnings and Precautions (5.8) ] • Increase in Blood Pressure [ see Warnings and Precautions (5.9) ]

How Supplied

Levetiracetam Oral Solution USP 100 mg/mL is a clear, colorless, grape-flavored liquid. It is supplied in the following oral dosage forms: Overbagged with 5 x 5 mL unit dose cup in each bag, NDC 55154-4316-5 WARNING: This Unit Dose package is not child resistant and is Intended for Institutional Use Only. Keep this and all drugs out of the reach of children.


Medication Information

Warnings and Precautions

• Behavioral abnormalities including psychotic symptoms, suicidal ideation, irritability, and aggressive behavior have been observed; monitor patients for psychiatric signs and symptoms ( 5.1 ) • Suicidal Behavior and Ideation: Monitor patients for new or worsening depression, suicidal thoughts/behavior, and/or unusual changes in mood or behavior ( 5.2 ) • Monitor for somnolence and fatigue and advise patients not to drive or operate machinery until they have gained sufficient experience on levetiracetam ( 5.3 ) • Serious Dermatological Reactions: Discontinue levetiracetam at the first sign of rash unless clearly not drug related ( 5.5 ) • Coordination Difficulties: Monitor for ataxia, abnormal gait, and incoordination. Advise patients to not drive or operate machinery until they have gained experience on levetiracetam ( 5.6 ) • Withdrawal Seizures: Levetiracetam must be gradually withdrawn ( 5.7 )

Indications and Usage

Levetiracetam Oral Solution USP is indicated for the treatment of partial-onset seizures in patients 1 month of age and older ( 1.1 ) Levetiracetam Oral Solution USP is indicated for adjunctive therapy for the treatment of: • Myoclonic seizures in patients 12 years of age and older with juvenile myoclonic epilepsy ( 1.2 ) • Primary generalized tonic-clonic seizures in patients 6 years of age and older with idiopathic generalized epilepsy ( 1.3 )

Dosage and Administration

• Use the oral solution for pediatric patients with body weight ≤ 20 kg ( 2.1 ) • For pediatric patients, use weight-based dosing for the oral solution with a calibrated measuring device (not a household teaspoon or tablespoon) ( 2.1 ) Partial-Onset Seizures (monotherapy or adjunctive therapy) • 1 Month to ˂ 6 Months: 7 mg/kg twice daily; increase by 7 mg/kg twice daily every 2 weeks to recommended dose of 21 mg/kg twice daily ( 2.2 ) • 6 Months to ˂ 4 Years: 10 mg/kg twice daily; increase by 10 mg/kg twice daily every 2 weeks to recommended dose of 25 mg/kg twice daily ( 2.2 ) • 4 Years to ˂ 16 Years: 10 mg/kg twice daily; increase by 10 mg/kg twice daily every 2 weeks to recommended dose of 30 mg/kg twice daily ( 2.2 ) • Adults 16 Years and Older: 500 mg twice daily; increase by 500 mg twice daily every 2 weeks to a recommended dose of 1500 mg twice daily ( 2.2 ) Myoclonic Seizures in Adults and Pediatric Patients 12 Years and Older • 500 mg twice daily; increase by 500 mg twice daily every 2 weeks to recommended dose of 1500 mg twice daily ( 2.3 ) Primary Generalized Tonic-Clonic Seizures • 6 Years to ˂ 16 Years: 10 mg/kg twice daily, increase in increments of 10 mg/kg twice daily every 2 weeks to recommended dose of 30 mg/kg twice daily ( 2.4 ) • Adults 16 Years and Older: 500 mg twice daily, increase by 500 mg twice daily every 2 weeks to recommended dose of 1500 mg twice daily ( 2.4 ) Adult Patients with Impaired Renal Function • Dose adjustment is recommended, based on the patient's estimated creatinine clearance ( 2.5 , 8.6 )

Contraindications

Levetiracetam Oral Solution USP is contraindicated in patients with a hypersensitivity to levetiracetam. Reactions have included anaphylaxis and angioedema [ see Warnings and Precautions (5.4) ] .

Adverse Reactions

The following adverse reactions are discussed in more details in other sections of labeling: • Behavior Abnormalities and Psychotic Symptoms [ see Warnings and Precautions (5.1) ] • Suicidal Behavior and Ideation [ see Warnings and Precautions (5.2) ] • Somnolence and Fatigue [ see Warnings and Precautions (5.3) ] • Anaphylaxis and Angioedema [ see Warnings and Precautions (5.4) ] • Serious Dermatological Reactions [ see Warnings and Precautions (5.5) ] • Coordination Difficulties [ see Warnings and Precautions (5.6) ] • Hematologic Abnormalities [ see Warnings and Precautions (5.8) ] • Increase in Blood Pressure [ see Warnings and Precautions (5.9) ]

How Supplied

Levetiracetam Oral Solution USP 100 mg/mL is a clear, colorless, grape-flavored liquid. It is supplied in the following oral dosage forms: Overbagged with 5 x 5 mL unit dose cup in each bag, NDC 55154-4316-5 WARNING: This Unit Dose package is not child resistant and is Intended for Institutional Use Only. Keep this and all drugs out of the reach of children.

Description

Indications and Usage ( 1.1 ) 10/2019 Dosage and Administration ( 2.2 , 2.6 ) 10/2019

Section 42229-5

Adults 16 Years of Age and Older

Initiate treatment with a daily dose of 1000 mg/day, given as twice-daily dosing (500 mg twice daily). Additional dosing increments may be given (1000 mg/day additional every 2 weeks) to a maximum recommended daily dose of 3000 mg. There is no evidence that doses greater than 3000 mg/day confer additional benefit.

Section 42231-1
MEDICATION GUIDE

Levetiracetam Oral Solution USP

(LEE ve tye RA se tam)

Read this Medication Guide before you start taking Levetiracetam Oral Solution USP and each time you get a refill. There may be new information. This information does not take the place of talking to your healthcare provider about your medical condition or treatment.

What is the most important information I should know about Levetiracetam Oral Solution USP?

Like other antiepileptic drugs, Levetiracetam Oral Solution USP may cause suicidal thoughts or actions in a very small number of people, about 1 in 500 people taking it.

Call a healthcare provider right away if you have any of these symptoms, especially if they are new, worse, or worry you:

  • thoughts about suicide or dying
  • attempts to commit suicide
  • new or worse depression
  • new or worse anxiety
  • feeling agitated or restless
  • panic attacks
  • trouble sleeping (insomnia)
  • new or worse irritability
  • acting aggressive, being angry, or violent
  • acting on dangerous impulses
  • an extreme increase in activity and talking (mania)
  • other unusual changes in behavior or mood

Do not stop Levetiracetam Oral Solution USP without first talking to a healthcare provider.

  • Stopping Levetiracetam Oral Solution USP suddenly can cause serious problems. Stopping a seizure medicine suddenly can cause seizures that will not stop (status epilepticus).
  • Suicidal thoughts or actions can be caused by things other than medicines. If you have suicidal thoughts or actions, your healthcare provider may check for other causes.

How can I watch for early symptoms of suicidal thoughts and actions?

  • Pay attention to any changes, especially sudden changes, in mood, behaviors, thoughts, or feelings.
  • Keep all follow-up visits with your healthcare provider as scheduled.

Call your healthcare provider between visits as needed, especially if you are worried about symptoms.

What is Levetiracetam Oral Solution USP?

Levetiracetam Oral Solution USP is a prescription medicine taken by mouth that is used to treat partial-onset seizures in people 1 month of age and older.

Levetiracetam Oral Solution USP is a prescription medicine taken by mouth that is used with other medicines to treat:

  • myoclonic seizures in people 12 years of age and older with juvenile myoclonic epilepsy.
  • primary generalized tonic-clonic seizures in people 6 years of age and older with certain types of generalized epilepsy.

It is not known if Levetiracetam Oral Solution USP is safe or effective in children under:

  • 1 month of age to treat partial-onset seizures
  • 12 years of age to treat myoclonic seizures
  • 6 years of age to treat primary generalized tonic-clonic seizures

Before taking your medicine, make sure you have received the correct medicine. Compare the name above with the name on your bottle and the appearance of your medicine with the description of Levetiracetam Oral Solution USP provided below. Tell your pharmacist immediately if you think you have been given the wrong medicine.

Who should not take Levetiracetam Oral Solution USP?

Do not take Levetiracetam Oral Solution USP if you are allergic to levetiracetam.

What should I tell my healthcare provider before starting Levetiracetam Oral Solution USP?

Before taking Levetiracetam Oral Solution USP, tell your healthcare provider about all of your medical conditions, including if you:

  • have or have had depression, mood problems or suicidal thoughts or behavior.
  • have kidney problems.
  • are pregnant or planning to become pregnant. It is not known if Levetiracetam Oral Solution USP will harm your unborn baby. You and your healthcare provider will have to decide if you should take Levetiracetam Oral Solution USP while you are pregnant. If you become pregnant while taking Levetiracetam Oral Solution USP, talk to your healthcare provider about registering with the North American Antiepileptic Drug Pregnancy Registry. You can enroll in this registry by calling 1-888-233-2334 or go to http://www.aedpregnancyregistry.org. The purpose of this registry is to collect information about the safety of Levetiracetam Oral Solution USP and other antiepileptic medicine during pregnancy.
  • are breastfeeding or plan to breastfeed. Levetiracetam Oral Solution USP can pass into your breast milk. It is not known if the Levetiracetam Oral Solution USP that passes into your breast milk can harm your baby. Talk to your doctor about the best way to feed your baby while you receive Levetiracetam Oral Solution USP.

Tell your healthcare provider about all the medicines you take, including prescription and over-the counter medicines, vitamins, and herbal supplements. Do not start a new medicine without first talking with your healthcare provider.

Know the medicines you take. Keep a list of them to show your healthcare provider and pharmacist each time you get a new medicine.

How should I take Levetiracetam Oral Solution USP?

  • Take Levetiracetam Oral Solution USP exactly as your healthcare provider tells you to take it.
  • Your healthcare provider will tell you how much Levetiracetam Oral Solution USP to take and when to take it. Levetiracetam Oral Solution USP is usually taken 2 times each day.
  • Your healthcare provider may change your dose. Do not change your dose without talking to your healthcare provider.
  • Take Levetiracetam Oral Solution USP with or without food.
  • If your healthcare provider has prescribed Levetiracetam Oral Solution USP, be sure to ask your pharmacist for a medicine dropper or medicine cup to help you measure the correct amount of Levetiracetam Oral Solution USP. Do not use a household teaspoon. Ask your pharmacist for instructions on how to use the measuring device the right way.
  • If you take too much Levetiracetam Oral Solution USP, call your local Poison Control Center or go to the nearest emergency room right away.

What should I avoid while taking Levetiracetam Oral Solution USP?

Do not drive, operate machinery or do other dangerous activities until you know how Levetiracetam Oral Solution USP affects you. Levetiracetam Oral Solution USP may make you dizzy or sleepy.

What are the possible side effects of Levetiracetam Oral Solution USP?

Levetiracetam Oral Solution USP can cause serious side effects including:

See " What is the most important information I should know about Levetiracetam Oral Solution USP?"

Call your healthcare provider right away if you have any of these symptoms:

  • mood and behavior changes such as aggression, agitation, anger, anxiety, apathy, mood swings, depression, hostility, and irritability. A few people may get psychotic symptoms such as hallucinations (seeing or hearing things that are really not there), delusions (false or strange thoughts or beliefs) and unusual behavior.
  • extreme sleepiness, tiredness, and weakness
  • allergic reactions such as swelling of the face, lips, eyes, tongue, and throat, trouble swallowing or breathing, and hives.
  • a skin rash. Serious skin rashes can happen after you start taking Levetiracetam Oral Solution USP. There is no way to tell if a mild rash will become a serious reaction.
  • problems with muscle coordination (problems walking and moving)



The most common side effects seen in people who take Levetiracetam Oral Solution USP include:

  • sleepiness
  • infection
  • weakness
  • dizziness

The most common side effects seen in children who take Levetiracetam Oral Solution USP include, in addition to those listed above include:

  • tiredness
  • decreased appetite
  • irritability
  • acting aggressive
  • nasal congestion

Tell your healthcare provider if you have any side effect that bothers you or that does not go away.

These are not all the possible side effects of Levetiracetam Oral Solution USP. For more information, ask your healthcare provider or pharmacist.

Call your doctor for medical advice about side effects. You may report side effects to FDA at 1-800-FDA-1088.

How should I store Levetiracetam Oral Solution USP?

  • Store Levetiracetam Oral Solution USP at 20° to 25°C (68° to 77°F) [See USP Controlled Room Temperature] away from heat and light.
  • Keep Levetiracetam Oral Solution USP and all medicines out of the reach of children.

General information about the safe and effective use of Levetiracetam Oral Solution USP.

Medicines are sometimes prescribed for purposes other than those listed in a Medication Guide. Do not use Levetiracetam Oral Solution USP for a condition for which it was not prescribed. Do not give Levetiracetam Oral Solution USP to other people, even if they have the same symptoms that you have. It may harm them. You can ask your pharmacist or healthcare provider information about Levetiracetam Oral Solution USP that is written for health professionals.

What are the ingredients of Levetiracetam Oral Solution USP?

Levetiracetam oral solution active ingredient: levetiracetam

inactive ingredients: acesulfame potassium, artificial grape flavor, citric acid anhydrous, glycerin, maltitol solution, methylparaben, propylparaben, purified water, and sodium citrate dihydrate.

Levetiracetam Oral Solution USP does not contain lactose or gluten. Levetiracetam Oral Solution USP does contain carbohydrates. The liquid is dye-free.

For more information, call 1-800-845-8210.

Distributed by:

MAJOR® PHARMACEUTICALS

Indianapolis, IN 46268

Distributed By:

Cardinal Health

Dublin, OH 43017

L58543360824

This Medication Guide has been approved by the U.S. Food and Drug Administration.

Revised: 05/2022

Section 43683-2

Indications and Usage ( 1.1)

10/2019

Dosage and Administration ( 2.2, 2.6)

10/2019

16.2 Storage

Store at 20° to 25°C (68° to 77°F) [see USP Controlled Room Temperature]. Dispense in a tight, light-resistant container with a child-resistant closure.

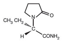
11 Description

Levetiracetam Oral Solution USP is an antiepileptic drug available as a clear, colorless, grape-flavored liquid (100 mg/mL) for oral administration.

The chemical name of levetiracetam, a single enantiomer, is (–)–(S)–α–ethyl–2–oxo–1-pyrrolidine acetamide, its molecular formula is C 8H 14N 2O 2 and its molecular weight is 170.21. Levetiracetam is chemically unrelated to existing antiepileptic drugs (AEDs). It has the following structural formula:

Levetiracetam is a white to off-white crystalline powder with a faint odor and a bitter taste. It is very soluble in water (104.0 g/100 mL). It is freely soluble in chloroform (65.3 g/100 mL) and in methanol (53.6 g/100 mL), soluble in ethanol (16.5 g/100 mL), sparingly soluble in acetonitrile (5.7 g/100 mL) and practically insoluble in n–hexane. (Solubility limits are expressed as g/100 mL solvent.)

Levetiracetam Oral Solution USP contains 100 mg of levetiracetam per mL. Inactive ingredients: acesulfame potassium, artificial grape flavor, citric acid, glycerin, maltitol solution, methylparaben, propylparaben, purified water, and sodium citrate.

10.3 Hemodialysis

Standard hemodialysis procedures result in significant clearance of levetiracetam (approximately 50% in 4 hours) and should be considered in cases of overdose. Although hemodialysis has not been performed in the few known cases of overdose, it may be indicated by the patient's clinical state or in patients with significant renal impairment.

16.1 How Supplied

Levetiracetam Oral Solution USP 100 mg/mL is a clear, colorless, grape-flavored liquid. It is supplied in the following oral dosage forms:

Overbagged with 5 x 5 mL unit dose cup in each bag, NDC 55154-4316-5

WARNING: This Unit Dose package is not child resistant and is Intended for Institutional Use Only. Keep this and all drugs out of the reach of children.

8.4 Pediatric Use

The safety and effectiveness of levetiracetam for the treatment of partial-onset seizures in patients 1 month to 16 years of age have been established [ see Clinical Pharmacology (12.3) and Clinical Studies (14.1) ]. The dosing recommendation in these pediatric patients varies according to age group and is weight-based [ see Dosage and Administration (2.2) ].

The safety and effectiveness of levetiracetam as adjunctive therapy for the treatment of myoclonic seizures in adolescents 12 years of age and older with juvenile myoclonic epilepsy have been established [ see Clinical Studies (14.2) ].

The safety and effectiveness of levetiracetam as adjunctive therapy for the treatment of primary generalized tonic-clonic seizures in pediatric patients 6 years of age and older with idiopathic generalized epilepsy have been established [ see Clinical Studies (14.3) ].

Safety and effectiveness for the treatment of partial-onset seizures in pediatric patients below the age of 1 month; adjunctive therapy for the treatment of myoclonic seizures in pediatric patients below the age of 12 years; and adjunctive therapy for the treatment of primary generalized tonic-clonic seizures in pediatric patients below the age of 6 years have not been established.

A 3-month, randomized, double-blind, placebo-controlled study was performed to assess the neurocognitive and behavioral effects of levetiracetam as adjunctive therapy in 98 (levetiracetam N=64, placebo N=34) pediatric patients, ages 4 to 16 years old, with partial seizures that were inadequately controlled. The target dose was 60 mg/kg/day . Neurocognitive effects were measured by the Leiter-R Attention and Memory (AM) Battery, which measures various aspects of a child's memory and attention. Although no substantive differences were observed between the placebo and drug treated groups in the median change from baseline in this battery, the study was not adequate to assess formal statistical non-inferiority of the drug and placebo. The Achenbach Child Behavior Checklist (CBCL/6-18), a standardized validated tool used to assess a child's competencies and behavioral/emotional problems, was also assessed in this study. An analysis of the CBCL/6-18 indicated on average a worsening in levetiracetam-treated patients in aggressive behavior, one of the eight syndrome scores [ see Warnings and Precautions (5.1) ].

8.5 Geriatric Use

There were 347 subjects in clinical studies of levetiracetam that were 65 and over. No overall differences in safety were observed between these subjects and younger subjects. There were insufficient numbers of elderly subjects in controlled trials of epilepsy to adequately assess the effectiveness of levetiracetam in these patients.

Levetiracetam is known to be substantially excreted by the kidney, and the risk of adverse reactions to this drug may be greater in patients with impaired renal function. Because elderly patients are more likely to have decreased renal function, care should be taken in dose selection, and it may be useful to monitor renal function [ see Clinical Pharmacology (12.3) ].

4 Contraindications

Levetiracetam Oral Solution USP is contraindicated in patients with a hypersensitivity to levetiracetam. Reactions have included anaphylaxis and angioedema [ see Warnings and Precautions (5.4) ] .

6 Adverse Reactions

The following adverse reactions are discussed in more details in other sections of labeling:

8.6 Renal Impairment

Clearance of levetiracetam is decreased in patients with renal impairment and is correlated with creatinine clearance [ see Clinical Pharmacology (12.3) ]. Dose adjustment is recommended for patients with impaired renal function and supplemental doses should be given to patients after dialysis [ see Dosage and Administration (2.5) ].

12.3 Pharmacokinetics

The pharmacokinetics of levetiracetam are similar when used as monotherapy or as adjunctive therapy for the treatment of partial-onset seizures.

1 Indications and Usage

Levetiracetam Oral Solution USP is indicated for the treatment of partial-onset seizures in patients 1 month of age and older ( 1.1)

Levetiracetam Oral Solution USP is indicated for adjunctive therapy for the treatment of:

  • Myoclonic seizures in patients 12 years of age and older with juvenile myoclonic epilepsy ( 1.2)
  • Primary generalized tonic-clonic seizures in patients 6 years of age and older with idiopathic generalized epilepsy ( 1.3)
5.7 Withdrawal Seizures

As with most antiepileptic drugs, levetiracetam should generally be withdrawn gradually because of the risk of increased seizure frequency and status epilepticus. If withdrawal is needed because of a serious adverse reaction, rapid discontinuation can be considered.

12.1 Mechanism of Action

The precise mechanism(s) by which levetiracetam exerts its antiepileptic effect is unknown.

A saturable and stereoselective neuronal binding site in rat brain tissue has been described for levetiracetam. Experimental data indicate that this binding site is the synaptic vesicle protein SV2A, thought to be involved in the regulation of vesicle exocytosis. Although the molecular significance of levetiracetam binding to SV2A is not understood, levetiracetam and related analogs showed a rank order of affinity for SV2A which correlated with the potency of their antiseizure activity in audiogenic seizure-prone mice. These findings suggest that the interaction of levetiracetam with the SV2A protein may contribute to the antiepileptic mechanism of action of the drug.

1.1 Partial Onset Seizures

Levetiracetam Oral Solution USP is indicated for the treatment of partial-onset seizures in patients 1 month of age and older.

5 Warnings and Precautions
  • Behavioral abnormalities including psychotic symptoms, suicidal ideation, irritability, and aggressive behavior have been observed; monitor patients for psychiatric signs and symptoms ( 5.1)
  • Suicidal Behavior and Ideation: Monitor patients for new or worsening depression, suicidal thoughts/behavior, and/or unusual changes in mood or behavior ( 5.2)
  • Monitor for somnolence and fatigue and advise patients not to drive or operate machinery until they have gained sufficient experience on levetiracetam ( 5.3)
  • Serious Dermatological Reactions: Discontinue levetiracetam at the first sign of rash unless clearly not drug related ( 5.5)
  • Coordination Difficulties: Monitor for ataxia, abnormal gait, and incoordination. Advise patients to not drive or operate machinery until they have gained experience on levetiracetam ( 5.6)
  • Withdrawal Seizures: Levetiracetam must be gradually withdrawn ( 5.7)
5.3 Somnolence and Fatigue

Levetiracetam may cause somnolence and fatigue. Patients should be monitored for these signs and symptoms and advised not to drive or operate machinery until they have gained sufficient experience on levetiracetam to gauge whether it adversely affects their ability to drive or operate machinery.

10.2 Management of Overdose

There is no specific antidote for overdose with levetiracetam. If indicated, elimination of unabsorbed drug should be attempted by emesis or gastric lavage; usual precautions should be observed to maintain airway. General supportive care of the patient is indicated including monitoring of vital signs and observation of the patient's clinical status. A Certified Poison Control Center should be contacted for up to date information on the management of overdose with levetiracetam.

2 Dosage and Administration
  • Use the oral solution for pediatric patients with body weight ≤ 20 kg ( 2.1)
  • For pediatric patients, use weight-based dosing for the oral solution with a calibrated measuring device (not a household teaspoon or tablespoon) ( 2.1)

Partial-Onset Seizures (monotherapy or adjunctive therapy)

  • 1 Month to ˂ 6 Months: 7 mg/kg twice daily; increase by 7 mg/kg twice daily every 2 weeks to recommended dose of 21 mg/kg twice daily ( 2.2)
  • 6 Months to ˂ 4 Years: 10 mg/kg twice daily; increase by 10 mg/kg twice daily every 2 weeks to recommended dose of 25 mg/kg twice daily ( 2.2)
  • 4 Years to ˂ 16 Years: 10 mg/kg twice daily; increase by 10 mg/kg twice daily every 2 weeks to recommended dose of 30 mg/kg twice daily ( 2.2)
  • Adults 16 Years and Older: 500 mg twice daily; increase by 500 mg twice daily every 2 weeks to a recommended dose of 1500 mg twice daily ( 2.2)

Myoclonic Seizures in Adults and Pediatric Patients 12 Years and Older

  • 500 mg twice daily; increase by 500 mg twice daily every 2 weeks to recommended dose of 1500 mg twice daily ( 2.3)

Primary Generalized Tonic-Clonic Seizures

  • 6 Years to ˂ 16 Years: 10 mg/kg twice daily, increase in increments of 10 mg/kg twice daily every 2 weeks to recommended dose of 30 mg/kg twice daily ( 2.4)
  • Adults 16 Years and Older: 500 mg twice daily, increase by 500 mg twice daily every 2 weeks to recommended dose of 1500 mg twice daily ( 2.4)

Adult Patients with Impaired Renal Function

  • Dose adjustment is recommended, based on the patient's estimated creatinine clearance ( 2.5, 8.6)
Package/label Display Panel

NDC 55154-4316-5

LEVETIRACETAM

ORAL SOLUTION, USP

500 mg / 5 mL

5 x 5 mL UNIT DOSE CUPS

3 Dosage Forms and Strengths
  • 100 mg/mL solution ( 3)
6.2 Postmarketing Experience

The following adverse reactions have been identified during post approval use of levetiracetam. Because these reactions are reported voluntarily from a population of uncertain size, it is not always possible to reliably estimate their frequency or establish a causal relationship to drug exposure.

The following adverse reactions have been reported in patients receiving marketed levetiracetam worldwide. The listing is alphabetized: abnormal liver function test, acute kidney injury, anaphylaxis, angioedema, agranulocytosis, choreoathetosis, drug reaction with eosinophilia and systemic symptoms (DRESS), dyskinesia, erythema multiforme, hepatic failure, hepatitis, hyponatremia, muscular weakness, pancreatitis, pancytopenia (with bone marrow suppression identified in some of these cases), panic attack, thrombocytopenia, weight loss, and worsening of seizures. Alopecia has been reported with levetiracetam use; recovery was observed in majority of cases where levetiracetam was discontinued.

5.6 Coordination Difficulties

Levetiracetam may cause coordination difficulties.

In controlled clinical studies in adult patients with partial-onset seizure studies, 3.4% of adult levetiracetam-treated patients experienced coordination difficulties, (reported as either ataxia, abnormal gait, or incoordination) compared to 1.6% of placebo-treated patients. A total of 0.4% of patients in controlled clinical studies discontinued levetiracetam treatment due to ataxia, compared to 0% of placebo-treated patients. In 0.7% of levetiracetam-treated patients and in 0.2% of placebo-treated patients, the dose was reduced due to coordination difficulties, while one of the levetiracetam-treated patients was hospitalized due to worsening of pre-existing ataxia. These events occurred most frequently within the first 4 weeks of treatment.

Patients should be monitored for these signs and symptoms and advised not to drive or operate machinery until they have gained sufficient experience on levetiracetam to gauge whether it could adversely affect their ability to drive or operate machinery.

5.8 Hematologic Abnormalities

Levetiracetam can cause hematologic abnormalities. Hematologic abnormalities occurred in clinical trials and included decreases in white blood cell (WBC), neutrophil, and red blood cell (RBC) counts; decreases in hemoglobin and hematocrit; and increases in eosinophil counts. Cases of agranulocytosis, pancytopenia, and thrombocytopenia have been reported in the postmarketing setting. A complete blood count is recommended in patients experiencing significant weakness, pyrexia, recurrent infections, or coagulation disorders.

8 Use in Specific Populations

Pregnancy: Plasma levels of levetiracetam may be decreased and therefore need to be monitored closely during pregnancy. Based on animal data, may cause fetal harm ( 5.10, 8.1)

5.4 Anaphylaxis and Angioedema

Levetiracetam can cause anaphylaxis or angioedema after the first dose or at any time during treatment. Signs and symptoms in cases reported in the postmarketing setting have included hypotension, hives, rash, respiratory distress, and swelling of the face, lip, mouth, eye, tongue, throat, and feet. In some reported cases, reactions were life-threatening and required emergency treatment. If a patient develops signs or symptoms of anaphylaxis or angioedema, levetiracetam should be discontinued and the patient should seek immediate medical attention. Levetiracetam should be discontinued permanently if a clear alternative etiology for the reaction cannot be established [ see Contraindications (4) ].

5.9 Increase in Blood Pressure

In a randomized, placebo-controlled study in patients 1 month to ˂ 4 years of age, a significantly higher risk of increased diastolic blood pressure was observed in the levetiracetam-treated patients (17%), compared to the placebo-treated patients (2%). There was no overall difference in mean diastolic blood pressure between the treatment groups. This disparity between the levetiracetam and placebo treatment groups was not observed in the studies of older children or in adults.

Monitor patients 1 month to ˂ 4 years of age for increases in diastolic blood pressure.

6.1 Clinical Trials Experience

Because clinical trials are conducted under widely varying conditions, adverse reaction rates observed in the clinical trials of a drug cannot be directly compared to rates in the clinical trials of another drug and may not reflect the rates observed in practice.

Adults 16 Years of Age and Older

Adults 16 Years of Age and Older

Initiate treatment with a dose of 1000 mg/day, given as twice-daily dosing (500 mg twice daily). Increase dosage by 1000 mg/day every 2 weeks to the recommended daily dose of 3000 mg. The effectiveness of doses lower than 3000 mg/day has not been adequately studied.

17 Patient Counseling Information

Advise the patient to read the FDA-approved patient labeling (Medication Guide).

5.2 Suicidal Behavior and Ideation

Antiepileptic drugs (AEDs), including levetiracetam, increase the risk of suicidal thoughts or behavior in patients taking these drugs for any indication. Patients treated with any AED for any indication should be monitored for the emergence or worsening of depression, suicidal thoughts or behavior, and/or any unusual changes in mood or behavior.

Pooled analyses of 199 placebo-controlled clinical trials (mono- and adjunctive therapy) of 11 different AEDs showed that patients randomized to one of the AEDs had approximately twice the risk (adjusted Relative Risk 1.8, 95% CI:1.2, 2.7) of suicidal thinking or behavior compared to patients randomized to placebo. In these trials, which had a median treatment duration of 12 weeks, the estimated incidence rate of suicidal behavior or ideation among 27,863 AED-treated patients was 0.43%, compared to 0.24% among 16,029 placebo-treated patients, representing an increase of approximately one case of suicidal thinking or behavior for every 530 patients treated. There were four suicides in drug-treated patients in the trials and none in placebo-treated patients, but the number is too small to allow any conclusion about drug effect on suicide.

The increased risk of suicidal thoughts or behavior with AEDs was observed as early as one week after starting drug treatment with AEDs and persisted for the duration of treatment assessed. Because most trials included in the analysis did not extend beyond 24 weeks, the risk of suicidal thoughts or behavior beyond 24 weeks could not be assessed.

The risk of suicidal thoughts or behavior was generally consistent among drugs in the data analyzed. The finding of increased risk with AEDs of varying mechanisms of action and across a range of indications suggests that the risk applies to all AEDs used for any indication. The risk did not vary substantially by age (5-100 years) in the clinical trials analyzed. Table 2 shows absolute and relative risk by indication for all evaluated AEDs.

Table 2: Risk by Indication for Antiepileptic Drugs in the Pooled Analysis
Indication Placebo Patients with Events Per 1000 Patients Drug Patients with Events Per 1000 Patients Relative Risk:

Incidence of Events in Drug Patients/Incidence in Placebo Patients
Risk Difference:

Additional Drug Patients with Events Per 1000 Patients

Epilepsy

1.0

3.4

3.5

2.4

Psychiatric

5.7

8.5

1.5

2.9

Other

1.0

1.8

1.9

0.9

Total

2.4

4.3

1.8

1.9

The relative risk for suicidal thoughts or behavior was higher in clinical trials for epilepsy than in clinical trials for psychiatric or other conditions, but the absolute risk differences were similar for the epilepsy and psychiatric indications.

Anyone considering prescribing levetiracetam or any other AED must balance the risk of suicidal thoughts or behaviors with the risk of untreated illness. Epilepsy and many other illnesses for which AEDs are prescribed are themselves associated with morbidity and mortality and an increased risk of suicidal thoughts and behavior. Should suicidal thoughts and behavior emerge during treatment, the prescriber needs to consider whether the emergence of these symptoms in any given patient may be related to the illness being treated.

2.6 Discontinuation of Levetiracetam

Avoid abrupt withdrawal from levetiracetam in order to reduce the risk of increased seizure frequency and status epilepticus [ see Warnings and Precautions (5.7) ] .

5.5 Serious Dermatological Reactions

Serious dermatological reactions, including Stevens-Johnson syndrome (SJS) and toxic epidermal necrolysis (TEN), have been reported in both pediatric and adult patients treated with levetiracetam. The median time of onset is reported to be 14 to 17 days, but cases have been reported at least four months after initiation of treatment. Recurrence of the serious skin reactions following rechallenge with levetiracetam has also been reported. Levetiracetam should be discontinued at the first sign of a rash, unless the rash is clearly not drug-related. If signs or symptoms suggest SJS/TEN, use of this drug should not be resumed and alternative therapy should be considered.

2.2 Dosing for Partial Onset Seizures

The recommended dosing for monotherapy and adjunctive therapy is the same; as outlined below.

5.10 Seizure Control During Pregnancy

Physiological changes may gradually decrease plasma levels of levetiracetam throughout pregnancy. This decrease is more pronounced during the third trimester. It is recommended that patients be monitored carefully during pregnancy. Close monitoring should continue through the postpartum period especially if the dose was changed during pregnancy.

2.1 Important Administration Instructions

Levetiracetam Oral Solution USP is given orally with or without food. The Levetiracetam Oral Solution USP dosing regimen depends on the indication, age group, dosage form (tablets or oral solution), and renal function.

Prescribe the oral solution for pediatric patients with body weight ≤ 20 kg. Prescribe the oral solution or tablets for pediatric patients with body weight above 20 kg.

When using the oral solution in pediatric patients, dosing is weight-based (mg per kg) using a calibrated measuring device (not a household teaspoon or tablespoon).

Pediatric Patients 6 to < 16 Years of Age

Pediatric Patients 6 to < 16 Years of Age

Initiate treatment with a daily dose of 20 mg/kg in 2 divided doses (10 mg/kg twice daily). Increase the daily dose every 2 weeks by increments of 20 mg/kg to the recommended daily dose of 60 mg/kg (30 mg/kg twice daily). The effectiveness of doses lower than 60 mg/kg/day has not been adequately studied. Patients with body weight ≤ 20 kg should be dosed with oral solution. Patients with body weight above 20 kg can be dosed with either tablets or oral solution [ see Dosage and Administration (2.1) ].

1.3 Primary Generalized Tonic Clonic Seizures

Levetiracetam Oral Solution USP is indicated as adjunctive therapy for the treatment of primary generalized tonic-clonic seizures in patients 6 years of age and older with idiopathic generalized epilepsy.

14.3 Primary Generalized Tonic Clonic Seizures

The effectiveness of levetiracetam as adjunctive therapy in patients 6 years of age and older with idiopathic generalized epilepsy experiencing primary generalized tonic-clonic (PGTC) seizures was established in one multicenter, randomized, double-blind, placebo-controlled study (Study 7), conducted at 50 sites in 8 countries. Eligible patients on a stable dose of 1 or 2 antiepileptic drugs (AEDs) experiencing at least 3 PGTC seizures during the 8-week combined baseline period (at least one PGTC seizure during the 4 weeks prior to the prospective baseline period and at least one PGTC seizure during the 4-week prospective baseline period) were randomized to either levetiracetam or placebo. The 8-week combined baseline period is referred to as "baseline" in the remainder of this section. Patients were titrated over 4 weeks to a target dose of 3000 mg/day for adults or a pediatric target dose of 60 mg/kg/day and treated at a stable dose of 3000 mg/day (or 60 mg/kg/day for children) over 20 weeks (evaluation period). Study drug was given in 2 equally divided doses per day. The primary measure of effectiveness was the percent reduction from baseline in weekly PGTC seizure frequency for levetiracetam and placebo treatment groups over the treatment period (titration + evaluation periods). The population included 164 patients (levetiracetam N=80, placebo N=84) with idiopathic generalized epilepsy (predominately juvenile myoclonic epilepsy, juvenile absence epilepsy, childhood absence epilepsy, or epilepsy with Grand Mal seizures on awakening) experiencing primary generalized tonic-clonic seizures. Each of these syndromes of idiopathic generalized epilepsy was well represented in this patient population.

There was a statistically significant decrease from baseline in PGTC frequency in the levetiracetam-treated patients compared to the placebo-treated patients.

Table 15: Median Percent Reduction from Baseline in PGTC Seizure Frequency per Week in Study 7
Placebo

(N=84)
Levetiracetam

(N=78)

Percent reduction in PGTC seizure frequency

44.6%

77.6%

statistically significant versus placebo

The percentage of patients (y-axis) who achieved ≥ 50% reduction in weekly seizure rates from baseline in PGTC seizure frequency over the entire randomized treatment period (titration + evaluation period) within the two treatment groups (x-axis) is presented in Figure 6.

Figure 6: Responder Rate (≥ 50% Reduction from Baseline) in PGTC Seizure Frequency per Week in Study 7

*statistically significant versus placebo

5.1 Behavioral Abnormalities and Psychotic Symptoms

Levetiracetam may cause behavioral abnormalities and psychotic symptoms. Patients treated with levetiracetam should be monitored for psychiatric signs and symptoms.

2.5 Dosage Adjustments in Adult Patients With Renal Impairment

Levetiracetam Oral Solution USP dosing must be individualized according to the patient's renal function status. Recommended dosage adjustments for adults are shown in Table 1. In order to calculate the dose recommended for patients with renal impairment, creatinine clearance adjusted for body surface area must be calculated. To do this an estimate of the patient's creatinine clearance (CLcr) in mL/min must first be calculated using the following formula:

CLcr=   

[140-age (years)] × weight (kg)

   (× 0.85 for female patients)

72 × serum creatinine (mg/dL)

Then CLcr is adjusted for body surface area (BSA) as follows:

CLcr (mL/min/1.73m 2)=   

CLcr (mL/min)

   × 1.73

BSA subject (m 2)

Table 1: Dosing Adjustment Regimen for Adult Patients with Renal Impairment
Group Creatinine Clearance

(mL/min/1.73m 2)
Dosage (mg) Frequency

Normal

> 80

500 to 1,500

Every 12 hours

Mild

50 – 80

500 to 1,000

Every 12 hours

Moderate

30 – 50

250 to 750

Every 12 hours

Severe

< 30

250 to 500

Every 12 hours

ESRD patients using dialysis

-----

500 to 1,000

Following dialysis, a 250 to 500 mg supplemental dose is recommended.

Every 24 hours

1.2 Myoclonic Seizures in Patients With Juvenile Myoclonic Epilepsy

Levetiracetam Oral Solution USP is indicated as adjunctive therapy for the treatment of myoclonic seizures in patients 12 years of age and older with juvenile myoclonic epilepsy.

14.2 Myoclonic Seizures in Patients With Juvenile Myoclonic Epilepsy

The effectiveness of levetiracetam as adjunctive therapy in patients 12 years of age and older with juvenile myoclonic epilepsy (JME) experiencing myoclonic seizures was established in one multicenter, randomized, double-blind, placebo-controlled study (Study 6), conducted at 37 sites in 14 countries. Eligible patients on a stable dose of 1 antiepileptic drug (AED) experiencing one or more myoclonic seizures per day for at least 8 days during the prospective 8-week baseline period were randomized to either levetiracetam or placebo (levetiracetam N=60, placebo N=60). Patients were titrated over 4 weeks to a target dose of 3000 mg/day and treated at a stable dose of 3000 mg/day over 12 weeks (evaluation period). Study drug was given in 2 divided doses.

The primary measure of effectiveness was the proportion of patients with at least 50% reduction in the number of days per week with one or more myoclonic seizures during the treatment period (titration + evaluation periods) as compared to baseline. Of the 120 patients enrolled, 113 had a diagnosis of confirmed or suspected JME. Table 14 displays the results for the 113 patients with JME in this study.

Table 14: Responder Rate (≥ 50% Reduction from Baseline) in Myoclonic Seizure Days per Week for Patients with JME in Study 6
Placebo

(N=59)
Levetiracetam

(N=54)

Percentage of responders

23.7%

60.4%

statistically significant versus placebo

10.1 Signs, Symptoms and Laboratory Findings of Acute Overdosage in Humans

The highest known dose of levetiracetam received in the clinical development program was 6000 mg/day. Other than drowsiness, there were no adverse reactions in the few known cases of overdose in clinical trials. Cases of somnolence, agitation, aggression, depressed level of consciousness, respiratory depression and coma were observed with levetiracetam overdoses in postmarketing use.

2.3 Dosing for Myoclonic Seizures in Patients 12 Years of Age and Older With Juvenile Myoclonic Epilepsy

Initiate treatment with a dose of 1000 mg/day, given as twice-daily dosing (500 mg twice daily). Increase the dosage by 1000 mg/day every 2 weeks to the recommended daily dose of 3000 mg. The effectiveness of doses lower than 3000 mg/day has not been studied.


Structured Label Content

Section 42229-5 (42229-5)

Adults 16 Years of Age and Older

Initiate treatment with a daily dose of 1000 mg/day, given as twice-daily dosing (500 mg twice daily). Additional dosing increments may be given (1000 mg/day additional every 2 weeks) to a maximum recommended daily dose of 3000 mg. There is no evidence that doses greater than 3000 mg/day confer additional benefit.

Section 42231-1 (42231-1)
MEDICATION GUIDE

Levetiracetam Oral Solution USP

(LEE ve tye RA se tam)

Read this Medication Guide before you start taking Levetiracetam Oral Solution USP and each time you get a refill. There may be new information. This information does not take the place of talking to your healthcare provider about your medical condition or treatment.

What is the most important information I should know about Levetiracetam Oral Solution USP?

Like other antiepileptic drugs, Levetiracetam Oral Solution USP may cause suicidal thoughts or actions in a very small number of people, about 1 in 500 people taking it.

Call a healthcare provider right away if you have any of these symptoms, especially if they are new, worse, or worry you:

  • thoughts about suicide or dying
  • attempts to commit suicide
  • new or worse depression
  • new or worse anxiety
  • feeling agitated or restless
  • panic attacks
  • trouble sleeping (insomnia)
  • new or worse irritability
  • acting aggressive, being angry, or violent
  • acting on dangerous impulses
  • an extreme increase in activity and talking (mania)
  • other unusual changes in behavior or mood

Do not stop Levetiracetam Oral Solution USP without first talking to a healthcare provider.

  • Stopping Levetiracetam Oral Solution USP suddenly can cause serious problems. Stopping a seizure medicine suddenly can cause seizures that will not stop (status epilepticus).
  • Suicidal thoughts or actions can be caused by things other than medicines. If you have suicidal thoughts or actions, your healthcare provider may check for other causes.

How can I watch for early symptoms of suicidal thoughts and actions?

  • Pay attention to any changes, especially sudden changes, in mood, behaviors, thoughts, or feelings.
  • Keep all follow-up visits with your healthcare provider as scheduled.

Call your healthcare provider between visits as needed, especially if you are worried about symptoms.

What is Levetiracetam Oral Solution USP?

Levetiracetam Oral Solution USP is a prescription medicine taken by mouth that is used to treat partial-onset seizures in people 1 month of age and older.

Levetiracetam Oral Solution USP is a prescription medicine taken by mouth that is used with other medicines to treat:

  • myoclonic seizures in people 12 years of age and older with juvenile myoclonic epilepsy.
  • primary generalized tonic-clonic seizures in people 6 years of age and older with certain types of generalized epilepsy.

It is not known if Levetiracetam Oral Solution USP is safe or effective in children under:

  • 1 month of age to treat partial-onset seizures
  • 12 years of age to treat myoclonic seizures
  • 6 years of age to treat primary generalized tonic-clonic seizures

Before taking your medicine, make sure you have received the correct medicine. Compare the name above with the name on your bottle and the appearance of your medicine with the description of Levetiracetam Oral Solution USP provided below. Tell your pharmacist immediately if you think you have been given the wrong medicine.

Who should not take Levetiracetam Oral Solution USP?

Do not take Levetiracetam Oral Solution USP if you are allergic to levetiracetam.

What should I tell my healthcare provider before starting Levetiracetam Oral Solution USP?

Before taking Levetiracetam Oral Solution USP, tell your healthcare provider about all of your medical conditions, including if you:

  • have or have had depression, mood problems or suicidal thoughts or behavior.
  • have kidney problems.
  • are pregnant or planning to become pregnant. It is not known if Levetiracetam Oral Solution USP will harm your unborn baby. You and your healthcare provider will have to decide if you should take Levetiracetam Oral Solution USP while you are pregnant. If you become pregnant while taking Levetiracetam Oral Solution USP, talk to your healthcare provider about registering with the North American Antiepileptic Drug Pregnancy Registry. You can enroll in this registry by calling 1-888-233-2334 or go to http://www.aedpregnancyregistry.org. The purpose of this registry is to collect information about the safety of Levetiracetam Oral Solution USP and other antiepileptic medicine during pregnancy.
  • are breastfeeding or plan to breastfeed. Levetiracetam Oral Solution USP can pass into your breast milk. It is not known if the Levetiracetam Oral Solution USP that passes into your breast milk can harm your baby. Talk to your doctor about the best way to feed your baby while you receive Levetiracetam Oral Solution USP.

Tell your healthcare provider about all the medicines you take, including prescription and over-the counter medicines, vitamins, and herbal supplements. Do not start a new medicine without first talking with your healthcare provider.

Know the medicines you take. Keep a list of them to show your healthcare provider and pharmacist each time you get a new medicine.

How should I take Levetiracetam Oral Solution USP?

  • Take Levetiracetam Oral Solution USP exactly as your healthcare provider tells you to take it.
  • Your healthcare provider will tell you how much Levetiracetam Oral Solution USP to take and when to take it. Levetiracetam Oral Solution USP is usually taken 2 times each day.
  • Your healthcare provider may change your dose. Do not change your dose without talking to your healthcare provider.
  • Take Levetiracetam Oral Solution USP with or without food.
  • If your healthcare provider has prescribed Levetiracetam Oral Solution USP, be sure to ask your pharmacist for a medicine dropper or medicine cup to help you measure the correct amount of Levetiracetam Oral Solution USP. Do not use a household teaspoon. Ask your pharmacist for instructions on how to use the measuring device the right way.
  • If you take too much Levetiracetam Oral Solution USP, call your local Poison Control Center or go to the nearest emergency room right away.

What should I avoid while taking Levetiracetam Oral Solution USP?

Do not drive, operate machinery or do other dangerous activities until you know how Levetiracetam Oral Solution USP affects you. Levetiracetam Oral Solution USP may make you dizzy or sleepy.

What are the possible side effects of Levetiracetam Oral Solution USP?

Levetiracetam Oral Solution USP can cause serious side effects including:

See " What is the most important information I should know about Levetiracetam Oral Solution USP?"

Call your healthcare provider right away if you have any of these symptoms:

  • mood and behavior changes such as aggression, agitation, anger, anxiety, apathy, mood swings, depression, hostility, and irritability. A few people may get psychotic symptoms such as hallucinations (seeing or hearing things that are really not there), delusions (false or strange thoughts or beliefs) and unusual behavior.
  • extreme sleepiness, tiredness, and weakness
  • allergic reactions such as swelling of the face, lips, eyes, tongue, and throat, trouble swallowing or breathing, and hives.
  • a skin rash. Serious skin rashes can happen after you start taking Levetiracetam Oral Solution USP. There is no way to tell if a mild rash will become a serious reaction.
  • problems with muscle coordination (problems walking and moving)



The most common side effects seen in people who take Levetiracetam Oral Solution USP include:

  • sleepiness
  • infection
  • weakness
  • dizziness

The most common side effects seen in children who take Levetiracetam Oral Solution USP include, in addition to those listed above include:

  • tiredness
  • decreased appetite
  • irritability
  • acting aggressive
  • nasal congestion

Tell your healthcare provider if you have any side effect that bothers you or that does not go away.

These are not all the possible side effects of Levetiracetam Oral Solution USP. For more information, ask your healthcare provider or pharmacist.

Call your doctor for medical advice about side effects. You may report side effects to FDA at 1-800-FDA-1088.

How should I store Levetiracetam Oral Solution USP?

  • Store Levetiracetam Oral Solution USP at 20° to 25°C (68° to 77°F) [See USP Controlled Room Temperature] away from heat and light.
  • Keep Levetiracetam Oral Solution USP and all medicines out of the reach of children.

General information about the safe and effective use of Levetiracetam Oral Solution USP.

Medicines are sometimes prescribed for purposes other than those listed in a Medication Guide. Do not use Levetiracetam Oral Solution USP for a condition for which it was not prescribed. Do not give Levetiracetam Oral Solution USP to other people, even if they have the same symptoms that you have. It may harm them. You can ask your pharmacist or healthcare provider information about Levetiracetam Oral Solution USP that is written for health professionals.

What are the ingredients of Levetiracetam Oral Solution USP?

Levetiracetam oral solution active ingredient: levetiracetam

inactive ingredients: acesulfame potassium, artificial grape flavor, citric acid anhydrous, glycerin, maltitol solution, methylparaben, propylparaben, purified water, and sodium citrate dihydrate.

Levetiracetam Oral Solution USP does not contain lactose or gluten. Levetiracetam Oral Solution USP does contain carbohydrates. The liquid is dye-free.

For more information, call 1-800-845-8210.

Distributed by:

MAJOR® PHARMACEUTICALS

Indianapolis, IN 46268

Distributed By:

Cardinal Health

Dublin, OH 43017

L58543360824

This Medication Guide has been approved by the U.S. Food and Drug Administration.

Revised: 05/2022

Section 43683-2 (43683-2)

Indications and Usage ( 1.1)

10/2019

Dosage and Administration ( 2.2, 2.6)

10/2019

16.2 Storage

Store at 20° to 25°C (68° to 77°F) [see USP Controlled Room Temperature]. Dispense in a tight, light-resistant container with a child-resistant closure.

11 Description (11 DESCRIPTION)

Levetiracetam Oral Solution USP is an antiepileptic drug available as a clear, colorless, grape-flavored liquid (100 mg/mL) for oral administration.

The chemical name of levetiracetam, a single enantiomer, is (–)–(S)–α–ethyl–2–oxo–1-pyrrolidine acetamide, its molecular formula is C 8H 14N 2O 2 and its molecular weight is 170.21. Levetiracetam is chemically unrelated to existing antiepileptic drugs (AEDs). It has the following structural formula:

Levetiracetam is a white to off-white crystalline powder with a faint odor and a bitter taste. It is very soluble in water (104.0 g/100 mL). It is freely soluble in chloroform (65.3 g/100 mL) and in methanol (53.6 g/100 mL), soluble in ethanol (16.5 g/100 mL), sparingly soluble in acetonitrile (5.7 g/100 mL) and practically insoluble in n–hexane. (Solubility limits are expressed as g/100 mL solvent.)

Levetiracetam Oral Solution USP contains 100 mg of levetiracetam per mL. Inactive ingredients: acesulfame potassium, artificial grape flavor, citric acid, glycerin, maltitol solution, methylparaben, propylparaben, purified water, and sodium citrate.

10.3 Hemodialysis

Standard hemodialysis procedures result in significant clearance of levetiracetam (approximately 50% in 4 hours) and should be considered in cases of overdose. Although hemodialysis has not been performed in the few known cases of overdose, it may be indicated by the patient's clinical state or in patients with significant renal impairment.

16.1 How Supplied

Levetiracetam Oral Solution USP 100 mg/mL is a clear, colorless, grape-flavored liquid. It is supplied in the following oral dosage forms:

Overbagged with 5 x 5 mL unit dose cup in each bag, NDC 55154-4316-5

WARNING: This Unit Dose package is not child resistant and is Intended for Institutional Use Only. Keep this and all drugs out of the reach of children.

8.4 Pediatric Use

The safety and effectiveness of levetiracetam for the treatment of partial-onset seizures in patients 1 month to 16 years of age have been established [ see Clinical Pharmacology (12.3) and Clinical Studies (14.1) ]. The dosing recommendation in these pediatric patients varies according to age group and is weight-based [ see Dosage and Administration (2.2) ].

The safety and effectiveness of levetiracetam as adjunctive therapy for the treatment of myoclonic seizures in adolescents 12 years of age and older with juvenile myoclonic epilepsy have been established [ see Clinical Studies (14.2) ].

The safety and effectiveness of levetiracetam as adjunctive therapy for the treatment of primary generalized tonic-clonic seizures in pediatric patients 6 years of age and older with idiopathic generalized epilepsy have been established [ see Clinical Studies (14.3) ].

Safety and effectiveness for the treatment of partial-onset seizures in pediatric patients below the age of 1 month; adjunctive therapy for the treatment of myoclonic seizures in pediatric patients below the age of 12 years; and adjunctive therapy for the treatment of primary generalized tonic-clonic seizures in pediatric patients below the age of 6 years have not been established.

A 3-month, randomized, double-blind, placebo-controlled study was performed to assess the neurocognitive and behavioral effects of levetiracetam as adjunctive therapy in 98 (levetiracetam N=64, placebo N=34) pediatric patients, ages 4 to 16 years old, with partial seizures that were inadequately controlled. The target dose was 60 mg/kg/day . Neurocognitive effects were measured by the Leiter-R Attention and Memory (AM) Battery, which measures various aspects of a child's memory and attention. Although no substantive differences were observed between the placebo and drug treated groups in the median change from baseline in this battery, the study was not adequate to assess formal statistical non-inferiority of the drug and placebo. The Achenbach Child Behavior Checklist (CBCL/6-18), a standardized validated tool used to assess a child's competencies and behavioral/emotional problems, was also assessed in this study. An analysis of the CBCL/6-18 indicated on average a worsening in levetiracetam-treated patients in aggressive behavior, one of the eight syndrome scores [ see Warnings and Precautions (5.1) ].

8.5 Geriatric Use

There were 347 subjects in clinical studies of levetiracetam that were 65 and over. No overall differences in safety were observed between these subjects and younger subjects. There were insufficient numbers of elderly subjects in controlled trials of epilepsy to adequately assess the effectiveness of levetiracetam in these patients.

Levetiracetam is known to be substantially excreted by the kidney, and the risk of adverse reactions to this drug may be greater in patients with impaired renal function. Because elderly patients are more likely to have decreased renal function, care should be taken in dose selection, and it may be useful to monitor renal function [ see Clinical Pharmacology (12.3) ].

4 Contraindications (4 CONTRAINDICATIONS)

Levetiracetam Oral Solution USP is contraindicated in patients with a hypersensitivity to levetiracetam. Reactions have included anaphylaxis and angioedema [ see Warnings and Precautions (5.4) ] .

6 Adverse Reactions (6 ADVERSE REACTIONS)

The following adverse reactions are discussed in more details in other sections of labeling:

8.6 Renal Impairment

Clearance of levetiracetam is decreased in patients with renal impairment and is correlated with creatinine clearance [ see Clinical Pharmacology (12.3) ]. Dose adjustment is recommended for patients with impaired renal function and supplemental doses should be given to patients after dialysis [ see Dosage and Administration (2.5) ].

12.3 Pharmacokinetics

The pharmacokinetics of levetiracetam are similar when used as monotherapy or as adjunctive therapy for the treatment of partial-onset seizures.

1 Indications and Usage (1 INDICATIONS AND USAGE)

Levetiracetam Oral Solution USP is indicated for the treatment of partial-onset seizures in patients 1 month of age and older ( 1.1)

Levetiracetam Oral Solution USP is indicated for adjunctive therapy for the treatment of:

  • Myoclonic seizures in patients 12 years of age and older with juvenile myoclonic epilepsy ( 1.2)
  • Primary generalized tonic-clonic seizures in patients 6 years of age and older with idiopathic generalized epilepsy ( 1.3)
5.7 Withdrawal Seizures

As with most antiepileptic drugs, levetiracetam should generally be withdrawn gradually because of the risk of increased seizure frequency and status epilepticus. If withdrawal is needed because of a serious adverse reaction, rapid discontinuation can be considered.

12.1 Mechanism of Action

The precise mechanism(s) by which levetiracetam exerts its antiepileptic effect is unknown.

A saturable and stereoselective neuronal binding site in rat brain tissue has been described for levetiracetam. Experimental data indicate that this binding site is the synaptic vesicle protein SV2A, thought to be involved in the regulation of vesicle exocytosis. Although the molecular significance of levetiracetam binding to SV2A is not understood, levetiracetam and related analogs showed a rank order of affinity for SV2A which correlated with the potency of their antiseizure activity in audiogenic seizure-prone mice. These findings suggest that the interaction of levetiracetam with the SV2A protein may contribute to the antiepileptic mechanism of action of the drug.

1.1 Partial Onset Seizures (1.1 Partial-Onset Seizures)

Levetiracetam Oral Solution USP is indicated for the treatment of partial-onset seizures in patients 1 month of age and older.

5 Warnings and Precautions (5 WARNINGS AND PRECAUTIONS)
  • Behavioral abnormalities including psychotic symptoms, suicidal ideation, irritability, and aggressive behavior have been observed; monitor patients for psychiatric signs and symptoms ( 5.1)
  • Suicidal Behavior and Ideation: Monitor patients for new or worsening depression, suicidal thoughts/behavior, and/or unusual changes in mood or behavior ( 5.2)
  • Monitor for somnolence and fatigue and advise patients not to drive or operate machinery until they have gained sufficient experience on levetiracetam ( 5.3)
  • Serious Dermatological Reactions: Discontinue levetiracetam at the first sign of rash unless clearly not drug related ( 5.5)
  • Coordination Difficulties: Monitor for ataxia, abnormal gait, and incoordination. Advise patients to not drive or operate machinery until they have gained experience on levetiracetam ( 5.6)
  • Withdrawal Seizures: Levetiracetam must be gradually withdrawn ( 5.7)
5.3 Somnolence and Fatigue

Levetiracetam may cause somnolence and fatigue. Patients should be monitored for these signs and symptoms and advised not to drive or operate machinery until they have gained sufficient experience on levetiracetam to gauge whether it adversely affects their ability to drive or operate machinery.

10.2 Management of Overdose

There is no specific antidote for overdose with levetiracetam. If indicated, elimination of unabsorbed drug should be attempted by emesis or gastric lavage; usual precautions should be observed to maintain airway. General supportive care of the patient is indicated including monitoring of vital signs and observation of the patient's clinical status. A Certified Poison Control Center should be contacted for up to date information on the management of overdose with levetiracetam.

2 Dosage and Administration (2 DOSAGE AND ADMINISTRATION)
  • Use the oral solution for pediatric patients with body weight ≤ 20 kg ( 2.1)
  • For pediatric patients, use weight-based dosing for the oral solution with a calibrated measuring device (not a household teaspoon or tablespoon) ( 2.1)

Partial-Onset Seizures (monotherapy or adjunctive therapy)

  • 1 Month to ˂ 6 Months: 7 mg/kg twice daily; increase by 7 mg/kg twice daily every 2 weeks to recommended dose of 21 mg/kg twice daily ( 2.2)
  • 6 Months to ˂ 4 Years: 10 mg/kg twice daily; increase by 10 mg/kg twice daily every 2 weeks to recommended dose of 25 mg/kg twice daily ( 2.2)
  • 4 Years to ˂ 16 Years: 10 mg/kg twice daily; increase by 10 mg/kg twice daily every 2 weeks to recommended dose of 30 mg/kg twice daily ( 2.2)
  • Adults 16 Years and Older: 500 mg twice daily; increase by 500 mg twice daily every 2 weeks to a recommended dose of 1500 mg twice daily ( 2.2)

Myoclonic Seizures in Adults and Pediatric Patients 12 Years and Older

  • 500 mg twice daily; increase by 500 mg twice daily every 2 weeks to recommended dose of 1500 mg twice daily ( 2.3)

Primary Generalized Tonic-Clonic Seizures

  • 6 Years to ˂ 16 Years: 10 mg/kg twice daily, increase in increments of 10 mg/kg twice daily every 2 weeks to recommended dose of 30 mg/kg twice daily ( 2.4)
  • Adults 16 Years and Older: 500 mg twice daily, increase by 500 mg twice daily every 2 weeks to recommended dose of 1500 mg twice daily ( 2.4)

Adult Patients with Impaired Renal Function

  • Dose adjustment is recommended, based on the patient's estimated creatinine clearance ( 2.5, 8.6)
Package/label Display Panel (Package/Label Display Panel)

NDC 55154-4316-5

LEVETIRACETAM

ORAL SOLUTION, USP

500 mg / 5 mL

5 x 5 mL UNIT DOSE CUPS

3 Dosage Forms and Strengths (3 DOSAGE FORMS AND STRENGTHS)
  • 100 mg/mL solution ( 3)
6.2 Postmarketing Experience

The following adverse reactions have been identified during post approval use of levetiracetam. Because these reactions are reported voluntarily from a population of uncertain size, it is not always possible to reliably estimate their frequency or establish a causal relationship to drug exposure.

The following adverse reactions have been reported in patients receiving marketed levetiracetam worldwide. The listing is alphabetized: abnormal liver function test, acute kidney injury, anaphylaxis, angioedema, agranulocytosis, choreoathetosis, drug reaction with eosinophilia and systemic symptoms (DRESS), dyskinesia, erythema multiforme, hepatic failure, hepatitis, hyponatremia, muscular weakness, pancreatitis, pancytopenia (with bone marrow suppression identified in some of these cases), panic attack, thrombocytopenia, weight loss, and worsening of seizures. Alopecia has been reported with levetiracetam use; recovery was observed in majority of cases where levetiracetam was discontinued.

5.6 Coordination Difficulties

Levetiracetam may cause coordination difficulties.

In controlled clinical studies in adult patients with partial-onset seizure studies, 3.4% of adult levetiracetam-treated patients experienced coordination difficulties, (reported as either ataxia, abnormal gait, or incoordination) compared to 1.6% of placebo-treated patients. A total of 0.4% of patients in controlled clinical studies discontinued levetiracetam treatment due to ataxia, compared to 0% of placebo-treated patients. In 0.7% of levetiracetam-treated patients and in 0.2% of placebo-treated patients, the dose was reduced due to coordination difficulties, while one of the levetiracetam-treated patients was hospitalized due to worsening of pre-existing ataxia. These events occurred most frequently within the first 4 weeks of treatment.

Patients should be monitored for these signs and symptoms and advised not to drive or operate machinery until they have gained sufficient experience on levetiracetam to gauge whether it could adversely affect their ability to drive or operate machinery.

5.8 Hematologic Abnormalities

Levetiracetam can cause hematologic abnormalities. Hematologic abnormalities occurred in clinical trials and included decreases in white blood cell (WBC), neutrophil, and red blood cell (RBC) counts; decreases in hemoglobin and hematocrit; and increases in eosinophil counts. Cases of agranulocytosis, pancytopenia, and thrombocytopenia have been reported in the postmarketing setting. A complete blood count is recommended in patients experiencing significant weakness, pyrexia, recurrent infections, or coagulation disorders.

8 Use in Specific Populations (8 USE IN SPECIFIC POPULATIONS)

Pregnancy: Plasma levels of levetiracetam may be decreased and therefore need to be monitored closely during pregnancy. Based on animal data, may cause fetal harm ( 5.10, 8.1)

5.4 Anaphylaxis and Angioedema

Levetiracetam can cause anaphylaxis or angioedema after the first dose or at any time during treatment. Signs and symptoms in cases reported in the postmarketing setting have included hypotension, hives, rash, respiratory distress, and swelling of the face, lip, mouth, eye, tongue, throat, and feet. In some reported cases, reactions were life-threatening and required emergency treatment. If a patient develops signs or symptoms of anaphylaxis or angioedema, levetiracetam should be discontinued and the patient should seek immediate medical attention. Levetiracetam should be discontinued permanently if a clear alternative etiology for the reaction cannot be established [ see Contraindications (4) ].

5.9 Increase in Blood Pressure

In a randomized, placebo-controlled study in patients 1 month to ˂ 4 years of age, a significantly higher risk of increased diastolic blood pressure was observed in the levetiracetam-treated patients (17%), compared to the placebo-treated patients (2%). There was no overall difference in mean diastolic blood pressure between the treatment groups. This disparity between the levetiracetam and placebo treatment groups was not observed in the studies of older children or in adults.

Monitor patients 1 month to ˂ 4 years of age for increases in diastolic blood pressure.

6.1 Clinical Trials Experience

Because clinical trials are conducted under widely varying conditions, adverse reaction rates observed in the clinical trials of a drug cannot be directly compared to rates in the clinical trials of another drug and may not reflect the rates observed in practice.

Adults 16 Years of Age and Older

Adults 16 Years of Age and Older

Initiate treatment with a dose of 1000 mg/day, given as twice-daily dosing (500 mg twice daily). Increase dosage by 1000 mg/day every 2 weeks to the recommended daily dose of 3000 mg. The effectiveness of doses lower than 3000 mg/day has not been adequately studied.

17 Patient Counseling Information (17 PATIENT COUNSELING INFORMATION)

Advise the patient to read the FDA-approved patient labeling (Medication Guide).

5.2 Suicidal Behavior and Ideation

Antiepileptic drugs (AEDs), including levetiracetam, increase the risk of suicidal thoughts or behavior in patients taking these drugs for any indication. Patients treated with any AED for any indication should be monitored for the emergence or worsening of depression, suicidal thoughts or behavior, and/or any unusual changes in mood or behavior.

Pooled analyses of 199 placebo-controlled clinical trials (mono- and adjunctive therapy) of 11 different AEDs showed that patients randomized to one of the AEDs had approximately twice the risk (adjusted Relative Risk 1.8, 95% CI:1.2, 2.7) of suicidal thinking or behavior compared to patients randomized to placebo. In these trials, which had a median treatment duration of 12 weeks, the estimated incidence rate of suicidal behavior or ideation among 27,863 AED-treated patients was 0.43%, compared to 0.24% among 16,029 placebo-treated patients, representing an increase of approximately one case of suicidal thinking or behavior for every 530 patients treated. There were four suicides in drug-treated patients in the trials and none in placebo-treated patients, but the number is too small to allow any conclusion about drug effect on suicide.

The increased risk of suicidal thoughts or behavior with AEDs was observed as early as one week after starting drug treatment with AEDs and persisted for the duration of treatment assessed. Because most trials included in the analysis did not extend beyond 24 weeks, the risk of suicidal thoughts or behavior beyond 24 weeks could not be assessed.

The risk of suicidal thoughts or behavior was generally consistent among drugs in the data analyzed. The finding of increased risk with AEDs of varying mechanisms of action and across a range of indications suggests that the risk applies to all AEDs used for any indication. The risk did not vary substantially by age (5-100 years) in the clinical trials analyzed. Table 2 shows absolute and relative risk by indication for all evaluated AEDs.

Table 2: Risk by Indication for Antiepileptic Drugs in the Pooled Analysis
Indication Placebo Patients with Events Per 1000 Patients Drug Patients with Events Per 1000 Patients Relative Risk:

Incidence of Events in Drug Patients/Incidence in Placebo Patients
Risk Difference:

Additional Drug Patients with Events Per 1000 Patients

Epilepsy

1.0

3.4

3.5

2.4

Psychiatric

5.7

8.5

1.5

2.9

Other

1.0

1.8

1.9

0.9

Total

2.4

4.3

1.8

1.9

The relative risk for suicidal thoughts or behavior was higher in clinical trials for epilepsy than in clinical trials for psychiatric or other conditions, but the absolute risk differences were similar for the epilepsy and psychiatric indications.

Anyone considering prescribing levetiracetam or any other AED must balance the risk of suicidal thoughts or behaviors with the risk of untreated illness. Epilepsy and many other illnesses for which AEDs are prescribed are themselves associated with morbidity and mortality and an increased risk of suicidal thoughts and behavior. Should suicidal thoughts and behavior emerge during treatment, the prescriber needs to consider whether the emergence of these symptoms in any given patient may be related to the illness being treated.

2.6 Discontinuation of Levetiracetam

Avoid abrupt withdrawal from levetiracetam in order to reduce the risk of increased seizure frequency and status epilepticus [ see Warnings and Precautions (5.7) ] .

5.5 Serious Dermatological Reactions

Serious dermatological reactions, including Stevens-Johnson syndrome (SJS) and toxic epidermal necrolysis (TEN), have been reported in both pediatric and adult patients treated with levetiracetam. The median time of onset is reported to be 14 to 17 days, but cases have been reported at least four months after initiation of treatment. Recurrence of the serious skin reactions following rechallenge with levetiracetam has also been reported. Levetiracetam should be discontinued at the first sign of a rash, unless the rash is clearly not drug-related. If signs or symptoms suggest SJS/TEN, use of this drug should not be resumed and alternative therapy should be considered.

2.2 Dosing for Partial Onset Seizures (2.2 Dosing for Partial-Onset Seizures)

The recommended dosing for monotherapy and adjunctive therapy is the same; as outlined below.

5.10 Seizure Control During Pregnancy

Physiological changes may gradually decrease plasma levels of levetiracetam throughout pregnancy. This decrease is more pronounced during the third trimester. It is recommended that patients be monitored carefully during pregnancy. Close monitoring should continue through the postpartum period especially if the dose was changed during pregnancy.

2.1 Important Administration Instructions

Levetiracetam Oral Solution USP is given orally with or without food. The Levetiracetam Oral Solution USP dosing regimen depends on the indication, age group, dosage form (tablets or oral solution), and renal function.

Prescribe the oral solution for pediatric patients with body weight ≤ 20 kg. Prescribe the oral solution or tablets for pediatric patients with body weight above 20 kg.

When using the oral solution in pediatric patients, dosing is weight-based (mg per kg) using a calibrated measuring device (not a household teaspoon or tablespoon).

Pediatric Patients 6 to < 16 Years of Age

Pediatric Patients 6 to < 16 Years of Age

Initiate treatment with a daily dose of 20 mg/kg in 2 divided doses (10 mg/kg twice daily). Increase the daily dose every 2 weeks by increments of 20 mg/kg to the recommended daily dose of 60 mg/kg (30 mg/kg twice daily). The effectiveness of doses lower than 60 mg/kg/day has not been adequately studied. Patients with body weight ≤ 20 kg should be dosed with oral solution. Patients with body weight above 20 kg can be dosed with either tablets or oral solution [ see Dosage and Administration (2.1) ].

1.3 Primary Generalized Tonic Clonic Seizures (1.3 Primary Generalized Tonic-Clonic Seizures)

Levetiracetam Oral Solution USP is indicated as adjunctive therapy for the treatment of primary generalized tonic-clonic seizures in patients 6 years of age and older with idiopathic generalized epilepsy.

14.3 Primary Generalized Tonic Clonic Seizures (14.3 Primary Generalized Tonic-Clonic Seizures)

The effectiveness of levetiracetam as adjunctive therapy in patients 6 years of age and older with idiopathic generalized epilepsy experiencing primary generalized tonic-clonic (PGTC) seizures was established in one multicenter, randomized, double-blind, placebo-controlled study (Study 7), conducted at 50 sites in 8 countries. Eligible patients on a stable dose of 1 or 2 antiepileptic drugs (AEDs) experiencing at least 3 PGTC seizures during the 8-week combined baseline period (at least one PGTC seizure during the 4 weeks prior to the prospective baseline period and at least one PGTC seizure during the 4-week prospective baseline period) were randomized to either levetiracetam or placebo. The 8-week combined baseline period is referred to as "baseline" in the remainder of this section. Patients were titrated over 4 weeks to a target dose of 3000 mg/day for adults or a pediatric target dose of 60 mg/kg/day and treated at a stable dose of 3000 mg/day (or 60 mg/kg/day for children) over 20 weeks (evaluation period). Study drug was given in 2 equally divided doses per day. The primary measure of effectiveness was the percent reduction from baseline in weekly PGTC seizure frequency for levetiracetam and placebo treatment groups over the treatment period (titration + evaluation periods). The population included 164 patients (levetiracetam N=80, placebo N=84) with idiopathic generalized epilepsy (predominately juvenile myoclonic epilepsy, juvenile absence epilepsy, childhood absence epilepsy, or epilepsy with Grand Mal seizures on awakening) experiencing primary generalized tonic-clonic seizures. Each of these syndromes of idiopathic generalized epilepsy was well represented in this patient population.

There was a statistically significant decrease from baseline in PGTC frequency in the levetiracetam-treated patients compared to the placebo-treated patients.

Table 15: Median Percent Reduction from Baseline in PGTC Seizure Frequency per Week in Study 7
Placebo

(N=84)
Levetiracetam

(N=78)

Percent reduction in PGTC seizure frequency

44.6%

77.6%

statistically significant versus placebo

The percentage of patients (y-axis) who achieved ≥ 50% reduction in weekly seizure rates from baseline in PGTC seizure frequency over the entire randomized treatment period (titration + evaluation period) within the two treatment groups (x-axis) is presented in Figure 6.

Figure 6: Responder Rate (≥ 50% Reduction from Baseline) in PGTC Seizure Frequency per Week in Study 7

*statistically significant versus placebo

5.1 Behavioral Abnormalities and Psychotic Symptoms

Levetiracetam may cause behavioral abnormalities and psychotic symptoms. Patients treated with levetiracetam should be monitored for psychiatric signs and symptoms.

2.5 Dosage Adjustments in Adult Patients With Renal Impairment (2.5 Dosage Adjustments in Adult Patients with Renal Impairment)

Levetiracetam Oral Solution USP dosing must be individualized according to the patient's renal function status. Recommended dosage adjustments for adults are shown in Table 1. In order to calculate the dose recommended for patients with renal impairment, creatinine clearance adjusted for body surface area must be calculated. To do this an estimate of the patient's creatinine clearance (CLcr) in mL/min must first be calculated using the following formula:

CLcr=   

[140-age (years)] × weight (kg)

   (× 0.85 for female patients)

72 × serum creatinine (mg/dL)

Then CLcr is adjusted for body surface area (BSA) as follows:

CLcr (mL/min/1.73m 2)=   

CLcr (mL/min)

   × 1.73

BSA subject (m 2)

Table 1: Dosing Adjustment Regimen for Adult Patients with Renal Impairment
Group Creatinine Clearance

(mL/min/1.73m 2)
Dosage (mg) Frequency

Normal

> 80

500 to 1,500

Every 12 hours

Mild

50 – 80

500 to 1,000

Every 12 hours

Moderate

30 – 50

250 to 750

Every 12 hours

Severe

< 30

250 to 500

Every 12 hours

ESRD patients using dialysis

-----

500 to 1,000

Following dialysis, a 250 to 500 mg supplemental dose is recommended.

Every 24 hours

1.2 Myoclonic Seizures in Patients With Juvenile Myoclonic Epilepsy (1.2 Myoclonic Seizures in Patients with Juvenile Myoclonic Epilepsy)

Levetiracetam Oral Solution USP is indicated as adjunctive therapy for the treatment of myoclonic seizures in patients 12 years of age and older with juvenile myoclonic epilepsy.

14.2 Myoclonic Seizures in Patients With Juvenile Myoclonic Epilepsy

The effectiveness of levetiracetam as adjunctive therapy in patients 12 years of age and older with juvenile myoclonic epilepsy (JME) experiencing myoclonic seizures was established in one multicenter, randomized, double-blind, placebo-controlled study (Study 6), conducted at 37 sites in 14 countries. Eligible patients on a stable dose of 1 antiepileptic drug (AED) experiencing one or more myoclonic seizures per day for at least 8 days during the prospective 8-week baseline period were randomized to either levetiracetam or placebo (levetiracetam N=60, placebo N=60). Patients were titrated over 4 weeks to a target dose of 3000 mg/day and treated at a stable dose of 3000 mg/day over 12 weeks (evaluation period). Study drug was given in 2 divided doses.

The primary measure of effectiveness was the proportion of patients with at least 50% reduction in the number of days per week with one or more myoclonic seizures during the treatment period (titration + evaluation periods) as compared to baseline. Of the 120 patients enrolled, 113 had a diagnosis of confirmed or suspected JME. Table 14 displays the results for the 113 patients with JME in this study.

Table 14: Responder Rate (≥ 50% Reduction from Baseline) in Myoclonic Seizure Days per Week for Patients with JME in Study 6
Placebo

(N=59)
Levetiracetam

(N=54)

Percentage of responders

23.7%

60.4%

statistically significant versus placebo

10.1 Signs, Symptoms and Laboratory Findings of Acute Overdosage in Humans

The highest known dose of levetiracetam received in the clinical development program was 6000 mg/day. Other than drowsiness, there were no adverse reactions in the few known cases of overdose in clinical trials. Cases of somnolence, agitation, aggression, depressed level of consciousness, respiratory depression and coma were observed with levetiracetam overdoses in postmarketing use.

2.3 Dosing for Myoclonic Seizures in Patients 12 Years of Age and Older With Juvenile Myoclonic Epilepsy (2.3 Dosing for Myoclonic Seizures in Patients 12 Years of Age and Older with Juvenile Myoclonic Epilepsy)

Initiate treatment with a dose of 1000 mg/day, given as twice-daily dosing (500 mg twice daily). Increase the dosage by 1000 mg/day every 2 weeks to the recommended daily dose of 3000 mg. The effectiveness of doses lower than 3000 mg/day has not been studied.


Advanced Ingredient Data


Raw Label Data

All Sections (JSON)