These Highlights Do Not Include All The Information Needed To Use Dexrazoxane For Injection Safely And Effectively. See Full Prescribing Information For Dexrazoxane For Injection.

These Highlights Do Not Include All The Information Needed To Use Dexrazoxane For Injection Safely And Effectively. See Full Prescribing Information For Dexrazoxane For Injection.
SPL v2
SPL
SPL Set ID a7c01089-85f5-40aa-b679-f53a425b4d68
Route
INTRAVENOUS
Published
Effective Date 2025-07-31
Document Type 34391-3 Human Prescription Drug Label

Drug Facts

Composition & Product

Active Ingredients
Dexrazoxane (250 mg)
Inactive Ingredients
Hydrochloric Acid

Identifiers & Packaging

Marketing Status
ANDA Active Since 2025-03-26

Description

Dexrazoxane for injection is indicated for reducing the incidence and severity of cardiomyopathy associated with doxorubicin administration in women with metastatic breast cancer who have received a cumulative doxorubicin dose of 300 mg/m 2 and who will continue to receive doxorubicin therapy to maintain tumor control. Do not use with the initiation of doxorubicin therapy [see Warnings and Precautions (5.2) ].

Indications and Usage

Dexrazoxane for injection is indicated for reducing the incidence and severity of cardiomyopathy associated with doxorubicin administration in women with metastatic breast cancer who have received a cumulative doxorubicin dose of 300 mg/m 2 and who will continue to receive doxorubicin therapy to maintain tumor control. Do not use with the initiation of doxorubicin therapy [see Warnings and Precautions (5.2) ].

Dosage and Administration

Reconstitute vial contents and dilute before use. ( 2.3 ) Administer dexrazoxane for injection by intravenous infusion over 15 minutes. DO NOT ADMINISTER VIA AN INTRAVENOUS PUSH. ( 2.1 , 2.3 ) The recommended dosage ratio of dexrazoxane for injection to doxorubicin is 10:1 (e.g., 500 mg/m 2 dexrazoxane for injection to 50 mg/m 2 doxorubicin). Do not administer doxorubicin before dexrazoxane for injection. ( 2.1 ) Reduce dose by 50% for patients with creatinine clearance <40 mL/min. ( 2.2 , 8.6 )

Warnings and Precautions

Myelosuppression: Dexrazoxane may increase the myelosuppresive effects of chemotherapeutic agents. Perform hematological monitoring. ( 5.1 ) Embryo-Fetal Toxicity: Can cause fetal harm. Advise patients of the potential risk to a fetus and to use effective contraception. ( 5.5 , 8.1 , 8.3 )

Contraindications

Do not use dexrazoxane with non-anthracycline chemotherapy regimens.

Adverse Reactions

In clinical studies, dexrazoxane was administered to patients also receiving chemotherapeutic agents for cancer. Pain on injection was observed more frequently in patients receiving dexrazoxane versus placebo. ( 6.1 ) To report SUSPECTED ADVERSE REACTIONS, contact Novadoz Pharmaceuticals LLC at 1-855-668-2369 or FDA at 1-800-FDA-1088 or www.fda.gov/medwatch.

Drug Interactions

No drug interactions have been identified [see Clinical Pharmacology (12.3) ].

Storage and Handling

Dexrazoxane for injection is available in the following strengths as a sterile, off white to pale yellow pyrogen-free lyophilized powder in a single-dose vials for reconstitution.   Strength     Pack Style     NDC Code    250 mg    Carton of single-dose vial with a blue flip-top seal     72205-247-01    500 mg    Carton of single-dose vial with a blue flip-top seal     72205-248-01   Store at 25°C (77°F); excursions permitted to 15° to 30°C (59° to 86°F) [see USP Controlled Room Temperature]. Follow special handling and disposal procedures. 1 Discard unused solutions.

How Supplied

Dexrazoxane for injection is available in the following strengths as a sterile, off white to pale yellow pyrogen-free lyophilized powder in a single-dose vials for reconstitution.   Strength     Pack Style     NDC Code    250 mg    Carton of single-dose vial with a blue flip-top seal     72205-247-01    500 mg    Carton of single-dose vial with a blue flip-top seal     72205-248-01   Store at 25°C (77°F); excursions permitted to 15° to 30°C (59° to 86°F) [see USP Controlled Room Temperature]. Follow special handling and disposal procedures. 1 Discard unused solutions.


Medication Information

Warnings and Precautions

Myelosuppression: Dexrazoxane may increase the myelosuppresive effects of chemotherapeutic agents. Perform hematological monitoring. ( 5.1 ) Embryo-Fetal Toxicity: Can cause fetal harm. Advise patients of the potential risk to a fetus and to use effective contraception. ( 5.5 , 8.1 , 8.3 )

Indications and Usage

Dexrazoxane for injection is indicated for reducing the incidence and severity of cardiomyopathy associated with doxorubicin administration in women with metastatic breast cancer who have received a cumulative doxorubicin dose of 300 mg/m 2 and who will continue to receive doxorubicin therapy to maintain tumor control. Do not use with the initiation of doxorubicin therapy [see Warnings and Precautions (5.2) ].

Dosage and Administration

Reconstitute vial contents and dilute before use. ( 2.3 ) Administer dexrazoxane for injection by intravenous infusion over 15 minutes. DO NOT ADMINISTER VIA AN INTRAVENOUS PUSH. ( 2.1 , 2.3 ) The recommended dosage ratio of dexrazoxane for injection to doxorubicin is 10:1 (e.g., 500 mg/m 2 dexrazoxane for injection to 50 mg/m 2 doxorubicin). Do not administer doxorubicin before dexrazoxane for injection. ( 2.1 ) Reduce dose by 50% for patients with creatinine clearance <40 mL/min. ( 2.2 , 8.6 )

Contraindications

Do not use dexrazoxane with non-anthracycline chemotherapy regimens.

Adverse Reactions

In clinical studies, dexrazoxane was administered to patients also receiving chemotherapeutic agents for cancer. Pain on injection was observed more frequently in patients receiving dexrazoxane versus placebo. ( 6.1 ) To report SUSPECTED ADVERSE REACTIONS, contact Novadoz Pharmaceuticals LLC at 1-855-668-2369 or FDA at 1-800-FDA-1088 or www.fda.gov/medwatch.

Drug Interactions

No drug interactions have been identified [see Clinical Pharmacology (12.3) ].

Storage and Handling

Dexrazoxane for injection is available in the following strengths as a sterile, off white to pale yellow pyrogen-free lyophilized powder in a single-dose vials for reconstitution.   Strength     Pack Style     NDC Code    250 mg    Carton of single-dose vial with a blue flip-top seal     72205-247-01    500 mg    Carton of single-dose vial with a blue flip-top seal     72205-248-01   Store at 25°C (77°F); excursions permitted to 15° to 30°C (59° to 86°F) [see USP Controlled Room Temperature]. Follow special handling and disposal procedures. 1 Discard unused solutions.

How Supplied

Dexrazoxane for injection is available in the following strengths as a sterile, off white to pale yellow pyrogen-free lyophilized powder in a single-dose vials for reconstitution.   Strength     Pack Style     NDC Code    250 mg    Carton of single-dose vial with a blue flip-top seal     72205-247-01    500 mg    Carton of single-dose vial with a blue flip-top seal     72205-248-01   Store at 25°C (77°F); excursions permitted to 15° to 30°C (59° to 86°F) [see USP Controlled Room Temperature]. Follow special handling and disposal procedures. 1 Discard unused solutions.

Description

Dexrazoxane for injection is indicated for reducing the incidence and severity of cardiomyopathy associated with doxorubicin administration in women with metastatic breast cancer who have received a cumulative doxorubicin dose of 300 mg/m 2 and who will continue to receive doxorubicin therapy to maintain tumor control. Do not use with the initiation of doxorubicin therapy [see Warnings and Precautions (5.2) ].

10 Overdosage

There are no data on overdosage in the cardioprotective trials; the maximum dose administered during the cardioprotective trials was 1000 mg/m2 every three weeks.

Disposition studies with dexrazoxane have not been conducted in cancer patients undergoing dialysis, but retention of a significant dose fraction (>0.4) of the unchanged drug in the plasma pool, minimal tissue partitioning or binding, and availability of greater than 90% of the systemic drug levels in the unbound form suggest that it could be removed using conventional peritoneal or hemodialysis.

There is no known antidote for dexrazoxane. Instances of suspected overdose should be managed with good supportive care until resolution of myelosuppression and related conditions is complete. Management of overdose should include treatment of infections, fluid regulation, and maintenance of nutritional requirements.



15 References

1. “OSHA Hazardous Drugs.” OSHA http://www.osha.gov/SLTC/hazardousdrugs/index.html.

8.1 Pregnancy


Risk Summary

Based on findings from animal studies and its mechanism of action, dexrazoxane can cause fetal harm when administered to pregnant women [see Clinical Pharmacology (12.1)]. Available human data with dexrazoxane use in pregnant women is not sufficient to inform the drug-associated risk. In animal reproduction studies, dexrazoxane administration resulted in maternal toxicity and teratogenicity in rats and rabbits at doses significantly lower than the clinically recommended dose (see Data). Advise pregnant women and females of reproductive potential of the potential risk to a fetus. 

The background risk of major birth defects and miscarriage for the indicated population is unknown. In the U.S. general population, the estimated background risk of major birth defects and miscarriage in clinically recognized pregnancies is 2% to 4% and 15% to 20%, respectively.

Data

Animal Data


Dexrazoxane resulted in maternal toxicity in rats at doses of ≥2 mg/kg (1/40 the human dose on a mg/m2 basis) and embryotoxicity and teratogenicity at 8 mg/kg (approximately 1/10 the human dose on a mg/m2 basis) when given daily to pregnant rats during the period of organogenesis. Teratogenic effects in the rat included imperforate anus, microphthalmia, and anophthalmia. In offspring allowed to develop to maturity, fertility was impaired in the male and female rats treated in utero during organogenesis at 8 mg/kg. In rabbits, doses of ≥5 mg/kg (approximately 1/10 the human dose on a mg/m2 basis) daily during the period of organogenesis caused maternal toxicity and doses of 20 mg/kg (1/2 the human dose on a mg/m2 basis) were embryotoxic and teratogenic. Teratogenic effects in the rabbit included several skeletal malformations such as short tail, rib and thoracic malformations, and soft tissue variations including subcutaneous, eye and cardiac hemorrhagic areas, as well as agenesis of the gallbladder and of the intermediate lobe of the lung.









8.2 Lactation


Risk Summary 

There are no data on the presence of dexrazoxane or its metabolites in human milk, the effects on a breastfeed child, or the effects on milk production. Because of the potential for serious adverse reactions in a breastfed child, advise women not to breastfeed during treatment with dexrazoxane and for 2 weeks after the last dose. 



11 Description

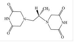
Dexrazoxane for injection, a cardioprotective agent for use in conjunction with doxorubicin, is a sterile, pyrogen-free lyophilizate intended for intravenous administration.

Chemically, dexrazoxane is (S)-4,4'-(1-methyl-1,2-ethanediyl)bis-2,6-piperazinedione. The structural formula is as follows:



C11H16N4O4    M.W. 268.28

Dexrazoxane, an intracellular chelating agent, is a derivative of EDTA. Dexrazoxane is a white to off-white crystalline powder that melts at 191° to 197°C. It is sparingly soluble in 0.1 N HCl, slightly soluble in water, very slightly soluble in methanol, and insoluble in cyclohexane. The pKa is 2.2. Dexrazoxane has an octanol/water partition coefficient of (-) 1.43 and degrades rapidly above a pH of 7.0.

Each 250 mg vial contains dexrazoxane hydrochloride equivalent to 250 mg dexrazoxane. Hydrochloric Acid, NF is added for pH adjustment. When reconstituted as directed with 25 mL of Sterile Water for Injection, USP, each mL contains: 10 mg dexrazoxane. The pH of the resultant solution is 1.0 to 3.0.

Each 500 mg vial contains dexrazoxane hydrochloride equivalent to 500 mg dexrazoxane. Hydrochloric Acid, NF is added for pH adjustment. When reconstituted as directed with 50 mL of Sterile Water for Injection, USP, each mL contains: 10 mg dexrazoxane. The pH of the resultant solution is 1.0 to 3.0.

The reconstituted dexrazoxane for injection, solutions prepared from Sterile Water for Injection, USP, are intended for further dilution with Lactated Ringer’s Injection, USP, for rapid intravenous drip infusion. DO NOT ADMINISTER VIA AN INTRAVENOUS PUSH [see Dosage and Administration (2.1, 2.3)].



8.4 Pediatric Use

The safety and effectiveness of dexrazoxane in pediatric patients have not been established [see Warnings and Precautions (5.4)].

8.5 Geriatric Use

Clinical studies of dexrazoxane did not include sufficient numbers of subjects aged 65 and over to determine whether they respond differently than younger subjects. Other reported clinical experience has not identified differences in responses between the elderly and younger patients. In general, dose selection for an elderly patient should be cautious, usually starting at the low end of the dosing range, reflecting the greater frequency of decreased hepatic, renal, or cardiac function, and of concomitant disease or other drug therapy.

14 Clinical Studies

The ability of dexrazoxane to prevent/reduce the incidence and severity of doxorubicin-induced cardiomyopathy was evaluated in three prospectively randomized placebo-controlled studies. In these studies, patients were treated with a doxorubicin-containing regimen and either dexrazoxane or placebo starting with the first course of chemotherapy. There was no restriction on the cumulative dose of doxorubicin. Cardiac function was assessed by measurement of the LVEF, utilizing resting multigated nuclear medicine (MUGA) scans, and by clinical evaluations. Patients receiving dexrazoxane had significantly smaller mean decreases from baseline in LVEF and lower incidences of congestive heart failure than the control group; however, in the largest study, patients with advanced breast cancer receiving FAC with dexrazoxane had a lower response rate (48% vs. 63%) and a shorter time to progression than patients who received FAC versus placebo.

In the clinical trials, patients who were initially randomized to receive placebo were allowed to receive dexrazoxane after a cumulative dose of doxorubicin above 300 mg/m2. Retrospective historical analyses showed that the risk of experiencing a cardiac event (see Table 3 for definition) at a cumulative dose of doxorubicin above 300 mg/m2 was greater in the patients who did not receive dexrazoxane beginning with their seventh course of FAC than in the patients who did receive dexrazoxane (HR=13.08; 95% CI: 3.72, 46.03; p<0.001). Overall, 3% of patients treated with dexrazoxane developed CHF compared with 22% of patients not receiving dexrazoxane.

Table 3: Definition of Cardiac Events:

  • Development of congestive heart failure, defined as having two or more of the following:

    a. Cardiomegaly by X-ray

    b. Basilar Rales

    c. S3 Gallop

    d. Paroxysmal nocturnal dyspnea and/or orthopnea and/or significant dyspnea on exertion.
  • Decline from baseline in LVEF by ≥10% and to below the lower limit of normal for the institution.
  • Decline in LVEF by ≥20% from baseline value.
  • Decline in LVEF to ≥5% below lower limit of normal for the institution.

Figure 1 shows the number of patients still on treatment at increasing cumulative doses.

Figure 1

Cumulative Number of Patients On Treatment FAC vs. FAC/Dexrazoxane Patients

Patients Receiving at Least Seven Courses of Treatment





4 Contraindications

Do not use dexrazoxane with non-anthracycline chemotherapy regimens.



6 Adverse Reactions

In clinical studies, dexrazoxane was administered to patients also receiving chemotherapeutic agents for cancer. Pain on injection was observed more frequently in patients receiving dexrazoxane versus placebo. (6.1)

To report SUSPECTED ADVERSE REACTIONS, contact Novadoz Pharmaceuticals LLC at 1-855-668-2369 or FDA at 1-800-FDA-1088 or www.fda.gov/medwatch.





7 Drug Interactions

No drug interactions have been identified [see Clinical Pharmacology (12.3)].

2.1 Recommended Dose

Administer dexrazoxane for injection via intravenous infusion over 15 minutes. DO NOT ADMINISTER VIA AN INTRAVENOUS PUSH.

The recommended dosage ratio of dexrazoxane for injection to doxorubicin is 10:1 (e.g., 500 mg/m2 dexrazoxane for injection to 50 mg/m2 doxorubicin). Do not administer doxorubicin before dexrazoxane for injection. Administer doxorubicin within 30 minutes after the completion of dexrazoxane for injection infusion.



5.1 Myelosuppression

Dexrazoxane may add to the myelosuppression caused by chemotherapeutic agents. Obtain a complete blood count prior to and during each course of therapy, and administer dexrazoxane and chemotherapy only when adequate hematologic parameters are met.

5.3 Cardiac Toxicity

Treatment with dexrazoxane does not completely eliminate the risk of anthracycline-induced cardiac toxicity. Monitor cardiac function before and periodically during therapy to assess left ventricular ejection fraction (LVEF). In general, if test results indicate deterioration in cardiac function associated with doxorubicin, the benefit of continued therapy should be carefully evaluated against the risk of producing irreversible cardiac damage.

8.6 Renal Impairment

Greater exposure to dexrazoxane may occur in patients with compromised renal function. Reduce the dexrazoxane dose by 50% in patients with creatinine clearance values <40 mL/min [see Dosage and Administration (2.2) and Clinical Pharmacology (12.3)].

12.3 Pharmacokinetics

The pharmacokinetics of dexrazoxane have been studied in advanced cancer patients with normal renal and hepatic function. The pharmacokinetics of dexrazoxane can be adequately described by a two-compartment open model with first-order elimination. Dexrazoxane has been administered as a 15 minute infusion over a dose range of 60 to 900 mg/m2 with 60 mg/m2 of doxorubicin, and at a fixed dose of 500 mg/m2 with 50 mg/m2 doxorubicin. The disposition kinetics of dexrazoxane are dose-independent, as shown by linear relationship between the area under plasma concentration-time curves and administered doses ranging from 60 to 900 mg/m2. The mean peak plasma concentration of dexrazoxane was 36.5 µg/mL at 15- minute after intravenous administration of 500 mg/m2 dose of dexrazoxane over 15 to 30 minutes prior to the 50 mg/m2 doxorubicin dose.

The important pharmacokinetic parameters of dexrazoxane are summarized in Table 2:



Table 2: SUMMARY OF MEAN (%CVa) DEXRAZOXANE

PHARMACOKINETIC PARAMETERS AT A DOSAGE RATIO OF

10:1 OF DEXRAZOXANE:DOXORUBICIN

 Dose

 Doxorubicin (mg/m2)

 
 Dose

 Dexrazoxane (mg/m2)

 
 Number of

 Subjects

 
 Elimination

 Half-Life (h)

 
 Plasma

 Clearance (L/h/m2)

 
 Renal

 Clearance (L/h/m2)

 
 bVolume of

 Distribution (L/m2)

 
 50

 
 500

 
 10

 
 2.5 (16)

 
 7.88 (18)

 
 3.35 (36)

 
 22.4 (22)

 
 60

 
 600

 
 5

 
 2.1 (29)

 
 6.25 (31)

 
 —

 
 22.0 (55)

 


a Coefficient of variation

b Steady-state volume of distribution

Distribution

Following a rapid distributive phase (0.2 to 0.3 hours), dexrazoxane reaches post-distributive equilibrium within two to four hours. The estimated mean steady-state volume of distribution of dexrazoxane is 22.4 L/m2 after 500 mg/m2 of dexrazoxane dose followed by 50 mg/m2 of doxorubicin, suggesting distribution throughout total body water (25 L/m2).

In vitro studies have shown that dexrazoxane is not bound to plasma proteins.

Metabolism

Qualitative metabolism studies with dexrazoxane have confirmed the presence of unchanged drug, a diacid-diamide cleavage product, and two monoacid-monoamide ring products in the urine of animals and man. The metabolite levels were not measured in the pharmacokinetic studies.

Excretion

Urinary excretion plays an important role in the elimination of dexrazoxane. Forty-two percent of a 500 mg/m2 dose of dexrazoxane was excreted in the urine. Renal clearance averages 3.35 L/h/m2 after the 500 mg/m2 dexrazoxane dose followed by 50 mg/m2 of doxorubicin.

Specific Populations

Pediatric


Pharmacokinetics following dexrazoxane administration have not been evaluated in pediatric patients.

Effect of Renal Impairment

The pharmacokinetics of dexrazoxane were assessed following a single 15-minute IV infusion of 150 mg/m2 of dexrazoxane. Dexrazoxane clearance was reduced in subjects with renal dysfunction. Compared with controls, the mean AUC0-inf value was two-fold greater in subjects with moderate (CLCR 30-50 mL/min) to severe (CLCR <30 mL/min) renal dysfunction. Modeling demonstrated that equivalent exposure (AUC-inf) could be achieved if dosing were reduced by 50% in subjects with creatinine clearance values <40 mL/min compared with control subjects (CLCR >80 mL/min) [see Use in Specific Populations (8.6) and Dosage and Administration (2.2)].

Effect of Hepatic Impairment

Pharmacokinetics following dexrazoxane administration have not been evaluated in patients with hepatic impairment. The dexrazoxane dose is dependent upon the dose of doxorubicin [seeDosage and Administration (2.2)].

Drug Interactions

There was no significant change in the pharmacokinetics of doxorubicin (50 mg/m2) and its predominant metabolite, doxorubicinol, in the presence of dexrazoxane (500 mg/m2) in a crossover study in cancer patients.

2.2 Dose Modifications

Dosing in Patients with Renal Impairment

Reduce dexrazoxane for injection dosage in patients with moderate to severe renal impairment (creatinine clearance values less than 40 mL/min) by 50% (Dexrazoxane for injection to doxorubicin ratio reduced to 5:1; such as 250 mg/m2 dexrazoxane for injection to 50 mg/m2 doxorubicin) [see Use in Specific Populations (8.6) and Clinical Pharmacology (12.3)].

Dosing in Patients with Hepatic Impairment

Since a doxorubicin dose reduction is recommended in the presence of hyperbilirubinemia, reduce the dexrazoxane for injection dosage proportionately (maintaining the 10:1 ratio) in patients with hepatic impairment.



1 Indications and Usage

Dexrazoxane for injection is indicated for reducing the incidence and severity of cardiomyopathy associated with doxorubicin administration in women with metastatic breast cancer who have received a cumulative doxorubicin dose of 300 mg/m2 and who will continue to receive doxorubicin therapy to maintain tumor control. Do not use with the initiation of doxorubicin therapy [see Warnings and Precautions (5.2)].

12.1 Mechanism of Action

The mechanism by which dexrazoxane exerts its cytoprotective activity is not fully understood. Dexrazoxane is a cyclic derivative of EDTA that penetrates cell membranes. Results of laboratory studies suggest that dexrazoxane is converted intracellularly to a ring-opened chelating agent that interferes with iron-mediated free radical generation thought to be responsible, in part, for anthracycline-induced cardiomyopathy.

5.5 Embryo Fetal Toxicity


Based on finding from animal studies and its mechanism of action, dexrazoxane can cause fetal harm when administered to pregnant women [see Clinical Pharmacology (12.1)]. In animal reproduction studies, dexrazoxane administration during the period of organogenesis resulted in maternal toxicity and teratogenicity in rats and rabbits at doses significantly lower than the clinically recommended dose. 

Advise pregnant women and females of reproductive potential of the potential risk to a fetus. Advise females of reproductive potential to use effective contraception during treatment with dexrazoxane and for 6 months after the last dose. Advise male patients with female partners of reproductive potential to use effective contraception during treatment with dexrazoxane and for 3 months after the last dose [see Use in Specific Populations (8.1, 8.3)].





5 Warnings and Precautions
  • Myelosuppression: Dexrazoxane may increase the myelosuppresive effects of chemotherapeutic agents. Perform hematological monitoring. (5.1)
  • Embryo-Fetal Toxicity: Can cause fetal harm. Advise patients of the potential risk to a fetus and to use effective contraception. (5.5, 8.1,8.3)
5.4 Secondary Malignancies

Secondary malignancies such as acute myeloid leukemia (AML) and myelodysplastic syndrome (MDS) have been reported in studies of pediatric patients who have received dexrazoxane in combination with chemotherapy. Dexrazoxane is not indicated for use in pediatric patients. Some adult patients who received dexrazoxane in combination with anti-cancer agents known to be carcinogenic have also developed secondary malignancies, including AML and MDS.

Razoxane is the racemic mixture, of which dexrazoxane is the S(+)-enantiomer. Secondary malignancies (primarily acute myeloid leukemia) have been reported in patients treated chronically with oral razoxane. In these patients, the total cumulative dose of razoxane ranged from 26 to 480 grams and the duration of treatment was from 42 to 319 weeks. One case of T-cell lymphoma, one case of B-cell lymphoma, and six to eight cases of cutaneous basal cell or squamous cell carcinoma have also been reported in patients treated with razoxane. Long-term administration of razoxane to rodents was associated with the development of malignancies [see Nonclinical Toxicology (13.1)].



2 Dosage and Administration
  • Reconstitute vial contents and dilute before use. (2.3)
  • Administer dexrazoxane for injection by intravenous infusion over 15 minutes.
  • DO NOT ADMINISTER VIA AN INTRAVENOUS PUSH. (2.1, 2.3)
  • The recommended dosage ratio of dexrazoxane for injection to doxorubicin is 10:1 (e.g., 500 mg/m2 dexrazoxane for injection to 50 mg/m2 doxorubicin). Do not administer doxorubicin before dexrazoxane for injection. (2.1)
  • Reduce dose by 50% for patients with creatinine clearance <40 mL/min. (2.2, 8.6)
3 Dosage Forms and Strengths

For injection: 250 mg or 500 mg of dexrazoxane as a sterile, off white to pale yellow lyophilized powder in a single-dose vials for reconstitution.

5.2 Concomitant Chemotherapy

Only use dexrazoxane in those patients who have received a cumulative doxorubicin dose of 300 mg/m2 and are continuing with doxorubicin therapy. Do not use with chemotherapy initiation as dexrazoxane may interfere with the antitumor activity of the chemotherapy regimen. In a trial conducted in patients with metastatic breast cancer who were treated with fluorouracil, doxorubicin, and cyclophosphamide (FAC) with or without dexrazoxane starting with their first cycle of FAC therapy, patients who were randomized to receive dexrazoxane had a lower response rate (48% vs. 63%) and shorter time to progression than patients who were randomized to receive placebo.



8 Use in Specific Populations
  • Lactation: Advise not to breastfeed. (8.2)
6.1 Clinical Trials Experience

Because clinical trials are conducted under widely varying conditions, the adverse reaction rates observed cannot be directly compared to rates in other trials and may not reflect the rates observed in clinical practice.

The adverse reaction profile described in this section was identified from randomized, placebo- controlled, double-blind studies in patients with metastatic breast cancer who received the combination of the FAC chemotherapy regimen with or without dexrazoxane. The dose of doxorubicin was 50 mg/m2 in each of these trials. Treatment was administered every three weeks until disease progression or cardiac toxicity.

Patients in clinical trials who received FAC with dexrazoxane experienced more severe leukopenia, granulocytopenia, and thrombocytopenia than patients receiving FAC without dexrazoxane [see Warnings and Precautions (5.1)].

Table 1 below lists the incidence of adverse reactions for patients receiving FAC with either dexrazoxane or placebo in the breast cancer studies. Adverse experiences occurring during courses 1 through 6 are displayed for patients receiving dexrazoxane or placebo with FAC beginning with their first course of therapy (columns 1 and 3, respectively). Adverse experiences occurring at course 7 and beyond for patients who received placebo with FAC during the first six courses and who then received either dexrazoxane or placebo with FAC are also displayed (columns 2 and 4, respectively).

The adverse reactions listed below in Table 1 demonstrate that the frequency of adverse reaction “Pain on Injection” has been greater for dexrazoxane arm, as compared to placebo.



Table 1

 Adverse Reaction

 
 Percentage (%) of Breast Cancer Patients With Adverse Reaction

 
 FAC + Dexrazoxane

 
 FAC + Placebo

 
 Courses 1-6

 N = 413

 
 Courses ≥ 7

 N = 102

 
 Courses 1-6

 N = 458

 
 Courses ≥ 7

 N = 99

 
 Alopecia

 
 94

 
 100

 
 97

 
 98

 
 Nausea

 
 77

 
 51

 
 84

 
 60

 
 Vomiting

 
 59

 
 42

 
 72

 
 49

 
 Fatigue/Malaise

 
 61

 
 48

 
 58

 
 55

 
 Anorexia

 
 42

 
 27

 
 47

 
 38

 
 Stomatitis

 
 34

 
 26

 
 41

 
 28

 
 Fever

 
 34

 
 22

 
 29

 
 18

 
 Infection

 
 23

 
 19

 
 18

 
 21

 
 Diarrhea

 
 21

 
 14

 
 24

 
 7

 
 Pain on Injection

 
 12

 
 13

 
 3

 
 0

 
 Sepsis

 
 17

 
 12

 
 14

 
 9

 
 Neurotoxicity

 
 17

 
 10

 
 13

 
 5

 
 Streaking/Erythema

 
 5

 
 4

 
 4

 
 2

 
 Phlebitis

 
 6

 
 3

 
 3

 
 5

 
 Esophagitis

 
 6

 
 3

 
 7

 
 4

 
 Dysphagia

 
 8

 
 0

 
 10

 
 5

 
 Hemorrhage

 
 2

 
 3

 
 2

 
 1

 
 Extravasation

 
 1

 
 3

 
 1

 
 2

 
 Urticaria

 
 2

 
 2

 
 2

 
 0

 
 Recall Skin

 Reaction

 
 1

 
 1

 
 2

 
 0

 


17 Patient Counseling Information


Myelosuppression 

Treatment with dexrazoxane is associated with leukopenia, neutropenia, and thrombocytopenia. Perform hematological monitoring [see Warnings and Precautions (5.1)]

Embryo-Fetal Toxicity 

Advise female patients of the potential risk to a fetus and to inform their healthcare provider of a known or suspected pregnancy. Advise females of reproductive potential to use effective contraception during treatment with dexrazoxane and for 6 months after the last dose. Advise male patients with female partners of reproductive potential to use effective contraception during treatment with dexrazoxane and for 3 months after the last dose [seeWarnings and Precautions (5.5) and Use in Specific Populations (8.1, 8.3)]

Lactation 

Advise women not to breastfeed during treatment with dexrazoxane and for 2 weeks after the last dose [see Use in Specific Populations (8.2)]

Infertility 

Advise males of reproductive potential that dexrazoxane may impair fertility [see Use in Specific Populations (8.3)].



This product’s label may have been updated. For current full prescribing information, please visit www.msnlabs.com.



Manufactured by: 

MSN Laboratories Private Limited


Telangana – 509 228,

INDIA



Distributed by:

Novadoz Pharmaceuticals LLC


Piscataway, NJ 08854 -3714

Revised: 07/2025



2.3 Preparation and Administration

Preparation and Handling of Infusion Solution

Reconstitute dexrazoxane for injection with Sterile Water for Injection, USP. Reconstitute with 25 mL for a dexrazoxane for injection 250 mg vial and 50 mL for a dexrazoxane for injection 500 mg vial to give a concentration of 10 mg/mL. Dilute the reconstituted solution further with Lactated Ringer’s Injection, USP to a concentration of 1.3 to 3.0 mg/mL in intravenous infusion bags for intravenous infusion.

Following reconstitution with Sterile Water for Injection, USP, dexrazoxane for injection is stable for 30 minutes at room temperature or if storage is necessary, up to 3 hours from the time of reconstitution when stored under refrigeration, 2° to 8°C (36° to 46°F). The pH of the resultant solution is 1.0 to 3.0. DISCARD UNUSED SOLUTIONS. The diluted infusion solutions are stable for one hour at room temperature or if storage is necessary, up to 4 hours when stored under refrigeration, 2° to 8°C (36° to 46°F). The infusion solutions have a pH of 3.5 to 5.5. DISCARD UNUSED SOLUTIONS.

Parenteral drug products should be inspected visually for particulate matter and discoloration prior to administration, whenever solution and container permit. Solutions containing a precipitate should be discarded.

Use caution when handling and preparing the reconstituted solution. The use of gloves is recommended. If dexrazoxane for injection powder or solutions contact the skin or mucosae, wash exposed area immediately and thoroughly with soap and water. Follow special handling and disposal procedures.1

Administration

Do not mix dexrazoxane for injection with other drugs.

Administer the final diluted solution of dexrazoxane for injection by intravenous infusion over 15 minutes before the administration of doxorubicin. DO NOT ADMINISTER VIA AN INTRAVENOUS PUSH. Administer doxorubicin within 30 minutes after the completion of dexrazoxane for injection infusion.

16 How Supplied/storage and Handling

Dexrazoxane for injection is available in the following strengths as a sterile, off white to pale yellow pyrogen-free lyophilized powder in a single-dose vials for reconstitution.

 Strength

 
 Pack Style

 
 NDC Code

 
 250 mg

 
 Carton of single-dose vial with a blue flip-top seal

 
  72205-247-01

 
 500 mg

 
 Carton of single-dose vial with a blue flip-top seal

 
  72205-248-01

 


Store at 25°C (77°F); excursions permitted to 15° to 30°C (59° to 86°F) [see USP Controlled Room Temperature].

Follow special handling and disposal procedures.1

Discard unused solutions.

Package Label.principal Display Panel

Dexrazoxane for injection 250 mg/Vial Carton Label



Dexrazoxane for injection 250 mg/Vial Vial Label

  

Dexrazoxane for injection 500 mg/Vial Carton Label

 

Dexrazoxane for injection 500 mg/Vial Vial Label

8.3 Females and Males of Reproductive Potential


Dexrazoxane can cause fetal harm when administered to a pregnant woman [see Use in Specific Populations (8.1)]. 

Pregnancy Testing 

Verify pregnancy status in females of reproductive potential prior to starting treatment with dexrazoxane. 

Contraception 

Females 

Advise females of reproductive potential to use effective contraception during treatment with dexrazoxane and for 6 months after the last dose. Males Because of the potential for genotoxicity, advise male patients with female partners of reproductive potential to use effective contraception during treatment with dexrazoxane and for 3 months after the last dose [see Nonclinical Toxicology (13.1)]

Infertility Based on findings from animal studies, dexrazoxane may impair male fertility [see Nonclinical Toxicology (13.1)].





13.1 Carcinogenesis, Mutagenesis, Impairment of Fertility

No long-term carcinogenicity studies have been carried out with dexrazoxane in animals. Nevertheless, a study by the National Cancer Institute has reported that long-term dosing with razoxane (the racemic mixture of dexrazoxane, ICRF-187, and its enantiomer ICRF-186) is associated with the development of malignancies in rats and possibly in mice [see Warnings and Precautions (5.4)].

Dexrazoxane was not mutagenic in the bacterial reverse mutation (Ames) test, but was found to be clastogenic to human lymphocytes in vitro and to mouse bone marrow erythrocytes in vivo (micronucleus test).

Dexrazoxane has the potential to impair fertility in male patients based on effects in repeat-dose toxicology studies. Testicular atrophy was seen with dexrazoxane administration at doses as low as 30 mg/kg weekly for 6 weeks in rats (1/3 the human dose on a mg/m2 basis) and as low as 20 mg/kg weekly for 13 weeks in dogs (approximately equal to the human dose on a mg/m2 basis).




Structured Label Content

10 Overdosage (10 OVERDOSAGE)

There are no data on overdosage in the cardioprotective trials; the maximum dose administered during the cardioprotective trials was 1000 mg/m2 every three weeks.

Disposition studies with dexrazoxane have not been conducted in cancer patients undergoing dialysis, but retention of a significant dose fraction (>0.4) of the unchanged drug in the plasma pool, minimal tissue partitioning or binding, and availability of greater than 90% of the systemic drug levels in the unbound form suggest that it could be removed using conventional peritoneal or hemodialysis.

There is no known antidote for dexrazoxane. Instances of suspected overdose should be managed with good supportive care until resolution of myelosuppression and related conditions is complete. Management of overdose should include treatment of infections, fluid regulation, and maintenance of nutritional requirements.



15 References (15 REFERENCES)

1. “OSHA Hazardous Drugs.” OSHA http://www.osha.gov/SLTC/hazardousdrugs/index.html.

8.1 Pregnancy


Risk Summary

Based on findings from animal studies and its mechanism of action, dexrazoxane can cause fetal harm when administered to pregnant women [see Clinical Pharmacology (12.1)]. Available human data with dexrazoxane use in pregnant women is not sufficient to inform the drug-associated risk. In animal reproduction studies, dexrazoxane administration resulted in maternal toxicity and teratogenicity in rats and rabbits at doses significantly lower than the clinically recommended dose (see Data). Advise pregnant women and females of reproductive potential of the potential risk to a fetus. 

The background risk of major birth defects and miscarriage for the indicated population is unknown. In the U.S. general population, the estimated background risk of major birth defects and miscarriage in clinically recognized pregnancies is 2% to 4% and 15% to 20%, respectively.

Data

Animal Data


Dexrazoxane resulted in maternal toxicity in rats at doses of ≥2 mg/kg (1/40 the human dose on a mg/m2 basis) and embryotoxicity and teratogenicity at 8 mg/kg (approximately 1/10 the human dose on a mg/m2 basis) when given daily to pregnant rats during the period of organogenesis. Teratogenic effects in the rat included imperforate anus, microphthalmia, and anophthalmia. In offspring allowed to develop to maturity, fertility was impaired in the male and female rats treated in utero during organogenesis at 8 mg/kg. In rabbits, doses of ≥5 mg/kg (approximately 1/10 the human dose on a mg/m2 basis) daily during the period of organogenesis caused maternal toxicity and doses of 20 mg/kg (1/2 the human dose on a mg/m2 basis) were embryotoxic and teratogenic. Teratogenic effects in the rabbit included several skeletal malformations such as short tail, rib and thoracic malformations, and soft tissue variations including subcutaneous, eye and cardiac hemorrhagic areas, as well as agenesis of the gallbladder and of the intermediate lobe of the lung.









8.2 Lactation


Risk Summary 

There are no data on the presence of dexrazoxane or its metabolites in human milk, the effects on a breastfeed child, or the effects on milk production. Because of the potential for serious adverse reactions in a breastfed child, advise women not to breastfeed during treatment with dexrazoxane and for 2 weeks after the last dose. 



11 Description (11 DESCRIPTION)

Dexrazoxane for injection, a cardioprotective agent for use in conjunction with doxorubicin, is a sterile, pyrogen-free lyophilizate intended for intravenous administration.

Chemically, dexrazoxane is (S)-4,4'-(1-methyl-1,2-ethanediyl)bis-2,6-piperazinedione. The structural formula is as follows:



C11H16N4O4    M.W. 268.28

Dexrazoxane, an intracellular chelating agent, is a derivative of EDTA. Dexrazoxane is a white to off-white crystalline powder that melts at 191° to 197°C. It is sparingly soluble in 0.1 N HCl, slightly soluble in water, very slightly soluble in methanol, and insoluble in cyclohexane. The pKa is 2.2. Dexrazoxane has an octanol/water partition coefficient of (-) 1.43 and degrades rapidly above a pH of 7.0.

Each 250 mg vial contains dexrazoxane hydrochloride equivalent to 250 mg dexrazoxane. Hydrochloric Acid, NF is added for pH adjustment. When reconstituted as directed with 25 mL of Sterile Water for Injection, USP, each mL contains: 10 mg dexrazoxane. The pH of the resultant solution is 1.0 to 3.0.

Each 500 mg vial contains dexrazoxane hydrochloride equivalent to 500 mg dexrazoxane. Hydrochloric Acid, NF is added for pH adjustment. When reconstituted as directed with 50 mL of Sterile Water for Injection, USP, each mL contains: 10 mg dexrazoxane. The pH of the resultant solution is 1.0 to 3.0.

The reconstituted dexrazoxane for injection, solutions prepared from Sterile Water for Injection, USP, are intended for further dilution with Lactated Ringer’s Injection, USP, for rapid intravenous drip infusion. DO NOT ADMINISTER VIA AN INTRAVENOUS PUSH [see Dosage and Administration (2.1, 2.3)].



8.4 Pediatric Use

The safety and effectiveness of dexrazoxane in pediatric patients have not been established [see Warnings and Precautions (5.4)].

8.5 Geriatric Use

Clinical studies of dexrazoxane did not include sufficient numbers of subjects aged 65 and over to determine whether they respond differently than younger subjects. Other reported clinical experience has not identified differences in responses between the elderly and younger patients. In general, dose selection for an elderly patient should be cautious, usually starting at the low end of the dosing range, reflecting the greater frequency of decreased hepatic, renal, or cardiac function, and of concomitant disease or other drug therapy.

14 Clinical Studies (14 CLINICAL STUDIES)

The ability of dexrazoxane to prevent/reduce the incidence and severity of doxorubicin-induced cardiomyopathy was evaluated in three prospectively randomized placebo-controlled studies. In these studies, patients were treated with a doxorubicin-containing regimen and either dexrazoxane or placebo starting with the first course of chemotherapy. There was no restriction on the cumulative dose of doxorubicin. Cardiac function was assessed by measurement of the LVEF, utilizing resting multigated nuclear medicine (MUGA) scans, and by clinical evaluations. Patients receiving dexrazoxane had significantly smaller mean decreases from baseline in LVEF and lower incidences of congestive heart failure than the control group; however, in the largest study, patients with advanced breast cancer receiving FAC with dexrazoxane had a lower response rate (48% vs. 63%) and a shorter time to progression than patients who received FAC versus placebo.

In the clinical trials, patients who were initially randomized to receive placebo were allowed to receive dexrazoxane after a cumulative dose of doxorubicin above 300 mg/m2. Retrospective historical analyses showed that the risk of experiencing a cardiac event (see Table 3 for definition) at a cumulative dose of doxorubicin above 300 mg/m2 was greater in the patients who did not receive dexrazoxane beginning with their seventh course of FAC than in the patients who did receive dexrazoxane (HR=13.08; 95% CI: 3.72, 46.03; p<0.001). Overall, 3% of patients treated with dexrazoxane developed CHF compared with 22% of patients not receiving dexrazoxane.

Table 3: Definition of Cardiac Events:

  • Development of congestive heart failure, defined as having two or more of the following:

    a. Cardiomegaly by X-ray

    b. Basilar Rales

    c. S3 Gallop

    d. Paroxysmal nocturnal dyspnea and/or orthopnea and/or significant dyspnea on exertion.
  • Decline from baseline in LVEF by ≥10% and to below the lower limit of normal for the institution.
  • Decline in LVEF by ≥20% from baseline value.
  • Decline in LVEF to ≥5% below lower limit of normal for the institution.

Figure 1 shows the number of patients still on treatment at increasing cumulative doses.

Figure 1

Cumulative Number of Patients On Treatment FAC vs. FAC/Dexrazoxane Patients

Patients Receiving at Least Seven Courses of Treatment





4 Contraindications (4 CONTRAINDICATIONS)

Do not use dexrazoxane with non-anthracycline chemotherapy regimens.



6 Adverse Reactions (6 ADVERSE REACTIONS)

In clinical studies, dexrazoxane was administered to patients also receiving chemotherapeutic agents for cancer. Pain on injection was observed more frequently in patients receiving dexrazoxane versus placebo. (6.1)

To report SUSPECTED ADVERSE REACTIONS, contact Novadoz Pharmaceuticals LLC at 1-855-668-2369 or FDA at 1-800-FDA-1088 or www.fda.gov/medwatch.





7 Drug Interactions (7 DRUG INTERACTIONS)

No drug interactions have been identified [see Clinical Pharmacology (12.3)].

2.1 Recommended Dose

Administer dexrazoxane for injection via intravenous infusion over 15 minutes. DO NOT ADMINISTER VIA AN INTRAVENOUS PUSH.

The recommended dosage ratio of dexrazoxane for injection to doxorubicin is 10:1 (e.g., 500 mg/m2 dexrazoxane for injection to 50 mg/m2 doxorubicin). Do not administer doxorubicin before dexrazoxane for injection. Administer doxorubicin within 30 minutes after the completion of dexrazoxane for injection infusion.



5.1 Myelosuppression

Dexrazoxane may add to the myelosuppression caused by chemotherapeutic agents. Obtain a complete blood count prior to and during each course of therapy, and administer dexrazoxane and chemotherapy only when adequate hematologic parameters are met.

5.3 Cardiac Toxicity

Treatment with dexrazoxane does not completely eliminate the risk of anthracycline-induced cardiac toxicity. Monitor cardiac function before and periodically during therapy to assess left ventricular ejection fraction (LVEF). In general, if test results indicate deterioration in cardiac function associated with doxorubicin, the benefit of continued therapy should be carefully evaluated against the risk of producing irreversible cardiac damage.

8.6 Renal Impairment

Greater exposure to dexrazoxane may occur in patients with compromised renal function. Reduce the dexrazoxane dose by 50% in patients with creatinine clearance values <40 mL/min [see Dosage and Administration (2.2) and Clinical Pharmacology (12.3)].

12.3 Pharmacokinetics

The pharmacokinetics of dexrazoxane have been studied in advanced cancer patients with normal renal and hepatic function. The pharmacokinetics of dexrazoxane can be adequately described by a two-compartment open model with first-order elimination. Dexrazoxane has been administered as a 15 minute infusion over a dose range of 60 to 900 mg/m2 with 60 mg/m2 of doxorubicin, and at a fixed dose of 500 mg/m2 with 50 mg/m2 doxorubicin. The disposition kinetics of dexrazoxane are dose-independent, as shown by linear relationship between the area under plasma concentration-time curves and administered doses ranging from 60 to 900 mg/m2. The mean peak plasma concentration of dexrazoxane was 36.5 µg/mL at 15- minute after intravenous administration of 500 mg/m2 dose of dexrazoxane over 15 to 30 minutes prior to the 50 mg/m2 doxorubicin dose.

The important pharmacokinetic parameters of dexrazoxane are summarized in Table 2:



Table 2: SUMMARY OF MEAN (%CVa) DEXRAZOXANE

PHARMACOKINETIC PARAMETERS AT A DOSAGE RATIO OF

10:1 OF DEXRAZOXANE:DOXORUBICIN

 Dose

 Doxorubicin (mg/m2)

 
 Dose

 Dexrazoxane (mg/m2)

 
 Number of

 Subjects

 
 Elimination

 Half-Life (h)

 
 Plasma

 Clearance (L/h/m2)

 
 Renal

 Clearance (L/h/m2)

 
 bVolume of

 Distribution (L/m2)

 
 50

 
 500

 
 10

 
 2.5 (16)

 
 7.88 (18)

 
 3.35 (36)

 
 22.4 (22)

 
 60

 
 600

 
 5

 
 2.1 (29)

 
 6.25 (31)

 
 —

 
 22.0 (55)

 


a Coefficient of variation

b Steady-state volume of distribution

Distribution

Following a rapid distributive phase (0.2 to 0.3 hours), dexrazoxane reaches post-distributive equilibrium within two to four hours. The estimated mean steady-state volume of distribution of dexrazoxane is 22.4 L/m2 after 500 mg/m2 of dexrazoxane dose followed by 50 mg/m2 of doxorubicin, suggesting distribution throughout total body water (25 L/m2).

In vitro studies have shown that dexrazoxane is not bound to plasma proteins.

Metabolism

Qualitative metabolism studies with dexrazoxane have confirmed the presence of unchanged drug, a diacid-diamide cleavage product, and two monoacid-monoamide ring products in the urine of animals and man. The metabolite levels were not measured in the pharmacokinetic studies.

Excretion

Urinary excretion plays an important role in the elimination of dexrazoxane. Forty-two percent of a 500 mg/m2 dose of dexrazoxane was excreted in the urine. Renal clearance averages 3.35 L/h/m2 after the 500 mg/m2 dexrazoxane dose followed by 50 mg/m2 of doxorubicin.

Specific Populations

Pediatric


Pharmacokinetics following dexrazoxane administration have not been evaluated in pediatric patients.

Effect of Renal Impairment

The pharmacokinetics of dexrazoxane were assessed following a single 15-minute IV infusion of 150 mg/m2 of dexrazoxane. Dexrazoxane clearance was reduced in subjects with renal dysfunction. Compared with controls, the mean AUC0-inf value was two-fold greater in subjects with moderate (CLCR 30-50 mL/min) to severe (CLCR <30 mL/min) renal dysfunction. Modeling demonstrated that equivalent exposure (AUC-inf) could be achieved if dosing were reduced by 50% in subjects with creatinine clearance values <40 mL/min compared with control subjects (CLCR >80 mL/min) [see Use in Specific Populations (8.6) and Dosage and Administration (2.2)].

Effect of Hepatic Impairment

Pharmacokinetics following dexrazoxane administration have not been evaluated in patients with hepatic impairment. The dexrazoxane dose is dependent upon the dose of doxorubicin [seeDosage and Administration (2.2)].

Drug Interactions

There was no significant change in the pharmacokinetics of doxorubicin (50 mg/m2) and its predominant metabolite, doxorubicinol, in the presence of dexrazoxane (500 mg/m2) in a crossover study in cancer patients.

2.2 Dose Modifications

Dosing in Patients with Renal Impairment

Reduce dexrazoxane for injection dosage in patients with moderate to severe renal impairment (creatinine clearance values less than 40 mL/min) by 50% (Dexrazoxane for injection to doxorubicin ratio reduced to 5:1; such as 250 mg/m2 dexrazoxane for injection to 50 mg/m2 doxorubicin) [see Use in Specific Populations (8.6) and Clinical Pharmacology (12.3)].

Dosing in Patients with Hepatic Impairment

Since a doxorubicin dose reduction is recommended in the presence of hyperbilirubinemia, reduce the dexrazoxane for injection dosage proportionately (maintaining the 10:1 ratio) in patients with hepatic impairment.



1 Indications and Usage (1 INDICATIONS AND USAGE)

Dexrazoxane for injection is indicated for reducing the incidence and severity of cardiomyopathy associated with doxorubicin administration in women with metastatic breast cancer who have received a cumulative doxorubicin dose of 300 mg/m2 and who will continue to receive doxorubicin therapy to maintain tumor control. Do not use with the initiation of doxorubicin therapy [see Warnings and Precautions (5.2)].

12.1 Mechanism of Action

The mechanism by which dexrazoxane exerts its cytoprotective activity is not fully understood. Dexrazoxane is a cyclic derivative of EDTA that penetrates cell membranes. Results of laboratory studies suggest that dexrazoxane is converted intracellularly to a ring-opened chelating agent that interferes with iron-mediated free radical generation thought to be responsible, in part, for anthracycline-induced cardiomyopathy.

5.5 Embryo Fetal Toxicity (5.5 Embryo-Fetal Toxicity)


Based on finding from animal studies and its mechanism of action, dexrazoxane can cause fetal harm when administered to pregnant women [see Clinical Pharmacology (12.1)]. In animal reproduction studies, dexrazoxane administration during the period of organogenesis resulted in maternal toxicity and teratogenicity in rats and rabbits at doses significantly lower than the clinically recommended dose. 

Advise pregnant women and females of reproductive potential of the potential risk to a fetus. Advise females of reproductive potential to use effective contraception during treatment with dexrazoxane and for 6 months after the last dose. Advise male patients with female partners of reproductive potential to use effective contraception during treatment with dexrazoxane and for 3 months after the last dose [see Use in Specific Populations (8.1, 8.3)].





5 Warnings and Precautions (5 WARNINGS AND PRECAUTIONS)
  • Myelosuppression: Dexrazoxane may increase the myelosuppresive effects of chemotherapeutic agents. Perform hematological monitoring. (5.1)
  • Embryo-Fetal Toxicity: Can cause fetal harm. Advise patients of the potential risk to a fetus and to use effective contraception. (5.5, 8.1,8.3)
5.4 Secondary Malignancies

Secondary malignancies such as acute myeloid leukemia (AML) and myelodysplastic syndrome (MDS) have been reported in studies of pediatric patients who have received dexrazoxane in combination with chemotherapy. Dexrazoxane is not indicated for use in pediatric patients. Some adult patients who received dexrazoxane in combination with anti-cancer agents known to be carcinogenic have also developed secondary malignancies, including AML and MDS.

Razoxane is the racemic mixture, of which dexrazoxane is the S(+)-enantiomer. Secondary malignancies (primarily acute myeloid leukemia) have been reported in patients treated chronically with oral razoxane. In these patients, the total cumulative dose of razoxane ranged from 26 to 480 grams and the duration of treatment was from 42 to 319 weeks. One case of T-cell lymphoma, one case of B-cell lymphoma, and six to eight cases of cutaneous basal cell or squamous cell carcinoma have also been reported in patients treated with razoxane. Long-term administration of razoxane to rodents was associated with the development of malignancies [see Nonclinical Toxicology (13.1)].



2 Dosage and Administration (2 DOSAGE AND ADMINISTRATION)
  • Reconstitute vial contents and dilute before use. (2.3)
  • Administer dexrazoxane for injection by intravenous infusion over 15 minutes.
  • DO NOT ADMINISTER VIA AN INTRAVENOUS PUSH. (2.1, 2.3)
  • The recommended dosage ratio of dexrazoxane for injection to doxorubicin is 10:1 (e.g., 500 mg/m2 dexrazoxane for injection to 50 mg/m2 doxorubicin). Do not administer doxorubicin before dexrazoxane for injection. (2.1)
  • Reduce dose by 50% for patients with creatinine clearance <40 mL/min. (2.2, 8.6)
3 Dosage Forms and Strengths (3 DOSAGE FORMS AND STRENGTHS)

For injection: 250 mg or 500 mg of dexrazoxane as a sterile, off white to pale yellow lyophilized powder in a single-dose vials for reconstitution.

5.2 Concomitant Chemotherapy

Only use dexrazoxane in those patients who have received a cumulative doxorubicin dose of 300 mg/m2 and are continuing with doxorubicin therapy. Do not use with chemotherapy initiation as dexrazoxane may interfere with the antitumor activity of the chemotherapy regimen. In a trial conducted in patients with metastatic breast cancer who were treated with fluorouracil, doxorubicin, and cyclophosphamide (FAC) with or without dexrazoxane starting with their first cycle of FAC therapy, patients who were randomized to receive dexrazoxane had a lower response rate (48% vs. 63%) and shorter time to progression than patients who were randomized to receive placebo.



8 Use in Specific Populations (8 USE IN SPECIFIC POPULATIONS)
  • Lactation: Advise not to breastfeed. (8.2)
6.1 Clinical Trials Experience

Because clinical trials are conducted under widely varying conditions, the adverse reaction rates observed cannot be directly compared to rates in other trials and may not reflect the rates observed in clinical practice.

The adverse reaction profile described in this section was identified from randomized, placebo- controlled, double-blind studies in patients with metastatic breast cancer who received the combination of the FAC chemotherapy regimen with or without dexrazoxane. The dose of doxorubicin was 50 mg/m2 in each of these trials. Treatment was administered every three weeks until disease progression or cardiac toxicity.

Patients in clinical trials who received FAC with dexrazoxane experienced more severe leukopenia, granulocytopenia, and thrombocytopenia than patients receiving FAC without dexrazoxane [see Warnings and Precautions (5.1)].

Table 1 below lists the incidence of adverse reactions for patients receiving FAC with either dexrazoxane or placebo in the breast cancer studies. Adverse experiences occurring during courses 1 through 6 are displayed for patients receiving dexrazoxane or placebo with FAC beginning with their first course of therapy (columns 1 and 3, respectively). Adverse experiences occurring at course 7 and beyond for patients who received placebo with FAC during the first six courses and who then received either dexrazoxane or placebo with FAC are also displayed (columns 2 and 4, respectively).

The adverse reactions listed below in Table 1 demonstrate that the frequency of adverse reaction “Pain on Injection” has been greater for dexrazoxane arm, as compared to placebo.



Table 1

 Adverse Reaction

 
 Percentage (%) of Breast Cancer Patients With Adverse Reaction

 
 FAC + Dexrazoxane

 
 FAC + Placebo

 
 Courses 1-6

 N = 413

 
 Courses ≥ 7

 N = 102

 
 Courses 1-6

 N = 458

 
 Courses ≥ 7

 N = 99

 
 Alopecia

 
 94

 
 100

 
 97

 
 98

 
 Nausea

 
 77

 
 51

 
 84

 
 60

 
 Vomiting

 
 59

 
 42

 
 72

 
 49

 
 Fatigue/Malaise

 
 61

 
 48

 
 58

 
 55

 
 Anorexia

 
 42

 
 27

 
 47

 
 38

 
 Stomatitis

 
 34

 
 26

 
 41

 
 28

 
 Fever

 
 34

 
 22

 
 29

 
 18

 
 Infection

 
 23

 
 19

 
 18

 
 21

 
 Diarrhea

 
 21

 
 14

 
 24

 
 7

 
 Pain on Injection

 
 12

 
 13

 
 3

 
 0

 
 Sepsis

 
 17

 
 12

 
 14

 
 9

 
 Neurotoxicity

 
 17

 
 10

 
 13

 
 5

 
 Streaking/Erythema

 
 5

 
 4

 
 4

 
 2

 
 Phlebitis

 
 6

 
 3

 
 3

 
 5

 
 Esophagitis

 
 6

 
 3

 
 7

 
 4

 
 Dysphagia

 
 8

 
 0

 
 10

 
 5

 
 Hemorrhage

 
 2

 
 3

 
 2

 
 1

 
 Extravasation

 
 1

 
 3

 
 1

 
 2

 
 Urticaria

 
 2

 
 2

 
 2

 
 0

 
 Recall Skin

 Reaction

 
 1

 
 1

 
 2

 
 0

 


17 Patient Counseling Information (17 PATIENT COUNSELING INFORMATION)


Myelosuppression 

Treatment with dexrazoxane is associated with leukopenia, neutropenia, and thrombocytopenia. Perform hematological monitoring [see Warnings and Precautions (5.1)]

Embryo-Fetal Toxicity 

Advise female patients of the potential risk to a fetus and to inform their healthcare provider of a known or suspected pregnancy. Advise females of reproductive potential to use effective contraception during treatment with dexrazoxane and for 6 months after the last dose. Advise male patients with female partners of reproductive potential to use effective contraception during treatment with dexrazoxane and for 3 months after the last dose [seeWarnings and Precautions (5.5) and Use in Specific Populations (8.1, 8.3)]

Lactation 

Advise women not to breastfeed during treatment with dexrazoxane and for 2 weeks after the last dose [see Use in Specific Populations (8.2)]

Infertility 

Advise males of reproductive potential that dexrazoxane may impair fertility [see Use in Specific Populations (8.3)].



This product’s label may have been updated. For current full prescribing information, please visit www.msnlabs.com.



Manufactured by: 

MSN Laboratories Private Limited


Telangana – 509 228,

INDIA



Distributed by:

Novadoz Pharmaceuticals LLC


Piscataway, NJ 08854 -3714

Revised: 07/2025



2.3 Preparation and Administration

Preparation and Handling of Infusion Solution

Reconstitute dexrazoxane for injection with Sterile Water for Injection, USP. Reconstitute with 25 mL for a dexrazoxane for injection 250 mg vial and 50 mL for a dexrazoxane for injection 500 mg vial to give a concentration of 10 mg/mL. Dilute the reconstituted solution further with Lactated Ringer’s Injection, USP to a concentration of 1.3 to 3.0 mg/mL in intravenous infusion bags for intravenous infusion.

Following reconstitution with Sterile Water for Injection, USP, dexrazoxane for injection is stable for 30 minutes at room temperature or if storage is necessary, up to 3 hours from the time of reconstitution when stored under refrigeration, 2° to 8°C (36° to 46°F). The pH of the resultant solution is 1.0 to 3.0. DISCARD UNUSED SOLUTIONS. The diluted infusion solutions are stable for one hour at room temperature or if storage is necessary, up to 4 hours when stored under refrigeration, 2° to 8°C (36° to 46°F). The infusion solutions have a pH of 3.5 to 5.5. DISCARD UNUSED SOLUTIONS.

Parenteral drug products should be inspected visually for particulate matter and discoloration prior to administration, whenever solution and container permit. Solutions containing a precipitate should be discarded.

Use caution when handling and preparing the reconstituted solution. The use of gloves is recommended. If dexrazoxane for injection powder or solutions contact the skin or mucosae, wash exposed area immediately and thoroughly with soap and water. Follow special handling and disposal procedures.1

Administration

Do not mix dexrazoxane for injection with other drugs.

Administer the final diluted solution of dexrazoxane for injection by intravenous infusion over 15 minutes before the administration of doxorubicin. DO NOT ADMINISTER VIA AN INTRAVENOUS PUSH. Administer doxorubicin within 30 minutes after the completion of dexrazoxane for injection infusion.

16 How Supplied/storage and Handling (16 HOW SUPPLIED/STORAGE AND HANDLING)

Dexrazoxane for injection is available in the following strengths as a sterile, off white to pale yellow pyrogen-free lyophilized powder in a single-dose vials for reconstitution.

 Strength

 
 Pack Style

 
 NDC Code

 
 250 mg

 
 Carton of single-dose vial with a blue flip-top seal

 
  72205-247-01

 
 500 mg

 
 Carton of single-dose vial with a blue flip-top seal

 
  72205-248-01

 


Store at 25°C (77°F); excursions permitted to 15° to 30°C (59° to 86°F) [see USP Controlled Room Temperature].

Follow special handling and disposal procedures.1

Discard unused solutions.

Package Label.principal Display Panel (PACKAGE LABEL.PRINCIPAL DISPLAY PANEL)

Dexrazoxane for injection 250 mg/Vial Carton Label



Dexrazoxane for injection 250 mg/Vial Vial Label

  

Dexrazoxane for injection 500 mg/Vial Carton Label

 

Dexrazoxane for injection 500 mg/Vial Vial Label

8.3 Females and Males of Reproductive Potential


Dexrazoxane can cause fetal harm when administered to a pregnant woman [see Use in Specific Populations (8.1)]. 

Pregnancy Testing 

Verify pregnancy status in females of reproductive potential prior to starting treatment with dexrazoxane. 

Contraception 

Females 

Advise females of reproductive potential to use effective contraception during treatment with dexrazoxane and for 6 months after the last dose. Males Because of the potential for genotoxicity, advise male patients with female partners of reproductive potential to use effective contraception during treatment with dexrazoxane and for 3 months after the last dose [see Nonclinical Toxicology (13.1)]

Infertility Based on findings from animal studies, dexrazoxane may impair male fertility [see Nonclinical Toxicology (13.1)].





13.1 Carcinogenesis, Mutagenesis, Impairment of Fertility

No long-term carcinogenicity studies have been carried out with dexrazoxane in animals. Nevertheless, a study by the National Cancer Institute has reported that long-term dosing with razoxane (the racemic mixture of dexrazoxane, ICRF-187, and its enantiomer ICRF-186) is associated with the development of malignancies in rats and possibly in mice [see Warnings and Precautions (5.4)].

Dexrazoxane was not mutagenic in the bacterial reverse mutation (Ames) test, but was found to be clastogenic to human lymphocytes in vitro and to mouse bone marrow erythrocytes in vivo (micronucleus test).

Dexrazoxane has the potential to impair fertility in male patients based on effects in repeat-dose toxicology studies. Testicular atrophy was seen with dexrazoxane administration at doses as low as 30 mg/kg weekly for 6 weeks in rats (1/3 the human dose on a mg/m2 basis) and as low as 20 mg/kg weekly for 13 weeks in dogs (approximately equal to the human dose on a mg/m2 basis).




Advanced Ingredient Data


Raw Label Data

All Sections (JSON)