These Highlights Do Not Include All The Information Needed To Use Hydrocodone Bitartrate Extended-release Capsules Safely And Effectively. See Full Prescribing Information For Hydrocodone Bitartrate Extended-release Capsules.

These Highlights Do Not Include All The Information Needed To Use Hydrocodone Bitartrate Extended-release Capsules Safely And Effectively. See Full Prescribing Information For Hydrocodone Bitartrate Extended-release Capsules.
SPL v9
SPL
SPL Set ID a7b8ea07-e926-f0a5-c20d-92f23ed350d0
Route
ORAL
Published
Effective Date 2016-12-27
Document Type 34391-3 HUMAN PRESCRIPTION DRUG LABEL

Drug Facts

Composition & Product

Active Ingredients
Hydrocodone (10 mg)
Inactive Ingredients
Sucrose Ammonio Methacrylate Copolymer Type B Silicon Dioxide Talc Titanium Dioxide Fd&c Blue No. 1 Fd&c Red No. 40 Ferrosoferric Oxide Gelatin, Unspecified Copovidone K25-31 Sodium Lauryl Sulfate D&c Yellow No. 10 Fd&c Blue No. 2 Fd&c Yellow No. 6 Butyl Alcohol Propylene Glycol Shellac Fd&c Red No. 3

Identifiers & Packaging

Marketing Status
ANDA Active Since 2020-01-21

Description

Boxed Warning 12/2023 Indications and Usage ( 1 ) 12/2023 Dosage and Administration ( 2.1 , 2.3 , 2.4 ) 12/2023 Warnings and Precautions ( 5.7 ) 12/2023

Indications and Usage

Hydrocodone bitartrate extended-release capsules are indicated for the management of severe and persistent pain that requires an extended treatment period with a daily opioid analgesic and for which alternative treatment options are inadequate. Limitations of Use: Because of the risks of addiction, abuse, and misuse with opioids, which can occur at any dosage or duration, and because of the greater risks of overdose and death with extended-release/long-acting opioid formulations, [see Warnings and Precautions (5.1)] , reserve hydrocodone bitartrate extended-release capsules for use in patients for whom alternative treatment options (e.g., non-opioid analgesics or immediate-release opioids) are ineffective, not tolerated, or would be otherwise inadequate to provide sufficient management of pain. Hydrocodone bitartrate extended-release capsules are not indicated as an as-needed (prn) analgesic.

Dosage and Administration

Hydrocodone bitartrate extended-release capsules should be prescribed only by healthcare professionals who are knowledgeable about the use of extended-release/long-acting opioids and how to mitigate the associated risks. Daily doses of hydrocodone bitartrate extended-release capsules, a single dose of greater than 40 mg, or a total daily dose of greater than 80 mg, are only for use in patients in whom tolerance to an opioid of comparable potency has been established. Patients who are opioid tolerant are those receiving, for one week or longer, at least 60 mg oral morphine per day, 25 mcg transdermal fentanyl per hour, 30 mg oral oxycodone per day, 8 mg oral hydromorphone per day, 25 mg oral oxymorphone per day, 60 mg oral hydrocodone per day, or an equianalgesic dose of another opioid. Use the lowest effective dosage for the shortest duration of time consistent with individual patient treatment goals [see Warnings and Precautions ( 5 )] . Because the risk of overdose increases as opioid doses increase, reserve titration to higher doses of hydrocodone bitartrate extended-release capsules for patients in whom lower doses are insufficiently effective and in whom the expected benefits of using a higher dose opioid clearly outweigh the substantial risks. Initiate the dosing regimen for each patient individually, taking into account the patient's underlying cause and severity of pain, prior analgesic treatment and response, and risk factors for addiction, abuse, and misuse [see Warnings and Precautions ( 5.1 )] . Respiratory depression can occur at any time during opioid therapy, especially when initiating and following dosage increases with hydrocodone bitartrate extended-release capsules. Consider this risk when selecting an initial dose and when making dose adjustments [see Warnings and Precautions ( 5 )] . Instruct patients to swallow hydrocodone bitartrate extended-release capsules whole [see Patient Counseling Information ( 17 )] . Crushing, chewing, or dissolving the beads in hydrocodone bitartrate extended-release capsules will result in uncontrolled delivery of hydrocodone and can lead to overdose or death [see Warnings and Precautions ( 5.1 )] . Hydrocodone bitartrate extended-release capsules are administered orally twice daily (every 12 hours).

Warnings and Precautions

Opioid-Induced Hyperalgesia and Allodynia: Opioid-Induced Hyperalgesia (OIH) occurs when an opioid analgesic paradoxically causes an increase in pain, or an increase in sensitivity to pain. If OIH is suspected, carefully consider appropriately decreasing the dose of the current opioid analgesic or opioid rotation. ( 5.7 ) Life-Threatening Respiratory Depression in Patients with Chronic Pulmonary Disease or in Elderly, Cachectic, or Debilitated Patients: Regularly evaluate, particularly during initiation and titration. ( 5.8 ) Adrenal Insufficiency: If diagnosed, treat with physiologic replacement of corticosteroids, and wean patient off of the opioid. ( 5.9 ) Severe Hypotension: Regularly evaluate during dosage initiation and titration. Avoid use of hydrocodone bitartrate extended-release capsules in patients with circulatory shock. ( 5.10 ) Risks of Use in Patients with Increased Intracranial Pressure, Brain Tumors, Head Injury, or Impaired Consciousness: Monitor for sedation and respiratory depression. Avoid use of hydrocodone bitartrate extended-release capsules in patients with impaired consciousness or coma. ( 5.11 )

Contraindications

Hydrocodone bitartrate extended-release capsules are contraindicated in patients with: Significant respiratory depression [see Warnings and Precautions ( 5.2 )] Acute or severe bronchial asthma in an unmonitored setting or in the absence of resuscitative equipment [see Warnings and Precautions ( 5.8 )] Known or suspected gastrointestinal obstruction, including paralytic ileus [see Warnings and Precautions ( 5.12 )] Hypersensitivity (e.g., anaphylaxis) to hydrocodone or any other ingredients in hydrocodone bitartrate extended-release capsules

Adverse Reactions

The following serious adverse reactions are discussed elsewhere in the labeling: Addiction, Abuse, and Misuse [see Warnings and Precautions ( 5.1 )] Life-Threatening Respiratory Depression [see Warnings and Precautions ( 5.2 )] Risks from Concomitant Use with Benzodiazepines and Other CNS Depressants [see Warnings and Precautions ( 5.3 )] Neonatal Opioid Withdrawal Syndrome [see Warnings and Precautions ( 5.4 )] Opioid-Induced Hyperalgesia and Allodynia [see Warnings and Precautions ( 5.7 )] Adrenal Insufficiency [see Warnings and Precautions ( 5.9 )] Severe Hypotension [see Warnings and Precautions ( 5.10 )] Gastrointestinal Adverse Reactions [see Warnings and Precautions ( 5.12 )] Seizures [see Warnings and Precautions ( 5.13 )] Withdrawal [see Warnings and Precautions ( 5.14 )]

Drug Interactions

Alcohol Clinical Impact: Concomitant use of alcohol with hydrocodone bitartrate extended-release capsules can result in an increase of hydrocodone plasma levels and potentially fatal overdose of hydrocodone. Intervention: Instruct patients not to consume alcoholic beverages or use prescription or non-prescription products containing alcohol while on hydrocodone bitartrate extended-release capsules therapy [see Clinical Pharmacology ( 12.3 )] . Inhibitors of CYP3A4 and CYP2D6 Clinical Impact: The concomitant use of hydrocodone bitartrate extended-release capsules and CYP3A4 inhibitors can increase the plasma concentration of hydrocodone, resulting in increased or prolonged opioid effects. These effects could be more pronounced with concomitant use of hydrocodone bitartrate extended-release capsules and CYP2D6 and CYP3A4 inhibitors, particularly when an inhibitor is added after a stable dose of hydrocodone bitartrate extended-release capsules is achieved [see Warnings and Precautions ( 5.6 )] . After stopping a CYP3A4 inhibitor, as the effects of the inhibitor decline, the hydrocodone plasma concentration will decrease [see Clinical Pharmacology ( 12.3 )] , resulting in decreased opioid efficacy or a withdrawal syndrome in patients who had developed physical dependence to hydrocodone. Intervention: If concomitant use is necessary, consider dosage reduction of hydrocodone bitartrate extended-release capsules until stable drug effects are achieved. Evaluate patients at frequent intervals for respiratory depression and sedation. If a CYP3A4 inhibitor is discontinued, consider increasing the hydrocodone bitartrate extended-release capsules dosage until stable drug effects are achieved. Evaluate for signs of opioid withdrawal. Examples: Macrolide antibiotics (e.g., erythromycin), azole-antifungal agents (e.g. ketoconazole), protease inhibitors (e.g., ritonavir) CYP3A4 Inducers Clinical Impact: The concomitant use of hydrocodone bitartrate extended-release capsules and CYP3A4 inducers can decrease the plasma concentration of hydrocodone [see Clinical Pharmacology ( 12.3 )] , resulting in decreased efficacy or onset of a withdrawal syndrome in patients who have developed physical dependence to hydrocodone [see Warnings and Precautions ( 5.6 )] . After stopping a CYP3A4 inducer, as the effects of the inducer decline, the hydrocodone plasma concentration will increase [see Clinical Pharmacology ( 12.3 )] , which could increase or prolong both the therapeutic effects and adverse reactions, and may cause serious respiratory depression. Intervention: If concomitant use is necessary, consider increasing the hydrocodone bitartrate extended-release capsules dosage until stable drug effects are achieved. Evaluate for signs of opioid withdrawal. If a CYP3A4 inducer is discontinued, consider hydrocodone bitartrate extended-release capsules dosage reduction and evaluate patients at frequent intervals for signs of respiratory depression and sedation. Examples: Rifampin, carbamazepine, phenytoin Benzodiazepines and other Central Nervous System (CNS) Depressants Clinical Impact: Due to additive pharmacologic effect, the concomitant use of benzodiazepines or other CNS depressants including alcohol, can increase the risk of hypotension, respiratory depression, profound sedation, coma, and death. Intervention: Reserve concomitant prescribing of these drugs for use in patients for whom alternative treatment options are inadequate. Limit dosages and durations to the minimum required. Inform patients and caregivers of this potential interaction, educate them on the signs and symptoms of respiratory depression (including sedation) [see Warnings and Precautions ( 5.3 )] . If concomitant use is warranted, consider prescribing naloxone for the emergency treatment of opioid overdose [see Dosage and Administration ( 2.2 ), Warnings and Precautions ( 5.1 , 5.2 , 5.3 )] . Examples: Benzodiazepines and other sedatives/hypnotics, anxiolytics, tranquilizers, muscle relaxants, general anesthetics, antipsychotics, other opioids, alcohol. Serotonergic Drugs Clinical Impact: The concomitant use of opioids with other drugs that affect the serotonergic neurotransmitter system has resulted in serotonin syndrome . Intervention: If concomitant use is warranted, frequently evaluate the patient, particularly during treatment initiation and dose adjustment. Discontinue hydrocodone bitartrate extended-release capsules if serotonin syndrome is suspected. Examples: Selective serotonin reuptake inhibitors (SSRIs), serotonin and norepinephrine reuptake inhibitors (SNRIs), tricyclic antidepressants (TCAs), triptans, 5-HT3 receptor antagonists, drugs that affect the serotonin neurotransmitter system (e.g., mirtazapine, trazodone, tramadol), monoamine oxidase (MAO) inhibitors (those intended to treat psychiatric disorders and also others, such as linezolid and intravenous methylene blue). Monoamine Oxidase Inhibitors (MAOIs) Clinical Impact: MAOI interactions with opioids may manifest as serotonin syndrome or opioid toxicity (e.g., respiratory depression, coma) [see Drug Interactions ( 7 )] . Intervention: The use of hydrocodone bitartrate extended-release capsules is not recommended for patients taking MAOIs or within 14 days of stopping such treatment. Examples: Phenelzine, tranylcypromine, linezolid Mixed Agonist/Antagonist and Partial Agonist Opioid Analgesics Clinical Impact: May reduce the analgesic effect of hydrocodone bitartrate extended-release capsules and/or precipitate withdrawal symptoms. Intervention: Avoid concomitant use. Examples: butorphanol, nalbuphine, pentazocine, buprenorphine Muscle Relaxants Clinical Impact: Hydrocodone may enhance the neuromuscular blocking action of skeletal muscle relaxants and produce an increased degree of respiratory depression. Intervention: Because respiratory depression may be greater than otherwise expected, decrease the dosage of hydrocodone bitartrate extended-release capsules and/or the muscle relaxant as necessary. Due to the risk of respiratory depression with concomitant use of muscle relaxants and opioids, consider prescribing naloxone for the emergency treatment of opioid overdose [see Dosage and Administration ( 2.2 ), Warnings and Precautions ( 5.2 , 5.3 )] . Diuretics Clinical Impact: Opioids can reduce the efficacy of diuretics by inducing the release of antidiuretic hormone. Intervention: Evaluate patients for signs of diminished diuresis and/or effects on blood pressure and increase the dosage of the diuretic as needed. Anticholinergic Drugs Clinical Impact: The concomitant use of anticholinergic drugs may increase risk of urinary retention and/or severe constipation, which may lead to paralytic ileus. Intervention: Evaluate patients for signs of urinary retention or reduced gastric motility when hydrocodone bitartrate extended-release capsules are used concomitantly with anticholinergic drugs.

Storage and Handling

Hydrocodone bitartrate extended-release capsules are supplied in bottles with child-resistant closures as follows: Strength Capsule Color(s) Capsule Text NDC Number 10 mg Light blue cap and yellow body "ALV" printed on the cap and "409" printed on the body in grey ink 47781-409-60 60 Count Bottle 15 mg Light lavender cap and yellow body "ALV" printed on the cap and "410" printed on the body in grey ink 47781-410-60 60 Count Bottle 20 mg White cap and yellow body "ALV" printed on the cap and "411" printed on the body in grey ink 47781-411-60 60 Count Bottle 30 mg Light pink cap and yellow body "ALV" printed on the cap and "412" printed on the body in grey ink 47781-412-60 60 Count Bottle 40 mg Yellow cap and yellow body "ALV" printed on the cap and "413" printed on the body in grey ink 47781-413-60 60 Count Bottle 50 mg Light grey cap and yellow body "ALV" printed on the cap and "414" printed on the body in grey ink 47781-414-60 60 Count Bottle Hydrocodone bitartrate extended-release capsules contain hydrocodone bitartrate which is a controlled substance and is controlled under Schedule II of the Controlled Substances Act. Hydrocodone, like all opioids, is liable to diversion and misuse and should be handled accordingly. Patients and their families should be instructed to dispose of any hydrocodone bitartrate extended-release capsules that are no longer needed. Hydrocodone bitartrate extended-release capsules may be targeted for theft and diversion. Healthcare professionals should contact their State Medical Board, State Board of Pharmacy, or State Control Board for information on how to detect or prevent diversion of this product. Healthcare professionals should advise patients to store hydrocodone bitartrate extended-release capsules in a secure place, preferably locked and out of the reach of children and other non-caregivers. Store at 25°C (77°F); excursions permitted to 15° to 30°C (59° to 86°F) [see USP Controlled Room Temperature]. Dispense in tight container as defined in the USP, with a child-resistant closure. Advise patients to dispose of any unused capsules from a prescription as soon as they are no longer needed in accordance with local State guidelines and/or regulations [see Patient Counseling Information ( 17 )] .

How Supplied

Hydrocodone bitartrate extended-release capsules are supplied in bottles with child-resistant closures as follows: Strength Capsule Color(s) Capsule Text NDC Number 10 mg Light blue cap and yellow body "ALV" printed on the cap and "409" printed on the body in grey ink 47781-409-60 60 Count Bottle 15 mg Light lavender cap and yellow body "ALV" printed on the cap and "410" printed on the body in grey ink 47781-410-60 60 Count Bottle 20 mg White cap and yellow body "ALV" printed on the cap and "411" printed on the body in grey ink 47781-411-60 60 Count Bottle 30 mg Light pink cap and yellow body "ALV" printed on the cap and "412" printed on the body in grey ink 47781-412-60 60 Count Bottle 40 mg Yellow cap and yellow body "ALV" printed on the cap and "413" printed on the body in grey ink 47781-413-60 60 Count Bottle 50 mg Light grey cap and yellow body "ALV" printed on the cap and "414" printed on the body in grey ink 47781-414-60 60 Count Bottle Hydrocodone bitartrate extended-release capsules contain hydrocodone bitartrate which is a controlled substance and is controlled under Schedule II of the Controlled Substances Act. Hydrocodone, like all opioids, is liable to diversion and misuse and should be handled accordingly. Patients and their families should be instructed to dispose of any hydrocodone bitartrate extended-release capsules that are no longer needed. Hydrocodone bitartrate extended-release capsules may be targeted for theft and diversion. Healthcare professionals should contact their State Medical Board, State Board of Pharmacy, or State Control Board for information on how to detect or prevent diversion of this product. Healthcare professionals should advise patients to store hydrocodone bitartrate extended-release capsules in a secure place, preferably locked and out of the reach of children and other non-caregivers. Store at 25°C (77°F); excursions permitted to 15° to 30°C (59° to 86°F) [see USP Controlled Room Temperature]. Dispense in tight container as defined in the USP, with a child-resistant closure. Advise patients to dispose of any unused capsules from a prescription as soon as they are no longer needed in accordance with local State guidelines and/or regulations [see Patient Counseling Information ( 17 )] .


Medication Information

Warnings and Precautions

Opioid-Induced Hyperalgesia and Allodynia: Opioid-Induced Hyperalgesia (OIH) occurs when an opioid analgesic paradoxically causes an increase in pain, or an increase in sensitivity to pain. If OIH is suspected, carefully consider appropriately decreasing the dose of the current opioid analgesic or opioid rotation. ( 5.7 ) Life-Threatening Respiratory Depression in Patients with Chronic Pulmonary Disease or in Elderly, Cachectic, or Debilitated Patients: Regularly evaluate, particularly during initiation and titration. ( 5.8 ) Adrenal Insufficiency: If diagnosed, treat with physiologic replacement of corticosteroids, and wean patient off of the opioid. ( 5.9 ) Severe Hypotension: Regularly evaluate during dosage initiation and titration. Avoid use of hydrocodone bitartrate extended-release capsules in patients with circulatory shock. ( 5.10 ) Risks of Use in Patients with Increased Intracranial Pressure, Brain Tumors, Head Injury, or Impaired Consciousness: Monitor for sedation and respiratory depression. Avoid use of hydrocodone bitartrate extended-release capsules in patients with impaired consciousness or coma. ( 5.11 )

Indications and Usage

Hydrocodone bitartrate extended-release capsules are indicated for the management of severe and persistent pain that requires an extended treatment period with a daily opioid analgesic and for which alternative treatment options are inadequate. Limitations of Use: Because of the risks of addiction, abuse, and misuse with opioids, which can occur at any dosage or duration, and because of the greater risks of overdose and death with extended-release/long-acting opioid formulations, [see Warnings and Precautions (5.1)] , reserve hydrocodone bitartrate extended-release capsules for use in patients for whom alternative treatment options (e.g., non-opioid analgesics or immediate-release opioids) are ineffective, not tolerated, or would be otherwise inadequate to provide sufficient management of pain. Hydrocodone bitartrate extended-release capsules are not indicated as an as-needed (prn) analgesic.

Dosage and Administration

Hydrocodone bitartrate extended-release capsules should be prescribed only by healthcare professionals who are knowledgeable about the use of extended-release/long-acting opioids and how to mitigate the associated risks. Daily doses of hydrocodone bitartrate extended-release capsules, a single dose of greater than 40 mg, or a total daily dose of greater than 80 mg, are only for use in patients in whom tolerance to an opioid of comparable potency has been established. Patients who are opioid tolerant are those receiving, for one week or longer, at least 60 mg oral morphine per day, 25 mcg transdermal fentanyl per hour, 30 mg oral oxycodone per day, 8 mg oral hydromorphone per day, 25 mg oral oxymorphone per day, 60 mg oral hydrocodone per day, or an equianalgesic dose of another opioid. Use the lowest effective dosage for the shortest duration of time consistent with individual patient treatment goals [see Warnings and Precautions ( 5 )] . Because the risk of overdose increases as opioid doses increase, reserve titration to higher doses of hydrocodone bitartrate extended-release capsules for patients in whom lower doses are insufficiently effective and in whom the expected benefits of using a higher dose opioid clearly outweigh the substantial risks. Initiate the dosing regimen for each patient individually, taking into account the patient's underlying cause and severity of pain, prior analgesic treatment and response, and risk factors for addiction, abuse, and misuse [see Warnings and Precautions ( 5.1 )] . Respiratory depression can occur at any time during opioid therapy, especially when initiating and following dosage increases with hydrocodone bitartrate extended-release capsules. Consider this risk when selecting an initial dose and when making dose adjustments [see Warnings and Precautions ( 5 )] . Instruct patients to swallow hydrocodone bitartrate extended-release capsules whole [see Patient Counseling Information ( 17 )] . Crushing, chewing, or dissolving the beads in hydrocodone bitartrate extended-release capsules will result in uncontrolled delivery of hydrocodone and can lead to overdose or death [see Warnings and Precautions ( 5.1 )] . Hydrocodone bitartrate extended-release capsules are administered orally twice daily (every 12 hours).

Contraindications

Hydrocodone bitartrate extended-release capsules are contraindicated in patients with: Significant respiratory depression [see Warnings and Precautions ( 5.2 )] Acute or severe bronchial asthma in an unmonitored setting or in the absence of resuscitative equipment [see Warnings and Precautions ( 5.8 )] Known or suspected gastrointestinal obstruction, including paralytic ileus [see Warnings and Precautions ( 5.12 )] Hypersensitivity (e.g., anaphylaxis) to hydrocodone or any other ingredients in hydrocodone bitartrate extended-release capsules

Adverse Reactions

The following serious adverse reactions are discussed elsewhere in the labeling: Addiction, Abuse, and Misuse [see Warnings and Precautions ( 5.1 )] Life-Threatening Respiratory Depression [see Warnings and Precautions ( 5.2 )] Risks from Concomitant Use with Benzodiazepines and Other CNS Depressants [see Warnings and Precautions ( 5.3 )] Neonatal Opioid Withdrawal Syndrome [see Warnings and Precautions ( 5.4 )] Opioid-Induced Hyperalgesia and Allodynia [see Warnings and Precautions ( 5.7 )] Adrenal Insufficiency [see Warnings and Precautions ( 5.9 )] Severe Hypotension [see Warnings and Precautions ( 5.10 )] Gastrointestinal Adverse Reactions [see Warnings and Precautions ( 5.12 )] Seizures [see Warnings and Precautions ( 5.13 )] Withdrawal [see Warnings and Precautions ( 5.14 )]

Drug Interactions

Alcohol Clinical Impact: Concomitant use of alcohol with hydrocodone bitartrate extended-release capsules can result in an increase of hydrocodone plasma levels and potentially fatal overdose of hydrocodone. Intervention: Instruct patients not to consume alcoholic beverages or use prescription or non-prescription products containing alcohol while on hydrocodone bitartrate extended-release capsules therapy [see Clinical Pharmacology ( 12.3 )] . Inhibitors of CYP3A4 and CYP2D6 Clinical Impact: The concomitant use of hydrocodone bitartrate extended-release capsules and CYP3A4 inhibitors can increase the plasma concentration of hydrocodone, resulting in increased or prolonged opioid effects. These effects could be more pronounced with concomitant use of hydrocodone bitartrate extended-release capsules and CYP2D6 and CYP3A4 inhibitors, particularly when an inhibitor is added after a stable dose of hydrocodone bitartrate extended-release capsules is achieved [see Warnings and Precautions ( 5.6 )] . After stopping a CYP3A4 inhibitor, as the effects of the inhibitor decline, the hydrocodone plasma concentration will decrease [see Clinical Pharmacology ( 12.3 )] , resulting in decreased opioid efficacy or a withdrawal syndrome in patients who had developed physical dependence to hydrocodone. Intervention: If concomitant use is necessary, consider dosage reduction of hydrocodone bitartrate extended-release capsules until stable drug effects are achieved. Evaluate patients at frequent intervals for respiratory depression and sedation. If a CYP3A4 inhibitor is discontinued, consider increasing the hydrocodone bitartrate extended-release capsules dosage until stable drug effects are achieved. Evaluate for signs of opioid withdrawal. Examples: Macrolide antibiotics (e.g., erythromycin), azole-antifungal agents (e.g. ketoconazole), protease inhibitors (e.g., ritonavir) CYP3A4 Inducers Clinical Impact: The concomitant use of hydrocodone bitartrate extended-release capsules and CYP3A4 inducers can decrease the plasma concentration of hydrocodone [see Clinical Pharmacology ( 12.3 )] , resulting in decreased efficacy or onset of a withdrawal syndrome in patients who have developed physical dependence to hydrocodone [see Warnings and Precautions ( 5.6 )] . After stopping a CYP3A4 inducer, as the effects of the inducer decline, the hydrocodone plasma concentration will increase [see Clinical Pharmacology ( 12.3 )] , which could increase or prolong both the therapeutic effects and adverse reactions, and may cause serious respiratory depression. Intervention: If concomitant use is necessary, consider increasing the hydrocodone bitartrate extended-release capsules dosage until stable drug effects are achieved. Evaluate for signs of opioid withdrawal. If a CYP3A4 inducer is discontinued, consider hydrocodone bitartrate extended-release capsules dosage reduction and evaluate patients at frequent intervals for signs of respiratory depression and sedation. Examples: Rifampin, carbamazepine, phenytoin Benzodiazepines and other Central Nervous System (CNS) Depressants Clinical Impact: Due to additive pharmacologic effect, the concomitant use of benzodiazepines or other CNS depressants including alcohol, can increase the risk of hypotension, respiratory depression, profound sedation, coma, and death. Intervention: Reserve concomitant prescribing of these drugs for use in patients for whom alternative treatment options are inadequate. Limit dosages and durations to the minimum required. Inform patients and caregivers of this potential interaction, educate them on the signs and symptoms of respiratory depression (including sedation) [see Warnings and Precautions ( 5.3 )] . If concomitant use is warranted, consider prescribing naloxone for the emergency treatment of opioid overdose [see Dosage and Administration ( 2.2 ), Warnings and Precautions ( 5.1 , 5.2 , 5.3 )] . Examples: Benzodiazepines and other sedatives/hypnotics, anxiolytics, tranquilizers, muscle relaxants, general anesthetics, antipsychotics, other opioids, alcohol. Serotonergic Drugs Clinical Impact: The concomitant use of opioids with other drugs that affect the serotonergic neurotransmitter system has resulted in serotonin syndrome . Intervention: If concomitant use is warranted, frequently evaluate the patient, particularly during treatment initiation and dose adjustment. Discontinue hydrocodone bitartrate extended-release capsules if serotonin syndrome is suspected. Examples: Selective serotonin reuptake inhibitors (SSRIs), serotonin and norepinephrine reuptake inhibitors (SNRIs), tricyclic antidepressants (TCAs), triptans, 5-HT3 receptor antagonists, drugs that affect the serotonin neurotransmitter system (e.g., mirtazapine, trazodone, tramadol), monoamine oxidase (MAO) inhibitors (those intended to treat psychiatric disorders and also others, such as linezolid and intravenous methylene blue). Monoamine Oxidase Inhibitors (MAOIs) Clinical Impact: MAOI interactions with opioids may manifest as serotonin syndrome or opioid toxicity (e.g., respiratory depression, coma) [see Drug Interactions ( 7 )] . Intervention: The use of hydrocodone bitartrate extended-release capsules is not recommended for patients taking MAOIs or within 14 days of stopping such treatment. Examples: Phenelzine, tranylcypromine, linezolid Mixed Agonist/Antagonist and Partial Agonist Opioid Analgesics Clinical Impact: May reduce the analgesic effect of hydrocodone bitartrate extended-release capsules and/or precipitate withdrawal symptoms. Intervention: Avoid concomitant use. Examples: butorphanol, nalbuphine, pentazocine, buprenorphine Muscle Relaxants Clinical Impact: Hydrocodone may enhance the neuromuscular blocking action of skeletal muscle relaxants and produce an increased degree of respiratory depression. Intervention: Because respiratory depression may be greater than otherwise expected, decrease the dosage of hydrocodone bitartrate extended-release capsules and/or the muscle relaxant as necessary. Due to the risk of respiratory depression with concomitant use of muscle relaxants and opioids, consider prescribing naloxone for the emergency treatment of opioid overdose [see Dosage and Administration ( 2.2 ), Warnings and Precautions ( 5.2 , 5.3 )] . Diuretics Clinical Impact: Opioids can reduce the efficacy of diuretics by inducing the release of antidiuretic hormone. Intervention: Evaluate patients for signs of diminished diuresis and/or effects on blood pressure and increase the dosage of the diuretic as needed. Anticholinergic Drugs Clinical Impact: The concomitant use of anticholinergic drugs may increase risk of urinary retention and/or severe constipation, which may lead to paralytic ileus. Intervention: Evaluate patients for signs of urinary retention or reduced gastric motility when hydrocodone bitartrate extended-release capsules are used concomitantly with anticholinergic drugs.

Storage and Handling

Hydrocodone bitartrate extended-release capsules are supplied in bottles with child-resistant closures as follows: Strength Capsule Color(s) Capsule Text NDC Number 10 mg Light blue cap and yellow body "ALV" printed on the cap and "409" printed on the body in grey ink 47781-409-60 60 Count Bottle 15 mg Light lavender cap and yellow body "ALV" printed on the cap and "410" printed on the body in grey ink 47781-410-60 60 Count Bottle 20 mg White cap and yellow body "ALV" printed on the cap and "411" printed on the body in grey ink 47781-411-60 60 Count Bottle 30 mg Light pink cap and yellow body "ALV" printed on the cap and "412" printed on the body in grey ink 47781-412-60 60 Count Bottle 40 mg Yellow cap and yellow body "ALV" printed on the cap and "413" printed on the body in grey ink 47781-413-60 60 Count Bottle 50 mg Light grey cap and yellow body "ALV" printed on the cap and "414" printed on the body in grey ink 47781-414-60 60 Count Bottle Hydrocodone bitartrate extended-release capsules contain hydrocodone bitartrate which is a controlled substance and is controlled under Schedule II of the Controlled Substances Act. Hydrocodone, like all opioids, is liable to diversion and misuse and should be handled accordingly. Patients and their families should be instructed to dispose of any hydrocodone bitartrate extended-release capsules that are no longer needed. Hydrocodone bitartrate extended-release capsules may be targeted for theft and diversion. Healthcare professionals should contact their State Medical Board, State Board of Pharmacy, or State Control Board for information on how to detect or prevent diversion of this product. Healthcare professionals should advise patients to store hydrocodone bitartrate extended-release capsules in a secure place, preferably locked and out of the reach of children and other non-caregivers. Store at 25°C (77°F); excursions permitted to 15° to 30°C (59° to 86°F) [see USP Controlled Room Temperature]. Dispense in tight container as defined in the USP, with a child-resistant closure. Advise patients to dispose of any unused capsules from a prescription as soon as they are no longer needed in accordance with local State guidelines and/or regulations [see Patient Counseling Information ( 17 )] .

How Supplied

Hydrocodone bitartrate extended-release capsules are supplied in bottles with child-resistant closures as follows: Strength Capsule Color(s) Capsule Text NDC Number 10 mg Light blue cap and yellow body "ALV" printed on the cap and "409" printed on the body in grey ink 47781-409-60 60 Count Bottle 15 mg Light lavender cap and yellow body "ALV" printed on the cap and "410" printed on the body in grey ink 47781-410-60 60 Count Bottle 20 mg White cap and yellow body "ALV" printed on the cap and "411" printed on the body in grey ink 47781-411-60 60 Count Bottle 30 mg Light pink cap and yellow body "ALV" printed on the cap and "412" printed on the body in grey ink 47781-412-60 60 Count Bottle 40 mg Yellow cap and yellow body "ALV" printed on the cap and "413" printed on the body in grey ink 47781-413-60 60 Count Bottle 50 mg Light grey cap and yellow body "ALV" printed on the cap and "414" printed on the body in grey ink 47781-414-60 60 Count Bottle Hydrocodone bitartrate extended-release capsules contain hydrocodone bitartrate which is a controlled substance and is controlled under Schedule II of the Controlled Substances Act. Hydrocodone, like all opioids, is liable to diversion and misuse and should be handled accordingly. Patients and their families should be instructed to dispose of any hydrocodone bitartrate extended-release capsules that are no longer needed. Hydrocodone bitartrate extended-release capsules may be targeted for theft and diversion. Healthcare professionals should contact their State Medical Board, State Board of Pharmacy, or State Control Board for information on how to detect or prevent diversion of this product. Healthcare professionals should advise patients to store hydrocodone bitartrate extended-release capsules in a secure place, preferably locked and out of the reach of children and other non-caregivers. Store at 25°C (77°F); excursions permitted to 15° to 30°C (59° to 86°F) [see USP Controlled Room Temperature]. Dispense in tight container as defined in the USP, with a child-resistant closure. Advise patients to dispose of any unused capsules from a prescription as soon as they are no longer needed in accordance with local State guidelines and/or regulations [see Patient Counseling Information ( 17 )] .

Description

Boxed Warning 12/2023 Indications and Usage ( 1 ) 12/2023 Dosage and Administration ( 2.1 , 2.3 , 2.4 ) 12/2023 Warnings and Precautions ( 5.7 ) 12/2023

Section 42229-5

Effects on the Central Nervous System

Hydrocodone produces respiratory depression by direct action on brain stem respiratory centers. The respiratory depression involves a reduction in the responsiveness of the brainstem respiratory centers to both increases in carbon dioxide tension and electrical stimulation. Hydrocodone causes miosis, even in total darkness. Pinpoint pupils are a sign of opioid overdose but are not pathognomonic (e.g., pontine lesions of hemorrhagic or ischemic origin may produce similar findings). Marked mydriasis rather than miosis may be seen with hypoxia in overdose situations [see Overdosage ( 10 )].

Section 42231-1
Medication Guide

Hydrocodone Bitartrate Extended-Release Capsules, CII

(hye" droe koe' done bye tar' trate)
This Medication Guide has been approved by the U.S. Food and Drug Administration 
Hydrocodone bitartrate extended-release capsules are:
  • A strong prescription pain medicine that contains an opioid (narcotic) that is used to manage severe and persistent pain that requires an extended treatment period with a daily opioid pain medicine when other pain medicines do not treat your pain well enough or you cannot tolerate them.
  • A long acting (extended-release) opioid pain medicine that can put you at risk for overdose and death. Even if you take your dose correctly as prescribed, you are at risk for opioid addiction, abuse, and misuse that can lead to death.
  • Not to be taken on an “as needed” basis.
Important information about hydrocodone bitartrate extended-release capsules:
  • Get emergency help or call 911 right away if you take too much hydrocodone bitartrate extended-release capsules (overdose). When you first start taking hydrocodone bitartrate extended-release capsules, when your dose is changed, or if you take too much (overdose), serious or life-threatening breathing problems that can lead to death may occur. Talk to your healthcare provider about naloxone, a medicine for the emergency treatment of an opioid overdose.
  • Taking hydrocodone bitartrate extended-release capsules with other opioid medicines, benzodiazepines, alcohol, or other central nervous system depressants (including street drugs) can cause severe drowsiness, decreased awareness, breathing problems, coma, and death.
  • Never give anyone else your hydrocodone bitartrate extended-release capsules. They could die from taking it. Selling or giving away hydrocodone bitartrate extended-release capsules is against the law.
  • Store hydrocodone bitartrate extended-release capsules securely, out of sight and reach of children, and in a location not accessible by others, including visitors to the home.
Do not take hydrocodone bitartrate extended-release capsules if you have:
  • severe asthma, trouble breathing, or other lung problems.
  • a bowel blockage or narrowing of the stomach or intestines.
Before taking hydrocodone bitartrate extended-release capsules, tell your healthcare provider if you have a history of:
  • head injury, seizures
  • problems urinating
  • liver, kidney, thyroid problems
  • pancreas or gallbladder problems
  • abuse of street or prescription drugs, alcohol addiction, opioid overdose, or mental health problems.
Tell your healthcare provider if you:
  • are noticing your pain getting worse. If your pain gets worse after you take hydrocodone bitartrate extended-release capsules, do not take more of hydrocodone bitartrate extended-release capsules without first talking to your healthcare provider. Talk to your healthcare provider if the pain that you have increases, if you feel more sensitive to pain, or if you have new pain after taking hydrocodone bitartrate extended-release capsules.
  • are pregnant or planning to become pregnant. Use of hydrocodone bitartrate extended-release capsules for an extended period of time during pregnancy can cause withdrawal symptoms in your newborn baby that could be life-threatening if not recognized and treated.
  • are breastfeeding. Not recommended during treatment with hydrocodone bitartrate extended-release capsules. It may harm your baby.
  • are living in a household where there are small children or someone who has abused street or prescription drugs.
  • are taking prescription or over-the-counter medicines, vitamins, or herbal supplements. Taking hydrocodone bitartrate extended-release capsules with certain other medicines can cause serious side effects that could lead to death.
When taking hydrocodone bitartrate extended-release capsules:
  • Do not change your dose. Take hydrocodone bitartrate extended-release capsules exactly as prescribed by your healthcare provider. Use the lowest dose possible for the shortest time needed.
  • Take your prescribed dose every 12 hours, at the same time every day. Do not take more than your prescribed dose in 12 hours. If you miss a dose, take your next dose at your usual time.
  • Swallow hydrocodone bitartrate extended-release capsules whole. Do not cut, break, chew, crush, dissolve, snort, or inject hydrocodone bitartrate extended-release capsules because this may cause you to overdose and die.
Call your healthcare provider if the dose you are taking does not control your pain.
  • Do not stop taking hydrocodone bitartrate extended-release capsules without talking to your healthcare provider.
  • Dispose of expired, unwanted, or unused hydrocodone bitartrate extended-release capsules by taking your drug to an authorized DEA-registered collector or drug take-back program. If one is not available, you can dispose of hydrocodone bitartrate extended-release capsules by mixing the product with dirt, cat litter, or coffee grounds; placing the mixture in a sealed plastic bag, and throwing the bag in your trash. Visit www.fda.gov/drugdisposal for additional information on disposal of unused medicines.
While taking hydrocodone bitartrate extended-release capsules DO NOT:
  • Drive or operate heavy machinery, until you know how hydrocodone bitartrate extended-release capsules affects you. Hydrocodone bitartrate extended-release capsules can make you sleepy, dizzy, or lightheaded.
  • Drink alcohol or use prescription or over-the-counter medicines that contain alcohol. Using products containing alcohol during treatment with hydrocodone bitartrate extended-release capsules may cause you to overdose and die.
The possible side effects of hydrocodone bitartrate extended-release capsules are:
  • constipation, nausea, sleepiness, vomiting, tiredness, headache, dizziness, abdominal pain. Call your healthcare provider if you have any of these symptoms and they are severe.
Get emergency medical help or call 911 right away if you have:
  • trouble breathing, shortness of breath, fast heartbeat, chest pain, swelling of your face, tongue or throat, extreme drowsiness, light-headedness when you are changing positions, feeling faint, agitation, high body temperature, trouble walking, stiff muscles, or mental changes such as confusion.
These are not all the possible side effects of hydrocodone bitartrate extended-release capsules. Call your healthcare provider for medical advice about side effects. You may report side effects to FDA at 1-800-FDA-1088. For more information go to dailymed.nlm.nih.gov.



Product of USA



Distributed by:

Alvogen, Inc.

Morristown, NJ 07960 USA



For more information, call Alvogen at 1-866-770-3024.

Revised: 12/2023

PL409-04

Section 43683-2
Boxed Warning 12/2023
Indications and Usage (1) 12/2023
Dosage and Administration (2.1, 2.3, 2.4) 12/2023
Warnings and Precautions (5.7) 12/2023
9.2 Abuse

Hydrocodone bitartrate extended-release capsules contain hydrocodone, a substance with high potential for misuse and abuse, which can lead to the development of substance use disorder, including addiction [see Warnings and Precautions (5.1)].

Misuse is the intentional use, for therapeutic purposes, of a drug by an individual in a way other than prescribed by a healthcare provider or for whom it was not prescribed.

Abuse is the intentional, non-therapeutic use of a drug, even once, for its desirable psychological or physiological effects.

Drug addiction is a cluster of behavioral, cognitive, and physiological phenomena that may include a strong desire to take the drug, difficulties in controlling drug use (e.g., continuing drug use despite harmful consequences, giving a higher priority to drug use than other activities and obligations), and possible tolerance or physical dependence.

Misuse and abuse of hydrocodone bitartrate extended-release capsules increases risk of overdose, which may lead to central nervous system and respiratory depression, hypotension, seizures, and death. The risk is increased with concurrent abuse of hydrocodone bitartrate extended-release capsules with alcohol and other CNS depressants. Abuse of and addiction to opioids in some individuals may not be accompanied by concurrent tolerance and symptoms of physical dependence. In addition, abuse of opioids can occur in the absence of addiction.

All patients treated with opioids require careful and frequent reevaluation for signs of misuse, abuse, and addiction, because use of opioid analgesic products carries the risk of addiction even under appropriate medical use. Patients at high risk of hydrocodone bitartrate extended-release capsules abuse include those with a history of prolonged use of any opioid, including products containing hydrocodone, those with a history of drug or alcohol abuse, or those who use hydrocodone bitartrate extended-release capsules in combination with other abused drugs.

"Drug-seeking" behavior is very common in persons with substance use disorders. Drug-seeking tactics include emergency calls or visits near the end of office hours, refusal to undergo appropriate examination, testing, or referral, repeated “loss” of prescriptions, tampering with prescriptions, and reluctance to provide prior medical records or contact information for other treating healthcare provider(s). “Doctor shopping” (visiting multiple prescribers to obtain additional prescriptions) is common among people who abuse drugs and people with substance use disorder. Preoccupation with achieving adequate pain relief can be appropriate behavior in a patient with inadequate pain control.

Hydrocodone bitartrate extended-release capsules, like other opioids, can be diverted for nonmedical use into illicit channels of distribution. Careful record-keeping of prescribing information, including quantity, frequency, and renewal requests, as required by state and federal law, is strongly advised.

Proper assessment of the patient, proper prescribing practices, periodic re-evaluation of therapy, and proper dispensing and storage are appropriate measures that help to limit abuse of opioid drugs.

Risks Specific to Abuse of Hydrocodone Bitartrate Extended-Release Capsules

Abuse of hydrocodone bitartrate extended-release capsules poses a risk of overdose and death. The risk is increased with concurrent use of hydrocodone bitartrate extended-release capsules with alcohol and/or other CNS depressants. Taking cut, broken, chewed, crushed, or dissolved hydrocodone bitartrate extended-release capsules enhances drug release and increases the risk of overdose and death.

Hydrocodone bitartrate extended-release capsules are approved for oral use only. With parenteral abuse the inactive ingredients can result in local tissue necrosis, infection, pulmonary granulomas, increased risk of endocarditis and valvular heart injury, embolism, and death.

Parenteral drug abuse is commonly associated with transmission of infectious diseases such as hepatitis and HIV.

10 Overdosage

Clinical Presentation

Acute overdosage with hydrocodone bitartrate extended-release capsules can be manifested by respiratory depression, somnolence progressing to stupor or coma, skeletal muscle flaccidity, cold and clammy skin, constricted pupils, and, in some cases, pulmonary edema, bradycardia, hypotension, hypoglycemia, partial or complete airway obstruction, atypical snoring, and death. Marked mydriasis rather than miosis may be seen with hypoxia in overdose situations [see Clinical Pharmacology (12.2)].

Treatment of Overdose

In case of overdose, priorities are the reestablishment of a patent and protected airway and institution of assisted or controlled ventilation, if needed. Employ other supportive measures (including oxygen and vasopressors) in the management of circulatory shock and pulmonary edema as indicated. Cardiac arrest or arrhythmias will require advanced life-support measures.

Opioid antagonists, such as naloxone, are specific antidotes to respiratory depression resulting from opioid overdosage. For clinically significant respiratory or circulatory depression secondary to hydrocodone overdose, administer an opioid antagonist.

Because the duration of reversal is expected to be less than the duration of action of hydrocodone in hydrocodone bitartrate extended-release capsules, carefully monitor the patient until spontaneous respiration is reliably reestablished. Hydrocodone bitartrate extended-release capsules will continue to release hydrocodone and add to the hydrocodone load for 24 to 48 hours or longer following ingestion necessitating prolonged monitoring. If the response to an opioid antagonist is suboptimal or only brief in nature, administer additional antagonist as directed by the product’s prescribing information.

In an individual physically dependent on opioids, administration of the recommended dose of the antagonist will precipitate an acute withdrawal syndrome. The severity of the withdrawal syndrome produced will depend on the degree of physical dependence and the dose of the antagonist administered. If a decision is made to treat serious respiratory depression in the physically dependent patient, administration of the antagonist should be initiated with care and by titration with smaller than usual doses of the antagonist.

8.1 Pregnancy

Risk Summary

Use of opioid analgesics for an extended period of time during pregnancy may cause neonatal opioid withdrawal syndrome [see Warnings and Precautions (5.4)]. There are no studies of hydrocodone bitartrate extended-release capsules use in pregnant women. Rats administered oral hydrocodone during gestation and lactation showed increases in stillborn pups and decreases in pup survival at doses equivalent to the human dose of 100 mg/day. Reduced nursing behavior and decreased body weights were observed at 2 times the human dose. Reduced fetal weights were observed in rabbits administered hydrocodone during the period of organogenesis at doses equivalent to 5 times the human dose of 100 mg/day. In this study, increases in the number of umbilical hernias, irregularly shaped bones, and delays in fetal skeletal maturation were observed at doses 15 times the human dose of 100 mg/day. No fetal malformations were observed in animal reproduction studies with oral administration of hydrocodone bitartrate during organogenesis in rats and rabbits at doses approximately 2 and 10 times a human dose of 100 mg/day, respectively [see Data]. Based on animal data, advise pregnant women of the potential risks to a fetus.

The estimated background risk of major birth defects and miscarriage for the indicated population is unknown. All pregnancies have a background risk of birth defect, loss, or other adverse outcomes. In the U.S. general population, the estimated background risk of major birth defects and miscarriage in clinically recognized pregnancies is 2% to 4% and 15% to 20%, respectively.

Clinical Considerations

Fetal/neonatal adverse reactions

Use of opioid analgesics for an extended period of time during pregnancy for medical or nonmedical purposes can result in physical dependence in the neonate and neonatal opioid withdrawal syndrome shortly after birth. Observe newborns for symptoms of neonatal opioid withdrawal syndrome, such as poor feeding, diarrhea, irritability, tremor, rigidity, and seizures, and manage accordingly [see Warnings and Precautions (5.4)].

Labor or Delivery

Opioids cross the placenta and may produce respiratory depression and psycho-physiologic effects in neonates. An opioid antagonist such as naloxone must be available for reversal of opioid induced respiratory depression in the neonate. Hydrocodone bitartrate extended-release capsules are not recommended for use in women during and immediately prior to labor, when shorter-acting analgesics or other analgesic techniques are more appropriate. Opioid analgesics, including hydrocodone bitartrate extended-release capsules, can prolong labor through actions which temporarily reduce the strength, duration and frequency of uterine contractions. However, this effect is not consistent and may be offset by an increased rate of cervical dilatation, which tends to shorten labor.

Data

Animal Data

Oral doses of hydrocodone bitartrate up to 25 mg/kg/day in rats and 50 mg/kg/day in rabbits, equivalent to 2 and 10 times an adult human dose of 100 mg/day, respectively on a mg/m2 basis, did not result in any fetal malformations. Fetuses of rabbits administered oral doses of 75 mg/kg/day hydrocodone bitartrate (15 times an adult human dose of 100 mg/day on a mg/m2 basis) during the period of organogenesis exhibited an increased number of malformations consisting of umbilical hernia, and irregularly shaped bones (ulna, femur, tibia and/or fibula). Maternal toxicity was evident at this dose (decreased body weight). In addition, oral hydrocodone bitartrate reduced fetal weights at doses greater than or equal to 25 mg/kg/day (equivalent to approximately 5 times an adult human dose of 100 mg/day on a mg/m2 basis). Delays in fetal skeletal maturation (reduced ossification of hyoid bodies and xiphoid bones) were seen following dosing with 75 mg/kg/day (a dose equivalent to 15 times an adult human dose of 100 mg/day on a mg/m2 basis).

Hydrocodone bitartrate administered orally to female rats at oral doses of 10 mg/kg/day and 25 mg/kg/day during gestation and lactation resulted in pups which were noted as cold to touch and caused a reduction in fetal viability (increases in the number of stillborn pups and/or pups dying postpartum). The doses causing these effects were equivalent to approximately 1 and 2.4 times an adult human dose of 100 mg/day, on a mg/m2 basis. Nursing was reduced in pups of mothers administered 25 mg/kg/day which correlated with decreased body weight/body weight gain and food consumption in male pups. Minimal maternal toxicity was evident at 25 mg/kg (decreased body weight).

8.2 Lactation

Risk Summary

Hydrocodone is present in human milk. A published lactation study reports variable concentrations of hydrocodone and hydromorphone (an active metabolite) in breast milk with administration of immediate-release hydrocodone to nursing mothers in the early post-partum period. This lactation study did not assess breastfed infants for potential adverse drug reactions. Lactation studies have not been conducted with extended-release hydrocodone, including hydrocodone bitartrate extended-release capsules, and no information is available on the effects of the drug on the breastfed infant or the effects of the drug on milk production.

Because of the potential for serious adverse reactions, including excess sedation and respiratory depression in a breastfed infant, advise patients that breastfeeding is not recommended during treatment with hydrocodone bitartrate extended-release capsules.

Clinical Considerations

Monitor infants exposed to hydrocodone bitartrate through breast milk for excess sedation and respiratory depression. Withdrawal symptoms can occur in breastfed infants when maternal administration of an opioid analgesic is stopped, or when breastfeeding is stopped.

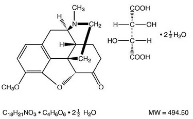
11 Description

Hydrocodone bitartrate extended-release capsules are hard gelatin capsules for oral administration. Hydrocodone bitartrate is an opioid agonist and occurs as fine, white crystals, or as a crystalline powder.

The chemical name is 4,5(alpha)-epoxy-3-methoxy-17-methylmorphinan-6-one tartrate (1:1) hydrate (2:5) or morphinan-6-one, 4,5-epoxy-3-methoxy-17-methyl-, (5 alpha)-, [R (R*, R*)]-2,3-dihydroxybutanedioate (1:1), hydrate (2:5). It has the following structural formula:

Each hydrocodone bitartrate extended-release capsule contains either 10 mg, 15 mg, 20 mg, 30 mg, 40 mg, or 50 mg of hydrocodone bitartrate USP. All capsule strengths include the following inactive ingredients: ammonio methacrylate copolymer Type B, copovidone, gelatin, silicon dioxide, sodium lauryl sulfate, sugar spheres, and talc.

The capsule shells contain the following colorants: black iron oxide (50 mg capsule), D&C yellow #10 (all capsule strengths), FD&C blue #1 (10 mg, 15 mg, and 30 mg capsules), FD&C red #3 (15 mg and 30 mg capsules), FD&C red #40 (30 mg capsule), FD&C yellow #6 (all capsule strengths) and titanium dioxide (all capsule strengths).

The imprinting ink for all capsule strengths contains: black iron oxide, D&C yellow #10, FD&C blue #1, FD&C blue #2, FD&C red # 40, n-butyl alcohol, propylene glycol and shellac.

9.3 Dependence

Both tolerance and physical dependence can develop during use of opioid therapy.

Tolerance is a physiological state characterized by a reduced response to a drug after repeated administration (i.e., a higher dose of a drug is required to produce the same effect that was once obtained at a lower dose).

Physical dependence is a state that develops as a result of a physiological adaptation in response to repeated drug use, manifested by withdrawal signs and symptoms after abrupt discontinuation or a significant dose reduction of a drug.

Withdrawal may be precipitated through the administration of drugs with opioid antagonist activity (e.g., naloxone), mixed agonist/antagonist analgesics (e.g., pentazocine, butorphanol, nalbuphine), or partial agonists (e.g., buprenorphine). Physical dependence may not occur to a clinically significant degree until after several days to weeks of continued use.

Do not abruptly discontinue hydrocodone bitartrate extended-release capsules in a patient physically dependent on opioids. Rapid tapering of hydrocodone bitartrate extended-release capsules in a patient physically dependent on opioids may lead to serious withdrawal symptoms, uncontrolled pain, and suicide. Rapid discontinuation has also been associated with attempts to find other sources of opioid analgesics, which may be confused with drug-seeking for abuse.

When discontinuing hydrocodone bitartrate extended-release capsules, gradually taper the dosage using a patient-specific plan that considers the following: the dose of hydrocodone bitartrate extended-release capsules the patient has been taking, the duration of treatment, and the physical and psychological attributes of the patient. To improve the likelihood of a successful taper and minimize withdrawal symptoms, it is important that the opioid tapering schedule is agreed upon by the patient. In patients taking opioids for an extended period of time at high doses, ensure that a multimodal approach to pain management, including mental health support (if needed), is in place prior to initiating an opioid analgesic taper [see Dosage and Administration (2.6), Warnings and Precautions (5.14)].

Infants born to mothers physically dependent on opioids will also be physically dependent and may exhibit respiratory difficulties and withdrawal signs [see Use in Specific Populations (8.1)].

5.14 Withdrawal

Do not abruptly discontinue hydrocodone bitartrate extended-release capsules in a patient physically dependent on opioids. When discontinuing hydrocodone bitartrate extended-release capsules in a physically dependent patient, gradually taper the dosage. Rapid tapering of hydrocodone in a patient physically dependent on opioids may lead to a withdrawal syndrome and return of pain [see Dosage and Administration (2.6), Drug Abuse and Dependence (9.3)].

Additionally, avoid the use of mixed agonist/antagonist (e.g., pentazocine, nalbuphine, and butorphanol) or partial agonist (e.g., buprenorphine) analgesics in patients who are receiving a full opioid agonist analgesic, including hydrocodone bitartrate extended-release capsules. In these patients, mixed agonist/antagonist and partial agonist analgesics may reduce the analgesic effect and/or may precipitate withdrawal symptoms [see Drug Interactions (7)].

8.4 Pediatric Use

The safety and effectiveness of hydrocodone bitartrate extended-release capsules in pediatric patients below the age of 18 years have not been established.

8.5 Geriatric Use

Clinical studies of hydrocodone bitartrate extended-release capsules did not include sufficient numbers of subjects aged 65 and over to determine whether they respond differently from younger subjects. Elderly patients (aged 65 years or older) may have increased sensitivity to hydrocodone. In general, use caution when selecting a dosage for an elderly patient, usually starting at the low end of the dosing range, reflecting the greater frequency of decreased hepatic, renal, or cardiac function, and of the concomitant disease or other drug therapy.

Respiratory depression is the chief risk for elderly patients treated with opioids, and has occurred after large initial doses were administered to patients who were not opioid-tolerant or when opioids were co-administered with other agents that depress respiration. Titrate the dosage of hydrocodone bitartrate extended-release capsules slowly in geriatric patients and frequently reevaluate the patient for signs of central nervous system and respiratory depression [see Warnings and Precautions (5.8)].

Hydrocodone is known to be substantially excreted by the kidney, and the risk of adverse reactions to this drug may be greater in patients with impaired renal function. Because elderly patients are more likely to have decreased renal function, care should be taken in dose selection, and it may be useful to regularly evaluate renal function.

2.3 Initial Dosage

Use of Hydrocodone Bitartrate Extended-Release Capsules as the First Opioid Analgesic (opioid-naïve patients)

Initiate therapy with hydrocodone bitartrate extended-release capsules with one 10 mg capsule every 12 hours.

Use of Hydrocodone Bitartrate Extended-Release Capsules in Patients Who Are Not Opioid Tolerant

The starting dose for patients who are not opioid tolerant is hydrocodone bitartrate extended-release capsules 10 mg orally every 12 hours.

Use of higher starting doses in patients who are not opioid tolerant may cause fatal respiratory depression [see Warnings and Precautions (5.2)].

Conversion from Oral Hydrocodone Formulations to Hydrocodone Bitartrate Extended-Release Capsules

Patients receiving other oral hydrocodone-containing formulations may be converted to hydrocodone bitartrate extended-release capsules by dividing the patient’s total daily oral hydrocodone dose in half and administrating as hydrocodone bitartrate extended-release capsules every 12 hours.

Conversion from Other Oral Opioids to Hydrocodone Bitartrate Extended-Release Capsules

When hydrocodone bitartrate extended-release capsules therapy is initiated, discontinue all other opioid analgesics other than those used on an as needed basis for breakthrough pain when appropriate.

There is inter-patient variability in the relative potency of different opioid drugs and products. Therefore, a conservative approach is advised when determining the total daily dosage of hydrocodone bitartrate extended-release capsules. It is safer to underestimate a patient's 24-hour oral hydrocodone dosage and provide rescue medication (e.g., immediate-release opioid) than to overestimate the 24-hour oral hydrocodone dosage and manage an adverse reaction due to an overdose.

In a hydrocodone bitartrate extended-release capsules clinical trial with an open label titration period, patients were converted from their prior opioid to hydrocodone bitartrate extended-release capsules using Table 1 as a guide for the initial hydrocodone bitartrate extended-release capsules dose. To obtain the initial hydrocodone bitartrate extended-release capsules dose, first use Table 1 to convert the prior oral opioids to a total hydrocodone daily dose and then reduce the calculated daily hydrocodone dose by 25% to account for interpatient variability in relative potency of different opioids.

Consider the following when using the information in Table 1:

  • This is not a table of equianalgesic doses.
  • The conversion factors in this table are only for the conversion from one of the listed oral opioid analgesics to hydrocodone bitartrate extended-release capsules.
  • The table cannot be used to convert from hydrocodone bitartrate extended-release capsules to another opioid. Doing so will result in an over-estimation of the dose of the new opioid and may result in fatal overdose.
Table 1. Conversion Factors to Hydrocodone Bitartrate Extended-Release Capsules (Not Equianalgesic Doses)
Prior Oral Opioid Oral Dose (mg) Approximate Oral Conversion Factor
The conversion ratios in this table are only to be used for the conversion from current opioid therapy to hydrocodone bitartrate extended-release capsules.
Hydrocodone 10 1
Oxycodone 10 1
Methadone 10 1
Oxymorphone 5 2
Hydromorphone 3.75 2.67
Morphine 15 0.67
Codeine 100 0.10

To calculate the estimated daily hydrocodone bitartrate extended-release capsule dose using Table 1:

  • For patients on a single opioid, sum the current total daily dose of the opioid and then multiply the total daily dose by the approximate oral conversion factor to calculate the approximate oral hydrocodone daily dose. Divide the daily dose in half for administration every 12 hours.
  • For patients on a regimen of more than one opioid, calculate the approximate oral hydrocodone dose for each opioid and sum the totals to obtain approximate total hydrocodone daily dose. The daily dose should then be divided in half for administration every 12 hours.
  • For patients on a regimen of fixed-ratio opioid/non-opioid analgesic products, use only the opioid component of these products in the conversion.
  • Reduce the calculated daily oral hydrocodone dose by 25%.

Always round the dose down, if necessary, to the nearest hydrocodone bitartrate extended-release capsule strength(s) available and initiate therapy with that dose.

Example conversion from a single opioid to hydrocodone bitartrate extended-release capsules

Step 1: Sum the total daily dose of the opioid (in this case, extended-release oxymorphone); 15 mg oxymorphone twice daily = 30 mg total daily dose of oxymorphone.

Step 2: Calculate the approximate equivalent dose of oral hydrocodone based on the total daily dose of the current opioid using Table 1; 30 mg total daily dose of oxymorphone x 2 = 60 mg of oral hydrocodone daily. The daily dose should then be divided in half for administration every 12 hours.

Step 3: Calculate the approximate starting dose which is 30 mg hydrocodone bitartrate extended-release capsules every 12 hours. Round down, if necessary, to the appropriate hydrocodone bitartrate extended-release capsule strengths available. Close observation and frequent titration are warranted until pain management is stable on the new opioid. Monitor patients for signs and symptoms of opioid withdrawal or for signs of over-sedation/toxicity after converting patients to hydrocodone bitartrate extended-release capsules.

The dose of hydrocodone bitartrate extended-release capsules can be gradually adjusted preferably at increments of 10 mg every 12 hours every 3 to 7 days, until adequate pain relief and acceptable adverse reactions have been achieved.

Conversion from Methadone to Hydrocodone Bitartrate Extended-Release Capsules

Close monitoring is of particular importance when converting from methadone to other opioid agonists. The ratio between methadone and other opioid agonists may vary widely as a function of previous dose exposure. Methadone has a long half-life and tends to accumulate in the plasma.

Conversion from Transdermal Fentanyl to Hydrocodone Bitartrate Extended-Release Capsules

Hydrocodone bitartrate extended-release capsules treatment can be initiated 18 hours following the removal of the transdermal fentanyl patch. Although there has been no systematic assessment of such conversion, a conservative hydrocodone dose, approximately 10 mg every 12 hours of hydrocodone bitartrate extended-release capsules, should be initially substituted for each 25 mcg/hr fentanyl transdermal patch. Follow the patient closely during conversion from transdermal fentanyl to hydrocodone bitartrate extended-release capsules, as there is limited documented experience with this conversion.

14 Clinical Studies

The efficacy and safety of hydrocodone bitartrate extended-release capsules have been evaluated in a randomized double-blind, placebo-controlled, multi-center clinical trial in opioid-experienced subjects with moderate to severe chronic low back pain.

4 Contraindications

Hydrocodone bitartrate extended-release capsules are contraindicated in patients with:

  • Significant respiratory depression [see Warnings and Precautions (5.2)]
  • Acute or severe bronchial asthma in an unmonitored setting or in the absence of resuscitative equipment [see Warnings and Precautions (5.8)]
  • Known or suspected gastrointestinal obstruction, including paralytic ileus [see Warnings and Precautions (5.12)]
  • Hypersensitivity (e.g., anaphylaxis) to hydrocodone or any other ingredients in hydrocodone bitartrate extended-release capsules
6 Adverse Reactions

The following serious adverse reactions are discussed elsewhere in the labeling:

  • Addiction, Abuse, and Misuse [see Warnings and Precautions (5.1)]
  • Life-Threatening Respiratory Depression [see Warnings and Precautions (5.2)]
  • Risks from Concomitant Use with Benzodiazepines and Other CNS Depressants [see Warnings and Precautions (5.3)]
  • Neonatal Opioid Withdrawal Syndrome [see Warnings and Precautions (5.4)]
  • Opioid-Induced Hyperalgesia and Allodynia [see Warnings and Precautions (5.7)]
  • Adrenal Insufficiency [see Warnings and Precautions (5.9)]
  • Severe Hypotension [see Warnings and Precautions (5.10)]
  • Gastrointestinal Adverse Reactions [see Warnings and Precautions (5.12)]
  • Seizures [see Warnings and Precautions (5.13)]
  • Withdrawal [see Warnings and Precautions (5.14)]
7 Drug Interactions
Alcohol
Clinical Impact: Concomitant use of alcohol with hydrocodone bitartrate extended-release capsules can result in an increase of hydrocodone plasma levels and potentially fatal overdose of hydrocodone.
Intervention: Instruct patients not to consume alcoholic beverages or use prescription or non-prescription products containing alcohol while on hydrocodone bitartrate extended-release capsules therapy [see Clinical Pharmacology (12.3)].
Inhibitors of CYP3A4 and CYP2D6
Clinical Impact: The concomitant use of hydrocodone bitartrate extended-release capsules and CYP3A4 inhibitors can increase the plasma concentration of hydrocodone, resulting in increased or prolonged opioid effects. These effects could be more pronounced with concomitant use of hydrocodone bitartrate extended-release capsules and CYP2D6 and CYP3A4 inhibitors, particularly when an inhibitor is added after a stable dose of hydrocodone bitartrate extended-release capsules is achieved [see Warnings and Precautions (5.6)].

After stopping a CYP3A4 inhibitor, as the effects of the inhibitor decline, the hydrocodone plasma concentration will decrease [see Clinical Pharmacology (12.3)], resulting in decreased opioid efficacy or a withdrawal syndrome in patients who had developed physical dependence to hydrocodone.
Intervention: If concomitant use is necessary, consider dosage reduction of hydrocodone bitartrate extended-release capsules until stable drug effects are achieved. Evaluate patients at frequent intervals for respiratory depression and sedation.

If a CYP3A4 inhibitor is discontinued, consider increasing the hydrocodone bitartrate extended-release capsules dosage until stable drug effects are achieved. Evaluate for signs of opioid withdrawal.
Examples: Macrolide antibiotics (e.g., erythromycin), azole-antifungal agents (e.g. ketoconazole), protease inhibitors (e.g., ritonavir)
CYP3A4 Inducers
Clinical Impact: The concomitant use of hydrocodone bitartrate extended-release capsules and CYP3A4 inducers can decrease the plasma concentration of hydrocodone [see Clinical Pharmacology (12.3)], resulting in decreased efficacy or onset of a withdrawal syndrome in patients who have developed physical dependence to hydrocodone [see Warnings and Precautions (5.6)].

After stopping a CYP3A4 inducer, as the effects of the inducer decline, the hydrocodone plasma concentration will increase [see Clinical Pharmacology (12.3)], which could increase or prolong both the therapeutic effects and adverse reactions, and may cause serious respiratory depression.
Intervention: If concomitant use is necessary, consider increasing the hydrocodone bitartrate extended-release capsules dosage until stable drug effects are achieved. Evaluate for signs of opioid withdrawal. If a CYP3A4 inducer is discontinued, consider hydrocodone bitartrate extended-release capsules dosage reduction and evaluate patients at frequent intervals for signs of respiratory depression and sedation.
Examples: Rifampin, carbamazepine, phenytoin
Benzodiazepines and other Central Nervous System (CNS) Depressants
Clinical Impact: Due to additive pharmacologic effect, the concomitant use of benzodiazepines or other CNS depressants including alcohol, can increase the risk of hypotension, respiratory depression, profound sedation, coma, and death.
Intervention: Reserve concomitant prescribing of these drugs for use in patients for whom alternative treatment options are inadequate. Limit dosages and durations to the minimum required. Inform patients and caregivers of this potential interaction, educate them on the signs and symptoms of respiratory depression (including sedation) [see Warnings and Precautions (5.3)]. If concomitant use is warranted, consider prescribing naloxone for the emergency treatment of opioid overdose [see Dosage and Administration (2.2), Warnings and Precautions (5.1, 5.2, 5.3)].
Examples: Benzodiazepines and other sedatives/hypnotics, anxiolytics, tranquilizers, muscle relaxants, general anesthetics, antipsychotics, other opioids, alcohol.
Serotonergic Drugs
Clinical Impact: The concomitant use of opioids with other drugs that affect the serotonergic neurotransmitter system has resulted in serotonin syndrome.
Intervention: If concomitant use is warranted, frequently evaluate the patient, particularly during treatment initiation and dose adjustment. Discontinue hydrocodone bitartrate extended-release capsules if serotonin syndrome is suspected.
Examples: Selective serotonin reuptake inhibitors (SSRIs), serotonin and norepinephrine reuptake inhibitors (SNRIs), tricyclic antidepressants (TCAs), triptans, 5-HT3 receptor antagonists, drugs that affect the serotonin neurotransmitter system (e.g., mirtazapine, trazodone, tramadol), monoamine oxidase (MAO) inhibitors (those intended to treat psychiatric disorders and also others, such as linezolid and intravenous methylene blue).
Monoamine Oxidase Inhibitors (MAOIs)
Clinical Impact: MAOI interactions with opioids may manifest as serotonin syndrome or opioid toxicity (e.g., respiratory depression, coma) [see Drug Interactions (7)].
Intervention: The use of hydrocodone bitartrate extended-release capsules is not recommended for patients taking MAOIs or within 14 days of stopping such treatment.
Examples: Phenelzine, tranylcypromine, linezolid
Mixed Agonist/Antagonist and Partial Agonist Opioid Analgesics
Clinical Impact: May reduce the analgesic effect of hydrocodone bitartrate extended-release capsules and/or precipitate withdrawal symptoms.
Intervention: Avoid concomitant use.
Examples: butorphanol, nalbuphine, pentazocine, buprenorphine
Muscle Relaxants
Clinical Impact: Hydrocodone may enhance the neuromuscular blocking action of skeletal muscle relaxants and produce an increased degree of respiratory depression.
Intervention: Because respiratory depression may be greater than otherwise expected, decrease the dosage of hydrocodone bitartrate extended-release capsules and/or the muscle relaxant as necessary. Due to the risk of respiratory depression with concomitant use of muscle relaxants and opioids, consider prescribing naloxone for the emergency treatment of opioid overdose [see Dosage and Administration (2.2), Warnings and Precautions (5.2, 5.3)].
Diuretics
Clinical Impact: Opioids can reduce the efficacy of diuretics by inducing the release of antidiuretic hormone.
Intervention: Evaluate patients for signs of diminished diuresis and/or effects on blood pressure and increase the dosage of the diuretic as needed.
Anticholinergic Drugs
Clinical Impact: The concomitant use of anticholinergic drugs may increase risk of urinary retention and/or severe constipation, which may lead to paralytic ileus.
Intervention: Evaluate patients for signs of urinary retention or reduced gastric motility when hydrocodone bitartrate extended-release capsules are used concomitantly with anticholinergic drugs.
8.7 Renal Impairment

Patients with renal impairment have higher plasma concentrations than those with normal function. Use a low initial dose of hydrocodone bitartrate extended-release capsules in patients with renal impairment and regularly evaluate for respiratory depression, sedation, and hypotension [see Clinical Pharmacology (12.3)].

8.6 Hepatic Impairment

No adjustment in starting dose with hydrocodone bitartrate extended-release capsules is required in patients with mild or moderate hepatic impairment. Patients with severe hepatic impairment may have higher plasma concentrations than those with normal hepatic function [see Clinical Pharmacology (12.3)]. Therefore, a dosage reduction is recommended for patients with severe hepatic impairment [see Dosage and Administration (2.5)]. Regularly evaluate patients with severe hepatic impairment for respiratory depression, sedation, and hypotension [see Clinical Pharmacology (12.3)].

1 Indications and Usage

Hydrocodone bitartrate extended-release capsules are indicated for the management of severe and persistent pain that requires an extended treatment period with a daily opioid analgesic and for which alternative treatment options are inadequate.

Limitations of Use:

  • Because of the risks of addiction, abuse, and misuse with opioids, which can occur at any dosage or duration, and because of the greater risks of overdose and death with extended-release/long-acting opioid formulations, [see Warnings and Precautions (5.1)], reserve hydrocodone bitartrate extended-release capsules for use in patients for whom alternative treatment options (e.g., non-opioid analgesics or immediate-release opioids) are ineffective, not tolerated, or would be otherwise inadequate to provide sufficient management of pain.
  • Hydrocodone bitartrate extended-release capsules are not indicated as an as-needed (prn) analgesic.
5.10 Severe Hypotension

Hydrocodone bitartrate extended-release capsules may cause severe hypotension including orthostatic hypotension and syncope in ambulatory patients. There is an added risk in patients whose ability to maintain blood pressure has already been compromised by a reduced blood volume, or after concurrent administration of certain CNS depressant drugs (e.g., phenothiazines or general anesthetics) [see Drug Interactions (7)]. Regularly evaluate these patients for signs of hypotension after initiating or titrating the dosage of hydrocodone bitartrate extended-release capsules. In patients with circulatory shock, hydrocodone bitartrate extended-release capsules may cause vasodilation that can further reduce cardiac output and blood pressure. Avoid the use of hydrocodone bitartrate extended-release capsules in patients with circulatory shock.

12.1 Mechanism of Action

Hydrocodone is a full opioid agonist with relative selectivity for the mu-opioid receptor, although it can interact with other opioid receptors at higher doses. The principal therapeutic action of hydrocodone is analgesia. Like all full opioid agonists, there is no ceiling effect for analgesia with hydrocodone. Clinically, dosage is titrated to provide adequate analgesia and may be limited by adverse reactions, including respiratory and CNS depression.

The precise mechanism of the analgesic action is unknown. However, specific CNS opioid receptors for endogenous compounds with opioid-like activity have been identified throughout the brain and spinal cord and are thought to play a role in the analgesic effects of this drug.

9.1 Controlled Substance

Hydrocodone bitartrate extended-release capsules contain hydrocodone bitartrate, a Schedule II controlled substance.

5.9 Adrenal Insufficiency

Cases of adrenal insufficiency have been reported with opioid use, more often following greater than one month of use. Presentation of adrenal insufficiency may include non-specific symptoms and signs including nausea, vomiting, anorexia, fatigue, weakness, dizziness, and low blood pressure. If adrenal insufficiency is suspected, confirm diagnosis with diagnostic testing as soon as possible. If adrenal insufficiency is diagnosed, treat with physiologic replacement doses of corticosteroids. Wean the patient off of the opioid to allow adrenal function to recover and continue corticosteroid treatment until adrenal function recovers. Other opioids may be tried as some cases reported use of a different opioid without recurrence of adrenal insufficiency. The information available does not identify any particular opioid as being more likely to be associated with adrenal insufficiency.

5 Warnings and Precautions
  • Opioid-Induced Hyperalgesia and Allodynia: Opioid-Induced Hyperalgesia (OIH) occurs when an opioid analgesic paradoxically causes an increase in pain, or an increase in sensitivity to pain. If OIH is suspected, carefully consider appropriately decreasing the dose of the current opioid analgesic or opioid rotation. (5.7)
  • Life-Threatening Respiratory Depression in Patients with Chronic Pulmonary Disease or in Elderly, Cachectic, or Debilitated Patients: Regularly evaluate, particularly during initiation and titration. (5.8)
  • Adrenal Insufficiency: If diagnosed, treat with physiologic replacement of corticosteroids, and wean patient off of the opioid. (5.9)
  • Severe Hypotension: Regularly evaluate during dosage initiation and titration. Avoid use of hydrocodone bitartrate extended-release capsules in patients with circulatory shock. (5.10)
  • Risks of Use in Patients with Increased Intracranial Pressure, Brain Tumors, Head Injury, or Impaired Consciousness: Monitor for sedation and respiratory depression. Avoid use of hydrocodone bitartrate extended-release capsules in patients with impaired consciousness or coma. (5.11)
2 Dosage and Administration
  • Hydrocodone bitartrate extended-release capsules should be prescribed only by healthcare professionals who are knowledgeable about the use of extended-release/long-acting opioids and how to mitigate the associated risks. (2.1)
  • Daily doses of hydrocodone bitartrate extended-release capsules, a single dose greater than 40 mg, or a total daily dose greater than 80 mg are only for use in patients in whom tolerance to an opioid of comparable potency has been established. (2.1)
  • Patients considered opioid-tolerant are those taking, for one week or longer, at least 60 mg oral morphine per day, 25 mcg transdermal fentanyl per hour, 30 mg oral oxycodone per day, 8 mg oral hydromorphone per day, 25 mg oral oxymorphone per day, 60 mg oral hydrocodone per day, or an equianalgesic dose of another opioid. (2.1)
  • Use the lowest effective dosage for the shortest duration of time consistent with individual patient treatment goals. Reserve titration to higher doses of hydrocodone bitartrate extended-release capsules for patients in whom lower doses are insufficiently effective and in whom the expected benefits of using a higher dose opioid clearly outweigh the substantial risks. (2.1, 5)
  • Initiate the dosing regimen for each patient individually, taking into account the patient’s underlying cause and severity of pain, prior analgesic treatment and response, and risk factors for addiction, abuse, and misuse. (2.1, 5.1)
  • Respiratory depression can occur at any time during opioid therapy, especially when initiating and following dosage increases with hydrocodone bitartrate extended-release capsules. Consider this risk when selecting an initial dose and when making dose adjustments (2.1, 5.2)
  • Instruct patients to swallow hydrocodone bitartrate extended-release capsules intact and not to cut, break, chew, crush, or dissolve the capsules (risk of potentially fatal overdose). (2.1, 5.1)
  • Discuss availability of naloxone with the patient and caregiver and assess each patient’s need for access to naloxone, both when initiating and renewing treatment with hydrocodone bitartrate extended-release capsules. Consider prescribing naloxone based on the patient’s risk factors for overdose. (2.2, 5.1, 5.2, 5.3)
  • For opioid-naïve and opioid non-tolerant patients, initiate with 10 mg capsules orally every 12 hours. (2.3)
  • To convert to hydrocodone bitartrate extended-release capsules from another opioid, use available conversion factors to obtain estimated dose. (2.3)
  • Dose titration of hydrocodone bitartrate extended-release capsules may occur every 3 to 7 days, using increments of 10 mg every 12 hours (i.e., 20 mg per day). (2.4)
  • Patients with Severe Hepatic Impairment: Initiate dosing with 10 mg every 12 hours and titrate carefully, while monitoring for respiratory depression, sedation, and hypotension. No adjustment in starting dose with hydrocodone bitartrate extended-release capsules is required in patients with mild or moderate hepatic impairment. (2.5)
  • Do not abruptly discontinue hydrocodone bitartrate extended-release capsules in a physically dependent patient. (2.6)
3 Dosage Forms and Strengths
10 mg Light blue cap and yellow body "ALV" printed on the cap and "409" printed on the body in grey ink
15 mg Light lavender cap and yellow body "ALV" printed on the cap and "410" printed on the body in grey ink
20 mg White cap and yellow body "ALV" printed on the cap and "411" printed on the body in grey ink
30 mg Light pink cap and yellow body "ALV" printed on the cap and "412" printed on the body in grey ink
40 mg Yellow cap and yellow body "ALV" printed on the cap and "413" printed on the body in grey ink
50 mg Light grey cap and yellow body "ALV" printed on the cap and "414" printed on the body in grey ink
6.2 Postmarketing Experience

The following adverse reactions have been identified during post approval use of hydrocodone. Because these reactions are reported voluntarily from a population of uncertain size, it is not always possible to reliably estimate their frequency or establish a causal relationship to drug exposure.

Serotonin syndrome: Cases of serotonin syndrome, a potentially life-threatening condition, have been reported during concomitant use of opioids with serotonergic drugs.

Adrenal insufficiency: Cases of adrenal insufficiency have been reported with opioid use, more often following greater than one month of use.

Anaphylaxis: Anaphylaxis has been reported with ingredients contained in hydrocodone bitartrate extended-release capsules.

Androgen deficiency: Cases of androgen deficiency have occurred with use of opioids for an extended period of time [see Clinical Pharmacology (12.2)].

Hyperalgesia and Allodynia: Cases of hyperalgesia and allodynia have been reported with opioid therapy of any duration [see Warnings and Precautions (5.7)].

Hypoglycemia: Cases of hypoglycemia have been reported in patients taking opioids. Most reports were in patients with at least one predisposing risk factor (e.g., diabetes).

6.1 Clinical Trial Experience

Because clinical trials are conducted under widely varying conditions, adverse reaction rates observed in the clinical trials of a drug cannot be directly compared to rates in the clinical trials of another drug and may not reflect the rates observed in clinical practice.

The safety of hydrocodone bitartrate extended-release capsules was evaluated in a total of 1,148 subjects in Phase 3 clinical trials.

Table 2 lists the most frequently occurring adverse reactions occurring at a greater frequency than placebo from the placebo-controlled trial in subjects with moderate-to-severe chronic lower back pain.

Table 2. Treatment-Emergent Adverse Events in ≥2% of Subjects During the Open-Label Titration Period and/or the Double-Blind Treatment Period, by Preferred Term — Number (%) of Treated Subjects (Placebo-Controlled Study in Opioid-Experienced Subjects with Moderate-to-Severe Chronic Lower Back Pain)
Open-Label Titration Period Double-Blind Treatment Period
Hydrocodone Bitartrate Extended-Release Capsules Hydrocodone Bitartrate Extended-Release Capsules Placebo
Preferred Term (N = 510) (n = 151) (n = 151)
Constipation 56 (11%) 12 (8%) 0 (0%)
Nausea 50 (10%) 11 (7%) 5 (3%)
Somnolence 24 (5%) 1 (1%) 0 (0%)
Fatigue 21 (4%) 1 (1%) 2 (1%)
Headache 19 (4%) 0 (0%) 2 (1%)
Dizziness 17 (3%) 3 (2%) 1 (1%)
Dry mouth 16 (3%) 0 (0%) 0 (0%)
Vomiting 14 (3%) 7 (5%) 1 (1%)
Pruritus 13 (3%) 0 (0%) 0 (0%)
Abdominal pain 8 (2%) 4 (3%) 0 (0%)
Edema peripheral 7 (1%) 4 (3%) 0 (0%)
Upper respiratory tract infection 7 (1%) 5 (3%) 1 (1%)
Muscle spasms 6 (1%) 4 (3%) 2 (1%)
Urinary tract infection 4 (1%) 8 (5%) 3 (2%)
Back pain 4 (1%) 6 (4%) 5 (3%)
Tremor 1 (0%) 4 (3%) 1 (1%)

The common (≥1% to <10%) adverse drug reactions reported at least once by subjects treated with hydrocodone bitartrate extended-release capsules in the Phase 3 clinical trials and not represented in Table 2 were:

Gastrointestinal Disorders: abdominal discomfort, abdominal pain, gastroesophageal reflux disease

General Disorders and Administration Site Conditions: non-cardiac chest pain, pain, peripheral edema, pyrexia

Injury, Poisoning and Procedural Complications: contusion, fall, foot fracture, joint injury, joint sprain, muscle strain, skin laceration

Investigations: increased blood cholesterol, increased gamma-glutamyltransferase

Metabolism and Nutrition Disorders: dehydration, hypokalemia

Musculoskeletal and Connective Tissue Disorders: arthralgia, musculoskeletal pain, myalgia, neck pain, osteoarthritis, pain in extremity

Nervous System Disorders: lethargy, migraine, paresthesia

Psychiatric Disorders: anxiety, depression, insomnia

Respiratory, Thoracic, and Mediastinal Disorders: cough, dyspnea

Skin and Subcutaneous Tissue Disorders: hyperhidrosis, night sweats, rash

Vascular Disorders: hot flush

8 Use in Specific Populations
  • Pregnancy: May cause fetal harm. (8.1)
  • Lactation: Not recommended. (8.2)
5.1 Addiction, Abuse, and Misuse

Hydrocodone bitartrate extended-release capsules contain hydrocodone, a Schedule II controlled substance. As an opioid, hydrocodone bitartrate extended-release capsules exposes users to the risks of addiction, abuse, and misuse. Because extended-release products such as hydrocodone bitartrate extended-release capsules deliver the opioid over an extended period of time, there is a greater risk for overdose and death due to the larger amount of hydrocodone present [see Drug Abuse and Dependence (9.1)].

Although the risk of addiction in any individual is unknown, it can occur in patients appropriately prescribed hydrocodone bitartrate extended-release capsules. Addiction can occur at recommended doses and if the drug is misused or abused.

Assess each patient’s risk for opioid addiction, abuse, or misuse prior to prescribing hydrocodone bitartrate extended-release capsules, and reassess all patients receiving hydrocodone bitartrate extended-release capsules for the development of these behaviors and conditions. Risks are increased in patients with a personal or family history of substance abuse (including drug or alcohol addiction or abuse) or mental illness (e.g., major depression). The potential for these risks should not, however, prevent the prescribing of hydrocodone bitartrate extended-release capsules for the proper management of pain in any given patient. Patients at increased risk may be prescribed opioids such as hydrocodone bitartrate extended-release capsules, but use in such patients necessitates intensive counseling about the risks and proper use of hydrocodone bitartrate extended-release capsules along with frequent reevaluation for signs of addiction, abuse, and misuse. Consider prescribing naloxone for the emergency treatment of opioid overdose [see Dosage and Administration (2.2), Warnings and Precautions (5.2)].

Abuse or misuse of hydrocodone bitartrate extended-release capsules by crushing, chewing, snorting, or injecting the dissolved product will result in the uncontrolled delivery of the hydrocodone and can result in overdose and death [see Drug Abuse and Dependence (9.1), Overdosage (10)].

Opioids are sought for nonmedical use and are subject to diversion from legitimate prescribed use. Consider these risks when prescribing or dispensing hydrocodone bitartrate extended-release capsules. Strategies to reduce these risks include prescribing the drug in the smallest appropriate quantity and advising the patient on careful storage of the drug during the course of treatment and proper disposal of unused drug. Contact local state professional licensing board or state-controlled substances authority for information on how to prevent and detect abuse or diversion of this product.

17 Patient Counseling Information

Advise the patient to read the FDA approved patient labeling (Medication Guide).

Storage and Disposal

Because of the risks associated with accidental ingestion, misuse, and abuse, advise patients to store hydrocodone bitartrate extended-release capsules securely, out of sight and reach of children, and in a location not accessible by others, including visitors to the home. Inform patients that leaving hydrocodone bitartrate extended-release capsules unsecured can pose a deadly risk to others in the home [see Warnings and Precautions (5.1), Drug Abuse and Dependence (9.2)].

Advise patients and caregivers that when medicines are no longer needed, they should be disposed of promptly. Expired, unwanted, or unused hydrocodone bitartrate extended-release capsules should be disposed of by flushing the unused medication down the toilet if a drug take-back option is not readily available. Inform patients that they can visit www.fda.gov/drugdisposal for a complete list of medicines recommended for disposal by flushing, as well as additional information on disposal of unused medicines.

Addiction, Abuse, and Misuse

Inform patients that the use of hydrocodone bitartrate extended-release capsules, even when taken as recommended, can result in addiction, abuse, and misuse, which can lead to overdose or death [see Warnings and Precautions (5.1)]. Instruct patients not to share hydrocodone bitartrate extended-release capsules with others and to take steps to protect hydrocodone bitartrate extended-release capsules from theft or misuse.

Life-Threatening Respiratory Depression

Inform patients of the risk of life-threatening respiratory depression, including information that the risk is greatest when starting hydrocodone bitartrate extended-release capsules or when the dosage is increased, and that it can occur even at recommended dosages.

Educate patients and caregivers on how to recognize respiratory depression and emphasize the importance of calling 911 or getting emergency medical help right away in the event of a known or suspected overdose [see Warnings and Precautions (5.2)].

Accidental Ingestion

Inform patients that accidental ingestion, especially by children, may result in respiratory depression or death [see Warnings and Precautions (5.2)].

Interactions with Benzodiazepines and Other CNS Depressants

Inform patients and caregivers that potentially fatal additive effects may occur if hydrocodone bitartrate extended-release capsules are used with benzodiazepines or other CNS depressants, including alcohol, and not to use these concomitantly unless supervised by a health care provider. Instruct patients not to consume alcoholic beverages, as well as prescription and over-the-counter products that contain alcohol, during treatment with hydrocodone bitartrate extended-release capsules [see Warnings and Precautions (5.3), Drug Interactions (7)].

Patient Access to Naloxone for the Emergency Treatment of Opioid Overdose

Discuss with the patient and caregiver the availability of naloxone for the emergency treatment of opioid overdose, both when initiating and renewing treatment with hydrocodone bitartrate extended-release capsules. Inform patients and caregivers about the various ways to obtain naloxone as permitted by individual state naloxone dispensing and prescribing requirements or guidelines (e.g., by prescription, directly from a pharmacist, or as part of a community-based program) [see Dosage and Administration (2.2), Warnings and Precautions (5.2)].

Educate patients and caregivers on how to recognize the signs and symptoms of an overdose.

Explain to patients and caregivers that naloxone’s effects are temporary, and that they must call 911 or get emergency medical help right away in all cases of known or suspected opioid overdose, even if naloxone is administered [see Overdosage (10)].

If naloxone is prescribed, also advise patients and caregivers:

  • How to treat with naloxone in the event of an opioid overdose
  • To tell family and friends about their naloxone and to keep it in a place where family and friends can access it in an emergency
  • To read the Patient Information (or other educational material) that will come with their naloxone. Emphasize the importance of doing this before an opioid emergency happens, so the patient and caregiver will know what to do.

Hyperalgesia and Allodynia

Inform patients and caregivers not to increase opioid dosage without first consulting a clinician. Advise patients to seek medical attention if they experience symptoms of hyperalgesia, including worsening pain, increased sensitivity to pain, or new pain [see Warnings and Precautions (5.7), Adverse Reactions (6.2)].

Serotonin Syndrome

Inform patients that opioids could cause a rare but potentially life-threatening condition resulting from concomitant administration of serotonergic drugs. Warn patients of the symptoms of serotonin syndrome and to seek medical attention right away if symptoms develop. Instruct patients to inform their physicians if they are taking, or plan to take serotonergic medications [see Drug Interactions (7)].

MAOI Interaction

Inform patients to avoid taking hydrocodone bitartrate extended-release capsules while using any drugs that inhibit monoamine oxidase. Patients should not start MAOIs while taking hydrocodone bitartrate extended-release capsules [see Drug Interactions (7)].

Important Administration Instructions [see Dosage and Administration (2)]

Instruct patients how to properly take hydrocodone bitartrate extended-release capsules, including the following:

  • Use hydrocodone bitartrate extended-release capsules exactly as prescribed to reduce the risk of life-threatening adverse reactions (e.g., respiratory depression) [see Warnings and Precautions (5.3)].
  • Swallow hydrocodone bitartrate extended-release capsules whole.
  • Do not crush, chew, or dissolve the capsule or its contents.

Important Discontinuation Instructions

In order to avoid developing withdrawal symptoms, instruct patients not to discontinue hydrocodone bitartrate extended-release capsules without first discussing a tapering plan with the prescriber [see Dosage and Administration (2.6)].

Driving or Operating Heavy Machinery

Inform patients that hydrocodone bitartrate extended-release capsules may impair the ability to perform potentially hazardous activities such as driving a car or operating heavy machinery. Blood levels of hydrocodone, in some patients, may be high at the end of 24 hours after repeated dose administration. Advise patients not to perform such tasks until they know how they will react to the medication [see Warnings and Precautions (5.15)].

Constipation

Advise patients of the potential for severe constipation, including management instructions and when to seek medical attention. Instruct patients to monitor their analgesic response following the use of strong laxatives and to contact the prescriber if changes are noted [see Adverse Reactions (6), Clinical Pharmacology (12.2)].

Adrenal Insufficiency

Inform patients that opioids could cause adrenal insufficiency, a potentially life-threatening condition. Adrenal insufficiency may present with non-specific symptoms and signs such as nausea, vomiting, anorexia, fatigue, weakness, dizziness, and low blood pressure. Advise patients to seek medical attention if they experience a constellation of these symptoms [see Warnings and Precautions (5.9)].

Hypotension

Inform patients that hydrocodone bitartrate extended-release capsules may cause orthostatic hypotension and syncope. Instruct patients how to recognize symptoms of low blood pressure and how to reduce the risk of serious consequences should hypotension occur (e.g., sit or lie down, carefully rise from a sitting or lying position) [see Warnings and Precautions (5.10)].

Anaphylaxis

Inform patients that anaphylaxis has been reported with ingredients contained in hydrocodone bitartrate extended-release capsules. Advise patients how to recognize such a reaction and when to seek medical attention [see Contraindications (4), Adverse Reactions (6)].

Pregnancy

Neonatal Opioid Withdrawal Syndrome

Inform female patients of reproductive potential that use of hydrocodone bitartrate extended-release capsules for an extended period of time during pregnancy can result in neonatal opioid withdrawal syndrome, which may be life-threatening if not recognized and treated [see Warnings and Precautions (5.4), Use in Specific Populations (8.1)].

Embryo-Fetal Toxicity

Inform female patients of reproductive potential that hydrocodone bitartrate extended-release capsules can cause fetal harm and to inform their healthcare provider of a known or suspected pregnancy [see Use in Specific Populations (8.1)].

Lactation

Advise patients that breastfeeding is not recommended during treatment with hydrocodone bitartrate extended-release capsules [see Use in Specific Populations (8.2)].

Infertility

Inform patients that use of opioids for an extended period of time may cause reduced fertility. It is not known whether these effects on fertility are reversible [see Use in Specific Populations (8.3)].

16 How Supplied/storage and Handling

Hydrocodone bitartrate extended-release capsules are supplied in bottles with child-resistant closures as follows:

Strength Capsule Color(s) Capsule Text NDC Number
10 mg Light blue cap and yellow body "ALV" printed on the cap and "409" printed on the body in grey ink 47781-409-60

60 Count Bottle
15 mg Light lavender cap and yellow body "ALV" printed on the cap and "410" printed on the body in grey ink 47781-410-60

60 Count Bottle
20 mg White cap and yellow body "ALV" printed on the cap and "411" printed on the body in grey ink 47781-411-60

60 Count Bottle
30 mg Light pink cap and yellow body "ALV" printed on the cap and "412" printed on the body in grey ink 47781-412-60

60 Count Bottle
40 mg Yellow cap and yellow body "ALV" printed on the cap and "413" printed on the body in grey ink 47781-413-60

60 Count Bottle
50 mg Light grey cap and yellow body "ALV" printed on the cap and "414" printed on the body in grey ink 47781-414-60

60 Count Bottle

Hydrocodone bitartrate extended-release capsules contain hydrocodone bitartrate which is a controlled substance and is controlled under Schedule II of the Controlled Substances Act. Hydrocodone, like all opioids, is liable to diversion and misuse and should be handled accordingly. Patients and their families should be instructed to dispose of any hydrocodone bitartrate extended-release capsules that are no longer needed.

Hydrocodone bitartrate extended-release capsules may be targeted for theft and diversion. Healthcare professionals should contact their State Medical Board, State Board of Pharmacy, or State Control Board for information on how to detect or prevent diversion of this product.

Healthcare professionals should advise patients to store hydrocodone bitartrate extended-release capsules in a secure place, preferably locked and out of the reach of children and other non-caregivers.

Store at 25°C (77°F); excursions permitted to 15° to 30°C (59° to 86°F) [see USP Controlled Room Temperature].

Dispense in tight container as defined in the USP, with a child-resistant closure.

Advise patients to dispose of any unused capsules from a prescription as soon as they are no longer needed in accordance with local State guidelines and/or regulations [see Patient Counseling Information (17)].

5.4 Neonatal Opioid Withdrawal Syndrome

Use of hydrocodone bitartrate extended-release capsules for an extended period of time during pregnancy can result in withdrawal in the neonate. Neonatal opioid withdrawal syndrome, unlike opioid withdrawal syndrome in adults, may be life-threatening if not recognized and treated, and requires management according to protocols developed by neonatology experts. Observe newborns for signs of neonatal opioid withdrawal syndrome and manage accordingly. Advise pregnant women using opioids for an extended period of time of the risk of neonatal opioid withdrawal syndrome and ensure that appropriate treatment will be available [see Use in Specific Populations (8.1), Patient Counseling Information (17)].

2.4 Titration and Maintenance of Therapy

Individually titrate hydrocodone bitartrate extended-release capsules to a dose that provides adequate analgesia and minimizes adverse reactions. Continually reevaluate patients receiving hydrocodone bitartrate extended-release capsules to assess the maintenance of pain control, signs and symptoms of opioid withdrawal, and other adverse reactions, as well as to reassess for the development of addiction, abuse, or misuse [see Warnings and Precautions (5.1, 5.14)]. Frequent communication is important among the prescriber, other members of the healthcare team, the patient, and the caregiver/family during periods of changing analgesic requirements, including initial titration. During use of opioid therapy for an extended period of time, periodically reassess the continued need for use of opioid analgesics.

Patients who experience breakthrough pain may require a dosage adjustment of hydrocodone bitartrate extended-release capsules, or may need a rescue medication with an appropriate dose of an immediate-release analgesic. If the level of pain increases after dose stabilization, attempt to identify the source of increased pain before increasing the hydrocodone bitartrate extended-release capsules dosage. Because steady-state plasma concentrations are approximated within 3 days, hydrocodone bitartrate extended-release capsules dosage adjustments, preferably at increments of 10 mg every 12 hours, may be done every 3 to 7 days.

If after increasing the dosage, unacceptable opioid-related adverse reactions are observed (including an increase in pain after dosage increase), consider reducing the dosage [see Warnings and Precautions (5)]. Adjust the dosage to obtain an appropriate balance between management of pain and opioid-related adverse reactions.

5.2 Life Threatening Respiratory Depression

Serious, life-threatening, or fatal respiratory depression has been reported with the use of opioids, even when used as recommended. Respiratory depression, if not immediately recognized and treated, may lead to respiratory arrest and death. Management of respiratory depression may include close observation, supportive measures, and use of opioid antagonists, depending on the patient's clinical status [see Overdosage (10)]. Carbon dioxide (CO2) retention from opioid-induced respiratory depression can exacerbate the sedating effects of opioids.

While serious, life-threatening, or fatal respiratory depression can occur at any time during the use of hydrocodone bitartrate extended-release capsules, the risk is greatest during the initiation of therapy or following a dosage increase.

To reduce the risk of respiratory depression, proper dosing and titration of hydrocodone bitartrate extended-release capsules are essential [see Dosage and Administration (2.4)]. Overestimating the hydrocodone bitartrate extended-release capsules dose when converting patients from another opioid product can result in fatal overdose with the first dose.

Accidental ingestion of even one dose of hydrocodone bitartrate extended-release capsules, especially by children, can result in respiratory depression and death due to an overdose of hydrocodone.

Educate patients and caregivers on how to recognize respiratory depression and emphasize the importance of calling 911 or getting emergency medical help right away in the event of a known or suspected overdose [see Patient Counseling Information (17)].

Opioids can cause sleep-related breathing disorders including central sleep apnea (CSA) and sleep-related hypoxemia. Opioid use increases the risk of CSA in a dose-dependent fashion. In patients who present with CSA, consider decreasing the opioid dosage using best practices for opioid taper [see Dosage and Administration (2.6)].

Patient Access to Naloxone for the Emergency Treatment of Opioid Overdose

Discuss the availability of naloxone for the emergency treatment of opioid overdose with the patient and caregiver and assess the potential need for access to naloxone, both when initiating and renewing treatment with hydrocodone bitartrate extended-release capsules. Inform patients and caregivers about the various ways to obtain naloxone as permitted by individual state naloxone dispensing and prescribing requirements or guidelines (e.g., by prescription, directly from a pharmacist, or as part of a community-based program). Educate patients and caregivers on how to recognize respiratory depression and emphasize the importance of calling 911 or getting emergency medical help, even if naloxone is administered [see Patient Counseling Information (17)].

Consider prescribing naloxone, based on the patient’s risk factors for overdose, such as concomitant use of CNS depressants, a history of opioid use disorder, or prior opioid overdose. The presence of risk factors for overdose should not prevent the proper management of pain in any given patient. Also consider prescribing naloxone if the patient has household members (including children) or other close contacts at risk for accidental ingestion or overdose. If naloxone is prescribed, educate patients and caregivers on how to treat with naloxone [see Dosage and Administration (2.2), Warnings and Precautions (5.1, 5.3), Overdosage (10)].

5.15 Risks of Driving and Operating Machinery

Hydrocodone bitartrate extended-release capsules may impair the mental and physical abilities needed to perform potentially hazardous activities such as driving a car or operating machinery. Warn patients not to drive or operate dangerous machinery unless they are tolerant to the effects of hydrocodone bitartrate extended-release capsules and know how they will react to the medication [see Clinical Pharmacology (12.3), Patient Counseling Information (17)].

5.7 Opioid Induced Hyperalgesia and Allodynia

Opioid-Induced Hyperalgesia (OIH) occurs when an opioid analgesic paradoxically causes an increase in pain, or an increase in sensitivity to pain. This condition differs from tolerance, which is the need for increasing doses of opioids to maintain a defined effect [see Dependence (9.3)]. Symptoms of OIH include (but may not be limited to) increased levels of pain upon opioid dosage increase, decreased levels of pain upon opioid dosage decrease, or pain from ordinarily non-painful stimuli (allodynia). These symptoms may suggest OIH only if there is no evidence of underlying disease progression, opioid tolerance, opioid withdrawal, or addictive behavior.

Cases of OIH have been reported, both with short-term and longer-term use of opioid analgesics. Though the mechanism of OIH is not fully understood, multiple biochemical pathways have been implicated. Medical literature suggests a strong biologic plausibility between opioid analgesics and OIH and allodynia. If a patient is suspected to be experiencing OIH, carefully consider appropriately decreasing the dose of the current opioid analgesic or opioid rotation (safely switching the patient to a different opioid moiety) [see Dosage and Administration (2.6), Warnings and Precautions (5.14)].

8.3 Females and Males of Reproductive Potential

Infertility

Use of opioids for an extended period of time may cause reduced fertility in females and males of reproductive potential. It is not known whether these effects on fertility are reversible.

In rat fertility studies, no effects on male fertility were observed with hydrocodone at doses equivalent to 10 times the human dose of 100 mg/day, however, decreases in the weight of male reproductive organs were observed in all treated groups at doses equivalent to 2.4 times the human dose of 100 mg/day and above. Reductions in female fertility indices were observed at doses of hydrocodone equivalent to 2 times the human dose of 100 mg/day and above. These changes are attributed to a hydrocodone-mediated decrease in prolactin levels in the rat. Unique to rodents, prolactin is required for normal estrous cycling and the effects on fertility observed in this study are most likely rodent-specific and not believed to be clinically relevant [see Nonclinical Toxicology (13)].

2.1 Important Dosage and Administration Information

Hydrocodone bitartrate extended-release capsules should be prescribed only by healthcare professionals who are knowledgeable about the use of extended-release/long-acting opioids and how to mitigate the associated risks.

Daily doses of hydrocodone bitartrate extended-release capsules, a single dose of greater than 40 mg, or a total daily dose of greater than 80 mg, are only for use in patients in whom tolerance to an opioid of comparable potency has been established. Patients who are opioid tolerant are those receiving, for one week or longer, at least 60 mg oral morphine per day, 25 mcg transdermal fentanyl per hour, 30 mg oral oxycodone per day, 8 mg oral hydromorphone per day, 25 mg oral oxymorphone per day, 60 mg oral hydrocodone per day, or an equianalgesic dose of another opioid.

Use the lowest effective dosage for the shortest duration of time consistent with individual patient treatment goals [see Warnings and Precautions (5)]. Because the risk of overdose increases as opioid doses increase, reserve titration to higher doses of hydrocodone bitartrate extended-release capsules for patients in whom lower doses are insufficiently effective and in whom the expected benefits of using a higher dose opioid clearly outweigh the substantial risks.

Initiate the dosing regimen for each patient individually, taking into account the patient's underlying cause and severity of pain, prior analgesic treatment and response, and risk factors for addiction, abuse, and misuse [see Warnings and Precautions (5.1)].

Respiratory depression can occur at any time during opioid therapy, especially when initiating and following dosage increases with hydrocodone bitartrate extended-release capsules. Consider this risk when selecting an initial dose and when making dose adjustments [see Warnings and Precautions (5)].

Instruct patients to swallow hydrocodone bitartrate extended-release capsules whole [see Patient Counseling Information (17)]. Crushing, chewing, or dissolving the beads in hydrocodone bitartrate extended-release capsules will result in uncontrolled delivery of hydrocodone and can lead to overdose or death [see Warnings and Precautions (5.1)].

Hydrocodone bitartrate extended-release capsules are administered orally twice daily (every 12 hours).

Principal Display Panel 10 Mg Capsule Bottle Label

NDC 47781-409-60

Hydrocodone Bitartrate Extended-Release Capsules CII

10 mg

PHARMACIST: Dispense the Medication Guide provided separately to each patient.

Swallow capsules whole.

Do not chew, crush, or dissolve.

60 Capsules

Rx only

Principal Display Panel 15 Mg Capsule Bottle Label

NDC 47781-410-60

Hydrocodone Bitartrate Extended-Release Capsules CII



15 mg




PHARMACIST: Dispense the Medication Guide provided separately to each patient.

Swallow capsules whole. 

Do not chew, crush, or dissolve.



60 Capsules 

Rx only

Principal Display Panel 20 Mg Capsule Bottle Label

NDC 47781-411-60

Hydrocodone Bitartrate Extended-Release Capsules CII

20 mg

PHARMACIST: Dispense the Medication Guide provided separately to each patient.

Swallow capsules whole.

Do not chew, crush, or dissolve.

60 Capsules

Rx only

Principal Display Panel 30 Mg Capsule Bottle Label

NDC 47781-412-60

Hydrocodone Bitartrate Extended-Release Capsules CII

30 mg

PHARMACIST: Dispense the Medication Guide provided separately to each patient.

Swallow capsules whole.

Do not chew, crush, or dissolve.

60 Capsules

Rx only

Principal Display Panel 40 Mg Capsule Bottle Label

NDC 47781-413-60

Hydrocodone Bitartrate Extended-Release Capsules CII

40 mg

PHARMACIST: Dispense the Medication Guide provided separately to each patient.

Swallow capsules whole.

Do not chew, crush, or dissolve.

60 Capsules

Rx only

Principal Display Panel 50 Mg Capsule Bottle Label

NDC 47781-414-60

Hydrocodone Bitartrate Extended-Release Capsules CII



50 mg

PHARMACIST: Dispense the Medication Guide provided separately to each patient.

Swallow capsules whole.

Do not chew, crush, or dissolve.

60 Capsules

Rx only

5.12 Risks of Use in Patients With Gastrointestinal Conditions

Hydrocodone bitartrate extended-release capsules are contraindicated in patients with known or suspected gastrointestinal obstruction, including paralytic ileus. Hydrocodone in hydrocodone bitartrate extended-release capsules may cause spasm of the sphincter of Oddi. Opioids may cause increases in serum amylase. Regularly evaluate patients with biliary tract disease, including acute pancreatitis, for worsening of symptoms.

5.13 Increased Risk of Seizures in Patients With Seizure Disorders

The hydrocodone in hydrocodone bitartrate extended-release capsules may increase the frequency of seizures in patients with seizure disorders, and may increase the risk occurring in other clinical settings associated with seizures. Regularly evaluate patients with a history of seizure disorders for worsened seizure control during hydrocodone bitartrate extended-release capsules therapy.

2.5 Dosage Modifications in Patients With Severe Hepatic Impairment

Patients with severe hepatic impairment may have higher plasma concentrations of hydrocodone than those with normal function. Therefore, initiate therapy with 10 mg every 12 hours and titrate carefully, while monitoring for respiratory depression, sedation, and hypotension. No adjustment in starting dose with hydrocodone bitartrate extended-release capsules is required in patients with mild or moderate hepatic impairment [see Clinical Pharmacology ( 12.3 )].

5.5 Opioid Analgesic Risk Evaluation and Mitigation Strategy (rems)

To ensure that the benefits of opioid analgesics outweigh the risks of addiction, abuse, and misuse, the Food and Drug Administration (FDA) has required a Risk Evaluation and Mitigation Strategy (REMS) for these products. Under the requirements of the REMS, drug companies with approved opioid analgesic products must make REMS-compliant education programs available to healthcare providers. Healthcare providers are strongly encouraged to do all of the following:  

• Complete a REMS-compliant education program offered by an accredited provider of continuing education (CE) or another education program that includes all the elements of the FDA Education Blueprint for Health Care Providers Involved in the Management or Support of Patients with Pain. 

• Discuss the safe use, serious risks, and proper storage and disposal of opioid analgesics with patients and/or their caregivers every time these medicines are prescribed. The Patient Counseling Guide (PCG) can be obtained at this link: www.fda.gov/OpioidAnalgesicREMSPCG. 

• Emphasize to patients and their caregivers the importance of reading the Medication Guide that they will receive from their pharmacist every time an opioid analgesic is dispensed to them. 

• Consider using other tools to improve patient, household, and community safety, such as patient-prescriber agreements that reinforce patient-prescriber responsibilities. 

To obtain further information on the opioid analgesic REMS and for a list of accredited REMS CME/CE, call 1-800-503-0784, or log on to www.opioidanalgesicrems.com. The FDA Blueprint can be found at www.fda.gov/OpioidAnalgesicREMSBlueprint.

5.3 Risks From Concomitant Use With Benzodiazepines Or Other Cns Depressants

Profound sedation, respiratory depression, coma, and death may result from the concomitant use of hydrocodone bitartrate extended-release capsules with benzodiazepines and/or other CNS depressants, including alcohol (e.g., non-benzodiazepine sedatives/hypnotics, anxiolytics, tranquilizers, muscle relaxants, general anesthetics, antipsychotics, other opioids). Because of these risks, reserve concomitant prescribing of these drugs for use in patients for whom alternative treatment options are inadequate.

Observational studies have demonstrated that concomitant use of opioid analgesics and benzodiazepines increases the risk of drug-related mortality compared to use of opioid analgesics alone. Because of similar pharmacological properties, it is reasonable to expect similar risk with the concomitant use of other CNS depressant drugs with opioid analgesics [see Drug Interactions (7)].

If the decision is made to prescribe a benzodiazepine or other CNS depressant concomitantly with an opioid analgesic, prescribe the lowest effective dosages and minimum duration of concomitant use. In patients already receiving an opioid analgesic, prescribe a lower initial dose of the benzodiazepine or other CNS depressant than indicated in the absence of an opioid, and titrate based on clinical response. If an opioid analgesic is initiated in a patient already taking a benzodiazepine or other CNS depressant, prescribe a lower initial dose of the opioid analgesic, and titrate based on clinical response. Inform patients and caregivers of this potential interaction, educate them on the signs and symptoms of respiratory depression (including sedation).

If concomitant use is warranted, consider prescribing naloxone for the emergency treatment of opioid overdose [see Dosage and Administration (2.2), Warnings and Precautions (5.2)].

Advise both patients and caregivers about the risks of respiratory depression and sedation when hydrocodone bitartrate extended-release capsules is used with benzodiazepines or other CNS depressants (including alcohol and illicit drugs). Advise patients not to drive or operate heavy machinery until the effects of concomitant use of the benzodiazepine or other CNS depressant have been determined. Screen patients for risk of substance use disorders, including opioid abuse and misuse, and warn them of the risk of overdose and death associated with the use of additional CNS depressants including alcohol and illicit drugs [see Drug Interactions (7) and Patient Counseling Information (17)].

Patients must not consume alcoholic beverages, or prescription or non-prescription products containing alcohol, while on hydrocodone bitartrate extended-release capsules therapy. The co-ingestion of alcohol with hydrocodone bitartrate extended-release capsules may result in increased plasma levels and a potentially fatal overdose of hydrocodone [see Clinical Pharmacology (12.3)].

2.2 Patient Access to Naloxone for the Emergency Treatment of Opioid Overdose

Discuss the availability of naloxone for the emergency treatment of opioid overdose with the patient and caregiver and assess the potential need for access to naloxone, both when initiating and renewing treatment with hydrocodone bitartrate extended-release capsules [see Warnings and Precautions (5.2), Patient Counseling Information (17)].

Inform patients and caregivers about the various ways to obtain naloxone as permitted by individual state naloxone dispensing and prescribing requirements or guidelines (e.g., by prescription, directly from a pharmacist, or as part of a community-based program).

Consider prescribing naloxone, based on the patient’s risk factors for overdose, such as concomitant use of CNS depressants, a history of opioid use disorder, or prior opioid overdose. The presence of risk factors for overdose should not prevent the proper management of pain in any given patient [see Warnings and Precautions (5.1, 5.2, 5.3)].

Consider prescribing naloxone if the patient has household members (including children) or other close contacts at risk for accidental ingestion or overdose.

2.6 Safe Reduction Or Discontinuation of Hydrocodone Bitartrate Extended Release Capsules

Do not abruptly discontinue hydrocodone bitartrate extended-release capsules in patients who may be physically dependent on opioids. Rapid discontinuation of opioid analgesics in patients who are physically dependent on opioids has resulted in serious withdrawal symptoms, uncontrolled pain, and suicide. Rapid discontinuation has also been associated with attempts to find other sources of opioid analgesics, which may be confused with drug-seeking for abuse. Patients may also attempt to treat their pain or withdrawal symptoms with illicit opioids, such as heroin, and other substances.  

When a decision has been made to decrease the dose or discontinue therapy in an opioid-dependent patient taking hydrocodone bitartrate extended-release capsules, there are a variety of factors that should be considered, including the total daily dose of opioid (including hydrocodone bitartrate extended-release capsules) the patient has been taking, the duration of treatment, the type of pain being treated, and the physical and psychological attributes of the patient. It is important to ensure ongoing care of the patient and to agree on an appropriate tapering schedule and follow-up plan so that patient and provider goals and expectations are clear and realistic. When opioid analgesics are being discontinued due to a suspected substance use disorder, evaluate and treat the patient, or refer for evaluation and treatment of the substance use disorder.

Treatment should include evidence-based approaches, such as medication assisted treatment of opioid use disorder. Complex patients with co- morbid pain and substance use disorders may benefit from referral to a specialist.  

There are no standard opioid tapering schedules that are suitable for all patients. Good clinical practice dictates a patient-specific plan to taper the dose of the opioid gradually. For patients on hydrocodone bitartrate extended-release capsules who are physically opioid-dependent, initiate the taper by a small enough increment (e.g., no greater than 10% to 25% of the total daily dose) to avoid withdrawal symptoms, and proceed with dose-lowering at an interval of every 2 to 4 weeks. Patients who have been taking opioids for briefer periods of time may tolerate a more rapid taper.  

It may be necessary to provide the patient with lower dosage strengths to accomplish a successful taper. Reassess the patient frequently to manage pain and withdrawal symptoms, should they emerge. Common withdrawal symptoms include restlessness, lacrimation, rhinorrhea, yawning, perspiration, chills, myalgia, and mydriasis. Other signs and symptoms also may develop, including irritability, anxiety, backache, joint pain, weakness, abdominal cramps, insomnia, nausea, anorexia, vomiting, diarrhea, or increased blood pressure, respiratory rate, or heart rate. If withdrawal symptoms arise, it may be necessary to pause the taper for a period of time or raise the dose of the opioid analgesic to the previous dose, and then proceed with a slower taper. In addition, evaluate patients for any changes in mood, emergence of suicidal thoughts, or use of other substances.  

When managing patients taking opioid analgesics, particularly those who have been treated for an extended period of time, and/or with high doses for chronic pain, ensure that a multimodal approach to pain management, including mental health support (if needed), is in place prior to initiating an opioid analgesic taper. A multimodal approach to pain management may optimize the treatment of chronic pain, as well as assist with the successful tapering of the opioid analgesic [see Warnings and Precautions (5.14), Drug Abuse and Dependence (9.3)].

5.6 Risks of Concomitant Use Or Discontinuation of Cytochrome P450 3a4 Inhibitors and Inducers

Concomitant use of hydrocodone bitartrate extended-release capsules with a CYP3A4 inhibitor, such as macrolide antibiotics (e.g., erythromycin), azole-antifungal agents (e.g., ketoconazole), and protease inhibitors (e.g., ritonavir), may increase plasma concentrations of hydrocodone and prolong opioid adverse reactions, which may cause potentially fatal respiratory depression [see Warnings and Precautions (5.2)], particularly when an inhibitor is added after a stable dose of hydrocodone bitartrate extended-release capsules is achieved. Similarly, discontinuation of a CYP3A4 inducer, such as rifampin, carbamazepine, and phenytoin, in hydrocodone bitartrate extended-release capsule-treated patients may increase hydrocodone plasma concentrations and prolong opioid adverse reactions. When using hydrocodone bitartrate extended-release capsules with CYP3A4 inhibitors or discontinuing CYP3A4 inducers in hydrocodone bitartrate extended-release capsule-treated patients, evaluate patients at frequent intervals and consider dosage reduction of hydrocodone bitartrate extended-release capsules until stable drug effects are achieved [see Drug Interactions (7)].

Concomitant use of hydrocodone bitartrate extended-release capsules with CYP3A4 inducers or discontinuation of an CYP3A4 inhibitor could decrease hydrocodone plasma concentrations, decrease opioid efficacy or, possibly, lead to a withdrawal syndrome in a patient who had developed physical dependence to hydrocodone. When using hydrocodone bitartrate extended-release capsules with CYP3A4 inducers or discontinuing CYP3A4 inhibitors, monitor patients closely at frequent intervals and consider increasing the opioid dosage if needed to maintain adequate analgesia or if symptoms of opioid withdrawal occur [see Drug Interactions (7)].

Warning: Serious and Life Threatening Risks From Use of Hydrocodone Bitartrate Extended Release Capsules

Addiction, Abuse, and Misuse

Because the use of hydrocodone bitartrate extended-release capsules exposes patients and other users to the risks of opioid addiction, abuse, and misuse, which can lead to overdose and death, assess each patient’s risk prior to prescribing and reassess all patients regularly for the development of these behaviors and conditions [see Warnings and Precautions (5.1)].

Life-Threatening Respiratory Depression

Serious, life-threatening, or fatal respiratory depression may occur with use of hydrocodone bitartrate extended-release capsules, especially during initiation or following a dosage increase. To reduce the risk of respiratory depression, proper dosing and titration of hydrocodone bitartrate extended-release capsules are essential. Instruct patients to swallow hydrocodone bitartrate extended-release capsules whole; crushing, chewing, or dissolving hydrocodone bitartrate extended-release capsules can cause rapid release and absorption of a potentially fatal dose of hydrocodone [see Warnings and Precautions (5.2)].

Accidental Ingestion

Accidental ingestion of even one dose of hydrocodone bitartrate extended-release capsules, especially by children, can result in a fatal overdose of hydrocodone [see Warnings and Precautions (5.2)].

Risks From Concomitant Use with Benzodiazepines or Other CNS Depressants

Concomitant use of opioids with benzodiazepines or other central nervous system (CNS) depressants, including alcohol, may result in profound sedation, respiratory depression, coma, and death. Reserve concomitant prescribing of hydrocodone bitartrate extended-release capsules and benzodiazepines or other CNS depressants for use in patients for whom alternative treatment options are inadequate [see Warnings and Precautions (5.3), Drug Interactions (7)] .

Interaction with Alcohol

Instruct patients not to consume alcoholic beverages or use prescription or non-prescription products that contain alcohol while taking hydrocodone bitartrate extended-release capsules. The co-ingestion of alcohol with hydrocodone bitartrate extended-release capsules may result in increased plasma levels and a potentially fatal overdose of hydrocodone [see Warnings and Precautions (5.3) and Clinical Pharmacology (12.3)] .

Neonatal Opioid Withdrawal Syndrome (NOWS)

If opioid use is required for an extended period of time in a pregnant woman, advise the patient of the risk of NOWS, which may be life-threatening if not recognized and treated. Ensure that management by neonatology experts will be available at delivery [see Warnings and Precautions (5.4)].

Opioid Analgesic Risk Evaluation and Mitigation Strategy (REMS)

Healthcare providers are strongly encouraged to complete a REMS-compliant education program and to counsel patients and caregivers on serious risks, safe use, and the importance of reading the Medication Guide with each prescription [see Warnings and Precautions (5.5)].

Cytochrome P450 3A4 Interaction

The concomitant use of hydrocodone bitartrate extended-release capsules with all cytochrome P450 3A4 inhibitors may result in an increase in hydrocodone plasma concentrations, which could increase or prolong adverse drug effects and may cause potentially fatal respiratory depression. In addition, discontinuation of a concomitantly used cytochrome P450 3A4 inducer may result in an increase in hydrocodone plasma concentration. Monitor patients receiving hydrocodone bitartrate extended-release capsules and any CYP3A4 inhibitor or inducer [see Warnings and Precautions (5.6) and Clinical Pharmacology (12.3)] .

5.11 Risks of Use in Patients With Increased Intracranial Pressure, Brain Tumors, Head Injury, Or Impaired Consciousness

In patients who may be susceptible to the intracranial effects of CO2 retention (e.g., those with evidence of increased intracranial pressure or brain tumors), hydrocodone bitartrate extended-release capsules may reduce respiratory drive, and the resultant CO2 retention can further increase intracranial pressure. Monitor such patients for signs of sedation and respiratory depression, particularly when initiating therapy with hydrocodone bitartrate extended-release capsules.

Opioids may also obscure the clinical course in a patient with a head injury. Avoid the use of hydrocodone bitartrate extended-release capsules in patients with impaired consciousness or coma.

5.8 Life Threatening Respiratory Depression in Patients With Chronic Pulmonary Disease Or in Elderly, Cachectic, Or Debilitated Patients

The use of hydrocodone bitartrate extended-release capsules in patients with acute or severe bronchial asthma in an unmonitored setting or in the absence of resuscitative equipment is contraindicated.

Patients with Chronic Pulmonary Disease: Hydrocodone bitartrate extended-release capsule-treated patients with significant chronic obstructive pulmonary disease or cor pulmonale, and those with a substantially decreased respiratory reserve, hypoxia, hypercapnia, or pre-existing respiratory depression are at increased risk of decreased respiratory drive including apnea, even at recommended dosages of hydrocodone bitartrate extended-release capsules.

Elderly, Cachectic, or Debilitated Patients: Life-threatening respiratory depression is more likely to occur in elderly, cachectic, or debilitated patients because they may have altered pharmacokinetics or altered clearance compared to younger, healthier patients.

Regularly evaluate patients, particularly when initiating and titrating hydrocodone bitartrate extended-release capsules and when hydrocodone bitartrate extended-release capsules are given concomitantly with other drugs that depress respiration [see Warnings and Precautions (5), Drug Interactions (7)]. Alternatively, consider the use of non-opioid analgesics in these patients.


Structured Label Content

Section 42229-5 (42229-5)

Effects on the Central Nervous System

Hydrocodone produces respiratory depression by direct action on brain stem respiratory centers. The respiratory depression involves a reduction in the responsiveness of the brainstem respiratory centers to both increases in carbon dioxide tension and electrical stimulation. Hydrocodone causes miosis, even in total darkness. Pinpoint pupils are a sign of opioid overdose but are not pathognomonic (e.g., pontine lesions of hemorrhagic or ischemic origin may produce similar findings). Marked mydriasis rather than miosis may be seen with hypoxia in overdose situations [see Overdosage ( 10 )].

Section 42231-1 (42231-1)
Medication Guide

Hydrocodone Bitartrate Extended-Release Capsules, CII

(hye" droe koe' done bye tar' trate)
This Medication Guide has been approved by the U.S. Food and Drug Administration 
Hydrocodone bitartrate extended-release capsules are:
  • A strong prescription pain medicine that contains an opioid (narcotic) that is used to manage severe and persistent pain that requires an extended treatment period with a daily opioid pain medicine when other pain medicines do not treat your pain well enough or you cannot tolerate them.
  • A long acting (extended-release) opioid pain medicine that can put you at risk for overdose and death. Even if you take your dose correctly as prescribed, you are at risk for opioid addiction, abuse, and misuse that can lead to death.
  • Not to be taken on an “as needed” basis.
Important information about hydrocodone bitartrate extended-release capsules:
  • Get emergency help or call 911 right away if you take too much hydrocodone bitartrate extended-release capsules (overdose). When you first start taking hydrocodone bitartrate extended-release capsules, when your dose is changed, or if you take too much (overdose), serious or life-threatening breathing problems that can lead to death may occur. Talk to your healthcare provider about naloxone, a medicine for the emergency treatment of an opioid overdose.
  • Taking hydrocodone bitartrate extended-release capsules with other opioid medicines, benzodiazepines, alcohol, or other central nervous system depressants (including street drugs) can cause severe drowsiness, decreased awareness, breathing problems, coma, and death.
  • Never give anyone else your hydrocodone bitartrate extended-release capsules. They could die from taking it. Selling or giving away hydrocodone bitartrate extended-release capsules is against the law.
  • Store hydrocodone bitartrate extended-release capsules securely, out of sight and reach of children, and in a location not accessible by others, including visitors to the home.
Do not take hydrocodone bitartrate extended-release capsules if you have:
  • severe asthma, trouble breathing, or other lung problems.
  • a bowel blockage or narrowing of the stomach or intestines.
Before taking hydrocodone bitartrate extended-release capsules, tell your healthcare provider if you have a history of:
  • head injury, seizures
  • problems urinating
  • liver, kidney, thyroid problems
  • pancreas or gallbladder problems
  • abuse of street or prescription drugs, alcohol addiction, opioid overdose, or mental health problems.
Tell your healthcare provider if you:
  • are noticing your pain getting worse. If your pain gets worse after you take hydrocodone bitartrate extended-release capsules, do not take more of hydrocodone bitartrate extended-release capsules without first talking to your healthcare provider. Talk to your healthcare provider if the pain that you have increases, if you feel more sensitive to pain, or if you have new pain after taking hydrocodone bitartrate extended-release capsules.
  • are pregnant or planning to become pregnant. Use of hydrocodone bitartrate extended-release capsules for an extended period of time during pregnancy can cause withdrawal symptoms in your newborn baby that could be life-threatening if not recognized and treated.
  • are breastfeeding. Not recommended during treatment with hydrocodone bitartrate extended-release capsules. It may harm your baby.
  • are living in a household where there are small children or someone who has abused street or prescription drugs.
  • are taking prescription or over-the-counter medicines, vitamins, or herbal supplements. Taking hydrocodone bitartrate extended-release capsules with certain other medicines can cause serious side effects that could lead to death.
When taking hydrocodone bitartrate extended-release capsules:
  • Do not change your dose. Take hydrocodone bitartrate extended-release capsules exactly as prescribed by your healthcare provider. Use the lowest dose possible for the shortest time needed.
  • Take your prescribed dose every 12 hours, at the same time every day. Do not take more than your prescribed dose in 12 hours. If you miss a dose, take your next dose at your usual time.
  • Swallow hydrocodone bitartrate extended-release capsules whole. Do not cut, break, chew, crush, dissolve, snort, or inject hydrocodone bitartrate extended-release capsules because this may cause you to overdose and die.
Call your healthcare provider if the dose you are taking does not control your pain.
  • Do not stop taking hydrocodone bitartrate extended-release capsules without talking to your healthcare provider.
  • Dispose of expired, unwanted, or unused hydrocodone bitartrate extended-release capsules by taking your drug to an authorized DEA-registered collector or drug take-back program. If one is not available, you can dispose of hydrocodone bitartrate extended-release capsules by mixing the product with dirt, cat litter, or coffee grounds; placing the mixture in a sealed plastic bag, and throwing the bag in your trash. Visit www.fda.gov/drugdisposal for additional information on disposal of unused medicines.
While taking hydrocodone bitartrate extended-release capsules DO NOT:
  • Drive or operate heavy machinery, until you know how hydrocodone bitartrate extended-release capsules affects you. Hydrocodone bitartrate extended-release capsules can make you sleepy, dizzy, or lightheaded.
  • Drink alcohol or use prescription or over-the-counter medicines that contain alcohol. Using products containing alcohol during treatment with hydrocodone bitartrate extended-release capsules may cause you to overdose and die.
The possible side effects of hydrocodone bitartrate extended-release capsules are:
  • constipation, nausea, sleepiness, vomiting, tiredness, headache, dizziness, abdominal pain. Call your healthcare provider if you have any of these symptoms and they are severe.
Get emergency medical help or call 911 right away if you have:
  • trouble breathing, shortness of breath, fast heartbeat, chest pain, swelling of your face, tongue or throat, extreme drowsiness, light-headedness when you are changing positions, feeling faint, agitation, high body temperature, trouble walking, stiff muscles, or mental changes such as confusion.
These are not all the possible side effects of hydrocodone bitartrate extended-release capsules. Call your healthcare provider for medical advice about side effects. You may report side effects to FDA at 1-800-FDA-1088. For more information go to dailymed.nlm.nih.gov.



Product of USA



Distributed by:

Alvogen, Inc.

Morristown, NJ 07960 USA



For more information, call Alvogen at 1-866-770-3024.

Revised: 12/2023

PL409-04

Section 43683-2 (43683-2)
Boxed Warning 12/2023
Indications and Usage (1) 12/2023
Dosage and Administration (2.1, 2.3, 2.4) 12/2023
Warnings and Precautions (5.7) 12/2023
9.2 Abuse

Hydrocodone bitartrate extended-release capsules contain hydrocodone, a substance with high potential for misuse and abuse, which can lead to the development of substance use disorder, including addiction [see Warnings and Precautions (5.1)].

Misuse is the intentional use, for therapeutic purposes, of a drug by an individual in a way other than prescribed by a healthcare provider or for whom it was not prescribed.

Abuse is the intentional, non-therapeutic use of a drug, even once, for its desirable psychological or physiological effects.

Drug addiction is a cluster of behavioral, cognitive, and physiological phenomena that may include a strong desire to take the drug, difficulties in controlling drug use (e.g., continuing drug use despite harmful consequences, giving a higher priority to drug use than other activities and obligations), and possible tolerance or physical dependence.

Misuse and abuse of hydrocodone bitartrate extended-release capsules increases risk of overdose, which may lead to central nervous system and respiratory depression, hypotension, seizures, and death. The risk is increased with concurrent abuse of hydrocodone bitartrate extended-release capsules with alcohol and other CNS depressants. Abuse of and addiction to opioids in some individuals may not be accompanied by concurrent tolerance and symptoms of physical dependence. In addition, abuse of opioids can occur in the absence of addiction.

All patients treated with opioids require careful and frequent reevaluation for signs of misuse, abuse, and addiction, because use of opioid analgesic products carries the risk of addiction even under appropriate medical use. Patients at high risk of hydrocodone bitartrate extended-release capsules abuse include those with a history of prolonged use of any opioid, including products containing hydrocodone, those with a history of drug or alcohol abuse, or those who use hydrocodone bitartrate extended-release capsules in combination with other abused drugs.

"Drug-seeking" behavior is very common in persons with substance use disorders. Drug-seeking tactics include emergency calls or visits near the end of office hours, refusal to undergo appropriate examination, testing, or referral, repeated “loss” of prescriptions, tampering with prescriptions, and reluctance to provide prior medical records or contact information for other treating healthcare provider(s). “Doctor shopping” (visiting multiple prescribers to obtain additional prescriptions) is common among people who abuse drugs and people with substance use disorder. Preoccupation with achieving adequate pain relief can be appropriate behavior in a patient with inadequate pain control.

Hydrocodone bitartrate extended-release capsules, like other opioids, can be diverted for nonmedical use into illicit channels of distribution. Careful record-keeping of prescribing information, including quantity, frequency, and renewal requests, as required by state and federal law, is strongly advised.

Proper assessment of the patient, proper prescribing practices, periodic re-evaluation of therapy, and proper dispensing and storage are appropriate measures that help to limit abuse of opioid drugs.

Risks Specific to Abuse of Hydrocodone Bitartrate Extended-Release Capsules

Abuse of hydrocodone bitartrate extended-release capsules poses a risk of overdose and death. The risk is increased with concurrent use of hydrocodone bitartrate extended-release capsules with alcohol and/or other CNS depressants. Taking cut, broken, chewed, crushed, or dissolved hydrocodone bitartrate extended-release capsules enhances drug release and increases the risk of overdose and death.

Hydrocodone bitartrate extended-release capsules are approved for oral use only. With parenteral abuse the inactive ingredients can result in local tissue necrosis, infection, pulmonary granulomas, increased risk of endocarditis and valvular heart injury, embolism, and death.

Parenteral drug abuse is commonly associated with transmission of infectious diseases such as hepatitis and HIV.

10 Overdosage (10 OVERDOSAGE)

Clinical Presentation

Acute overdosage with hydrocodone bitartrate extended-release capsules can be manifested by respiratory depression, somnolence progressing to stupor or coma, skeletal muscle flaccidity, cold and clammy skin, constricted pupils, and, in some cases, pulmonary edema, bradycardia, hypotension, hypoglycemia, partial or complete airway obstruction, atypical snoring, and death. Marked mydriasis rather than miosis may be seen with hypoxia in overdose situations [see Clinical Pharmacology (12.2)].

Treatment of Overdose

In case of overdose, priorities are the reestablishment of a patent and protected airway and institution of assisted or controlled ventilation, if needed. Employ other supportive measures (including oxygen and vasopressors) in the management of circulatory shock and pulmonary edema as indicated. Cardiac arrest or arrhythmias will require advanced life-support measures.

Opioid antagonists, such as naloxone, are specific antidotes to respiratory depression resulting from opioid overdosage. For clinically significant respiratory or circulatory depression secondary to hydrocodone overdose, administer an opioid antagonist.

Because the duration of reversal is expected to be less than the duration of action of hydrocodone in hydrocodone bitartrate extended-release capsules, carefully monitor the patient until spontaneous respiration is reliably reestablished. Hydrocodone bitartrate extended-release capsules will continue to release hydrocodone and add to the hydrocodone load for 24 to 48 hours or longer following ingestion necessitating prolonged monitoring. If the response to an opioid antagonist is suboptimal or only brief in nature, administer additional antagonist as directed by the product’s prescribing information.

In an individual physically dependent on opioids, administration of the recommended dose of the antagonist will precipitate an acute withdrawal syndrome. The severity of the withdrawal syndrome produced will depend on the degree of physical dependence and the dose of the antagonist administered. If a decision is made to treat serious respiratory depression in the physically dependent patient, administration of the antagonist should be initiated with care and by titration with smaller than usual doses of the antagonist.

8.1 Pregnancy

Risk Summary

Use of opioid analgesics for an extended period of time during pregnancy may cause neonatal opioid withdrawal syndrome [see Warnings and Precautions (5.4)]. There are no studies of hydrocodone bitartrate extended-release capsules use in pregnant women. Rats administered oral hydrocodone during gestation and lactation showed increases in stillborn pups and decreases in pup survival at doses equivalent to the human dose of 100 mg/day. Reduced nursing behavior and decreased body weights were observed at 2 times the human dose. Reduced fetal weights were observed in rabbits administered hydrocodone during the period of organogenesis at doses equivalent to 5 times the human dose of 100 mg/day. In this study, increases in the number of umbilical hernias, irregularly shaped bones, and delays in fetal skeletal maturation were observed at doses 15 times the human dose of 100 mg/day. No fetal malformations were observed in animal reproduction studies with oral administration of hydrocodone bitartrate during organogenesis in rats and rabbits at doses approximately 2 and 10 times a human dose of 100 mg/day, respectively [see Data]. Based on animal data, advise pregnant women of the potential risks to a fetus.

The estimated background risk of major birth defects and miscarriage for the indicated population is unknown. All pregnancies have a background risk of birth defect, loss, or other adverse outcomes. In the U.S. general population, the estimated background risk of major birth defects and miscarriage in clinically recognized pregnancies is 2% to 4% and 15% to 20%, respectively.

Clinical Considerations

Fetal/neonatal adverse reactions

Use of opioid analgesics for an extended period of time during pregnancy for medical or nonmedical purposes can result in physical dependence in the neonate and neonatal opioid withdrawal syndrome shortly after birth. Observe newborns for symptoms of neonatal opioid withdrawal syndrome, such as poor feeding, diarrhea, irritability, tremor, rigidity, and seizures, and manage accordingly [see Warnings and Precautions (5.4)].

Labor or Delivery

Opioids cross the placenta and may produce respiratory depression and psycho-physiologic effects in neonates. An opioid antagonist such as naloxone must be available for reversal of opioid induced respiratory depression in the neonate. Hydrocodone bitartrate extended-release capsules are not recommended for use in women during and immediately prior to labor, when shorter-acting analgesics or other analgesic techniques are more appropriate. Opioid analgesics, including hydrocodone bitartrate extended-release capsules, can prolong labor through actions which temporarily reduce the strength, duration and frequency of uterine contractions. However, this effect is not consistent and may be offset by an increased rate of cervical dilatation, which tends to shorten labor.

Data

Animal Data

Oral doses of hydrocodone bitartrate up to 25 mg/kg/day in rats and 50 mg/kg/day in rabbits, equivalent to 2 and 10 times an adult human dose of 100 mg/day, respectively on a mg/m2 basis, did not result in any fetal malformations. Fetuses of rabbits administered oral doses of 75 mg/kg/day hydrocodone bitartrate (15 times an adult human dose of 100 mg/day on a mg/m2 basis) during the period of organogenesis exhibited an increased number of malformations consisting of umbilical hernia, and irregularly shaped bones (ulna, femur, tibia and/or fibula). Maternal toxicity was evident at this dose (decreased body weight). In addition, oral hydrocodone bitartrate reduced fetal weights at doses greater than or equal to 25 mg/kg/day (equivalent to approximately 5 times an adult human dose of 100 mg/day on a mg/m2 basis). Delays in fetal skeletal maturation (reduced ossification of hyoid bodies and xiphoid bones) were seen following dosing with 75 mg/kg/day (a dose equivalent to 15 times an adult human dose of 100 mg/day on a mg/m2 basis).

Hydrocodone bitartrate administered orally to female rats at oral doses of 10 mg/kg/day and 25 mg/kg/day during gestation and lactation resulted in pups which were noted as cold to touch and caused a reduction in fetal viability (increases in the number of stillborn pups and/or pups dying postpartum). The doses causing these effects were equivalent to approximately 1 and 2.4 times an adult human dose of 100 mg/day, on a mg/m2 basis. Nursing was reduced in pups of mothers administered 25 mg/kg/day which correlated with decreased body weight/body weight gain and food consumption in male pups. Minimal maternal toxicity was evident at 25 mg/kg (decreased body weight).

8.2 Lactation

Risk Summary

Hydrocodone is present in human milk. A published lactation study reports variable concentrations of hydrocodone and hydromorphone (an active metabolite) in breast milk with administration of immediate-release hydrocodone to nursing mothers in the early post-partum period. This lactation study did not assess breastfed infants for potential adverse drug reactions. Lactation studies have not been conducted with extended-release hydrocodone, including hydrocodone bitartrate extended-release capsules, and no information is available on the effects of the drug on the breastfed infant or the effects of the drug on milk production.

Because of the potential for serious adverse reactions, including excess sedation and respiratory depression in a breastfed infant, advise patients that breastfeeding is not recommended during treatment with hydrocodone bitartrate extended-release capsules.

Clinical Considerations

Monitor infants exposed to hydrocodone bitartrate through breast milk for excess sedation and respiratory depression. Withdrawal symptoms can occur in breastfed infants when maternal administration of an opioid analgesic is stopped, or when breastfeeding is stopped.

11 Description (11 DESCRIPTION)

Hydrocodone bitartrate extended-release capsules are hard gelatin capsules for oral administration. Hydrocodone bitartrate is an opioid agonist and occurs as fine, white crystals, or as a crystalline powder.

The chemical name is 4,5(alpha)-epoxy-3-methoxy-17-methylmorphinan-6-one tartrate (1:1) hydrate (2:5) or morphinan-6-one, 4,5-epoxy-3-methoxy-17-methyl-, (5 alpha)-, [R (R*, R*)]-2,3-dihydroxybutanedioate (1:1), hydrate (2:5). It has the following structural formula:

Each hydrocodone bitartrate extended-release capsule contains either 10 mg, 15 mg, 20 mg, 30 mg, 40 mg, or 50 mg of hydrocodone bitartrate USP. All capsule strengths include the following inactive ingredients: ammonio methacrylate copolymer Type B, copovidone, gelatin, silicon dioxide, sodium lauryl sulfate, sugar spheres, and talc.

The capsule shells contain the following colorants: black iron oxide (50 mg capsule), D&C yellow #10 (all capsule strengths), FD&C blue #1 (10 mg, 15 mg, and 30 mg capsules), FD&C red #3 (15 mg and 30 mg capsules), FD&C red #40 (30 mg capsule), FD&C yellow #6 (all capsule strengths) and titanium dioxide (all capsule strengths).

The imprinting ink for all capsule strengths contains: black iron oxide, D&C yellow #10, FD&C blue #1, FD&C blue #2, FD&C red # 40, n-butyl alcohol, propylene glycol and shellac.

9.3 Dependence

Both tolerance and physical dependence can develop during use of opioid therapy.

Tolerance is a physiological state characterized by a reduced response to a drug after repeated administration (i.e., a higher dose of a drug is required to produce the same effect that was once obtained at a lower dose).

Physical dependence is a state that develops as a result of a physiological adaptation in response to repeated drug use, manifested by withdrawal signs and symptoms after abrupt discontinuation or a significant dose reduction of a drug.

Withdrawal may be precipitated through the administration of drugs with opioid antagonist activity (e.g., naloxone), mixed agonist/antagonist analgesics (e.g., pentazocine, butorphanol, nalbuphine), or partial agonists (e.g., buprenorphine). Physical dependence may not occur to a clinically significant degree until after several days to weeks of continued use.

Do not abruptly discontinue hydrocodone bitartrate extended-release capsules in a patient physically dependent on opioids. Rapid tapering of hydrocodone bitartrate extended-release capsules in a patient physically dependent on opioids may lead to serious withdrawal symptoms, uncontrolled pain, and suicide. Rapid discontinuation has also been associated with attempts to find other sources of opioid analgesics, which may be confused with drug-seeking for abuse.

When discontinuing hydrocodone bitartrate extended-release capsules, gradually taper the dosage using a patient-specific plan that considers the following: the dose of hydrocodone bitartrate extended-release capsules the patient has been taking, the duration of treatment, and the physical and psychological attributes of the patient. To improve the likelihood of a successful taper and minimize withdrawal symptoms, it is important that the opioid tapering schedule is agreed upon by the patient. In patients taking opioids for an extended period of time at high doses, ensure that a multimodal approach to pain management, including mental health support (if needed), is in place prior to initiating an opioid analgesic taper [see Dosage and Administration (2.6), Warnings and Precautions (5.14)].

Infants born to mothers physically dependent on opioids will also be physically dependent and may exhibit respiratory difficulties and withdrawal signs [see Use in Specific Populations (8.1)].

5.14 Withdrawal

Do not abruptly discontinue hydrocodone bitartrate extended-release capsules in a patient physically dependent on opioids. When discontinuing hydrocodone bitartrate extended-release capsules in a physically dependent patient, gradually taper the dosage. Rapid tapering of hydrocodone in a patient physically dependent on opioids may lead to a withdrawal syndrome and return of pain [see Dosage and Administration (2.6), Drug Abuse and Dependence (9.3)].

Additionally, avoid the use of mixed agonist/antagonist (e.g., pentazocine, nalbuphine, and butorphanol) or partial agonist (e.g., buprenorphine) analgesics in patients who are receiving a full opioid agonist analgesic, including hydrocodone bitartrate extended-release capsules. In these patients, mixed agonist/antagonist and partial agonist analgesics may reduce the analgesic effect and/or may precipitate withdrawal symptoms [see Drug Interactions (7)].

8.4 Pediatric Use

The safety and effectiveness of hydrocodone bitartrate extended-release capsules in pediatric patients below the age of 18 years have not been established.

8.5 Geriatric Use

Clinical studies of hydrocodone bitartrate extended-release capsules did not include sufficient numbers of subjects aged 65 and over to determine whether they respond differently from younger subjects. Elderly patients (aged 65 years or older) may have increased sensitivity to hydrocodone. In general, use caution when selecting a dosage for an elderly patient, usually starting at the low end of the dosing range, reflecting the greater frequency of decreased hepatic, renal, or cardiac function, and of the concomitant disease or other drug therapy.

Respiratory depression is the chief risk for elderly patients treated with opioids, and has occurred after large initial doses were administered to patients who were not opioid-tolerant or when opioids were co-administered with other agents that depress respiration. Titrate the dosage of hydrocodone bitartrate extended-release capsules slowly in geriatric patients and frequently reevaluate the patient for signs of central nervous system and respiratory depression [see Warnings and Precautions (5.8)].

Hydrocodone is known to be substantially excreted by the kidney, and the risk of adverse reactions to this drug may be greater in patients with impaired renal function. Because elderly patients are more likely to have decreased renal function, care should be taken in dose selection, and it may be useful to regularly evaluate renal function.

2.3 Initial Dosage

Use of Hydrocodone Bitartrate Extended-Release Capsules as the First Opioid Analgesic (opioid-naïve patients)

Initiate therapy with hydrocodone bitartrate extended-release capsules with one 10 mg capsule every 12 hours.

Use of Hydrocodone Bitartrate Extended-Release Capsules in Patients Who Are Not Opioid Tolerant

The starting dose for patients who are not opioid tolerant is hydrocodone bitartrate extended-release capsules 10 mg orally every 12 hours.

Use of higher starting doses in patients who are not opioid tolerant may cause fatal respiratory depression [see Warnings and Precautions (5.2)].

Conversion from Oral Hydrocodone Formulations to Hydrocodone Bitartrate Extended-Release Capsules

Patients receiving other oral hydrocodone-containing formulations may be converted to hydrocodone bitartrate extended-release capsules by dividing the patient’s total daily oral hydrocodone dose in half and administrating as hydrocodone bitartrate extended-release capsules every 12 hours.

Conversion from Other Oral Opioids to Hydrocodone Bitartrate Extended-Release Capsules

When hydrocodone bitartrate extended-release capsules therapy is initiated, discontinue all other opioid analgesics other than those used on an as needed basis for breakthrough pain when appropriate.

There is inter-patient variability in the relative potency of different opioid drugs and products. Therefore, a conservative approach is advised when determining the total daily dosage of hydrocodone bitartrate extended-release capsules. It is safer to underestimate a patient's 24-hour oral hydrocodone dosage and provide rescue medication (e.g., immediate-release opioid) than to overestimate the 24-hour oral hydrocodone dosage and manage an adverse reaction due to an overdose.

In a hydrocodone bitartrate extended-release capsules clinical trial with an open label titration period, patients were converted from their prior opioid to hydrocodone bitartrate extended-release capsules using Table 1 as a guide for the initial hydrocodone bitartrate extended-release capsules dose. To obtain the initial hydrocodone bitartrate extended-release capsules dose, first use Table 1 to convert the prior oral opioids to a total hydrocodone daily dose and then reduce the calculated daily hydrocodone dose by 25% to account for interpatient variability in relative potency of different opioids.

Consider the following when using the information in Table 1:

  • This is not a table of equianalgesic doses.
  • The conversion factors in this table are only for the conversion from one of the listed oral opioid analgesics to hydrocodone bitartrate extended-release capsules.
  • The table cannot be used to convert from hydrocodone bitartrate extended-release capsules to another opioid. Doing so will result in an over-estimation of the dose of the new opioid and may result in fatal overdose.
Table 1. Conversion Factors to Hydrocodone Bitartrate Extended-Release Capsules (Not Equianalgesic Doses)
Prior Oral Opioid Oral Dose (mg) Approximate Oral Conversion Factor
The conversion ratios in this table are only to be used for the conversion from current opioid therapy to hydrocodone bitartrate extended-release capsules.
Hydrocodone 10 1
Oxycodone 10 1
Methadone 10 1
Oxymorphone 5 2
Hydromorphone 3.75 2.67
Morphine 15 0.67
Codeine 100 0.10

To calculate the estimated daily hydrocodone bitartrate extended-release capsule dose using Table 1:

  • For patients on a single opioid, sum the current total daily dose of the opioid and then multiply the total daily dose by the approximate oral conversion factor to calculate the approximate oral hydrocodone daily dose. Divide the daily dose in half for administration every 12 hours.
  • For patients on a regimen of more than one opioid, calculate the approximate oral hydrocodone dose for each opioid and sum the totals to obtain approximate total hydrocodone daily dose. The daily dose should then be divided in half for administration every 12 hours.
  • For patients on a regimen of fixed-ratio opioid/non-opioid analgesic products, use only the opioid component of these products in the conversion.
  • Reduce the calculated daily oral hydrocodone dose by 25%.

Always round the dose down, if necessary, to the nearest hydrocodone bitartrate extended-release capsule strength(s) available and initiate therapy with that dose.

Example conversion from a single opioid to hydrocodone bitartrate extended-release capsules

Step 1: Sum the total daily dose of the opioid (in this case, extended-release oxymorphone); 15 mg oxymorphone twice daily = 30 mg total daily dose of oxymorphone.

Step 2: Calculate the approximate equivalent dose of oral hydrocodone based on the total daily dose of the current opioid using Table 1; 30 mg total daily dose of oxymorphone x 2 = 60 mg of oral hydrocodone daily. The daily dose should then be divided in half for administration every 12 hours.

Step 3: Calculate the approximate starting dose which is 30 mg hydrocodone bitartrate extended-release capsules every 12 hours. Round down, if necessary, to the appropriate hydrocodone bitartrate extended-release capsule strengths available. Close observation and frequent titration are warranted until pain management is stable on the new opioid. Monitor patients for signs and symptoms of opioid withdrawal or for signs of over-sedation/toxicity after converting patients to hydrocodone bitartrate extended-release capsules.

The dose of hydrocodone bitartrate extended-release capsules can be gradually adjusted preferably at increments of 10 mg every 12 hours every 3 to 7 days, until adequate pain relief and acceptable adverse reactions have been achieved.

Conversion from Methadone to Hydrocodone Bitartrate Extended-Release Capsules

Close monitoring is of particular importance when converting from methadone to other opioid agonists. The ratio between methadone and other opioid agonists may vary widely as a function of previous dose exposure. Methadone has a long half-life and tends to accumulate in the plasma.

Conversion from Transdermal Fentanyl to Hydrocodone Bitartrate Extended-Release Capsules

Hydrocodone bitartrate extended-release capsules treatment can be initiated 18 hours following the removal of the transdermal fentanyl patch. Although there has been no systematic assessment of such conversion, a conservative hydrocodone dose, approximately 10 mg every 12 hours of hydrocodone bitartrate extended-release capsules, should be initially substituted for each 25 mcg/hr fentanyl transdermal patch. Follow the patient closely during conversion from transdermal fentanyl to hydrocodone bitartrate extended-release capsules, as there is limited documented experience with this conversion.

14 Clinical Studies (14 CLINICAL STUDIES)

The efficacy and safety of hydrocodone bitartrate extended-release capsules have been evaluated in a randomized double-blind, placebo-controlled, multi-center clinical trial in opioid-experienced subjects with moderate to severe chronic low back pain.

4 Contraindications (4 CONTRAINDICATIONS)

Hydrocodone bitartrate extended-release capsules are contraindicated in patients with:

  • Significant respiratory depression [see Warnings and Precautions (5.2)]
  • Acute or severe bronchial asthma in an unmonitored setting or in the absence of resuscitative equipment [see Warnings and Precautions (5.8)]
  • Known or suspected gastrointestinal obstruction, including paralytic ileus [see Warnings and Precautions (5.12)]
  • Hypersensitivity (e.g., anaphylaxis) to hydrocodone or any other ingredients in hydrocodone bitartrate extended-release capsules
6 Adverse Reactions (6 ADVERSE REACTIONS)

The following serious adverse reactions are discussed elsewhere in the labeling:

  • Addiction, Abuse, and Misuse [see Warnings and Precautions (5.1)]
  • Life-Threatening Respiratory Depression [see Warnings and Precautions (5.2)]
  • Risks from Concomitant Use with Benzodiazepines and Other CNS Depressants [see Warnings and Precautions (5.3)]
  • Neonatal Opioid Withdrawal Syndrome [see Warnings and Precautions (5.4)]
  • Opioid-Induced Hyperalgesia and Allodynia [see Warnings and Precautions (5.7)]
  • Adrenal Insufficiency [see Warnings and Precautions (5.9)]
  • Severe Hypotension [see Warnings and Precautions (5.10)]
  • Gastrointestinal Adverse Reactions [see Warnings and Precautions (5.12)]
  • Seizures [see Warnings and Precautions (5.13)]
  • Withdrawal [see Warnings and Precautions (5.14)]
7 Drug Interactions (7 DRUG INTERACTIONS)
Alcohol
Clinical Impact: Concomitant use of alcohol with hydrocodone bitartrate extended-release capsules can result in an increase of hydrocodone plasma levels and potentially fatal overdose of hydrocodone.
Intervention: Instruct patients not to consume alcoholic beverages or use prescription or non-prescription products containing alcohol while on hydrocodone bitartrate extended-release capsules therapy [see Clinical Pharmacology (12.3)].
Inhibitors of CYP3A4 and CYP2D6
Clinical Impact: The concomitant use of hydrocodone bitartrate extended-release capsules and CYP3A4 inhibitors can increase the plasma concentration of hydrocodone, resulting in increased or prolonged opioid effects. These effects could be more pronounced with concomitant use of hydrocodone bitartrate extended-release capsules and CYP2D6 and CYP3A4 inhibitors, particularly when an inhibitor is added after a stable dose of hydrocodone bitartrate extended-release capsules is achieved [see Warnings and Precautions (5.6)].

After stopping a CYP3A4 inhibitor, as the effects of the inhibitor decline, the hydrocodone plasma concentration will decrease [see Clinical Pharmacology (12.3)], resulting in decreased opioid efficacy or a withdrawal syndrome in patients who had developed physical dependence to hydrocodone.
Intervention: If concomitant use is necessary, consider dosage reduction of hydrocodone bitartrate extended-release capsules until stable drug effects are achieved. Evaluate patients at frequent intervals for respiratory depression and sedation.

If a CYP3A4 inhibitor is discontinued, consider increasing the hydrocodone bitartrate extended-release capsules dosage until stable drug effects are achieved. Evaluate for signs of opioid withdrawal.
Examples: Macrolide antibiotics (e.g., erythromycin), azole-antifungal agents (e.g. ketoconazole), protease inhibitors (e.g., ritonavir)
CYP3A4 Inducers
Clinical Impact: The concomitant use of hydrocodone bitartrate extended-release capsules and CYP3A4 inducers can decrease the plasma concentration of hydrocodone [see Clinical Pharmacology (12.3)], resulting in decreased efficacy or onset of a withdrawal syndrome in patients who have developed physical dependence to hydrocodone [see Warnings and Precautions (5.6)].

After stopping a CYP3A4 inducer, as the effects of the inducer decline, the hydrocodone plasma concentration will increase [see Clinical Pharmacology (12.3)], which could increase or prolong both the therapeutic effects and adverse reactions, and may cause serious respiratory depression.
Intervention: If concomitant use is necessary, consider increasing the hydrocodone bitartrate extended-release capsules dosage until stable drug effects are achieved. Evaluate for signs of opioid withdrawal. If a CYP3A4 inducer is discontinued, consider hydrocodone bitartrate extended-release capsules dosage reduction and evaluate patients at frequent intervals for signs of respiratory depression and sedation.
Examples: Rifampin, carbamazepine, phenytoin
Benzodiazepines and other Central Nervous System (CNS) Depressants
Clinical Impact: Due to additive pharmacologic effect, the concomitant use of benzodiazepines or other CNS depressants including alcohol, can increase the risk of hypotension, respiratory depression, profound sedation, coma, and death.
Intervention: Reserve concomitant prescribing of these drugs for use in patients for whom alternative treatment options are inadequate. Limit dosages and durations to the minimum required. Inform patients and caregivers of this potential interaction, educate them on the signs and symptoms of respiratory depression (including sedation) [see Warnings and Precautions (5.3)]. If concomitant use is warranted, consider prescribing naloxone for the emergency treatment of opioid overdose [see Dosage and Administration (2.2), Warnings and Precautions (5.1, 5.2, 5.3)].
Examples: Benzodiazepines and other sedatives/hypnotics, anxiolytics, tranquilizers, muscle relaxants, general anesthetics, antipsychotics, other opioids, alcohol.
Serotonergic Drugs
Clinical Impact: The concomitant use of opioids with other drugs that affect the serotonergic neurotransmitter system has resulted in serotonin syndrome.
Intervention: If concomitant use is warranted, frequently evaluate the patient, particularly during treatment initiation and dose adjustment. Discontinue hydrocodone bitartrate extended-release capsules if serotonin syndrome is suspected.
Examples: Selective serotonin reuptake inhibitors (SSRIs), serotonin and norepinephrine reuptake inhibitors (SNRIs), tricyclic antidepressants (TCAs), triptans, 5-HT3 receptor antagonists, drugs that affect the serotonin neurotransmitter system (e.g., mirtazapine, trazodone, tramadol), monoamine oxidase (MAO) inhibitors (those intended to treat psychiatric disorders and also others, such as linezolid and intravenous methylene blue).
Monoamine Oxidase Inhibitors (MAOIs)
Clinical Impact: MAOI interactions with opioids may manifest as serotonin syndrome or opioid toxicity (e.g., respiratory depression, coma) [see Drug Interactions (7)].
Intervention: The use of hydrocodone bitartrate extended-release capsules is not recommended for patients taking MAOIs or within 14 days of stopping such treatment.
Examples: Phenelzine, tranylcypromine, linezolid
Mixed Agonist/Antagonist and Partial Agonist Opioid Analgesics
Clinical Impact: May reduce the analgesic effect of hydrocodone bitartrate extended-release capsules and/or precipitate withdrawal symptoms.
Intervention: Avoid concomitant use.
Examples: butorphanol, nalbuphine, pentazocine, buprenorphine
Muscle Relaxants
Clinical Impact: Hydrocodone may enhance the neuromuscular blocking action of skeletal muscle relaxants and produce an increased degree of respiratory depression.
Intervention: Because respiratory depression may be greater than otherwise expected, decrease the dosage of hydrocodone bitartrate extended-release capsules and/or the muscle relaxant as necessary. Due to the risk of respiratory depression with concomitant use of muscle relaxants and opioids, consider prescribing naloxone for the emergency treatment of opioid overdose [see Dosage and Administration (2.2), Warnings and Precautions (5.2, 5.3)].
Diuretics
Clinical Impact: Opioids can reduce the efficacy of diuretics by inducing the release of antidiuretic hormone.
Intervention: Evaluate patients for signs of diminished diuresis and/or effects on blood pressure and increase the dosage of the diuretic as needed.
Anticholinergic Drugs
Clinical Impact: The concomitant use of anticholinergic drugs may increase risk of urinary retention and/or severe constipation, which may lead to paralytic ileus.
Intervention: Evaluate patients for signs of urinary retention or reduced gastric motility when hydrocodone bitartrate extended-release capsules are used concomitantly with anticholinergic drugs.
8.7 Renal Impairment

Patients with renal impairment have higher plasma concentrations than those with normal function. Use a low initial dose of hydrocodone bitartrate extended-release capsules in patients with renal impairment and regularly evaluate for respiratory depression, sedation, and hypotension [see Clinical Pharmacology (12.3)].

8.6 Hepatic Impairment

No adjustment in starting dose with hydrocodone bitartrate extended-release capsules is required in patients with mild or moderate hepatic impairment. Patients with severe hepatic impairment may have higher plasma concentrations than those with normal hepatic function [see Clinical Pharmacology (12.3)]. Therefore, a dosage reduction is recommended for patients with severe hepatic impairment [see Dosage and Administration (2.5)]. Regularly evaluate patients with severe hepatic impairment for respiratory depression, sedation, and hypotension [see Clinical Pharmacology (12.3)].

1 Indications and Usage (1 INDICATIONS AND USAGE)

Hydrocodone bitartrate extended-release capsules are indicated for the management of severe and persistent pain that requires an extended treatment period with a daily opioid analgesic and for which alternative treatment options are inadequate.

Limitations of Use:

  • Because of the risks of addiction, abuse, and misuse with opioids, which can occur at any dosage or duration, and because of the greater risks of overdose and death with extended-release/long-acting opioid formulations, [see Warnings and Precautions (5.1)], reserve hydrocodone bitartrate extended-release capsules for use in patients for whom alternative treatment options (e.g., non-opioid analgesics or immediate-release opioids) are ineffective, not tolerated, or would be otherwise inadequate to provide sufficient management of pain.
  • Hydrocodone bitartrate extended-release capsules are not indicated as an as-needed (prn) analgesic.
5.10 Severe Hypotension

Hydrocodone bitartrate extended-release capsules may cause severe hypotension including orthostatic hypotension and syncope in ambulatory patients. There is an added risk in patients whose ability to maintain blood pressure has already been compromised by a reduced blood volume, or after concurrent administration of certain CNS depressant drugs (e.g., phenothiazines or general anesthetics) [see Drug Interactions (7)]. Regularly evaluate these patients for signs of hypotension after initiating or titrating the dosage of hydrocodone bitartrate extended-release capsules. In patients with circulatory shock, hydrocodone bitartrate extended-release capsules may cause vasodilation that can further reduce cardiac output and blood pressure. Avoid the use of hydrocodone bitartrate extended-release capsules in patients with circulatory shock.

12.1 Mechanism of Action

Hydrocodone is a full opioid agonist with relative selectivity for the mu-opioid receptor, although it can interact with other opioid receptors at higher doses. The principal therapeutic action of hydrocodone is analgesia. Like all full opioid agonists, there is no ceiling effect for analgesia with hydrocodone. Clinically, dosage is titrated to provide adequate analgesia and may be limited by adverse reactions, including respiratory and CNS depression.

The precise mechanism of the analgesic action is unknown. However, specific CNS opioid receptors for endogenous compounds with opioid-like activity have been identified throughout the brain and spinal cord and are thought to play a role in the analgesic effects of this drug.

9.1 Controlled Substance

Hydrocodone bitartrate extended-release capsules contain hydrocodone bitartrate, a Schedule II controlled substance.

5.9 Adrenal Insufficiency

Cases of adrenal insufficiency have been reported with opioid use, more often following greater than one month of use. Presentation of adrenal insufficiency may include non-specific symptoms and signs including nausea, vomiting, anorexia, fatigue, weakness, dizziness, and low blood pressure. If adrenal insufficiency is suspected, confirm diagnosis with diagnostic testing as soon as possible. If adrenal insufficiency is diagnosed, treat with physiologic replacement doses of corticosteroids. Wean the patient off of the opioid to allow adrenal function to recover and continue corticosteroid treatment until adrenal function recovers. Other opioids may be tried as some cases reported use of a different opioid without recurrence of adrenal insufficiency. The information available does not identify any particular opioid as being more likely to be associated with adrenal insufficiency.

5 Warnings and Precautions (5 WARNINGS AND PRECAUTIONS)
  • Opioid-Induced Hyperalgesia and Allodynia: Opioid-Induced Hyperalgesia (OIH) occurs when an opioid analgesic paradoxically causes an increase in pain, or an increase in sensitivity to pain. If OIH is suspected, carefully consider appropriately decreasing the dose of the current opioid analgesic or opioid rotation. (5.7)
  • Life-Threatening Respiratory Depression in Patients with Chronic Pulmonary Disease or in Elderly, Cachectic, or Debilitated Patients: Regularly evaluate, particularly during initiation and titration. (5.8)
  • Adrenal Insufficiency: If diagnosed, treat with physiologic replacement of corticosteroids, and wean patient off of the opioid. (5.9)
  • Severe Hypotension: Regularly evaluate during dosage initiation and titration. Avoid use of hydrocodone bitartrate extended-release capsules in patients with circulatory shock. (5.10)
  • Risks of Use in Patients with Increased Intracranial Pressure, Brain Tumors, Head Injury, or Impaired Consciousness: Monitor for sedation and respiratory depression. Avoid use of hydrocodone bitartrate extended-release capsules in patients with impaired consciousness or coma. (5.11)
2 Dosage and Administration (2 DOSAGE AND ADMINISTRATION)
  • Hydrocodone bitartrate extended-release capsules should be prescribed only by healthcare professionals who are knowledgeable about the use of extended-release/long-acting opioids and how to mitigate the associated risks. (2.1)
  • Daily doses of hydrocodone bitartrate extended-release capsules, a single dose greater than 40 mg, or a total daily dose greater than 80 mg are only for use in patients in whom tolerance to an opioid of comparable potency has been established. (2.1)
  • Patients considered opioid-tolerant are those taking, for one week or longer, at least 60 mg oral morphine per day, 25 mcg transdermal fentanyl per hour, 30 mg oral oxycodone per day, 8 mg oral hydromorphone per day, 25 mg oral oxymorphone per day, 60 mg oral hydrocodone per day, or an equianalgesic dose of another opioid. (2.1)
  • Use the lowest effective dosage for the shortest duration of time consistent with individual patient treatment goals. Reserve titration to higher doses of hydrocodone bitartrate extended-release capsules for patients in whom lower doses are insufficiently effective and in whom the expected benefits of using a higher dose opioid clearly outweigh the substantial risks. (2.1, 5)
  • Initiate the dosing regimen for each patient individually, taking into account the patient’s underlying cause and severity of pain, prior analgesic treatment and response, and risk factors for addiction, abuse, and misuse. (2.1, 5.1)
  • Respiratory depression can occur at any time during opioid therapy, especially when initiating and following dosage increases with hydrocodone bitartrate extended-release capsules. Consider this risk when selecting an initial dose and when making dose adjustments (2.1, 5.2)
  • Instruct patients to swallow hydrocodone bitartrate extended-release capsules intact and not to cut, break, chew, crush, or dissolve the capsules (risk of potentially fatal overdose). (2.1, 5.1)
  • Discuss availability of naloxone with the patient and caregiver and assess each patient’s need for access to naloxone, both when initiating and renewing treatment with hydrocodone bitartrate extended-release capsules. Consider prescribing naloxone based on the patient’s risk factors for overdose. (2.2, 5.1, 5.2, 5.3)
  • For opioid-naïve and opioid non-tolerant patients, initiate with 10 mg capsules orally every 12 hours. (2.3)
  • To convert to hydrocodone bitartrate extended-release capsules from another opioid, use available conversion factors to obtain estimated dose. (2.3)
  • Dose titration of hydrocodone bitartrate extended-release capsules may occur every 3 to 7 days, using increments of 10 mg every 12 hours (i.e., 20 mg per day). (2.4)
  • Patients with Severe Hepatic Impairment: Initiate dosing with 10 mg every 12 hours and titrate carefully, while monitoring for respiratory depression, sedation, and hypotension. No adjustment in starting dose with hydrocodone bitartrate extended-release capsules is required in patients with mild or moderate hepatic impairment. (2.5)
  • Do not abruptly discontinue hydrocodone bitartrate extended-release capsules in a physically dependent patient. (2.6)
3 Dosage Forms and Strengths (3 DOSAGE FORMS AND STRENGTHS)
10 mg Light blue cap and yellow body "ALV" printed on the cap and "409" printed on the body in grey ink
15 mg Light lavender cap and yellow body "ALV" printed on the cap and "410" printed on the body in grey ink
20 mg White cap and yellow body "ALV" printed on the cap and "411" printed on the body in grey ink
30 mg Light pink cap and yellow body "ALV" printed on the cap and "412" printed on the body in grey ink
40 mg Yellow cap and yellow body "ALV" printed on the cap and "413" printed on the body in grey ink
50 mg Light grey cap and yellow body "ALV" printed on the cap and "414" printed on the body in grey ink
6.2 Postmarketing Experience

The following adverse reactions have been identified during post approval use of hydrocodone. Because these reactions are reported voluntarily from a population of uncertain size, it is not always possible to reliably estimate their frequency or establish a causal relationship to drug exposure.

Serotonin syndrome: Cases of serotonin syndrome, a potentially life-threatening condition, have been reported during concomitant use of opioids with serotonergic drugs.

Adrenal insufficiency: Cases of adrenal insufficiency have been reported with opioid use, more often following greater than one month of use.

Anaphylaxis: Anaphylaxis has been reported with ingredients contained in hydrocodone bitartrate extended-release capsules.

Androgen deficiency: Cases of androgen deficiency have occurred with use of opioids for an extended period of time [see Clinical Pharmacology (12.2)].

Hyperalgesia and Allodynia: Cases of hyperalgesia and allodynia have been reported with opioid therapy of any duration [see Warnings and Precautions (5.7)].

Hypoglycemia: Cases of hypoglycemia have been reported in patients taking opioids. Most reports were in patients with at least one predisposing risk factor (e.g., diabetes).

6.1 Clinical Trial Experience

Because clinical trials are conducted under widely varying conditions, adverse reaction rates observed in the clinical trials of a drug cannot be directly compared to rates in the clinical trials of another drug and may not reflect the rates observed in clinical practice.

The safety of hydrocodone bitartrate extended-release capsules was evaluated in a total of 1,148 subjects in Phase 3 clinical trials.

Table 2 lists the most frequently occurring adverse reactions occurring at a greater frequency than placebo from the placebo-controlled trial in subjects with moderate-to-severe chronic lower back pain.

Table 2. Treatment-Emergent Adverse Events in ≥2% of Subjects During the Open-Label Titration Period and/or the Double-Blind Treatment Period, by Preferred Term — Number (%) of Treated Subjects (Placebo-Controlled Study in Opioid-Experienced Subjects with Moderate-to-Severe Chronic Lower Back Pain)
Open-Label Titration Period Double-Blind Treatment Period
Hydrocodone Bitartrate Extended-Release Capsules Hydrocodone Bitartrate Extended-Release Capsules Placebo
Preferred Term (N = 510) (n = 151) (n = 151)
Constipation 56 (11%) 12 (8%) 0 (0%)
Nausea 50 (10%) 11 (7%) 5 (3%)
Somnolence 24 (5%) 1 (1%) 0 (0%)
Fatigue 21 (4%) 1 (1%) 2 (1%)
Headache 19 (4%) 0 (0%) 2 (1%)
Dizziness 17 (3%) 3 (2%) 1 (1%)
Dry mouth 16 (3%) 0 (0%) 0 (0%)
Vomiting 14 (3%) 7 (5%) 1 (1%)
Pruritus 13 (3%) 0 (0%) 0 (0%)
Abdominal pain 8 (2%) 4 (3%) 0 (0%)
Edema peripheral 7 (1%) 4 (3%) 0 (0%)
Upper respiratory tract infection 7 (1%) 5 (3%) 1 (1%)
Muscle spasms 6 (1%) 4 (3%) 2 (1%)
Urinary tract infection 4 (1%) 8 (5%) 3 (2%)
Back pain 4 (1%) 6 (4%) 5 (3%)
Tremor 1 (0%) 4 (3%) 1 (1%)

The common (≥1% to <10%) adverse drug reactions reported at least once by subjects treated with hydrocodone bitartrate extended-release capsules in the Phase 3 clinical trials and not represented in Table 2 were:

Gastrointestinal Disorders: abdominal discomfort, abdominal pain, gastroesophageal reflux disease

General Disorders and Administration Site Conditions: non-cardiac chest pain, pain, peripheral edema, pyrexia

Injury, Poisoning and Procedural Complications: contusion, fall, foot fracture, joint injury, joint sprain, muscle strain, skin laceration

Investigations: increased blood cholesterol, increased gamma-glutamyltransferase

Metabolism and Nutrition Disorders: dehydration, hypokalemia

Musculoskeletal and Connective Tissue Disorders: arthralgia, musculoskeletal pain, myalgia, neck pain, osteoarthritis, pain in extremity

Nervous System Disorders: lethargy, migraine, paresthesia

Psychiatric Disorders: anxiety, depression, insomnia

Respiratory, Thoracic, and Mediastinal Disorders: cough, dyspnea

Skin and Subcutaneous Tissue Disorders: hyperhidrosis, night sweats, rash

Vascular Disorders: hot flush

8 Use in Specific Populations (8 USE IN SPECIFIC POPULATIONS)
  • Pregnancy: May cause fetal harm. (8.1)
  • Lactation: Not recommended. (8.2)
5.1 Addiction, Abuse, and Misuse

Hydrocodone bitartrate extended-release capsules contain hydrocodone, a Schedule II controlled substance. As an opioid, hydrocodone bitartrate extended-release capsules exposes users to the risks of addiction, abuse, and misuse. Because extended-release products such as hydrocodone bitartrate extended-release capsules deliver the opioid over an extended period of time, there is a greater risk for overdose and death due to the larger amount of hydrocodone present [see Drug Abuse and Dependence (9.1)].

Although the risk of addiction in any individual is unknown, it can occur in patients appropriately prescribed hydrocodone bitartrate extended-release capsules. Addiction can occur at recommended doses and if the drug is misused or abused.

Assess each patient’s risk for opioid addiction, abuse, or misuse prior to prescribing hydrocodone bitartrate extended-release capsules, and reassess all patients receiving hydrocodone bitartrate extended-release capsules for the development of these behaviors and conditions. Risks are increased in patients with a personal or family history of substance abuse (including drug or alcohol addiction or abuse) or mental illness (e.g., major depression). The potential for these risks should not, however, prevent the prescribing of hydrocodone bitartrate extended-release capsules for the proper management of pain in any given patient. Patients at increased risk may be prescribed opioids such as hydrocodone bitartrate extended-release capsules, but use in such patients necessitates intensive counseling about the risks and proper use of hydrocodone bitartrate extended-release capsules along with frequent reevaluation for signs of addiction, abuse, and misuse. Consider prescribing naloxone for the emergency treatment of opioid overdose [see Dosage and Administration (2.2), Warnings and Precautions (5.2)].

Abuse or misuse of hydrocodone bitartrate extended-release capsules by crushing, chewing, snorting, or injecting the dissolved product will result in the uncontrolled delivery of the hydrocodone and can result in overdose and death [see Drug Abuse and Dependence (9.1), Overdosage (10)].

Opioids are sought for nonmedical use and are subject to diversion from legitimate prescribed use. Consider these risks when prescribing or dispensing hydrocodone bitartrate extended-release capsules. Strategies to reduce these risks include prescribing the drug in the smallest appropriate quantity and advising the patient on careful storage of the drug during the course of treatment and proper disposal of unused drug. Contact local state professional licensing board or state-controlled substances authority for information on how to prevent and detect abuse or diversion of this product.

17 Patient Counseling Information (17 PATIENT COUNSELING INFORMATION)

Advise the patient to read the FDA approved patient labeling (Medication Guide).

Storage and Disposal

Because of the risks associated with accidental ingestion, misuse, and abuse, advise patients to store hydrocodone bitartrate extended-release capsules securely, out of sight and reach of children, and in a location not accessible by others, including visitors to the home. Inform patients that leaving hydrocodone bitartrate extended-release capsules unsecured can pose a deadly risk to others in the home [see Warnings and Precautions (5.1), Drug Abuse and Dependence (9.2)].

Advise patients and caregivers that when medicines are no longer needed, they should be disposed of promptly. Expired, unwanted, or unused hydrocodone bitartrate extended-release capsules should be disposed of by flushing the unused medication down the toilet if a drug take-back option is not readily available. Inform patients that they can visit www.fda.gov/drugdisposal for a complete list of medicines recommended for disposal by flushing, as well as additional information on disposal of unused medicines.

Addiction, Abuse, and Misuse

Inform patients that the use of hydrocodone bitartrate extended-release capsules, even when taken as recommended, can result in addiction, abuse, and misuse, which can lead to overdose or death [see Warnings and Precautions (5.1)]. Instruct patients not to share hydrocodone bitartrate extended-release capsules with others and to take steps to protect hydrocodone bitartrate extended-release capsules from theft or misuse.

Life-Threatening Respiratory Depression

Inform patients of the risk of life-threatening respiratory depression, including information that the risk is greatest when starting hydrocodone bitartrate extended-release capsules or when the dosage is increased, and that it can occur even at recommended dosages.

Educate patients and caregivers on how to recognize respiratory depression and emphasize the importance of calling 911 or getting emergency medical help right away in the event of a known or suspected overdose [see Warnings and Precautions (5.2)].

Accidental Ingestion

Inform patients that accidental ingestion, especially by children, may result in respiratory depression or death [see Warnings and Precautions (5.2)].

Interactions with Benzodiazepines and Other CNS Depressants

Inform patients and caregivers that potentially fatal additive effects may occur if hydrocodone bitartrate extended-release capsules are used with benzodiazepines or other CNS depressants, including alcohol, and not to use these concomitantly unless supervised by a health care provider. Instruct patients not to consume alcoholic beverages, as well as prescription and over-the-counter products that contain alcohol, during treatment with hydrocodone bitartrate extended-release capsules [see Warnings and Precautions (5.3), Drug Interactions (7)].

Patient Access to Naloxone for the Emergency Treatment of Opioid Overdose

Discuss with the patient and caregiver the availability of naloxone for the emergency treatment of opioid overdose, both when initiating and renewing treatment with hydrocodone bitartrate extended-release capsules. Inform patients and caregivers about the various ways to obtain naloxone as permitted by individual state naloxone dispensing and prescribing requirements or guidelines (e.g., by prescription, directly from a pharmacist, or as part of a community-based program) [see Dosage and Administration (2.2), Warnings and Precautions (5.2)].

Educate patients and caregivers on how to recognize the signs and symptoms of an overdose.

Explain to patients and caregivers that naloxone’s effects are temporary, and that they must call 911 or get emergency medical help right away in all cases of known or suspected opioid overdose, even if naloxone is administered [see Overdosage (10)].

If naloxone is prescribed, also advise patients and caregivers:

  • How to treat with naloxone in the event of an opioid overdose
  • To tell family and friends about their naloxone and to keep it in a place where family and friends can access it in an emergency
  • To read the Patient Information (or other educational material) that will come with their naloxone. Emphasize the importance of doing this before an opioid emergency happens, so the patient and caregiver will know what to do.

Hyperalgesia and Allodynia

Inform patients and caregivers not to increase opioid dosage without first consulting a clinician. Advise patients to seek medical attention if they experience symptoms of hyperalgesia, including worsening pain, increased sensitivity to pain, or new pain [see Warnings and Precautions (5.7), Adverse Reactions (6.2)].

Serotonin Syndrome

Inform patients that opioids could cause a rare but potentially life-threatening condition resulting from concomitant administration of serotonergic drugs. Warn patients of the symptoms of serotonin syndrome and to seek medical attention right away if symptoms develop. Instruct patients to inform their physicians if they are taking, or plan to take serotonergic medications [see Drug Interactions (7)].

MAOI Interaction

Inform patients to avoid taking hydrocodone bitartrate extended-release capsules while using any drugs that inhibit monoamine oxidase. Patients should not start MAOIs while taking hydrocodone bitartrate extended-release capsules [see Drug Interactions (7)].

Important Administration Instructions [see Dosage and Administration (2)]

Instruct patients how to properly take hydrocodone bitartrate extended-release capsules, including the following:

  • Use hydrocodone bitartrate extended-release capsules exactly as prescribed to reduce the risk of life-threatening adverse reactions (e.g., respiratory depression) [see Warnings and Precautions (5.3)].
  • Swallow hydrocodone bitartrate extended-release capsules whole.
  • Do not crush, chew, or dissolve the capsule or its contents.

Important Discontinuation Instructions

In order to avoid developing withdrawal symptoms, instruct patients not to discontinue hydrocodone bitartrate extended-release capsules without first discussing a tapering plan with the prescriber [see Dosage and Administration (2.6)].

Driving or Operating Heavy Machinery

Inform patients that hydrocodone bitartrate extended-release capsules may impair the ability to perform potentially hazardous activities such as driving a car or operating heavy machinery. Blood levels of hydrocodone, in some patients, may be high at the end of 24 hours after repeated dose administration. Advise patients not to perform such tasks until they know how they will react to the medication [see Warnings and Precautions (5.15)].

Constipation

Advise patients of the potential for severe constipation, including management instructions and when to seek medical attention. Instruct patients to monitor their analgesic response following the use of strong laxatives and to contact the prescriber if changes are noted [see Adverse Reactions (6), Clinical Pharmacology (12.2)].

Adrenal Insufficiency

Inform patients that opioids could cause adrenal insufficiency, a potentially life-threatening condition. Adrenal insufficiency may present with non-specific symptoms and signs such as nausea, vomiting, anorexia, fatigue, weakness, dizziness, and low blood pressure. Advise patients to seek medical attention if they experience a constellation of these symptoms [see Warnings and Precautions (5.9)].

Hypotension

Inform patients that hydrocodone bitartrate extended-release capsules may cause orthostatic hypotension and syncope. Instruct patients how to recognize symptoms of low blood pressure and how to reduce the risk of serious consequences should hypotension occur (e.g., sit or lie down, carefully rise from a sitting or lying position) [see Warnings and Precautions (5.10)].

Anaphylaxis

Inform patients that anaphylaxis has been reported with ingredients contained in hydrocodone bitartrate extended-release capsules. Advise patients how to recognize such a reaction and when to seek medical attention [see Contraindications (4), Adverse Reactions (6)].

Pregnancy

Neonatal Opioid Withdrawal Syndrome

Inform female patients of reproductive potential that use of hydrocodone bitartrate extended-release capsules for an extended period of time during pregnancy can result in neonatal opioid withdrawal syndrome, which may be life-threatening if not recognized and treated [see Warnings and Precautions (5.4), Use in Specific Populations (8.1)].

Embryo-Fetal Toxicity

Inform female patients of reproductive potential that hydrocodone bitartrate extended-release capsules can cause fetal harm and to inform their healthcare provider of a known or suspected pregnancy [see Use in Specific Populations (8.1)].

Lactation

Advise patients that breastfeeding is not recommended during treatment with hydrocodone bitartrate extended-release capsules [see Use in Specific Populations (8.2)].

Infertility

Inform patients that use of opioids for an extended period of time may cause reduced fertility. It is not known whether these effects on fertility are reversible [see Use in Specific Populations (8.3)].

16 How Supplied/storage and Handling (16 HOW SUPPLIED/STORAGE AND HANDLING)

Hydrocodone bitartrate extended-release capsules are supplied in bottles with child-resistant closures as follows:

Strength Capsule Color(s) Capsule Text NDC Number
10 mg Light blue cap and yellow body "ALV" printed on the cap and "409" printed on the body in grey ink 47781-409-60

60 Count Bottle
15 mg Light lavender cap and yellow body "ALV" printed on the cap and "410" printed on the body in grey ink 47781-410-60

60 Count Bottle
20 mg White cap and yellow body "ALV" printed on the cap and "411" printed on the body in grey ink 47781-411-60

60 Count Bottle
30 mg Light pink cap and yellow body "ALV" printed on the cap and "412" printed on the body in grey ink 47781-412-60

60 Count Bottle
40 mg Yellow cap and yellow body "ALV" printed on the cap and "413" printed on the body in grey ink 47781-413-60

60 Count Bottle
50 mg Light grey cap and yellow body "ALV" printed on the cap and "414" printed on the body in grey ink 47781-414-60

60 Count Bottle

Hydrocodone bitartrate extended-release capsules contain hydrocodone bitartrate which is a controlled substance and is controlled under Schedule II of the Controlled Substances Act. Hydrocodone, like all opioids, is liable to diversion and misuse and should be handled accordingly. Patients and their families should be instructed to dispose of any hydrocodone bitartrate extended-release capsules that are no longer needed.

Hydrocodone bitartrate extended-release capsules may be targeted for theft and diversion. Healthcare professionals should contact their State Medical Board, State Board of Pharmacy, or State Control Board for information on how to detect or prevent diversion of this product.

Healthcare professionals should advise patients to store hydrocodone bitartrate extended-release capsules in a secure place, preferably locked and out of the reach of children and other non-caregivers.

Store at 25°C (77°F); excursions permitted to 15° to 30°C (59° to 86°F) [see USP Controlled Room Temperature].

Dispense in tight container as defined in the USP, with a child-resistant closure.

Advise patients to dispose of any unused capsules from a prescription as soon as they are no longer needed in accordance with local State guidelines and/or regulations [see Patient Counseling Information (17)].

5.4 Neonatal Opioid Withdrawal Syndrome

Use of hydrocodone bitartrate extended-release capsules for an extended period of time during pregnancy can result in withdrawal in the neonate. Neonatal opioid withdrawal syndrome, unlike opioid withdrawal syndrome in adults, may be life-threatening if not recognized and treated, and requires management according to protocols developed by neonatology experts. Observe newborns for signs of neonatal opioid withdrawal syndrome and manage accordingly. Advise pregnant women using opioids for an extended period of time of the risk of neonatal opioid withdrawal syndrome and ensure that appropriate treatment will be available [see Use in Specific Populations (8.1), Patient Counseling Information (17)].

2.4 Titration and Maintenance of Therapy

Individually titrate hydrocodone bitartrate extended-release capsules to a dose that provides adequate analgesia and minimizes adverse reactions. Continually reevaluate patients receiving hydrocodone bitartrate extended-release capsules to assess the maintenance of pain control, signs and symptoms of opioid withdrawal, and other adverse reactions, as well as to reassess for the development of addiction, abuse, or misuse [see Warnings and Precautions (5.1, 5.14)]. Frequent communication is important among the prescriber, other members of the healthcare team, the patient, and the caregiver/family during periods of changing analgesic requirements, including initial titration. During use of opioid therapy for an extended period of time, periodically reassess the continued need for use of opioid analgesics.

Patients who experience breakthrough pain may require a dosage adjustment of hydrocodone bitartrate extended-release capsules, or may need a rescue medication with an appropriate dose of an immediate-release analgesic. If the level of pain increases after dose stabilization, attempt to identify the source of increased pain before increasing the hydrocodone bitartrate extended-release capsules dosage. Because steady-state plasma concentrations are approximated within 3 days, hydrocodone bitartrate extended-release capsules dosage adjustments, preferably at increments of 10 mg every 12 hours, may be done every 3 to 7 days.

If after increasing the dosage, unacceptable opioid-related adverse reactions are observed (including an increase in pain after dosage increase), consider reducing the dosage [see Warnings and Precautions (5)]. Adjust the dosage to obtain an appropriate balance between management of pain and opioid-related adverse reactions.

5.2 Life Threatening Respiratory Depression (5.2 Life-Threatening Respiratory Depression)

Serious, life-threatening, or fatal respiratory depression has been reported with the use of opioids, even when used as recommended. Respiratory depression, if not immediately recognized and treated, may lead to respiratory arrest and death. Management of respiratory depression may include close observation, supportive measures, and use of opioid antagonists, depending on the patient's clinical status [see Overdosage (10)]. Carbon dioxide (CO2) retention from opioid-induced respiratory depression can exacerbate the sedating effects of opioids.

While serious, life-threatening, or fatal respiratory depression can occur at any time during the use of hydrocodone bitartrate extended-release capsules, the risk is greatest during the initiation of therapy or following a dosage increase.

To reduce the risk of respiratory depression, proper dosing and titration of hydrocodone bitartrate extended-release capsules are essential [see Dosage and Administration (2.4)]. Overestimating the hydrocodone bitartrate extended-release capsules dose when converting patients from another opioid product can result in fatal overdose with the first dose.

Accidental ingestion of even one dose of hydrocodone bitartrate extended-release capsules, especially by children, can result in respiratory depression and death due to an overdose of hydrocodone.

Educate patients and caregivers on how to recognize respiratory depression and emphasize the importance of calling 911 or getting emergency medical help right away in the event of a known or suspected overdose [see Patient Counseling Information (17)].

Opioids can cause sleep-related breathing disorders including central sleep apnea (CSA) and sleep-related hypoxemia. Opioid use increases the risk of CSA in a dose-dependent fashion. In patients who present with CSA, consider decreasing the opioid dosage using best practices for opioid taper [see Dosage and Administration (2.6)].

Patient Access to Naloxone for the Emergency Treatment of Opioid Overdose

Discuss the availability of naloxone for the emergency treatment of opioid overdose with the patient and caregiver and assess the potential need for access to naloxone, both when initiating and renewing treatment with hydrocodone bitartrate extended-release capsules. Inform patients and caregivers about the various ways to obtain naloxone as permitted by individual state naloxone dispensing and prescribing requirements or guidelines (e.g., by prescription, directly from a pharmacist, or as part of a community-based program). Educate patients and caregivers on how to recognize respiratory depression and emphasize the importance of calling 911 or getting emergency medical help, even if naloxone is administered [see Patient Counseling Information (17)].

Consider prescribing naloxone, based on the patient’s risk factors for overdose, such as concomitant use of CNS depressants, a history of opioid use disorder, or prior opioid overdose. The presence of risk factors for overdose should not prevent the proper management of pain in any given patient. Also consider prescribing naloxone if the patient has household members (including children) or other close contacts at risk for accidental ingestion or overdose. If naloxone is prescribed, educate patients and caregivers on how to treat with naloxone [see Dosage and Administration (2.2), Warnings and Precautions (5.1, 5.3), Overdosage (10)].

5.15 Risks of Driving and Operating Machinery

Hydrocodone bitartrate extended-release capsules may impair the mental and physical abilities needed to perform potentially hazardous activities such as driving a car or operating machinery. Warn patients not to drive or operate dangerous machinery unless they are tolerant to the effects of hydrocodone bitartrate extended-release capsules and know how they will react to the medication [see Clinical Pharmacology (12.3), Patient Counseling Information (17)].

5.7 Opioid Induced Hyperalgesia and Allodynia

Opioid-Induced Hyperalgesia (OIH) occurs when an opioid analgesic paradoxically causes an increase in pain, or an increase in sensitivity to pain. This condition differs from tolerance, which is the need for increasing doses of opioids to maintain a defined effect [see Dependence (9.3)]. Symptoms of OIH include (but may not be limited to) increased levels of pain upon opioid dosage increase, decreased levels of pain upon opioid dosage decrease, or pain from ordinarily non-painful stimuli (allodynia). These symptoms may suggest OIH only if there is no evidence of underlying disease progression, opioid tolerance, opioid withdrawal, or addictive behavior.

Cases of OIH have been reported, both with short-term and longer-term use of opioid analgesics. Though the mechanism of OIH is not fully understood, multiple biochemical pathways have been implicated. Medical literature suggests a strong biologic plausibility between opioid analgesics and OIH and allodynia. If a patient is suspected to be experiencing OIH, carefully consider appropriately decreasing the dose of the current opioid analgesic or opioid rotation (safely switching the patient to a different opioid moiety) [see Dosage and Administration (2.6), Warnings and Precautions (5.14)].

8.3 Females and Males of Reproductive Potential

Infertility

Use of opioids for an extended period of time may cause reduced fertility in females and males of reproductive potential. It is not known whether these effects on fertility are reversible.

In rat fertility studies, no effects on male fertility were observed with hydrocodone at doses equivalent to 10 times the human dose of 100 mg/day, however, decreases in the weight of male reproductive organs were observed in all treated groups at doses equivalent to 2.4 times the human dose of 100 mg/day and above. Reductions in female fertility indices were observed at doses of hydrocodone equivalent to 2 times the human dose of 100 mg/day and above. These changes are attributed to a hydrocodone-mediated decrease in prolactin levels in the rat. Unique to rodents, prolactin is required for normal estrous cycling and the effects on fertility observed in this study are most likely rodent-specific and not believed to be clinically relevant [see Nonclinical Toxicology (13)].

2.1 Important Dosage and Administration Information

Hydrocodone bitartrate extended-release capsules should be prescribed only by healthcare professionals who are knowledgeable about the use of extended-release/long-acting opioids and how to mitigate the associated risks.

Daily doses of hydrocodone bitartrate extended-release capsules, a single dose of greater than 40 mg, or a total daily dose of greater than 80 mg, are only for use in patients in whom tolerance to an opioid of comparable potency has been established. Patients who are opioid tolerant are those receiving, for one week or longer, at least 60 mg oral morphine per day, 25 mcg transdermal fentanyl per hour, 30 mg oral oxycodone per day, 8 mg oral hydromorphone per day, 25 mg oral oxymorphone per day, 60 mg oral hydrocodone per day, or an equianalgesic dose of another opioid.

Use the lowest effective dosage for the shortest duration of time consistent with individual patient treatment goals [see Warnings and Precautions (5)]. Because the risk of overdose increases as opioid doses increase, reserve titration to higher doses of hydrocodone bitartrate extended-release capsules for patients in whom lower doses are insufficiently effective and in whom the expected benefits of using a higher dose opioid clearly outweigh the substantial risks.

Initiate the dosing regimen for each patient individually, taking into account the patient's underlying cause and severity of pain, prior analgesic treatment and response, and risk factors for addiction, abuse, and misuse [see Warnings and Precautions (5.1)].

Respiratory depression can occur at any time during opioid therapy, especially when initiating and following dosage increases with hydrocodone bitartrate extended-release capsules. Consider this risk when selecting an initial dose and when making dose adjustments [see Warnings and Precautions (5)].

Instruct patients to swallow hydrocodone bitartrate extended-release capsules whole [see Patient Counseling Information (17)]. Crushing, chewing, or dissolving the beads in hydrocodone bitartrate extended-release capsules will result in uncontrolled delivery of hydrocodone and can lead to overdose or death [see Warnings and Precautions (5.1)].

Hydrocodone bitartrate extended-release capsules are administered orally twice daily (every 12 hours).

Principal Display Panel 10 Mg Capsule Bottle Label (PRINCIPAL DISPLAY PANEL - 10 mg Capsule Bottle Label)

NDC 47781-409-60

Hydrocodone Bitartrate Extended-Release Capsules CII

10 mg

PHARMACIST: Dispense the Medication Guide provided separately to each patient.

Swallow capsules whole.

Do not chew, crush, or dissolve.

60 Capsules

Rx only

Principal Display Panel 15 Mg Capsule Bottle Label (PRINCIPAL DISPLAY PANEL - 15 mg Capsule Bottle Label)

NDC 47781-410-60

Hydrocodone Bitartrate Extended-Release Capsules CII



15 mg




PHARMACIST: Dispense the Medication Guide provided separately to each patient.

Swallow capsules whole. 

Do not chew, crush, or dissolve.



60 Capsules 

Rx only

Principal Display Panel 20 Mg Capsule Bottle Label (PRINCIPAL DISPLAY PANEL - 20 mg Capsule Bottle Label)

NDC 47781-411-60

Hydrocodone Bitartrate Extended-Release Capsules CII

20 mg

PHARMACIST: Dispense the Medication Guide provided separately to each patient.

Swallow capsules whole.

Do not chew, crush, or dissolve.

60 Capsules

Rx only

Principal Display Panel 30 Mg Capsule Bottle Label (PRINCIPAL DISPLAY PANEL - 30 mg Capsule Bottle Label)

NDC 47781-412-60

Hydrocodone Bitartrate Extended-Release Capsules CII

30 mg

PHARMACIST: Dispense the Medication Guide provided separately to each patient.

Swallow capsules whole.

Do not chew, crush, or dissolve.

60 Capsules

Rx only

Principal Display Panel 40 Mg Capsule Bottle Label (PRINCIPAL DISPLAY PANEL - 40 mg Capsule Bottle Label)

NDC 47781-413-60

Hydrocodone Bitartrate Extended-Release Capsules CII

40 mg

PHARMACIST: Dispense the Medication Guide provided separately to each patient.

Swallow capsules whole.

Do not chew, crush, or dissolve.

60 Capsules

Rx only

Principal Display Panel 50 Mg Capsule Bottle Label (PRINCIPAL DISPLAY PANEL - 50 mg Capsule Bottle Label)

NDC 47781-414-60

Hydrocodone Bitartrate Extended-Release Capsules CII



50 mg

PHARMACIST: Dispense the Medication Guide provided separately to each patient.

Swallow capsules whole.

Do not chew, crush, or dissolve.

60 Capsules

Rx only

5.12 Risks of Use in Patients With Gastrointestinal Conditions (5.12 Risks of Use in Patients with Gastrointestinal Conditions)

Hydrocodone bitartrate extended-release capsules are contraindicated in patients with known or suspected gastrointestinal obstruction, including paralytic ileus. Hydrocodone in hydrocodone bitartrate extended-release capsules may cause spasm of the sphincter of Oddi. Opioids may cause increases in serum amylase. Regularly evaluate patients with biliary tract disease, including acute pancreatitis, for worsening of symptoms.

5.13 Increased Risk of Seizures in Patients With Seizure Disorders (5.13 Increased Risk of Seizures in Patients with Seizure Disorders)

The hydrocodone in hydrocodone bitartrate extended-release capsules may increase the frequency of seizures in patients with seizure disorders, and may increase the risk occurring in other clinical settings associated with seizures. Regularly evaluate patients with a history of seizure disorders for worsened seizure control during hydrocodone bitartrate extended-release capsules therapy.

2.5 Dosage Modifications in Patients With Severe Hepatic Impairment (2.5 Dosage Modifications in Patients with Severe Hepatic Impairment)

Patients with severe hepatic impairment may have higher plasma concentrations of hydrocodone than those with normal function. Therefore, initiate therapy with 10 mg every 12 hours and titrate carefully, while monitoring for respiratory depression, sedation, and hypotension. No adjustment in starting dose with hydrocodone bitartrate extended-release capsules is required in patients with mild or moderate hepatic impairment [see Clinical Pharmacology ( 12.3 )].

5.5 Opioid Analgesic Risk Evaluation and Mitigation Strategy (rems) (5.5 Opioid Analgesic Risk Evaluation and Mitigation Strategy (REMS))

To ensure that the benefits of opioid analgesics outweigh the risks of addiction, abuse, and misuse, the Food and Drug Administration (FDA) has required a Risk Evaluation and Mitigation Strategy (REMS) for these products. Under the requirements of the REMS, drug companies with approved opioid analgesic products must make REMS-compliant education programs available to healthcare providers. Healthcare providers are strongly encouraged to do all of the following:  

• Complete a REMS-compliant education program offered by an accredited provider of continuing education (CE) or another education program that includes all the elements of the FDA Education Blueprint for Health Care Providers Involved in the Management or Support of Patients with Pain. 

• Discuss the safe use, serious risks, and proper storage and disposal of opioid analgesics with patients and/or their caregivers every time these medicines are prescribed. The Patient Counseling Guide (PCG) can be obtained at this link: www.fda.gov/OpioidAnalgesicREMSPCG. 

• Emphasize to patients and their caregivers the importance of reading the Medication Guide that they will receive from their pharmacist every time an opioid analgesic is dispensed to them. 

• Consider using other tools to improve patient, household, and community safety, such as patient-prescriber agreements that reinforce patient-prescriber responsibilities. 

To obtain further information on the opioid analgesic REMS and for a list of accredited REMS CME/CE, call 1-800-503-0784, or log on to www.opioidanalgesicrems.com. The FDA Blueprint can be found at www.fda.gov/OpioidAnalgesicREMSBlueprint.

5.3 Risks From Concomitant Use With Benzodiazepines Or Other Cns Depressants (5.3 Risks from Concomitant Use with Benzodiazepines or Other CNS Depressants)

Profound sedation, respiratory depression, coma, and death may result from the concomitant use of hydrocodone bitartrate extended-release capsules with benzodiazepines and/or other CNS depressants, including alcohol (e.g., non-benzodiazepine sedatives/hypnotics, anxiolytics, tranquilizers, muscle relaxants, general anesthetics, antipsychotics, other opioids). Because of these risks, reserve concomitant prescribing of these drugs for use in patients for whom alternative treatment options are inadequate.

Observational studies have demonstrated that concomitant use of opioid analgesics and benzodiazepines increases the risk of drug-related mortality compared to use of opioid analgesics alone. Because of similar pharmacological properties, it is reasonable to expect similar risk with the concomitant use of other CNS depressant drugs with opioid analgesics [see Drug Interactions (7)].

If the decision is made to prescribe a benzodiazepine or other CNS depressant concomitantly with an opioid analgesic, prescribe the lowest effective dosages and minimum duration of concomitant use. In patients already receiving an opioid analgesic, prescribe a lower initial dose of the benzodiazepine or other CNS depressant than indicated in the absence of an opioid, and titrate based on clinical response. If an opioid analgesic is initiated in a patient already taking a benzodiazepine or other CNS depressant, prescribe a lower initial dose of the opioid analgesic, and titrate based on clinical response. Inform patients and caregivers of this potential interaction, educate them on the signs and symptoms of respiratory depression (including sedation).

If concomitant use is warranted, consider prescribing naloxone for the emergency treatment of opioid overdose [see Dosage and Administration (2.2), Warnings and Precautions (5.2)].

Advise both patients and caregivers about the risks of respiratory depression and sedation when hydrocodone bitartrate extended-release capsules is used with benzodiazepines or other CNS depressants (including alcohol and illicit drugs). Advise patients not to drive or operate heavy machinery until the effects of concomitant use of the benzodiazepine or other CNS depressant have been determined. Screen patients for risk of substance use disorders, including opioid abuse and misuse, and warn them of the risk of overdose and death associated with the use of additional CNS depressants including alcohol and illicit drugs [see Drug Interactions (7) and Patient Counseling Information (17)].

Patients must not consume alcoholic beverages, or prescription or non-prescription products containing alcohol, while on hydrocodone bitartrate extended-release capsules therapy. The co-ingestion of alcohol with hydrocodone bitartrate extended-release capsules may result in increased plasma levels and a potentially fatal overdose of hydrocodone [see Clinical Pharmacology (12.3)].

2.2 Patient Access to Naloxone for the Emergency Treatment of Opioid Overdose

Discuss the availability of naloxone for the emergency treatment of opioid overdose with the patient and caregiver and assess the potential need for access to naloxone, both when initiating and renewing treatment with hydrocodone bitartrate extended-release capsules [see Warnings and Precautions (5.2), Patient Counseling Information (17)].

Inform patients and caregivers about the various ways to obtain naloxone as permitted by individual state naloxone dispensing and prescribing requirements or guidelines (e.g., by prescription, directly from a pharmacist, or as part of a community-based program).

Consider prescribing naloxone, based on the patient’s risk factors for overdose, such as concomitant use of CNS depressants, a history of opioid use disorder, or prior opioid overdose. The presence of risk factors for overdose should not prevent the proper management of pain in any given patient [see Warnings and Precautions (5.1, 5.2, 5.3)].

Consider prescribing naloxone if the patient has household members (including children) or other close contacts at risk for accidental ingestion or overdose.

2.6 Safe Reduction Or Discontinuation of Hydrocodone Bitartrate Extended Release Capsules (2.6 Safe Reduction or Discontinuation of Hydrocodone Bitartrate Extended-Release Capsules)

Do not abruptly discontinue hydrocodone bitartrate extended-release capsules in patients who may be physically dependent on opioids. Rapid discontinuation of opioid analgesics in patients who are physically dependent on opioids has resulted in serious withdrawal symptoms, uncontrolled pain, and suicide. Rapid discontinuation has also been associated with attempts to find other sources of opioid analgesics, which may be confused with drug-seeking for abuse. Patients may also attempt to treat their pain or withdrawal symptoms with illicit opioids, such as heroin, and other substances.  

When a decision has been made to decrease the dose or discontinue therapy in an opioid-dependent patient taking hydrocodone bitartrate extended-release capsules, there are a variety of factors that should be considered, including the total daily dose of opioid (including hydrocodone bitartrate extended-release capsules) the patient has been taking, the duration of treatment, the type of pain being treated, and the physical and psychological attributes of the patient. It is important to ensure ongoing care of the patient and to agree on an appropriate tapering schedule and follow-up plan so that patient and provider goals and expectations are clear and realistic. When opioid analgesics are being discontinued due to a suspected substance use disorder, evaluate and treat the patient, or refer for evaluation and treatment of the substance use disorder.

Treatment should include evidence-based approaches, such as medication assisted treatment of opioid use disorder. Complex patients with co- morbid pain and substance use disorders may benefit from referral to a specialist.  

There are no standard opioid tapering schedules that are suitable for all patients. Good clinical practice dictates a patient-specific plan to taper the dose of the opioid gradually. For patients on hydrocodone bitartrate extended-release capsules who are physically opioid-dependent, initiate the taper by a small enough increment (e.g., no greater than 10% to 25% of the total daily dose) to avoid withdrawal symptoms, and proceed with dose-lowering at an interval of every 2 to 4 weeks. Patients who have been taking opioids for briefer periods of time may tolerate a more rapid taper.  

It may be necessary to provide the patient with lower dosage strengths to accomplish a successful taper. Reassess the patient frequently to manage pain and withdrawal symptoms, should they emerge. Common withdrawal symptoms include restlessness, lacrimation, rhinorrhea, yawning, perspiration, chills, myalgia, and mydriasis. Other signs and symptoms also may develop, including irritability, anxiety, backache, joint pain, weakness, abdominal cramps, insomnia, nausea, anorexia, vomiting, diarrhea, or increased blood pressure, respiratory rate, or heart rate. If withdrawal symptoms arise, it may be necessary to pause the taper for a period of time or raise the dose of the opioid analgesic to the previous dose, and then proceed with a slower taper. In addition, evaluate patients for any changes in mood, emergence of suicidal thoughts, or use of other substances.  

When managing patients taking opioid analgesics, particularly those who have been treated for an extended period of time, and/or with high doses for chronic pain, ensure that a multimodal approach to pain management, including mental health support (if needed), is in place prior to initiating an opioid analgesic taper. A multimodal approach to pain management may optimize the treatment of chronic pain, as well as assist with the successful tapering of the opioid analgesic [see Warnings and Precautions (5.14), Drug Abuse and Dependence (9.3)].

5.6 Risks of Concomitant Use Or Discontinuation of Cytochrome P450 3a4 Inhibitors and Inducers (5.6 Risks of Concomitant Use or Discontinuation of Cytochrome P450 3A4 Inhibitors and Inducers)

Concomitant use of hydrocodone bitartrate extended-release capsules with a CYP3A4 inhibitor, such as macrolide antibiotics (e.g., erythromycin), azole-antifungal agents (e.g., ketoconazole), and protease inhibitors (e.g., ritonavir), may increase plasma concentrations of hydrocodone and prolong opioid adverse reactions, which may cause potentially fatal respiratory depression [see Warnings and Precautions (5.2)], particularly when an inhibitor is added after a stable dose of hydrocodone bitartrate extended-release capsules is achieved. Similarly, discontinuation of a CYP3A4 inducer, such as rifampin, carbamazepine, and phenytoin, in hydrocodone bitartrate extended-release capsule-treated patients may increase hydrocodone plasma concentrations and prolong opioid adverse reactions. When using hydrocodone bitartrate extended-release capsules with CYP3A4 inhibitors or discontinuing CYP3A4 inducers in hydrocodone bitartrate extended-release capsule-treated patients, evaluate patients at frequent intervals and consider dosage reduction of hydrocodone bitartrate extended-release capsules until stable drug effects are achieved [see Drug Interactions (7)].

Concomitant use of hydrocodone bitartrate extended-release capsules with CYP3A4 inducers or discontinuation of an CYP3A4 inhibitor could decrease hydrocodone plasma concentrations, decrease opioid efficacy or, possibly, lead to a withdrawal syndrome in a patient who had developed physical dependence to hydrocodone. When using hydrocodone bitartrate extended-release capsules with CYP3A4 inducers or discontinuing CYP3A4 inhibitors, monitor patients closely at frequent intervals and consider increasing the opioid dosage if needed to maintain adequate analgesia or if symptoms of opioid withdrawal occur [see Drug Interactions (7)].

Warning: Serious and Life Threatening Risks From Use of Hydrocodone Bitartrate Extended Release Capsules (WARNING: SERIOUS AND LIFE-THREATENING RISKS FROM USE OF HYDROCODONE BITARTRATE EXTENDED-RELEASE CAPSULES)

Addiction, Abuse, and Misuse

Because the use of hydrocodone bitartrate extended-release capsules exposes patients and other users to the risks of opioid addiction, abuse, and misuse, which can lead to overdose and death, assess each patient’s risk prior to prescribing and reassess all patients regularly for the development of these behaviors and conditions [see Warnings and Precautions (5.1)].

Life-Threatening Respiratory Depression

Serious, life-threatening, or fatal respiratory depression may occur with use of hydrocodone bitartrate extended-release capsules, especially during initiation or following a dosage increase. To reduce the risk of respiratory depression, proper dosing and titration of hydrocodone bitartrate extended-release capsules are essential. Instruct patients to swallow hydrocodone bitartrate extended-release capsules whole; crushing, chewing, or dissolving hydrocodone bitartrate extended-release capsules can cause rapid release and absorption of a potentially fatal dose of hydrocodone [see Warnings and Precautions (5.2)].

Accidental Ingestion

Accidental ingestion of even one dose of hydrocodone bitartrate extended-release capsules, especially by children, can result in a fatal overdose of hydrocodone [see Warnings and Precautions (5.2)].

Risks From Concomitant Use with Benzodiazepines or Other CNS Depressants

Concomitant use of opioids with benzodiazepines or other central nervous system (CNS) depressants, including alcohol, may result in profound sedation, respiratory depression, coma, and death. Reserve concomitant prescribing of hydrocodone bitartrate extended-release capsules and benzodiazepines or other CNS depressants for use in patients for whom alternative treatment options are inadequate [see Warnings and Precautions (5.3), Drug Interactions (7)] .

Interaction with Alcohol

Instruct patients not to consume alcoholic beverages or use prescription or non-prescription products that contain alcohol while taking hydrocodone bitartrate extended-release capsules. The co-ingestion of alcohol with hydrocodone bitartrate extended-release capsules may result in increased plasma levels and a potentially fatal overdose of hydrocodone [see Warnings and Precautions (5.3) and Clinical Pharmacology (12.3)] .

Neonatal Opioid Withdrawal Syndrome (NOWS)

If opioid use is required for an extended period of time in a pregnant woman, advise the patient of the risk of NOWS, which may be life-threatening if not recognized and treated. Ensure that management by neonatology experts will be available at delivery [see Warnings and Precautions (5.4)].

Opioid Analgesic Risk Evaluation and Mitigation Strategy (REMS)

Healthcare providers are strongly encouraged to complete a REMS-compliant education program and to counsel patients and caregivers on serious risks, safe use, and the importance of reading the Medication Guide with each prescription [see Warnings and Precautions (5.5)].

Cytochrome P450 3A4 Interaction

The concomitant use of hydrocodone bitartrate extended-release capsules with all cytochrome P450 3A4 inhibitors may result in an increase in hydrocodone plasma concentrations, which could increase or prolong adverse drug effects and may cause potentially fatal respiratory depression. In addition, discontinuation of a concomitantly used cytochrome P450 3A4 inducer may result in an increase in hydrocodone plasma concentration. Monitor patients receiving hydrocodone bitartrate extended-release capsules and any CYP3A4 inhibitor or inducer [see Warnings and Precautions (5.6) and Clinical Pharmacology (12.3)] .

5.11 Risks of Use in Patients With Increased Intracranial Pressure, Brain Tumors, Head Injury, Or Impaired Consciousness (5.11 Risks of Use in Patients with Increased Intracranial Pressure, Brain Tumors, Head Injury, or Impaired Consciousness)

In patients who may be susceptible to the intracranial effects of CO2 retention (e.g., those with evidence of increased intracranial pressure or brain tumors), hydrocodone bitartrate extended-release capsules may reduce respiratory drive, and the resultant CO2 retention can further increase intracranial pressure. Monitor such patients for signs of sedation and respiratory depression, particularly when initiating therapy with hydrocodone bitartrate extended-release capsules.

Opioids may also obscure the clinical course in a patient with a head injury. Avoid the use of hydrocodone bitartrate extended-release capsules in patients with impaired consciousness or coma.

5.8 Life Threatening Respiratory Depression in Patients With Chronic Pulmonary Disease Or in Elderly, Cachectic, Or Debilitated Patients (5.8 Life-Threatening Respiratory Depression in Patients with Chronic Pulmonary Disease or in Elderly, Cachectic, or Debilitated Patients)

The use of hydrocodone bitartrate extended-release capsules in patients with acute or severe bronchial asthma in an unmonitored setting or in the absence of resuscitative equipment is contraindicated.

Patients with Chronic Pulmonary Disease: Hydrocodone bitartrate extended-release capsule-treated patients with significant chronic obstructive pulmonary disease or cor pulmonale, and those with a substantially decreased respiratory reserve, hypoxia, hypercapnia, or pre-existing respiratory depression are at increased risk of decreased respiratory drive including apnea, even at recommended dosages of hydrocodone bitartrate extended-release capsules.

Elderly, Cachectic, or Debilitated Patients: Life-threatening respiratory depression is more likely to occur in elderly, cachectic, or debilitated patients because they may have altered pharmacokinetics or altered clearance compared to younger, healthier patients.

Regularly evaluate patients, particularly when initiating and titrating hydrocodone bitartrate extended-release capsules and when hydrocodone bitartrate extended-release capsules are given concomitantly with other drugs that depress respiration [see Warnings and Precautions (5), Drug Interactions (7)]. Alternatively, consider the use of non-opioid analgesics in these patients.


Advanced Ingredient Data


Raw Label Data

All Sections (JSON)