Lincomycin

Lincomycin
SPL v5
SPL
SPL Set ID a7692968-7ac8-48ab-89a4-27c7803e31f4
Routes
INTRAMUSCULAR INTRAVENOUS SUBCONJUNCTIVAL
Published
Effective Date 2025-10-31
Document Type 34391-3 HUMAN PRESCRIPTION DRUG LABEL

Drug Facts

Composition & Product

Active Ingredients
Lincomycin (300 mg)
Inactive Ingredients
Benzyl Alcohol

Identifiers & Packaging

Marketing Status
ANDA Active Since 2022-01-12

Description

To reduce the development of drug-resistant bacteria and maintain the effectiveness of Lincomycin and other antibacterial drugs, Lincomycin should be used only to treat or prevent infections that are proven or strongly suspected to be caused by bacteria.

Contraindications

This drug is contraindicated in patients previously found to be hypersensitive to lincomycin or clindamycin.

Adverse Reactions

The following reactions have been reported with the use of lincomycin and are listed by System Organ Class. Frequencies are defined as: commom (≥1% and<10%) uncommon (≥0.1% and <1%), rare (≥0.01% and <0.1%) and not known (cannot be estimated from the available data). Gastrointestinal disorders Common: persistent diarrhea (4.3%), nausea (1.8%), vomiting (1.6%) Rare: stomatitis (0.04%) Not known: glossitis, abdominal discomfort, and pruritus Skin and subcutaneous tissue disorders Uncommon: rash (0.8%), urticaria (0.1%) Rare: pruritus (0.4%) Infections and infestations Uncommon: vaginal infection (0.12%)  Not known: pseudomembranous colitis, Clostridium difficile colitis (see WARNINGS ) Blood and lymphatic system disorders Not known: pancytopenia, agranulocytosis, aplastic anemia, leukopenia, neutropenia, thrombocytopenic purpura Immune system disorders Not known: anaphylactic reaction (see WARNINGS ) angioedema, serum sickness Hepatobiliary disorders Not known: jaundice, liver function test abnormal, transaminases increased Renal and urinary disorders Not known: renal impairment, oliguria, proteinuria, azotemia ¹No direct relationship of LINCOCIN to renal damage has been established. Cardiac disorders Not known: cardio-respiratory arrest (see DOSAGE AND ADMINISTRATION) Vascular disorders Not known: hypotension (see DOSAGE AND ADMINISTRATION ), thrombophlebitis² ²Event has been reported with intravenous injection. Ear and labyrinth disorders Not known: vertigo, tinnitus Not known: injection site abscess sterile³, injection site induration³, injection site pain³, injection site irritation³ ³Reported with intramuscular injection.

How Supplied

Lincomycin Injection, USP is available in the following strength and package sizes: 300 mg/mL 2 mL Vials NDC 39822-0350-1 Packaged as 10 vials per carton NDC 39822-0350-2 10 mL Vials NDC 39822-0353-5 Packaged as 10 vials per carton NDC 39822-0353-6 Each mL of Lincomycin Injection, USP contains lincomycin hydrochloride equivalent to lincomycin 300 mg; also benzyl alcohol, 9.45 mg added as preservative. Store at controlled room temperature 20° to 25°C (68° to 77°F) [see USP] Product repackaged by: Henry Schein, Inc., Bastian, VA 24314  From Original Manufacturer/Distributor's NDC and Unit of Sale To Henry Schein Repackaged Product NDC and Unit of Sale Total Strength/Total Volume (Concentration) per unit  NDC 39822-0353-6 10 Pack NDC 0404-9901-10 1 10 mL Vial in a bag (Vial bears NDC 39822-0353-5) 300 mg/mL


Medication Information

Contraindications

This drug is contraindicated in patients previously found to be hypersensitive to lincomycin or clindamycin.

Adverse Reactions

The following reactions have been reported with the use of lincomycin and are listed by System Organ Class. Frequencies are defined as: commom (≥1% and<10%) uncommon (≥0.1% and <1%), rare (≥0.01% and <0.1%) and not known (cannot be estimated from the available data).

Gastrointestinal disorders

Common: persistent diarrhea (4.3%), nausea (1.8%), vomiting (1.6%)

Rare: stomatitis (0.04%)

Not known: glossitis, abdominal discomfort, and pruritus

Skin and subcutaneous tissue disorders

Uncommon: rash (0.8%), urticaria (0.1%)

Rare: pruritus (0.4%)

Infections and infestations

Uncommon: vaginal infection (0.12%) 

Not known: pseudomembranous colitis, Clostridium difficile colitis (see WARNINGS)

Blood and lymphatic system disorders

Not known: pancytopenia, agranulocytosis, aplastic anemia, leukopenia, neutropenia, thrombocytopenic purpura

Immune system disorders

Not known: anaphylactic reaction (see WARNINGS ) angioedema, serum sickness

Hepatobiliary disorders

Not known: jaundice, liver function test abnormal, transaminases increased

Renal and urinary disorders

Not known: renal impairment, oliguria, proteinuria, azotemia

¹No direct relationship of LINCOCIN to renal damage has been established.

Cardiac disorders

Not known: cardio-respiratory arrest (see DOSAGE AND ADMINISTRATION)

Vascular disorders

Not known: hypotension (see DOSAGE AND ADMINISTRATION), thrombophlebitis²

²Event has been reported with intravenous injection.

Ear and labyrinth disorders

Not known: vertigo, tinnitus



Not known: injection site abscess sterile³, injection site induration³, injection site pain³, injection site irritation³

³Reported with intramuscular injection.

How Supplied

Lincomycin Injection, USP is available in the following strength and package sizes:

300 mg/mL

2 mL Vials NDC 39822-0350-1 Packaged as 10 vials per carton NDC 39822-0350-2

10 mL Vials NDC 39822-0353-5 Packaged as 10 vials per carton NDC 39822-0353-6

Each mL of Lincomycin Injection, USP contains lincomycin hydrochloride equivalent to lincomycin 300 mg; also benzyl alcohol, 9.45 mg added as preservative.

Store at controlled room temperature 20° to 25°C (68° to 77°F) [see USP]

Product repackaged by: Henry Schein, Inc., Bastian, VA 24314 
From Original Manufacturer/Distributor's NDC and Unit of Sale To Henry Schein Repackaged Product NDC and Unit of Sale Total Strength/Total Volume (Concentration) per unit 
NDC 39822-0353-6

10 Pack
NDC 0404-9901-10

1 10 mL Vial in a bag

(Vial bears NDC 39822-0353-5)
300 mg/mL

Description

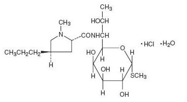
Lincomycin Injection is a sterile solution which contains lincomycin hydrochloride which is the monohydrated salt of lincomycin, a substance produced by the growth of a member of the lincolnensis group of Streptomyces lincolnensis (Fam. Streptomycetaceae). The chemical name for lincomycin hydrochloride is Methyl 6,8-dideoxy-6-(1-methyl-trans-4-propyl-L-2-pyrolidinecarboxamido)-1-thio-D-erythro-α-D-galacto-octopyranoside monohydrochloride monohydrate. The molecular formula of lincomycin hydrochloride is C18H34N2O6S.HCl.H2O and the molecular weight is 461.01.

The structural formula is represented below:

Lincomycin hydrochloride is a white or practically white, crystalline powder and is odorless or has a faint odor. Its solutions are acid and are dextrorotatory. Lincomycin hydrochloride is freely soluble in water; soluble in dimethylformamide and very slightly soluble in acetone.

Rx Only

Manufactured in Germany

Manufactured for:

X-GEN Pharmaceuticals DJB, Inc.

Big Flats, NY 14814

04/2022

LC-PI-14

Warnings

See WARNING Box.

Clostridium difficile associated diarrhea

Clostridium difficile associated diarrhea (CDAD) has been reported with use of nearly all antibacterial agents, including Lincomycin, and may range in severity from mild diarrhea to fatal colitis. Treatment with antibacterial agents alters the normal flora of the colon leading to overgrowth of C. difficile.

C. difficile produces toxins A and B which contribute to the development of CDAD. Hypertoxin producing strains of C. difficile cause increased morbidity and mortality, as these infections can be refractory to antimicrobial therapy and may require colectomy. CDAD must be considered in all patients who present with diarrhea following antibacterial use. Careful medical history is necessary since CDAD has been reported to occur over two months after the administration of antibacterial agents.

If CDAD is suspected or confirmed, ongoing antibacterial use not directed against C. difficile may need to be discontinued. Appropriate fluid and electrolyte management, protein supplementation, antibacterial treatment of C. difficile, and surgical evaluation should be instituted as clinically indicated.

Hypersensitivity

Serious hypersensitivity reactions, including anaphylaxis and erythema multiforme, have been reported with use of Lincomycin Injection. If an allergic reaction to Lincomycin occurs, discontinue the drug. (See ADVERSE REACTIONS)

Benzyl Alcohol Toxicity in Pediatric Patients ("Gasping Syndrome")

Lincomycin Injection Sterile Solution contains benzyl alcohol as a preservative. The preservative benzyl alcohol has been associated with serious adverse events, including the "gasping syndrome", and death in pediatric patients. Although normal therapeutic doses of this product ordinarily deliver amounts of benzyl alcohol that are substantially lower than those reported in association with the "gasping syndrome", the minimum amount of benzyl alcohol at which toxicity may occur is not known. The risk of benzyl alcohol toxicity depends on the quantity administered and the liver and kidney's capacity to detoxify the chemical. Premature and low-birth weight infants may be more likely to develop toxicity.

Use in Meningitis — Although lincomycin appears to diffuse into cerebrospinal fluid, levels of lincomycin in the CSF may be inadequate for the treatment of meningitis.

Overdosage

Serum levels of lincomycin are not appreciably affected by hemodialysis and peritoneal dialysis.

Precautions

General

Review of experience to date suggests that a subgroup of older patients with associated severe illness may tolerate diarrhea less well. When Lincomycin is indicated in these patients, they should be carefully monitored for change in bowel frequency.

Lincomycin should be prescribed with caution in individuals with a history of gastrointestinal disease, particularly colitis.

Lincomycin should be used with caution in patients with a history of asthma or significant allergies.

Certain infections may require incision and drainage or other indicated surgical procedures in addition to antibacterial therapy.

The use of Lincomycin may result in overgrowth of nonsusceptible organisms— particularly yeasts. Should superinfections occur, appropriate measures should be taken as indicated by the clinical situation. When patients with pre-existing monilial infections require therapy with Lincomycin, concomitant antimonilial treatment should be given.

The serum half-life of lincomycin may be prolonged in patients with severe impairment of renal function compared to patients with normal renal function. In patients with abnormal hepatic function, serum half-life may be twofold longer than in patients with normal hepatic function.

Patients with severe impairment of renal function and/or abnormal hepatic function should be dosed with caution and serum lincomycin levels monitored during high-dose therapy. (See DOSAGE AND ADMINISTRATION Section.)

Lincomycin should not be injected intravenously undiluted as a bolus, but should be infused over at least 60 minutes as directed in the DOSAGE AND ADMINISTRATION Section.

Prescribing Lincomycin in the absence of a proven or strongly suspected bacterial infection or a prophylactic indication is unlikely to provide benefit to the patient and increases the risk of the development of drug-resistant bacteria.

Information for Patients

Patients should be counseled that antibacterial drugs including Lincomycin should only be used to treat bacterial infections. They do not treat viral infections (e.g., the common cold). When Lincomycin is prescribed to treat a bacterial infection, patients should be told that although it is common to feel better early in the course of therapy, the medication should be taken exactly as directed. Skipping doses or not completing the full course of therapy may (1) decrease the effectiveness of the immediate treatment and (2) increase the likelihood that bacteria will develop resistance and will not be treatable by Lincomycin or other antibacterial drugs in the future.

Diarrhea is a common problem caused by antibacterial which usually ends when the antibacterial is discontinued. Sometimes after starting treatment with antibacterial, patients can develop watery and bloody stools (with or without stomach cramps and fever) even as late as two or more months after having taken the last dose of the antibacterial. If this occurs, patients should contact their physician as soon as possible

Laboratory Tests

During prolonged therapy with Lincomycin, periodic liver and kidney function tests and blood counts should be performed.

Drug Interactions

Lincomycin has been shown to have neuromuscular blocking properties that may enhance the action of other neuro-muscular blocking

agents. Therefore, it should be used in caution in patients receiving such agents.

Antagonism between lincomycin and erythromycin in vitro has been demonstrated. Because of the possible clinical significance, the two drugs should not be administered concurrently.

Carcinogenesis, Mutagenesis, Impairment of Fertility:

The carcinogenic potential of lincomycin has not been evaluated.

Lincomycin was not found to be mutagenic in the Ames Salmonella reversion assay or the V79 Chinese hamster lung cells at the HGPRT locus. It did not induce DNA strand breaks in V79 Chinese hamster lung cells as measured by alkaline elution or chromosomal abnormalities in cultured human lymphocytes. In vivo, lincomycin was negative in both the rat and mouse micronucleus assays and it did not induce sex-linked recessive lethal mutations in the offspring of male Drosophila. However, lincomycin did cause unscheduled DNA syntheses in freshly isolated rat hepatocytes.

Impairment of fertility was not observed in male or female rats given oral 300 mg/kg doses of lincomycin (0.36 times the highest recommended human dose based on mg/m2).

Pregnancy: Pregnancy Category C

Lincomycin Sterile Solution contains benzyl alcohol as a preservative. Benzyl alcohol can cross the placenta.

See WARNINGS.

Teratogenic Effects:

There are no studies on the teratogenic potential of lincomycin in animals or adequate and well-controlled studies of pregnant women.

Nonteratogenic Effects:

Reproduction studies have been performed in rats using oral doses of lincomycin up to 1000 mg/kg (1.2 times the maximum daily human dose  based on mg/m²) and have revealed no adverse effects on survival of offspring from birth to weaning.

Nursing Mothers

Lincomycin has been reported to appear in human milk in concentrations of 0.5 to 2.4 mcg/mL. Because of the potential for serious adverse reactions in nursing infants from Lincomycin Injection, a decision should be made whether to discontinue nursing, or to discontinue the drug, taking into account the importance of the drug to the mother.

Pediatric Use

Lincomycin Injection, USP contains benzyl alcohol as a preservative. Benzyl alcohol has been associated with a fatal "Gasping Syndrome" in premature infants. See WARNINGS. Safety and effectiveness in pediatric patients below the age of one month have not been established. (See DOSAGE AND ADMINISTRATION Section.)

Boxed Warninig

WARNING

Clostridium difficile associated diarrhea (CDAD) has been reported with use of nearly all antibacterial agents, including Lincomycin and may range in severity from mild diarrhea to fatal colitis. Treatment with antibacterial agents alters the normal flora of the colon leading to overgrowth of C. difficile.

Because lincomycin therapy has been associated with severe colitis which may end fatally, it should be reserved for serious infections where less toxic antimicrobial agents are inappropriate, as described in the INDICATIONS AND USAGE section. It should not be used in patients with nonbacterial infections such as most upper respiratory tract infections.

C.diffficile produces toxins A and B which contribute to the development of CDAD. Hypertoxin producing strains of C. difficile cause increased morbidity and mortality, as these infections can be refractory to antimicrobial therapy and may require colectomy. CDAD must be considered in all patients who present with diarrhea following antibacterial use. Careful medical history is necessary since CDAD has been reported to occur over two months after the administration of antibacterial agents.

If CDAD is suspected or confirmed, ongoing antibacterial use not directed against C. difficile may need to be discontinued. Appropriate fluid and electrolyte management, protein supplementation, antibacterial treatment of C. difficile, and surgical evaluation should be instituted as clinically indicated.

Clinical Studies

Experience with 345 obstetrical patients receiving this drug revealed no ill effects related to pregnancy. (See PRECAUTIONS, Pregnancy)

Animal Pharmacology

In vivo experimental animal studies demonstrated the effectiveness of LINCOMYCIN preparations (lincomycin) in protecting animals infected with Streptococcus viridans,β-hemolytic Streptococcus, Staphylococcus aureus, Diplococcus pneumoniae and Leptospira pomona. It was ineffective in Klebsiella, Pasteurella, Pseudomonas, Salmonella and Shigella infections.

Sample Package Label

Clinical Pharmacology 

Intramuscular administration of a single dose of 600 mg of lincomycin produces average peak serum concentrations of 11.6 µg/mL at 60 minutes and maintains therapeutic concentrations for 17 to 20 hours for most susceptible gram-positive organisms. Urinary excretion after this dose ranges from 1.8 to 24.8 percent (mean: 17.3 percent).

A two hour intravenous infusion of 600 mg of lincomycin achieves average peak serum concentrations of 15.9 µg/mL and yields therapeutic concentrations for 14 hours for most susceptible gram-positive organisms. Urinary excretion ranges from 4.9 to 30.3 percent (mean: 13.8 percent).

The biological half-life after intramuscular or intravenous administration is 5.4 ± 1.0 hours. The serum half-life of lincomycin may be prolonged in patients with severe impairment of renal function compared to patients with normal renal function. In patients with abnormal hepatic function, serum half-life may be twofold longer than in patients with normal hepatic function. Hemodialysis and peritoneal dialysis are not effective in removing lincomycin from the serum.

Tissue level concentrations indicate that bile is an important route of excretion. Significant concentrations have been demonstrated in the majority of body tissues. Although lincomycin appears to diffuse into cerebrospinal fluid (CSF), concentrations of lincomycin in the CSF appear inadequate for the treatment of meningitis.

Microbiology:

Lincomycin has been shown to be active against most strains of the following organisms both in vitro and in clinical infections: (see INDICATIONS AND USAGE).

Staphylococcus aureus

Streptococcus pneumoniae

The following in vitro data are available; but their clinical significance is unknown.

Lincomycin has been shown to be active in vitro against the following microorganisms; however, the safety and efficacy of Lincomycin in treating clinical infections due to these organisms have not been established in adequate and well controlled trials.

Gram-positive bacteria::

Corynebacterium diphtheriae

Streptococcus pyogenes

Viridans group streptococci

Anaerobic bacteria:

Clostridium tetani

Clostridium perfringens

Cross resistance has been demonstrated between clindamycin and lincomycin. Resistance is most often due to methylation of specific nucleotides in the 23S RNA of the 50S ribosomal subunit, which can determine cross resistance to macrolides and streptogramins B (MLS phenotype). Macrolide-resistant isolates of these organisms should be tested for inducible resistance to lincomycin/clindamycin using the D-zone test or other appropriate method.

There are currently no antimicrobial susceptibility testing (AST) interpretive criteria for Lincomycin.

Dosage and Adminisration

If significant diarrhea occurs during therapy, this antibacterial should be discontinued. (See WARNING box.)

INTRAMUSCULAR-Adults:  Serious infections—600 mg (2 mL) intramuscularly every 24 hours. More severe infections—600 mg (2 mL) intramuscularly every 12 hours or more often. Pediatric patients over 1 month of age: Serious infections—one intramuscular injection of 10 mg/kg (5 mg/lb) every 24 hours. More severe infections—one intramuscular injection of 10 mg/kg (5 mg/lb) every 12 hours or more often.

INTRAVENOUS Adults:

The intravenous dose will be determined by the severity of the infection. For serious infections doses of 600 mg of lincomycin (2 mL of Lincomycin Injection) to 1 gram are given every 8 to 12 hours. For more severe infections these doses may have to be increased. In life-threatening situations, daily intravenous doses of as much as 8 grams have been given. Intravenous doses are given on the basis of 1 gram of lincomycin diluted in not less than 100 mL of appropriate solution (see PHYSICAL COMPATIBILITIES) and infused over a period of not less than one hour.

These doses may be repeated as often as required to the limit of the maximum recommended daily dose of 8 grams of lincomycin.

Pediatric patients over 1 month of age: 10 to 20 mg/kg/day (5 to 10 mg/lb/day) depending on the severity of the infection may be infused in divided doses as described above for adults.

NOTE: Severe cardiopulmonary reactions have occurred when this drug has been given at greater than the recommended concentration and rate.

SUBCONJUNCTIVAL INJECTION-0.25 mL (75 mg) injected subconjunctivally will result in ocular fluid levels of antibacterial (lasting for at least 5 hours) with MICs sufficient for most susceptible pathogens.

Patients with diminished renal function:  When therapy with Lincomycin is required in individuals with severe impairment of renal function, an appropriate dose is 25 to 30% of that recommended for patients with normally functioning kidneys.

Physical Compatibilities

Physically compatible for 24 hours at room temperature unless otherwise indicated.

Infusion Solutions

5% Dextrose Injection

10% Dextrose Injection

5% Dextrose and 0.9% Sodium Chloride Injection

10% Dextrose and 0.9% Sodium Chloride Injection

Ringer's Injection

1/6 M Sodium Lactate Injection

Travert® 10%-Electrolyte No. 1

Dextran in Saline 6% w/v

Vitamins in Infusion Solutions

B-Complex

B-Complex with Ascorbic Acid

Antibacterial in Infusion Solutions

Penicillin G Sodium (Satisfactory for 4 hours)

Cephalothin

Tetracycline HCl

Cephaloridine

Colistimethate (Satisfactory for 4 hours)

Ampicillin

Methicillin

Chloramphenicol

Polymyxin B Sulfate

Physically Incompatible with:

Novobiocin

Kanamycin

IT SHOULD BE EMPHASIZED THAT THE COMPATIBLE AND INCOMPATIBLE DETERMINATIONS ARE PHYSICAL OBSERVATIONS ONLY, NOT CHEMICAL DETERMINATIONS. ADEQUATE CLINICAL EVALUATION OF THE SAFETY AND EFFICACY OF THESE COMBINATIONS HAS NOT BEEN PERFORMED.

Spl Unclassified Section

To reduce the development of drug-resistant bacteria and maintain the effectiveness of Lincomycin and other antibacterial drugs, Lincomycin should be used only to treat or prevent infections that are proven or strongly suspected to be caused by bacteria.


Structured Label Content

Rx Only (RX ONLY)

Manufactured in Germany

Manufactured for:

X-GEN Pharmaceuticals DJB, Inc.

Big Flats, NY 14814

04/2022

LC-PI-14

Warnings (WARNINGS)

See WARNING Box.

Clostridium difficile associated diarrhea

Clostridium difficile associated diarrhea (CDAD) has been reported with use of nearly all antibacterial agents, including Lincomycin, and may range in severity from mild diarrhea to fatal colitis. Treatment with antibacterial agents alters the normal flora of the colon leading to overgrowth of C. difficile.

C. difficile produces toxins A and B which contribute to the development of CDAD. Hypertoxin producing strains of C. difficile cause increased morbidity and mortality, as these infections can be refractory to antimicrobial therapy and may require colectomy. CDAD must be considered in all patients who present with diarrhea following antibacterial use. Careful medical history is necessary since CDAD has been reported to occur over two months after the administration of antibacterial agents.

If CDAD is suspected or confirmed, ongoing antibacterial use not directed against C. difficile may need to be discontinued. Appropriate fluid and electrolyte management, protein supplementation, antibacterial treatment of C. difficile, and surgical evaluation should be instituted as clinically indicated.

Hypersensitivity

Serious hypersensitivity reactions, including anaphylaxis and erythema multiforme, have been reported with use of Lincomycin Injection. If an allergic reaction to Lincomycin occurs, discontinue the drug. (See ADVERSE REACTIONS)

Benzyl Alcohol Toxicity in Pediatric Patients ("Gasping Syndrome")

Lincomycin Injection Sterile Solution contains benzyl alcohol as a preservative. The preservative benzyl alcohol has been associated with serious adverse events, including the "gasping syndrome", and death in pediatric patients. Although normal therapeutic doses of this product ordinarily deliver amounts of benzyl alcohol that are substantially lower than those reported in association with the "gasping syndrome", the minimum amount of benzyl alcohol at which toxicity may occur is not known. The risk of benzyl alcohol toxicity depends on the quantity administered and the liver and kidney's capacity to detoxify the chemical. Premature and low-birth weight infants may be more likely to develop toxicity.

Use in Meningitis — Although lincomycin appears to diffuse into cerebrospinal fluid, levels of lincomycin in the CSF may be inadequate for the treatment of meningitis.

Overdosage (OVERDOSAGE)

Serum levels of lincomycin are not appreciably affected by hemodialysis and peritoneal dialysis.

Description (DESCRIPTION)

Lincomycin Injection is a sterile solution which contains lincomycin hydrochloride which is the monohydrated salt of lincomycin, a substance produced by the growth of a member of the lincolnensis group of Streptomyces lincolnensis (Fam. Streptomycetaceae). The chemical name for lincomycin hydrochloride is Methyl 6,8-dideoxy-6-(1-methyl-trans-4-propyl-L-2-pyrolidinecarboxamido)-1-thio-D-erythro-α-D-galacto-octopyranoside monohydrochloride monohydrate. The molecular formula of lincomycin hydrochloride is C18H34N2O6S.HCl.H2O and the molecular weight is 461.01.

The structural formula is represented below:

Lincomycin hydrochloride is a white or practically white, crystalline powder and is odorless or has a faint odor. Its solutions are acid and are dextrorotatory. Lincomycin hydrochloride is freely soluble in water; soluble in dimethylformamide and very slightly soluble in acetone.

Precautions (PRECAUTIONS)

General

Review of experience to date suggests that a subgroup of older patients with associated severe illness may tolerate diarrhea less well. When Lincomycin is indicated in these patients, they should be carefully monitored for change in bowel frequency.

Lincomycin should be prescribed with caution in individuals with a history of gastrointestinal disease, particularly colitis.

Lincomycin should be used with caution in patients with a history of asthma or significant allergies.

Certain infections may require incision and drainage or other indicated surgical procedures in addition to antibacterial therapy.

The use of Lincomycin may result in overgrowth of nonsusceptible organisms— particularly yeasts. Should superinfections occur, appropriate measures should be taken as indicated by the clinical situation. When patients with pre-existing monilial infections require therapy with Lincomycin, concomitant antimonilial treatment should be given.

The serum half-life of lincomycin may be prolonged in patients with severe impairment of renal function compared to patients with normal renal function. In patients with abnormal hepatic function, serum half-life may be twofold longer than in patients with normal hepatic function.

Patients with severe impairment of renal function and/or abnormal hepatic function should be dosed with caution and serum lincomycin levels monitored during high-dose therapy. (See DOSAGE AND ADMINISTRATION Section.)

Lincomycin should not be injected intravenously undiluted as a bolus, but should be infused over at least 60 minutes as directed in the DOSAGE AND ADMINISTRATION Section.

Prescribing Lincomycin in the absence of a proven or strongly suspected bacterial infection or a prophylactic indication is unlikely to provide benefit to the patient and increases the risk of the development of drug-resistant bacteria.

Information for Patients

Patients should be counseled that antibacterial drugs including Lincomycin should only be used to treat bacterial infections. They do not treat viral infections (e.g., the common cold). When Lincomycin is prescribed to treat a bacterial infection, patients should be told that although it is common to feel better early in the course of therapy, the medication should be taken exactly as directed. Skipping doses or not completing the full course of therapy may (1) decrease the effectiveness of the immediate treatment and (2) increase the likelihood that bacteria will develop resistance and will not be treatable by Lincomycin or other antibacterial drugs in the future.

Diarrhea is a common problem caused by antibacterial which usually ends when the antibacterial is discontinued. Sometimes after starting treatment with antibacterial, patients can develop watery and bloody stools (with or without stomach cramps and fever) even as late as two or more months after having taken the last dose of the antibacterial. If this occurs, patients should contact their physician as soon as possible

Laboratory Tests

During prolonged therapy with Lincomycin, periodic liver and kidney function tests and blood counts should be performed.

Drug Interactions

Lincomycin has been shown to have neuromuscular blocking properties that may enhance the action of other neuro-muscular blocking

agents. Therefore, it should be used in caution in patients receiving such agents.

Antagonism between lincomycin and erythromycin in vitro has been demonstrated. Because of the possible clinical significance, the two drugs should not be administered concurrently.

Carcinogenesis, Mutagenesis, Impairment of Fertility:

The carcinogenic potential of lincomycin has not been evaluated.

Lincomycin was not found to be mutagenic in the Ames Salmonella reversion assay or the V79 Chinese hamster lung cells at the HGPRT locus. It did not induce DNA strand breaks in V79 Chinese hamster lung cells as measured by alkaline elution or chromosomal abnormalities in cultured human lymphocytes. In vivo, lincomycin was negative in both the rat and mouse micronucleus assays and it did not induce sex-linked recessive lethal mutations in the offspring of male Drosophila. However, lincomycin did cause unscheduled DNA syntheses in freshly isolated rat hepatocytes.

Impairment of fertility was not observed in male or female rats given oral 300 mg/kg doses of lincomycin (0.36 times the highest recommended human dose based on mg/m2).

Pregnancy: Pregnancy Category C

Lincomycin Sterile Solution contains benzyl alcohol as a preservative. Benzyl alcohol can cross the placenta.

See WARNINGS.

Teratogenic Effects:

There are no studies on the teratogenic potential of lincomycin in animals or adequate and well-controlled studies of pregnant women.

Nonteratogenic Effects:

Reproduction studies have been performed in rats using oral doses of lincomycin up to 1000 mg/kg (1.2 times the maximum daily human dose  based on mg/m²) and have revealed no adverse effects on survival of offspring from birth to weaning.

Nursing Mothers

Lincomycin has been reported to appear in human milk in concentrations of 0.5 to 2.4 mcg/mL. Because of the potential for serious adverse reactions in nursing infants from Lincomycin Injection, a decision should be made whether to discontinue nursing, or to discontinue the drug, taking into account the importance of the drug to the mother.

Pediatric Use

Lincomycin Injection, USP contains benzyl alcohol as a preservative. Benzyl alcohol has been associated with a fatal "Gasping Syndrome" in premature infants. See WARNINGS. Safety and effectiveness in pediatric patients below the age of one month have not been established. (See DOSAGE AND ADMINISTRATION Section.)

How Supplied (HOW SUPPLIED)

Lincomycin Injection, USP is available in the following strength and package sizes:

300 mg/mL

2 mL Vials NDC 39822-0350-1 Packaged as 10 vials per carton NDC 39822-0350-2

10 mL Vials NDC 39822-0353-5 Packaged as 10 vials per carton NDC 39822-0353-6

Each mL of Lincomycin Injection, USP contains lincomycin hydrochloride equivalent to lincomycin 300 mg; also benzyl alcohol, 9.45 mg added as preservative.

Store at controlled room temperature 20° to 25°C (68° to 77°F) [see USP]

Product repackaged by: Henry Schein, Inc., Bastian, VA 24314 
From Original Manufacturer/Distributor's NDC and Unit of Sale To Henry Schein Repackaged Product NDC and Unit of Sale Total Strength/Total Volume (Concentration) per unit 
NDC 39822-0353-6

10 Pack
NDC 0404-9901-10

1 10 mL Vial in a bag

(Vial bears NDC 39822-0353-5)
300 mg/mL

Boxed Warninig (BOXED WARNINIG)

WARNING

Clostridium difficile associated diarrhea (CDAD) has been reported with use of nearly all antibacterial agents, including Lincomycin and may range in severity from mild diarrhea to fatal colitis. Treatment with antibacterial agents alters the normal flora of the colon leading to overgrowth of C. difficile.

Because lincomycin therapy has been associated with severe colitis which may end fatally, it should be reserved for serious infections where less toxic antimicrobial agents are inappropriate, as described in the INDICATIONS AND USAGE section. It should not be used in patients with nonbacterial infections such as most upper respiratory tract infections.

C.diffficile produces toxins A and B which contribute to the development of CDAD. Hypertoxin producing strains of C. difficile cause increased morbidity and mortality, as these infections can be refractory to antimicrobial therapy and may require colectomy. CDAD must be considered in all patients who present with diarrhea following antibacterial use. Careful medical history is necessary since CDAD has been reported to occur over two months after the administration of antibacterial agents.

If CDAD is suspected or confirmed, ongoing antibacterial use not directed against C. difficile may need to be discontinued. Appropriate fluid and electrolyte management, protein supplementation, antibacterial treatment of C. difficile, and surgical evaluation should be instituted as clinically indicated.

Clinical Studies (CLINICAL STUDIES)

Experience with 345 obstetrical patients receiving this drug revealed no ill effects related to pregnancy. (See PRECAUTIONS, Pregnancy)

Adverse Reactions (ADVERSE REACTIONS)

The following reactions have been reported with the use of lincomycin and are listed by System Organ Class. Frequencies are defined as: commom (≥1% and<10%) uncommon (≥0.1% and <1%), rare (≥0.01% and <0.1%) and not known (cannot be estimated from the available data).

Gastrointestinal disorders

Common: persistent diarrhea (4.3%), nausea (1.8%), vomiting (1.6%)

Rare: stomatitis (0.04%)

Not known: glossitis, abdominal discomfort, and pruritus

Skin and subcutaneous tissue disorders

Uncommon: rash (0.8%), urticaria (0.1%)

Rare: pruritus (0.4%)

Infections and infestations

Uncommon: vaginal infection (0.12%) 

Not known: pseudomembranous colitis, Clostridium difficile colitis (see WARNINGS)

Blood and lymphatic system disorders

Not known: pancytopenia, agranulocytosis, aplastic anemia, leukopenia, neutropenia, thrombocytopenic purpura

Immune system disorders

Not known: anaphylactic reaction (see WARNINGS ) angioedema, serum sickness

Hepatobiliary disorders

Not known: jaundice, liver function test abnormal, transaminases increased

Renal and urinary disorders

Not known: renal impairment, oliguria, proteinuria, azotemia

¹No direct relationship of LINCOCIN to renal damage has been established.

Cardiac disorders

Not known: cardio-respiratory arrest (see DOSAGE AND ADMINISTRATION)

Vascular disorders

Not known: hypotension (see DOSAGE AND ADMINISTRATION), thrombophlebitis²

²Event has been reported with intravenous injection.

Ear and labyrinth disorders

Not known: vertigo, tinnitus



Not known: injection site abscess sterile³, injection site induration³, injection site pain³, injection site irritation³

³Reported with intramuscular injection.

Contraindications (CONTRAINDICATIONS)

This drug is contraindicated in patients previously found to be hypersensitive to lincomycin or clindamycin.

Animal Pharmacology (ANIMAL PHARMACOLOGY)

In vivo experimental animal studies demonstrated the effectiveness of LINCOMYCIN preparations (lincomycin) in protecting animals infected with Streptococcus viridans,β-hemolytic Streptococcus, Staphylococcus aureus, Diplococcus pneumoniae and Leptospira pomona. It was ineffective in Klebsiella, Pasteurella, Pseudomonas, Salmonella and Shigella infections.

Sample Package Label

Clinical Pharmacology  (CLINICAL PHARMAcOLOGY )

Intramuscular administration of a single dose of 600 mg of lincomycin produces average peak serum concentrations of 11.6 µg/mL at 60 minutes and maintains therapeutic concentrations for 17 to 20 hours for most susceptible gram-positive organisms. Urinary excretion after this dose ranges from 1.8 to 24.8 percent (mean: 17.3 percent).

A two hour intravenous infusion of 600 mg of lincomycin achieves average peak serum concentrations of 15.9 µg/mL and yields therapeutic concentrations for 14 hours for most susceptible gram-positive organisms. Urinary excretion ranges from 4.9 to 30.3 percent (mean: 13.8 percent).

The biological half-life after intramuscular or intravenous administration is 5.4 ± 1.0 hours. The serum half-life of lincomycin may be prolonged in patients with severe impairment of renal function compared to patients with normal renal function. In patients with abnormal hepatic function, serum half-life may be twofold longer than in patients with normal hepatic function. Hemodialysis and peritoneal dialysis are not effective in removing lincomycin from the serum.

Tissue level concentrations indicate that bile is an important route of excretion. Significant concentrations have been demonstrated in the majority of body tissues. Although lincomycin appears to diffuse into cerebrospinal fluid (CSF), concentrations of lincomycin in the CSF appear inadequate for the treatment of meningitis.

Microbiology:

Lincomycin has been shown to be active against most strains of the following organisms both in vitro and in clinical infections: (see INDICATIONS AND USAGE).

Staphylococcus aureus

Streptococcus pneumoniae

The following in vitro data are available; but their clinical significance is unknown.

Lincomycin has been shown to be active in vitro against the following microorganisms; however, the safety and efficacy of Lincomycin in treating clinical infections due to these organisms have not been established in adequate and well controlled trials.

Gram-positive bacteria::

Corynebacterium diphtheriae

Streptococcus pyogenes

Viridans group streptococci

Anaerobic bacteria:

Clostridium tetani

Clostridium perfringens

Cross resistance has been demonstrated between clindamycin and lincomycin. Resistance is most often due to methylation of specific nucleotides in the 23S RNA of the 50S ribosomal subunit, which can determine cross resistance to macrolides and streptogramins B (MLS phenotype). Macrolide-resistant isolates of these organisms should be tested for inducible resistance to lincomycin/clindamycin using the D-zone test or other appropriate method.

There are currently no antimicrobial susceptibility testing (AST) interpretive criteria for Lincomycin.

Dosage and Adminisration (DOSAGE AND ADMINISRATION)

If significant diarrhea occurs during therapy, this antibacterial should be discontinued. (See WARNING box.)

INTRAMUSCULAR-Adults:  Serious infections—600 mg (2 mL) intramuscularly every 24 hours. More severe infections—600 mg (2 mL) intramuscularly every 12 hours or more often. Pediatric patients over 1 month of age: Serious infections—one intramuscular injection of 10 mg/kg (5 mg/lb) every 24 hours. More severe infections—one intramuscular injection of 10 mg/kg (5 mg/lb) every 12 hours or more often.

INTRAVENOUS Adults:

The intravenous dose will be determined by the severity of the infection. For serious infections doses of 600 mg of lincomycin (2 mL of Lincomycin Injection) to 1 gram are given every 8 to 12 hours. For more severe infections these doses may have to be increased. In life-threatening situations, daily intravenous doses of as much as 8 grams have been given. Intravenous doses are given on the basis of 1 gram of lincomycin diluted in not less than 100 mL of appropriate solution (see PHYSICAL COMPATIBILITIES) and infused over a period of not less than one hour.

These doses may be repeated as often as required to the limit of the maximum recommended daily dose of 8 grams of lincomycin.

Pediatric patients over 1 month of age: 10 to 20 mg/kg/day (5 to 10 mg/lb/day) depending on the severity of the infection may be infused in divided doses as described above for adults.

NOTE: Severe cardiopulmonary reactions have occurred when this drug has been given at greater than the recommended concentration and rate.

SUBCONJUNCTIVAL INJECTION-0.25 mL (75 mg) injected subconjunctivally will result in ocular fluid levels of antibacterial (lasting for at least 5 hours) with MICs sufficient for most susceptible pathogens.

Patients with diminished renal function:  When therapy with Lincomycin is required in individuals with severe impairment of renal function, an appropriate dose is 25 to 30% of that recommended for patients with normally functioning kidneys.

Physical Compatibilities (PHYSICAL COMPATIBILITIES)

Physically compatible for 24 hours at room temperature unless otherwise indicated.

Infusion Solutions

5% Dextrose Injection

10% Dextrose Injection

5% Dextrose and 0.9% Sodium Chloride Injection

10% Dextrose and 0.9% Sodium Chloride Injection

Ringer's Injection

1/6 M Sodium Lactate Injection

Travert® 10%-Electrolyte No. 1

Dextran in Saline 6% w/v

Vitamins in Infusion Solutions

B-Complex

B-Complex with Ascorbic Acid

Antibacterial in Infusion Solutions

Penicillin G Sodium (Satisfactory for 4 hours)

Cephalothin

Tetracycline HCl

Cephaloridine

Colistimethate (Satisfactory for 4 hours)

Ampicillin

Methicillin

Chloramphenicol

Polymyxin B Sulfate

Physically Incompatible with:

Novobiocin

Kanamycin

IT SHOULD BE EMPHASIZED THAT THE COMPATIBLE AND INCOMPATIBLE DETERMINATIONS ARE PHYSICAL OBSERVATIONS ONLY, NOT CHEMICAL DETERMINATIONS. ADEQUATE CLINICAL EVALUATION OF THE SAFETY AND EFFICACY OF THESE COMBINATIONS HAS NOT BEEN PERFORMED.

Spl Unclassified Section (SPL UNCLASSIFIED SECTION)

To reduce the development of drug-resistant bacteria and maintain the effectiveness of Lincomycin and other antibacterial drugs, Lincomycin should be used only to treat or prevent infections that are proven or strongly suspected to be caused by bacteria.


Advanced Ingredient Data


Raw Label Data

All Sections (JSON)