These Highlights Do Not Include All The Information Needed To Use Atropine Sulfate Injection Safely And Effectively. See Full Prescribing Information For Atropine Sulfate Injection.

These Highlights Do Not Include All The Information Needed To Use Atropine Sulfate Injection Safely And Effectively. See Full Prescribing Information For Atropine Sulfate Injection.
SPL v4
SPL
SPL Set ID a66eecf9-2d8b-4e2d-8a05-d718dcbc3542
Routes
INTRAVASCULAR INTRAVENOUS
Published
Effective Date 2025-10-08
Document Type 34391-3 HUMAN PRESCRIPTION DRUG LABEL

Drug Facts

Composition & Product

Active Ingredients
Atropine (0.4 mg)
Inactive Ingredients
Sodium Chloride Sodium Hydroxide Sulfuric Acid Water

Identifiers & Packaging

Marketing Status
ANDA Active Since 2025-11-07

Description

Atropine sulfate injection is indicated for temporary blockade of severe or life threatening muscarinic effects, e.g., as an antisialagogue, an antivagal agent, an antidote for organophosphorus or muscarinic mushroom poisoning, and to treat bradyasystolic cardiac arrest.

Indications and Usage

Atropine sulfate injection is indicated for temporary blockade of severe or life threatening muscarinic effects, e.g., as an antisialagogue, an antivagal agent, an antidote for organophosphorus or muscarinic mushroom poisoning, and to treat bradyasystolic cardiac arrest.

Dosage and Administration

For intravenous administration ( 2.1 ) Titrate according to heart rate, PR interval, blood pressure and symptoms ( 2.1 ) Adult dosage Antisialagogue or for antivagal effects: Initial single dose of 0.5 to 1 mg ( 2.2 ) Antidote for organophosphorus or muscarinic mushroom poisoning: Initial single dose of 2 to 3 mg, repeated every 20-30 minutes ( 2.2 ) Bradyasystolic cardiac arrest: 1 mg dose, repeated every 3-5 minutes if asystole persists ( 2.2 ) Patients with Coronary Artery Disease: Limit the total dose to 0.03 to 0.04 mg/kg ( 2.4 )

Warnings and Precautions

Tachycardia ( 5.1 ) Glaucoma ( 5.2 ) Pyloric obstruction ( 5.3 ) Worsening urinary retention ( 5.4 ) Viscid bronchial plugs ( 5.5 )

Contraindications

None.

Adverse Reactions

The following adverse reactions have been identified during post-approval use of atropine sulfate. Because these reactions are reported voluntarily from a population of uncertain size, it is not always possible to reliably estimate their frequency or establish a causal relationship to drug exposure. Most of the side effects of atropine are directly related to its antimuscarinic action. Dryness of the mouth, blurred vision, photophobia and tachycardia commonly occur. Anhidrosis can produce heat intolerance. Constipation and difficulty in micturition may occur in elderly patients. Occasional hypersensitivity reactions have been observed, especially skin rashes which in some instances progressed to exfoliation.

Drug Interactions

Mexiletine: Decreases rate of mexiletine absorption. ( 7.1 )

Storage and Handling

Atropine Sulfate Injection, USP 0.4 and 1 mg/mL are supplied in 1 mL, single-dose glass vials as follows: Table 2: How Supplied Concentration (mg/mL) Package Size NDC #   0.4 mg/mL  1 Vial 0641-6274-01 25 Vials 0641-6274-25 1 mg/mL  1 Vial 0641-6274-01 25 Vials 0641-6275-25 Store at 20°C to 25°C (68°F to 77°F); excursions permitted between 15°C and 30°C (59°F and 86°F). [See USP Controlled Room Temperature.] Manufactured By: Hikma Pharmaceuticals USA Inc. Berkeley Heights, NJ 07922 Revised July 2024 462-109-00

How Supplied

Atropine Sulfate Injection, USP 0.4 and 1 mg/mL are supplied in 1 mL, single-dose glass vials as follows: Table 2: How Supplied Concentration (mg/mL) Package Size NDC #   0.4 mg/mL  1 Vial 0641-6274-01 25 Vials 0641-6274-25 1 mg/mL  1 Vial 0641-6274-01 25 Vials 0641-6275-25 Store at 20°C to 25°C (68°F to 77°F); excursions permitted between 15°C and 30°C (59°F and 86°F). [See USP Controlled Room Temperature.] Manufactured By: Hikma Pharmaceuticals USA Inc. Berkeley Heights, NJ 07922 Revised July 2024 462-109-00


Medication Information

Warnings and Precautions

Tachycardia ( 5.1 ) Glaucoma ( 5.2 ) Pyloric obstruction ( 5.3 ) Worsening urinary retention ( 5.4 ) Viscid bronchial plugs ( 5.5 )

Indications and Usage

Atropine sulfate injection is indicated for temporary blockade of severe or life threatening muscarinic effects, e.g., as an antisialagogue, an antivagal agent, an antidote for organophosphorus or muscarinic mushroom poisoning, and to treat bradyasystolic cardiac arrest.

Dosage and Administration

For intravenous administration ( 2.1 ) Titrate according to heart rate, PR interval, blood pressure and symptoms ( 2.1 ) Adult dosage Antisialagogue or for antivagal effects: Initial single dose of 0.5 to 1 mg ( 2.2 ) Antidote for organophosphorus or muscarinic mushroom poisoning: Initial single dose of 2 to 3 mg, repeated every 20-30 minutes ( 2.2 ) Bradyasystolic cardiac arrest: 1 mg dose, repeated every 3-5 minutes if asystole persists ( 2.2 ) Patients with Coronary Artery Disease: Limit the total dose to 0.03 to 0.04 mg/kg ( 2.4 )

Contraindications

None.

Adverse Reactions

The following adverse reactions have been identified during post-approval use of atropine sulfate. Because these reactions are reported voluntarily from a population of uncertain size, it is not always possible to reliably estimate their frequency or establish a causal relationship to drug exposure. Most of the side effects of atropine are directly related to its antimuscarinic action. Dryness of the mouth, blurred vision, photophobia and tachycardia commonly occur. Anhidrosis can produce heat intolerance. Constipation and difficulty in micturition may occur in elderly patients. Occasional hypersensitivity reactions have been observed, especially skin rashes which in some instances progressed to exfoliation.

Drug Interactions

Mexiletine: Decreases rate of mexiletine absorption. ( 7.1 )

Storage and Handling

Atropine Sulfate Injection, USP 0.4 and 1 mg/mL are supplied in 1 mL, single-dose glass vials as follows: Table 2: How Supplied Concentration (mg/mL) Package Size NDC #   0.4 mg/mL  1 Vial 0641-6274-01 25 Vials 0641-6274-25 1 mg/mL  1 Vial 0641-6274-01 25 Vials 0641-6275-25 Store at 20°C to 25°C (68°F to 77°F); excursions permitted between 15°C and 30°C (59°F and 86°F). [See USP Controlled Room Temperature.] Manufactured By: Hikma Pharmaceuticals USA Inc. Berkeley Heights, NJ 07922 Revised July 2024 462-109-00

How Supplied

Atropine Sulfate Injection, USP 0.4 and 1 mg/mL are supplied in 1 mL, single-dose glass vials as follows: Table 2: How Supplied Concentration (mg/mL) Package Size NDC #   0.4 mg/mL  1 Vial 0641-6274-01 25 Vials 0641-6274-25 1 mg/mL  1 Vial 0641-6274-01 25 Vials 0641-6275-25 Store at 20°C to 25°C (68°F to 77°F); excursions permitted between 15°C and 30°C (59°F and 86°F). [See USP Controlled Room Temperature.] Manufactured By: Hikma Pharmaceuticals USA Inc. Berkeley Heights, NJ 07922 Revised July 2024 462-109-00

Description

Atropine sulfate injection is indicated for temporary blockade of severe or life threatening muscarinic effects, e.g., as an antisialagogue, an antivagal agent, an antidote for organophosphorus or muscarinic mushroom poisoning, and to treat bradyasystolic cardiac arrest.

10 Overdosage

Excessive dosing may cause palpitation, dilated pupils, difficulty in swallowing, hot dry skin, thirst, dizziness, restlessness, tremor, fatigue and ataxia. Toxic doses lead to restlessness and excitement, hallucinations, delirium and coma. Depression and circulatory collapse occur only with severe intoxication. In such cases, blood pressure declines and death due to respiratory failure may ensue following paralysis and coma.

The fatal adult dose of atropine is not known. In pediatric populations, 10 mg or less may be fatal.

In the event of toxic overdosage, a short acting barbiturate or diazepam may be given as needed to control marked excitement and convulsions. Large doses for sedation should be avoided because central depressant action may coincide with the depression occurring late in atropine poisoning. Central stimulants are not recommended.

Physostigmine, given as an atropine antidote by slow intravenous injection of 1 to 4 mg (0.5 to 1 mg in pediatric populations), rapidly abolishes delirium and coma caused by large doses of atropine. Since physostigmine is rapidly destroyed, the patient may again lapse into coma after one to two hours, and repeated doses may be required.

Artificial respiration with oxygen may be necessary. Ice bags and alcohol sponges help to reduce fever, especially in pediatric populations.

Atropine is not removed by dialysis.

8.1 Pregnancy

Risk Summary

There are risks to the mother and fetus associated with untreated severe or life-threatening muscarinic events (see Clinical Considerations). Available data from published observational studies on atropine use in pregnant women are insufficient to evaluate for a drug-associated risk of major birth defects, miscarriage, or adverse maternal or fetal outcomes (see Data). Animal reproduction studies have not been conducted with atropine.

Clinical Considerations

Disease-associated maternal and/or embryo/fetal risk

Severe or life-threatening muscarinic events such as acute organophosphate poisoning and symptomatic bradycardia are medical emergencies in pregnancy which can be fatal if left untreated. Life-sustaining therapy for the pregnant woman should not be withheld because of concerns regarding the effects of atropine on the fetus.

Data

Human Data

Atropine crosses the placenta [see Clinical Pharmacology (12.3)]. No adequate and well- controlled studies are available regarding use of atropine in pregnant women. In a cohort study of 401 pregnancies in the first trimester and 797 pregnancies in the second or third trimester, atropine use was not associated with an increased risk of congenital malformation. In a surveillance study, 381 newborns were exposed to atropine during the first trimester; 18 major birth defects were observed when 16 were expected. No specific pattern of major birth defects was identified. In another surveillance study of 50 pregnancies in the first trimester, atropine use was not associated with an increased risk of malformations. Methodological limitations of these observational studies including the inability to control for the dosage and timing of atropine exposure, underlying maternal disease, or concomitant maternal drug use, cannot definitively establish or exclude any drug associated risk during pregnancy.

8.2 Lactation

Risk Summary

Trace amounts of atropine have been reported in human milk after oral intake. There are no available data on atropine levels in human milk after intravenous injection, the effects on the breastfed infant, or the effects on milk production.

Clinical Considerations

Minimizing exposure

The elimination half-life of atropine is more than doubled in children less than 2 years of age [see Clinical Pharmacology (12.3)]. To minimize potential infant exposure to atropine sulfate injection, a woman may pump and discard her milk for 24 hours after use before resuming to breastfeed her infant.

11 Description

Atropine Sulfate Injection, USP is a sterile, nonpyrogenic isotonic solution of atropine sulfate monohydrate in water for injection with sodium chloride sufficient to render the solution isotonic. It is administered parenterally by intravenous injection.

Each milliliter (mL) contains 0.4 mg or 1 mg of atropine sulfate monohydrate equivalent to 0.332 mg or 0.83 mg of atropine, and sodium chloride, 9 mg. May contain sodium hydroxide and/or sulfuric acid for pH adjustment.

0.308 mOsmol/mL (calc.). pH 3.0 to 5.0.

The solution contains no bacteriostat, antimicrobial agent or added buffer (except for pH adjustment) and is intended for use only as a single-dose injection. When smaller doses are required the unused portion should be discarded.

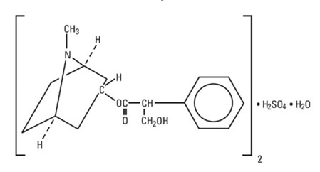
Atropine Sulfate, USP is chemically designated 1α H, 5α H-Tropan-3-α-ol (±)-tropate (ester), sulfate (2:1) (salt) monohydrate, (C17H23NO3)2 H2SO4 H2O, colorless crystals or white crystalline powder very soluble in water. It has the following structural formula:

Atropine, a naturally occurring belladonna alkaloid, is a racemic mixture of equal parts of d-and 1-hyocyamine, whose activity is due almost entirely to the levo isomer of the drug.

7.1 Mexiletine

Atropine sulfate injection decreased the rate of mexiletine absorption without altering the relative oral bioavailability; this delay in mexiletine absorption was reversed by the combination of atropine and intravenous metoclopramide during pretreatment for anesthesia.

5.1 Tachycardia

When the recurrent use of atropine is essential in patients with coronary artery disease, the total dose should be restricted to 2 to 3 mg (maximum 0.03 to 0.04 mg/kg) to avoid the detrimental effects of atropine-induced tachycardia on myocardial oxygen demand.

2.2 Adult Dosage

Table 1: Recommended Dosage

Use Dose (adults) Repeat
Antisialagogue or other antivagal 0.5 to 1 mg 1-2 hours
Organophosphorus or muscarinic mushroom poisoning 2 to 3 mg 20-30 minutes
Bradyasystolic cardiac arrest 1 mg 3-5 minutes; 3 mg maximum total dose
5.5 Viscid Plugs

Atropine may cause inspissation of bronchial secretions and formation of viscid plugs in patients with chronic lung disease.

8.4 Pediatric Use

Recommendations for use in pediatric patients are not based on clinical trials.

8.5 Geriatric Use

An evaluation of current literature revealed no clinical experience identifying differences in response between elderly and younger patients. In general, dose selection for an elderly patient should be cautious, usually starting at the low end of the dosing range, reflecting the greater frequency of decreased hepatic, renal, or cardiac function, and of concomitant disease or other drug therapy.

5.2 Acute Glaucoma

Atropine may precipitate acute glaucoma.

4 Contraindications

None.

6 Adverse Reactions

The following adverse reactions have been identified during post-approval use of atropine sulfate. Because these reactions are reported voluntarily from a population of uncertain size, it is not always possible to reliably estimate their frequency or establish a causal relationship to drug exposure.

Most of the side effects of atropine are directly related to its antimuscarinic action. Dryness of the mouth, blurred vision, photophobia and tachycardia commonly occur. Anhidrosis can produce heat intolerance. Constipation and difficulty in micturition may occur in elderly patients. Occasional hypersensitivity reactions have been observed, especially skin rashes which in some instances progressed to exfoliation.

7 Drug Interactions

Mexiletine: Decreases rate of mexiletine absorption. (7.1)

2.3 Pediatric Dosage

Dosing in pediatric populations has not been well studied. Usual initial dose is 0.01 to 0.03 mg/kg.

12.2 Pharmacodynamics

Atropine-induced parasympathetic inhibition may be preceded by a transient phase of stimulation, especially on the heart where small doses first slow the rate before characteristic tachycardia develops due to paralysis of vagal control. Atropine exerts a more potent and prolonged effect on heart, intestine and bronchial muscle than scopolamine, but its action on the iris, ciliary body and certain secretory glands is weaker than that of scopolamine. Unlike the latter, atropine in clinical doses does not depress the central nervous system but may stimulate the medulla and higher cerebral centers. Although mild vagal excitation occurs, the increased respiratory rate and (sometimes) increased depth of respiration produced by atropine are more probably the result of bronchiolar dilatation. Accordingly, atropine is an unreliable respiratory stimulant and large or repeated doses may depress respiration.

Adequate doses of atropine abolish various types of reflex vagal cardiac slowing or asystole. The drug also prevents or abolishes bradycardia or asystole produced by injection of choline esters, anticholinesterase agents or other parasympathomimetic drugs, and cardiac arrest produced by stimulation of the vagus. Atropine also may lessen the degree of partial heart block when vagal activity is an etiologic factor. In some patients with complete heart block, the idioventricular rate may be accelerated by atropine; in others, the rate is stabilized. Occasionally a large dose may cause atrioventricular (A-V) block and nodal rhythm.

Atropine sulfate injection in clinical doses counteracts the peripheral dilatation and abrupt decrease in blood pressure produced by choline esters. However, when given by itself, atropine does not exert a striking or uniform effect on blood vessels or blood pressure. Systemic doses slightly raise systolic and lower diastolic pressures and can produce significant postural hypotension. Such doses also slightly increase cardiac output and decrease central venous pressure. Occasionally, therapeutic doses dilate cutaneous blood vessels, particularly in the “blush” area (atropine flush), and may cause atropine “fever” due to suppression of sweat gland activity in infants and small children.

The effects of intravenous atropine on heart rate (maximum heart rate) and saliva flow (minimum flow) after intravenous administration (rapid, constant infusion over 3 min.) are delayed by 7 to 8 minutes after drug administration and both effects are non-linearly related to the amount of drug in the peripheral compartment. Changes in plasma atropine levels following intramuscular administration (0.5 to 4 mg doses) and heart rate are closely overlapped but the time course of the changes in atropine levels and behavioral impairment indicates that pharmacokinetics is not the primary rate-limiting mechanism for the central nervous system effect of atropine.

12.3 Pharmacokinetics

Atropine disappears rapidly from the blood following injection and is distributed throughout the body. Exercise, both prior to and immediately following intramuscular administration of atropine, significantly increases the absorption of atropine due to increased perfusion in the muscle and significantly decreases the clearance of atropine. The pharmacokinetics of atropine is nonlinear after intravenous administration of 0.5 to 4 mg. Atropine’s plasma protein binding is about 44% and saturable in the 2-20 µg/mL concentration range. Atropine readily crosses the placental barrier and enters the fetal circulation, but is not found in amniotic fluid. Much of the drug is destroyed by enzymatic hydrolysis, particularly in the liver; from 13 to 50% is excreted unchanged in the urine. Traces are found in various secretions, including milk. The major metabolites of atropine are noratropine, atropin-n-oxide, tropine, and tropic acid. The metabolism of atropine is inhibited by organophosphate pesticides.

Specific Populations

The elimination half-life of atropine is more than doubled in children under two years and the elderly (>65 years old) compared to other age groups. There is no gender effect on the pharmacokinetics and pharmacodynamics (heart rate changes) of atropine.

1 Indications and Usage

Atropine sulfate injection is indicated for temporary blockade of severe or life threatening muscarinic effects, e.g., as an antisialagogue, an antivagal agent, an antidote for organophosphorus or muscarinic mushroom poisoning, and to treat bradyasystolic cardiac arrest.

5.3 Pyloric Obstruction

Atropine may convert partial organic pyloric stenosis into complete obstruction.

12.1 Mechanism of Action

Atropine is an antimuscarinic agent since it antagonizes the muscarine-like actions of acetylcholine and other choline esters.

Atropine inhibits the muscarinic actions of acetylcholine on structures innervated by postganglionic cholinergic nerves, and on smooth muscles which respond to endogenous acetylcholine but are not so innervated. As with other antimuscarinic agents, the major action of atropine is a competitive or surmountable antagonism which can be overcome by increasing the concentration of acetylcholine at receptor sites of the effector organ (e.g., by using anticholinesterase agents which inhibit the enzymatic destruction of acetylcholine). The receptors antagonized by atropine are the peripheral structures that are stimulated or inhibited by muscarine (i.e., exocrine glands and smooth and cardiac muscle). Responses to postganglionic cholinergic nerve stimulation also may be inhibited by atropine, but this occurs less readily than with responses to injected (exogenous) choline esters.

2.1 General Administration

Parenteral drug products should be inspected visually for particulate matter and discoloration prior to administration, whenever solution and container permit. Do not administer unless solution is clear and seal is intact. Each vial is intended for single dose only. Discard unused portion.

For intravenous administration.

Titrate based on heart rate, PR interval, blood pressure and symptoms.

5 Warnings and Precautions
  • Tachycardia (5.1)
  • Glaucoma (5.2)
  • Pyloric obstruction (5.3)
  • Worsening urinary retention (5.4)
  • Viscid bronchial plugs (5.5)
2 Dosage and Administration
  • For intravenous administration (2.1)
  • Titrate according to heart rate, PR interval, blood pressure and symptoms (2.1)
  • Adult dosage
    • Antisialagogue or for antivagal effects: Initial single dose of 0.5 to 1 mg (2.2)
    • Antidote for organophosphorus or muscarinic mushroom poisoning: Initial single dose of 2 to 3 mg, repeated every 20-30 minutes (2.2)
    • Bradyasystolic cardiac arrest: 1 mg dose, repeated every 3-5 minutes if asystole persists (2.2)
  • Patients with Coronary Artery Disease: Limit the total dose to 0.03 to 0.04 mg/kg (2.4)
3 Dosage Forms and Strengths

Injection: supplied as a clear, colorless solution in a 1 mL glass vial in the following concentrations;

  • 0.4 mg/mL: containing 0.4 mg of atropine sulfate monohydrate equivalent to 0.332 mg of atropine.
  • 1 mg/mL: containing 1 mg of atropine sulfate monohydrate equivalent to 0.83 mg of atropine.
5.4 Complete Urinary Retention

Atropine may lead to complete urinary retention in patients with prostatic hypertrophy.

Principal Display Panel 1 Mg

NDC 0641-6275-01 Rx only

Atropine Sulfate Injection, USP

1 mg/mL

For Intravenous Use.

Discard unused portion.

1 mL Single-Dose Vial

Sterile

NDC 0641-6275-25 Rx only

Atropine Sulfate Injection, USP

1 mg/mL

For Intravenous Use.

Discard unused portion.

25 X 1 mL Single-Dose Vials

Sterile

Principal Display Panel 0.4 Mg

NDC 0641-6274-01 Rx only

Atropine Sulfate Injection, USP

0.4 mg/mL

For Intravenous Use.

Discard unused portion.

1 mL Single-Dose Vial

Sterile

NDC 0641-6274-25 Rx only

Atropine Sulfate Injection, USP

0.4 mg/mL

For Intravenous Use.

Discard unused portion.

25 X 1 mL Single-Dose Vials

Sterile

16 How Supplied/storage and Handling

Atropine Sulfate Injection, USP 0.4 and 1 mg/mL are supplied in 1 mL, single-dose glass vials as follows:

Table 2: How Supplied

Concentration (mg/mL) Package Size NDC #
 

0.4 mg/mL
 1 Vial 0641-6274-01
25 Vials 0641-6274-25


1 mg/mL
 1 Vial 0641-6274-01
25 Vials 0641-6275-25

Store at 20°C to 25°C (68°F to 77°F); excursions permitted between 15°C and 30°C (59°F and 86°F). [See USP Controlled Room Temperature.]

Manufactured By:

Hikma Pharmaceuticals USA Inc.

Berkeley Heights, NJ 07922

Revised July 2024

462-109-00

2.4 Dosing in Patients With Coronary Artery Disease

Limit the total dose of atropine sulfate to 0.03 to 0.04 mg/kg [see  Warnings  and  Precautions  (5.1) ].

13.1 Carcinogenesis, Mutagenesis, Impairment of Fertility

Studies have not been performed to evaluate the carcinogenic or mutagenic potential of atropine or its potential to affect fertility adversely.


Structured Label Content

10 Overdosage (10 OVERDOSAGE)

Excessive dosing may cause palpitation, dilated pupils, difficulty in swallowing, hot dry skin, thirst, dizziness, restlessness, tremor, fatigue and ataxia. Toxic doses lead to restlessness and excitement, hallucinations, delirium and coma. Depression and circulatory collapse occur only with severe intoxication. In such cases, blood pressure declines and death due to respiratory failure may ensue following paralysis and coma.

The fatal adult dose of atropine is not known. In pediatric populations, 10 mg or less may be fatal.

In the event of toxic overdosage, a short acting barbiturate or diazepam may be given as needed to control marked excitement and convulsions. Large doses for sedation should be avoided because central depressant action may coincide with the depression occurring late in atropine poisoning. Central stimulants are not recommended.

Physostigmine, given as an atropine antidote by slow intravenous injection of 1 to 4 mg (0.5 to 1 mg in pediatric populations), rapidly abolishes delirium and coma caused by large doses of atropine. Since physostigmine is rapidly destroyed, the patient may again lapse into coma after one to two hours, and repeated doses may be required.

Artificial respiration with oxygen may be necessary. Ice bags and alcohol sponges help to reduce fever, especially in pediatric populations.

Atropine is not removed by dialysis.

8.1 Pregnancy

Risk Summary

There are risks to the mother and fetus associated with untreated severe or life-threatening muscarinic events (see Clinical Considerations). Available data from published observational studies on atropine use in pregnant women are insufficient to evaluate for a drug-associated risk of major birth defects, miscarriage, or adverse maternal or fetal outcomes (see Data). Animal reproduction studies have not been conducted with atropine.

Clinical Considerations

Disease-associated maternal and/or embryo/fetal risk

Severe or life-threatening muscarinic events such as acute organophosphate poisoning and symptomatic bradycardia are medical emergencies in pregnancy which can be fatal if left untreated. Life-sustaining therapy for the pregnant woman should not be withheld because of concerns regarding the effects of atropine on the fetus.

Data

Human Data

Atropine crosses the placenta [see Clinical Pharmacology (12.3)]. No adequate and well- controlled studies are available regarding use of atropine in pregnant women. In a cohort study of 401 pregnancies in the first trimester and 797 pregnancies in the second or third trimester, atropine use was not associated with an increased risk of congenital malformation. In a surveillance study, 381 newborns were exposed to atropine during the first trimester; 18 major birth defects were observed when 16 were expected. No specific pattern of major birth defects was identified. In another surveillance study of 50 pregnancies in the first trimester, atropine use was not associated with an increased risk of malformations. Methodological limitations of these observational studies including the inability to control for the dosage and timing of atropine exposure, underlying maternal disease, or concomitant maternal drug use, cannot definitively establish or exclude any drug associated risk during pregnancy.

8.2 Lactation

Risk Summary

Trace amounts of atropine have been reported in human milk after oral intake. There are no available data on atropine levels in human milk after intravenous injection, the effects on the breastfed infant, or the effects on milk production.

Clinical Considerations

Minimizing exposure

The elimination half-life of atropine is more than doubled in children less than 2 years of age [see Clinical Pharmacology (12.3)]. To minimize potential infant exposure to atropine sulfate injection, a woman may pump and discard her milk for 24 hours after use before resuming to breastfeed her infant.

11 Description (11 DESCRIPTION)

Atropine Sulfate Injection, USP is a sterile, nonpyrogenic isotonic solution of atropine sulfate monohydrate in water for injection with sodium chloride sufficient to render the solution isotonic. It is administered parenterally by intravenous injection.

Each milliliter (mL) contains 0.4 mg or 1 mg of atropine sulfate monohydrate equivalent to 0.332 mg or 0.83 mg of atropine, and sodium chloride, 9 mg. May contain sodium hydroxide and/or sulfuric acid for pH adjustment.

0.308 mOsmol/mL (calc.). pH 3.0 to 5.0.

The solution contains no bacteriostat, antimicrobial agent or added buffer (except for pH adjustment) and is intended for use only as a single-dose injection. When smaller doses are required the unused portion should be discarded.

Atropine Sulfate, USP is chemically designated 1α H, 5α H-Tropan-3-α-ol (±)-tropate (ester), sulfate (2:1) (salt) monohydrate, (C17H23NO3)2 H2SO4 H2O, colorless crystals or white crystalline powder very soluble in water. It has the following structural formula:

Atropine, a naturally occurring belladonna alkaloid, is a racemic mixture of equal parts of d-and 1-hyocyamine, whose activity is due almost entirely to the levo isomer of the drug.

7.1 Mexiletine

Atropine sulfate injection decreased the rate of mexiletine absorption without altering the relative oral bioavailability; this delay in mexiletine absorption was reversed by the combination of atropine and intravenous metoclopramide during pretreatment for anesthesia.

5.1 Tachycardia

When the recurrent use of atropine is essential in patients with coronary artery disease, the total dose should be restricted to 2 to 3 mg (maximum 0.03 to 0.04 mg/kg) to avoid the detrimental effects of atropine-induced tachycardia on myocardial oxygen demand.

2.2 Adult Dosage

Table 1: Recommended Dosage

Use Dose (adults) Repeat
Antisialagogue or other antivagal 0.5 to 1 mg 1-2 hours
Organophosphorus or muscarinic mushroom poisoning 2 to 3 mg 20-30 minutes
Bradyasystolic cardiac arrest 1 mg 3-5 minutes; 3 mg maximum total dose
5.5 Viscid Plugs

Atropine may cause inspissation of bronchial secretions and formation of viscid plugs in patients with chronic lung disease.

8.4 Pediatric Use

Recommendations for use in pediatric patients are not based on clinical trials.

8.5 Geriatric Use

An evaluation of current literature revealed no clinical experience identifying differences in response between elderly and younger patients. In general, dose selection for an elderly patient should be cautious, usually starting at the low end of the dosing range, reflecting the greater frequency of decreased hepatic, renal, or cardiac function, and of concomitant disease or other drug therapy.

5.2 Acute Glaucoma

Atropine may precipitate acute glaucoma.

4 Contraindications (4 CONTRAINDICATIONS)

None.

6 Adverse Reactions (6 ADVERSE REACTIONS)

The following adverse reactions have been identified during post-approval use of atropine sulfate. Because these reactions are reported voluntarily from a population of uncertain size, it is not always possible to reliably estimate their frequency or establish a causal relationship to drug exposure.

Most of the side effects of atropine are directly related to its antimuscarinic action. Dryness of the mouth, blurred vision, photophobia and tachycardia commonly occur. Anhidrosis can produce heat intolerance. Constipation and difficulty in micturition may occur in elderly patients. Occasional hypersensitivity reactions have been observed, especially skin rashes which in some instances progressed to exfoliation.

7 Drug Interactions (7 DRUG INTERACTIONS)

Mexiletine: Decreases rate of mexiletine absorption. (7.1)

2.3 Pediatric Dosage

Dosing in pediatric populations has not been well studied. Usual initial dose is 0.01 to 0.03 mg/kg.

12.2 Pharmacodynamics

Atropine-induced parasympathetic inhibition may be preceded by a transient phase of stimulation, especially on the heart where small doses first slow the rate before characteristic tachycardia develops due to paralysis of vagal control. Atropine exerts a more potent and prolonged effect on heart, intestine and bronchial muscle than scopolamine, but its action on the iris, ciliary body and certain secretory glands is weaker than that of scopolamine. Unlike the latter, atropine in clinical doses does not depress the central nervous system but may stimulate the medulla and higher cerebral centers. Although mild vagal excitation occurs, the increased respiratory rate and (sometimes) increased depth of respiration produced by atropine are more probably the result of bronchiolar dilatation. Accordingly, atropine is an unreliable respiratory stimulant and large or repeated doses may depress respiration.

Adequate doses of atropine abolish various types of reflex vagal cardiac slowing or asystole. The drug also prevents or abolishes bradycardia or asystole produced by injection of choline esters, anticholinesterase agents or other parasympathomimetic drugs, and cardiac arrest produced by stimulation of the vagus. Atropine also may lessen the degree of partial heart block when vagal activity is an etiologic factor. In some patients with complete heart block, the idioventricular rate may be accelerated by atropine; in others, the rate is stabilized. Occasionally a large dose may cause atrioventricular (A-V) block and nodal rhythm.

Atropine sulfate injection in clinical doses counteracts the peripheral dilatation and abrupt decrease in blood pressure produced by choline esters. However, when given by itself, atropine does not exert a striking or uniform effect on blood vessels or blood pressure. Systemic doses slightly raise systolic and lower diastolic pressures and can produce significant postural hypotension. Such doses also slightly increase cardiac output and decrease central venous pressure. Occasionally, therapeutic doses dilate cutaneous blood vessels, particularly in the “blush” area (atropine flush), and may cause atropine “fever” due to suppression of sweat gland activity in infants and small children.

The effects of intravenous atropine on heart rate (maximum heart rate) and saliva flow (minimum flow) after intravenous administration (rapid, constant infusion over 3 min.) are delayed by 7 to 8 minutes after drug administration and both effects are non-linearly related to the amount of drug in the peripheral compartment. Changes in plasma atropine levels following intramuscular administration (0.5 to 4 mg doses) and heart rate are closely overlapped but the time course of the changes in atropine levels and behavioral impairment indicates that pharmacokinetics is not the primary rate-limiting mechanism for the central nervous system effect of atropine.

12.3 Pharmacokinetics

Atropine disappears rapidly from the blood following injection and is distributed throughout the body. Exercise, both prior to and immediately following intramuscular administration of atropine, significantly increases the absorption of atropine due to increased perfusion in the muscle and significantly decreases the clearance of atropine. The pharmacokinetics of atropine is nonlinear after intravenous administration of 0.5 to 4 mg. Atropine’s plasma protein binding is about 44% and saturable in the 2-20 µg/mL concentration range. Atropine readily crosses the placental barrier and enters the fetal circulation, but is not found in amniotic fluid. Much of the drug is destroyed by enzymatic hydrolysis, particularly in the liver; from 13 to 50% is excreted unchanged in the urine. Traces are found in various secretions, including milk. The major metabolites of atropine are noratropine, atropin-n-oxide, tropine, and tropic acid. The metabolism of atropine is inhibited by organophosphate pesticides.

Specific Populations

The elimination half-life of atropine is more than doubled in children under two years and the elderly (>65 years old) compared to other age groups. There is no gender effect on the pharmacokinetics and pharmacodynamics (heart rate changes) of atropine.

1 Indications and Usage (1 INDICATIONS AND USAGE)

Atropine sulfate injection is indicated for temporary blockade of severe or life threatening muscarinic effects, e.g., as an antisialagogue, an antivagal agent, an antidote for organophosphorus or muscarinic mushroom poisoning, and to treat bradyasystolic cardiac arrest.

5.3 Pyloric Obstruction

Atropine may convert partial organic pyloric stenosis into complete obstruction.

12.1 Mechanism of Action

Atropine is an antimuscarinic agent since it antagonizes the muscarine-like actions of acetylcholine and other choline esters.

Atropine inhibits the muscarinic actions of acetylcholine on structures innervated by postganglionic cholinergic nerves, and on smooth muscles which respond to endogenous acetylcholine but are not so innervated. As with other antimuscarinic agents, the major action of atropine is a competitive or surmountable antagonism which can be overcome by increasing the concentration of acetylcholine at receptor sites of the effector organ (e.g., by using anticholinesterase agents which inhibit the enzymatic destruction of acetylcholine). The receptors antagonized by atropine are the peripheral structures that are stimulated or inhibited by muscarine (i.e., exocrine glands and smooth and cardiac muscle). Responses to postganglionic cholinergic nerve stimulation also may be inhibited by atropine, but this occurs less readily than with responses to injected (exogenous) choline esters.

2.1 General Administration

Parenteral drug products should be inspected visually for particulate matter and discoloration prior to administration, whenever solution and container permit. Do not administer unless solution is clear and seal is intact. Each vial is intended for single dose only. Discard unused portion.

For intravenous administration.

Titrate based on heart rate, PR interval, blood pressure and symptoms.

5 Warnings and Precautions (5 WARNINGS AND PRECAUTIONS)
  • Tachycardia (5.1)
  • Glaucoma (5.2)
  • Pyloric obstruction (5.3)
  • Worsening urinary retention (5.4)
  • Viscid bronchial plugs (5.5)
2 Dosage and Administration (2 DOSAGE AND ADMINISTRATION)
  • For intravenous administration (2.1)
  • Titrate according to heart rate, PR interval, blood pressure and symptoms (2.1)
  • Adult dosage
    • Antisialagogue or for antivagal effects: Initial single dose of 0.5 to 1 mg (2.2)
    • Antidote for organophosphorus or muscarinic mushroom poisoning: Initial single dose of 2 to 3 mg, repeated every 20-30 minutes (2.2)
    • Bradyasystolic cardiac arrest: 1 mg dose, repeated every 3-5 minutes if asystole persists (2.2)
  • Patients with Coronary Artery Disease: Limit the total dose to 0.03 to 0.04 mg/kg (2.4)
3 Dosage Forms and Strengths (3 DOSAGE FORMS AND STRENGTHS)

Injection: supplied as a clear, colorless solution in a 1 mL glass vial in the following concentrations;

  • 0.4 mg/mL: containing 0.4 mg of atropine sulfate monohydrate equivalent to 0.332 mg of atropine.
  • 1 mg/mL: containing 1 mg of atropine sulfate monohydrate equivalent to 0.83 mg of atropine.
5.4 Complete Urinary Retention

Atropine may lead to complete urinary retention in patients with prostatic hypertrophy.

Principal Display Panel 1 Mg (PRINCIPAL DISPLAY PANEL - 1 mg)

NDC 0641-6275-01 Rx only

Atropine Sulfate Injection, USP

1 mg/mL

For Intravenous Use.

Discard unused portion.

1 mL Single-Dose Vial

Sterile

NDC 0641-6275-25 Rx only

Atropine Sulfate Injection, USP

1 mg/mL

For Intravenous Use.

Discard unused portion.

25 X 1 mL Single-Dose Vials

Sterile

Principal Display Panel 0.4 Mg (PRINCIPAL DISPLAY PANEL - 0.4 mg)

NDC 0641-6274-01 Rx only

Atropine Sulfate Injection, USP

0.4 mg/mL

For Intravenous Use.

Discard unused portion.

1 mL Single-Dose Vial

Sterile

NDC 0641-6274-25 Rx only

Atropine Sulfate Injection, USP

0.4 mg/mL

For Intravenous Use.

Discard unused portion.

25 X 1 mL Single-Dose Vials

Sterile

16 How Supplied/storage and Handling (16 HOW SUPPLIED/STORAGE AND HANDLING)

Atropine Sulfate Injection, USP 0.4 and 1 mg/mL are supplied in 1 mL, single-dose glass vials as follows:

Table 2: How Supplied

Concentration (mg/mL) Package Size NDC #
 

0.4 mg/mL
 1 Vial 0641-6274-01
25 Vials 0641-6274-25


1 mg/mL
 1 Vial 0641-6274-01
25 Vials 0641-6275-25

Store at 20°C to 25°C (68°F to 77°F); excursions permitted between 15°C and 30°C (59°F and 86°F). [See USP Controlled Room Temperature.]

Manufactured By:

Hikma Pharmaceuticals USA Inc.

Berkeley Heights, NJ 07922

Revised July 2024

462-109-00

2.4 Dosing in Patients With Coronary Artery Disease (2.4 Dosing in Patients with Coronary Artery Disease)

Limit the total dose of atropine sulfate to 0.03 to 0.04 mg/kg [see  Warnings  and  Precautions  (5.1) ].

13.1 Carcinogenesis, Mutagenesis, Impairment of Fertility

Studies have not been performed to evaluate the carcinogenic or mutagenic potential of atropine or its potential to affect fertility adversely.


Advanced Ingredient Data


Raw Label Data

All Sections (JSON)