These Highlights Do Not Include All The Information Needed To Use Ephedrine Sulfate Injection Safely And Effectively. See Full Prescribing Information For Ephedrine Sulfate Injection.

These Highlights Do Not Include All The Information Needed To Use Ephedrine Sulfate Injection Safely And Effectively. See Full Prescribing Information For Ephedrine Sulfate Injection.
SPL v4
SPL
SPL Set ID a5862de7-4118-4bda-8075-0b2524e04585
Route
INTRAVENOUS
Published
Effective Date 2024-05-01
Document Type 34391-3 Human Prescription Drug Label

Drug Facts

Composition & Product

Active Ingredients
Ephedrine (50 mg)
Inactive Ingredients
Water Acetic Acid Sodium Hydroxide

Identifiers & Packaging

Marketing Status
ANDA Active Since 2021-06-14

Description

Ephedrine sulfate injection is indicated for the treatment of clinically important hypotension occurring in the setting of anesthesia.

Indications and Usage

Ephedrine sulfate injection is indicated for the treatment of clinically important hypotension occurring in the setting of anesthesia.

Dosage and Administration

Ephedrine sulfate injection, 50 mg/mL must be diluted before administration as an intravenous bolus to achieve the desired concentration. Dilute with normal saline or 5% dextrose in water. Inspect parenteral drug products visually for particulate matter and discoloration prior to administration, whenever solution and container permit.

Warnings and Precautions

Pressor Effects with Concomitant Use with Oxytocic Drugs : Pressor effect of sympathomimetic pressor amines is potentiated ( 5.1 ) Tachyphylaxis and Tolerance : Repeated administration of ephedrine may cause tachyphylaxis ( 5.2 )

Contraindications

None

Adverse Reactions

The following adverse reactions associated with the use of ephedrine sulfate were identified in the literature. Because these reactions are reported voluntarily from a population of uncertain size, it is not always possible to estimate their frequency reliably or to establish a causal relationship to drug exposure. Gastrointestinal disorders: Nausea, vomiting Cardiac disorders: Tachycardia, palpitations (thumping heart), reactive hypertension, bradycardia, ventricular ectopics, R-R variability Nervous system disorders: Dizziness Psychiatric disorders: Restlessness

Drug Interactions

Interactions that Augment the Pressor Effect Oxytocin and oxytocic drugs Clinical Impact: Serious postpartum hypertension has been described in patients who received both a vasopressor (i.e., methoxamine, phenylephrine, ephedrine) and an oxytocic (i.e., methylergonovine, ergonovine). Some of these patients experienced a stroke. Intervention: Carefully monitor the blood pressure of individuals who have received both ephedrine and an oxytocic. Clonidine, propofol, monoamine oxidase inhibitors (MAOIs), atropine Clinical Impact: These drugs augment the pressor effect of ephedrine. Intervention: Carefully monitor the blood pressure of individuals who have received both ephedrine and any of these drugs. Interactions that Antagonize the Pressor Effect Clinical Impact: These drugs antagonize the pressor effect of ephedrine. Intervention: Carefully monitor the blood pressure of individuals who have received both ephedrine and any of these drugs. Examples: α-adrenergic antagonists, β-adrenergic receptor antagonists, reserpine, quinidine, mephentermine Other Drug Interactions Guanethidine Clinical Impact: Ephedrine may inhibit the neuron blockage produced by guanethidine, resulting in loss of antihypertensive effectiveness. Intervention: Clinician should monitor patient for blood pressor response and adjust the dosage or choice of pressor accordingly. Rocuronium Clinical Impact: Ephedrine may reduce the onset time of neuromuscular blockade when used for intubation with rocuronium if administered simultaneously with anesthetic induction. Intervention: Be aware of this potential interaction. No treatment or other interventions are needed. Epidural anesthesia Clinical Impact: Ephedrine may decrease the efficacy of epidural blockade by hastening the regression of sensory analgesia. Intervention: Monitor and treat the patient according to clinical practice. Theophylline Clinical Impact: Concomitant use of ephedrine may increase the frequency of nausea, nervousness, and insomnia. Intervention: Monitor patient for worsening symptoms and manage symptoms according to clinical practice. Cardiac glycosides Clinical Impact: Giving ephedrine with a cardiac glycoside, such as digitalis, may increase the possibility of arrhythmias. Intervention: Carefully monitor patients on cardiac glycosides who are also administered ephedrine.

Storage and Handling

Ephedrine sulfate injection, USP is a clear, colorless, sterile solution for intravenous injection supplied as follows: NDC Strength How Supplied 55150-373-25 50 mg/mL of ephedrine sulfate equivalent to 38 mg/mL of ephedrine base 1 mL clear glass vial; for single-dose (supplied in packages of 25) The vial stopper is not made with natural rubber latex. Store ephedrine sulfate injection, USP at 20° to 25°C (68° to 77°F); excursions permitted to 15°C to 30°C (59°F to 86°F) [see USP Controlled Room Temperature]. Store in carton until time of use. For single-dose only. Discard unused portion. Distributed by: Eugia US LLC 279 Princeton-Hightstown Rd. E. Windsor, NJ 08520 Manufactured by: Eugia Pharma Specialities Limited Hyderabad - 500032 India

How Supplied

Ephedrine sulfate injection, USP is a clear, colorless, sterile solution for intravenous injection supplied as follows: NDC Strength How Supplied 55150-373-25 50 mg/mL of ephedrine sulfate equivalent to 38 mg/mL of ephedrine base 1 mL clear glass vial; for single-dose (supplied in packages of 25) The vial stopper is not made with natural rubber latex. Store ephedrine sulfate injection, USP at 20° to 25°C (68° to 77°F); excursions permitted to 15°C to 30°C (59°F to 86°F) [see USP Controlled Room Temperature]. Store in carton until time of use. For single-dose only. Discard unused portion. Distributed by: Eugia US LLC 279 Princeton-Hightstown Rd. E. Windsor, NJ 08520 Manufactured by: Eugia Pharma Specialities Limited Hyderabad - 500032 India


Medication Information

Warnings and Precautions

Pressor Effects with Concomitant Use with Oxytocic Drugs : Pressor effect of sympathomimetic pressor amines is potentiated ( 5.1 ) Tachyphylaxis and Tolerance : Repeated administration of ephedrine may cause tachyphylaxis ( 5.2 )

Indications and Usage

Ephedrine sulfate injection is indicated for the treatment of clinically important hypotension occurring in the setting of anesthesia.

Dosage and Administration

Ephedrine sulfate injection, 50 mg/mL must be diluted before administration as an intravenous bolus to achieve the desired concentration. Dilute with normal saline or 5% dextrose in water. Inspect parenteral drug products visually for particulate matter and discoloration prior to administration, whenever solution and container permit.

Contraindications

None

Adverse Reactions

The following adverse reactions associated with the use of ephedrine sulfate were identified in the literature. Because these reactions are reported voluntarily from a population of uncertain size, it is not always possible to estimate their frequency reliably or to establish a causal relationship to drug exposure. Gastrointestinal disorders: Nausea, vomiting Cardiac disorders: Tachycardia, palpitations (thumping heart), reactive hypertension, bradycardia, ventricular ectopics, R-R variability Nervous system disorders: Dizziness Psychiatric disorders: Restlessness

Drug Interactions

Interactions that Augment the Pressor Effect Oxytocin and oxytocic drugs Clinical Impact: Serious postpartum hypertension has been described in patients who received both a vasopressor (i.e., methoxamine, phenylephrine, ephedrine) and an oxytocic (i.e., methylergonovine, ergonovine). Some of these patients experienced a stroke. Intervention: Carefully monitor the blood pressure of individuals who have received both ephedrine and an oxytocic. Clonidine, propofol, monoamine oxidase inhibitors (MAOIs), atropine Clinical Impact: These drugs augment the pressor effect of ephedrine. Intervention: Carefully monitor the blood pressure of individuals who have received both ephedrine and any of these drugs. Interactions that Antagonize the Pressor Effect Clinical Impact: These drugs antagonize the pressor effect of ephedrine. Intervention: Carefully monitor the blood pressure of individuals who have received both ephedrine and any of these drugs. Examples: α-adrenergic antagonists, β-adrenergic receptor antagonists, reserpine, quinidine, mephentermine Other Drug Interactions Guanethidine Clinical Impact: Ephedrine may inhibit the neuron blockage produced by guanethidine, resulting in loss of antihypertensive effectiveness. Intervention: Clinician should monitor patient for blood pressor response and adjust the dosage or choice of pressor accordingly. Rocuronium Clinical Impact: Ephedrine may reduce the onset time of neuromuscular blockade when used for intubation with rocuronium if administered simultaneously with anesthetic induction. Intervention: Be aware of this potential interaction. No treatment or other interventions are needed. Epidural anesthesia Clinical Impact: Ephedrine may decrease the efficacy of epidural blockade by hastening the regression of sensory analgesia. Intervention: Monitor and treat the patient according to clinical practice. Theophylline Clinical Impact: Concomitant use of ephedrine may increase the frequency of nausea, nervousness, and insomnia. Intervention: Monitor patient for worsening symptoms and manage symptoms according to clinical practice. Cardiac glycosides Clinical Impact: Giving ephedrine with a cardiac glycoside, such as digitalis, may increase the possibility of arrhythmias. Intervention: Carefully monitor patients on cardiac glycosides who are also administered ephedrine.

Storage and Handling

Ephedrine sulfate injection, USP is a clear, colorless, sterile solution for intravenous injection supplied as follows: NDC Strength How Supplied 55150-373-25 50 mg/mL of ephedrine sulfate equivalent to 38 mg/mL of ephedrine base 1 mL clear glass vial; for single-dose (supplied in packages of 25) The vial stopper is not made with natural rubber latex. Store ephedrine sulfate injection, USP at 20° to 25°C (68° to 77°F); excursions permitted to 15°C to 30°C (59°F to 86°F) [see USP Controlled Room Temperature]. Store in carton until time of use. For single-dose only. Discard unused portion. Distributed by: Eugia US LLC 279 Princeton-Hightstown Rd. E. Windsor, NJ 08520 Manufactured by: Eugia Pharma Specialities Limited Hyderabad - 500032 India

How Supplied

Ephedrine sulfate injection, USP is a clear, colorless, sterile solution for intravenous injection supplied as follows: NDC Strength How Supplied 55150-373-25 50 mg/mL of ephedrine sulfate equivalent to 38 mg/mL of ephedrine base 1 mL clear glass vial; for single-dose (supplied in packages of 25) The vial stopper is not made with natural rubber latex. Store ephedrine sulfate injection, USP at 20° to 25°C (68° to 77°F); excursions permitted to 15°C to 30°C (59°F to 86°F) [see USP Controlled Room Temperature]. Store in carton until time of use. For single-dose only. Discard unused portion. Distributed by: Eugia US LLC 279 Princeton-Hightstown Rd. E. Windsor, NJ 08520 Manufactured by: Eugia Pharma Specialities Limited Hyderabad - 500032 India

Description

Ephedrine sulfate injection is indicated for the treatment of clinically important hypotension occurring in the setting of anesthesia.

10 Overdosage

Overdose of ephedrine can cause a rapid rise in blood pressure. In the case of an overdose, careful monitoring of blood pressure is recommended. If blood pressure continues to rise to an unacceptable level, parenteral antihypertensive agents can be administered at the discretion of the clinician.

8.1 Pregnancy

Risk Summary

Available data from randomized studies, case series, and reports of ephedrine sulfate use in pregnant women have not identified a drug-associated risk of major birth defects, miscarriage, or adverse maternal or fetal outcomes. However, there are clinical considerations due to underlying conditions (see Clinical Considerations). In animal reproduction studies, decreased fetal survival and fetal body weights were observed in the presence of maternal toxicity after normotensive pregnant rats were administered 60 mg/kg intravenous ephedrine sulfate (12 times the maximum recommended human dose (MRHD) of 50 mg/day). No malformations or embryofetal adverse effects were observed when pregnant rats or rabbits were treated with intravenous bolus doses of ephedrine sulfate during organogenesis at doses 1.9 and 7.7 times the MRHD, respectively [see data].

The estimated background risk of major birth defects and miscarriage for the indicated population are unknown. All pregnancies have a background risk of birth defect, loss, or other adverse outcomes. In the U.S. general population, the estimated background risk of major birth defects and miscarriage in clinically recognized pregnancies is 2 to 4% and 15 to 20%, respectively.

8.2 Lactation

Risk Summary



A single published case report indicates that ephedrine is present in human milk. However, no information is available on the effects of the drug on the breastfed infant or the effects of the drug on milk production. The developmental and health benefits of breastfeeding should be considered along with the mother's clinical need for ephedrine sulfate injection and any potential adverse effects on the breastfed child from ephedrine sulfate injection or from the underlying maternal condition.

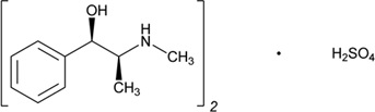
11 Description

Ephedrine is an alpha- and beta-adrenergic agonist and a norepinephrine-releasing agent. Ephedrine sulfate injection, USP is a clear, colorless, sterile solution for intravenous injection. The chemical name of ephedrine sulfate is benzenemethanol, α-[1-(methylamino)ethyl]-, [R-(R*,S*)]-, sulfate (2:1) (salt), and the molecular weight is 428.5 g/mol. Its structural formula is depicted below:



Ephedrine sulfate, USP is freely soluble in water and sparingly soluble in alcohol.



Each mL of the 50 mg/mL strength contains ephedrine sulfate USP, 50 mg (equivalent to 38 mg ephedrine base) in water for injection. The pH is adjusted with sodium hydroxide and/or glacial acetic acid if necessary. The pH range is 4.5 to 7.0. The 50 mg/mL vial must be diluted before intravenous administration.

8.4 Pediatric Use

The safety and effectiveness of ephedrine sulfate in pediatric patients have not been established.

Animal Toxicity Data

In a study in which juvenile rats were administered intravenous bolus doses of 2, 10, or 60 mg/kg ephedrine sulfate daily from Postnatal Day 35 to 56, an increased incidence of mortality was noted at the high dose of 60 mg/kg. The no-adverse-effect level was 10 mg/kg (approximately 1.9 times a maximum daily dose of 50 mg in a 60 kg person based on body surface area).



8.5 Geriatric Use

Clinical studies of ephedrine did not include sufficient numbers of subjects aged 65 and over to determine whether they respond differently from younger subjects. Other reported clinical experience has not identified differences in responses between the elderly and younger patients. In general, dose selection for an elderly patient should be cautious, usually starting at the low end of the dosing range, reflecting the greater frequency of decreased hepatic, renal, or cardiac function, and of concomitant disease or other drug therapy. This drug is known to be substantially excreted by the kidney, and the risk of adverse reactions to this drug may be greater in patients with impaired renal function. Because elderly patients are more likely to have decreased renal function, care should be taken in dose selection, and it may be useful to monitor renal function.

14 Clinical Studies

The evidence for the efficacy of ephedrine injection is derived from the published literature. Increases in blood pressure following administration of ephedrine were observed in 14 studies, including 9 where ephedrine was used in pregnant women undergoing neuraxial anesthesia during Cesarean delivery, 1 study in non-obstetric surgery under neuraxial anesthesia, and 4 studies in patients undergoing surgery under general anesthesia. Ephedrine has been shown to raise systolic and mean blood pressure when administered as a bolus dose following the development of hypotension during anesthesia.

4 Contraindications

None

6 Adverse Reactions

The following adverse reactions associated with the use of ephedrine sulfate were identified in the literature. Because these reactions are reported voluntarily from a population of uncertain size, it is not always possible to estimate their frequency reliably or to establish a causal relationship to drug exposure.



Gastrointestinal disorders:
Nausea, vomiting



Cardiac disorders:
Tachycardia, palpitations (thumping heart), reactive hypertension, bradycardia, ventricular ectopics, R-R variability



Nervous system disorders:
Dizziness



Psychiatric disorders:
Restlessness

7 Drug Interactions


Interactions that Augment the Pressor Effect

Oxytocin and oxytocic drugs

Clinical Impact:

Serious postpartum hypertension has been described in patients who received both a vasopressor (i.e., methoxamine, phenylephrine, ephedrine) and an oxytocic (i.e., methylergonovine, ergonovine). Some of these patients experienced a stroke.

Intervention:

Carefully monitor the blood pressure of individuals who have received both ephedrine and an oxytocic.

Clonidine, propofol, monoamine oxidase inhibitors (MAOIs), atropine

Clinical Impact:

These drugs augment the pressor effect of ephedrine.

Intervention:

Carefully monitor the blood pressure of individuals who have received both ephedrine and any of these drugs.

Interactions that Antagonize the Pressor Effect

Clinical Impact:

These drugs antagonize the pressor effect of ephedrine.

Intervention:

Carefully monitor the blood pressure of individuals who have received both ephedrine and any of these drugs.

Examples:

α-adrenergic antagonists, β-adrenergic receptor antagonists, reserpine, quinidine, mephentermine



Other Drug Interactions
Guanethidine

Clinical Impact:

Ephedrine may inhibit the neuron blockage produced by guanethidine, resulting in loss of antihypertensive effectiveness.

Intervention:

Clinician should monitor patient for blood pressor response and adjust the dosage or choice of pressor accordingly.

Rocuronium

Clinical Impact:

Ephedrine may reduce the onset time of neuromuscular blockade when used for intubation with rocuronium if administered simultaneously with anesthetic induction.

Intervention:

Be aware of this potential interaction. No treatment or other interventions are needed.

Epidural anesthesia

Clinical Impact:

Ephedrine may decrease the efficacy of epidural blockade by hastening the regression of sensory analgesia.

Intervention:

Monitor and treat the patient according to clinical practice.

Theophylline

Clinical Impact:

Concomitant use of ephedrine may increase the frequency of nausea, nervousness, and insomnia.

Intervention:

Monitor patient for worsening symptoms and manage symptoms according to clinical practice.

Cardiac glycosides

Clinical Impact:

Giving ephedrine with a cardiac glycoside, such as digitalis, may increase the possibility of arrhythmias.

Intervention:

Carefully monitor patients on cardiac glycosides who are also administered ephedrine.

8.6 Renal Impairment

Ephedrine and its metabolite are excreted in urine. In patients with renal impairment, excretion of ephedrine is likely to be affected with a corresponding increase in elimination half-life, which will lead to slow elimination of ephedrine and consequently prolonged pharmacological effect and potentially adverse reactions. Monitor patients with renal impairment carefully after the initial bolus dose for adverse events.

12.2 Pharmacodynamics

Ephedrine stimulates heart rate and cardiac output and variably increases peripheral resistance; as a result, ephedrine usually increases blood pressure. Stimulation of the α-adrenergic receptors of smooth muscle cells in the bladder base may increase the resistance to the outflow of urine. Activation of ß-adrenergic receptors in the lungs promotes bronchodilation.



The overall cardiovascular effect from ephedrine is the result of a balance among α-1 adrenoceptor-mediated vasoconstriction, ß-2 adrenoceptor-mediated vasoconstriction, and ß-2 adrenoceptor-mediated vasodilatation. Stimulation of the ß-1 adrenoceptors results in positive inotrope and chronotrope action.



Tachyphylaxis to the pressor effects of ephedrine may occur with repeated administration [see Warnings and Precautions (5.2)].

12.3 Pharmacokinetics

Publications studying pharmacokinetics of oral administration of (-)-ephedrine support that (-)­-ephedrine is metabolized into norephedrine. However, the metabolism pathway is unknown. Both the parent drug and the metabolite are excreted in urine. Limited data after intravenous administration of ephedrine support similar observations of urinary excretion of drug and metabolite. The plasma elimination half-life of ephedrine following oral administration was about 6 hours.



Ephedrine crosses the placental barrier [see Use in Specific Populations (8.1)].

1 Indications and Usage

Ephedrine sulfate injection is indicated for the treatment of clinically important hypotension occurring in the setting of anesthesia.

Clinical Considerations

Disease-associated maternal and/or embryofetal risk

Untreated hypotension associated with spinal anesthesia for cesarean section is associated with an increase in maternal nausea and vomiting. A decrease in uterine blood flow due to maternal hypotension may result in fetal bradycardia and acidosis.

Fetal/Neonatal Adverse Reactions

Cases of potential metabolic acidosis in newborns at delivery with maternal ephedrine exposure have been reported in the literature. These reports describe umbilical artery pH of ≤7.2 at the time of delivery [see Clinical Pharmacology (12.3)]. Monitoring of the newborn for signs and symptoms of metabolic acidosis may be required. Monitoring of infant’s acid‐base status is warranted to ensure that an episode of acidosis is acute and reversible.

Data

Animal Data

Decreased fetal body weights were observed when pregnant rats were administered intravenous bolus doses of 60 mg/kg ephedrine sulfate (12 times the maximum recommended human dose (MRHD) of 50 mg based on body surface area) from Gestation Day 6 to 17. This dose was associated with evidence of maternal toxicity (decreased body weight of dams and abnormal head movements). No malformations or fetal deaths were noted at this dose. No effects on fetal body weight were noted at 10 mg/kg (1.9 times the MRHD of 50 mg).

No evidence of malformations or embryo-fetal toxicity were noted in pregnant rabbits administered intravenous bolus doses up to 20 mg/kg ephedrine sulfate (7.7 times the maximum recommended human dose (MRHD) of 50 mg based on body surface area) from Gestation Day 6 to 20. This dose was associated with expected pharmacological maternal effects (increased respiration rate, dilated pupils, piloerection).

Decreased fetal survival and body weights in the presence of maternal toxicity (increased mortality) were noted when pregnant dams were administered intravenous bolus doses of 60 mg/kg epinephrine sulfate (approximately 12 times the MRHD based on body surface area) from GD 6 through Lactation Day 20. No adverse effects were noted at 10 mg/kg (1.9 times the MRHD).

12.1 Mechanism of Action

Ephedrine sulfate is a sympathomimetic amine that directly acts as an agonist at α-and ß­-adrenergic receptors and indirectly causes the release of norepinephrine from sympathetic neurons. Pressor effects by direct alpha-and beta-adrenergic receptor activation are mediated by increases in arterial pressures, cardiac output, and peripheral resistance. Indirect adrenergic stimulation is caused by norepinephrine release from sympathetic nerves.

5 Warnings and Precautions
  • Pressor Effects with Concomitant Use with Oxytocic Drugs: Pressor effect of sympathomimetic pressor amines is potentiated (5.1)
  • Tachyphylaxis and Tolerance: Repeated administration of ephedrine may cause tachyphylaxis (5.2)
2 Dosage and Administration
  • Should be administered by trained healthcare providers (2.1)
  • Ephedrine sulfate injection, 50 mg/mL, must be diluted before administration as an intravenous bolus dose. (2.1
  • Bolus intravenous injection: 5 mg to 10 mg as needed, not to exceed 50 mg. (2.1)
3 Dosage Forms and Strengths

Ephedrine sulfate injection, USP is a clear, colorless, sterile solution for intravenous injection available as:



single-dose 1 mL vial that contains 50 mg/mL ephedrine sulfate, equivalent to 38 mg/mL of ephedrine base

5.2 Tolerance and Tachyphylaxis

Data indicate that repeated administration of ephedrine can result in tachyphylaxis. Clinicians treating anesthesia-induced hypotension with ephedrine sulfate injection should be aware of the possibility of tachyphylaxis and should be prepared with an alternative pressor to mitigate unacceptable responsiveness.

16 How Supplied/storage and Handling

Ephedrine sulfate injection, USP is a clear, colorless, sterile solution for intravenous injection supplied as follows:

NDC

Strength

How Supplied

55150-373-25

50 mg/mL of ephedrine sulfate equivalent to 38 mg/mL of ephedrine base

1 mL clear glass vial; for single-dose (supplied in packages of 25)

The vial stopper is not made with natural rubber latex.



Store ephedrine sulfate injection, USP at 20° to 25°C (68° to 77°F); excursions permitted to 15°C to 30°C (59°F to 86°F) [see USP Controlled Room Temperature]. Store in carton until time of use. For single-dose only. Discard unused portion.

Distributed by:

Eugia US LLC

279 Princeton-Hightstown Rd.

E. Windsor, NJ 08520

Manufactured by:

Eugia Pharma Specialities Limited

Hyderabad - 500032

India

2.1 General Dosage and Administration Instructions

Ephedrine sulfate injection, 50 mg/mL must be diluted before administration as an intravenous bolus to achieve the desired concentration. Dilute with normal saline or 5% dextrose in water.



Inspect parenteral drug products visually for particulate matter and discoloration prior to administration, whenever solution and container permit.

5.1 Pressor Effect With Concomitant Oxytocic Drugs

Serious postpartum hypertension has been described in patients who received both a vasopressor (i.e., methoxamine, phenylephrine, ephedrine) and an oxytocic (i.e., methylergonovine, ergonovine) [see Drug Interactions (7) ]. Some of these patients experienced a stroke. Carefully monitor the blood pressure of individuals who have received both ephedrine and an oxytocic.

5.3 Risk of Hypertension When Used Prophylactically

When used to prevent hypotension, ephedrine has been associated with an increased incidence of hypertension compared with when ephedrine is used to treat hypotension.

13.1 Carcinogenesis, Mutagenesis, Impairment of Fertility

Carcinogenesis: Two-year feeding studies in rats and mice conducted under the National Toxicology Program (NTP) demonstrated no evidence of carcinogenic potential with ephedrine sulfate at doses up to 10 mg/kg/day and 27 mg/kg/day (approximately 2 times and 3 times the maximum human recommended dose on a mg/m2 basis, respectively).



Mutagenesis
: Ephedrine sulfate tested negative in the in vitro bacterial reverse mutation assay, the in vitro mouse lymphoma assay, the in vitro sister chromatid exchange, the in vitro chromosomal aberration assay, and the in vivo rat bone marrow micronucleus assay.



Impairment of Fertility
: There was no impact on fertility or early embryonic development in a study in which male rats were administered intravenous bolus doses of 0, 2, 10, or 60 mg/kg ephedrine sulfate (up to 12 times the maximum recommended human dose of 50 mg based on body surface area) for 28 days prior to mating and through gestation and females were treated for 14 days prior to mating through Gestation Day 7.

2.3 Prepare A 5 Mg/ml Solution for Bolus Intravenous Administration

For bolus intravenous administration, prepare a solution containing a final concentration of 5 mg/mL of ephedrine sulfate injection:



  • Withdraw 50 mg (1 mL of 50 mg/mL) of ephedrine sulfate injection and dilute with 9 mL of 5% Dextrose Injection or 0.9% Sodium Chloride Injection.
  • Withdraw an appropriate dose of the 5 mg/mL solution prior to bolus intravenous administration.
Package Label Principal Display Panel 50 Mg Per Vial Container Label

Rx only                                  NDC 55150-373-01

Ephedrine Sulfate

Injection, USP

50 mg per mL

For Intravenous Use

Must Be Diluted

1 mL                              Single-Dose Vial

Package Label Principal Display Panel 50 Mg Per Vial Container Carton (25 Vial)

Rx only                                    NDC 55150-373-25

Ephedrine Sulfate

Injection, USP

50 mg per mL

For Intravenous Use

Must Be Diluted

eugia                         25 x 1 mL Single-Dose Vials

 

2.2 Dosing for the Treatment of Clinically Important Hypotension in the Setting of Anesthesia

Ephedrine sulfate injection should be administered by trained healthcare providers.



The recommended dosages for the treatment of clinically important hypotension in the setting of anesthesia is an initial dose of 5 mg to 10 mg administered by intravenous bolus. Administer additional boluses as needed, not to exceed a total dosage of 50 mg.

  • Adjust dosage according to the blood pressure goal (i.e., titrate to effect).

Structured Label Content

10 Overdosage (10 OVERDOSAGE)

Overdose of ephedrine can cause a rapid rise in blood pressure. In the case of an overdose, careful monitoring of blood pressure is recommended. If blood pressure continues to rise to an unacceptable level, parenteral antihypertensive agents can be administered at the discretion of the clinician.

8.1 Pregnancy

Risk Summary

Available data from randomized studies, case series, and reports of ephedrine sulfate use in pregnant women have not identified a drug-associated risk of major birth defects, miscarriage, or adverse maternal or fetal outcomes. However, there are clinical considerations due to underlying conditions (see Clinical Considerations). In animal reproduction studies, decreased fetal survival and fetal body weights were observed in the presence of maternal toxicity after normotensive pregnant rats were administered 60 mg/kg intravenous ephedrine sulfate (12 times the maximum recommended human dose (MRHD) of 50 mg/day). No malformations or embryofetal adverse effects were observed when pregnant rats or rabbits were treated with intravenous bolus doses of ephedrine sulfate during organogenesis at doses 1.9 and 7.7 times the MRHD, respectively [see data].

The estimated background risk of major birth defects and miscarriage for the indicated population are unknown. All pregnancies have a background risk of birth defect, loss, or other adverse outcomes. In the U.S. general population, the estimated background risk of major birth defects and miscarriage in clinically recognized pregnancies is 2 to 4% and 15 to 20%, respectively.

8.2 Lactation

Risk Summary



A single published case report indicates that ephedrine is present in human milk. However, no information is available on the effects of the drug on the breastfed infant or the effects of the drug on milk production. The developmental and health benefits of breastfeeding should be considered along with the mother's clinical need for ephedrine sulfate injection and any potential adverse effects on the breastfed child from ephedrine sulfate injection or from the underlying maternal condition.

11 Description (11 DESCRIPTION)

Ephedrine is an alpha- and beta-adrenergic agonist and a norepinephrine-releasing agent. Ephedrine sulfate injection, USP is a clear, colorless, sterile solution for intravenous injection. The chemical name of ephedrine sulfate is benzenemethanol, α-[1-(methylamino)ethyl]-, [R-(R*,S*)]-, sulfate (2:1) (salt), and the molecular weight is 428.5 g/mol. Its structural formula is depicted below:



Ephedrine sulfate, USP is freely soluble in water and sparingly soluble in alcohol.



Each mL of the 50 mg/mL strength contains ephedrine sulfate USP, 50 mg (equivalent to 38 mg ephedrine base) in water for injection. The pH is adjusted with sodium hydroxide and/or glacial acetic acid if necessary. The pH range is 4.5 to 7.0. The 50 mg/mL vial must be diluted before intravenous administration.

8.4 Pediatric Use

The safety and effectiveness of ephedrine sulfate in pediatric patients have not been established.

Animal Toxicity Data

In a study in which juvenile rats were administered intravenous bolus doses of 2, 10, or 60 mg/kg ephedrine sulfate daily from Postnatal Day 35 to 56, an increased incidence of mortality was noted at the high dose of 60 mg/kg. The no-adverse-effect level was 10 mg/kg (approximately 1.9 times a maximum daily dose of 50 mg in a 60 kg person based on body surface area).



8.5 Geriatric Use

Clinical studies of ephedrine did not include sufficient numbers of subjects aged 65 and over to determine whether they respond differently from younger subjects. Other reported clinical experience has not identified differences in responses between the elderly and younger patients. In general, dose selection for an elderly patient should be cautious, usually starting at the low end of the dosing range, reflecting the greater frequency of decreased hepatic, renal, or cardiac function, and of concomitant disease or other drug therapy. This drug is known to be substantially excreted by the kidney, and the risk of adverse reactions to this drug may be greater in patients with impaired renal function. Because elderly patients are more likely to have decreased renal function, care should be taken in dose selection, and it may be useful to monitor renal function.

14 Clinical Studies (14 CLINICAL STUDIES)

The evidence for the efficacy of ephedrine injection is derived from the published literature. Increases in blood pressure following administration of ephedrine were observed in 14 studies, including 9 where ephedrine was used in pregnant women undergoing neuraxial anesthesia during Cesarean delivery, 1 study in non-obstetric surgery under neuraxial anesthesia, and 4 studies in patients undergoing surgery under general anesthesia. Ephedrine has been shown to raise systolic and mean blood pressure when administered as a bolus dose following the development of hypotension during anesthesia.

4 Contraindications (4 CONTRAINDICATIONS)

None

6 Adverse Reactions (6 ADVERSE REACTIONS)

The following adverse reactions associated with the use of ephedrine sulfate were identified in the literature. Because these reactions are reported voluntarily from a population of uncertain size, it is not always possible to estimate their frequency reliably or to establish a causal relationship to drug exposure.



Gastrointestinal disorders:
Nausea, vomiting



Cardiac disorders:
Tachycardia, palpitations (thumping heart), reactive hypertension, bradycardia, ventricular ectopics, R-R variability



Nervous system disorders:
Dizziness



Psychiatric disorders:
Restlessness

7 Drug Interactions (7 DRUG INTERACTIONS)


Interactions that Augment the Pressor Effect

Oxytocin and oxytocic drugs

Clinical Impact:

Serious postpartum hypertension has been described in patients who received both a vasopressor (i.e., methoxamine, phenylephrine, ephedrine) and an oxytocic (i.e., methylergonovine, ergonovine). Some of these patients experienced a stroke.

Intervention:

Carefully monitor the blood pressure of individuals who have received both ephedrine and an oxytocic.

Clonidine, propofol, monoamine oxidase inhibitors (MAOIs), atropine

Clinical Impact:

These drugs augment the pressor effect of ephedrine.

Intervention:

Carefully monitor the blood pressure of individuals who have received both ephedrine and any of these drugs.

Interactions that Antagonize the Pressor Effect

Clinical Impact:

These drugs antagonize the pressor effect of ephedrine.

Intervention:

Carefully monitor the blood pressure of individuals who have received both ephedrine and any of these drugs.

Examples:

α-adrenergic antagonists, β-adrenergic receptor antagonists, reserpine, quinidine, mephentermine



Other Drug Interactions
Guanethidine

Clinical Impact:

Ephedrine may inhibit the neuron blockage produced by guanethidine, resulting in loss of antihypertensive effectiveness.

Intervention:

Clinician should monitor patient for blood pressor response and adjust the dosage or choice of pressor accordingly.

Rocuronium

Clinical Impact:

Ephedrine may reduce the onset time of neuromuscular blockade when used for intubation with rocuronium if administered simultaneously with anesthetic induction.

Intervention:

Be aware of this potential interaction. No treatment or other interventions are needed.

Epidural anesthesia

Clinical Impact:

Ephedrine may decrease the efficacy of epidural blockade by hastening the regression of sensory analgesia.

Intervention:

Monitor and treat the patient according to clinical practice.

Theophylline

Clinical Impact:

Concomitant use of ephedrine may increase the frequency of nausea, nervousness, and insomnia.

Intervention:

Monitor patient for worsening symptoms and manage symptoms according to clinical practice.

Cardiac glycosides

Clinical Impact:

Giving ephedrine with a cardiac glycoside, such as digitalis, may increase the possibility of arrhythmias.

Intervention:

Carefully monitor patients on cardiac glycosides who are also administered ephedrine.

8.6 Renal Impairment

Ephedrine and its metabolite are excreted in urine. In patients with renal impairment, excretion of ephedrine is likely to be affected with a corresponding increase in elimination half-life, which will lead to slow elimination of ephedrine and consequently prolonged pharmacological effect and potentially adverse reactions. Monitor patients with renal impairment carefully after the initial bolus dose for adverse events.

12.2 Pharmacodynamics

Ephedrine stimulates heart rate and cardiac output and variably increases peripheral resistance; as a result, ephedrine usually increases blood pressure. Stimulation of the α-adrenergic receptors of smooth muscle cells in the bladder base may increase the resistance to the outflow of urine. Activation of ß-adrenergic receptors in the lungs promotes bronchodilation.



The overall cardiovascular effect from ephedrine is the result of a balance among α-1 adrenoceptor-mediated vasoconstriction, ß-2 adrenoceptor-mediated vasoconstriction, and ß-2 adrenoceptor-mediated vasodilatation. Stimulation of the ß-1 adrenoceptors results in positive inotrope and chronotrope action.



Tachyphylaxis to the pressor effects of ephedrine may occur with repeated administration [see Warnings and Precautions (5.2)].

12.3 Pharmacokinetics

Publications studying pharmacokinetics of oral administration of (-)-ephedrine support that (-)­-ephedrine is metabolized into norephedrine. However, the metabolism pathway is unknown. Both the parent drug and the metabolite are excreted in urine. Limited data after intravenous administration of ephedrine support similar observations of urinary excretion of drug and metabolite. The plasma elimination half-life of ephedrine following oral administration was about 6 hours.



Ephedrine crosses the placental barrier [see Use in Specific Populations (8.1)].

1 Indications and Usage (1 INDICATIONS AND USAGE)

Ephedrine sulfate injection is indicated for the treatment of clinically important hypotension occurring in the setting of anesthesia.

Clinical Considerations

Disease-associated maternal and/or embryofetal risk

Untreated hypotension associated with spinal anesthesia for cesarean section is associated with an increase in maternal nausea and vomiting. A decrease in uterine blood flow due to maternal hypotension may result in fetal bradycardia and acidosis.

Fetal/Neonatal Adverse Reactions

Cases of potential metabolic acidosis in newborns at delivery with maternal ephedrine exposure have been reported in the literature. These reports describe umbilical artery pH of ≤7.2 at the time of delivery [see Clinical Pharmacology (12.3)]. Monitoring of the newborn for signs and symptoms of metabolic acidosis may be required. Monitoring of infant’s acid‐base status is warranted to ensure that an episode of acidosis is acute and reversible.

Data

Animal Data

Decreased fetal body weights were observed when pregnant rats were administered intravenous bolus doses of 60 mg/kg ephedrine sulfate (12 times the maximum recommended human dose (MRHD) of 50 mg based on body surface area) from Gestation Day 6 to 17. This dose was associated with evidence of maternal toxicity (decreased body weight of dams and abnormal head movements). No malformations or fetal deaths were noted at this dose. No effects on fetal body weight were noted at 10 mg/kg (1.9 times the MRHD of 50 mg).

No evidence of malformations or embryo-fetal toxicity were noted in pregnant rabbits administered intravenous bolus doses up to 20 mg/kg ephedrine sulfate (7.7 times the maximum recommended human dose (MRHD) of 50 mg based on body surface area) from Gestation Day 6 to 20. This dose was associated with expected pharmacological maternal effects (increased respiration rate, dilated pupils, piloerection).

Decreased fetal survival and body weights in the presence of maternal toxicity (increased mortality) were noted when pregnant dams were administered intravenous bolus doses of 60 mg/kg epinephrine sulfate (approximately 12 times the MRHD based on body surface area) from GD 6 through Lactation Day 20. No adverse effects were noted at 10 mg/kg (1.9 times the MRHD).

12.1 Mechanism of Action

Ephedrine sulfate is a sympathomimetic amine that directly acts as an agonist at α-and ß­-adrenergic receptors and indirectly causes the release of norepinephrine from sympathetic neurons. Pressor effects by direct alpha-and beta-adrenergic receptor activation are mediated by increases in arterial pressures, cardiac output, and peripheral resistance. Indirect adrenergic stimulation is caused by norepinephrine release from sympathetic nerves.

5 Warnings and Precautions (5 WARNINGS AND PRECAUTIONS)
  • Pressor Effects with Concomitant Use with Oxytocic Drugs: Pressor effect of sympathomimetic pressor amines is potentiated (5.1)
  • Tachyphylaxis and Tolerance: Repeated administration of ephedrine may cause tachyphylaxis (5.2)
2 Dosage and Administration (2 DOSAGE AND ADMINISTRATION)
  • Should be administered by trained healthcare providers (2.1)
  • Ephedrine sulfate injection, 50 mg/mL, must be diluted before administration as an intravenous bolus dose. (2.1
  • Bolus intravenous injection: 5 mg to 10 mg as needed, not to exceed 50 mg. (2.1)
3 Dosage Forms and Strengths (3 DOSAGE FORMS AND STRENGTHS)

Ephedrine sulfate injection, USP is a clear, colorless, sterile solution for intravenous injection available as:



single-dose 1 mL vial that contains 50 mg/mL ephedrine sulfate, equivalent to 38 mg/mL of ephedrine base

5.2 Tolerance and Tachyphylaxis

Data indicate that repeated administration of ephedrine can result in tachyphylaxis. Clinicians treating anesthesia-induced hypotension with ephedrine sulfate injection should be aware of the possibility of tachyphylaxis and should be prepared with an alternative pressor to mitigate unacceptable responsiveness.

16 How Supplied/storage and Handling (16 HOW SUPPLIED/STORAGE AND HANDLING)

Ephedrine sulfate injection, USP is a clear, colorless, sterile solution for intravenous injection supplied as follows:

NDC

Strength

How Supplied

55150-373-25

50 mg/mL of ephedrine sulfate equivalent to 38 mg/mL of ephedrine base

1 mL clear glass vial; for single-dose (supplied in packages of 25)

The vial stopper is not made with natural rubber latex.



Store ephedrine sulfate injection, USP at 20° to 25°C (68° to 77°F); excursions permitted to 15°C to 30°C (59°F to 86°F) [see USP Controlled Room Temperature]. Store in carton until time of use. For single-dose only. Discard unused portion.

Distributed by:

Eugia US LLC

279 Princeton-Hightstown Rd.

E. Windsor, NJ 08520

Manufactured by:

Eugia Pharma Specialities Limited

Hyderabad - 500032

India

2.1 General Dosage and Administration Instructions

Ephedrine sulfate injection, 50 mg/mL must be diluted before administration as an intravenous bolus to achieve the desired concentration. Dilute with normal saline or 5% dextrose in water.



Inspect parenteral drug products visually for particulate matter and discoloration prior to administration, whenever solution and container permit.

5.1 Pressor Effect With Concomitant Oxytocic Drugs (5.1 Pressor Effect with Concomitant Oxytocic Drugs)

Serious postpartum hypertension has been described in patients who received both a vasopressor (i.e., methoxamine, phenylephrine, ephedrine) and an oxytocic (i.e., methylergonovine, ergonovine) [see Drug Interactions (7) ]. Some of these patients experienced a stroke. Carefully monitor the blood pressure of individuals who have received both ephedrine and an oxytocic.

5.3 Risk of Hypertension When Used Prophylactically

When used to prevent hypotension, ephedrine has been associated with an increased incidence of hypertension compared with when ephedrine is used to treat hypotension.

13.1 Carcinogenesis, Mutagenesis, Impairment of Fertility

Carcinogenesis: Two-year feeding studies in rats and mice conducted under the National Toxicology Program (NTP) demonstrated no evidence of carcinogenic potential with ephedrine sulfate at doses up to 10 mg/kg/day and 27 mg/kg/day (approximately 2 times and 3 times the maximum human recommended dose on a mg/m2 basis, respectively).



Mutagenesis
: Ephedrine sulfate tested negative in the in vitro bacterial reverse mutation assay, the in vitro mouse lymphoma assay, the in vitro sister chromatid exchange, the in vitro chromosomal aberration assay, and the in vivo rat bone marrow micronucleus assay.



Impairment of Fertility
: There was no impact on fertility or early embryonic development in a study in which male rats were administered intravenous bolus doses of 0, 2, 10, or 60 mg/kg ephedrine sulfate (up to 12 times the maximum recommended human dose of 50 mg based on body surface area) for 28 days prior to mating and through gestation and females were treated for 14 days prior to mating through Gestation Day 7.

2.3 Prepare A 5 Mg/ml Solution for Bolus Intravenous Administration (2.3 Prepare a 5 mg/mL Solution for Bolus Intravenous Administration)

For bolus intravenous administration, prepare a solution containing a final concentration of 5 mg/mL of ephedrine sulfate injection:



  • Withdraw 50 mg (1 mL of 50 mg/mL) of ephedrine sulfate injection and dilute with 9 mL of 5% Dextrose Injection or 0.9% Sodium Chloride Injection.
  • Withdraw an appropriate dose of the 5 mg/mL solution prior to bolus intravenous administration.
Package Label Principal Display Panel 50 Mg Per Vial Container Label (PACKAGE LABEL-PRINCIPAL DISPLAY PANEL-50 mg per vial - Container Label)

Rx only                                  NDC 55150-373-01

Ephedrine Sulfate

Injection, USP

50 mg per mL

For Intravenous Use

Must Be Diluted

1 mL                              Single-Dose Vial

Package Label Principal Display Panel 50 Mg Per Vial Container Carton (25 Vial) (PACKAGE LABEL-PRINCIPAL DISPLAY PANEL-50 mg per vial - Container-Carton (25 Vial))

Rx only                                    NDC 55150-373-25

Ephedrine Sulfate

Injection, USP

50 mg per mL

For Intravenous Use

Must Be Diluted

eugia                         25 x 1 mL Single-Dose Vials

 

2.2 Dosing for the Treatment of Clinically Important Hypotension in the Setting of Anesthesia

Ephedrine sulfate injection should be administered by trained healthcare providers.



The recommended dosages for the treatment of clinically important hypotension in the setting of anesthesia is an initial dose of 5 mg to 10 mg administered by intravenous bolus. Administer additional boluses as needed, not to exceed a total dosage of 50 mg.

  • Adjust dosage according to the blood pressure goal (i.e., titrate to effect).

Advanced Ingredient Data


Raw Label Data

All Sections (JSON)