These Highlights Do Not Include All The Information Needed To Use meropenem For Injection Safely And Effectively. See Full Prescribing Information For meropenem For Injection.

These Highlights Do Not Include All The Information Needed To Use meropenem For Injection Safely And Effectively. See Full Prescribing Information For meropenem For Injection.
SPL v21
SPL
SPL Set ID a456013b-b20e-4b29-b2f9-06f18f1ea6bd
Route
INTRAVENOUS
Published
Effective Date 2025-06-09
Document Type 34391-3 HUMAN PRESCRIPTION DRUG LABEL

Drug Facts

Composition & Product

Active Ingredients
Meropenem Anhydrous (500 mg)
Inactive Ingredients
Sodium Carbonate

Identifiers & Packaging

Marketing Status
ANDA Active Since 2016-05-09

Description

Warnings and Precautions Severe Cutaneous Adverse Reactions (5.2)                     6/2018

Indications and Usage

Meropenem for injection (I.V.) is a penem antibacterial indicated for the treatment of: Complicated skin and skin structure infections (adult patients and pediatric patients 3 months of age and older only). (1.1)   Complicated intra-abdominal infections (adult and pediatric patients). (1.2)   Bacterial meningitis (pediatric patients 3 months of age and older only). (1.3)   To reduce the development of drug-resistant bacteria and maintain the effectiveness of meropenem for injection (I.V.) and other antibacterial drugs, meropenem for injection (I.V.) should only be used to treat or prevent infections that are proven or strongly suspected to be caused by susceptible bacteria.

Dosage and Administration

500 mg every 8 hours by intravenous infusion over 15 to 30 minutes for complicated skin and skin structure infections (cSSSI) for adult patients. When treating infections caused by Pseudomonas aeruginosa , a dose of 1 gram every 8 hours is recommended. (2.1)   1 gram every 8 hours by intravenous infusion over 15 minutes to 30 minutes for intra-abdominal infections for adult patients. (2.1)   1 gram every 8 hours by intravenous bolus injection (5 mL to 20 mL) over 3 minutes to 5 minutes for adult patients. (2.1)   Dosage should be reduced in adult patients with renal impairment. (2.2)   Recommended Meropenem for Injection (I.V.) Dosage Schedule for Adult Patients with Renal Impairment Creatinine Clearance (mL/min) Dose (dependent on type of infection) Dosing Interval Greater than 50 Recommended dose (500 mg cSSSI and 1 gram Intra-abdominal) Every 8 hours 26 to 50 Recommended dose Every 12 hours 10 to 25 One-half recommended dose Every 12 hours Less than 10 One-half recommended dose Every 24 hours Pediatric patients 3 months of age and older Recommended Meropenem for Injection (I.V.) Dosage Schedule for Pediatric Patients 3 Months of Age and Older with Normal Renal Function (2.3)   Type of Infection Dose (mg/kg) Up to a Maximum Dose Dosing Interval Complicated skin and skin structure* 10 500 mg Every 8 hours Intra-abdominal 20 1 gram Every 8 hours Meningitis 40 2 gram Every 8 hours - Intravenous infusion is to be given over approximately 15 minutes to 30 minutes. - Intravenous bolus injection (5 mL to 20 mL) is to be given over approximately 3 minutes to 5 minutes. - There is no experience in pediatric patients with renal impairment. *20 mg/kg (or 1 gram for pediatric patients weighing over 50 kg) every 8 hours is recommended when treating complicated skin and skin structure infections caused by P. aeruginosa (2.3) . Pediatric patients less than 3 months of age Recommended Meropenem for Injection (I.V.) Dosage Schedule for Pediatric Patients Less than 3 Months of Age with Complicated Intra-Abdominal Infections and Normal Renal Function (2.3)   Age Group Dose (mg/kg) Dose Interval Infants less than 32 weeks GA and PNA less than 2 weeks 20 Every 12 hours Infants less than 32 weeks GA and PNA 2 weeks and older 20 Every 8 hours Infants 32 weeks and older GA and PNA less than 2 weeks 20 Every 8 hours Infants 32 weeks and older GA and PNA 2 weeks and older 30 Every 8 hours - Intravenous infusion is to be given over 30 minutes. - There is no experience in pediatric patients with renal impairment. GA: gestational age and PNA: postnatal age

Warnings and Precautions

Serious and occasionally fatal hypersensitivity (anaphylactic) reactions have been reported in patients receiving β-lactams. (5.1) Severe cutaneous adverse reactions have been reported in patients receiving meropenem. ( 5.2 ) Rhabdomyolysis: If signs or symptoms of rhabdomyolysis are observed, discontinue meropenem and initiate appropriate therapy. (5.3) Seizures and other adverse CNS experiences have been reported during treatment. (5.4) Co-administration of meropenem with valproic acid or divalproex sodium reduces the serum concentration of valproic acid potentially increasing the risk of breakthrough seizures. (5.5 , 7.2) Clostridioides difficile -associated diarrhea (ranging from mild diarrhea to fatal colitis) has been reported. Evaluate if diarrhea occurs. (5.6) In patients with renal dysfunction, thrombocytopenia has been observed. (5.9)

Contraindications

Meropenem for injection (I.V.) is contraindicated in patients with known hypersensitivity to any component of this product or to other drugs in the same class or in patients who have demonstrated anaphylactic reactions to beta (β)-lactams.

Adverse Reactions

The following are discussed in greater detail in other sections of labeling: Hypersensitivity Reactions [see Warnings and Precautions (5.1) ] Severe Cutaneous Adverse Reactions [see Warnings and Precautions (5.2) ] Rhabdomyolysis [see Warnings and Precautions (5.3) ] Seizure Potential [see Warnings and Precautions (5.4) ] Risk of Breakthrough Seizures Due to Drug Interaction with Valproic Acid [see Warnings and Precautions (5.5) ] Clostridioides difficile –associated Diarrhea [see Warnings and Precautions (5.6) ] Development of Drug-Resistant Bacteria [see Warnings and Precautions (5.7) ] Overgrowth of Nonsusceptible Organisms [see Warnings and Precautions (5.8) ] Thrombocytopenia [see Warnings and Precautions (5.9) ] Potential for Neuromotor Impairment [see Warnings and Precautions (5.10) ]

Drug Interactions

Co-administration of meropenem with probenecid inhibits renal excretion of meropenem and is therefore not recommended. (7.1) The concomitant use of meropenem and valproic acid or divalproex sodium is generally not recommended. Antibacterial drugs other than carbapenems should be considered to treat infections in patients whose seizures are well controlled on valproic acid or divalproex sodium. (5.5 , 7.2)

Storage and Handling

Meropenem for injection, USP (I.V.) is supplied in 20 mL and 30 mL injection vials containing sufficient meropenem to deliver 500 mg or 1 gram for intravenous administration, respectively. The dry powder should be stored at controlled room temperature 20° to 25°C (68° to 77°F) [see USP Controlled Room Temperature]. 500 mg Injection Vial (NDC 70121-1454-1) [Cartons of 10 - NDC 70121-1454-7] 1 gram Injection Vial (NDC 70121-1453-1) [Cartons of 10 - NDC 70121-1453-7]

How Supplied

Meropenem for injection, USP (I.V.) is supplied in 20 mL and 30 mL injection vials containing sufficient meropenem to deliver 500 mg or 1 gram for intravenous administration, respectively. The dry powder should be stored at controlled room temperature 20° to 25°C (68° to 77°F) [see USP Controlled Room Temperature]. 500 mg Injection Vial (NDC 70121-1454-1) [Cartons of 10 - NDC 70121-1454-7] 1 gram Injection Vial (NDC 70121-1453-1) [Cartons of 10 - NDC 70121-1453-7]


Medication Information

Recent Major Changes

Warnings and Precautions

Severe Cutaneous Adverse Reactions (5.2)                     6/2018

Warnings and Precautions

Serious and occasionally fatal hypersensitivity (anaphylactic) reactions have been reported in patients receiving β-lactams. (5.1) Severe cutaneous adverse reactions have been reported in patients receiving meropenem. ( 5.2 ) Rhabdomyolysis: If signs or symptoms of rhabdomyolysis are observed, discontinue meropenem and initiate appropriate therapy. (5.3) Seizures and other adverse CNS experiences have been reported during treatment. (5.4) Co-administration of meropenem with valproic acid or divalproex sodium reduces the serum concentration of valproic acid potentially increasing the risk of breakthrough seizures. (5.5 , 7.2) Clostridioides difficile -associated diarrhea (ranging from mild diarrhea to fatal colitis) has been reported. Evaluate if diarrhea occurs. (5.6) In patients with renal dysfunction, thrombocytopenia has been observed. (5.9)

Indications and Usage

Meropenem for injection (I.V.) is a penem antibacterial indicated for the treatment of: Complicated skin and skin structure infections (adult patients and pediatric patients 3 months of age and older only). (1.1)   Complicated intra-abdominal infections (adult and pediatric patients). (1.2)   Bacterial meningitis (pediatric patients 3 months of age and older only). (1.3)   To reduce the development of drug-resistant bacteria and maintain the effectiveness of meropenem for injection (I.V.) and other antibacterial drugs, meropenem for injection (I.V.) should only be used to treat or prevent infections that are proven or strongly suspected to be caused by susceptible bacteria.

Dosage and Administration

500 mg every 8 hours by intravenous infusion over 15 to 30 minutes for complicated skin and skin structure infections (cSSSI) for adult patients. When treating infections caused by Pseudomonas aeruginosa , a dose of 1 gram every 8 hours is recommended. (2.1)   1 gram every 8 hours by intravenous infusion over 15 minutes to 30 minutes for intra-abdominal infections for adult patients. (2.1)   1 gram every 8 hours by intravenous bolus injection (5 mL to 20 mL) over 3 minutes to 5 minutes for adult patients. (2.1)   Dosage should be reduced in adult patients with renal impairment. (2.2)   Recommended Meropenem for Injection (I.V.) Dosage Schedule for Adult Patients with Renal Impairment Creatinine Clearance (mL/min) Dose (dependent on type of infection) Dosing Interval Greater than 50 Recommended dose (500 mg cSSSI and 1 gram Intra-abdominal) Every 8 hours 26 to 50 Recommended dose Every 12 hours 10 to 25 One-half recommended dose Every 12 hours Less than 10 One-half recommended dose Every 24 hours Pediatric patients 3 months of age and older Recommended Meropenem for Injection (I.V.) Dosage Schedule for Pediatric Patients 3 Months of Age and Older with Normal Renal Function (2.3)   Type of Infection Dose (mg/kg) Up to a Maximum Dose Dosing Interval Complicated skin and skin structure* 10 500 mg Every 8 hours Intra-abdominal 20 1 gram Every 8 hours Meningitis 40 2 gram Every 8 hours - Intravenous infusion is to be given over approximately 15 minutes to 30 minutes. - Intravenous bolus injection (5 mL to 20 mL) is to be given over approximately 3 minutes to 5 minutes. - There is no experience in pediatric patients with renal impairment. *20 mg/kg (or 1 gram for pediatric patients weighing over 50 kg) every 8 hours is recommended when treating complicated skin and skin structure infections caused by P. aeruginosa (2.3) . Pediatric patients less than 3 months of age Recommended Meropenem for Injection (I.V.) Dosage Schedule for Pediatric Patients Less than 3 Months of Age with Complicated Intra-Abdominal Infections and Normal Renal Function (2.3)   Age Group Dose (mg/kg) Dose Interval Infants less than 32 weeks GA and PNA less than 2 weeks 20 Every 12 hours Infants less than 32 weeks GA and PNA 2 weeks and older 20 Every 8 hours Infants 32 weeks and older GA and PNA less than 2 weeks 20 Every 8 hours Infants 32 weeks and older GA and PNA 2 weeks and older 30 Every 8 hours - Intravenous infusion is to be given over 30 minutes. - There is no experience in pediatric patients with renal impairment. GA: gestational age and PNA: postnatal age

Contraindications

Meropenem for injection (I.V.) is contraindicated in patients with known hypersensitivity to any component of this product or to other drugs in the same class or in patients who have demonstrated anaphylactic reactions to beta (β)-lactams.

Adverse Reactions

The following are discussed in greater detail in other sections of labeling: Hypersensitivity Reactions [see Warnings and Precautions (5.1) ] Severe Cutaneous Adverse Reactions [see Warnings and Precautions (5.2) ] Rhabdomyolysis [see Warnings and Precautions (5.3) ] Seizure Potential [see Warnings and Precautions (5.4) ] Risk of Breakthrough Seizures Due to Drug Interaction with Valproic Acid [see Warnings and Precautions (5.5) ] Clostridioides difficile –associated Diarrhea [see Warnings and Precautions (5.6) ] Development of Drug-Resistant Bacteria [see Warnings and Precautions (5.7) ] Overgrowth of Nonsusceptible Organisms [see Warnings and Precautions (5.8) ] Thrombocytopenia [see Warnings and Precautions (5.9) ] Potential for Neuromotor Impairment [see Warnings and Precautions (5.10) ]

Drug Interactions

Co-administration of meropenem with probenecid inhibits renal excretion of meropenem and is therefore not recommended. (7.1) The concomitant use of meropenem and valproic acid or divalproex sodium is generally not recommended. Antibacterial drugs other than carbapenems should be considered to treat infections in patients whose seizures are well controlled on valproic acid or divalproex sodium. (5.5 , 7.2)

Storage and Handling

Meropenem for injection, USP (I.V.) is supplied in 20 mL and 30 mL injection vials containing sufficient meropenem to deliver 500 mg or 1 gram for intravenous administration, respectively. The dry powder should be stored at controlled room temperature 20° to 25°C (68° to 77°F) [see USP Controlled Room Temperature]. 500 mg Injection Vial (NDC 70121-1454-1) [Cartons of 10 - NDC 70121-1454-7] 1 gram Injection Vial (NDC 70121-1453-1) [Cartons of 10 - NDC 70121-1453-7]

How Supplied

Meropenem for injection, USP (I.V.) is supplied in 20 mL and 30 mL injection vials containing sufficient meropenem to deliver 500 mg or 1 gram for intravenous administration, respectively. The dry powder should be stored at controlled room temperature 20° to 25°C (68° to 77°F) [see USP Controlled Room Temperature]. 500 mg Injection Vial (NDC 70121-1454-1) [Cartons of 10 - NDC 70121-1454-7] 1 gram Injection Vial (NDC 70121-1453-1) [Cartons of 10 - NDC 70121-1453-7]

Description

Warnings and Precautions Severe Cutaneous Adverse Reactions (5.2)                     6/2018

Data

Meropenem administered to pregnant rats during organogenesis (Gestation Day 6 to Gestation Day 17) in intravenous doses of 240, 500, and 750 mg/kg/day was associated with mild maternal weight loss at all doses, but did not produce malformations or fetal toxicity. The no-observed-adverse-effect-level (NOAEL) for fetal toxicity in this study was considered to be the high dose of 750 mg/kg/day (equivalent to approximately 2.4 times the MRHD of 1 gram every 8 hours based on body surface area comparison). Meropenem administered intravenously to pregnant Cynomolgus monkeys during organogenesis from Day 20 to 50 after mating at doses of 120, 240, and 360 mg/kg/day did not produce maternal or fetal toxicity at the NOAEL dose of 360 mg/kg/day (approximately 2.3 times the MRHD based on body surface area comparison).

In a peri-postnatal study in rats described in the published literature2, intravenous meropenem was administered to dams from Gestation Day 17 until Lactation Day 21 at doses of 240, 500, and 1000 mg/kg/day. There were no adverse effects in the dams and no adverse effects in the first-generation offspring (including developmental, behavioral, and functional assessments and reproductive parameters) except that female offspring exhibited lowered body weights which continued during gestation and nursing of the second-generation offspring. Second-generation offspring showed no meropenem-related effects. The NOAEL value was considered to be 1000 mg/kg/day (approximately 3.2 times the MRHD based on body surface area comparisons).

1.4 Usage

To reduce the development of drug-resistant bacteria and maintain the effectiveness of meropenem for injection (I.V.) and other antibacterial drugs, meropenem for injection (I.V.) should only be used to treat or prevent infections that are proven or strongly suspected to be caused by susceptible bacteria. When culture and susceptibility information are available, they should be considered in selecting or modifying antibacterial therapy. In the absence of such data, local epidemiology and susceptibility patterns may contribute to the empiric selection of therapy.

10 Overdosage

In mice and rats, large intravenous doses of meropenem (2,200 mg/kg to 4,000 mg/kg) have been associated with ataxia, dyspnea, convulsions, and mortalities.

Intentional overdosing of meropenem is unlikely, although accidental overdosing might occur if large doses are given to patients with reduced renal function. The largest dose of meropenem administered in clinical trials has been 2 grams given intravenously every 8 hours. At this dosage, no adverse pharmacological effects or increased safety risks have been observed.

Limited post-marketing experience indicates that if adverse events occur following overdosage, they are consistent with the adverse event profile described in the Adverse Reactions section and are generally mild in severity and resolve on withdrawal or dose reduction. Consider symptomatic treatments. In individuals with normal renal function, rapid renal elimination takes place. Meropenem and its metabolite are readily dialyzable and effectively removed by hemodialysis; however, no information is available on the use of hemodialysis to treat overdosage.

15 References

1.   Cockcroft DW, MH Gault, 1976, Prediction of creatinine clearance from serum creatinine, Nephron., 16:31-41.

2.   Kawamura S, AW Russell, SJ Freeman, and RA Siddall, 1992, Reproductive and Developmental Toxicity of Meropenem in Rats, Chemotherapy, 40:S238-250.

8.1 Pregnancy

Risk Summary

There are insufficient human data to establish whether there is a drug-associated risk of major birth defects or miscarriages with meropenem in pregnant women.

No fetal toxicity or malformations were observed in pregnant rats and Cynomolgus monkeys administered intravenous meropenem during organogenesis at doses up to 2.4 and 2.3 times the maximum recommended human dose (MRHD) based on body surface area comparison, respectively. In rats administered intravenous meropenem in late pregnancy and during the lactation period, there were no adverse effects on offspring at doses equivalent to approximately 3.2 times the MRHD based on body surface area comparison (see Data ).

The background risk of major birth defects and miscarriage for the indicated population is unknown. All pregnancies have a background risk of birth defect, loss, or other adverse outcomes. In the U.S. general population, the estimated background risk of major birth defects and miscarriage in clinically recognized pregnancies is 2% to 4% and 15% to 20%, respectively.

8.2 Lactation

Risk Summary

Meropenem has been reported to be excreted in human milk. No information is available on the effects of meropenem on the breast-fed child or on milk production. The developmental and health benefits of breastfeeding should be considered along with the mother’s clinical need for meropenem and any potential adverse effects on the breast-fed child from meropenem or from the underlying maternal conditions.

11 Description

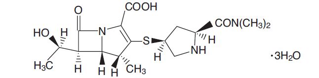
Meropenem for injection, USP (I.V.) is a sterile, pyrogen-free, synthetic, carbapenem antibacterial for intravenous administration. It is (4R,5S,6S)-3- [[(3S,5S)-5-(Dimethylcarbamoyl)-3-pyrrolidinyl]thio]-6- [(1R)-1-hydroxyethyl]-4-methyl-7-oxo-1-azabicyclo[3.2.0]hept-2-ene-2-carboxylic acid trihydrate. Its empirical formula is C17H25N3O5S•3H2O with a molecular weight of 437.52. Its structural formula is:

Meropenem, USP is a white to pale yellow crystalline powder. The solution varies from colorless to yellow depending on the concentration. The pH of freshly constituted solutions is between 7.3 and 8.3. Meropenem, USP is soluble in 5% monobasic potassium phosphate solution, sparingly soluble in water, very slightly soluble in hydrated ethanol, and practically insoluble in acetone or ether.

When re-constituted as instructed, each 1 gram meropenem for injection, USP (I.V.) vial will deliver 1 gram of meropenem, USP and 90.2 mg of sodium as sodium carbonate (3.92 mEq). Each 500 mg meropenem for injection, USP (I.V.) vial will deliver 500 mg meropenem, USP and 45.1 mg of sodium as sodium carbonate (1.96 mEq) [see Dosage and Administration (2.4 ) ].

7.1 Probenecid

Probenecid competes with meropenem for active tubular secretion, resulting in increased plasma concentrations of meropenem. Co-administration of probenecid with meropenem is not recommended.

12.4 Microbiology

Mechanism of Action

The bactericidal activity of meropenem results from the inhibition of cell wall synthesis. Meropenem penetrates the cell wall of most gram-positive and gram-negative bacteria to bind penicillin-binding-protein (PBP) targets. Meropenem binds to  PBPs 2, 3 and 4 of Escherichia coli and Pseudomonas aeruginosa; and PBPs 1, 2 and 4 of Staphylococcus aureus. Bactericidal concentrations (defined as a 3 log10 reduction in cell counts within 12 hours to 24 hours) are typically 1 to 2 times the bacteriostatic concentrations of meropenem, with the exception of Listeria monocytogenes, against which lethal activity is not observed.

Meropenem does not have in vitro activity against methicillin-resistant Staphylococcus aureus (MRSA) or methicillin-resistant Staphylococcus epidermidis (MRSE).

Resistance

There are several mechanisms of resistance to carbapenems: 1) decreased permeability of the outer membrane of gram-negative bacteria (due to diminished production of porins) causing reduced bacterial uptake, 2) reduced affinity of the target PBPs, 3) increased expression of efflux pump components, and 4) production of antibacterial drug-destroying enzymes (carbapenemases, metallo-β-lactamases).



Cross-resistance is sometimes observed with isolates resistant to other carbapenems.

Interaction with Other Antimicrobials

In vitro tests show meropenem to act synergistically with aminoglycoside antibacterial drugs against some isolates of Pseudomonas aeruginosa.

Antimicrobial Activity

Meropenem has been shown to be active against most isolates of the following microorganisms, both in vitro and in clinical infections [see Indications and Usage (1)].

Gram-positive bacteria

Enterococcus faecalis (vancomycin-susceptible isolates only)

Staphylococcus aureus (methicillin-susceptible isolates only)

Streptococcus agalactiae

Streptococcus pneumoniae (penicillin-susceptible isolates only)

Streptococcus pyogenes

Viridans group streptococci

Gram-negative bacteria

Escherichia coli

Haemophilus influenzae

Klebsiella pneumoniae

Neisseria meningitidis

Proteus mirabilis

Pseudomonas aeruginosa

Anaerobic bacteria

Bacteroides fragilis

Bacteroides thetaiotaomicron

Peptostreptococcus species

The following in vitro data are available, but their clinical significance is unknown. At least 90% of the following bacteria exhibit an in vitro minimum inhibitory concentration (MIC) less than or equal to the susceptible breakpoint for meropenem against isolates of similar genus or organism group. However, the efficacy of meropenem in treating clinical infections caused by these bacteria have not been established in adequate and well-controlled clinical trials.

Gram-positive bacteria

Staphylococcus epidermidis (methicillin-susceptible isolates only)

Gram-negative bacteria

Aeromonas hydrophila

Campylobacter jejuni

Citrobacter freundii

Citrobacter koseri

Enterobacter cloacae

Hafnia alvei

Klebsiella oxytoca

Moraxella catarrhalis

Morganella morganii

Pasteurella multocida

Proteus vulgaris

Serratia marcescens

Anaerobic bacteria

Bacteroides ovatus

Bacteroides uniformis

Bacteroides ureolyticus

Bacteroides vulgatus

Clostridium difficile

Clostridium perfringens

Eggerthella lenta

Fusobacterium species

Parabacteroides distasonis

Porphyromonas asaccharolytica

Prevotella bivia

Prevotella intermedia

Prevotella melaninogenica

Propionibacterium acnes

Susceptibility Testing

For specific information regarding susceptibility test interpretive criteria and associated test methods and quality control standards recognized by FDA for this drug, please see: https://www.fda.gov/STIC.

2.5 Compatibility

Compatibility of meropenem for injection (I.V.) with other drugs has not been established. Meropenem for injection (I.V.) should not be mixed with or physically added to solutions containing other drugs.

7.2 Valproic Acid

Case reports in the literature have shown that co-administration of carbapenems, including meropenem, to patients receiving valproic acid or divalproex sodium results in a reduction in valproic acid concentrations. The valproic acid concentrations may drop below the therapeutic range as a result of this interaction, therefore increasing the risk of breakthrough seizures. Although the mechanism of this interaction is unknown, data from in vitro and animal studies suggest that carbapenems may inhibit the hydrolysis of valproic acid’s glucuronide metabolite (VPA-g) back to valproic acid, thus decreasing the serum concentrations of valproic acid. If administration of meropenem is necessary, then supplemental anti-convulsant therapy should be considered [see Warnings and Precautions (5.5 ) ].

8.4 Pediatric Use

The safety and effectiveness of meropenem have been established for pediatric patients 3 months of age and older with complicated skin and skin structure infections  and bacterial meningitis, and for pediatric patients of all ages with complicated intra-abdominal infections.

Skin and Skin Structure Infections

Use of meropenem in pediatric patients 3 months of age and older with complicated skin and skin structure infections is supported by evidence from an adequate and well-controlled study in adults and additional data from pediatric pharmacokinetics studies [see Indications and Usage (1.3), Dosage and Administration (2.3), Adverse Reactions (6.1)Clinical Pharmacology (12.3) and Clinical Studies (14.1 ) ].

Intra-abdominal Infections

Use of meropenem in pediatric patients 3 months of age and older with intra-abdominal infections is supported by evidence from adequate and well-controlled studies in adults with additional data from pediatric pharmacokinetics studies and controlled clinical trials in pediatric patients. Use of meropenem in pediatric patients less than 3 months of age with intra-abdominal infections is supported by evidence from adequate and well-controlled studies in adults with additional data from a pediatric pharmacokinetic and safety study [see Indications and Usage (1.2), Dosage and Administration (2.3), Adverse Reactions (6.1)Clinical Pharmacology (12.3)  and Clinical Studies (14.2)].

Bacterial Meningitis

Use of meropenem in pediatric patients 3 months of age and older with bacterial meningitis is supported by evidence from adequate and well-controlled studies in the pediatric population [see Indications and Usage (1.3), Dosage and Administration (2.3), Adverse Reactions (6.1)Clinical Pharmacology (12.3) and Clinical Studies (14.3)].

8.5 Geriatric Use

Of the total number of subjects in clinical studies of meropenem, approximately 1,100 (30%) were 65 years of age and older, while 400 (11%) were 75 years and older. Additionally, in a study of 511 patients with complicated skin and skin structure infections, 93 (18%) were 65 years of age and older, while 38 (7%) were 75 years and older. No overall differences in safety or effectiveness were observed between these subjects and younger subjects; spontaneous reports and other reported clinical experience have not identified differences in responses between the elderly and younger patients, but greater sensitivity of some older individuals cannot be ruled out.

Meropenem is known to be substantially excreted by the kidney, and the risk of adverse reactions to this drug may be greater in patients with renal impairment. Because elderly patients are more likely to have decreased renal function, care should be taken in dose selection, and it may be useful to monitor renal function.

A pharmacokinetic study with meropenem in elderly patients has shown a reduction in the plasma clearance of meropenem that correlates with age-associated reduction in creatinine clearance [see Clinical Pharmacology (12.3)].

2.1 Adult Patients

The recommended dose of meropenem for injection (I.V.) is 500 mg given every 8 hours for skin and skin structure infections and 1 gram given every 8 hours for intra-abdominal infections. When treating complicated skin and skin structure infections caused by P. aeruginosa, a dose of 1 gram every 8 hours is recommended.

Meropenem for injection (I.V.) should be administered by intravenous infusion over approximately 15 minutes to 30 minutes. Doses of 1 gram may also be administered as an intravenous bolus injection (5 mL to 20 mL) over approximately 3 minutes to 5 minutes.

5.3 Rhabdomyolysis

Rhabdomyolysis has been reported with the use of meropenem [see Adverse Reactions (6.2)]. If signs or symptoms of rhabdomyolysis such as muscle pain, tenderness or weakness, dark urine or elevated creatine phosphokinase are observed, discontinue meropenem and initiate appropriate therapy.

4 Contraindications

Meropenem for injection (I.V.) is contraindicated in patients with known hypersensitivity to any component of this product or to other drugs in the same class or in patients who have demonstrated anaphylactic reactions to beta (β)-lactams.

6 Adverse Reactions

The following are discussed in greater detail in other sections of labeling:

7 Drug Interactions
  • Co-administration of meropenem with probenecid inhibits renal excretion of meropenem and is therefore not recommended. (7.1)
  • The concomitant use of meropenem and valproic acid or divalproex sodium is generally not recommended. Antibacterial drugs other than carbapenems should be considered to treat infections in patients whose seizures are well controlled on valproic acid or divalproex sodium. (5.5, 7.2)
5.9 Thrombocytopenia

In patients with renal impairment, thrombocytopenia has been observed but no clinical bleeding reported [see Dosage and Administration (2.2), Adverse Reactions (6.1)Use in Specific Populations (8.5) and (8.6) , and Clinical Pharmacology (12.3)].

12.2 Pharmacodynamics

The percentage of time of a dosing interval that unbound plasma concentration of meropenem exceeds the meropenem minimum inhibitory concentration (MIC) against the infecting organism has been shown to best correlate with efficacy in animal and in vitro models of infection.

12.3 Pharmacokinetics

Plasma Concentrations

At the end of a 30-minute intravenous infusion of a single dose of meropenem in healthy volunteers, mean peak plasma concentrations of meropenem are approximately 23 mcg/mL (range 14 to 26) for the 500 mg dose and 49 mcg/mL (range 39 to 58) for the 1 gram dose. A 5-minute intravenous bolus injection of meropenem in healthy volunteers results in mean peak plasma concentrations of approximately 45 mcg/mL (range 18 to 65) for the 500 mg dose and 112 mcg/mL (range 83 to 140) for the 1 gram dose.

Following intravenous doses of 500 mg, mean plasma concentrations of meropenem usually decline to approximately 1 mcg/mL at 6 hours after administration.

No accumulation of meropenem in plasma was observed with regimens using 500 mg administered every 8 hours or 1 gram administered every 6 hours in healthy volunteers with normal renal function.

Distribution

The plasma protein binding of meropenem is approximately 2%.

After a single intravenous dose of meropenem, the highest mean concentrations of meropenem were found in tissues and fluids at 1 hour (0.5 hours to 1.5 hours) after the start of infusion, except where indicated in the tissues and fluids listed in Table 5 below.

Table 5: Meropenem Concentrations in Selected Tissues (Highest Concentrations Reported)

Tissue

Intravenous. Dose (gram)

Number of Samples

Mean [mcg/mL or mcg/(gram)]1

Range [mcg/mL or mcg/(gram)]

Endometrium

0.5

7

4.2

1.7 to 10.2

Myometrium

0.5

15

3.8

0.4 to 8.1

Ovary

0.5

8

2.8

0.8 to 4.8

Cervix

0.5

2

7

5.4 to 8.5

Fallopian tube

0.5

9

1.7

0.3 to 3.4

Skin

0.5

22

3.3

0.5 to 12.6

Interstitial fluid2

0.5

9

5.5

3.2 to 8.6

Skin

1

10

5.3

1.3 to 16.7

Interstitial fluid2

1

5

26.3

20.9 to 37.4

Colon

1

2

2.6

2.5 to 2.7

Bile

1

7

14.6 (3 hours)

4 to 25.7

Gall bladder

1

1

3.9

Peritoneal fluid

1

9

30.2

7.4 to 54.6

Lung

1

2

4.8 (2 hours)

1.4 to 8.2

Bronchial mucosa

1

7

4.5

1.3 to 11.1

Muscle

1

2

6.1 (2 hours)

5.3 to 6.9

Fascia

1

9

8.8

1.5 to 20

Heart valves

1

7

9.7

6.4 to 12.1

Myocardium

1

10

15.5

5.2 to 25.5

CSF (inflamed)

20 mg/kg3

40 mg/kg4

8

5

1.1 (2 hours)

3.3 (3 hours)

0.2 to 2.8

0.9 to 6.5

CSF (uninflamed)

1

4

0.2 (2 hours)

0.1 to 0.3

1. at 1 hour unless otherwise noted

2. obtained from blister fluid

3. in pediatric patients of age 5 months to 8 years

4. in pediatric patients of age 1 month to 15 years

Elimination

In subjects with normal renal function, the elimination half-life of meropenem is approximately 1 hour.

Metabolism

There is one metabolite of meropenem that is microbiologically inactive.

Excretion

Meropenem IV is primarily excreted unchanged by the kidneys. Approximately 70% (50% to 75%) of the dose is excreted unchanged within 12 hours. A further 28% is recovered as the microbiologically inactive metabolite. Fecal elimination represents only approximately 2% of the dose. The measured renal clearance and the effect of probenecid show that meropenem undergoes both filtration and tubular secretion.

Urinary concentrations of meropenem in excess of 10 mcg/mL are maintained for up to 5 hours after a 500 mg dose.

Specific Populations

Patients with Renal Impairment

Pharmacokinetic studies with meropenem in patients with renal impairment have shown that the plasma clearance of meropenem correlates with creatinine clearance. Dosage adjustments are necessary in subjects with renal impairment (creatinine clearance 50 mL/min or less) [see Dosage and Administration (2.2) and Use in Specific Populations (8.6) ].

Meropenem IV is hemodialyzable. However, there is no information on the usefulness of hemodialysis to treat overdosage [see Overdosage (10)].

Patients with Hepatic Impairment

A pharmacokinetic study with meropenem in patients with hepatic impairment has shown no effects of liver disease on the pharmacokinetics of meropenem.

Geriatric Patients

A pharmacokinetic study with meropenem in elderly patients with renal impairment showed a reduction in plasma clearance of meropenem that correlates with age-associated reduction in creatinine clearance.

Pediatric Patients

The pharmacokinetics of meropenem for injection I.V., in pediatric patients 2 years of age or older, are similar to those in adults. The elimination half-life for meropenem was approximately 1.5 hours in pediatric patients of age 3 months to 2 years.

The pharmacokinetics of meropenem in patients less than 3 months of age receiving combination antibacterial drug therapy are given below.

Table 6: Meropenem Pharmacokinetic Parameters in Patients Less Than 3 Months of Age*



GA less than 32 weeks

PNA less than 2 weeks

(20 mg/kg every 12 hours)

GA less than 32 weeks

PNA 2 weeks

or older

(20 mg/kg every 8 hours)

GA 32 weeks or older

PNA less than 2 weeks

(20 mg/kg every 8 hours)

GA 32 weeks or older

PNA 2 weeks or older

(30 mg/kg every 8 hours)

Overall

CL (L/h/kg)

0.089

0.122

0.135

0.202

0.119

V (L/kg)

0.489

0.467

0.463

0.451

0.468

AUC0-24 (mcg-h/mL)

448

491

445

444

467

Cmax (mcg/mL)

44.3

46.5

44.9

61

46.9

Cmin (mcg/mL)

5.36

6.65

4.84

2.1

5.65

T1/2 (h)

3.82

2.68

2.33

1.58

2.68

*Values are derived from a population pharmacokinetic analysis of sparse data 

Drug Interactions

Probenecid competes with meropenem for active tubular secretion and thus inhibits the renal excretion of meropenem. Following administration of probenecid with meropenem, the mean systemic exposure increased 56% and the mean elimination half-life increased 38% [see Drug Interactions (7.1)].

5.4 Seizure Potential

Seizures and other adverse CNS experiences have been reported during treatment with meropenem. These experiences have occurred most commonly in patients with CNS disorders (e.g., brain lesions or history of seizures) or with bacterial meningitis and/or compromised renal function [see Adverse Reactions (6.1) and Drug Interactions (7.2)].

During clinical investigations, 2,904 immunocompetent adult patients were treated for non-CNS infections with the overall seizure rate being 0.7% (based on 20 patients with this adverse event). All meropenem-treated patients with seizures had pre-existing contributing factors. Among these are included prior history of seizures or CNS abnormality and concomitant medications with seizure potential. Dosage adjustment is recommended in patients with advanced age and/or adult patients with creatinine clearance of 50 mL/min or less [see Dosage and Administration (2.2)].

Close adherence to the recommended dosage regimens is urged, especially in patients with known factors that predispose to convulsive activity. Continue anti-convulsant therapy in patients with known seizure disorders. If focal tremors, myoclonus, or seizures occur, evaluate neurologically, placed on anti-convulsant therapy if not already instituted, and re-examine the dosage of meropenem to determine whether it should be decreased or discontinued.

1 Indications and Usage

Meropenem for injection (I.V.) is a penem antibacterial indicated for the treatment of:

  • Complicated skin and skin structure infections (adult patients and pediatric patients 3 months of age and older only). (1.1) 
  • Complicated intra-abdominal infections (adult and pediatric patients). (1.2) 
  • Bacterial meningitis (pediatric patients 3 months of age and older only). (1.3) 

To reduce the development of drug-resistant bacteria and maintain the effectiveness of meropenem for injection (I.V.) and other antibacterial drugs, meropenem for injection (I.V.) should only be used to treat or prevent infections that are proven or strongly suspected to be caused by susceptible bacteria.

Principal Display Panel

NDC 70121-1454-1

Meropenem for Injection USP (I.V.), 500 mg per vial

Rx only

Amneal Pharmaceuticals LLC

 

 

NDC 70121-1454-7

Meropenem for Injection USP (I.V.), 500 mg per vial

Rx only

Amneal Pharmaceuticals LLC

NDC 70121-1453-1

Meropenem for Injection USP (I.V.), 1 g per vial

Rx only

Amneal Pharmaceuticals LLC

NDC 70121-1453-7

Meropenem for Injection USP (I.V.), 1 g per vial

Rx only

Amneal Pharmaceuticals LLC

12.1 Mechanism of Action

Meropenem is an antibacterial drug [see Microbiology (12.4)].

14.3 Bacterial Meningitis

Four hundred forty-six patients (397 pediatric patients 3 months to less than 17 years of age) were enrolled in 4 separate clinical trials and randomized to treatment with meropenem (n=225) at a dose of 40 mg/kg every 8 hours or a comparator drug, i.e., cefotaxime (n=187) or ceftriaxone (n=34), at the approved dosing regimens. A comparable number of patients were found to be clinically evaluable (ranging from 61% to 68%) and with a similar distribution of pathogens isolated on initial CSF culture.

Patients were defined as clinically not cured if any one of the following three criteria were met:

  • At the 5 to 7 week post-completion of therapy visit, the patient had any one of the following: moderate to severe motor, behavior or development deficits, hearing loss of greater than 60 decibels in one or both ears, or blindness.
  • During therapy the patient’s clinical status necessitated the addition of other antibacterial drugs.
  • Either during or post-therapy, the patient developed a large subdural effusion needing surgical drainage, or a cerebral abscess, or a bacteriologic relapse.

Using the definition, the following efficacy rates were obtained, per organism (noted in Table 10). The values represent the number of patients clinically cured/number of clinically evaluable patients, with the percent cure in parentheses.

Table 10: Efficacy rates by Pathogen in the Clinically Evaluable Population with Bacterial Meningitis

MICROORGANISMS

MEROPENEM

COMPARATOR

S. pneumoniae

17/24 (71)

19/30 (63)

H. influenzae (+)1

8/10 (80)

6/6 (100)

H. influenzae (-/NT)2

44/59 (75)

44/60 (73)

N. meningitidis

30/35 (86)

35/39 (90)

Total (including others)

102/131 (78)

108/140 (77)

1. (+) β-lactamase-producing

2. (-/NT) non-β-lactamase-producing or not tested

Sequelae were the most common reason patients were assessed as clinically not cured.

Five patients were found to be bacteriologically not cured, 3 in the comparator group (1 relapse and 2 patients with cerebral abscesses) and 2 in the meropenem group (1 relapse and 1 with continued growth of Pseudomonas aeruginosa).

With respect to hearing loss, 263 of the 271 evaluable patients had at least one hearing test performed post-therapy. The following table shows the degree of hearing loss between the meropenem-treated patients and the comparator-treated patients.

Table 11: Hearing Loss at Post-Therapy in the Evaluable Population Treated with Meropenem

Degree of Hearing Loss

(in one or both ears)

Meropenem

n = 128

Comparator

n = 135

No loss

61%

56%

20 to 40 decibels

20%

24%

Greater than 40 to 60 decibels

8%

7%

Greater than 60 decibels

9%

10%

2.6 Stability and Storage

Freshly prepared solutions of meropenem for injection (I.V.) should be used. However, re-constituted solutions of meropenem for injection (I.V.) maintain satisfactory potency under the conditions described below. Solutions of intravenous meropenem for injection (I.V.) should not be frozen.

Intravenous Bolus Administration

Meropenem for injection (I.V.) vials re-constituted with sterile Water for Injection for bolus administration (up to 50 mg/mL of meropenem for injection (I.V.)) may be stored for up to 3 hours at up to 25°C (77°F) or for 13 hours at up to 5°C (41°F).

Intravenous Infusion Administration

Solutions prepared for infusion (meropenem for injection (I.V.) concentrations ranging from 1 mg/mL to 20 mg/mL) re-constituted with Sodium Chloride Injection 0.9% may be stored for 1 hour at up to 25°C (77°F) or 15 hours at up to 5°C (41°F).

Solutions prepared for infusion (meropenem for injection (I.V.) concentrations ranging from 1 mg/mL to 20 mg/mL) re-constituted with Dextrose Injection 5% should be used immediately.

5 Warnings and Precautions
  • Serious and occasionally fatal hypersensitivity (anaphylactic) reactions have been reported in patients receiving β-lactams. (5.1)
  • Severe cutaneous adverse reactions have been reported in patients receiving meropenem. (5.2)
  • Rhabdomyolysis: If signs or symptoms of rhabdomyolysis are observed, discontinue meropenem and initiate appropriate therapy. (5.3)
  • Seizures and other adverse CNS experiences have been reported during treatment. (5.4)
  • Co-administration of meropenem with valproic acid or divalproex sodium reduces the serum concentration of valproic acid potentially increasing the risk of breakthrough seizures. (5.5, 7.2)
  • Clostridioides difficile-associated diarrhea (ranging from mild diarrhea to fatal colitis) has been reported. Evaluate if diarrhea occurs. (5.6)
  • In patients with renal dysfunction, thrombocytopenia has been observed. (5.9)
2 Dosage and Administration
  • 500 mg every 8 hours by intravenous infusion over 15 to 30 minutes for complicated skin and skin structure infections (cSSSI) for adult patients. When treating infections caused by Pseudomonas aeruginosa, a dose of 1 gram every 8 hours is recommended. (2.1) 
  • 1 gram every 8 hours by intravenous infusion over 15 minutes to 30 minutes for intra-abdominal infections for adult patients. (2.1) 
  • 1 gram every 8 hours by intravenous bolus injection (5 mL to 20 mL) over 3 minutes to 5 minutes for adult patients. (2.1) 
  • Dosage should be reduced in adult patients with renal impairment. (2.2) 

Recommended Meropenem for Injection (I.V.) Dosage Schedule for Adult Patients with Renal Impairment

Creatinine Clearance

(mL/min)

Dose (dependent on type of infection)

Dosing Interval

Greater than 50

Recommended dose (500 mg cSSSI and 1 gram Intra-abdominal)

Every 8 hours

26 to 50

Recommended dose

Every 12 hours

10 to 25

One-half recommended dose

Every 12 hours

Less than 10

One-half recommended dose

Every 24 hours

Pediatric patients 3 months of age and older

Recommended Meropenem for Injection (I.V.) Dosage Schedule for Pediatric Patients 3 Months of Age and Older with Normal Renal Function (2.3) 

Type of Infection

Dose

(mg/kg)

Up to a

Maximum Dose

Dosing Interval

Complicated skin and skin structure*

10

500 mg

Every 8 hours

Intra-abdominal

20

1 gram

Every 8 hours

Meningitis

40

2 gram

Every 8 hours

- Intravenous infusion is to be given over approximately 15 minutes to 30 minutes.

- Intravenous bolus injection (5 mL to 20 mL) is to be given over approximately 3 minutes to 5 minutes.

- There is no experience in pediatric patients with renal impairment.

*20 mg/kg (or 1 gram for pediatric patients weighing over 50 kg) every 8 hours is recommended when treating complicated skin and skin structure infections caused by P. aeruginosa (2.3).

Pediatric patients less than 3 months of age

Recommended Meropenem for Injection (I.V.) Dosage Schedule for Pediatric Patients Less than 3 Months of Age with Complicated Intra-Abdominal Infections and Normal Renal Function (2.3) 

Age Group

Dose (mg/kg)

Dose Interval

Infants less than 32 weeks GA and PNA less than 2 weeks

20

Every 12 hours

Infants less than 32 weeks GA and PNA 2 weeks and older

20

Every 8 hours

Infants 32 weeks and older GA and PNA less than 2 weeks

20

Every 8 hours

Infants 32 weeks and older GA and PNA 2 weeks and older

30

Every 8 hours

- Intravenous infusion is to be given over 30 minutes.

- There is no experience in pediatric patients with renal impairment.

GA: gestational age and PNA: postnatal age

3 Dosage Forms and Strengths

Single dose clear glass vials of meropenem for injection, USP (I.V.) containing 500 mg or 1 gram (as the trihydrate blended with anhydrous sodium carbonate for re-constitution) of sterile meropenem powder.

2.3 Use in Pediatric Patients

Pediatric Patients 3 Months of Age and Older

  • For pediatric patients 3 months of age and older, the meropenem for injection (I.V.) dose is 10 mg/kg, 20 mg/kg or 40 mg/kg every 8 hours (maximum dose is 2 grams every 8 hours), depending on the type of infection (cSSSI, cIAI, intra-abdominal infection or meningitis). See dosing table 2 below.
  • For pediatric patients weighing over 50 kg administer meropenem for injection (I.V.) at a dose of 500 mg every 8 hours for cSSSI, 1 gram every 8 hours for cIAI and 2 grams every 8 hours for meningitis.
  • Administer meropenem for injection (I.V.) as an intravenous infusion over approximately 15 minutes to 30 minutes or as an intravenous bolus injection (5 mL to 20 mL) over approximately 3 minutes to 5 minutes.
  • There is limited safety data available to support the administration of a 40 mg/kg (up to a maximum of 2 grams) bolus dose.

Table 2: Recommended Meropenem for Injection (I.V.) Dosage Schedule for Pediatric Patients 3 Months of Age and Older with Normal Renal Function

Type of Infection

Dose (mg/kg)

Up to a Maximum Dose

Dosing Interval

Complicated skin and skin structure infections

10

500 mg

Every 8 hours

Complicated intra-abdominal infections

20

1 gram

Every 8 hours

Meningitis

40

2 grams

Every 8 hours

There is no experience in pediatric patients with renal impairment.

When treating cSSSI caused by P. aeruginosa, a dose of 20 mg/kg (or 1 gram for pediatric patients weighing over 50 kg) every 8 hours is recommended.

Pediatric Patients Less Than 3 Months of Age

For pediatric patients (with normal renal function) less than 3 months of age, with complicated intra-abdominal infections, the meropenem for injection (I.V.) dose is based on gestational age (GA) and postnatal age (PNA). See dosing table 3 below. Meropenem for injection (I.V.) should be given as intravenous infusion over 30 minutes.

Table 3: Recommended Meropenem for Injection (I.V.) Dosage Schedule for Pediatric Patients Less than 3 Months of Age with Complicated Intra-abdominal Infections and Normal Renal Function

Age Group

Dose (mg/kg)

Dose Interval

Infants less than 32 weeks GA and PNA less than 2 weeks

20

Every 12 hours

Infants less than 32 weeks GA and PNA 2 weeks and older

20

Every 8 hours

Infants 32 weeks and older GA and PNA less than 2 weeks

20

Every 8 hours

Infants 32 weeks and older GA and PNA 2 weeks and older

30

Every 8 hours

There is no experience in pediatric patients with renal impairment.

5.6 clostridioides Difficile

Clostridioides difficile-associated diarrhea (CDAD) has been reported with use of nearly all antibacterial agents, including meropenem, and may range in severity from mild diarrhea to fatal colitis. Treatment with antibacterial agents alters the normal flora of the colon leading to overgrowth of C. difficile.

C. difficile produces toxins A and B which contribute to the development of CDAD. Hypertoxin producing isolates of C. difficile cause increased morbidity and mortality, as these infections can be refractory to antimicrobial therapy and may require colectomy. CDAD must be considered in all patients who present with diarrhea following antibacterial drug use. Careful medical history is necessary since CDAD has been reported to occur over two months after the administration of antibacterial agents.

If CDAD is suspected or confirmed, ongoing antibacterial drug use not directed against C. difficile may need to be discontinued. Appropriate fluid and electrolyte management, protein supplementation, antibacterial drug treatment of C. difficile, and surgical evaluation should be instituted as clinically indicated.

6.2 Post Marketing Experience

The following adverse reactions have been identified during post-approval use of meropenem, including meropenem for injection (I.V.). Because these reactions are reported voluntarily from a population of uncertain size, it is not always possible to reliably estimate their frequency or establish a causal relationship to drug exposure.

Worldwide post-marketing adverse reactions not otherwise listed in the Adverse Reactions from Clinical Trials section of this prescribing information and reported as possibly, probably, or definitely drug related are listed within each body system in order of decreasing severity.

Blood and Lymphatic System Disorders: agranulocytosis, neutropenia, and leukopenia; a positive direct or indirect Coombs test, and hemolytic anemia.

Immune System Disorders: angioedema.  

Skin and Subcutaneous Disorders: Stevens-Johnson syndrome, toxic epidermal necrolysis, drug reaction with eosinophilia and systemic symptoms (DRESS), erythema multiforme and acute generalized exanthematous pustulosis.

Musculoskeletal Disorders: rhabdomyolysis.

Hepatic Disorders: drug-induced liver injury

8 Use in Specific Populations
  • Renal Impairment: Dose adjustment is necessary, if creatinine clearance is 50 mL/min or less. (2.2, 8.6)
5.1 Hypersensitivity Reactions

Serious and occasionally fatal hypersensitivity (anaphylactic) reactions have been reported in patients receiving therapy with β-lactams. These reactions are more likely to occur in individuals with a history of sensitivity to multiple allergens.

There have been reports of individuals with a history of penicillin hypersensitivity who have experienced severe hypersensitivity reactions when treated with another β-lactam. Before initiating therapy with meropenem, it is important to inquire about previous hypersensitivity reactions to penicillins, cephalosporins, other β-lactams and other allergens. If an allergic reaction to meropenem occurs, discontinue the drug immediately.

17 Patient Counseling Information
  • Counsel patients that antibacterial drugs including meropenem should only be used to treat bacterial infections. They do not treat viral infections (e.g., the common cold). When meropenem is prescribed to treat a bacterial infection, tell patients that although it is common to feel better early in the course of therapy, take the medication exactly as directed. Skipping doses or not completing the full course of therapy may (1) decrease the effectiveness of the immediate treatment and (2) increase the likelihood that bacteria will develop resistance and will not be treatable by meropenem or other antibacterial drugs in the future.
  • Counsel patients that diarrhea is a common problem caused by antibacterial drugs which usually ends when the antibacterial drug is discontinued. Sometimes after starting treatment with antibacterial drugs, patients can develop watery and bloody stools (with or without stomach cramps and fever) even as late as two or more months after having taken the last dose of the antibacterial drug. If this occurs, patients should contact their physician as soon as possible [see Warnings and Precautions (5.6) ].
  • Counsel patients to inform their physician if they are taking valproic acid or divalproex sodium. Valproic acid concentrations in the blood may drop below the therapeutic range upon co-administration with meropenem. If treatment with meropenem is necessary and continued, alternative or supplemental anti-convulsant medication to prevent and/or treat seizures may be needed [see Warnings and Precautions (5.5) ].
  • Patients receiving meropenem on an outpatient basis must be alerted of adverse events such as seizures, delirium, headaches and/or paresthesias that could interfere with mental alertness and/or cause motor impairment. Until it is reasonably well established that meropenem is well tolerated, patients should not operate machinery or motorized vehicles [see Warnings and Precautions (5.10) ].

Manufactured for:

Amneal Pharmaceuticals LLC

Bridgewater, NJ 08807

Made in Taiwan

Rev. 06-2025-09

8.6 Patients With Renal Impairment

Dosage adjustment is necessary in patients with creatinine clearance 50 mL/min or less [see Dosage and Administration (2.2), Warnings and Precautions (5.9), and Clinical Pharmacology (12.3 )].

16 How Supplied/storage and Handling

Meropenem for injection, USP (I.V.) is supplied in 20 mL and 30 mL injection vials containing sufficient meropenem to deliver 500 mg or 1 gram for intravenous administration, respectively. The dry powder should be stored at controlled room temperature 20° to 25°C (68° to 77°F) [see USP Controlled Room Temperature].

500 mg Injection Vial (NDC 70121-1454-1) [Cartons of 10 - NDC 70121-1454-7]

1 gram Injection Vial (NDC 70121-1453-1) [Cartons of 10 - NDC 70121-1453-7]

5.2 Severe Cutaneous Adverse Reactions

Severe cutaneous adverse reactions (SCAR) such as Stevens-Johnson syndrome (SJS), toxic epidermal necrolysis (TEN), drug reaction with eosinophilia and systemic symptoms (DRESS), erythema multiforme (EM) and acute generalized exanthematous pustulosis (AGEP) have been reported in patients receiving meropenem [see Adverse Reactions (6.2) ]. If signs and symptoms suggestive of these reactions appear, meropenem should be withdrawn immediately and an alternative treatment should be considered.

5.10 Potential for Neuromotor Impairment

Alert patients receiving meropenem on an outpatient basis regarding adverse events such as seizures, delirium, headaches and/or paresthesias that could interfere with mental alertness and/or cause motor impairment. Until it is reasonably well established that meropenem is well tolerated, advise patients not to operate machinery or motorized vehicles [see Adverse Reactions (6.1)].

5.7 Development of Drug Resistant Bacteria

Prescribing meropenem in the absence of a proven or strongly suspected bacterial infection or a prophylactic indication is unlikely to provide benefit to the patient and increases the risk of the development of drug-resistant bacteria.

5.8 Overgrowth of Nonsusceptible Organisms

As with other broad-spectrum antibacterial drugs, prolonged use of meropenem may result in overgrowth of nonsusceptible organisms. Repeated evaluation of the patient is essential. If superinfection does occur during therapy, appropriate measures should be taken.

6.1 Adverse Reactions From Clinical Trials

Because clinical trials are conducted under widely varying conditions, adverse reactions rates observed in the clinical trials of a drug cannot be directly compared to rates in the clinical trials of another drug and may not reflect the rates observed in practice.

Adult Patients:

During clinical investigations, 2,904 immunocompetent adult patients were treated for non-CNS infections with meropenem (500 mg or 1 gram every 8 hours). Deaths in 5 patients were assessed as possibly related to meropenem; 36 (1.2%) patients had meropenem discontinued because of adverse events. Many patients in these trials were severely ill and had multiple background diseases, physiological impairments and were receiving multiple other drug therapies. In the seriously ill patient population, it was not possible to determine the relationship between observed adverse events and therapy with meropenem.

The following adverse reaction frequencies were derived from the clinical trials in the 2,904 patients treated with meropenem.

Local Adverse Reactions

Local adverse events that were reported with meropenem were as follows:

Inflammation at the injection site       2.4%

Injection site reaction                          0.9%

Phlebitis/thrombophlebitis                  0.8%

Pain at the injection site                      0.4%

Edema at the injection site                  0.2%

Systemic Adverse Reactions

Systemic adverse events that were reported with meropenem occurring in greater than 1.0% of the patients were diarrhea (4.8%), nausea/vomiting (3.6%), headache (2.3%), rash (1.9%), sepsis (1.6%), constipation (1.4%), apnea (1.3%), shock (1.2%) and pruritus (1.2%).

Additional systemic adverse events that were reported with meropenem and occurring in less than or equal to 1.0% but greater than 0.1% of the patients are listed below within each body system in order of decreasing frequency:

Bleeding events were seen as follows: gastrointestinal hemorrhage (0.5%), melena (0.3%), epistaxis (0.2%), hemoperitoneum (0.2%).

Body as a Whole: pain, abdominal pain, chest pain, fever, back pain, abdominal enlargement, chills, pelvic pain

Cardiovascular: heart failure, heart arrest, tachycardia, hypertension, myocardial infarction, pulmonary embolus, bradycardia, hypotension, syncope

Digestive System: oral moniliasis, anorexia, cholestatic jaundice/jaundice, flatulence, ileus, hepatic failure, dyspepsia, intestinal obstruction

Hemic/Lymphatic: anemia, hypochromic anemia, hypervolemia

Metabolic/Nutritional: peripheral edema, hypoxia

Nervous System: insomnia, agitation, delirium, confusion, dizziness, seizure, nervousness, paresthesia, hallucinations, somnolence, anxiety, depression, asthenia [see Warnings and Precautions (5.4) and (5.10)]

Respiratory: respiratory disorder, dyspnea, pleural effusion, asthma, cough increased, lung edema

Skin and Appendages: urticaria, sweating, skin ulcer

Urogenital System: dysuria, kidney failure, vaginal moniliasis, urinary incontinence

Adverse Laboratory Changes

Adverse laboratory changes that were reported and occurring in greater than 0.2% of the patients were as follows:

Hepatic: increased alanine transaminase (ALT), aspartate transaminase (AST), alkaline phosphatase, lactate dehydrogenase (LDH), and bilirubin

Hematologic: increased platelets, increased eosinophils, decreased platelets, decreased hemoglobin, decreased hematocrit, decreased white blood cell (WBC), shortened prothrombin time and shortened partial thromboplastin time, leukocytosis, hypokalemia

Renal: increased creatinine and increased blood urea nitrogen (BUN)

Urinalysis: presence of red blood cells

Complicated Skin and Skin Structure Infections

In a study of complicated skin and skin structure infections, the adverse reactions were similar to those listed above. The most common adverse events occurring in greater than 5% of the patients were: headache (7.8%), nausea (7.8%), constipation (7.0%), diarrhea (7.0%), anemia (5.5%), and pain (5.1%). Adverse events with an incidence of greater than 1%, and not listed above, include: pharyngitis, accidental injury, gastrointestinal disorder, hypoglycemia, peripheral vascular disorder, and pneumonia.

Patients with Renal Impairment:

For patients with varying degrees of renal impairment, the incidence of heart failure, kidney failure, seizure and shock reported with meropenem, increased in patients with moderately severe renal impairment (creatinine clearance 10 to 26 mL/min) [see Dosage and Administration (2.2) , Warnings and Precautions (5.10) , Use in Specific Populations (8.5) and (8.6)  and Clinical Pharmacology (12.3 )].

Pediatric Patients:

Systemic and Local Adverse Reactions

Pediatric Patients with Serious Bacterial Infections (excluding Bacterial Meningitis):

Meropenem was studied in 515 pediatric patients (3 months to less than 13 years of age) with serious bacterial infections (excluding meningitis, see next section) at dosages of 10 mg/kg to 20 mg/kg every 8 hours. The types of systemic and local adverse events seen in these patients are similar to the adults, with the most common adverse events reported as possibly, probably, or definitely related to meropenem and their rates of occurrence as follows:

Diarrhea                                  3.5%

Rash                                       1.6%

Nausea and Vomiting              0.8%

Pediatric Patients with Bacterial Meningitis:

Meropenem was studied in 321 pediatric patients (3 months to less than 17 years of age) with meningitis at a dosage of 40 mg/kg every 8 hours. The types of systemic and local adverse events seen in these patients are similar to the adults, with the most common adverse reactions reported as possibly, probably, or definitely related to meropenem and their rates of occurrence as follows:

Diarrhea                                                        4.7%

Rash (mostly diaper area moniliasis)            3.1%

Oral Moniliasis                                               1.9%

Glossitis                                                         1.0%

In the meningitis studies, the rates of seizure activity during therapy were comparable between patients with no CNS abnormalities who received meropenem and those who received comparator agents (either cefotaxime or ceftriaxone). In the meropenem treated group, 12/15 patients with seizures had late onset seizures (defined as occurring on day 3 or later) versus 7/20 in the comparator arm. The meropenem group had a statistically higher number of patients with transient elevation of liver enzymes.

Pediatric Patients (Neonates and Infants less than 3 months of Age):

Meropenem was studied in 200 neonates and infants less than 3 months of age. The study was open-label, uncontrolled, 98% of the infants received concomitant medications, and the majority of adverse events were reported in neonates less than 32 weeks gestational age and critically ill at baseline, making it difficult to assess the relationship of the adverse events to meropenem.

The adverse reactions seen in these patients that were reported and their rates of occurrence are as follows:

Convulsion                                                      5.0%

Hyperbilirubinemia (conjugated)                    4.5%

Vomiting                                                         2.5%

Adverse Laboratory Changes in Pediatric Patients:

Laboratory changes seen in the pediatric studies, including the meningitis studies, were similar to those reported in the adult studies.

14.2 Complicated Intra Abdominal Infections

One controlled clinical study of complicated intra-abdominal infection was performed in the United States where meropenem was compared with clindamycin/tobramycin. Three controlled clinical studies of complicated intra-abdominal infections were performed in Europe; meropenem was compared with imipenem (two trials) and cefotaxime/metronidazole (one trial).

Using strict evaluability criteria and microbiologic eradication and clinical cures at follow-up which occurred 7 or more days after completion of therapy, the presumptive microbiologic eradication/clinical cure rates and statistical findings are provided in Table 9:

Table 9: Presumptive Microbiologic Eradication and Clinical Cure Rates at Test-of-Cure Visit in the Evaluable Population with Complicated Intra-Abdominal Infection

Treatment Arm

No. evaluable/ No. enrolled (%)

Microbiologic Eradication Rate

Clinical Cure Rate

Outcome

meropenem

146/516 (28%)

98/146 (67%)

101/146 (69%)

imipenem

65/220 (30%)

40/65 (62%)

42/65 (65%)

Meropenem equivalent to control

cefotaxime/

metronidazole

26/85 (30%)

22/26 (85%)

22/26 (85%)

Meropenem not equivalent to control

clindamycin/

tobramycin

50/212 (24%)

38/50 (76%)

38/50 (76%)

Meropenem equivalent to control

The finding that meropenem was not statistically equivalent to cefotaxime/metronidazole may have been due to uneven assignment of more seriously ill patients to the meropenem arm. Currently there is no additional information available to further interpret this observation.

2.2 Use in Adult Patients With Renal Impairment

Dosage should be reduced in patients with creatinine clearance of 50 mL/min or less. (See dosing table below.)

When only serum creatinine is available, the following formula (Cockcroft and Gault equation)1 may be used to estimate creatinine clearance.

Males: Creatinine Clearance (mL/min) =

Weight (kg) x (140 - age)

72 x serum creatinine (mg/dL)

Females: 0.85 x above value

Table 1: Recommended Meropenem for Injection (I.V.) Dosage Schedule for Adult Patients with Renal Impairment

Creatinine Clearance (mL/min)

Dose (dependent on type of infection)

Dosing Interval

Greater than 50

Recommended dose (500 mg cSSSI and 1 gram Intra-abdominal)

Every 8 hours

26 to 50

Recommended dose

Every 12 hours

10 to 25

One-half recommended dose

Every 12 hours

Less than 10

One-half recommended dose

Every 24 hours

There is inadequate information regarding the use of meropenem for injection (I.V.) in patients on hemodialysis or peritoneal dialysis.

14.1 Complicated Skin and Skin Structure Infections

Adult patients with complicated skin and skin structure infections including complicated cellulitis, complex abscesses, perirectal abscesses, and skin infections requiring intravenous antimicrobials, hospitalization, and surgical intervention were enrolled in a randomized, multi-center, international, double-blind trial. The study evaluated meropenem at doses of 500 mg administered intravenously every 8 hours and imipenem-cilastatin at doses of 500 mg administered intravenously every 8 hours. The study compared the clinical response between treatment groups in the clinically evaluable population at the follow-up visit (test-of-cure). The trial was conducted in the United States, South Africa, Canada, and Brazil. At enrollment, approximately 37% of the patients had underlying diabetes, 12% had underlying peripheral vascular disease and 67% had a surgical intervention. The study included 510 patients randomized to meropenem and 527 patients randomized to imipenem-cilastatin. Two hundred and sixty one (261) patients randomized to meropenem and 287 patients randomized to imipenem-cilastatin were clinically evaluable. The success rates in the clinically evaluable patients at the follow-up visit were 86% (225/261) in the meropenem arm and 83% (238/287) in imipenem-cilastatin arm.

The success rates for the clinically evaluable population are provided in Table 7.

Table 7: Success Rates at Test-of-Cure Visit for Clinically Evaluable Population with Complicated Skin and Skin Structure Infections

Population

Meropenem

n1/N2 (%)

Imipenem-cilastatin

n1/N2 (%)

Total

225/261 (86)

238/287 (83)

Diabetes mellitus

83/97 (86)

76/105 (72)

No diabetes mellitus

142/164 (87)

162/182 (89)

Less than 65 years of age

190/218 (87)

205/241 (85)

65 years of age or older

35/43 (81)

33/46 (72)

Men

130/148 (88)

137/172 (80)

Women

95/113 (84)

101/115 (88)

1. n=number of patients with satisfactory response.

2. N=number of patients in the clinically evaluable population or respective subgroup within treatment groups.

The clinical efficacy rates by pathogen are provided in Table 8. The values represent the number of patients clinically cured/number of clinically evaluable patients at the post-treatment follow-up visit, with the percent cure in parentheses (Fully Evaluable analysis set).

Table 8: Clinical Efficacy Rates by Pathogen for Clinically Evaluable Population

MICROORGANISMS1

Meropenem

n2/N3 (%)4

Imipenem-cilastatin

n2/N3 (%)4

Gram-positive aerobes





Staphylococcus aureus,

methicillin susceptible

82/88 (93)

84/100 (84)

Streptococcus pyogenes

(Group A)

26/29 (90)

28/32 (88)

Streptococcus agalactiae

(Group B)

12/17 (71)

16/19 (84)

Enterococcus faecalis

9/12 (75)

14/20 (70)

Viridans group streptococci

11/12 (92)

5/6 (83)

Gram-negative aerobes





Escherichia coli

12/15 (80)

15/21 (71)

Pseudomonas aeruginosa

11/15 (73)

13/15 (87)

Proteus mirabilis

11/13 (85)

6/7 (86)

Anaerobes





Bacteroides fragilis

10/11 (91)

9/10 (90)

Peptostreptococcus Species

10/13 (77)

14/16 (88)

1. Patients may have more than one pretreatment pathogen.

2. n=number of patients with satisfactory response.

3. N=number of patients in the clinically evaluable population or subgroup within treatment groups.

4. %= Percent of satisfactory clinical response at follow-up evaluation.

The proportion of patients who discontinued study treatment due to an adverse event was similar for both treatment groups (meropenem, 2.5% and imipenem-cilastatin, 2.7%).

13.1 Carcinogenesis, Mutagenesis, Impairment of Fertility

Carcinogenesis:

Carcinogenesis studies have not been performed.

Mutagenesis:

Genetic toxicity studies were performed with meropenem using the bacterial reverse mutation test, the Chinese hamster ovary HGPRT assay, cultured human lymphocytes cytogenic assay, and the mouse micronucleus test. There was no evidence of mutagenic potential found in any of these tests.

Impairment of Fertility:

In fertility studies, intravenous meropenem was administered to male rats beginning 11 weeks before mating and throughout mating and to female rats from 2 weeks before mating through Gestation Day 7 at doses of 240, 500, and 1000 mg/kg/day. There was no evidence of impaired fertility at doses up to 1000 mg/kg/day (on the basis of body surface area comparison, approximately 3.2 times to the MRHD of 1 gram every 8 hours).

2.4 Preparation and Administration of Meropenem for Injection (i.v.)

Important Administration Instructions:

Parenteral drug products should be inspected visually for particulate matter and discoloration prior to administration, whenever solution and container permit.

For Intravenous Bolus Administration

Re-constitute injection vials (500 mg and 1 gram) with sterile Water for Injection (see table 4 below). Shake to dissolve and let stand until clear.

Table 4: Volume of Sterile Water for Injection for Reconstitution of Injection Vials

Vial Size

Amount of Diluent Added

(mL)

Approximate Withdrawable Volume

(mL)

Approximate Average Concentration

(mg/mL)

500 mg

10

10

50

1 gram

20

20

50

For Infusion

  • Injection vials (500 mg and 1 gram) may be directly re-constituted with a compatible infusion fluid.
  • Alternatively, an injection vial may be re-constituted, then the resulting solution added to an intravenous container and further diluted with an appropriate infusion fluid [see Dosage and Administration (2.5) and (2.6)].
  • Do not use flexible container in series connections.
1.2 Complicated Intra Abdominal Infections (adult and Pediatric Patients)

Meropenem for injection (I.V.) is indicated for the treatment of complicated appendicitis and peritonitis caused by viridans group streptococci, Escherichia coli, Klebsiella pneumoniae, Pseudomonas aeruginosa, Bacteroides fragilis, B. thetaiotaomicron, and Peptostreptococcus species.

1.3 Bacterial Meningitis (pediatric Patients 3 Months of Age and Older Only)

Meropenem for injection (I.V.) is indicated for the treatment of bacterial meningitis caused by Haemophilus influenzae, Neisseria meningitidis and penicillin-susceptible isolates of Streptococcus pneumoniae.

Meropenem for injection (I.V.) has been found to be effective in eliminating concurrent bacteremia in association with bacterial meningitis.

5.5 Risk of Breakthrough Seizures Due to Drug Interaction With Valproic Acid

The concomitant use of meropenem and valproic acid or divalproex sodium is generally not recommended. Case reports in the literature have shown that co-administration of carbapenems, including meropenem, to patients receiving valproic acid or divalproex sodium results in a reduction in valproic acid concentrations. The valproic acid concentrations may drop below the therapeutic range as a result of this interaction, therefore increasing the risk of breakthrough seizures. Increasing the dose of valproic acid or divalproex sodium may not be sufficient to overcome this interaction. Consider administration of antibacterial drugs other than carbapenems to treat infections in patients whose seizures are well controlled on valproic acid or divalproex sodium. If administration of meropenem is necessary, consider supplemental anti-convulsant therapy [see Drug Interactions (7.2)].

1.1 Complicated Skin and Skin Structure Infections (adult Patients and Pediatric Patients 3 Months of Age and Older Only)

Meropenem for injection (I.V.) is indicated for the treatment of complicated skin and skin structure infections (cSSSI) due to Staphylococcus aureus (methicillin-susceptible isolates only), Streptococcus pyogenes, Streptococcus agalactiae, viridans group streptococci, Enterococcus faecalis (vancomycin-susceptible isolates only), Pseudomonas aeruginosa, Escherichia coli, Proteus mirabilis, Bacteroides fragilis, and Peptostreptococcus species.


Structured Label Content

Data

Meropenem administered to pregnant rats during organogenesis (Gestation Day 6 to Gestation Day 17) in intravenous doses of 240, 500, and 750 mg/kg/day was associated with mild maternal weight loss at all doses, but did not produce malformations or fetal toxicity. The no-observed-adverse-effect-level (NOAEL) for fetal toxicity in this study was considered to be the high dose of 750 mg/kg/day (equivalent to approximately 2.4 times the MRHD of 1 gram every 8 hours based on body surface area comparison). Meropenem administered intravenously to pregnant Cynomolgus monkeys during organogenesis from Day 20 to 50 after mating at doses of 120, 240, and 360 mg/kg/day did not produce maternal or fetal toxicity at the NOAEL dose of 360 mg/kg/day (approximately 2.3 times the MRHD based on body surface area comparison).

In a peri-postnatal study in rats described in the published literature2, intravenous meropenem was administered to dams from Gestation Day 17 until Lactation Day 21 at doses of 240, 500, and 1000 mg/kg/day. There were no adverse effects in the dams and no adverse effects in the first-generation offspring (including developmental, behavioral, and functional assessments and reproductive parameters) except that female offspring exhibited lowered body weights which continued during gestation and nursing of the second-generation offspring. Second-generation offspring showed no meropenem-related effects. The NOAEL value was considered to be 1000 mg/kg/day (approximately 3.2 times the MRHD based on body surface area comparisons).

1.4 Usage

To reduce the development of drug-resistant bacteria and maintain the effectiveness of meropenem for injection (I.V.) and other antibacterial drugs, meropenem for injection (I.V.) should only be used to treat or prevent infections that are proven or strongly suspected to be caused by susceptible bacteria. When culture and susceptibility information are available, they should be considered in selecting or modifying antibacterial therapy. In the absence of such data, local epidemiology and susceptibility patterns may contribute to the empiric selection of therapy.

10 Overdosage (10 OVERDOSAGE)

In mice and rats, large intravenous doses of meropenem (2,200 mg/kg to 4,000 mg/kg) have been associated with ataxia, dyspnea, convulsions, and mortalities.

Intentional overdosing of meropenem is unlikely, although accidental overdosing might occur if large doses are given to patients with reduced renal function. The largest dose of meropenem administered in clinical trials has been 2 grams given intravenously every 8 hours. At this dosage, no adverse pharmacological effects or increased safety risks have been observed.

Limited post-marketing experience indicates that if adverse events occur following overdosage, they are consistent with the adverse event profile described in the Adverse Reactions section and are generally mild in severity and resolve on withdrawal or dose reduction. Consider symptomatic treatments. In individuals with normal renal function, rapid renal elimination takes place. Meropenem and its metabolite are readily dialyzable and effectively removed by hemodialysis; however, no information is available on the use of hemodialysis to treat overdosage.

15 References (15 REFERENCES)

1.   Cockcroft DW, MH Gault, 1976, Prediction of creatinine clearance from serum creatinine, Nephron., 16:31-41.

2.   Kawamura S, AW Russell, SJ Freeman, and RA Siddall, 1992, Reproductive and Developmental Toxicity of Meropenem in Rats, Chemotherapy, 40:S238-250.

8.1 Pregnancy

Risk Summary

There are insufficient human data to establish whether there is a drug-associated risk of major birth defects or miscarriages with meropenem in pregnant women.

No fetal toxicity or malformations were observed in pregnant rats and Cynomolgus monkeys administered intravenous meropenem during organogenesis at doses up to 2.4 and 2.3 times the maximum recommended human dose (MRHD) based on body surface area comparison, respectively. In rats administered intravenous meropenem in late pregnancy and during the lactation period, there were no adverse effects on offspring at doses equivalent to approximately 3.2 times the MRHD based on body surface area comparison (see Data ).

The background risk of major birth defects and miscarriage for the indicated population is unknown. All pregnancies have a background risk of birth defect, loss, or other adverse outcomes. In the U.S. general population, the estimated background risk of major birth defects and miscarriage in clinically recognized pregnancies is 2% to 4% and 15% to 20%, respectively.

8.2 Lactation

Risk Summary

Meropenem has been reported to be excreted in human milk. No information is available on the effects of meropenem on the breast-fed child or on milk production. The developmental and health benefits of breastfeeding should be considered along with the mother’s clinical need for meropenem and any potential adverse effects on the breast-fed child from meropenem or from the underlying maternal conditions.

11 Description (11 DESCRIPTION)

Meropenem for injection, USP (I.V.) is a sterile, pyrogen-free, synthetic, carbapenem antibacterial for intravenous administration. It is (4R,5S,6S)-3- [[(3S,5S)-5-(Dimethylcarbamoyl)-3-pyrrolidinyl]thio]-6- [(1R)-1-hydroxyethyl]-4-methyl-7-oxo-1-azabicyclo[3.2.0]hept-2-ene-2-carboxylic acid trihydrate. Its empirical formula is C17H25N3O5S•3H2O with a molecular weight of 437.52. Its structural formula is:

Meropenem, USP is a white to pale yellow crystalline powder. The solution varies from colorless to yellow depending on the concentration. The pH of freshly constituted solutions is between 7.3 and 8.3. Meropenem, USP is soluble in 5% monobasic potassium phosphate solution, sparingly soluble in water, very slightly soluble in hydrated ethanol, and practically insoluble in acetone or ether.

When re-constituted as instructed, each 1 gram meropenem for injection, USP (I.V.) vial will deliver 1 gram of meropenem, USP and 90.2 mg of sodium as sodium carbonate (3.92 mEq). Each 500 mg meropenem for injection, USP (I.V.) vial will deliver 500 mg meropenem, USP and 45.1 mg of sodium as sodium carbonate (1.96 mEq) [see Dosage and Administration (2.4 ) ].

7.1 Probenecid

Probenecid competes with meropenem for active tubular secretion, resulting in increased plasma concentrations of meropenem. Co-administration of probenecid with meropenem is not recommended.

12.4 Microbiology

Mechanism of Action

The bactericidal activity of meropenem results from the inhibition of cell wall synthesis. Meropenem penetrates the cell wall of most gram-positive and gram-negative bacteria to bind penicillin-binding-protein (PBP) targets. Meropenem binds to  PBPs 2, 3 and 4 of Escherichia coli and Pseudomonas aeruginosa; and PBPs 1, 2 and 4 of Staphylococcus aureus. Bactericidal concentrations (defined as a 3 log10 reduction in cell counts within 12 hours to 24 hours) are typically 1 to 2 times the bacteriostatic concentrations of meropenem, with the exception of Listeria monocytogenes, against which lethal activity is not observed.

Meropenem does not have in vitro activity against methicillin-resistant Staphylococcus aureus (MRSA) or methicillin-resistant Staphylococcus epidermidis (MRSE).

Resistance

There are several mechanisms of resistance to carbapenems: 1) decreased permeability of the outer membrane of gram-negative bacteria (due to diminished production of porins) causing reduced bacterial uptake, 2) reduced affinity of the target PBPs, 3) increased expression of efflux pump components, and 4) production of antibacterial drug-destroying enzymes (carbapenemases, metallo-β-lactamases).



Cross-resistance is sometimes observed with isolates resistant to other carbapenems.

Interaction with Other Antimicrobials

In vitro tests show meropenem to act synergistically with aminoglycoside antibacterial drugs against some isolates of Pseudomonas aeruginosa.

Antimicrobial Activity

Meropenem has been shown to be active against most isolates of the following microorganisms, both in vitro and in clinical infections [see Indications and Usage (1)].

Gram-positive bacteria

Enterococcus faecalis (vancomycin-susceptible isolates only)

Staphylococcus aureus (methicillin-susceptible isolates only)

Streptococcus agalactiae

Streptococcus pneumoniae (penicillin-susceptible isolates only)

Streptococcus pyogenes

Viridans group streptococci

Gram-negative bacteria

Escherichia coli

Haemophilus influenzae

Klebsiella pneumoniae

Neisseria meningitidis

Proteus mirabilis

Pseudomonas aeruginosa

Anaerobic bacteria

Bacteroides fragilis

Bacteroides thetaiotaomicron

Peptostreptococcus species

The following in vitro data are available, but their clinical significance is unknown. At least 90% of the following bacteria exhibit an in vitro minimum inhibitory concentration (MIC) less than or equal to the susceptible breakpoint for meropenem against isolates of similar genus or organism group. However, the efficacy of meropenem in treating clinical infections caused by these bacteria have not been established in adequate and well-controlled clinical trials.

Gram-positive bacteria

Staphylococcus epidermidis (methicillin-susceptible isolates only)

Gram-negative bacteria

Aeromonas hydrophila

Campylobacter jejuni

Citrobacter freundii

Citrobacter koseri

Enterobacter cloacae

Hafnia alvei

Klebsiella oxytoca

Moraxella catarrhalis

Morganella morganii

Pasteurella multocida

Proteus vulgaris

Serratia marcescens

Anaerobic bacteria

Bacteroides ovatus

Bacteroides uniformis

Bacteroides ureolyticus

Bacteroides vulgatus

Clostridium difficile

Clostridium perfringens

Eggerthella lenta

Fusobacterium species

Parabacteroides distasonis

Porphyromonas asaccharolytica

Prevotella bivia

Prevotella intermedia

Prevotella melaninogenica

Propionibacterium acnes

Susceptibility Testing

For specific information regarding susceptibility test interpretive criteria and associated test methods and quality control standards recognized by FDA for this drug, please see: https://www.fda.gov/STIC.

2.5 Compatibility

Compatibility of meropenem for injection (I.V.) with other drugs has not been established. Meropenem for injection (I.V.) should not be mixed with or physically added to solutions containing other drugs.

7.2 Valproic Acid

Case reports in the literature have shown that co-administration of carbapenems, including meropenem, to patients receiving valproic acid or divalproex sodium results in a reduction in valproic acid concentrations. The valproic acid concentrations may drop below the therapeutic range as a result of this interaction, therefore increasing the risk of breakthrough seizures. Although the mechanism of this interaction is unknown, data from in vitro and animal studies suggest that carbapenems may inhibit the hydrolysis of valproic acid’s glucuronide metabolite (VPA-g) back to valproic acid, thus decreasing the serum concentrations of valproic acid. If administration of meropenem is necessary, then supplemental anti-convulsant therapy should be considered [see Warnings and Precautions (5.5 ) ].

8.4 Pediatric Use

The safety and effectiveness of meropenem have been established for pediatric patients 3 months of age and older with complicated skin and skin structure infections  and bacterial meningitis, and for pediatric patients of all ages with complicated intra-abdominal infections.

Skin and Skin Structure Infections

Use of meropenem in pediatric patients 3 months of age and older with complicated skin and skin structure infections is supported by evidence from an adequate and well-controlled study in adults and additional data from pediatric pharmacokinetics studies [see Indications and Usage (1.3), Dosage and Administration (2.3), Adverse Reactions (6.1)Clinical Pharmacology (12.3) and Clinical Studies (14.1 ) ].

Intra-abdominal Infections

Use of meropenem in pediatric patients 3 months of age and older with intra-abdominal infections is supported by evidence from adequate and well-controlled studies in adults with additional data from pediatric pharmacokinetics studies and controlled clinical trials in pediatric patients. Use of meropenem in pediatric patients less than 3 months of age with intra-abdominal infections is supported by evidence from adequate and well-controlled studies in adults with additional data from a pediatric pharmacokinetic and safety study [see Indications and Usage (1.2), Dosage and Administration (2.3), Adverse Reactions (6.1)Clinical Pharmacology (12.3)  and Clinical Studies (14.2)].

Bacterial Meningitis

Use of meropenem in pediatric patients 3 months of age and older with bacterial meningitis is supported by evidence from adequate and well-controlled studies in the pediatric population [see Indications and Usage (1.3), Dosage and Administration (2.3), Adverse Reactions (6.1)Clinical Pharmacology (12.3) and Clinical Studies (14.3)].

8.5 Geriatric Use

Of the total number of subjects in clinical studies of meropenem, approximately 1,100 (30%) were 65 years of age and older, while 400 (11%) were 75 years and older. Additionally, in a study of 511 patients with complicated skin and skin structure infections, 93 (18%) were 65 years of age and older, while 38 (7%) were 75 years and older. No overall differences in safety or effectiveness were observed between these subjects and younger subjects; spontaneous reports and other reported clinical experience have not identified differences in responses between the elderly and younger patients, but greater sensitivity of some older individuals cannot be ruled out.

Meropenem is known to be substantially excreted by the kidney, and the risk of adverse reactions to this drug may be greater in patients with renal impairment. Because elderly patients are more likely to have decreased renal function, care should be taken in dose selection, and it may be useful to monitor renal function.

A pharmacokinetic study with meropenem in elderly patients has shown a reduction in the plasma clearance of meropenem that correlates with age-associated reduction in creatinine clearance [see Clinical Pharmacology (12.3)].

2.1 Adult Patients

The recommended dose of meropenem for injection (I.V.) is 500 mg given every 8 hours for skin and skin structure infections and 1 gram given every 8 hours for intra-abdominal infections. When treating complicated skin and skin structure infections caused by P. aeruginosa, a dose of 1 gram every 8 hours is recommended.

Meropenem for injection (I.V.) should be administered by intravenous infusion over approximately 15 minutes to 30 minutes. Doses of 1 gram may also be administered as an intravenous bolus injection (5 mL to 20 mL) over approximately 3 minutes to 5 minutes.

5.3 Rhabdomyolysis

Rhabdomyolysis has been reported with the use of meropenem [see Adverse Reactions (6.2)]. If signs or symptoms of rhabdomyolysis such as muscle pain, tenderness or weakness, dark urine or elevated creatine phosphokinase are observed, discontinue meropenem and initiate appropriate therapy.

4 Contraindications (4 CONTRAINDICATIONS)

Meropenem for injection (I.V.) is contraindicated in patients with known hypersensitivity to any component of this product or to other drugs in the same class or in patients who have demonstrated anaphylactic reactions to beta (β)-lactams.

6 Adverse Reactions (6 ADVERSE REACTIONS)

The following are discussed in greater detail in other sections of labeling:

7 Drug Interactions (7 DRUG INTERACTIONS)
  • Co-administration of meropenem with probenecid inhibits renal excretion of meropenem and is therefore not recommended. (7.1)
  • The concomitant use of meropenem and valproic acid or divalproex sodium is generally not recommended. Antibacterial drugs other than carbapenems should be considered to treat infections in patients whose seizures are well controlled on valproic acid or divalproex sodium. (5.5, 7.2)
5.9 Thrombocytopenia

In patients with renal impairment, thrombocytopenia has been observed but no clinical bleeding reported [see Dosage and Administration (2.2), Adverse Reactions (6.1)Use in Specific Populations (8.5) and (8.6) , and Clinical Pharmacology (12.3)].

Recent Major Changes (RECENT MAJOR CHANGES)

Warnings and Precautions

Severe Cutaneous Adverse Reactions (5.2)                     6/2018

12.2 Pharmacodynamics

The percentage of time of a dosing interval that unbound plasma concentration of meropenem exceeds the meropenem minimum inhibitory concentration (MIC) against the infecting organism has been shown to best correlate with efficacy in animal and in vitro models of infection.

12.3 Pharmacokinetics

Plasma Concentrations

At the end of a 30-minute intravenous infusion of a single dose of meropenem in healthy volunteers, mean peak plasma concentrations of meropenem are approximately 23 mcg/mL (range 14 to 26) for the 500 mg dose and 49 mcg/mL (range 39 to 58) for the 1 gram dose. A 5-minute intravenous bolus injection of meropenem in healthy volunteers results in mean peak plasma concentrations of approximately 45 mcg/mL (range 18 to 65) for the 500 mg dose and 112 mcg/mL (range 83 to 140) for the 1 gram dose.

Following intravenous doses of 500 mg, mean plasma concentrations of meropenem usually decline to approximately 1 mcg/mL at 6 hours after administration.

No accumulation of meropenem in plasma was observed with regimens using 500 mg administered every 8 hours or 1 gram administered every 6 hours in healthy volunteers with normal renal function.

Distribution

The plasma protein binding of meropenem is approximately 2%.

After a single intravenous dose of meropenem, the highest mean concentrations of meropenem were found in tissues and fluids at 1 hour (0.5 hours to 1.5 hours) after the start of infusion, except where indicated in the tissues and fluids listed in Table 5 below.

Table 5: Meropenem Concentrations in Selected Tissues (Highest Concentrations Reported)

Tissue

Intravenous. Dose (gram)

Number of Samples

Mean [mcg/mL or mcg/(gram)]1

Range [mcg/mL or mcg/(gram)]

Endometrium

0.5

7

4.2

1.7 to 10.2

Myometrium

0.5

15

3.8

0.4 to 8.1

Ovary

0.5

8

2.8

0.8 to 4.8

Cervix

0.5

2

7

5.4 to 8.5

Fallopian tube

0.5

9

1.7

0.3 to 3.4

Skin

0.5

22

3.3

0.5 to 12.6

Interstitial fluid2

0.5

9

5.5

3.2 to 8.6

Skin

1

10

5.3

1.3 to 16.7

Interstitial fluid2

1

5

26.3

20.9 to 37.4

Colon

1

2

2.6

2.5 to 2.7

Bile

1

7

14.6 (3 hours)

4 to 25.7

Gall bladder

1

1

3.9

Peritoneal fluid

1

9

30.2

7.4 to 54.6

Lung

1

2

4.8 (2 hours)

1.4 to 8.2

Bronchial mucosa

1

7

4.5

1.3 to 11.1

Muscle

1

2

6.1 (2 hours)

5.3 to 6.9

Fascia

1

9

8.8

1.5 to 20

Heart valves

1

7

9.7

6.4 to 12.1

Myocardium

1

10

15.5

5.2 to 25.5

CSF (inflamed)

20 mg/kg3

40 mg/kg4

8

5

1.1 (2 hours)

3.3 (3 hours)

0.2 to 2.8

0.9 to 6.5

CSF (uninflamed)

1

4

0.2 (2 hours)

0.1 to 0.3

1. at 1 hour unless otherwise noted

2. obtained from blister fluid

3. in pediatric patients of age 5 months to 8 years

4. in pediatric patients of age 1 month to 15 years

Elimination

In subjects with normal renal function, the elimination half-life of meropenem is approximately 1 hour.

Metabolism

There is one metabolite of meropenem that is microbiologically inactive.

Excretion

Meropenem IV is primarily excreted unchanged by the kidneys. Approximately 70% (50% to 75%) of the dose is excreted unchanged within 12 hours. A further 28% is recovered as the microbiologically inactive metabolite. Fecal elimination represents only approximately 2% of the dose. The measured renal clearance and the effect of probenecid show that meropenem undergoes both filtration and tubular secretion.

Urinary concentrations of meropenem in excess of 10 mcg/mL are maintained for up to 5 hours after a 500 mg dose.

Specific Populations

Patients with Renal Impairment

Pharmacokinetic studies with meropenem in patients with renal impairment have shown that the plasma clearance of meropenem correlates with creatinine clearance. Dosage adjustments are necessary in subjects with renal impairment (creatinine clearance 50 mL/min or less) [see Dosage and Administration (2.2) and Use in Specific Populations (8.6) ].

Meropenem IV is hemodialyzable. However, there is no information on the usefulness of hemodialysis to treat overdosage [see Overdosage (10)].

Patients with Hepatic Impairment

A pharmacokinetic study with meropenem in patients with hepatic impairment has shown no effects of liver disease on the pharmacokinetics of meropenem.

Geriatric Patients

A pharmacokinetic study with meropenem in elderly patients with renal impairment showed a reduction in plasma clearance of meropenem that correlates with age-associated reduction in creatinine clearance.

Pediatric Patients

The pharmacokinetics of meropenem for injection I.V., in pediatric patients 2 years of age or older, are similar to those in adults. The elimination half-life for meropenem was approximately 1.5 hours in pediatric patients of age 3 months to 2 years.

The pharmacokinetics of meropenem in patients less than 3 months of age receiving combination antibacterial drug therapy are given below.

Table 6: Meropenem Pharmacokinetic Parameters in Patients Less Than 3 Months of Age*



GA less than 32 weeks

PNA less than 2 weeks

(20 mg/kg every 12 hours)

GA less than 32 weeks

PNA 2 weeks

or older

(20 mg/kg every 8 hours)

GA 32 weeks or older

PNA less than 2 weeks

(20 mg/kg every 8 hours)

GA 32 weeks or older

PNA 2 weeks or older

(30 mg/kg every 8 hours)

Overall

CL (L/h/kg)

0.089

0.122

0.135

0.202

0.119

V (L/kg)

0.489

0.467

0.463

0.451

0.468

AUC0-24 (mcg-h/mL)

448

491

445

444

467

Cmax (mcg/mL)

44.3

46.5

44.9

61

46.9

Cmin (mcg/mL)

5.36

6.65

4.84

2.1

5.65

T1/2 (h)

3.82

2.68

2.33

1.58

2.68

*Values are derived from a population pharmacokinetic analysis of sparse data 

Drug Interactions

Probenecid competes with meropenem for active tubular secretion and thus inhibits the renal excretion of meropenem. Following administration of probenecid with meropenem, the mean systemic exposure increased 56% and the mean elimination half-life increased 38% [see Drug Interactions (7.1)].

5.4 Seizure Potential

Seizures and other adverse CNS experiences have been reported during treatment with meropenem. These experiences have occurred most commonly in patients with CNS disorders (e.g., brain lesions or history of seizures) or with bacterial meningitis and/or compromised renal function [see Adverse Reactions (6.1) and Drug Interactions (7.2)].

During clinical investigations, 2,904 immunocompetent adult patients were treated for non-CNS infections with the overall seizure rate being 0.7% (based on 20 patients with this adverse event). All meropenem-treated patients with seizures had pre-existing contributing factors. Among these are included prior history of seizures or CNS abnormality and concomitant medications with seizure potential. Dosage adjustment is recommended in patients with advanced age and/or adult patients with creatinine clearance of 50 mL/min or less [see Dosage and Administration (2.2)].

Close adherence to the recommended dosage regimens is urged, especially in patients with known factors that predispose to convulsive activity. Continue anti-convulsant therapy in patients with known seizure disorders. If focal tremors, myoclonus, or seizures occur, evaluate neurologically, placed on anti-convulsant therapy if not already instituted, and re-examine the dosage of meropenem to determine whether it should be decreased or discontinued.

1 Indications and Usage (1 INDICATIONS AND USAGE)

Meropenem for injection (I.V.) is a penem antibacterial indicated for the treatment of:

  • Complicated skin and skin structure infections (adult patients and pediatric patients 3 months of age and older only). (1.1) 
  • Complicated intra-abdominal infections (adult and pediatric patients). (1.2) 
  • Bacterial meningitis (pediatric patients 3 months of age and older only). (1.3) 

To reduce the development of drug-resistant bacteria and maintain the effectiveness of meropenem for injection (I.V.) and other antibacterial drugs, meropenem for injection (I.V.) should only be used to treat or prevent infections that are proven or strongly suspected to be caused by susceptible bacteria.

Principal Display Panel (PRINCIPAL DISPLAY PANEL)

NDC 70121-1454-1

Meropenem for Injection USP (I.V.), 500 mg per vial

Rx only

Amneal Pharmaceuticals LLC

 

 

NDC 70121-1454-7

Meropenem for Injection USP (I.V.), 500 mg per vial

Rx only

Amneal Pharmaceuticals LLC

NDC 70121-1453-1

Meropenem for Injection USP (I.V.), 1 g per vial

Rx only

Amneal Pharmaceuticals LLC

NDC 70121-1453-7

Meropenem for Injection USP (I.V.), 1 g per vial

Rx only

Amneal Pharmaceuticals LLC

12.1 Mechanism of Action

Meropenem is an antibacterial drug [see Microbiology (12.4)].

14.3 Bacterial Meningitis

Four hundred forty-six patients (397 pediatric patients 3 months to less than 17 years of age) were enrolled in 4 separate clinical trials and randomized to treatment with meropenem (n=225) at a dose of 40 mg/kg every 8 hours or a comparator drug, i.e., cefotaxime (n=187) or ceftriaxone (n=34), at the approved dosing regimens. A comparable number of patients were found to be clinically evaluable (ranging from 61% to 68%) and with a similar distribution of pathogens isolated on initial CSF culture.

Patients were defined as clinically not cured if any one of the following three criteria were met:

  • At the 5 to 7 week post-completion of therapy visit, the patient had any one of the following: moderate to severe motor, behavior or development deficits, hearing loss of greater than 60 decibels in one or both ears, or blindness.
  • During therapy the patient’s clinical status necessitated the addition of other antibacterial drugs.
  • Either during or post-therapy, the patient developed a large subdural effusion needing surgical drainage, or a cerebral abscess, or a bacteriologic relapse.

Using the definition, the following efficacy rates were obtained, per organism (noted in Table 10). The values represent the number of patients clinically cured/number of clinically evaluable patients, with the percent cure in parentheses.

Table 10: Efficacy rates by Pathogen in the Clinically Evaluable Population with Bacterial Meningitis

MICROORGANISMS

MEROPENEM

COMPARATOR

S. pneumoniae

17/24 (71)

19/30 (63)

H. influenzae (+)1

8/10 (80)

6/6 (100)

H. influenzae (-/NT)2

44/59 (75)

44/60 (73)

N. meningitidis

30/35 (86)

35/39 (90)

Total (including others)

102/131 (78)

108/140 (77)

1. (+) β-lactamase-producing

2. (-/NT) non-β-lactamase-producing or not tested

Sequelae were the most common reason patients were assessed as clinically not cured.

Five patients were found to be bacteriologically not cured, 3 in the comparator group (1 relapse and 2 patients with cerebral abscesses) and 2 in the meropenem group (1 relapse and 1 with continued growth of Pseudomonas aeruginosa).

With respect to hearing loss, 263 of the 271 evaluable patients had at least one hearing test performed post-therapy. The following table shows the degree of hearing loss between the meropenem-treated patients and the comparator-treated patients.

Table 11: Hearing Loss at Post-Therapy in the Evaluable Population Treated with Meropenem

Degree of Hearing Loss

(in one or both ears)

Meropenem

n = 128

Comparator

n = 135

No loss

61%

56%

20 to 40 decibels

20%

24%

Greater than 40 to 60 decibels

8%

7%

Greater than 60 decibels

9%

10%

2.6 Stability and Storage

Freshly prepared solutions of meropenem for injection (I.V.) should be used. However, re-constituted solutions of meropenem for injection (I.V.) maintain satisfactory potency under the conditions described below. Solutions of intravenous meropenem for injection (I.V.) should not be frozen.

Intravenous Bolus Administration

Meropenem for injection (I.V.) vials re-constituted with sterile Water for Injection for bolus administration (up to 50 mg/mL of meropenem for injection (I.V.)) may be stored for up to 3 hours at up to 25°C (77°F) or for 13 hours at up to 5°C (41°F).

Intravenous Infusion Administration

Solutions prepared for infusion (meropenem for injection (I.V.) concentrations ranging from 1 mg/mL to 20 mg/mL) re-constituted with Sodium Chloride Injection 0.9% may be stored for 1 hour at up to 25°C (77°F) or 15 hours at up to 5°C (41°F).

Solutions prepared for infusion (meropenem for injection (I.V.) concentrations ranging from 1 mg/mL to 20 mg/mL) re-constituted with Dextrose Injection 5% should be used immediately.

5 Warnings and Precautions (5 WARNINGS AND PRECAUTIONS)
  • Serious and occasionally fatal hypersensitivity (anaphylactic) reactions have been reported in patients receiving β-lactams. (5.1)
  • Severe cutaneous adverse reactions have been reported in patients receiving meropenem. (5.2)
  • Rhabdomyolysis: If signs or symptoms of rhabdomyolysis are observed, discontinue meropenem and initiate appropriate therapy. (5.3)
  • Seizures and other adverse CNS experiences have been reported during treatment. (5.4)
  • Co-administration of meropenem with valproic acid or divalproex sodium reduces the serum concentration of valproic acid potentially increasing the risk of breakthrough seizures. (5.5, 7.2)
  • Clostridioides difficile-associated diarrhea (ranging from mild diarrhea to fatal colitis) has been reported. Evaluate if diarrhea occurs. (5.6)
  • In patients with renal dysfunction, thrombocytopenia has been observed. (5.9)
2 Dosage and Administration (2 DOSAGE AND ADMINISTRATION)
  • 500 mg every 8 hours by intravenous infusion over 15 to 30 minutes for complicated skin and skin structure infections (cSSSI) for adult patients. When treating infections caused by Pseudomonas aeruginosa, a dose of 1 gram every 8 hours is recommended. (2.1) 
  • 1 gram every 8 hours by intravenous infusion over 15 minutes to 30 minutes for intra-abdominal infections for adult patients. (2.1) 
  • 1 gram every 8 hours by intravenous bolus injection (5 mL to 20 mL) over 3 minutes to 5 minutes for adult patients. (2.1) 
  • Dosage should be reduced in adult patients with renal impairment. (2.2) 

Recommended Meropenem for Injection (I.V.) Dosage Schedule for Adult Patients with Renal Impairment

Creatinine Clearance

(mL/min)

Dose (dependent on type of infection)

Dosing Interval

Greater than 50

Recommended dose (500 mg cSSSI and 1 gram Intra-abdominal)

Every 8 hours

26 to 50

Recommended dose

Every 12 hours

10 to 25

One-half recommended dose

Every 12 hours

Less than 10

One-half recommended dose

Every 24 hours

Pediatric patients 3 months of age and older

Recommended Meropenem for Injection (I.V.) Dosage Schedule for Pediatric Patients 3 Months of Age and Older with Normal Renal Function (2.3) 

Type of Infection

Dose

(mg/kg)

Up to a

Maximum Dose

Dosing Interval

Complicated skin and skin structure*

10

500 mg

Every 8 hours

Intra-abdominal

20

1 gram

Every 8 hours

Meningitis

40

2 gram

Every 8 hours

- Intravenous infusion is to be given over approximately 15 minutes to 30 minutes.

- Intravenous bolus injection (5 mL to 20 mL) is to be given over approximately 3 minutes to 5 minutes.

- There is no experience in pediatric patients with renal impairment.

*20 mg/kg (or 1 gram for pediatric patients weighing over 50 kg) every 8 hours is recommended when treating complicated skin and skin structure infections caused by P. aeruginosa (2.3).

Pediatric patients less than 3 months of age

Recommended Meropenem for Injection (I.V.) Dosage Schedule for Pediatric Patients Less than 3 Months of Age with Complicated Intra-Abdominal Infections and Normal Renal Function (2.3) 

Age Group

Dose (mg/kg)

Dose Interval

Infants less than 32 weeks GA and PNA less than 2 weeks

20

Every 12 hours

Infants less than 32 weeks GA and PNA 2 weeks and older

20

Every 8 hours

Infants 32 weeks and older GA and PNA less than 2 weeks

20

Every 8 hours

Infants 32 weeks and older GA and PNA 2 weeks and older

30

Every 8 hours

- Intravenous infusion is to be given over 30 minutes.

- There is no experience in pediatric patients with renal impairment.

GA: gestational age and PNA: postnatal age

3 Dosage Forms and Strengths (3 DOSAGE FORMS AND STRENGTHS)

Single dose clear glass vials of meropenem for injection, USP (I.V.) containing 500 mg or 1 gram (as the trihydrate blended with anhydrous sodium carbonate for re-constitution) of sterile meropenem powder.

2.3 Use in Pediatric Patients

Pediatric Patients 3 Months of Age and Older

  • For pediatric patients 3 months of age and older, the meropenem for injection (I.V.) dose is 10 mg/kg, 20 mg/kg or 40 mg/kg every 8 hours (maximum dose is 2 grams every 8 hours), depending on the type of infection (cSSSI, cIAI, intra-abdominal infection or meningitis). See dosing table 2 below.
  • For pediatric patients weighing over 50 kg administer meropenem for injection (I.V.) at a dose of 500 mg every 8 hours for cSSSI, 1 gram every 8 hours for cIAI and 2 grams every 8 hours for meningitis.
  • Administer meropenem for injection (I.V.) as an intravenous infusion over approximately 15 minutes to 30 minutes or as an intravenous bolus injection (5 mL to 20 mL) over approximately 3 minutes to 5 minutes.
  • There is limited safety data available to support the administration of a 40 mg/kg (up to a maximum of 2 grams) bolus dose.

Table 2: Recommended Meropenem for Injection (I.V.) Dosage Schedule for Pediatric Patients 3 Months of Age and Older with Normal Renal Function

Type of Infection

Dose (mg/kg)

Up to a Maximum Dose

Dosing Interval

Complicated skin and skin structure infections

10

500 mg

Every 8 hours

Complicated intra-abdominal infections

20

1 gram

Every 8 hours

Meningitis

40

2 grams

Every 8 hours

There is no experience in pediatric patients with renal impairment.

When treating cSSSI caused by P. aeruginosa, a dose of 20 mg/kg (or 1 gram for pediatric patients weighing over 50 kg) every 8 hours is recommended.

Pediatric Patients Less Than 3 Months of Age

For pediatric patients (with normal renal function) less than 3 months of age, with complicated intra-abdominal infections, the meropenem for injection (I.V.) dose is based on gestational age (GA) and postnatal age (PNA). See dosing table 3 below. Meropenem for injection (I.V.) should be given as intravenous infusion over 30 minutes.

Table 3: Recommended Meropenem for Injection (I.V.) Dosage Schedule for Pediatric Patients Less than 3 Months of Age with Complicated Intra-abdominal Infections and Normal Renal Function

Age Group

Dose (mg/kg)

Dose Interval

Infants less than 32 weeks GA and PNA less than 2 weeks

20

Every 12 hours

Infants less than 32 weeks GA and PNA 2 weeks and older

20

Every 8 hours

Infants 32 weeks and older GA and PNA less than 2 weeks

20

Every 8 hours

Infants 32 weeks and older GA and PNA 2 weeks and older

30

Every 8 hours

There is no experience in pediatric patients with renal impairment.

5.6 clostridioides Difficile (5.6 Clostridioides difficile)

Clostridioides difficile-associated diarrhea (CDAD) has been reported with use of nearly all antibacterial agents, including meropenem, and may range in severity from mild diarrhea to fatal colitis. Treatment with antibacterial agents alters the normal flora of the colon leading to overgrowth of C. difficile.

C. difficile produces toxins A and B which contribute to the development of CDAD. Hypertoxin producing isolates of C. difficile cause increased morbidity and mortality, as these infections can be refractory to antimicrobial therapy and may require colectomy. CDAD must be considered in all patients who present with diarrhea following antibacterial drug use. Careful medical history is necessary since CDAD has been reported to occur over two months after the administration of antibacterial agents.

If CDAD is suspected or confirmed, ongoing antibacterial drug use not directed against C. difficile may need to be discontinued. Appropriate fluid and electrolyte management, protein supplementation, antibacterial drug treatment of C. difficile, and surgical evaluation should be instituted as clinically indicated.

6.2 Post Marketing Experience (6.2 Post marketing Experience)

The following adverse reactions have been identified during post-approval use of meropenem, including meropenem for injection (I.V.). Because these reactions are reported voluntarily from a population of uncertain size, it is not always possible to reliably estimate their frequency or establish a causal relationship to drug exposure.

Worldwide post-marketing adverse reactions not otherwise listed in the Adverse Reactions from Clinical Trials section of this prescribing information and reported as possibly, probably, or definitely drug related are listed within each body system in order of decreasing severity.

Blood and Lymphatic System Disorders: agranulocytosis, neutropenia, and leukopenia; a positive direct or indirect Coombs test, and hemolytic anemia.

Immune System Disorders: angioedema.  

Skin and Subcutaneous Disorders: Stevens-Johnson syndrome, toxic epidermal necrolysis, drug reaction with eosinophilia and systemic symptoms (DRESS), erythema multiforme and acute generalized exanthematous pustulosis.

Musculoskeletal Disorders: rhabdomyolysis.

Hepatic Disorders: drug-induced liver injury

8 Use in Specific Populations (8 USE IN SPECIFIC POPULATIONS)
  • Renal Impairment: Dose adjustment is necessary, if creatinine clearance is 50 mL/min or less. (2.2, 8.6)
5.1 Hypersensitivity Reactions

Serious and occasionally fatal hypersensitivity (anaphylactic) reactions have been reported in patients receiving therapy with β-lactams. These reactions are more likely to occur in individuals with a history of sensitivity to multiple allergens.

There have been reports of individuals with a history of penicillin hypersensitivity who have experienced severe hypersensitivity reactions when treated with another β-lactam. Before initiating therapy with meropenem, it is important to inquire about previous hypersensitivity reactions to penicillins, cephalosporins, other β-lactams and other allergens. If an allergic reaction to meropenem occurs, discontinue the drug immediately.

17 Patient Counseling Information (17 PATIENT COUNSELING INFORMATION)
  • Counsel patients that antibacterial drugs including meropenem should only be used to treat bacterial infections. They do not treat viral infections (e.g., the common cold). When meropenem is prescribed to treat a bacterial infection, tell patients that although it is common to feel better early in the course of therapy, take the medication exactly as directed. Skipping doses or not completing the full course of therapy may (1) decrease the effectiveness of the immediate treatment and (2) increase the likelihood that bacteria will develop resistance and will not be treatable by meropenem or other antibacterial drugs in the future.
  • Counsel patients that diarrhea is a common problem caused by antibacterial drugs which usually ends when the antibacterial drug is discontinued. Sometimes after starting treatment with antibacterial drugs, patients can develop watery and bloody stools (with or without stomach cramps and fever) even as late as two or more months after having taken the last dose of the antibacterial drug. If this occurs, patients should contact their physician as soon as possible [see Warnings and Precautions (5.6) ].
  • Counsel patients to inform their physician if they are taking valproic acid or divalproex sodium. Valproic acid concentrations in the blood may drop below the therapeutic range upon co-administration with meropenem. If treatment with meropenem is necessary and continued, alternative or supplemental anti-convulsant medication to prevent and/or treat seizures may be needed [see Warnings and Precautions (5.5) ].
  • Patients receiving meropenem on an outpatient basis must be alerted of adverse events such as seizures, delirium, headaches and/or paresthesias that could interfere with mental alertness and/or cause motor impairment. Until it is reasonably well established that meropenem is well tolerated, patients should not operate machinery or motorized vehicles [see Warnings and Precautions (5.10) ].

Manufactured for:

Amneal Pharmaceuticals LLC

Bridgewater, NJ 08807

Made in Taiwan

Rev. 06-2025-09

8.6 Patients With Renal Impairment (8.6 Patients with Renal Impairment)

Dosage adjustment is necessary in patients with creatinine clearance 50 mL/min or less [see Dosage and Administration (2.2), Warnings and Precautions (5.9), and Clinical Pharmacology (12.3 )].

16 How Supplied/storage and Handling (16 HOW SUPPLIED/STORAGE AND HANDLING)

Meropenem for injection, USP (I.V.) is supplied in 20 mL and 30 mL injection vials containing sufficient meropenem to deliver 500 mg or 1 gram for intravenous administration, respectively. The dry powder should be stored at controlled room temperature 20° to 25°C (68° to 77°F) [see USP Controlled Room Temperature].

500 mg Injection Vial (NDC 70121-1454-1) [Cartons of 10 - NDC 70121-1454-7]

1 gram Injection Vial (NDC 70121-1453-1) [Cartons of 10 - NDC 70121-1453-7]

5.2 Severe Cutaneous Adverse Reactions

Severe cutaneous adverse reactions (SCAR) such as Stevens-Johnson syndrome (SJS), toxic epidermal necrolysis (TEN), drug reaction with eosinophilia and systemic symptoms (DRESS), erythema multiforme (EM) and acute generalized exanthematous pustulosis (AGEP) have been reported in patients receiving meropenem [see Adverse Reactions (6.2) ]. If signs and symptoms suggestive of these reactions appear, meropenem should be withdrawn immediately and an alternative treatment should be considered.

5.10 Potential for Neuromotor Impairment

Alert patients receiving meropenem on an outpatient basis regarding adverse events such as seizures, delirium, headaches and/or paresthesias that could interfere with mental alertness and/or cause motor impairment. Until it is reasonably well established that meropenem is well tolerated, advise patients not to operate machinery or motorized vehicles [see Adverse Reactions (6.1)].

5.7 Development of Drug Resistant Bacteria (5.7 Development of Drug-Resistant Bacteria)

Prescribing meropenem in the absence of a proven or strongly suspected bacterial infection or a prophylactic indication is unlikely to provide benefit to the patient and increases the risk of the development of drug-resistant bacteria.

5.8 Overgrowth of Nonsusceptible Organisms

As with other broad-spectrum antibacterial drugs, prolonged use of meropenem may result in overgrowth of nonsusceptible organisms. Repeated evaluation of the patient is essential. If superinfection does occur during therapy, appropriate measures should be taken.

6.1 Adverse Reactions From Clinical Trials (6.1 Adverse Reactions from Clinical Trials)

Because clinical trials are conducted under widely varying conditions, adverse reactions rates observed in the clinical trials of a drug cannot be directly compared to rates in the clinical trials of another drug and may not reflect the rates observed in practice.

Adult Patients:

During clinical investigations, 2,904 immunocompetent adult patients were treated for non-CNS infections with meropenem (500 mg or 1 gram every 8 hours). Deaths in 5 patients were assessed as possibly related to meropenem; 36 (1.2%) patients had meropenem discontinued because of adverse events. Many patients in these trials were severely ill and had multiple background diseases, physiological impairments and were receiving multiple other drug therapies. In the seriously ill patient population, it was not possible to determine the relationship between observed adverse events and therapy with meropenem.

The following adverse reaction frequencies were derived from the clinical trials in the 2,904 patients treated with meropenem.

Local Adverse Reactions

Local adverse events that were reported with meropenem were as follows:

Inflammation at the injection site       2.4%

Injection site reaction                          0.9%

Phlebitis/thrombophlebitis                  0.8%

Pain at the injection site                      0.4%

Edema at the injection site                  0.2%

Systemic Adverse Reactions

Systemic adverse events that were reported with meropenem occurring in greater than 1.0% of the patients were diarrhea (4.8%), nausea/vomiting (3.6%), headache (2.3%), rash (1.9%), sepsis (1.6%), constipation (1.4%), apnea (1.3%), shock (1.2%) and pruritus (1.2%).

Additional systemic adverse events that were reported with meropenem and occurring in less than or equal to 1.0% but greater than 0.1% of the patients are listed below within each body system in order of decreasing frequency:

Bleeding events were seen as follows: gastrointestinal hemorrhage (0.5%), melena (0.3%), epistaxis (0.2%), hemoperitoneum (0.2%).

Body as a Whole: pain, abdominal pain, chest pain, fever, back pain, abdominal enlargement, chills, pelvic pain

Cardiovascular: heart failure, heart arrest, tachycardia, hypertension, myocardial infarction, pulmonary embolus, bradycardia, hypotension, syncope

Digestive System: oral moniliasis, anorexia, cholestatic jaundice/jaundice, flatulence, ileus, hepatic failure, dyspepsia, intestinal obstruction

Hemic/Lymphatic: anemia, hypochromic anemia, hypervolemia

Metabolic/Nutritional: peripheral edema, hypoxia

Nervous System: insomnia, agitation, delirium, confusion, dizziness, seizure, nervousness, paresthesia, hallucinations, somnolence, anxiety, depression, asthenia [see Warnings and Precautions (5.4) and (5.10)]

Respiratory: respiratory disorder, dyspnea, pleural effusion, asthma, cough increased, lung edema

Skin and Appendages: urticaria, sweating, skin ulcer

Urogenital System: dysuria, kidney failure, vaginal moniliasis, urinary incontinence

Adverse Laboratory Changes

Adverse laboratory changes that were reported and occurring in greater than 0.2% of the patients were as follows:

Hepatic: increased alanine transaminase (ALT), aspartate transaminase (AST), alkaline phosphatase, lactate dehydrogenase (LDH), and bilirubin

Hematologic: increased platelets, increased eosinophils, decreased platelets, decreased hemoglobin, decreased hematocrit, decreased white blood cell (WBC), shortened prothrombin time and shortened partial thromboplastin time, leukocytosis, hypokalemia

Renal: increased creatinine and increased blood urea nitrogen (BUN)

Urinalysis: presence of red blood cells

Complicated Skin and Skin Structure Infections

In a study of complicated skin and skin structure infections, the adverse reactions were similar to those listed above. The most common adverse events occurring in greater than 5% of the patients were: headache (7.8%), nausea (7.8%), constipation (7.0%), diarrhea (7.0%), anemia (5.5%), and pain (5.1%). Adverse events with an incidence of greater than 1%, and not listed above, include: pharyngitis, accidental injury, gastrointestinal disorder, hypoglycemia, peripheral vascular disorder, and pneumonia.

Patients with Renal Impairment:

For patients with varying degrees of renal impairment, the incidence of heart failure, kidney failure, seizure and shock reported with meropenem, increased in patients with moderately severe renal impairment (creatinine clearance 10 to 26 mL/min) [see Dosage and Administration (2.2) , Warnings and Precautions (5.10) , Use in Specific Populations (8.5) and (8.6)  and Clinical Pharmacology (12.3 )].

Pediatric Patients:

Systemic and Local Adverse Reactions

Pediatric Patients with Serious Bacterial Infections (excluding Bacterial Meningitis):

Meropenem was studied in 515 pediatric patients (3 months to less than 13 years of age) with serious bacterial infections (excluding meningitis, see next section) at dosages of 10 mg/kg to 20 mg/kg every 8 hours. The types of systemic and local adverse events seen in these patients are similar to the adults, with the most common adverse events reported as possibly, probably, or definitely related to meropenem and their rates of occurrence as follows:

Diarrhea                                  3.5%

Rash                                       1.6%

Nausea and Vomiting              0.8%

Pediatric Patients with Bacterial Meningitis:

Meropenem was studied in 321 pediatric patients (3 months to less than 17 years of age) with meningitis at a dosage of 40 mg/kg every 8 hours. The types of systemic and local adverse events seen in these patients are similar to the adults, with the most common adverse reactions reported as possibly, probably, or definitely related to meropenem and their rates of occurrence as follows:

Diarrhea                                                        4.7%

Rash (mostly diaper area moniliasis)            3.1%

Oral Moniliasis                                               1.9%

Glossitis                                                         1.0%

In the meningitis studies, the rates of seizure activity during therapy were comparable between patients with no CNS abnormalities who received meropenem and those who received comparator agents (either cefotaxime or ceftriaxone). In the meropenem treated group, 12/15 patients with seizures had late onset seizures (defined as occurring on day 3 or later) versus 7/20 in the comparator arm. The meropenem group had a statistically higher number of patients with transient elevation of liver enzymes.

Pediatric Patients (Neonates and Infants less than 3 months of Age):

Meropenem was studied in 200 neonates and infants less than 3 months of age. The study was open-label, uncontrolled, 98% of the infants received concomitant medications, and the majority of adverse events were reported in neonates less than 32 weeks gestational age and critically ill at baseline, making it difficult to assess the relationship of the adverse events to meropenem.

The adverse reactions seen in these patients that were reported and their rates of occurrence are as follows:

Convulsion                                                      5.0%

Hyperbilirubinemia (conjugated)                    4.5%

Vomiting                                                         2.5%

Adverse Laboratory Changes in Pediatric Patients:

Laboratory changes seen in the pediatric studies, including the meningitis studies, were similar to those reported in the adult studies.

14.2 Complicated Intra Abdominal Infections (14.2 Complicated Intra-Abdominal Infections)

One controlled clinical study of complicated intra-abdominal infection was performed in the United States where meropenem was compared with clindamycin/tobramycin. Three controlled clinical studies of complicated intra-abdominal infections were performed in Europe; meropenem was compared with imipenem (two trials) and cefotaxime/metronidazole (one trial).

Using strict evaluability criteria and microbiologic eradication and clinical cures at follow-up which occurred 7 or more days after completion of therapy, the presumptive microbiologic eradication/clinical cure rates and statistical findings are provided in Table 9:

Table 9: Presumptive Microbiologic Eradication and Clinical Cure Rates at Test-of-Cure Visit in the Evaluable Population with Complicated Intra-Abdominal Infection

Treatment Arm

No. evaluable/ No. enrolled (%)

Microbiologic Eradication Rate

Clinical Cure Rate

Outcome

meropenem

146/516 (28%)

98/146 (67%)

101/146 (69%)

imipenem

65/220 (30%)

40/65 (62%)

42/65 (65%)

Meropenem equivalent to control

cefotaxime/

metronidazole

26/85 (30%)

22/26 (85%)

22/26 (85%)

Meropenem not equivalent to control

clindamycin/

tobramycin

50/212 (24%)

38/50 (76%)

38/50 (76%)

Meropenem equivalent to control

The finding that meropenem was not statistically equivalent to cefotaxime/metronidazole may have been due to uneven assignment of more seriously ill patients to the meropenem arm. Currently there is no additional information available to further interpret this observation.

2.2 Use in Adult Patients With Renal Impairment (2.2 Use in Adult Patients with Renal Impairment)

Dosage should be reduced in patients with creatinine clearance of 50 mL/min or less. (See dosing table below.)

When only serum creatinine is available, the following formula (Cockcroft and Gault equation)1 may be used to estimate creatinine clearance.

Males: Creatinine Clearance (mL/min) =

Weight (kg) x (140 - age)

72 x serum creatinine (mg/dL)

Females: 0.85 x above value

Table 1: Recommended Meropenem for Injection (I.V.) Dosage Schedule for Adult Patients with Renal Impairment

Creatinine Clearance (mL/min)

Dose (dependent on type of infection)

Dosing Interval

Greater than 50

Recommended dose (500 mg cSSSI and 1 gram Intra-abdominal)

Every 8 hours

26 to 50

Recommended dose

Every 12 hours

10 to 25

One-half recommended dose

Every 12 hours

Less than 10

One-half recommended dose

Every 24 hours

There is inadequate information regarding the use of meropenem for injection (I.V.) in patients on hemodialysis or peritoneal dialysis.

14.1 Complicated Skin and Skin Structure Infections

Adult patients with complicated skin and skin structure infections including complicated cellulitis, complex abscesses, perirectal abscesses, and skin infections requiring intravenous antimicrobials, hospitalization, and surgical intervention were enrolled in a randomized, multi-center, international, double-blind trial. The study evaluated meropenem at doses of 500 mg administered intravenously every 8 hours and imipenem-cilastatin at doses of 500 mg administered intravenously every 8 hours. The study compared the clinical response between treatment groups in the clinically evaluable population at the follow-up visit (test-of-cure). The trial was conducted in the United States, South Africa, Canada, and Brazil. At enrollment, approximately 37% of the patients had underlying diabetes, 12% had underlying peripheral vascular disease and 67% had a surgical intervention. The study included 510 patients randomized to meropenem and 527 patients randomized to imipenem-cilastatin. Two hundred and sixty one (261) patients randomized to meropenem and 287 patients randomized to imipenem-cilastatin were clinically evaluable. The success rates in the clinically evaluable patients at the follow-up visit were 86% (225/261) in the meropenem arm and 83% (238/287) in imipenem-cilastatin arm.

The success rates for the clinically evaluable population are provided in Table 7.

Table 7: Success Rates at Test-of-Cure Visit for Clinically Evaluable Population with Complicated Skin and Skin Structure Infections

Population

Meropenem

n1/N2 (%)

Imipenem-cilastatin

n1/N2 (%)

Total

225/261 (86)

238/287 (83)

Diabetes mellitus

83/97 (86)

76/105 (72)

No diabetes mellitus

142/164 (87)

162/182 (89)

Less than 65 years of age

190/218 (87)

205/241 (85)

65 years of age or older

35/43 (81)

33/46 (72)

Men

130/148 (88)

137/172 (80)

Women

95/113 (84)

101/115 (88)

1. n=number of patients with satisfactory response.

2. N=number of patients in the clinically evaluable population or respective subgroup within treatment groups.

The clinical efficacy rates by pathogen are provided in Table 8. The values represent the number of patients clinically cured/number of clinically evaluable patients at the post-treatment follow-up visit, with the percent cure in parentheses (Fully Evaluable analysis set).

Table 8: Clinical Efficacy Rates by Pathogen for Clinically Evaluable Population

MICROORGANISMS1

Meropenem

n2/N3 (%)4

Imipenem-cilastatin

n2/N3 (%)4

Gram-positive aerobes





Staphylococcus aureus,

methicillin susceptible

82/88 (93)

84/100 (84)

Streptococcus pyogenes

(Group A)

26/29 (90)

28/32 (88)

Streptococcus agalactiae

(Group B)

12/17 (71)

16/19 (84)

Enterococcus faecalis

9/12 (75)

14/20 (70)

Viridans group streptococci

11/12 (92)

5/6 (83)

Gram-negative aerobes





Escherichia coli

12/15 (80)

15/21 (71)

Pseudomonas aeruginosa

11/15 (73)

13/15 (87)

Proteus mirabilis

11/13 (85)

6/7 (86)

Anaerobes





Bacteroides fragilis

10/11 (91)

9/10 (90)

Peptostreptococcus Species

10/13 (77)

14/16 (88)

1. Patients may have more than one pretreatment pathogen.

2. n=number of patients with satisfactory response.

3. N=number of patients in the clinically evaluable population or subgroup within treatment groups.

4. %= Percent of satisfactory clinical response at follow-up evaluation.

The proportion of patients who discontinued study treatment due to an adverse event was similar for both treatment groups (meropenem, 2.5% and imipenem-cilastatin, 2.7%).

13.1 Carcinogenesis, Mutagenesis, Impairment of Fertility

Carcinogenesis:

Carcinogenesis studies have not been performed.

Mutagenesis:

Genetic toxicity studies were performed with meropenem using the bacterial reverse mutation test, the Chinese hamster ovary HGPRT assay, cultured human lymphocytes cytogenic assay, and the mouse micronucleus test. There was no evidence of mutagenic potential found in any of these tests.

Impairment of Fertility:

In fertility studies, intravenous meropenem was administered to male rats beginning 11 weeks before mating and throughout mating and to female rats from 2 weeks before mating through Gestation Day 7 at doses of 240, 500, and 1000 mg/kg/day. There was no evidence of impaired fertility at doses up to 1000 mg/kg/day (on the basis of body surface area comparison, approximately 3.2 times to the MRHD of 1 gram every 8 hours).

2.4 Preparation and Administration of Meropenem for Injection (i.v.) (2.4 Preparation and Administration of Meropenem for Injection (I.V.))

Important Administration Instructions:

Parenteral drug products should be inspected visually for particulate matter and discoloration prior to administration, whenever solution and container permit.

For Intravenous Bolus Administration

Re-constitute injection vials (500 mg and 1 gram) with sterile Water for Injection (see table 4 below). Shake to dissolve and let stand until clear.

Table 4: Volume of Sterile Water for Injection for Reconstitution of Injection Vials

Vial Size

Amount of Diluent Added

(mL)

Approximate Withdrawable Volume

(mL)

Approximate Average Concentration

(mg/mL)

500 mg

10

10

50

1 gram

20

20

50

For Infusion

  • Injection vials (500 mg and 1 gram) may be directly re-constituted with a compatible infusion fluid.
  • Alternatively, an injection vial may be re-constituted, then the resulting solution added to an intravenous container and further diluted with an appropriate infusion fluid [see Dosage and Administration (2.5) and (2.6)].
  • Do not use flexible container in series connections.
1.2 Complicated Intra Abdominal Infections (adult and Pediatric Patients) (1.2 Complicated Intra-abdominal Infections (Adult and Pediatric Patients))

Meropenem for injection (I.V.) is indicated for the treatment of complicated appendicitis and peritonitis caused by viridans group streptococci, Escherichia coli, Klebsiella pneumoniae, Pseudomonas aeruginosa, Bacteroides fragilis, B. thetaiotaomicron, and Peptostreptococcus species.

1.3 Bacterial Meningitis (pediatric Patients 3 Months of Age and Older Only) (1.3 Bacterial Meningitis (Pediatric Patients 3 Months of Age and Older Only))

Meropenem for injection (I.V.) is indicated for the treatment of bacterial meningitis caused by Haemophilus influenzae, Neisseria meningitidis and penicillin-susceptible isolates of Streptococcus pneumoniae.

Meropenem for injection (I.V.) has been found to be effective in eliminating concurrent bacteremia in association with bacterial meningitis.

5.5 Risk of Breakthrough Seizures Due to Drug Interaction With Valproic Acid (5.5 Risk of Breakthrough Seizures Due to Drug Interaction with Valproic Acid)

The concomitant use of meropenem and valproic acid or divalproex sodium is generally not recommended. Case reports in the literature have shown that co-administration of carbapenems, including meropenem, to patients receiving valproic acid or divalproex sodium results in a reduction in valproic acid concentrations. The valproic acid concentrations may drop below the therapeutic range as a result of this interaction, therefore increasing the risk of breakthrough seizures. Increasing the dose of valproic acid or divalproex sodium may not be sufficient to overcome this interaction. Consider administration of antibacterial drugs other than carbapenems to treat infections in patients whose seizures are well controlled on valproic acid or divalproex sodium. If administration of meropenem is necessary, consider supplemental anti-convulsant therapy [see Drug Interactions (7.2)].

1.1 Complicated Skin and Skin Structure Infections (adult Patients and Pediatric Patients 3 Months of Age and Older Only) (1.1 Complicated Skin and Skin Structure Infections (Adult Patients and Pediatric Patients 3 Months of Age and Older Only))

Meropenem for injection (I.V.) is indicated for the treatment of complicated skin and skin structure infections (cSSSI) due to Staphylococcus aureus (methicillin-susceptible isolates only), Streptococcus pyogenes, Streptococcus agalactiae, viridans group streptococci, Enterococcus faecalis (vancomycin-susceptible isolates only), Pseudomonas aeruginosa, Escherichia coli, Proteus mirabilis, Bacteroides fragilis, and Peptostreptococcus species.


Advanced Ingredient Data


Raw Label Data

All Sections (JSON)