These Highlights Do Not Include All The Information Needed To Use Nesina®

These Highlights Do Not Include All The Information Needed To Use Nesina®
SPL v22
SPL
SPL Set ID a3768c7e-aa4c-44d3-bc53-43bb7346c0b0
Route
ORAL
Published
Effective Date 2025-02-28
Document Type 34391-3 HUMAN PRESCRIPTION DRUG LABEL

Drug Facts

Composition & Product

Active Ingredients
Alogliptin (6.25 mg)
Inactive Ingredients
Mannitol Microcrystalline Cellulose Hydroxypropyl Cellulose (90000 Wamw) Croscarmellose Sodium Magnesium Stearate Hypromellose 2910 (6 Mpa.s) Titanium Dioxide Ferric Oxide Red Polyethylene Glycol 8000 Shellac Ferrosoferric Oxide Butyl Alcohol Alcohol Ferric Oxide Yellow

Identifiers & Packaging

Pill Appearance
Imprint: TAK;ALG;25 Shape: oval Color: pink Color: yellow Color: red Size: 9 mm Score: 1
Marketing Status
NDA Active Since 2013-01-25

Description

NESINA ® is indicated as an adjunct to diet and exercise to improve glycemic control in adults with type 2 diabetes mellitus.

Indications and Usage

NESINA ® is indicated as an adjunct to diet and exercise to improve glycemic control in adults with type 2 diabetes mellitus.

Dosage and Administration

The recommended dosage in patients with normal renal function or mild renal impairment is 25 mg orally once daily. ( 2.1 ) Can be taken with or without food. ( 2.1 ) Adjust dosage if moderate or severe renal impairment or end-stage renal disease (ESRD). ( 2.2 ) Degree of Renal Impairment Creatinine Clearance (mL/min) Recommended Dosage Moderate ≥30 to <60 12.5 mg once daily Severe/ESRD <30 6.25 mg once daily

Warnings and Precautions

Pancreatitis: There have been postmarketing reports of acute pancreatitis. If pancreatitis is suspected, promptly discontinue NESINA. ( 5.1 ) Heart failure: Consider the risks and benefits of NESINA prior to initiating treatment in patients at risk for heart failure. If heart failure develops, evaluate and manage according to current standards of care and consider discontinuation of NESINA. ( 5.2 ) Hypersensitivity: There have been postmarketing reports of serious hypersensitivity reactions in patients treated with NESINA such as anaphylaxis, angioedema and severe cutaneous adverse reactions, including Stevens-Johnson syndrome. If hypersensitivity reactions occur, discontinue NESINA, treat promptly, and monitor until signs and symptoms resolve. ( 5.3 ) Hepatic effects: Postmarketing reports of hepatic failure, sometimes fatal. Causality cannot be excluded. If liver injury is detected, promptly interrupt NESINA and assess patient for probable cause, then treat cause if possible, to resolution or stabilization. Do not restart NESINA if liver injury is confirmed and no alternative etiology can be found. ( 5.4 ) Hypoglycemia: Consider lowering the dosage of insulin secretagogue or insulin to reduce the risk of hypoglycemia when initiating NESINA. ( 5.5 ) Arthralgia: Severe and disabling arthralgia has been reported in patients taking DPP-4 inhibitors. Consider as a possible cause for severe joint pain and discontinue drug if appropriate. ( 5.6 ) Bullous pemphigoid: There have been postmarketing reports of bullous pemphigoid requiring hospitalization in patients taking DPP-4 inhibitors. Tell patients to report development of blisters or erosions. If bullous pemphigoid is suspected, discontinue NESINA. ( 5.7 )

Contraindications

NESINA is contraindicated in patients with a history of serious hypersensitivity to alogliptin or any of the excipients in NESINA. Reactions such as anaphylaxis, angioedema and severe cutaneous adverse reactions have been reported [see Warnings and Precautions (5.3) , Adverse Reactions (6.2) ] .

Adverse Reactions

The following serious adverse reactions are described below or elsewhere in the prescribing information: Pancreatitis [see Warnings and Precautions (5.1) ] Heart Failure [see Warnings and Precautions (5.2) ] Hypersensitivity Reactions [see Warnings and Precautions (5.3) ] Hepatic Effects [see Warnings and Precautions (5.4) ] Severe and Disabling Arthralgia [see Warnings and Precautions (5.6) ] Bullous Pemphigoid [see Warnings and Precautions (5.7) ]

Storage and Handling

NESINA tablets are available as film-coated tablets containing 25 mg, 12.5 mg or 6.25 mg of alogliptin as follows: 25 mg tablet: light red, oval, biconvex, film-coated, with "TAK ALG-25" printed on one side, available in: NDC 64764-250-30 Bottles of 30 tablets NDC 64764-250-90 Bottles of 90 tablets NDC 64764-250-50 Bottles of 500 tablets 12.5 mg tablet: yellow, oval, biconvex, film-coated, with "TAK ALG-12.5" printed on one side, available in: NDC 64764-125-30 Bottles of 30 tablets NDC 64764-125-90 Bottles of 90 tablets NDC 64764-125-50 Bottles of 500 tablets 6.25 mg tablet: light pink, oval, biconvex, film-coated, with "TAK ALG-6.25" printed on one side, available in: NDC 64764-625-30 Bottles of 30 tablets NDC 64764-625-90 Bottles of 90 tablets

How Supplied

NESINA tablets are available as film-coated tablets containing 25 mg, 12.5 mg or 6.25 mg of alogliptin as follows: 25 mg tablet: light red, oval, biconvex, film-coated, with "TAK ALG-25" printed on one side, available in: NDC 64764-250-30 Bottles of 30 tablets NDC 64764-250-90 Bottles of 90 tablets NDC 64764-250-50 Bottles of 500 tablets 12.5 mg tablet: yellow, oval, biconvex, film-coated, with "TAK ALG-12.5" printed on one side, available in: NDC 64764-125-30 Bottles of 30 tablets NDC 64764-125-90 Bottles of 90 tablets NDC 64764-125-50 Bottles of 500 tablets 6.25 mg tablet: light pink, oval, biconvex, film-coated, with "TAK ALG-6.25" printed on one side, available in: NDC 64764-625-30 Bottles of 30 tablets NDC 64764-625-90 Bottles of 90 tablets


Medication Information

Warnings and Precautions

Pancreatitis: There have been postmarketing reports of acute pancreatitis. If pancreatitis is suspected, promptly discontinue NESINA. ( 5.1 ) Heart failure: Consider the risks and benefits of NESINA prior to initiating treatment in patients at risk for heart failure. If heart failure develops, evaluate and manage according to current standards of care and consider discontinuation of NESINA. ( 5.2 ) Hypersensitivity: There have been postmarketing reports of serious hypersensitivity reactions in patients treated with NESINA such as anaphylaxis, angioedema and severe cutaneous adverse reactions, including Stevens-Johnson syndrome. If hypersensitivity reactions occur, discontinue NESINA, treat promptly, and monitor until signs and symptoms resolve. ( 5.3 ) Hepatic effects: Postmarketing reports of hepatic failure, sometimes fatal. Causality cannot be excluded. If liver injury is detected, promptly interrupt NESINA and assess patient for probable cause, then treat cause if possible, to resolution or stabilization. Do not restart NESINA if liver injury is confirmed and no alternative etiology can be found. ( 5.4 ) Hypoglycemia: Consider lowering the dosage of insulin secretagogue or insulin to reduce the risk of hypoglycemia when initiating NESINA. ( 5.5 ) Arthralgia: Severe and disabling arthralgia has been reported in patients taking DPP-4 inhibitors. Consider as a possible cause for severe joint pain and discontinue drug if appropriate. ( 5.6 ) Bullous pemphigoid: There have been postmarketing reports of bullous pemphigoid requiring hospitalization in patients taking DPP-4 inhibitors. Tell patients to report development of blisters or erosions. If bullous pemphigoid is suspected, discontinue NESINA. ( 5.7 )

Indications and Usage

NESINA ® is indicated as an adjunct to diet and exercise to improve glycemic control in adults with type 2 diabetes mellitus.

Dosage and Administration

The recommended dosage in patients with normal renal function or mild renal impairment is 25 mg orally once daily. ( 2.1 ) Can be taken with or without food. ( 2.1 ) Adjust dosage if moderate or severe renal impairment or end-stage renal disease (ESRD). ( 2.2 ) Degree of Renal Impairment Creatinine Clearance (mL/min) Recommended Dosage Moderate ≥30 to <60 12.5 mg once daily Severe/ESRD <30 6.25 mg once daily

Contraindications

NESINA is contraindicated in patients with a history of serious hypersensitivity to alogliptin or any of the excipients in NESINA. Reactions such as anaphylaxis, angioedema and severe cutaneous adverse reactions have been reported [see Warnings and Precautions (5.3) , Adverse Reactions (6.2) ] .

Adverse Reactions

The following serious adverse reactions are described below or elsewhere in the prescribing information: Pancreatitis [see Warnings and Precautions (5.1) ] Heart Failure [see Warnings and Precautions (5.2) ] Hypersensitivity Reactions [see Warnings and Precautions (5.3) ] Hepatic Effects [see Warnings and Precautions (5.4) ] Severe and Disabling Arthralgia [see Warnings and Precautions (5.6) ] Bullous Pemphigoid [see Warnings and Precautions (5.7) ]

Storage and Handling

NESINA tablets are available as film-coated tablets containing 25 mg, 12.5 mg or 6.25 mg of alogliptin as follows: 25 mg tablet: light red, oval, biconvex, film-coated, with "TAK ALG-25" printed on one side, available in: NDC 64764-250-30 Bottles of 30 tablets NDC 64764-250-90 Bottles of 90 tablets NDC 64764-250-50 Bottles of 500 tablets 12.5 mg tablet: yellow, oval, biconvex, film-coated, with "TAK ALG-12.5" printed on one side, available in: NDC 64764-125-30 Bottles of 30 tablets NDC 64764-125-90 Bottles of 90 tablets NDC 64764-125-50 Bottles of 500 tablets 6.25 mg tablet: light pink, oval, biconvex, film-coated, with "TAK ALG-6.25" printed on one side, available in: NDC 64764-625-30 Bottles of 30 tablets NDC 64764-625-90 Bottles of 90 tablets

How Supplied

NESINA tablets are available as film-coated tablets containing 25 mg, 12.5 mg or 6.25 mg of alogliptin as follows: 25 mg tablet: light red, oval, biconvex, film-coated, with "TAK ALG-25" printed on one side, available in: NDC 64764-250-30 Bottles of 30 tablets NDC 64764-250-90 Bottles of 90 tablets NDC 64764-250-50 Bottles of 500 tablets 12.5 mg tablet: yellow, oval, biconvex, film-coated, with "TAK ALG-12.5" printed on one side, available in: NDC 64764-125-30 Bottles of 30 tablets NDC 64764-125-90 Bottles of 90 tablets NDC 64764-125-50 Bottles of 500 tablets 6.25 mg tablet: light pink, oval, biconvex, film-coated, with "TAK ALG-6.25" printed on one side, available in: NDC 64764-625-30 Bottles of 30 tablets NDC 64764-625-90 Bottles of 90 tablets

Description

NESINA ® is indicated as an adjunct to diet and exercise to improve glycemic control in adults with type 2 diabetes mellitus.

Section 42229-5

Limitations of Use

NESINA is not recommended for use in patients with type 1 diabetes mellitus.

Section 42231-1
MEDICATION GUIDE

NESINA® [nes-see′-na]

(alogliptin)

tablets
This Medication Guide has been approved by the U.S. Food and Drug Administration. NES011 R12 February 2025
Read this Medication Guide carefully before you start taking NESINA and each time you get a refill. There may be new information. This information does not take the place of talking with your doctor about your medical condition or treatment. If you have any questions about NESINA, ask your doctor or pharmacist.

What is the most important information I should know about NESINA?

Serious side effects can happen to people taking NESINA, including:

  • 1.
    Inflammation of the pancreas (pancreatitis): NESINA may cause pancreatitis which may be severe.

    Certain medical conditions make you more likely to get pancreatitis.

    Before you start taking NESINA:

    Tell your doctor if you have ever had:
  • pancreatitis
  • high blood triglyceride levels
  • kidney problems
  • stones in your gallbladder (gall stones)
  • liver problems
  • a history of alcoholism
Stop taking NESINA and call your doctor right away if you have pain in your stomach area (abdomen) that is severe and will not go away. The pain may be felt going from your abdomen through to your back. The pain may happen with or without vomiting. These may be symptoms of pancreatitis.
  • 2.
    Heart failure: Heart failure means your heart does not pump blood well enough.

    Before you start taking NESINA:

    Tell your doctor if you have ever had heart failure or have problems with your kidneys.

    Contact your doctor right away if you have any of the following symptoms:
  • increasing shortness of breath or trouble breathing especially when lying down
  • an unusually fast increase in weight
  • swelling of feet, ankles, or legs
  • unusual tiredness
These may be symptoms of heart failure.
What is NESINA?
  • NESINA is a prescription medicine used along with diet and exercise to improve blood sugar (glucose) control in adults with type 2 diabetes mellitus.
  • NESINA is not for people with type 1 diabetes mellitus.
It is not known if NESINA is safe and effective in children under the age of 18.
Who should not take NESINA?

Do not take NESINA if you:
  • Are allergic to any ingredients in NESINA or have had a serious allergic (hypersensitivity) reaction to NESINA. See the end of this Medication Guide for a complete list of the ingredients in NESINA.

    Symptoms of a serious allergic reaction to NESINA may include:
  • swelling of your face, lips, throat and other areas on your skin
  • raised, red areas on your skin (hives)
  • difficulty with swallowing or breathing
  • skin rash, itching, flaking or peeling
If you have any of these symptoms, stop taking NESINA and contact your doctor or go to the nearest hospital emergency room right away.
What should I tell my doctor before and during treatment with NESINA?

Before you take NESINA, tell your doctor if you:
  • have heart failure
  • have or have had inflammation of your pancreas (pancreatitis)
  • have kidney or liver problems
  • have other medical conditions
  • are pregnant or plan to become pregnant. It is not known if NESINA can harm your unborn baby. Talk with your doctor about the best way to control your blood sugar while you are pregnant or if you plan to become pregnant
  • are breastfeeding or plan to breastfeed. It is not known if NESINA passes into your breast milk. Talk with your doctor about the best way to feed your baby if you are taking NESINA
Tell your doctor about all the medicines you take, including prescription and over-the-counter medicines, vitamins and herbal supplements.

Know the medicines you take. Keep a list of them and show it to your doctor and pharmacist before you start any new medicine.

NESINA may affect the way other medicines work, and other medicines may affect how NESINA works. Contact your doctor before you start or stop other types of medicines.
How should I take NESINA?
  • Take NESINA exactly as your doctor tells you to take it.
  • Take NESINA 1 time each day with or without food.
  • Do not split tablets.
  • If you miss a dose, take it as soon as you remember. If you do not remember until it is time for your next dose, skip the missed dose, and take the next dose at your regular time. Do not take 2 doses of NESINA at the same time.
  • If you take too much NESINA, call your doctor or your Poison Help Line right away at 1-800-222-1222.
  • If your body is under stress, such as from fever, infection, accident or surgery, the dose of your diabetes mellitus medicines may need to be changed. Call your doctor right away.
  • Stay on your diet and exercise programs and check your blood sugar as your doctor tells you to.
  • Your doctor may do certain blood tests before you start NESINA and during treatment as needed. Your doctor may change your dose of NESINA based on the results of your blood tests due to how well your kidneys are working.
  • Your doctor will check your diabetes mellitus with regular blood tests, including your blood sugar levels and your hemoglobin A1C.
What are the possible side effects of NESINA?

NESINA can cause serious side effects, including:


See " What is the most important information I should know about NESINA? "
  • Serious allergic (hypersensitivity) reactions such as:
  • swelling of your face, lips, throat and other areas on your skin
  • raised, red areas on your skin (hives)
  • difficulty swallowing or breathing
  • skin rash, itching, flaking or peeling
If you have these symptoms, stop taking NESINA and contact your doctor right away or go the nearest hospital emergency room.
  • Liver problems. Call your doctor right away or go to the nearest hospital emergency room if you have unexplained symptoms, such as:
  • nausea or vomiting
  • loss of appetite
  • stomach pain
  • dark urine
  • unusual or unexplained tiredness
  • yellowing of your skin or the whites of your eyes
  • Low blood sugar (hypoglycemia). If you take NESINA with another medicine that can cause low blood sugar, such as a sulfonylurea or insulin, your risk of getting low blood sugar is higher. The dose of your sulfonylurea medicine or insulin may need to be lowered while you take NESINA. If you have symptoms of low blood sugar, you should check your blood sugar and treat if low, then call your doctor. Signs and symptoms of low blood sugar include:
  • shaking or feeling jittery
  • fast heartbeat
  • sweating
  • change in vision
  • hunger
  • confusion
  • headache
  • dizziness
  • change in mood
  • Joint pain. Some people who take medicines called DPP-4 inhibitors like NESINA, may develop joint pain that can be severe. Call your doctor if you have severe joint pain.
  • Skin reaction. Some people who take medicines called DPP-4 inhibitors, like NESINA, may develop a skin reaction called bullous pemphigoid that can require treatment in a hospital. Tell your doctor right away if you develop blisters or the breakdown of the outer layer of your skin (erosion). Your doctor may tell you to stop taking NESINA.
The most common side effects of NESINA include stuffy or runny nose and sore throat, headache, or cold-like symptoms (upper respiratory tract infection).

Tell your doctor if you have any side effect that bothers you or that does not go away.

These are not all the possible side effects of NESINA. For more information, ask your doctor or pharmacist.

Call your doctor for medical advice about side effects. You may report side effects to FDA at 1-800-FDA-1088.
How should I store NESINA?

Store NESINA at room temperature between 68°F to 77°F (20°C to 25°C).

Keep NESINA and all medicines out of the reach of children.
General information about the safe and effective use of NESINA.

Medicines are sometimes prescribed for purposes other than those listed in the Medication Guide. Do not take NESINA for a condition for which it was not prescribed. Do not give NESINA to other people, even if they have the same symptoms you have. It may harm them.

This Medication Guide summarizes the most important information about NESINA. If you would like to know more information, talk with your doctor. You can ask your doctor or pharmacist for information about NESINA that is written for health professionals.

For more information go to www.NESINA.com or call 1-877-TAKEDA-7 (1-877-825-3327).
What are the ingredients in NESINA?

Active ingredient:
alogliptin

Inactive ingredients: croscarmellose sodium, hydroxypropyl cellulose, magnesium stearate, mannitol, and microcrystalline cellulose. In addition, the film coating contains the following inactive ingredients: ferric oxide (red or yellow), hypromellose, polyethylene glycol, and titanium dioxide and is marked with printing ink (Gray F1).

Distributed by: Takeda Pharmaceuticals America, Inc., Cambridge, MA 02142.

NESINA is a registered trademark of Takeda Pharmaceutical Company Limited.

©2025 Takeda Pharmaceuticals America, Inc. All rights reserved.
Section 44425-7

Store at 25°C (77°F); excursions permitted to 15° to 30°C (59° to 86°F) [see USP Controlled Room Temperature].

10 Overdosage

In the event of an overdose, it is reasonable to institute the necessary clinical monitoring and supportive therapy as dictated by the patient's clinical status. Per clinical judgment, it may be reasonable to initiate removal of unabsorbed material from the gastrointestinal tract.

Alogliptin is minimally dialyzable; over a three-hour hemodialysis session, approximately 7% of the drug was removed. Therefore, hemodialysis is unlikely to be beneficial in an overdose situation. It is not known if NESINA is dialyzable by peritoneal dialysis.

In the event of an overdose, contact the Poison Help Line (1-800-222-1222) or a medical toxicologist for additional overdosage management recommendations.

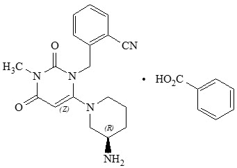
11 Description

NESINA tablets contain the active ingredient alogliptin, which is a selective, orally bioavailable inhibitor of the enzymatic activity of DPP-4.

Chemically, alogliptin is prepared as a benzoate salt, which is identified as 2-({6-[(3R)-3-aminopiperidin-1-yl]-3-methyl-2,4-dioxo-3,4-dihydropyrimidin-1(2H)-yl}methyl)benzonitrile monobenzoate. It has a molecular formula of C18H21N5O2∙C7H6O2 and a molecular weight of 461.51 daltons. The structural formula is:

Alogliptin benzoate is a white to off-white crystalline powder containing one asymmetric carbon in the aminopiperidine moiety. It is soluble in dimethylsulfoxide, sparingly soluble in water and methanol, slightly soluble in ethanol and very slightly soluble in octanol and isopropyl acetate.

Each NESINA tablet contains 34 mg, 17 mg or 8.5 mg alogliptin benzoate, which is equivalent to 25 mg, 12.5 mg or 6.25 mg, respectively, of alogliptin and the following inactive ingredients: croscarmellose sodium, hydroxypropyl cellulose, magnesium stearate, mannitol, and microcrystalline cellulose. In addition, the film coating contains the following inactive ingredients: ferric oxide (red or yellow), hypromellose, polyethylene glycol, and titanium dioxide and is marked with printing ink (Gray F1).

5.1 Pancreatitis

Acute pancreatitis has been reported in the postmarketing setting and in randomized clinical trials. In glycemic control trials in patients with type 2 diabetes mellitus, acute pancreatitis was reported in 6 (0.2%) patients treated with NESINA 25 mg and 2 (<0.1%) patients treated with active comparators or placebo. In the EXAMINE trial (a cardiovascular outcomes trial of patients with type 2 diabetes mellitus and high cardiovascular (CV) risk), acute pancreatitis was reported in 10 (0.4%) of patients treated with NESINA and in 7 (0.3%) of patients treated with placebo.

It is unknown whether patients with a history of pancreatitis are at increased risk for pancreatitis while using NESINA.

After initiation of NESINA, patients should be observed for signs and symptoms of pancreatitis. If pancreatitis is suspected, NESINA should promptly be discontinued and appropriate management should be initiated.

5.2 Heart Failure

In the EXAMINE trial which enrolled patients with type 2 diabetes mellitus and recent acute coronary syndrome, 106 (3.9%) of patients treated with NESINA and 89 (3.3%) of patients treated with placebo were hospitalized for congestive heart failure.

Consider the risks and benefits of NESINA prior to initiating treatment in patients at risk for heart failure, such as those with a prior history of heart failure and a history of renal impairment, and observe these patients for signs and symptoms of heart failure during therapy. Patients should be advised of the characteristic symptoms of heart failure and should be instructed to immediately report such symptoms. If heart failure develops, evaluate and manage according to current standards of care and consider discontinuation of NESINA.

8.4 Pediatric Use

The safety and effectiveness of NESINA have not been established in pediatric patients.

Effectiveness of NESINA was not demonstrated in a 52 week, randomized, double-blind, placebo-controlled trial (NCT02856113) in 151 pediatric patients aged 10 to 17 years with inadequately controlled type 2 diabetes mellitus.

8.5 Geriatric Use

Of the total number of patients (N=9052) in clinical safety and efficacy trials treated with NESINA, 2,257 (24.9%) patients were 65 years and older and 386 (4.3%) patients were 75 years and older. No overall differences in safety or effectiveness were observed between patients 65 years and over and younger patients.

4 Contraindications

NESINA is contraindicated in patients with a history of serious hypersensitivity to alogliptin or any of the excipients in NESINA. Reactions such as anaphylaxis, angioedema and severe cutaneous adverse reactions have been reported [see Warnings and Precautions (5.3), Adverse Reactions (6.2)].

5.4 Hepatic Effects

There have been postmarketing reports of fatal and nonfatal hepatic failure in patients taking NESINA, although some of the reports contain insufficient information necessary to establish the probable cause [see Adverse Reactions (6.2)].

In glycemic control trials in patients with type 2 diabetes mellitus, serum alanine aminotransferase (ALT) elevations greater than three times the upper limit of normal (ULN) were reported in 1.3% of patients treated with NESINA 25 mg and 1.7% of patients treated with active comparators or placebo. In the EXAMINE trial (a cardiovascular outcomes trial of patients with type 2 diabetes mellitus and high cardiovascular (CV) risk), increases in serum alanine aminotransferase three times the upper limit of the reference range occurred in 2.4% of patients treated with NESINA and in 1.8% of patients treated with placebo.

Measure liver tests promptly in patients who report symptoms that may indicate liver injury, including fatigue, anorexia, right upper abdominal discomfort, dark urine or jaundice. In this clinical context, if the patient is found to have clinically significant liver enzyme elevations and if abnormal liver tests persist or worsen, NESINA should be interrupted and investigation done to establish the probable cause. NESINA should not be restarted in these patients without another explanation for the liver test abnormalities.

6 Adverse Reactions

The following serious adverse reactions are described below or elsewhere in the prescribing information:

8.6 Renal Impairment

A total of 602 adult patients with moderate renal impairment (eGFR ≥30 and <60 mL/min/1.73 m2) and 4 patients with severe renal impairment/end-stage renal disease (eGFR <30 mL/min/1.73 m2 or <15 mL/min/1.73 m2, respectively) at baseline were treated with NESINA in clinical trials in patients with type 2 diabetes mellitus.

In the EXAMINE trial of high CV risk type 2 diabetes mellitus patients, 694 patients had moderate renal impairment and 78 patients had severe renal impairment or end-stage renal disease at baseline.

The recommended dose is 12.5 mg once daily in patients with moderate renal impairment and 6.25 mg once daily in patients with severe renal impairment, as well as in patients with ESRD requiring dialysis. NESINA may be administered without regard to the timing of the dialysis.

12.3 Pharmacokinetics

The pharmacokinetics of NESINA has been studied in healthy subjects and in patients with type 2 diabetes mellitus. The pharmacokinetics of NESINA was similar in healthy subjects and in patients with type 2 diabetes mellitus. After multiple-dose administration up to 400 mg for 14 days in patients with type 2 diabetes mellitus, accumulation of alogliptin was minimal with an increase in total [e.g., area under the plasma concentration curve (AUC)] and peak (i.e., Cmax) alogliptin exposures of 34% and 9%, respectively. Total and peak exposure to alogliptin increased proportionally across single doses and multiple doses of alogliptin ranging from 25 mg to 400 mg. The intersubject coefficient of variation for alogliptin AUC was 17%.

2.1 Recommended Dosage
  • The recommended dosage of NESINA is 25 mg taken orally once daily. Do not split tablets.
  • NESINA may be taken with or without food [see Clinical Pharmacology (12.3)].
  • Instruct patients if a dose is missed, not to double their next dose.
5.7 Bullous Pemphigoid

Postmarketing cases of bullous pemphigoid requiring hospitalization have been reported with DPP-4 inhibitor use. In reported cases, patients typically recovered with topical or systemic immunosuppressive treatment and discontinuation of the DPP-4 inhibitor. Tell patients to report development of blisters or erosions while receiving NESINA. If bullous pemphigoid is suspected, NESINA should be discontinued and referral to a dermatologist should be considered for diagnosis and appropriate treatment.

8.7 Hepatic Impairment

No dose adjustments are required in patients with mild to moderate hepatic impairment (Child-Pugh Grade A and B) [see Clinical Pharmacology (12.3)]. NESINA has not been studied in patients with severe hepatic impairment (Child-Pugh Grade C). Use caution when administering NESINA to patients with liver disease [see Warnings and Precautions (5.4)].

1 Indications and Usage

NESINA® is indicated as an adjunct to diet and exercise to improve glycemic control in adults with type 2 diabetes mellitus.

12.1 Mechanism of Action

Increased concentrations of the incretin hormones such as glucagon-like peptide-1 (GLP-1) and glucose-dependent insulinotropic polypeptide (GIP) are released into the bloodstream from the small intestine in response to meals. These hormones cause insulin release from the pancreatic beta cells in a glucose-dependent manner but are inactivated by the DPP-4 enzyme within minutes. GLP-1 also lowers glucagon secretion from pancreatic alpha cells, reducing hepatic glucose production. In patients with type 2 diabetes mellitus, concentrations of GLP-1 are reduced but the insulin response to GLP-1 is preserved. Alogliptin is a DPP-4 inhibitor that slows the inactivation of the incretin hormones, thereby increasing their bloodstream concentrations and reducing fasting and postprandial glucose concentrations in a glucose-dependent manner in patients with type 2 diabetes mellitus. Alogliptin selectively binds to and inhibits DPP-4 but not DPP-8 or DPP-9 activity in vitro at concentrations approximating therapeutic exposures.

5 Warnings and Precautions
  • Pancreatitis: There have been postmarketing reports of acute pancreatitis. If pancreatitis is suspected, promptly discontinue NESINA. (5.1)
  • Heart failure: Consider the risks and benefits of NESINA prior to initiating treatment in patients at risk for heart failure. If heart failure develops, evaluate and manage according to current standards of care and consider discontinuation of NESINA. (5.2)
  • Hypersensitivity: There have been postmarketing reports of serious hypersensitivity reactions in patients treated with NESINA such as anaphylaxis, angioedema and severe cutaneous adverse reactions, including Stevens-Johnson syndrome. If hypersensitivity reactions occur, discontinue NESINA, treat promptly, and monitor until signs and symptoms resolve. (5.3)
  • Hepatic effects: Postmarketing reports of hepatic failure, sometimes fatal. Causality cannot be excluded. If liver injury is detected, promptly interrupt NESINA and assess patient for probable cause, then treat cause if possible, to resolution or stabilization. Do not restart NESINA if liver injury is confirmed and no alternative etiology can be found. (5.4)
  • Hypoglycemia: Consider lowering the dosage of insulin secretagogue or insulin to reduce the risk of hypoglycemia when initiating NESINA. (5.5)
  • Arthralgia: Severe and disabling arthralgia has been reported in patients taking DPP-4 inhibitors. Consider as a possible cause for severe joint pain and discontinue drug if appropriate. (5.6)
  • Bullous pemphigoid: There have been postmarketing reports of bullous pemphigoid requiring hospitalization in patients taking DPP-4 inhibitors. Tell patients to report development of blisters or erosions. If bullous pemphigoid is suspected, discontinue NESINA. (5.7)
2 Dosage and Administration
  • The recommended dosage in patients with normal renal function or mild renal impairment is 25 mg orally once daily. (2.1)
  • Can be taken with or without food. (2.1)
  • Adjust dosage if moderate or severe renal impairment or end-stage renal disease (ESRD). (2.2)
Degree of Renal Impairment Creatinine Clearance (mL/min) Recommended Dosage
Moderate ≥30 to <60 12.5 mg once daily
Severe/ESRD <30 6.25 mg once daily
3 Dosage Forms and Strengths
  • 25 mg tablets are light red, oval, biconvex, film-coated, with "TAK ALG-25" printed on one side.
  • 12.5 mg tablets are yellow, oval, biconvex, film-coated, with "TAK ALG-12.5" printed on one side.
  • 6.25 mg tablets are light pink, oval, biconvex, film-coated, with "TAK ALG-6.25" printed on one side.
6.2 Postmarketing Experience

The following adverse reactions have been identified during the postmarketing use of NESINA. Because these reactions are reported voluntarily from a population of uncertain size, it is not always possible to reliably estimate their frequency or establish a causal relationship to drug exposure.

Gastrointestinal Disorders: acute pancreatitis, diarrhea, constipation, nausea, ileus

Hepatobiliary Disorders: fulminant hepatic failure

Immune System Disorders: hypersensitivity reactions including anaphylaxis

Investigations: hepatic enzyme elevations

Musculoskeletal and Connective Tissue Disorders: severe and disabling arthralgia, rhabdomyolysis

Renal and Urinary Disorders: tubulointerstitial nephritis

Skin and Subcutaneous Tissue Disorders: angioedema, rash, urticaria and severe cutaneous adverse reactions including Stevens-Johnson syndrome, bullous pemphigoid

5.3 Hypersensitivity Reactions

There have been postmarketing reports of serious hypersensitivity reactions in patients treated with NESINA [see Adverse Reactions (6.2)]. These reactions include anaphylaxis, angioedema and severe cutaneous adverse reactions, including Stevens-Johnson syndrome. If a serious hypersensitivity reaction is suspected, discontinue NESINA, assess for other potential causes for the event and institute alternative treatment for diabetes mellitus. Use caution in patients with a history of angioedema with another dipeptidyl peptidase-4 (DPP-4) inhibitor because it is unknown whether such patients will be predisposed to angioedema with NESINA.

6.1 Clinical Trials Experience

Because clinical trials are conducted under widely varying conditions, adverse reaction rates observed in the clinical trials of a drug cannot be directly compared to rates in the clinical trials of another drug and may not reflect the rates observed in practice.

A total of 14,778 patients with type 2 diabetes mellitus participated in 14 randomized, double-blind, controlled clinical trials of whom 9,052 subjects were treated with NESINA, 3,469 subjects were treated with placebo and 2,257 were treated with an active comparator. The racial distribution of patients exposed to trial medication was 71% White, 17% Asian, 6% Black or African American, 2% American Indian or Alaska Native, 0% Native Hawaiian/Other Pacific Islander and 5% Multiracial or other racial groups. The ethnic distribution was 30% Hispanic or Latino and 70% was not Hispanic or Latino. The mean duration of diabetes mellitus was seven years, the mean body mass index (BMI) was 31 kg/m2 (49% of patients had a BMI ≥30 kg/m2), and the mean age was 58 years (26% of patients ≥65 years of age). The mean exposure to NESINA was 49 weeks with 3,348 subjects treated for more than one year.

In a pooled analysis of these 14 controlled clinical trials, the overall incidence of adverse reactions was 73% in patients treated with NESINA 25 mg compared to 75% with placebo and 70% with active comparator. Overall discontinuation of therapy due to adverse reactions was 6.8% with NESINA 25 mg compared to 8.4% with placebo or 6.2% with active comparator.

Adverse reactions reported in ≥4% of adult patients treated with NESINA 25 mg and more frequently than in patients who received placebo are summarized in Table 1.

Table 1. Adverse Reactions Reported in ≥4% of Adult Patients with Type 2 Diabetes Mellitus Treated with NESINA 25 mg and More Frequently Than in Patients Given Placebo in Pooled Trials
Number of Patients (%)
NESINA 25 mg Placebo Active Comparator
N=6447 N=3469 N=2257
Nasopharyngitis 309 (5) 152 (4) 113 (5)
Upper Respiratory Tract Infection 287 (4) 121 (4) 113 (5)
Headache 278 (4) 101 (3) 121 (5)
14.4 Cardiovascular Safety Trial

A randomized, double-blind, placebo-controlled cardiovascular outcomes trial (EXAMINE) was conducted to evaluate the cardiovascular risk of NESINA. The trial compared the risk of major adverse cardiovascular events (MACE) between NESINA (N=2701) and placebo (N=2679) when added to standard of care therapies for diabetes mellitus and atherosclerotic vascular disease (ASCVD). The trial was event driven and patients were followed until a sufficient number of primary outcome events accrued.

Eligible patients were adults with type 2 diabetes mellitus who had inadequate glycemic control at baseline (e.g., HbA1c >6.5%) and had been hospitalized for an acute coronary syndrome event (e.g., acute myocardial infarction or unstable angina requiring hospitalization) 15 to 90 days prior to randomization. The dose of NESINA was based on estimated renal function at baseline per dosage and administration recommendations [see Dosage and Administration (2.2)]. The average time between an acute coronary syndrome event and randomization was approximately 48 days.

The mean age of the population was 61 years. Most patients were male (68%), White (73%), and were recruited from outside of the United States (86%). Asian and Black or African American patients contributed 20% and 4% of the total population, respectively. At the time of randomization patients had a diagnosis of type 2 diabetes mellitus for approximately 9 years, 87% had a prior myocardial infarction and 14% were current smokers. Hypertension (83%) and renal impairment (27% with an eGFR ≤60 mL/min/1.73 m2) were prevalent co-morbid conditions. Use of medications to treat diabetes mellitus (e.g., metformin 73%, sulfonylurea 54%, insulin 41%), and ASCVD (e.g., statin 94%, aspirin 93%, renin-angiotensin system blocker 88%, beta-blocker 87%) was similar between patients randomized to NESINA and placebo at baseline. During the trial, medications to treat diabetes mellitus and ASCVD could be adjusted to ensure care for these conditions adhered to standard of care recommendations set by local practice guidelines.

The primary endpoint in EXAMINE was the time to first occurrence of a MACE defined as the composite of cardiovascular death, nonfatal myocardial infarction (MI), or nonfatal stroke. The trial was designed to exclude a pre-specified risk margin of 1.3 for the hazard ratio of MACE. The median exposure to trial drug was 526 days and 95% of the patients were followed to trial completion or death.

Table 12 shows the trial results for the primary MACE composite endpoint and the contribution of each component to the primary MACE endpoint. The upper bound of the confidence interval was 1.16 and excluded a risk margin larger than 1.3.

Table 12. Patients with MACE and Type 2 Diabetes Mellitus in EXAMINE
Composite of first event of CV death, nonfatal MI or nonfatal stroke (MACE) NESINA Placebo Hazard Ratio
Number of Patients (%) Rate per 100 PY
Patient Years (PY)
Number of Patients (%) Rate per 100 PY
(98% CI)
N=2701 N=2679
305 (11.3) 7.6 316 (11.8) 7.9 0.96 (0.80, 1.16)
  CV Death 89 (3.3) 2.2 111 (4.1) 2.8
  Non-fatal MI 187 (6.9) 4.6 173 (6.5) 4.3
  Non-fatal stroke 29 (1.1) 0.7 32 (1.2) 0.8

The Kaplan-Meier based cumulative event probability is presented in Figure 4 for the time to first occurrence of the primary MACE composite endpoint by treatment arm. The curves for placebo and NESINA overlap throughout the duration of the trial. The observed incidence of MACE was highest within the first 60 days after randomization in both treatment arms (14.8 MACE per 100 PY), decreased from day 60 to the end of the first year (8.4 per 100 PY) and was lowest after one year of follow-up (5.2 per 100 PY).

Figure 4. Observed Cumulative Rate of MACE in EXAMINE

The rate of all cause death was similar between treatment arms with 153 (3.6 per 100 PY) recorded among patients randomized to NESINA and 173 (4.1 per 100 PY) among patients randomized to placebo. A total of 112 deaths (2.9 per 100 PY) among patients on NESINA and 130 among patients on placebo (3.5 per 100 PY) were adjudicated as cardiovascular deaths.

17 Patient Counseling Information

Advise the patient to read the FDA-approved patient labeling (Medication Guide).

2.2 Patients With Renal Impairment
  • Assess renal function prior to initiation of NESINA and periodically thereafter [see Use in Specific Populations (8.6)].
  • No dose adjustment of NESINA is necessary for patients with mild renal impairment (creatinine clearance [CrCl] ≥60 mL/min).
  • The dose of NESINA is 12.5 mg once daily for patients with moderate renal impairment (CrCl ≥30 to <60 mL/min).
  • The dose of NESINA is 6.25 mg once daily for patients with severe renal impairment (CrCl ≥15 to <30 mL/min) or with end-stage renal disease (ESRD) (CrCl <15 mL/min or requiring hemodialysis). NESINA may be administered without regard to the timing of dialysis. NESINA has not been studied in patients undergoing peritoneal dialysis [see Use in Specific Populations (8.6), Clinical Pharmacology (12.3)].
5.6 Severe and Disabling Arthralgia

There have been postmarketing reports of severe and disabling arthralgia in patients taking DPP-4 inhibitors. The time to onset of symptoms following initiation of drug therapy varied from one day to years. Patients experienced relief of symptoms upon discontinuation of the medication. A subset of patients experienced a recurrence of symptoms when restarting the same drug or a different DPP-4 inhibitor. Consider DPP-4 inhibitors as a possible cause for severe joint pain and discontinue drug if appropriate.

16 How Supplied/storage and Handling

NESINA tablets are available as film-coated tablets containing 25 mg, 12.5 mg or 6.25 mg of alogliptin as follows:

25 mg tablet: light red, oval, biconvex, film-coated, with "TAK ALG-25" printed on one side, available in:

NDC 64764-250-30 Bottles of 30 tablets
NDC 64764-250-90 Bottles of 90 tablets
NDC 64764-250-50 Bottles of 500 tablets

12.5 mg tablet: yellow, oval, biconvex, film-coated, with "TAK ALG-12.5" printed on one side, available in:

NDC 64764-125-30 Bottles of 30 tablets
NDC 64764-125-90 Bottles of 90 tablets
NDC 64764-125-50 Bottles of 500 tablets

6.25 mg tablet: light pink, oval, biconvex, film-coated, with "TAK ALG-6.25" printed on one side, available in:

NDC 64764-625-30 Bottles of 30 tablets
NDC 64764-625-90 Bottles of 90 tablets
7.1 Insulin Secretagogues and Insulin

Insulin and insulin secretagogues are known to cause hypoglycemia. Coadministration of NESINA with an insulin secretagogue (e.g., sulfonylurea) or insulin may require lower dosages of the insulin secretagogue and insulin to reduce the risk of hypoglycemia [see Warnings and Precautions (5.5)].

Principal Display Panel 25 Mg Tablet Bottle Label

NDC 64764-250-30

Nesina ®

(alogliptin) tablets

25 mg

Dispense with

Medication Guide

30 Tablets

Takeda

Rx Only

Principal Display Panel 12.5 Mg Tablet Bottle Label

NDC 64764-125-30

Nesina ®

(alogliptin) tablets

12.5 mg

Dispense with

Medication Guide

30 Tablets

Takeda

Rx Only

Principal Display Panel 6.25 Mg Tablet Bottle Label

NDC 64764-625-30

Nesina ®

(alogliptin) tablets

6.25 mg

Dispense with

Medication Guide

30 Tablets

Takeda

Rx Only

14.2 Patients With Inadequate Glycemic Control On Diet and Exercise

A total of 1,768 patients with type 2 diabetes mellitus participated in three double-blind trials to evaluate the efficacy and safety of NESINA in patients with inadequate glycemic control on diet and exercise. All three trials had a four week, single-blind, placebo run-in period followed by a 26 week randomized treatment period. Patients who failed to meet prespecified hyperglycemic goals during the 26 week treatment periods received glycemic rescue therapy.

In a 26 week, double-blind, placebo-controlled trial, a total of 329 patients (mean baseline A1C = 8%) were randomized to receive NESINA 12.5 mg, NESINA 25 mg or placebo once daily. Treatment with NESINA 25 mg resulted in statistically significant improvements from baseline in A1C and fasting plasma glucose (FPG) compared to placebo at Week 26 (Table 3). A total of 8% of patients receiving NESINA 25 mg and 30% of those receiving placebo required glycemic rescue therapy.

Improvements in A1C were not affected by gender, age or baseline body mass index (BMI).

The mean change in body weight with NESINA was similar to placebo.

Table 3. Glycemic Parameters at Week 26 in a Placebo-Controlled Monotherapy Trial of NESINA
Intent-to-treat population using last observation in the trial
NESINA 25 mg Placebo
A1C (%) N=128 N=63
  Baseline (mean) 7.9 8.0
  Change from baseline (adjusted mean
Least squares means adjusted for treatment, baseline value, geographic region and duration of diabetes mellitus
)
-0.6 0
  Difference from placebo (adjusted mean
with 95% confidence interval)
-0.6
p<0.01 compared to placebo
(-0.8, -0.3)
˗
  % of patients (n/N) achieving A1C ≤7% 44% (58/131)
23% (15/64)
FPG (mg/dL) N=129 N=64
  Baseline (mean) 172 173
  Change from baseline (adjusted mean
)
-16 11
  Difference from placebo (adjusted mean
with 95% confidence interval)
-28
(-40, -15)
˗

In a 26 week, double-blind, active-controlled trial, a total of 655 patients (mean baseline A1C = 8.8%) were randomized to receive NESINA 25 mg alone, pioglitazone 30 mg alone, NESINA 12.5 mg with pioglitazone 30 mg or NESINA 25 mg with pioglitazone 30 mg once daily. Coadministration of NESINA 25 mg with pioglitazone 30 mg resulted in statistically significant improvements from baseline in A1C and FPG compared to NESINA 25 mg alone and to pioglitazone 30 mg alone (Table 4). A total of 3% of patients receiving NESINA 25 mg coadministered with pioglitazone 30 mg, 11% of those receiving NESINA 25 mg alone and 6% of those receiving pioglitazone 30 mg alone required glycemic rescue.

Improvements in A1C were not affected by gender, age or baseline BMI.

The mean increase in body weight was similar between pioglitazone alone and NESINA when coadministered with pioglitazone.

Table 4. Glycemic Parameters at Week 26 in an Active-Controlled Trial of NESINA, Pioglitazone, and NESINA in Combination with Pioglitazone
Intent-to-treat population using last observation carried forward
NESINA 25 mg Pioglitazone 30 mg NESINA 25 mg + Pioglitazone 30 mg
A1C (%) N=160 N=153 N=158
  Baseline (mean) 8.8 8.8 8.8
  Change from baseline (adjusted mean
Least squares means adjusted for treatment, geographic region and baseline value
)
-1.0 -1.2 -1.7
   Difference from NESINA 25 mg (adjusted mean
with 95% confidence interval)
˗ ˗ -0.8
p<0.01 compared to NESINA 25 mg or pioglitazone 30 mg
(-1.0, -0.5)
  Difference from pioglitazone 30 mg (adjusted mean
with 95% confidence interval)
˗ ˗ -0.6
(-0.8, -0.3)
  % of patients (n/N) achieving A1C ≤7% 24% (40/164) 34% (55/163) 63% (103/164)
FPG (mg/dL) N=162 N=157 N=162
  Baseline (mean) 189 189 185
  Change from baseline (adjusted mean
)
-26 -37 -50
  Difference from NESINA 25 mg (adjusted mean
with 95% confidence interval)
˗ ˗ -24
(-34, -15)
  Difference from pioglitazone 30 mg (adjusted mean
with 95% confidence interval)
˗ ˗ -13
(-22, -4)

In a 26 week, double-blind, placebo-controlled trial, a total of 784 patients inadequately controlled on diet and exercise alone (mean baseline A1C = 8.4%) were randomized to one of seven treatment groups: placebo; metformin HCl 500 mg or metformin HCl 1000 mg twice daily; NESINA 12.5 mg twice daily; NESINA 25 mg daily; or NESINA 12.5 mg in combination with metformin HCl 500 mg or metformin HCl 1000 mg twice daily. Both coadministration treatment arms (NESINA 12.5 mg + metformin HCl 500 mg and NESINA 12.5 mg + metformin HCl 1000 mg) resulted in statistically significant improvements in A1C and FPG when compared with their respective individual alogliptin and metformin component regimens (Table 5). Coadministration treatment arms demonstrated improvements in two hour postprandial glucose (PPG) compared to NESINA alone or metformin alone (Table 5). A total of 12.3% of patients receiving NESINA 12.5 mg + metformin HCl 500 mg, 2.6% of patients receiving NESINA 12.5 mg + metformin HCl 1000 mg, 17.3% of patients receiving NESINA 12.5 mg, 22.9% of patients receiving metformin HCl 500 mg, 10.8% of patients receiving metformin HCl 1000 mg and 38.7% of patients receiving placebo required glycemic rescue.

Improvements in A1C were not affected by gender, age, race or baseline BMI. The mean decrease in body weight was similar between metformin alone and NESINA when coadministered with metformin.

Table 5. Glycemic Parameters at Week 26 for NESINA and Metformin Alone and in Combination in Adult Patients with Type 2 Diabetes Mellitus
Placebo NESINA 12.5 mg Twice Daily Metformin HCl 500 mg Twice Daily Metformin HCl 1000 mg Twice Daily NESINA 12.5 mg + Metformin HCl 500 mg

Twice Daily
NESINA 12.5 mg + Metformin HCl 1000 mg

Twice Daily
A1C (%)
Intent-to-treat population using last observation on trial prior to discontinuation of double-blind trial medication or sulfonylurea rescue therapy for patients needing rescue
N=102 N=104 N=103 N=108 N=102 N=111
Baseline (mean) 8.5 8.4 8.5 8.4 8.5 8.4
Change from baseline

(adjusted mean
Least squares means adjusted for treatment, geographic region and baseline value
)
0.1 -0.6 -0.7 -1.1 -1.2 -1.6
Difference from metformin (adjusted mean
with 95% confidence interval)
- - - - -0.6
p<0.05 when compared to metformin and NESINA alone


(-0.9, -0.3)
-0.4


(-0.7, -0.2)
Difference from NESINA (adjusted mean
with 95% confidence interval)
- - - - -0.7


(-1.0, -0.4)
-1.0


(-1.3, -0.7)
% of patients (n/N) achieving

A1C <7%
Compared using logistic regression
4%

(4/102)
20%

(21/104)
27%

(28/103)
34%

(37/108)
47%


(48/102)
59%


(66/111)
FPG (mg/dL)
N=105 N=106 N=106 N=110 N=106 N=112
Baseline (mean) 187 177 180 181 176 185
Change from baseline

(adjusted mean
)
12 -10 -12 -32 -32 -46
Difference from metformin (adjusted mean
with 95% confidence interval)
- - - - -20


(-33, -8)
-14


(-26, -2)
Difference from NESINA (adjusted mean
with 95% confidence interval)
- - - - -22


(-35, -10)
-36


(-49, -24)
2-Hour PPG (mg/dL)
Intent-to-treat population using data available at Week 26
N=26 N=34 N=28 N=37 N=31 N=37
Baseline (mean) 263 272 247 266 261 268
Change from baseline

(adjusted mean
)
-21 -43 -49 -54 -68 -86
Difference from metformin (adjusted mean
with 95% confidence interval)
- - - - -19

(-49, 11)
-32


(-58, -5)
Difference from NESINA (adjusted mean
with 95% confidence interval)
- - - - -25

(-53, -3)
-43


(-70, -16)
14.1 Overview of Clinical Trials in Adults With Type 2 Diabetes Mellitus

NESINA has been studied as monotherapy and in combination with metformin, a sulfonylurea, a thiazolidinedione (either alone or in combination with metformin or a sulfonylurea) and insulin (either alone or in combination with metformin).

A total of 14,053 patients with type 2 diabetes mellitus were randomized in 11 double-blind, placebo- or active-controlled clinical safety and efficacy trials conducted to evaluate the effects of NESINA on glycemic control. The racial distribution of patients exposed to trial medication was 70% White, 17% Asian, 6% Black or African American, 2% American Indian or Alaska Native, 0% Native Hawaiian/Other Pacific Islander and 5% Multiracial or other racial groups. The ethnic distribution was 30% Hispanic or Latino. Patients had an overall mean age of 57 years (range 21 to 91 years).

In patients with type 2 diabetes mellitus, treatment with NESINA produced clinically meaningful and statistically significant improvements in hemoglobin A1c (A1C) compared to placebo. As is typical for trials of agents to treat type 2 diabetes mellitus, the mean reduction in A1C with NESINA appears to be related to the degree of A1C elevation at baseline.

NESINA had similar changes from baseline in serum lipids compared to placebo.

5.5 Hypoglycemia With Concomitant Use With Insulin Or Insulin Secretagogues

Insulin and insulin secretagogues, such as sulfonylureas, are known to cause hypoglycemia. Therefore, a lower dosage of insulin or insulin secretagogue may be required to minimize the risk of hypoglycemia when used in combination with NESINA.


Structured Label Content

Section 42229-5 (42229-5)

Limitations of Use

NESINA is not recommended for use in patients with type 1 diabetes mellitus.

Section 42231-1 (42231-1)
MEDICATION GUIDE

NESINA® [nes-see′-na]

(alogliptin)

tablets
This Medication Guide has been approved by the U.S. Food and Drug Administration. NES011 R12 February 2025
Read this Medication Guide carefully before you start taking NESINA and each time you get a refill. There may be new information. This information does not take the place of talking with your doctor about your medical condition or treatment. If you have any questions about NESINA, ask your doctor or pharmacist.

What is the most important information I should know about NESINA?

Serious side effects can happen to people taking NESINA, including:

  • 1.
    Inflammation of the pancreas (pancreatitis): NESINA may cause pancreatitis which may be severe.

    Certain medical conditions make you more likely to get pancreatitis.

    Before you start taking NESINA:

    Tell your doctor if you have ever had:
  • pancreatitis
  • high blood triglyceride levels
  • kidney problems
  • stones in your gallbladder (gall stones)
  • liver problems
  • a history of alcoholism
Stop taking NESINA and call your doctor right away if you have pain in your stomach area (abdomen) that is severe and will not go away. The pain may be felt going from your abdomen through to your back. The pain may happen with or without vomiting. These may be symptoms of pancreatitis.
  • 2.
    Heart failure: Heart failure means your heart does not pump blood well enough.

    Before you start taking NESINA:

    Tell your doctor if you have ever had heart failure or have problems with your kidneys.

    Contact your doctor right away if you have any of the following symptoms:
  • increasing shortness of breath or trouble breathing especially when lying down
  • an unusually fast increase in weight
  • swelling of feet, ankles, or legs
  • unusual tiredness
These may be symptoms of heart failure.
What is NESINA?
  • NESINA is a prescription medicine used along with diet and exercise to improve blood sugar (glucose) control in adults with type 2 diabetes mellitus.
  • NESINA is not for people with type 1 diabetes mellitus.
It is not known if NESINA is safe and effective in children under the age of 18.
Who should not take NESINA?

Do not take NESINA if you:
  • Are allergic to any ingredients in NESINA or have had a serious allergic (hypersensitivity) reaction to NESINA. See the end of this Medication Guide for a complete list of the ingredients in NESINA.

    Symptoms of a serious allergic reaction to NESINA may include:
  • swelling of your face, lips, throat and other areas on your skin
  • raised, red areas on your skin (hives)
  • difficulty with swallowing or breathing
  • skin rash, itching, flaking or peeling
If you have any of these symptoms, stop taking NESINA and contact your doctor or go to the nearest hospital emergency room right away.
What should I tell my doctor before and during treatment with NESINA?

Before you take NESINA, tell your doctor if you:
  • have heart failure
  • have or have had inflammation of your pancreas (pancreatitis)
  • have kidney or liver problems
  • have other medical conditions
  • are pregnant or plan to become pregnant. It is not known if NESINA can harm your unborn baby. Talk with your doctor about the best way to control your blood sugar while you are pregnant or if you plan to become pregnant
  • are breastfeeding or plan to breastfeed. It is not known if NESINA passes into your breast milk. Talk with your doctor about the best way to feed your baby if you are taking NESINA
Tell your doctor about all the medicines you take, including prescription and over-the-counter medicines, vitamins and herbal supplements.

Know the medicines you take. Keep a list of them and show it to your doctor and pharmacist before you start any new medicine.

NESINA may affect the way other medicines work, and other medicines may affect how NESINA works. Contact your doctor before you start or stop other types of medicines.
How should I take NESINA?
  • Take NESINA exactly as your doctor tells you to take it.
  • Take NESINA 1 time each day with or without food.
  • Do not split tablets.
  • If you miss a dose, take it as soon as you remember. If you do not remember until it is time for your next dose, skip the missed dose, and take the next dose at your regular time. Do not take 2 doses of NESINA at the same time.
  • If you take too much NESINA, call your doctor or your Poison Help Line right away at 1-800-222-1222.
  • If your body is under stress, such as from fever, infection, accident or surgery, the dose of your diabetes mellitus medicines may need to be changed. Call your doctor right away.
  • Stay on your diet and exercise programs and check your blood sugar as your doctor tells you to.
  • Your doctor may do certain blood tests before you start NESINA and during treatment as needed. Your doctor may change your dose of NESINA based on the results of your blood tests due to how well your kidneys are working.
  • Your doctor will check your diabetes mellitus with regular blood tests, including your blood sugar levels and your hemoglobin A1C.
What are the possible side effects of NESINA?

NESINA can cause serious side effects, including:


See " What is the most important information I should know about NESINA? "
  • Serious allergic (hypersensitivity) reactions such as:
  • swelling of your face, lips, throat and other areas on your skin
  • raised, red areas on your skin (hives)
  • difficulty swallowing or breathing
  • skin rash, itching, flaking or peeling
If you have these symptoms, stop taking NESINA and contact your doctor right away or go the nearest hospital emergency room.
  • Liver problems. Call your doctor right away or go to the nearest hospital emergency room if you have unexplained symptoms, such as:
  • nausea or vomiting
  • loss of appetite
  • stomach pain
  • dark urine
  • unusual or unexplained tiredness
  • yellowing of your skin or the whites of your eyes
  • Low blood sugar (hypoglycemia). If you take NESINA with another medicine that can cause low blood sugar, such as a sulfonylurea or insulin, your risk of getting low blood sugar is higher. The dose of your sulfonylurea medicine or insulin may need to be lowered while you take NESINA. If you have symptoms of low blood sugar, you should check your blood sugar and treat if low, then call your doctor. Signs and symptoms of low blood sugar include:
  • shaking or feeling jittery
  • fast heartbeat
  • sweating
  • change in vision
  • hunger
  • confusion
  • headache
  • dizziness
  • change in mood
  • Joint pain. Some people who take medicines called DPP-4 inhibitors like NESINA, may develop joint pain that can be severe. Call your doctor if you have severe joint pain.
  • Skin reaction. Some people who take medicines called DPP-4 inhibitors, like NESINA, may develop a skin reaction called bullous pemphigoid that can require treatment in a hospital. Tell your doctor right away if you develop blisters or the breakdown of the outer layer of your skin (erosion). Your doctor may tell you to stop taking NESINA.
The most common side effects of NESINA include stuffy or runny nose and sore throat, headache, or cold-like symptoms (upper respiratory tract infection).

Tell your doctor if you have any side effect that bothers you or that does not go away.

These are not all the possible side effects of NESINA. For more information, ask your doctor or pharmacist.

Call your doctor for medical advice about side effects. You may report side effects to FDA at 1-800-FDA-1088.
How should I store NESINA?

Store NESINA at room temperature between 68°F to 77°F (20°C to 25°C).

Keep NESINA and all medicines out of the reach of children.
General information about the safe and effective use of NESINA.

Medicines are sometimes prescribed for purposes other than those listed in the Medication Guide. Do not take NESINA for a condition for which it was not prescribed. Do not give NESINA to other people, even if they have the same symptoms you have. It may harm them.

This Medication Guide summarizes the most important information about NESINA. If you would like to know more information, talk with your doctor. You can ask your doctor or pharmacist for information about NESINA that is written for health professionals.

For more information go to www.NESINA.com or call 1-877-TAKEDA-7 (1-877-825-3327).
What are the ingredients in NESINA?

Active ingredient:
alogliptin

Inactive ingredients: croscarmellose sodium, hydroxypropyl cellulose, magnesium stearate, mannitol, and microcrystalline cellulose. In addition, the film coating contains the following inactive ingredients: ferric oxide (red or yellow), hypromellose, polyethylene glycol, and titanium dioxide and is marked with printing ink (Gray F1).

Distributed by: Takeda Pharmaceuticals America, Inc., Cambridge, MA 02142.

NESINA is a registered trademark of Takeda Pharmaceutical Company Limited.

©2025 Takeda Pharmaceuticals America, Inc. All rights reserved.
Section 44425-7 (44425-7)

Store at 25°C (77°F); excursions permitted to 15° to 30°C (59° to 86°F) [see USP Controlled Room Temperature].

10 Overdosage (10 OVERDOSAGE)

In the event of an overdose, it is reasonable to institute the necessary clinical monitoring and supportive therapy as dictated by the patient's clinical status. Per clinical judgment, it may be reasonable to initiate removal of unabsorbed material from the gastrointestinal tract.

Alogliptin is minimally dialyzable; over a three-hour hemodialysis session, approximately 7% of the drug was removed. Therefore, hemodialysis is unlikely to be beneficial in an overdose situation. It is not known if NESINA is dialyzable by peritoneal dialysis.

In the event of an overdose, contact the Poison Help Line (1-800-222-1222) or a medical toxicologist for additional overdosage management recommendations.

11 Description (11 DESCRIPTION)

NESINA tablets contain the active ingredient alogliptin, which is a selective, orally bioavailable inhibitor of the enzymatic activity of DPP-4.

Chemically, alogliptin is prepared as a benzoate salt, which is identified as 2-({6-[(3R)-3-aminopiperidin-1-yl]-3-methyl-2,4-dioxo-3,4-dihydropyrimidin-1(2H)-yl}methyl)benzonitrile monobenzoate. It has a molecular formula of C18H21N5O2∙C7H6O2 and a molecular weight of 461.51 daltons. The structural formula is:

Alogliptin benzoate is a white to off-white crystalline powder containing one asymmetric carbon in the aminopiperidine moiety. It is soluble in dimethylsulfoxide, sparingly soluble in water and methanol, slightly soluble in ethanol and very slightly soluble in octanol and isopropyl acetate.

Each NESINA tablet contains 34 mg, 17 mg or 8.5 mg alogliptin benzoate, which is equivalent to 25 mg, 12.5 mg or 6.25 mg, respectively, of alogliptin and the following inactive ingredients: croscarmellose sodium, hydroxypropyl cellulose, magnesium stearate, mannitol, and microcrystalline cellulose. In addition, the film coating contains the following inactive ingredients: ferric oxide (red or yellow), hypromellose, polyethylene glycol, and titanium dioxide and is marked with printing ink (Gray F1).

5.1 Pancreatitis

Acute pancreatitis has been reported in the postmarketing setting and in randomized clinical trials. In glycemic control trials in patients with type 2 diabetes mellitus, acute pancreatitis was reported in 6 (0.2%) patients treated with NESINA 25 mg and 2 (<0.1%) patients treated with active comparators or placebo. In the EXAMINE trial (a cardiovascular outcomes trial of patients with type 2 diabetes mellitus and high cardiovascular (CV) risk), acute pancreatitis was reported in 10 (0.4%) of patients treated with NESINA and in 7 (0.3%) of patients treated with placebo.

It is unknown whether patients with a history of pancreatitis are at increased risk for pancreatitis while using NESINA.

After initiation of NESINA, patients should be observed for signs and symptoms of pancreatitis. If pancreatitis is suspected, NESINA should promptly be discontinued and appropriate management should be initiated.

5.2 Heart Failure

In the EXAMINE trial which enrolled patients with type 2 diabetes mellitus and recent acute coronary syndrome, 106 (3.9%) of patients treated with NESINA and 89 (3.3%) of patients treated with placebo were hospitalized for congestive heart failure.

Consider the risks and benefits of NESINA prior to initiating treatment in patients at risk for heart failure, such as those with a prior history of heart failure and a history of renal impairment, and observe these patients for signs and symptoms of heart failure during therapy. Patients should be advised of the characteristic symptoms of heart failure and should be instructed to immediately report such symptoms. If heart failure develops, evaluate and manage according to current standards of care and consider discontinuation of NESINA.

8.4 Pediatric Use

The safety and effectiveness of NESINA have not been established in pediatric patients.

Effectiveness of NESINA was not demonstrated in a 52 week, randomized, double-blind, placebo-controlled trial (NCT02856113) in 151 pediatric patients aged 10 to 17 years with inadequately controlled type 2 diabetes mellitus.

8.5 Geriatric Use

Of the total number of patients (N=9052) in clinical safety and efficacy trials treated with NESINA, 2,257 (24.9%) patients were 65 years and older and 386 (4.3%) patients were 75 years and older. No overall differences in safety or effectiveness were observed between patients 65 years and over and younger patients.

4 Contraindications (4 CONTRAINDICATIONS)

NESINA is contraindicated in patients with a history of serious hypersensitivity to alogliptin or any of the excipients in NESINA. Reactions such as anaphylaxis, angioedema and severe cutaneous adverse reactions have been reported [see Warnings and Precautions (5.3), Adverse Reactions (6.2)].

5.4 Hepatic Effects

There have been postmarketing reports of fatal and nonfatal hepatic failure in patients taking NESINA, although some of the reports contain insufficient information necessary to establish the probable cause [see Adverse Reactions (6.2)].

In glycemic control trials in patients with type 2 diabetes mellitus, serum alanine aminotransferase (ALT) elevations greater than three times the upper limit of normal (ULN) were reported in 1.3% of patients treated with NESINA 25 mg and 1.7% of patients treated with active comparators or placebo. In the EXAMINE trial (a cardiovascular outcomes trial of patients with type 2 diabetes mellitus and high cardiovascular (CV) risk), increases in serum alanine aminotransferase three times the upper limit of the reference range occurred in 2.4% of patients treated with NESINA and in 1.8% of patients treated with placebo.

Measure liver tests promptly in patients who report symptoms that may indicate liver injury, including fatigue, anorexia, right upper abdominal discomfort, dark urine or jaundice. In this clinical context, if the patient is found to have clinically significant liver enzyme elevations and if abnormal liver tests persist or worsen, NESINA should be interrupted and investigation done to establish the probable cause. NESINA should not be restarted in these patients without another explanation for the liver test abnormalities.

6 Adverse Reactions (6 ADVERSE REACTIONS)

The following serious adverse reactions are described below or elsewhere in the prescribing information:

8.6 Renal Impairment

A total of 602 adult patients with moderate renal impairment (eGFR ≥30 and <60 mL/min/1.73 m2) and 4 patients with severe renal impairment/end-stage renal disease (eGFR <30 mL/min/1.73 m2 or <15 mL/min/1.73 m2, respectively) at baseline were treated with NESINA in clinical trials in patients with type 2 diabetes mellitus.

In the EXAMINE trial of high CV risk type 2 diabetes mellitus patients, 694 patients had moderate renal impairment and 78 patients had severe renal impairment or end-stage renal disease at baseline.

The recommended dose is 12.5 mg once daily in patients with moderate renal impairment and 6.25 mg once daily in patients with severe renal impairment, as well as in patients with ESRD requiring dialysis. NESINA may be administered without regard to the timing of the dialysis.

12.3 Pharmacokinetics

The pharmacokinetics of NESINA has been studied in healthy subjects and in patients with type 2 diabetes mellitus. The pharmacokinetics of NESINA was similar in healthy subjects and in patients with type 2 diabetes mellitus. After multiple-dose administration up to 400 mg for 14 days in patients with type 2 diabetes mellitus, accumulation of alogliptin was minimal with an increase in total [e.g., area under the plasma concentration curve (AUC)] and peak (i.e., Cmax) alogliptin exposures of 34% and 9%, respectively. Total and peak exposure to alogliptin increased proportionally across single doses and multiple doses of alogliptin ranging from 25 mg to 400 mg. The intersubject coefficient of variation for alogliptin AUC was 17%.

2.1 Recommended Dosage
  • The recommended dosage of NESINA is 25 mg taken orally once daily. Do not split tablets.
  • NESINA may be taken with or without food [see Clinical Pharmacology (12.3)].
  • Instruct patients if a dose is missed, not to double their next dose.
5.7 Bullous Pemphigoid

Postmarketing cases of bullous pemphigoid requiring hospitalization have been reported with DPP-4 inhibitor use. In reported cases, patients typically recovered with topical or systemic immunosuppressive treatment and discontinuation of the DPP-4 inhibitor. Tell patients to report development of blisters or erosions while receiving NESINA. If bullous pemphigoid is suspected, NESINA should be discontinued and referral to a dermatologist should be considered for diagnosis and appropriate treatment.

8.7 Hepatic Impairment

No dose adjustments are required in patients with mild to moderate hepatic impairment (Child-Pugh Grade A and B) [see Clinical Pharmacology (12.3)]. NESINA has not been studied in patients with severe hepatic impairment (Child-Pugh Grade C). Use caution when administering NESINA to patients with liver disease [see Warnings and Precautions (5.4)].

1 Indications and Usage (1 INDICATIONS AND USAGE)

NESINA® is indicated as an adjunct to diet and exercise to improve glycemic control in adults with type 2 diabetes mellitus.

12.1 Mechanism of Action

Increased concentrations of the incretin hormones such as glucagon-like peptide-1 (GLP-1) and glucose-dependent insulinotropic polypeptide (GIP) are released into the bloodstream from the small intestine in response to meals. These hormones cause insulin release from the pancreatic beta cells in a glucose-dependent manner but are inactivated by the DPP-4 enzyme within minutes. GLP-1 also lowers glucagon secretion from pancreatic alpha cells, reducing hepatic glucose production. In patients with type 2 diabetes mellitus, concentrations of GLP-1 are reduced but the insulin response to GLP-1 is preserved. Alogliptin is a DPP-4 inhibitor that slows the inactivation of the incretin hormones, thereby increasing their bloodstream concentrations and reducing fasting and postprandial glucose concentrations in a glucose-dependent manner in patients with type 2 diabetes mellitus. Alogliptin selectively binds to and inhibits DPP-4 but not DPP-8 or DPP-9 activity in vitro at concentrations approximating therapeutic exposures.

5 Warnings and Precautions (5 WARNINGS AND PRECAUTIONS)
  • Pancreatitis: There have been postmarketing reports of acute pancreatitis. If pancreatitis is suspected, promptly discontinue NESINA. (5.1)
  • Heart failure: Consider the risks and benefits of NESINA prior to initiating treatment in patients at risk for heart failure. If heart failure develops, evaluate and manage according to current standards of care and consider discontinuation of NESINA. (5.2)
  • Hypersensitivity: There have been postmarketing reports of serious hypersensitivity reactions in patients treated with NESINA such as anaphylaxis, angioedema and severe cutaneous adverse reactions, including Stevens-Johnson syndrome. If hypersensitivity reactions occur, discontinue NESINA, treat promptly, and monitor until signs and symptoms resolve. (5.3)
  • Hepatic effects: Postmarketing reports of hepatic failure, sometimes fatal. Causality cannot be excluded. If liver injury is detected, promptly interrupt NESINA and assess patient for probable cause, then treat cause if possible, to resolution or stabilization. Do not restart NESINA if liver injury is confirmed and no alternative etiology can be found. (5.4)
  • Hypoglycemia: Consider lowering the dosage of insulin secretagogue or insulin to reduce the risk of hypoglycemia when initiating NESINA. (5.5)
  • Arthralgia: Severe and disabling arthralgia has been reported in patients taking DPP-4 inhibitors. Consider as a possible cause for severe joint pain and discontinue drug if appropriate. (5.6)
  • Bullous pemphigoid: There have been postmarketing reports of bullous pemphigoid requiring hospitalization in patients taking DPP-4 inhibitors. Tell patients to report development of blisters or erosions. If bullous pemphigoid is suspected, discontinue NESINA. (5.7)
2 Dosage and Administration (2 DOSAGE AND ADMINISTRATION)
  • The recommended dosage in patients with normal renal function or mild renal impairment is 25 mg orally once daily. (2.1)
  • Can be taken with or without food. (2.1)
  • Adjust dosage if moderate or severe renal impairment or end-stage renal disease (ESRD). (2.2)
Degree of Renal Impairment Creatinine Clearance (mL/min) Recommended Dosage
Moderate ≥30 to <60 12.5 mg once daily
Severe/ESRD <30 6.25 mg once daily
3 Dosage Forms and Strengths (3 DOSAGE FORMS AND STRENGTHS)
  • 25 mg tablets are light red, oval, biconvex, film-coated, with "TAK ALG-25" printed on one side.
  • 12.5 mg tablets are yellow, oval, biconvex, film-coated, with "TAK ALG-12.5" printed on one side.
  • 6.25 mg tablets are light pink, oval, biconvex, film-coated, with "TAK ALG-6.25" printed on one side.
6.2 Postmarketing Experience

The following adverse reactions have been identified during the postmarketing use of NESINA. Because these reactions are reported voluntarily from a population of uncertain size, it is not always possible to reliably estimate their frequency or establish a causal relationship to drug exposure.

Gastrointestinal Disorders: acute pancreatitis, diarrhea, constipation, nausea, ileus

Hepatobiliary Disorders: fulminant hepatic failure

Immune System Disorders: hypersensitivity reactions including anaphylaxis

Investigations: hepatic enzyme elevations

Musculoskeletal and Connective Tissue Disorders: severe and disabling arthralgia, rhabdomyolysis

Renal and Urinary Disorders: tubulointerstitial nephritis

Skin and Subcutaneous Tissue Disorders: angioedema, rash, urticaria and severe cutaneous adverse reactions including Stevens-Johnson syndrome, bullous pemphigoid

5.3 Hypersensitivity Reactions

There have been postmarketing reports of serious hypersensitivity reactions in patients treated with NESINA [see Adverse Reactions (6.2)]. These reactions include anaphylaxis, angioedema and severe cutaneous adverse reactions, including Stevens-Johnson syndrome. If a serious hypersensitivity reaction is suspected, discontinue NESINA, assess for other potential causes for the event and institute alternative treatment for diabetes mellitus. Use caution in patients with a history of angioedema with another dipeptidyl peptidase-4 (DPP-4) inhibitor because it is unknown whether such patients will be predisposed to angioedema with NESINA.

6.1 Clinical Trials Experience

Because clinical trials are conducted under widely varying conditions, adverse reaction rates observed in the clinical trials of a drug cannot be directly compared to rates in the clinical trials of another drug and may not reflect the rates observed in practice.

A total of 14,778 patients with type 2 diabetes mellitus participated in 14 randomized, double-blind, controlled clinical trials of whom 9,052 subjects were treated with NESINA, 3,469 subjects were treated with placebo and 2,257 were treated with an active comparator. The racial distribution of patients exposed to trial medication was 71% White, 17% Asian, 6% Black or African American, 2% American Indian or Alaska Native, 0% Native Hawaiian/Other Pacific Islander and 5% Multiracial or other racial groups. The ethnic distribution was 30% Hispanic or Latino and 70% was not Hispanic or Latino. The mean duration of diabetes mellitus was seven years, the mean body mass index (BMI) was 31 kg/m2 (49% of patients had a BMI ≥30 kg/m2), and the mean age was 58 years (26% of patients ≥65 years of age). The mean exposure to NESINA was 49 weeks with 3,348 subjects treated for more than one year.

In a pooled analysis of these 14 controlled clinical trials, the overall incidence of adverse reactions was 73% in patients treated with NESINA 25 mg compared to 75% with placebo and 70% with active comparator. Overall discontinuation of therapy due to adverse reactions was 6.8% with NESINA 25 mg compared to 8.4% with placebo or 6.2% with active comparator.

Adverse reactions reported in ≥4% of adult patients treated with NESINA 25 mg and more frequently than in patients who received placebo are summarized in Table 1.

Table 1. Adverse Reactions Reported in ≥4% of Adult Patients with Type 2 Diabetes Mellitus Treated with NESINA 25 mg and More Frequently Than in Patients Given Placebo in Pooled Trials
Number of Patients (%)
NESINA 25 mg Placebo Active Comparator
N=6447 N=3469 N=2257
Nasopharyngitis 309 (5) 152 (4) 113 (5)
Upper Respiratory Tract Infection 287 (4) 121 (4) 113 (5)
Headache 278 (4) 101 (3) 121 (5)
14.4 Cardiovascular Safety Trial

A randomized, double-blind, placebo-controlled cardiovascular outcomes trial (EXAMINE) was conducted to evaluate the cardiovascular risk of NESINA. The trial compared the risk of major adverse cardiovascular events (MACE) between NESINA (N=2701) and placebo (N=2679) when added to standard of care therapies for diabetes mellitus and atherosclerotic vascular disease (ASCVD). The trial was event driven and patients were followed until a sufficient number of primary outcome events accrued.

Eligible patients were adults with type 2 diabetes mellitus who had inadequate glycemic control at baseline (e.g., HbA1c >6.5%) and had been hospitalized for an acute coronary syndrome event (e.g., acute myocardial infarction or unstable angina requiring hospitalization) 15 to 90 days prior to randomization. The dose of NESINA was based on estimated renal function at baseline per dosage and administration recommendations [see Dosage and Administration (2.2)]. The average time between an acute coronary syndrome event and randomization was approximately 48 days.

The mean age of the population was 61 years. Most patients were male (68%), White (73%), and were recruited from outside of the United States (86%). Asian and Black or African American patients contributed 20% and 4% of the total population, respectively. At the time of randomization patients had a diagnosis of type 2 diabetes mellitus for approximately 9 years, 87% had a prior myocardial infarction and 14% were current smokers. Hypertension (83%) and renal impairment (27% with an eGFR ≤60 mL/min/1.73 m2) were prevalent co-morbid conditions. Use of medications to treat diabetes mellitus (e.g., metformin 73%, sulfonylurea 54%, insulin 41%), and ASCVD (e.g., statin 94%, aspirin 93%, renin-angiotensin system blocker 88%, beta-blocker 87%) was similar between patients randomized to NESINA and placebo at baseline. During the trial, medications to treat diabetes mellitus and ASCVD could be adjusted to ensure care for these conditions adhered to standard of care recommendations set by local practice guidelines.

The primary endpoint in EXAMINE was the time to first occurrence of a MACE defined as the composite of cardiovascular death, nonfatal myocardial infarction (MI), or nonfatal stroke. The trial was designed to exclude a pre-specified risk margin of 1.3 for the hazard ratio of MACE. The median exposure to trial drug was 526 days and 95% of the patients were followed to trial completion or death.

Table 12 shows the trial results for the primary MACE composite endpoint and the contribution of each component to the primary MACE endpoint. The upper bound of the confidence interval was 1.16 and excluded a risk margin larger than 1.3.

Table 12. Patients with MACE and Type 2 Diabetes Mellitus in EXAMINE
Composite of first event of CV death, nonfatal MI or nonfatal stroke (MACE) NESINA Placebo Hazard Ratio
Number of Patients (%) Rate per 100 PY
Patient Years (PY)
Number of Patients (%) Rate per 100 PY
(98% CI)
N=2701 N=2679
305 (11.3) 7.6 316 (11.8) 7.9 0.96 (0.80, 1.16)
  CV Death 89 (3.3) 2.2 111 (4.1) 2.8
  Non-fatal MI 187 (6.9) 4.6 173 (6.5) 4.3
  Non-fatal stroke 29 (1.1) 0.7 32 (1.2) 0.8

The Kaplan-Meier based cumulative event probability is presented in Figure 4 for the time to first occurrence of the primary MACE composite endpoint by treatment arm. The curves for placebo and NESINA overlap throughout the duration of the trial. The observed incidence of MACE was highest within the first 60 days after randomization in both treatment arms (14.8 MACE per 100 PY), decreased from day 60 to the end of the first year (8.4 per 100 PY) and was lowest after one year of follow-up (5.2 per 100 PY).

Figure 4. Observed Cumulative Rate of MACE in EXAMINE

The rate of all cause death was similar between treatment arms with 153 (3.6 per 100 PY) recorded among patients randomized to NESINA and 173 (4.1 per 100 PY) among patients randomized to placebo. A total of 112 deaths (2.9 per 100 PY) among patients on NESINA and 130 among patients on placebo (3.5 per 100 PY) were adjudicated as cardiovascular deaths.

17 Patient Counseling Information (17 PATIENT COUNSELING INFORMATION)

Advise the patient to read the FDA-approved patient labeling (Medication Guide).

2.2 Patients With Renal Impairment (2.2 Patients with Renal Impairment)
  • Assess renal function prior to initiation of NESINA and periodically thereafter [see Use in Specific Populations (8.6)].
  • No dose adjustment of NESINA is necessary for patients with mild renal impairment (creatinine clearance [CrCl] ≥60 mL/min).
  • The dose of NESINA is 12.5 mg once daily for patients with moderate renal impairment (CrCl ≥30 to <60 mL/min).
  • The dose of NESINA is 6.25 mg once daily for patients with severe renal impairment (CrCl ≥15 to <30 mL/min) or with end-stage renal disease (ESRD) (CrCl <15 mL/min or requiring hemodialysis). NESINA may be administered without regard to the timing of dialysis. NESINA has not been studied in patients undergoing peritoneal dialysis [see Use in Specific Populations (8.6), Clinical Pharmacology (12.3)].
5.6 Severe and Disabling Arthralgia

There have been postmarketing reports of severe and disabling arthralgia in patients taking DPP-4 inhibitors. The time to onset of symptoms following initiation of drug therapy varied from one day to years. Patients experienced relief of symptoms upon discontinuation of the medication. A subset of patients experienced a recurrence of symptoms when restarting the same drug or a different DPP-4 inhibitor. Consider DPP-4 inhibitors as a possible cause for severe joint pain and discontinue drug if appropriate.

16 How Supplied/storage and Handling (16 HOW SUPPLIED/STORAGE AND HANDLING)

NESINA tablets are available as film-coated tablets containing 25 mg, 12.5 mg or 6.25 mg of alogliptin as follows:

25 mg tablet: light red, oval, biconvex, film-coated, with "TAK ALG-25" printed on one side, available in:

NDC 64764-250-30 Bottles of 30 tablets
NDC 64764-250-90 Bottles of 90 tablets
NDC 64764-250-50 Bottles of 500 tablets

12.5 mg tablet: yellow, oval, biconvex, film-coated, with "TAK ALG-12.5" printed on one side, available in:

NDC 64764-125-30 Bottles of 30 tablets
NDC 64764-125-90 Bottles of 90 tablets
NDC 64764-125-50 Bottles of 500 tablets

6.25 mg tablet: light pink, oval, biconvex, film-coated, with "TAK ALG-6.25" printed on one side, available in:

NDC 64764-625-30 Bottles of 30 tablets
NDC 64764-625-90 Bottles of 90 tablets
7.1 Insulin Secretagogues and Insulin

Insulin and insulin secretagogues are known to cause hypoglycemia. Coadministration of NESINA with an insulin secretagogue (e.g., sulfonylurea) or insulin may require lower dosages of the insulin secretagogue and insulin to reduce the risk of hypoglycemia [see Warnings and Precautions (5.5)].

Principal Display Panel 25 Mg Tablet Bottle Label (PRINCIPAL DISPLAY PANEL - 25 mg Tablet Bottle Label)

NDC 64764-250-30

Nesina ®

(alogliptin) tablets

25 mg

Dispense with

Medication Guide

30 Tablets

Takeda

Rx Only

Principal Display Panel 12.5 Mg Tablet Bottle Label (PRINCIPAL DISPLAY PANEL - 12.5 mg Tablet Bottle Label)

NDC 64764-125-30

Nesina ®

(alogliptin) tablets

12.5 mg

Dispense with

Medication Guide

30 Tablets

Takeda

Rx Only

Principal Display Panel 6.25 Mg Tablet Bottle Label (PRINCIPAL DISPLAY PANEL - 6.25 mg Tablet Bottle Label)

NDC 64764-625-30

Nesina ®

(alogliptin) tablets

6.25 mg

Dispense with

Medication Guide

30 Tablets

Takeda

Rx Only

14.2 Patients With Inadequate Glycemic Control On Diet and Exercise (14.2 Patients with Inadequate Glycemic Control on Diet and Exercise)

A total of 1,768 patients with type 2 diabetes mellitus participated in three double-blind trials to evaluate the efficacy and safety of NESINA in patients with inadequate glycemic control on diet and exercise. All three trials had a four week, single-blind, placebo run-in period followed by a 26 week randomized treatment period. Patients who failed to meet prespecified hyperglycemic goals during the 26 week treatment periods received glycemic rescue therapy.

In a 26 week, double-blind, placebo-controlled trial, a total of 329 patients (mean baseline A1C = 8%) were randomized to receive NESINA 12.5 mg, NESINA 25 mg or placebo once daily. Treatment with NESINA 25 mg resulted in statistically significant improvements from baseline in A1C and fasting plasma glucose (FPG) compared to placebo at Week 26 (Table 3). A total of 8% of patients receiving NESINA 25 mg and 30% of those receiving placebo required glycemic rescue therapy.

Improvements in A1C were not affected by gender, age or baseline body mass index (BMI).

The mean change in body weight with NESINA was similar to placebo.

Table 3. Glycemic Parameters at Week 26 in a Placebo-Controlled Monotherapy Trial of NESINA
Intent-to-treat population using last observation in the trial
NESINA 25 mg Placebo
A1C (%) N=128 N=63
  Baseline (mean) 7.9 8.0
  Change from baseline (adjusted mean
Least squares means adjusted for treatment, baseline value, geographic region and duration of diabetes mellitus
)
-0.6 0
  Difference from placebo (adjusted mean
with 95% confidence interval)
-0.6
p<0.01 compared to placebo
(-0.8, -0.3)
˗
  % of patients (n/N) achieving A1C ≤7% 44% (58/131)
23% (15/64)
FPG (mg/dL) N=129 N=64
  Baseline (mean) 172 173
  Change from baseline (adjusted mean
)
-16 11
  Difference from placebo (adjusted mean
with 95% confidence interval)
-28
(-40, -15)
˗

In a 26 week, double-blind, active-controlled trial, a total of 655 patients (mean baseline A1C = 8.8%) were randomized to receive NESINA 25 mg alone, pioglitazone 30 mg alone, NESINA 12.5 mg with pioglitazone 30 mg or NESINA 25 mg with pioglitazone 30 mg once daily. Coadministration of NESINA 25 mg with pioglitazone 30 mg resulted in statistically significant improvements from baseline in A1C and FPG compared to NESINA 25 mg alone and to pioglitazone 30 mg alone (Table 4). A total of 3% of patients receiving NESINA 25 mg coadministered with pioglitazone 30 mg, 11% of those receiving NESINA 25 mg alone and 6% of those receiving pioglitazone 30 mg alone required glycemic rescue.

Improvements in A1C were not affected by gender, age or baseline BMI.

The mean increase in body weight was similar between pioglitazone alone and NESINA when coadministered with pioglitazone.

Table 4. Glycemic Parameters at Week 26 in an Active-Controlled Trial of NESINA, Pioglitazone, and NESINA in Combination with Pioglitazone
Intent-to-treat population using last observation carried forward
NESINA 25 mg Pioglitazone 30 mg NESINA 25 mg + Pioglitazone 30 mg
A1C (%) N=160 N=153 N=158
  Baseline (mean) 8.8 8.8 8.8
  Change from baseline (adjusted mean
Least squares means adjusted for treatment, geographic region and baseline value
)
-1.0 -1.2 -1.7
   Difference from NESINA 25 mg (adjusted mean
with 95% confidence interval)
˗ ˗ -0.8
p<0.01 compared to NESINA 25 mg or pioglitazone 30 mg
(-1.0, -0.5)
  Difference from pioglitazone 30 mg (adjusted mean
with 95% confidence interval)
˗ ˗ -0.6
(-0.8, -0.3)
  % of patients (n/N) achieving A1C ≤7% 24% (40/164) 34% (55/163) 63% (103/164)
FPG (mg/dL) N=162 N=157 N=162
  Baseline (mean) 189 189 185
  Change from baseline (adjusted mean
)
-26 -37 -50
  Difference from NESINA 25 mg (adjusted mean
with 95% confidence interval)
˗ ˗ -24
(-34, -15)
  Difference from pioglitazone 30 mg (adjusted mean
with 95% confidence interval)
˗ ˗ -13
(-22, -4)

In a 26 week, double-blind, placebo-controlled trial, a total of 784 patients inadequately controlled on diet and exercise alone (mean baseline A1C = 8.4%) were randomized to one of seven treatment groups: placebo; metformin HCl 500 mg or metformin HCl 1000 mg twice daily; NESINA 12.5 mg twice daily; NESINA 25 mg daily; or NESINA 12.5 mg in combination with metformin HCl 500 mg or metformin HCl 1000 mg twice daily. Both coadministration treatment arms (NESINA 12.5 mg + metformin HCl 500 mg and NESINA 12.5 mg + metformin HCl 1000 mg) resulted in statistically significant improvements in A1C and FPG when compared with their respective individual alogliptin and metformin component regimens (Table 5). Coadministration treatment arms demonstrated improvements in two hour postprandial glucose (PPG) compared to NESINA alone or metformin alone (Table 5). A total of 12.3% of patients receiving NESINA 12.5 mg + metformin HCl 500 mg, 2.6% of patients receiving NESINA 12.5 mg + metformin HCl 1000 mg, 17.3% of patients receiving NESINA 12.5 mg, 22.9% of patients receiving metformin HCl 500 mg, 10.8% of patients receiving metformin HCl 1000 mg and 38.7% of patients receiving placebo required glycemic rescue.

Improvements in A1C were not affected by gender, age, race or baseline BMI. The mean decrease in body weight was similar between metformin alone and NESINA when coadministered with metformin.

Table 5. Glycemic Parameters at Week 26 for NESINA and Metformin Alone and in Combination in Adult Patients with Type 2 Diabetes Mellitus
Placebo NESINA 12.5 mg Twice Daily Metformin HCl 500 mg Twice Daily Metformin HCl 1000 mg Twice Daily NESINA 12.5 mg + Metformin HCl 500 mg

Twice Daily
NESINA 12.5 mg + Metformin HCl 1000 mg

Twice Daily
A1C (%)
Intent-to-treat population using last observation on trial prior to discontinuation of double-blind trial medication or sulfonylurea rescue therapy for patients needing rescue
N=102 N=104 N=103 N=108 N=102 N=111
Baseline (mean) 8.5 8.4 8.5 8.4 8.5 8.4
Change from baseline

(adjusted mean
Least squares means adjusted for treatment, geographic region and baseline value
)
0.1 -0.6 -0.7 -1.1 -1.2 -1.6
Difference from metformin (adjusted mean
with 95% confidence interval)
- - - - -0.6
p<0.05 when compared to metformin and NESINA alone


(-0.9, -0.3)
-0.4


(-0.7, -0.2)
Difference from NESINA (adjusted mean
with 95% confidence interval)
- - - - -0.7


(-1.0, -0.4)
-1.0


(-1.3, -0.7)
% of patients (n/N) achieving

A1C <7%
Compared using logistic regression
4%

(4/102)
20%

(21/104)
27%

(28/103)
34%

(37/108)
47%


(48/102)
59%


(66/111)
FPG (mg/dL)
N=105 N=106 N=106 N=110 N=106 N=112
Baseline (mean) 187 177 180 181 176 185
Change from baseline

(adjusted mean
)
12 -10 -12 -32 -32 -46
Difference from metformin (adjusted mean
with 95% confidence interval)
- - - - -20


(-33, -8)
-14


(-26, -2)
Difference from NESINA (adjusted mean
with 95% confidence interval)
- - - - -22


(-35, -10)
-36


(-49, -24)
2-Hour PPG (mg/dL)
Intent-to-treat population using data available at Week 26
N=26 N=34 N=28 N=37 N=31 N=37
Baseline (mean) 263 272 247 266 261 268
Change from baseline

(adjusted mean
)
-21 -43 -49 -54 -68 -86
Difference from metformin (adjusted mean
with 95% confidence interval)
- - - - -19

(-49, 11)
-32


(-58, -5)
Difference from NESINA (adjusted mean
with 95% confidence interval)
- - - - -25

(-53, -3)
-43


(-70, -16)
14.1 Overview of Clinical Trials in Adults With Type 2 Diabetes Mellitus (14.1 Overview of Clinical Trials in Adults with Type 2 Diabetes Mellitus)

NESINA has been studied as monotherapy and in combination with metformin, a sulfonylurea, a thiazolidinedione (either alone or in combination with metformin or a sulfonylurea) and insulin (either alone or in combination with metformin).

A total of 14,053 patients with type 2 diabetes mellitus were randomized in 11 double-blind, placebo- or active-controlled clinical safety and efficacy trials conducted to evaluate the effects of NESINA on glycemic control. The racial distribution of patients exposed to trial medication was 70% White, 17% Asian, 6% Black or African American, 2% American Indian or Alaska Native, 0% Native Hawaiian/Other Pacific Islander and 5% Multiracial or other racial groups. The ethnic distribution was 30% Hispanic or Latino. Patients had an overall mean age of 57 years (range 21 to 91 years).

In patients with type 2 diabetes mellitus, treatment with NESINA produced clinically meaningful and statistically significant improvements in hemoglobin A1c (A1C) compared to placebo. As is typical for trials of agents to treat type 2 diabetes mellitus, the mean reduction in A1C with NESINA appears to be related to the degree of A1C elevation at baseline.

NESINA had similar changes from baseline in serum lipids compared to placebo.

5.5 Hypoglycemia With Concomitant Use With Insulin Or Insulin Secretagogues (5.5 Hypoglycemia with Concomitant Use with Insulin or Insulin Secretagogues)

Insulin and insulin secretagogues, such as sulfonylureas, are known to cause hypoglycemia. Therefore, a lower dosage of insulin or insulin secretagogue may be required to minimize the risk of hypoglycemia when used in combination with NESINA.


Advanced Ingredient Data


Raw Label Data

All Sections (JSON)