chlordiazepoxide hydrochloride and clidinium bromide capsules usp, 5 mg/2.5 mg

chlordiazepoxide hydrochloride and clidinium bromide capsules usp, 5 mg/2.5 mg
SPL v5
SPL
SPL Set ID a0d735c2-e7a9-4843-a78d-203c9598682d
Route
oral
Published
Effective Date 2022-06-09
Document Type 34391-3 HUMAN PRESCRIPTION DRUG LABEL

Drug Facts

Composition & Product

Active Ingredients
chlordiazepoxide (5 mg) clidinium (2.5 mg)
Inactive Ingredients
lactose monohydrate starch, corn talc titanium dioxide d&c yellow no. 10 fd&c green no. 3 gelatin ammonia ferrosoferric oxide potassium hydroxide propylene glycol shellac

Identifiers & Packaging

Pill Appearance
Imprint: 696;696 Shape: capsule Color: green Size: 14 mm Score: 1
Marketing Status
anda active Since 2020-10-20

Indications and Usage

Chlordiazepoxide hydrochloride and clidinium bromide capsules are indicated to control emotional and somatic factors in gastrointestinal disorders. Chlordiazepoxide hydrochloride and clidinium bromide capsules may also be used as adjunctive therapy in the treatment of peptic ulcer and in the treatment of the irritable bowel syndrome (irritable colon, spastic colon, mucous colitis) and acute enterocolitis.

Dosage and Administration

Because of the varied individual responses to tranquilizers and anticholinergics, the optimum dosage of chlordiazepoxide hydrochloride and clidinium bromide capsules varies with the diagnosis and response of the individual patient. The dosage, therefore, should be individualized for maximum beneficial effects. The usual maintenance dose is 1 or 2 capsules, 3 or 4 times a day administered before meals and at bedtime. Geriatric Dosing Dosage should be limited to the smallest effective amount to preclude the development of ataxia, oversedation or confusion. The initial dose should not exceed 2 chlordiazepoxide hydrochloride and clidinium bromide capsules per day, to be increased gradually as needed and tolerated.

Contraindications

Chlordiazepoxide hydrochloride and clidinium bromide capsules are contraindicated in the presence of glaucoma (since the anticholinergic component may produce some degree of mydriasis) and in patients with prostatic hypertrophy and benign bladder neck obstruction. It is contraindicated in patients with known hypersensitivity to chlordiazepoxide hydrochloride and/or clidinium bromide.

Adverse Reactions

No side effects or manifestation not seen with either compound alone have been reported with the administration of chlordiazepoxide hydrochloride and clidinium bromide capsules. However, since the chlordiazepoxide hydrochloride and clidinium bromide capsules contain chlordiazepoxide hydrochloride and clidinium bromide, the possibility of untoward effects which may be seen with either of these two compounds cannot be excluded. When chlordiazepoxide hydrochloride has been used alone the necessity of discontinuing therapy because of undesirable effects has been rare. Drowsiness, ataxia and confusion have been reported in some patients – particularly the elderly and debilitated. While these effects can be avoided in almost all instances by proper dosage adjustment, they have occasionally been observed at the lower dosage ranges. In a few instances syncope has been reported. Other adverse reactions reported during therapy with chlordiazepoxide hydrochloride include isolated instances of skin eruptions, edema, minor menstrual irregularities, nausea and constipation, extrapyramidal symptoms, as well as increased and decreased libido. Such side effects have been infrequent and are generally controlled with reduction of dosage. Changes in EEG patterns (low-voltage fast activity) have been observed in patients during and after chlordiazepoxide hydrochloride treatment. Blood dyscrasias, including agranulocytosis, jaundice and hepatic dysfunction have occasionally been reported during therapy with chlordiazepoxide hydrochloride. When chlordiazepoxide hydrochloride treatment is protracted, periodic blood counts and liver function tests are advisable. Adverse effects reported with use of chlordiazepoxide hydrochloride and clidinium bromide capsules are those typical of anticholinergic agents, i.e., dryness of the mouth, blurring of vision, urinary hesitancy and constipation. Constipation has occurred most often when Chlordiazepoxide Hydrochloride/Clidinium Bromide therapy has been combined with other spasmolytic agents and/or low residue diet. To report SUSPECTED ADVERSE REACTIONS, contact Chartwell RX, LLC at 1-845-232-1683 or FDA at 1-800-FDA-1088 or www.fda.gov/medwatch.

How Supplied

Chlordiazepoxide hydrochloride and clidinium bromide capsules USP, 5 mg/2.5 mg are available in green opaque hard gelatin capsules, each containing 5 mg chlordiazepoxide hydrochloride and 2.5 mg clidinium bromide — bottles of 120 (NDC 62135-696-12) with imprinted "696" on the cap and body of the capsule in black ink. Store at 20° to 25°C (68° to 77°F); excursions permitted to 15° to 30°C (59° to 86°F) [See USP Controlled Room Temperature]. Keep out of reach of children. Dispense in tight, light-resistant container as defined in USP/NF. Manufactured for: Chartwell RX, LLC Congers, NY 10920 Revised: 04/2022 L70906

Description

Concomitant use of benzodiazepines and opioids may result in profound sedation, respiratory depression, coma, and death (see WARNINGS and PRECAUTIONS ). Reserve concomitant prescribing of these drugs for use in patients for whom alternative treatment options are inadequate. Limit dosages and durations to the minimum required. Follow patients for signs and symptoms of respiratory depression and sedation.


Medication Information

Warnings

Concomitant use of benzodiazepines, including chlordiazepoxide hydrochloride and clidinium bromide capsules, and opioids may result in profound sedation, respiratory depression, coma, and death. Because of these risks, reserve concomitant prescribing of these drugs for use in patients for whom alternative treatment options are inadequate.

Observational studies have demonstrated that concomitant use of opioid analgesics and benzodiazepines increases the risk of drug-related mortality compared to use of opioids alone. If a decision is made to prescribe chlordiazepoxide hydrochloride and clidinium bromide capsules concomitantly with opioids, prescribe the lowest effective dosages and minimum durations of concomitant use, and follow patients closely for signs and symptoms of respiratory depression and sedation.

Advise both patients and caregivers about the risks of respiratory depression and sedation when chlordiazepoxide hydrochloride and clidinium bromide capsules is used with opioids (see PRECAUTIONS) .

As in the case of other preparations containing CNS-acting drugs, patients receiving chlordiazepoxide hydrochloride and clidinium bromide capsules should be cautioned about possible combined effects with opioids, alcohol and other CNS depressants. For the same reason, they should be cautioned against hazardous occupations requiring complete mental alertness, such as operating machinery or driving a motor vehicle.

Usage In Pregnancy

An increased risk of congenital malformations associated with the use of minor tranquilizers (chlordiazepoxide, diazepam and meprobamate) during the first trimester of pregnancy has been suggested in several studies. Because use of these drugs is rarely a matter of urgency, their use during this period should almost always be avoided. The possibility that a woman of childbearing potential may be pregnant at the time of institution of therapy should be considered. Patients should be advised that if they become pregnant during therapy or intend to become pregnant they should communicate with their physicians about the desirability of discontinuing the drug.

As with all anticholinergic drugs, an inhibiting effect on lactation may occur (see ANIMAL PHARMACOLOGY) .

Indications and Usage

Chlordiazepoxide hydrochloride and clidinium bromide capsules are indicated to control emotional and somatic factors in gastrointestinal disorders. Chlordiazepoxide hydrochloride and clidinium bromide capsules may also be used as adjunctive therapy in the treatment of peptic ulcer and in the treatment of the irritable bowel syndrome (irritable colon, spastic colon, mucous colitis) and acute enterocolitis.

Dosage and Administration

Because of the varied individual responses to tranquilizers and anticholinergics, the optimum dosage of chlordiazepoxide hydrochloride and clidinium bromide capsules varies with the diagnosis and response of the individual patient. The dosage, therefore, should be individualized for maximum beneficial effects. The usual maintenance dose is 1 or 2 capsules, 3 or 4 times a day administered before meals and at bedtime.

Geriatric Dosing

Dosage should be limited to the smallest effective amount to preclude the development of ataxia, oversedation or confusion. The initial dose should not exceed 2 chlordiazepoxide hydrochloride and clidinium bromide capsules per day, to be increased gradually as needed and tolerated.

Contraindications

Chlordiazepoxide hydrochloride and clidinium bromide capsules are contraindicated in the presence of glaucoma (since the anticholinergic component may produce some degree of mydriasis) and in patients with prostatic hypertrophy and benign bladder neck obstruction. It is contraindicated in patients with known hypersensitivity to chlordiazepoxide hydrochloride and/or clidinium bromide.

Adverse Reactions

No side effects or manifestation not seen with either compound alone have been reported with the administration of chlordiazepoxide hydrochloride and clidinium bromide capsules. However, since the chlordiazepoxide hydrochloride and clidinium bromide capsules contain chlordiazepoxide hydrochloride and clidinium bromide, the possibility of untoward effects which may be seen with either of these two compounds cannot be excluded.

When chlordiazepoxide hydrochloride has been used alone the necessity of discontinuing therapy because of undesirable effects has been rare. Drowsiness, ataxia and confusion have been reported in some patients – particularly the elderly and debilitated. While these effects can be avoided in almost all instances by proper dosage adjustment, they have occasionally been observed at the lower dosage ranges. In a few instances syncope has been reported.

Other adverse reactions reported during therapy with chlordiazepoxide hydrochloride include isolated instances of skin eruptions, edema, minor menstrual irregularities, nausea and constipation, extrapyramidal symptoms, as well as increased and decreased libido. Such side effects have been infrequent and are generally controlled with reduction of dosage. Changes in EEG patterns (low-voltage fast activity) have been observed in patients during and after chlordiazepoxide hydrochloride treatment.

Blood dyscrasias, including agranulocytosis, jaundice and hepatic dysfunction have occasionally been reported during therapy with chlordiazepoxide hydrochloride. When chlordiazepoxide hydrochloride treatment is protracted, periodic blood counts and liver function tests are advisable.

Adverse effects reported with use of chlordiazepoxide hydrochloride and clidinium bromide capsules are those typical of anticholinergic agents, i.e., dryness of the mouth, blurring of vision, urinary hesitancy and constipation. Constipation has occurred most often when Chlordiazepoxide Hydrochloride/Clidinium Bromide therapy has been combined with other spasmolytic agents and/or low residue diet.

To report SUSPECTED ADVERSE REACTIONS, contact Chartwell RX, LLC at 1-845-232-1683 or FDA at 1-800-FDA-1088 or www.fda.gov/medwatch.

How Supplied

Chlordiazepoxide hydrochloride and clidinium bromide capsules USP, 5 mg/2.5 mg are available in green opaque hard gelatin capsules, each containing 5 mg chlordiazepoxide hydrochloride and 2.5 mg clidinium bromide — bottles of 120 (NDC 62135-696-12) with imprinted "696" on the cap and body of the capsule in black ink.

Store at 20° to 25°C (68° to 77°F); excursions permitted to 15° to 30°C (59° to 86°F) [See USP Controlled Room Temperature].

Keep out of reach of children. Dispense in tight, light-resistant container as defined in USP/NF.

Manufactured for:

Chartwell RX, LLC

Congers, NY 10920

Revised: 04/2022

L70906

Description

Chlordiazepoxide hydrochloride and clidinium bromide capsules USP, 5 mg/2.5 mg combines in a single capsule formulation the antianxiety action of chlordiazepoxide hydrochloride and the anticholinergic/spasmolytic effects of clidinium bromide.

Each chlordiazepoxide hydrochloride and clidinium bromide capsules USP, 5 mg/2.5 mg contains the active ingredients 5 mg chlordiazepoxide hydrochloride and 2.5 mg clidinium bromide. Each capsule also contains the inactive ingredients corn starch, lactose monohydrate, talc, sodium lauryl sulfate, D&C Yellow No. 10, FD&C Green No. 3, titanium dioxide, and gelatin. The imprinting ink contains ammonia solution, black iron oxide, potassium hydroxide, propylene glycol, and shellac.

Chlordiazepoxide hydrochloride is a versatile, therapeutic agent of proven value for the relief of anxiety and tension. It is indicated when anxiety, tension or apprehension are significant components of the clinical profile. It is among the safer of the effective psychopharmacologic compounds.

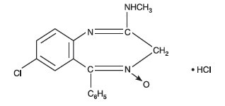
Chlordiazepoxide hydrochloride is 7-chloro-2-(methylamino)-5-phenyl-3H-1,4-benzodiazepine 2-oxide monohydrochloride. A white to slightly yellow, crystalline powder, it is soluble in water. It is unstable in solution and the powder must be protected from light. The molecular weight is 336.2. The structural formula of chlordiazepoxide hydrochloride is as follows:

Clidinium bromide is a synthetic anticholinergic agent which has been shown in experimental and clinical studies to have a pronounced antispasmodic and antisecretory effect on the gastrointestinal tract. Structurally clidinium bromide is:

Overdosage

Manifestations of chlordiazepoxide hydrochloride overdosage include somnolence, confusion, coma and diminished reflexes. Respiration, pulse and blood pressure should be monitored, as in all cases of drug overdosage, although, in general, these effects have been minimal following chlordiazepoxide hydrochloride overdosage.

While the signs and symptoms of chlordiazepoxide hydrochloride and clidinium bromide capsules overdosage may be produced by either of its components, usually such symptoms will be overshadowed by the anticholinergic actions of clidinium bromide. The symptoms of overdosage of clidinium bromide are excessive dryness of mouth, blurring of vision, urinary hesitancy and constipation.

General supportive measures should be employed, along with immediate gastric lavage. Administer physostigmine 0.5 to 2 mg at a rate of no more than 1 mg per minute. This may be repeated in 1 to 4 mg doses if arrhythmias, convulsions or deep coma recur. Intravenous fluids should be administered and an adequate airway maintained. Hypotension may be combated by the use of levarterenol or metaraminol. Methylphenidate or caffeine and sodium benzoate may be given to combat CNS-depressive effects. Dialysis is of limited value. Should excitation occur, barbiturates should not be used. As with the management of intentional overdosage with any drug, it should be borne in mind that multiple agents may have been ingested.

Withdrawal symptoms of the barbiturate type have occurred after the discontinuation of benzodiazepines (see  DRUG ABUSE AND DEPENDENCE ).

Precautions

In debilitated patients, it is recommended that the dosage be limited to the smallest effective amount to preclude the development of ataxia, oversedation or confusion (not more than 2 Chlordiazepoxide Hydrochloride/Clidinium Bromide capsules per day initially, to be increased gradually as needed and tolerated). In general, the concomitant administration of chlordiazepoxide hydrochloride and clidinium bromide capsules and other psychotropic agents is not recommended. If such combination therapy seems indicated, careful consideration should be given to the pharmacology of the agents to be employed - particularly when the known potentiating compounds such as the MAO inhibitors and phenothiazines are to be used. The usual precautions in treating patients with impaired renal or hepatic function should be observed.

Paradoxical reactions to chlordiazepoxide hydrochloride, e.g., excitement, stimulation and acute rage, have been reported in psychiatric patients and should be watched for during chlordiazepoxide hydrochloride and clidinium bromide capsules therapy. The usual precautions are indicated when chlordiazepoxide hydrochloride is used in the treatment of anxiety states where there is any evidence of impending depression; it should be borne in mind that suicidal tendencies may be present and protective measures may be necessary. Although clinical studies have not established a cause and effect relationship, physicians should be aware that variable effects on blood coagulation have been reported very rarely in patients receiving oral anticoagulants and chlordiazepoxide hydrochloride.

Information for Patients

Inform patients and caregivers that potentially fatal additive effects may occur if chlordiazepoxide hydrochloride and clidinium bromide capsules is used with opioids or other CNS depressants, including alcohol, and not to use these concomitantly unless supervised by a health care provider (see WARNINGS and PRECAUTIONS ).

To assure the safe and effective use of benzodiazepines, patients should be informed that, since benzodiazepines may produce psychological and physical dependence, it is advisable that they consult with their physician before either increasing the dose or abruptly discontinuing this drug.

Drug Interactions

The concomitant use of benzodiazepines and opioids increases the risk of respiratory depression because of actions at different receptor sites in the CNS that control respiration. Benzodiazepines interact at GABAA sites and opioids interact primarily at mu receptors. When benzodiazepines and opioids are combined, the potential for benzodiazepines to significantly worsen opioid-related respiratory depression exists. Limit dosage and duration of concomitant use of benzodiazepines and opioids, and follow patients closely for respiratory depression and sedation.

Pediatric Use

Safety and effectiveness in pediatric patients have not been established.

Geriatric Use

Geriatric subjects may be particularly prone to experiencing drowsiness, ataxia and confusion while receiving chlordiazepoxide hydrochloride and clidinium bromide capsules. These effects can usually be avoided with proper dosage adjustment, although they have occasionally been observed even at the lower dosage ranges. Dosing in geriatric subjects should be initiated cautiously (no more than 2 capsules per day) and increased gradually if needed and tolerated (see DOSAGE AND ADMINISTRATION ).Chlordiazepoxide hydrochloride and clidinium bromide capsules are contraindicated in the presence of glaucoma, prostatic hypertrophy and benign bladder neck obstruction (see CONTRAINDICATIONS ).

Medication Guide

Chlordiazepoxide Hydrochloride and Clidinium Bromide Capsules

(klor dye az e pox' ide) (kli di' nee um)

  • What is the most important information I should know about chlordiazepoxide hydrochloride and clidinium bromide capsules?Do not stop taking chlordiazepoxide hydrochloride and clidinium bromide capsules without first talking to your healthcare provider. Stopping chlordiazepoxide hydrochloride and clidinium bromide capsules suddenly can cause serious side effects.
  • Taking chlordiazepoxide hydrochloride and clidinium bromide capsules with opioid medicines, alcohol, or other central nervous system depressants (including street drugs) can cause severe drowsiness, breathing problems (respiratory depression), coma and death.
  • Do not drive, operate heavy machinery, or do other dangerous activities until you know how chlordiazepoxide hydrochloride and clidinium bromide capsules affects you.
  • Do not drink alcohol or take other drugs that may make you sleepy or dizzy while taking chlordiazepoxide hydrochloride and clidinium bromide capsules without first talking to your healthcare provider. When taken with alcohol or drugs that cause sleepiness or dizziness, chlordiazepoxide hydrochloride and clidinium bromide capsules may make your sleepiness or dizziness much worse.
  • chlordiazepoxide hydrochloride and clidinium bromide capsules can cause abuse and dependence.
  • Do not stop taking chlordiazepoxide hydrochloride and clidinium bromide capsules all of a sudden. Stopping chlordiazepoxide hydrochloride and clidinium bromide capsules suddenly can cause seizures, shaking, stomach and muscle cramps, vomiting and sweating.
  • Physical dependence is not the same as drug addiction. Your healthcare provider can tell you more about

What are chlordiazepoxide hydrochloride and clidinium bromide capsules?

  • Chlordiazepoxide hydrochloride and clidinium bromide capsules are a prescription medicine that are used with other therapies for the treatment of:
  • stomach (peptic) ulcers
  • irritable bowel syndrome (IBS)
  • inflammation of the colon called acute enterocolitis
  • chlordiazepoxide hydrochloride and clidinium bromide capsules contains the medicines chlordiazepoxide HCl and clidinium bromide.
  • chlordiazepoxide hydrochloride and clidinium bromide capsules can be abused or lead to dependence. Keep chlordiazepoxide hydrochloride and clidinium bromide capsules in a safe place to prevent misuse and abuse. Selling or giving away chlordiazepoxide hydrochloride and clidinium bromide capsules may harm others. Tell your healthcare provider if you have abused or been dependent on alcohol, prescription medicines or street drugs.
  • It is not known if chlordiazepoxide hydrochloride and clidinium bromide capsules are safe and effective in children.

Do not take chlordiazepoxide hydrochloride and clidinium bromide capsules if you:

  • have glaucoma
  • have an enlarged prostate
  • have a blockage of your bladder that causes problems with urination
  • are allergic to chlordiazepoxide hydrochloride or clidinium bromide

Before you take chlordiazepoxide hydrochloride and clidinium bromide capsules, tell your healthcare provider about all of your medical conditions, including if you:

  • have eye problems
  • have problems urinating or emptying your bladder
  • have coordination problems
  • have kidney or liver problems
  • have a history of depression, mental illness, or suicidal thoughts
  • have a history of drug or alcohol abuse or addiction
  • have bleeding problems
  • are pregnant or plan to become pregnant. Chlordiazepoxide hydrochloride and clidinium bromide capsules may harm your unborn baby. Avoid taking chlordiazepoxide hydrochloride and clidinium bromide capsules during the first trimester of pregnancy. Tell your healthcare provider right away if you become pregnant during treatment with chlordiazepoxide hydrochloride and clidinium bromide capsules
  • are breastfeeding or plan to breastfeed. Chlordiazepoxide hydrochloride and clidinium bromide capsules may pass through your breast milk and may harm your baby. Talk to your healthcare provider about the best way to feed your baby if you take chlordiazepoxide hydrochloride and clidinium bromide capsules. Chlordiazepoxide hydrochloride and clidinium bromide capsules may decrease the amount of breast milk your body makes.

Tell your healthcare provider about all the medicines you take, including prescription and over-the-counter medicines, vitamins, and herbal supplements.

Taking chlordiazepoxide hydrochloride and clidinium bromide capsules with certain other medicines can cause side effects or affect how well chlordiazepoxide hydrochloride and clidinium bromide capsules or the other medicines work.

Do not start or stop other medicines without talking to your healthcare provider.

Especially tell your healthcare provider if you:

  • take a monoamine oxidase inhibitor (MAOI) medicine or an anti-psychotic medicine called phenothiazine.

How should I take chlordiazepoxide hydrochloride and clidinium bromide capsules?

  • Take chlordiazepoxide hydrochloride and clidinium bromide capsules exactly as your healthcare provider tells you to take it.
  • Your healthcare provider may change your dose of chlordiazepoxide hydrochloride and clidinium bromide capsules if needed. Do not change your dose of chlordiazepoxide hydrochloride and clidinium bromide capsules or suddenly stop taking chlordiazepoxide hydrochloride and clidinium bromide capsules without talking with your healthcare provider.
  • If you take too much chlordiazepoxide hydrochloride and clidinium bromide capsules, call your healthcare provider or go to the nearest hospital emergency room right away.

What are the possible side effects of chlordiazepoxide hydrochloride and clidinium bromide capsules?

Chlordiazepoxide hydrochloride and clidinium bromide capsules may cause serious side effects, including: See “What is the most important information I should know about chlordiazepoxide hydrochloride and clidinium bromide capsules?”

The most common side effects of chlordiazepoxide hydrochloride and clidinium bromide capsules include:

  • dry mouth
  • blurred vision
  • nausea
  • constipation
  • skin problems
  • swelling
  • irregular menstrual (periods) cycles
  • increased and decreased desire for sex (libido)
  • problems starting to urinate
  • drowsiness, coordination problems, and confusion may happen, especially in people who are elderly or weak

These are not all the possible side effects of chlordiazepoxide hydrochloride and clidinium bromide capsules

Call your doctor for medical advice about side effects. You may report side effects to FDA at 1-800-FDA-1088.

How should I store chlordiazepoxide hydrochloride and clidinium bromide capsules?

  • Store chlordiazepoxide hydrochloride and clidinium bromide capsules at room temperature 77°F (25°C).
  • Keep chlordiazepoxide hydrochloride and clidinium bromide capsules and all medicines out of the reach of children.

General information about the safe and effective use of chlordiazepoxide hydrochloride and clidinium bromide capsules.

Medicines are sometimes prescribed for purposes other than those listed in a Medication Guide. Do not use chlordiazepoxide hydrochloride and clidinium bromide capsules for a condition for which it was not prescribed. Do not give chlordiazepoxide hydrochloride and clidinium bromide capsules to other people, even if they have the same symptoms that you have. It may harm them. You can ask your pharmacist or healthcare provider for information about chlordiazepoxide hydrochloride and clidinium bromide capsules that is written for health professionals.

What are the ingredients in chlordiazepoxide hydrochloride and clidinium bromide capsules?

Active ingredient: chlordiazepoxide hydrochloride and clidinium bromide

Inactive ingredients: corn starch, lactose monohydrate, and talc. Gelatin capsule shells may contain titanium dioxide and sodium lauryl sulfate with the following dye systems: D&C Yellow No. 10, FD&C Green No. 3. The imprinting ink contains ammonia solution, black iron oxide, potassium hydroxide, propylene glycol, and shellac.

Manufactured for:

Chartwell RX, LLC

Congers, NY 10920

USA

For more information, contact Chartwell RX, LLC at 1-845-232-1683.

This Medication Guide has been approved by the U.S. Food and Drug Administration.

Revised: 05/2022

L70907

Animal Pharmacology

Chlordiazepoxide hydrochloride has been studied extensively in many species of animals and these studies are suggestive of action on the limbic system of the brain, which recent evidence indicates is involved in emotional responses. Hostile monkeys were made tame by oral drug doses, which did not cause sedation. Chlordiazepoxide hydrochloride revealed a "taming-action with the elimination of fear and aggression". The taming effect of chlordiazepoxide hydrochloride was further demonstrated in rats made vicious by lesions in the septal area of the brain. The drug dosage which effectively blocked the vicious reaction was well below the dose which caused sedation in these animals.

The oral LD 50 of single doses of chlordiazepoxide hydrochloride, calculated according to the method of Miller and Tainter, is 720 ± 51 mg/kg as determined in mice observed over a period of 5 days following dosage.

Clidinium bromide is an effective anticholinergic agent with activity approximating that of atropine sulfate against acetylcholine-induced spasms in isolated intestinal strips. On oral administration in mice, it proved an effective antisialagogue in preventing pilocarpine-induced salivation. Spontaneous intestinal motility in both rats and dogs is reduced following oral dosing with 0.1 to 0.25 mg/kg. Potent cholinergic ganglionic blocking effects (vagal) were produced with intravenous usage in anesthetized dogs.

Oral doses of 2.5 mg/kg to dogs produced signs of nasal dryness and slight pupillary dilation. In two other species, monkeys and rabbits, doses of 5 mg/kg, po, given three times daily for 5 days did not produce apparent secretory or visual changes.

The oral LD 50 of single doses of clidinium bromide is 860 ± 57 mg/kg as determined in mice observed over a period of 5 days following dosage; the calculations were made according to the method of Miller and Tainter.

Effects on Reproduction

Reproduction studies in rats fed chlordiazepoxide hydrochloride, 10, 20 and 80 mg/kg daily, and bred through one or two matings showed no congenital anomalies, nor were there adverse effects on lactation of the dams or growth of the newborn. However, in another study at 100 mg/kg daily there was noted a significant decrease in the fertilization rate and a marked decrease in the viability and body weight of offspring which may be attributable to sedative activity, thus resulting in lack of interest in mating and lessened maternal nursing and care of the young. One neonate in each of the first and second matings in the rat reproduction study at the 100 mg/kg dose exhibited major skeletal defects. Further studies are in progress to determine the significance of these findings.

Two series of reproduction experiments with clidinium bromide were carried out in rats, employing dosages of 2.5 and 10 mg/kg daily in each experiment. In the first experiment, clidinium bromide was administered for a 9-week interval prior to mating; no untoward effect on fertilization or gestation was noted. The offspring were taken by caesarean section and did not show a significant incidence of congenital anomalies when compared to control animals. In the second experiment, adult animals were given clidinium bromide for 10 days prior to and through two mating cycles. No significant effects were observed on fertility, gestation, viability of offspring or lactation, as compared to control animals, nor was there a significant incidence of congenital anomalies in the offspring derived from these experiments.

A reproduction study of chlordiazepoxide hydrochloride and clidinium bromide capsules was carried out in rats through two successive matings. Oral daily doses were administered in two concentrations: 2.5 mg/kg chlordiazepoxide hydrochloride with 1.25 mg/kg clidinium bromide or 25 mg/kg chlordiazepoxide hydrochloride with 12.5 mg/kg clidinium bromide. In the first mating, no significant differences were noted between the control or the treated groups, with the exception of a slight decrease in the number of animals surviving during lactation among those receiving the highest dosage. As with all anticholinergic drugs, an inhibiting effect on lactation may occur. In the second mating, similar results were obtained except for a slight decrease in the number of pregnant females and in the percentage of offspring surviving until weaning. No congenital anomalies were observed in both matings in either the control or treated groups. Additional animal reproduction studies are in progress.

Drug Abuse and Dependence

Withdrawal symptoms, similar in character to those noted with barbiturates and alcohol (convulsions, tremor, abdominal and muscle cramps, vomiting and sweating), have occurred following abrupt discontinuance of chlordiazepoxide. The more severe withdrawal symptoms have usually been limited to those patients who had received excessive doses over an extended period of time. Generally milder withdrawal symptoms (e.g., dysphoria and insomnia) have been reported following abrupt discontinuance of benzodiazepines taken continuously at therapeutic levels for several months. Consequently, after extended therapy, abrupt discontinuation should generally be avoided and a gradual dosage tapering schedule followed. Addiction-prone individuals (such as drug addicts or alcoholics) should be under careful surveillance when receiving chlordiazepoxide or other psychotropic agents because of the predisposition of such patients to habituation and dependence.

Package Label,prinicipal Display Panel

Chlordiazepoxide HCL and Clidinium Bromide Capsules,USP- NDC-62135-696 - 12 - 120's Bottle Label

Warning: Risks From Concomitant Use With Opioids

Concomitant use of benzodiazepines and opioids may result in profound sedation, respiratory depression, coma, and death (see WARNINGS and PRECAUTIONS ).

  • Reserve concomitant prescribing of these drugs for use in patients for whom alternative treatment options are inadequate.
  • Limit dosages and durations to the minimum required.
  • Follow patients for signs and symptoms of respiratory depression and sedation.

Structured Label Content

Warnings (WARNINGS)

Concomitant use of benzodiazepines, including chlordiazepoxide hydrochloride and clidinium bromide capsules, and opioids may result in profound sedation, respiratory depression, coma, and death. Because of these risks, reserve concomitant prescribing of these drugs for use in patients for whom alternative treatment options are inadequate.

Observational studies have demonstrated that concomitant use of opioid analgesics and benzodiazepines increases the risk of drug-related mortality compared to use of opioids alone. If a decision is made to prescribe chlordiazepoxide hydrochloride and clidinium bromide capsules concomitantly with opioids, prescribe the lowest effective dosages and minimum durations of concomitant use, and follow patients closely for signs and symptoms of respiratory depression and sedation.

Advise both patients and caregivers about the risks of respiratory depression and sedation when chlordiazepoxide hydrochloride and clidinium bromide capsules is used with opioids (see PRECAUTIONS) .

As in the case of other preparations containing CNS-acting drugs, patients receiving chlordiazepoxide hydrochloride and clidinium bromide capsules should be cautioned about possible combined effects with opioids, alcohol and other CNS depressants. For the same reason, they should be cautioned against hazardous occupations requiring complete mental alertness, such as operating machinery or driving a motor vehicle.

Usage In Pregnancy

An increased risk of congenital malformations associated with the use of minor tranquilizers (chlordiazepoxide, diazepam and meprobamate) during the first trimester of pregnancy has been suggested in several studies. Because use of these drugs is rarely a matter of urgency, their use during this period should almost always be avoided. The possibility that a woman of childbearing potential may be pregnant at the time of institution of therapy should be considered. Patients should be advised that if they become pregnant during therapy or intend to become pregnant they should communicate with their physicians about the desirability of discontinuing the drug.

As with all anticholinergic drugs, an inhibiting effect on lactation may occur (see ANIMAL PHARMACOLOGY) .

Indications and Usage (INDICATIONS AND USAGE)

Chlordiazepoxide hydrochloride and clidinium bromide capsules are indicated to control emotional and somatic factors in gastrointestinal disorders. Chlordiazepoxide hydrochloride and clidinium bromide capsules may also be used as adjunctive therapy in the treatment of peptic ulcer and in the treatment of the irritable bowel syndrome (irritable colon, spastic colon, mucous colitis) and acute enterocolitis.

Dosage and Administration (DOSAGE AND ADMINISTRATION)

Because of the varied individual responses to tranquilizers and anticholinergics, the optimum dosage of chlordiazepoxide hydrochloride and clidinium bromide capsules varies with the diagnosis and response of the individual patient. The dosage, therefore, should be individualized for maximum beneficial effects. The usual maintenance dose is 1 or 2 capsules, 3 or 4 times a day administered before meals and at bedtime.

Geriatric Dosing

Dosage should be limited to the smallest effective amount to preclude the development of ataxia, oversedation or confusion. The initial dose should not exceed 2 chlordiazepoxide hydrochloride and clidinium bromide capsules per day, to be increased gradually as needed and tolerated.

Contraindications (CONTRAINDICATIONS)

Chlordiazepoxide hydrochloride and clidinium bromide capsules are contraindicated in the presence of glaucoma (since the anticholinergic component may produce some degree of mydriasis) and in patients with prostatic hypertrophy and benign bladder neck obstruction. It is contraindicated in patients with known hypersensitivity to chlordiazepoxide hydrochloride and/or clidinium bromide.

Adverse Reactions (ADVERSE REACTIONS)

No side effects or manifestation not seen with either compound alone have been reported with the administration of chlordiazepoxide hydrochloride and clidinium bromide capsules. However, since the chlordiazepoxide hydrochloride and clidinium bromide capsules contain chlordiazepoxide hydrochloride and clidinium bromide, the possibility of untoward effects which may be seen with either of these two compounds cannot be excluded.

When chlordiazepoxide hydrochloride has been used alone the necessity of discontinuing therapy because of undesirable effects has been rare. Drowsiness, ataxia and confusion have been reported in some patients – particularly the elderly and debilitated. While these effects can be avoided in almost all instances by proper dosage adjustment, they have occasionally been observed at the lower dosage ranges. In a few instances syncope has been reported.

Other adverse reactions reported during therapy with chlordiazepoxide hydrochloride include isolated instances of skin eruptions, edema, minor menstrual irregularities, nausea and constipation, extrapyramidal symptoms, as well as increased and decreased libido. Such side effects have been infrequent and are generally controlled with reduction of dosage. Changes in EEG patterns (low-voltage fast activity) have been observed in patients during and after chlordiazepoxide hydrochloride treatment.

Blood dyscrasias, including agranulocytosis, jaundice and hepatic dysfunction have occasionally been reported during therapy with chlordiazepoxide hydrochloride. When chlordiazepoxide hydrochloride treatment is protracted, periodic blood counts and liver function tests are advisable.

Adverse effects reported with use of chlordiazepoxide hydrochloride and clidinium bromide capsules are those typical of anticholinergic agents, i.e., dryness of the mouth, blurring of vision, urinary hesitancy and constipation. Constipation has occurred most often when Chlordiazepoxide Hydrochloride/Clidinium Bromide therapy has been combined with other spasmolytic agents and/or low residue diet.

To report SUSPECTED ADVERSE REACTIONS, contact Chartwell RX, LLC at 1-845-232-1683 or FDA at 1-800-FDA-1088 or www.fda.gov/medwatch.

How Supplied (HOW SUPPLIED)

Chlordiazepoxide hydrochloride and clidinium bromide capsules USP, 5 mg/2.5 mg are available in green opaque hard gelatin capsules, each containing 5 mg chlordiazepoxide hydrochloride and 2.5 mg clidinium bromide — bottles of 120 (NDC 62135-696-12) with imprinted "696" on the cap and body of the capsule in black ink.

Store at 20° to 25°C (68° to 77°F); excursions permitted to 15° to 30°C (59° to 86°F) [See USP Controlled Room Temperature].

Keep out of reach of children. Dispense in tight, light-resistant container as defined in USP/NF.

Manufactured for:

Chartwell RX, LLC

Congers, NY 10920

Revised: 04/2022

L70906

Description (DESCRIPTION)

Chlordiazepoxide hydrochloride and clidinium bromide capsules USP, 5 mg/2.5 mg combines in a single capsule formulation the antianxiety action of chlordiazepoxide hydrochloride and the anticholinergic/spasmolytic effects of clidinium bromide.

Each chlordiazepoxide hydrochloride and clidinium bromide capsules USP, 5 mg/2.5 mg contains the active ingredients 5 mg chlordiazepoxide hydrochloride and 2.5 mg clidinium bromide. Each capsule also contains the inactive ingredients corn starch, lactose monohydrate, talc, sodium lauryl sulfate, D&C Yellow No. 10, FD&C Green No. 3, titanium dioxide, and gelatin. The imprinting ink contains ammonia solution, black iron oxide, potassium hydroxide, propylene glycol, and shellac.

Chlordiazepoxide hydrochloride is a versatile, therapeutic agent of proven value for the relief of anxiety and tension. It is indicated when anxiety, tension or apprehension are significant components of the clinical profile. It is among the safer of the effective psychopharmacologic compounds.

Chlordiazepoxide hydrochloride is 7-chloro-2-(methylamino)-5-phenyl-3H-1,4-benzodiazepine 2-oxide monohydrochloride. A white to slightly yellow, crystalline powder, it is soluble in water. It is unstable in solution and the powder must be protected from light. The molecular weight is 336.2. The structural formula of chlordiazepoxide hydrochloride is as follows:

Clidinium bromide is a synthetic anticholinergic agent which has been shown in experimental and clinical studies to have a pronounced antispasmodic and antisecretory effect on the gastrointestinal tract. Structurally clidinium bromide is:

Overdosage (OVERDOSAGE)

Manifestations of chlordiazepoxide hydrochloride overdosage include somnolence, confusion, coma and diminished reflexes. Respiration, pulse and blood pressure should be monitored, as in all cases of drug overdosage, although, in general, these effects have been minimal following chlordiazepoxide hydrochloride overdosage.

While the signs and symptoms of chlordiazepoxide hydrochloride and clidinium bromide capsules overdosage may be produced by either of its components, usually such symptoms will be overshadowed by the anticholinergic actions of clidinium bromide. The symptoms of overdosage of clidinium bromide are excessive dryness of mouth, blurring of vision, urinary hesitancy and constipation.

General supportive measures should be employed, along with immediate gastric lavage. Administer physostigmine 0.5 to 2 mg at a rate of no more than 1 mg per minute. This may be repeated in 1 to 4 mg doses if arrhythmias, convulsions or deep coma recur. Intravenous fluids should be administered and an adequate airway maintained. Hypotension may be combated by the use of levarterenol or metaraminol. Methylphenidate or caffeine and sodium benzoate may be given to combat CNS-depressive effects. Dialysis is of limited value. Should excitation occur, barbiturates should not be used. As with the management of intentional overdosage with any drug, it should be borne in mind that multiple agents may have been ingested.

Withdrawal symptoms of the barbiturate type have occurred after the discontinuation of benzodiazepines (see  DRUG ABUSE AND DEPENDENCE ).

Precautions (PRECAUTIONS)

In debilitated patients, it is recommended that the dosage be limited to the smallest effective amount to preclude the development of ataxia, oversedation or confusion (not more than 2 Chlordiazepoxide Hydrochloride/Clidinium Bromide capsules per day initially, to be increased gradually as needed and tolerated). In general, the concomitant administration of chlordiazepoxide hydrochloride and clidinium bromide capsules and other psychotropic agents is not recommended. If such combination therapy seems indicated, careful consideration should be given to the pharmacology of the agents to be employed - particularly when the known potentiating compounds such as the MAO inhibitors and phenothiazines are to be used. The usual precautions in treating patients with impaired renal or hepatic function should be observed.

Paradoxical reactions to chlordiazepoxide hydrochloride, e.g., excitement, stimulation and acute rage, have been reported in psychiatric patients and should be watched for during chlordiazepoxide hydrochloride and clidinium bromide capsules therapy. The usual precautions are indicated when chlordiazepoxide hydrochloride is used in the treatment of anxiety states where there is any evidence of impending depression; it should be borne in mind that suicidal tendencies may be present and protective measures may be necessary. Although clinical studies have not established a cause and effect relationship, physicians should be aware that variable effects on blood coagulation have been reported very rarely in patients receiving oral anticoagulants and chlordiazepoxide hydrochloride.

Information for Patients

Inform patients and caregivers that potentially fatal additive effects may occur if chlordiazepoxide hydrochloride and clidinium bromide capsules is used with opioids or other CNS depressants, including alcohol, and not to use these concomitantly unless supervised by a health care provider (see WARNINGS and PRECAUTIONS ).

To assure the safe and effective use of benzodiazepines, patients should be informed that, since benzodiazepines may produce psychological and physical dependence, it is advisable that they consult with their physician before either increasing the dose or abruptly discontinuing this drug.

Drug Interactions

The concomitant use of benzodiazepines and opioids increases the risk of respiratory depression because of actions at different receptor sites in the CNS that control respiration. Benzodiazepines interact at GABAA sites and opioids interact primarily at mu receptors. When benzodiazepines and opioids are combined, the potential for benzodiazepines to significantly worsen opioid-related respiratory depression exists. Limit dosage and duration of concomitant use of benzodiazepines and opioids, and follow patients closely for respiratory depression and sedation.

Pediatric Use

Safety and effectiveness in pediatric patients have not been established.

Geriatric Use

Geriatric subjects may be particularly prone to experiencing drowsiness, ataxia and confusion while receiving chlordiazepoxide hydrochloride and clidinium bromide capsules. These effects can usually be avoided with proper dosage adjustment, although they have occasionally been observed even at the lower dosage ranges. Dosing in geriatric subjects should be initiated cautiously (no more than 2 capsules per day) and increased gradually if needed and tolerated (see DOSAGE AND ADMINISTRATION ).Chlordiazepoxide hydrochloride and clidinium bromide capsules are contraindicated in the presence of glaucoma, prostatic hypertrophy and benign bladder neck obstruction (see CONTRAINDICATIONS ).

Medication Guide (MEDICATION GUIDE)

Chlordiazepoxide Hydrochloride and Clidinium Bromide Capsules

(klor dye az e pox' ide) (kli di' nee um)

  • What is the most important information I should know about chlordiazepoxide hydrochloride and clidinium bromide capsules?Do not stop taking chlordiazepoxide hydrochloride and clidinium bromide capsules without first talking to your healthcare provider. Stopping chlordiazepoxide hydrochloride and clidinium bromide capsules suddenly can cause serious side effects.
  • Taking chlordiazepoxide hydrochloride and clidinium bromide capsules with opioid medicines, alcohol, or other central nervous system depressants (including street drugs) can cause severe drowsiness, breathing problems (respiratory depression), coma and death.
  • Do not drive, operate heavy machinery, or do other dangerous activities until you know how chlordiazepoxide hydrochloride and clidinium bromide capsules affects you.
  • Do not drink alcohol or take other drugs that may make you sleepy or dizzy while taking chlordiazepoxide hydrochloride and clidinium bromide capsules without first talking to your healthcare provider. When taken with alcohol or drugs that cause sleepiness or dizziness, chlordiazepoxide hydrochloride and clidinium bromide capsules may make your sleepiness or dizziness much worse.
  • chlordiazepoxide hydrochloride and clidinium bromide capsules can cause abuse and dependence.
  • Do not stop taking chlordiazepoxide hydrochloride and clidinium bromide capsules all of a sudden. Stopping chlordiazepoxide hydrochloride and clidinium bromide capsules suddenly can cause seizures, shaking, stomach and muscle cramps, vomiting and sweating.
  • Physical dependence is not the same as drug addiction. Your healthcare provider can tell you more about

What are chlordiazepoxide hydrochloride and clidinium bromide capsules?

  • Chlordiazepoxide hydrochloride and clidinium bromide capsules are a prescription medicine that are used with other therapies for the treatment of:
  • stomach (peptic) ulcers
  • irritable bowel syndrome (IBS)
  • inflammation of the colon called acute enterocolitis
  • chlordiazepoxide hydrochloride and clidinium bromide capsules contains the medicines chlordiazepoxide HCl and clidinium bromide.
  • chlordiazepoxide hydrochloride and clidinium bromide capsules can be abused or lead to dependence. Keep chlordiazepoxide hydrochloride and clidinium bromide capsules in a safe place to prevent misuse and abuse. Selling or giving away chlordiazepoxide hydrochloride and clidinium bromide capsules may harm others. Tell your healthcare provider if you have abused or been dependent on alcohol, prescription medicines or street drugs.
  • It is not known if chlordiazepoxide hydrochloride and clidinium bromide capsules are safe and effective in children.

Do not take chlordiazepoxide hydrochloride and clidinium bromide capsules if you:

  • have glaucoma
  • have an enlarged prostate
  • have a blockage of your bladder that causes problems with urination
  • are allergic to chlordiazepoxide hydrochloride or clidinium bromide

Before you take chlordiazepoxide hydrochloride and clidinium bromide capsules, tell your healthcare provider about all of your medical conditions, including if you:

  • have eye problems
  • have problems urinating or emptying your bladder
  • have coordination problems
  • have kidney or liver problems
  • have a history of depression, mental illness, or suicidal thoughts
  • have a history of drug or alcohol abuse or addiction
  • have bleeding problems
  • are pregnant or plan to become pregnant. Chlordiazepoxide hydrochloride and clidinium bromide capsules may harm your unborn baby. Avoid taking chlordiazepoxide hydrochloride and clidinium bromide capsules during the first trimester of pregnancy. Tell your healthcare provider right away if you become pregnant during treatment with chlordiazepoxide hydrochloride and clidinium bromide capsules
  • are breastfeeding or plan to breastfeed. Chlordiazepoxide hydrochloride and clidinium bromide capsules may pass through your breast milk and may harm your baby. Talk to your healthcare provider about the best way to feed your baby if you take chlordiazepoxide hydrochloride and clidinium bromide capsules. Chlordiazepoxide hydrochloride and clidinium bromide capsules may decrease the amount of breast milk your body makes.

Tell your healthcare provider about all the medicines you take, including prescription and over-the-counter medicines, vitamins, and herbal supplements.

Taking chlordiazepoxide hydrochloride and clidinium bromide capsules with certain other medicines can cause side effects or affect how well chlordiazepoxide hydrochloride and clidinium bromide capsules or the other medicines work.

Do not start or stop other medicines without talking to your healthcare provider.

Especially tell your healthcare provider if you:

  • take a monoamine oxidase inhibitor (MAOI) medicine or an anti-psychotic medicine called phenothiazine.

How should I take chlordiazepoxide hydrochloride and clidinium bromide capsules?

  • Take chlordiazepoxide hydrochloride and clidinium bromide capsules exactly as your healthcare provider tells you to take it.
  • Your healthcare provider may change your dose of chlordiazepoxide hydrochloride and clidinium bromide capsules if needed. Do not change your dose of chlordiazepoxide hydrochloride and clidinium bromide capsules or suddenly stop taking chlordiazepoxide hydrochloride and clidinium bromide capsules without talking with your healthcare provider.
  • If you take too much chlordiazepoxide hydrochloride and clidinium bromide capsules, call your healthcare provider or go to the nearest hospital emergency room right away.

What are the possible side effects of chlordiazepoxide hydrochloride and clidinium bromide capsules?

Chlordiazepoxide hydrochloride and clidinium bromide capsules may cause serious side effects, including: See “What is the most important information I should know about chlordiazepoxide hydrochloride and clidinium bromide capsules?”

The most common side effects of chlordiazepoxide hydrochloride and clidinium bromide capsules include:

  • dry mouth
  • blurred vision
  • nausea
  • constipation
  • skin problems
  • swelling
  • irregular menstrual (periods) cycles
  • increased and decreased desire for sex (libido)
  • problems starting to urinate
  • drowsiness, coordination problems, and confusion may happen, especially in people who are elderly or weak

These are not all the possible side effects of chlordiazepoxide hydrochloride and clidinium bromide capsules

Call your doctor for medical advice about side effects. You may report side effects to FDA at 1-800-FDA-1088.

How should I store chlordiazepoxide hydrochloride and clidinium bromide capsules?

  • Store chlordiazepoxide hydrochloride and clidinium bromide capsules at room temperature 77°F (25°C).
  • Keep chlordiazepoxide hydrochloride and clidinium bromide capsules and all medicines out of the reach of children.

General information about the safe and effective use of chlordiazepoxide hydrochloride and clidinium bromide capsules.

Medicines are sometimes prescribed for purposes other than those listed in a Medication Guide. Do not use chlordiazepoxide hydrochloride and clidinium bromide capsules for a condition for which it was not prescribed. Do not give chlordiazepoxide hydrochloride and clidinium bromide capsules to other people, even if they have the same symptoms that you have. It may harm them. You can ask your pharmacist or healthcare provider for information about chlordiazepoxide hydrochloride and clidinium bromide capsules that is written for health professionals.

What are the ingredients in chlordiazepoxide hydrochloride and clidinium bromide capsules?

Active ingredient: chlordiazepoxide hydrochloride and clidinium bromide

Inactive ingredients: corn starch, lactose monohydrate, and talc. Gelatin capsule shells may contain titanium dioxide and sodium lauryl sulfate with the following dye systems: D&C Yellow No. 10, FD&C Green No. 3. The imprinting ink contains ammonia solution, black iron oxide, potassium hydroxide, propylene glycol, and shellac.

Manufactured for:

Chartwell RX, LLC

Congers, NY 10920

USA

For more information, contact Chartwell RX, LLC at 1-845-232-1683.

This Medication Guide has been approved by the U.S. Food and Drug Administration.

Revised: 05/2022

L70907

Animal Pharmacology (ANIMAL PHARMACOLOGY)

Chlordiazepoxide hydrochloride has been studied extensively in many species of animals and these studies are suggestive of action on the limbic system of the brain, which recent evidence indicates is involved in emotional responses. Hostile monkeys were made tame by oral drug doses, which did not cause sedation. Chlordiazepoxide hydrochloride revealed a "taming-action with the elimination of fear and aggression". The taming effect of chlordiazepoxide hydrochloride was further demonstrated in rats made vicious by lesions in the septal area of the brain. The drug dosage which effectively blocked the vicious reaction was well below the dose which caused sedation in these animals.

The oral LD 50 of single doses of chlordiazepoxide hydrochloride, calculated according to the method of Miller and Tainter, is 720 ± 51 mg/kg as determined in mice observed over a period of 5 days following dosage.

Clidinium bromide is an effective anticholinergic agent with activity approximating that of atropine sulfate against acetylcholine-induced spasms in isolated intestinal strips. On oral administration in mice, it proved an effective antisialagogue in preventing pilocarpine-induced salivation. Spontaneous intestinal motility in both rats and dogs is reduced following oral dosing with 0.1 to 0.25 mg/kg. Potent cholinergic ganglionic blocking effects (vagal) were produced with intravenous usage in anesthetized dogs.

Oral doses of 2.5 mg/kg to dogs produced signs of nasal dryness and slight pupillary dilation. In two other species, monkeys and rabbits, doses of 5 mg/kg, po, given three times daily for 5 days did not produce apparent secretory or visual changes.

The oral LD 50 of single doses of clidinium bromide is 860 ± 57 mg/kg as determined in mice observed over a period of 5 days following dosage; the calculations were made according to the method of Miller and Tainter.

Effects on Reproduction

Reproduction studies in rats fed chlordiazepoxide hydrochloride, 10, 20 and 80 mg/kg daily, and bred through one or two matings showed no congenital anomalies, nor were there adverse effects on lactation of the dams or growth of the newborn. However, in another study at 100 mg/kg daily there was noted a significant decrease in the fertilization rate and a marked decrease in the viability and body weight of offspring which may be attributable to sedative activity, thus resulting in lack of interest in mating and lessened maternal nursing and care of the young. One neonate in each of the first and second matings in the rat reproduction study at the 100 mg/kg dose exhibited major skeletal defects. Further studies are in progress to determine the significance of these findings.

Two series of reproduction experiments with clidinium bromide were carried out in rats, employing dosages of 2.5 and 10 mg/kg daily in each experiment. In the first experiment, clidinium bromide was administered for a 9-week interval prior to mating; no untoward effect on fertilization or gestation was noted. The offspring were taken by caesarean section and did not show a significant incidence of congenital anomalies when compared to control animals. In the second experiment, adult animals were given clidinium bromide for 10 days prior to and through two mating cycles. No significant effects were observed on fertility, gestation, viability of offspring or lactation, as compared to control animals, nor was there a significant incidence of congenital anomalies in the offspring derived from these experiments.

A reproduction study of chlordiazepoxide hydrochloride and clidinium bromide capsules was carried out in rats through two successive matings. Oral daily doses were administered in two concentrations: 2.5 mg/kg chlordiazepoxide hydrochloride with 1.25 mg/kg clidinium bromide or 25 mg/kg chlordiazepoxide hydrochloride with 12.5 mg/kg clidinium bromide. In the first mating, no significant differences were noted between the control or the treated groups, with the exception of a slight decrease in the number of animals surviving during lactation among those receiving the highest dosage. As with all anticholinergic drugs, an inhibiting effect on lactation may occur. In the second mating, similar results were obtained except for a slight decrease in the number of pregnant females and in the percentage of offspring surviving until weaning. No congenital anomalies were observed in both matings in either the control or treated groups. Additional animal reproduction studies are in progress.

Drug Abuse and Dependence (DRUG ABUSE AND DEPENDENCE)

Withdrawal symptoms, similar in character to those noted with barbiturates and alcohol (convulsions, tremor, abdominal and muscle cramps, vomiting and sweating), have occurred following abrupt discontinuance of chlordiazepoxide. The more severe withdrawal symptoms have usually been limited to those patients who had received excessive doses over an extended period of time. Generally milder withdrawal symptoms (e.g., dysphoria and insomnia) have been reported following abrupt discontinuance of benzodiazepines taken continuously at therapeutic levels for several months. Consequently, after extended therapy, abrupt discontinuation should generally be avoided and a gradual dosage tapering schedule followed. Addiction-prone individuals (such as drug addicts or alcoholics) should be under careful surveillance when receiving chlordiazepoxide or other psychotropic agents because of the predisposition of such patients to habituation and dependence.

Package Label,prinicipal Display Panel (PACKAGE LABEL,PRINICIPAL DISPLAY PANEL)

Chlordiazepoxide HCL and Clidinium Bromide Capsules,USP- NDC-62135-696 - 12 - 120's Bottle Label

Warning: Risks From Concomitant Use With Opioids (WARNING: RISKS FROM CONCOMITANT USE WITH OPIOIDS)

Concomitant use of benzodiazepines and opioids may result in profound sedation, respiratory depression, coma, and death (see WARNINGS and PRECAUTIONS ).

  • Reserve concomitant prescribing of these drugs for use in patients for whom alternative treatment options are inadequate.
  • Limit dosages and durations to the minimum required.
  • Follow patients for signs and symptoms of respiratory depression and sedation.

Advanced Ingredient Data


Raw Label Data

All Sections (JSON)