These Highlights Do Not Include All The Information Needed To Use Atorvastatin Calcium Tablets Safely And Effectively. See Full Prescribing Information For Atorvastatin Calcium Tablets.

These Highlights Do Not Include All The Information Needed To Use Atorvastatin Calcium Tablets Safely And Effectively. See Full Prescribing Information For Atorvastatin Calcium Tablets.
SPL v3
SPL
SPL Set ID a0732bc4-702d-f566-e053-2a95a90a1d69
Route
ORAL
Published
Effective Date 2020-03-09
Document Type 34391-3 HUMAN PRESCRIPTION DRUG LABEL

Drug Facts

Composition & Product

Active Ingredients
Atorvastatin (40 mg)
Inactive Ingredients
Croscarmellose Sodium Hydroxypropyl Cellulose (110000 Wamw) Lactose Monohydrate Magnesium Stearate Cellulose, Microcrystalline Hypromellose 2910 (6 Mpa.s) Polyethylene Glycol 8000 Talc Titanium Dioxide Polysorbate 80 Calcium Carbonate

Identifiers & Packaging

Pill Appearance
Imprint: FF3 Shape: oval Color: white Size: 15 mm Score: 1
Marketing Status
ANDA Active Since 2018-08-06

Description

Dosage and Administration, Dosage in Patients Taking Cyclosporine, Clarithromycin, Itraconazole, or Certain Protease Inhibitors ( 2.6 )                                                                                                                                                                 4/2019 Warnings and Precautions, Skeletal Muscle ( 5.1 )                                                                                                     4/2019

Indications and Usage

Therapy with lipid-altering agents should be only one component of multiple risk factor intervention in individuals at significantly increased risk for atherosclerotic vascular disease due to hypercholesterolemia. Drug therapy is recommended as an adjunct to diet when the response to a diet restricted in saturated fat and cholesterol and other nonpharmacologic measures alone has been inadequate. In patients with CHD or multiple risk factors for CHD, atorvastatin calcium tablets can be started simultaneously with diet.

Dosage and Administration

Dose range: 10 to 80 mg once daily 2.1 ). Recommended start dose: 10 or 20 mg once daily ( 2.1 ). Patients requiring large LDL-C reduction (>45%) may start at 40 mg once daily ( 2.1 ). Pediatric patients with HeFH: starting dose: 10 mg once daily; dose range: 10 to 20 mg/day for patients 10 years to 17 years of age ( 2.2 ).

Warnings and Precautions

Skeletal muscle effects (e.g., myopathy and rhabdomyolysis): Risks increase when higher doses are used concomitantly with cyclosporine and strong CYP3A4 inhibitors (e.g., clarithromycin, itraconazole, human immunodeficiency virus (HIV) or hepatitis C virus (HCV) protease inhibitors). Predisposing factors include advanced age (> 65), uncontrolled hypothyroidism, and renal impairment. Rare cases of rhabdomyolysis with acute renal failure secondary to myoglobinuria have been reported. Advise patients to promptly report to their physician unexplained and/or persistent muscle pain, tenderness, or weakness. Atorvastatin calcium therapy should be discontinued if myopathy is diagnosed or suspected ( 2.6 , 5.1 , 8.5 ). Liver enzyme abnormalities: Persistent elevations in hepatic transaminases can occur. Check liver enzyme tests before initiating therapy and as clinically indicated thereafter ( 5.2 ). A higher incidence of hemorrhagic stroke was seen in patients without CHD but with stroke or TIA within the previous 6 months in the atorvastatin calcium 80 mg group vs. placebo ( 5.5 ).

Contraindications

Active Liver Disease, Which May Include Unexplained Persistent Elevations in Hepatic Transaminase Levels Hypersensitivity to Any Component of This Medication Pregnancy [see Use in Specific Populations ( 8.1 )]. Lactation [see Use in Specific Populations ( 8.2 )].

Adverse Reactions

The following serious adverse reactions are discussed in greater detail in other sections of the label: Rhabdomyolysis and myopathy [see Warnings and Precautions (5.1) ] Liver enzyme abnormalities [see Warnings and Precautions (5.2) ]

Drug Interactions

The risk of myopathy during treatment with statins is increased with concurrent administration of fibric acid derivatives, lipid-modifying doses of niacin, cyclosporine, or strong CYP 3A4 inhibitors (e.g., clarithromycin, HIV and HCV protease inhibitors, and itraconazole) [see Warnings and Precautions (5.1) and Clinical Pharmacology (12.3) ].

Storage and Handling

Atorvastatin calcium tablets USP 40 mg(40 mg of atorvastatin) : White to off-white, oval shaped, biconvex, film coated tablets, debossed with FF3 on one side and plain on other side. NDC 68071-5194-3 BOTTLES OF 30

How Supplied

Atorvastatin calcium tablets USP 40 mg(40 mg of atorvastatin) : White to off-white, oval shaped, biconvex, film coated tablets, debossed with FF3 on one side and plain on other side. NDC 68071-5194-3 BOTTLES OF 30

Patient Information

                                                                                                    Atorvastatin Calcium Tablets                                                                                                 (a-TOR-va-STAT-in KAL-see-um) Read the Patient Information that comes with atorvastatin calcium tablets before you start taking it and each time you get a refill. There may be new information. This leaflet does not take the place of talking with your doctor about your condition or treatment. If you have any questions about atorvastatin calcium tablets, ask your doctor or pharmacist. What are Atorvastatin calcium tablets? Atorvastatin calcium tablet is a prescription medicine that lowers cholesterol in your blood. It lowers the LDL-C ("bad" cholesterol) and triglycerides in your blood. It can raise your HDL-C ("good" cholesterol) as well. Atorvastatin calcium tablet is for adults and children over 10 whose cholesterol does not come down enough with exercise and a low-fat diet alone. Atorvastatin calcium tablets can lower the risk for heart attack, stroke, certain types of heart surgery, and chest pain in patients who have heart disease or risk factors for heart disease such as: age, smoking, high blood pressure, low HDL-C, heart disease in the family. Atorvastatin calcium tablets can lower the risk for heart attack or stroke in patients with diabetes and risk factors such as: eye problems, kidney problems, smoking, or high blood pressure. Atorvastatin calcium tablets start to work in about 2 weeks. What is Cholesterol? Cholesterol and triglycerides are fats that are made in your body. They are also found in foods. You need some cholesterol for good health, but too much is not good for you. Cholesterol and triglycerides can clog your blood vessels. It is especially important to lower your cholesterol if you have heart disease, smoke, have diabetes or high blood pressure, are older, or if heart disease starts early in your family. Who Should Not Take Atorvastatin Calcium Tablets? Do not take atorvastatin calcium tablets if you: are pregnant or think you may be pregnant, or are planning to become pregnant. Atorvastatin calcium may harm your unborn baby. If you get pregnant, stop taking atorvastatin calcium tablets and call your doctor right away. are breast feeding . Atorvastatin calcium can pass into your breast milk and may harm your baby. have liver problems. are allergic to atorvastatin calcium tablets or any of its ingredients. The active ingredient is atorvastatin. See the end of this leaflet for a complete list of ingredients in atorvastatin calcium tablets. Atorvastatin calcium tablets dosing has not been established in children under 10 years of age. Before You Start Atorvastatin calcium tablets Tell your doctor if you: have muscle aches or weakness drink more than 2 glasses of alcohol daily have diabetes have a thyroid problem have kidney problems Some medicines should not be taken with atorvastatin calcium tablets. Tell your doctor about all the medicines you take, including prescription and non-prescription medicines, vitamins, and herbal supplements. Atorvastatin calcium tablets and certain other medicines can interact causing serious side effects. Especially tell your doctor if you take medicines for: your immune system cholesterol infections birth control heart failure HIV or AIDS hepatitis C virus Know all the medicines you take. Keep a list of them with you to show your doctor and pharmacist. How Should I Take Atorvastatin calcium tablets? Take atorvastatin calcium tablets exactly as prescribed by your doctor. Do not change your dose or stop atorvastatin calcium tablets without talking to your doctor. Your doctor may do blood tests to check your cholesterol levels during your treatment with atorvastatin calcium tablets. Your dose of atorvastatin calcium tablets may be changed based on these blood test results. Take atorvastatin calcium tablets each day at any time of day at about the same time each day. Atorvastatin calcium tablets can be taken with or without food. Don't break atorvastatin calcium tablets before taking. Your doctor should start you on a low-fat diet before giving you atorvastatin calcium tablets. Stay on this low-fat diet when you take atorvastatin calcium tablets. If you miss a dose of atorvastatin calcium tablets, take it as soon as you remember. Do not take atorvastatin calcium tablets if it has been more than 12 hours since you missed your last dose. Wait and take the next dose at your regular time. Do not take 2 doses of atorvastatin calcium tablets at the same time. If you take too much atorvastatin calcium tablets or overdose, call your doctor or Poison Control Center right away. Or go to the nearest emergency room. What Should I Avoid While Taking Atorvastatin calcium tablets? Talk to your doctor before you start any new medicines. This includes prescription and non-prescription medicines, vitamins, and herbal supplements. Atorvastatin calcium tablets and certain other medicines can interact causing serious side effects. Do not get pregnant. If you get pregnant, stop taking atorvastatin calcium tablets right away and call your doctor. What are the Possible Side Effects of Atorvastatin calcium tablets? Atorvastatin calcium tablets can cause serious side effects. These side effects have happened only to a small number of people. Your doctor can monitor you for them. These side effects usually go away if your dose is lowered or atorvastatin calcium tablet is stopped. These serious side effects include: Muscle problems. Atorvastatin calcium tablets can cause serious muscle problems that can lead to kidney problems, including kidney failure. You have a higher chance for muscle problems if you are taking certain other medicines with atorvastatin calcium tablets. Liver problems. Your doctor should do blood tests to check your liver before you start taking atorvastatin calcium tablets, and if you have symptoms of liver problems while you take atorvastatin calcium tablets. Call your doctor right away if you have the following symptoms of liver problems: feel tired or weak loss of appetite upper belly pain dark amber colored urine yellowing of your skin or the whites of your eyes Call your doctor right away if you have: muscle problems like weakness, tenderness, or pain that happen without a good reason, especially if you also have a fever or feel more tired than usual. This may be an early sign of a rare muscle problem. muscle problems that do not go away even after your doctor has advised you to stop taking atorvastatin calcium. Your doctor may do further tests to diagnose the cause of your muscle problems. allergic reactions including swelling of the face, lips, tongue, and/or throat that may cause difficulty in breathing or swallowing which may require treatment right away. nausea and vomiting. passing brown or dark-colored urine. you feel more tired than usual your skin and whites of your eyes get yellow. stomach pain. allergic skin reactions. In clinical studies, patients reported the following common side effects while taking atorvastatin calcium tablets: diarrhea, upset stomach, muscle and joint pain, and alterations in some laboratory blood tests. The following additional side effects have been reported with atorvastatin calcium tablets: tiredness, tendon problems, memory loss, and confusion. Talk to your doctor or pharmacist if you have side effects that bother you or that will not go away. These are not all the side effects of atorvastatin calcium tablets. Ask your doctor or pharmacist for a complete list. How do I store Atorvastatin calcium tablets? Store atorvastatin calcium tablets at room temperature, 68°F to 77°F (20°C to 25°C). Do not keep medicine that is out of date or that you no longer need. Keep atorvastatin calcium tablets and all medicines out of the reach of children. Be sure that if you throw medicine away, it is out of the reach of children. General Information About Atorvastatin calcium tablets Medicines are sometimes prescribed for conditions that are not mentioned in patient information leaflets. Do not use atorvastatin calcium tablets for a condition for which it was not prescribed. Do not give atorvastatin calcium tablets to other people, even if they have the same problem you have. It may harm them. This leaflet summarizes the most important information about atorvastatin calcium tablets. If you would like more information, talk with your doctor. You can ask your doctor or pharmacist for information about atorvastatin calcium tablets that is written for health professionals. For more information, go to www.accordhealthcare.us or call Accord Healthcare at 1-866-941-7875. What are the Ingredients in Atorvastatin calcium tablets? Active Ingredient: atorvastatin calcium Inactive Ingredients: croscarmellose sodium, hydroxyl propyl cellulose, lactose monohydrate, magnesium stearate, microcrystalline cellulose, opadry-YS-1-7040 white (hypromellose, polyethylene glycol, talc, titanium dioxide), polysorbate 80, precipitated calcium carbonate. Manufactured For: Accord Healthcare, Inc., 1009 Slater Road, Suite 210-B, Durham, NC 27703, USA. Manufactured By: Intas Pharmaceuticals Limited, Plot No. : 457, 458, Village – Matoda, Bavla Road, Ta.- Sanand, Dist.- Ahmedabad – 382 210. India. 10 3000 1 697808 Issued May 2019


Medication Information

Recent Major Changes

Dosage and Administration, Dosage in Patients Taking Cyclosporine, Clarithromycin, Itraconazole, or Certain Protease Inhibitors ( 2.6)                                                                                                                                                                 4/2019

Warnings and Precautions, Skeletal Muscle ( 5.1)                                                                                                     4/2019

Warnings and Precautions

Skeletal muscle effects (e.g., myopathy and rhabdomyolysis): Risks increase when higher doses are used concomitantly with cyclosporine and strong CYP3A4 inhibitors (e.g., clarithromycin, itraconazole, human immunodeficiency virus (HIV) or hepatitis C virus (HCV) protease inhibitors). Predisposing factors include advanced age (> 65), uncontrolled hypothyroidism, and renal impairment. Rare cases of rhabdomyolysis with acute renal failure secondary to myoglobinuria have been reported. Advise patients to promptly report to their physician unexplained and/or persistent muscle pain, tenderness, or weakness. Atorvastatin calcium therapy should be discontinued if myopathy is diagnosed or suspected ( 2.6 , 5.1 , 8.5 ). Liver enzyme abnormalities: Persistent elevations in hepatic transaminases can occur. Check liver enzyme tests before initiating therapy and as clinically indicated thereafter ( 5.2 ). A higher incidence of hemorrhagic stroke was seen in patients without CHD but with stroke or TIA within the previous 6 months in the atorvastatin calcium 80 mg group vs. placebo ( 5.5 ).

Indications and Usage

Therapy with lipid-altering agents should be only one component of multiple risk factor intervention in individuals at significantly increased risk for atherosclerotic vascular disease due to hypercholesterolemia. Drug therapy is recommended as an adjunct to diet when the response to a diet restricted in saturated fat and cholesterol and other nonpharmacologic measures alone has been inadequate. In patients with CHD or multiple risk factors for CHD, atorvastatin calcium tablets can be started simultaneously with diet.

Dosage and Administration

Dose range: 10 to 80 mg once daily 2.1 ). Recommended start dose: 10 or 20 mg once daily ( 2.1 ). Patients requiring large LDL-C reduction (>45%) may start at 40 mg once daily ( 2.1 ). Pediatric patients with HeFH: starting dose: 10 mg once daily; dose range: 10 to 20 mg/day for patients 10 years to 17 years of age ( 2.2 ).

Contraindications

Active Liver Disease, Which May Include Unexplained Persistent Elevations in Hepatic Transaminase Levels Hypersensitivity to Any Component of This Medication Pregnancy [see Use in Specific Populations ( 8.1 )]. Lactation [see Use in Specific Populations ( 8.2 )].

Adverse Reactions

The following serious adverse reactions are discussed in greater detail in other sections of the label: Rhabdomyolysis and myopathy [see Warnings and Precautions (5.1) ] Liver enzyme abnormalities [see Warnings and Precautions (5.2) ]

Drug Interactions

The risk of myopathy during treatment with statins is increased with concurrent administration of fibric acid derivatives, lipid-modifying doses of niacin, cyclosporine, or strong CYP 3A4 inhibitors (e.g., clarithromycin, HIV and HCV protease inhibitors, and itraconazole) [see Warnings and Precautions (5.1) and Clinical Pharmacology (12.3) ].

Storage and Handling

Atorvastatin calcium tablets USP 40 mg(40 mg of atorvastatin) : White to off-white, oval shaped, biconvex, film coated tablets, debossed with FF3 on one side and plain on other side. NDC 68071-5194-3 BOTTLES OF 30

How Supplied

Atorvastatin calcium tablets USP 40 mg(40 mg of atorvastatin) : White to off-white, oval shaped, biconvex, film coated tablets, debossed with FF3 on one side and plain on other side. NDC 68071-5194-3 BOTTLES OF 30

Patient Information

                                                                                                    Atorvastatin Calcium Tablets                                                                                                 (a-TOR-va-STAT-in KAL-see-um) Read the Patient Information that comes with atorvastatin calcium tablets before you start taking it and each time you get a refill. There may be new information. This leaflet does not take the place of talking with your doctor about your condition or treatment. If you have any questions about atorvastatin calcium tablets, ask your doctor or pharmacist. What are Atorvastatin calcium tablets? Atorvastatin calcium tablet is a prescription medicine that lowers cholesterol in your blood. It lowers the LDL-C ("bad" cholesterol) and triglycerides in your blood. It can raise your HDL-C ("good" cholesterol) as well. Atorvastatin calcium tablet is for adults and children over 10 whose cholesterol does not come down enough with exercise and a low-fat diet alone. Atorvastatin calcium tablets can lower the risk for heart attack, stroke, certain types of heart surgery, and chest pain in patients who have heart disease or risk factors for heart disease such as: age, smoking, high blood pressure, low HDL-C, heart disease in the family. Atorvastatin calcium tablets can lower the risk for heart attack or stroke in patients with diabetes and risk factors such as: eye problems, kidney problems, smoking, or high blood pressure. Atorvastatin calcium tablets start to work in about 2 weeks. What is Cholesterol? Cholesterol and triglycerides are fats that are made in your body. They are also found in foods. You need some cholesterol for good health, but too much is not good for you. Cholesterol and triglycerides can clog your blood vessels. It is especially important to lower your cholesterol if you have heart disease, smoke, have diabetes or high blood pressure, are older, or if heart disease starts early in your family. Who Should Not Take Atorvastatin Calcium Tablets? Do not take atorvastatin calcium tablets if you: are pregnant or think you may be pregnant, or are planning to become pregnant. Atorvastatin calcium may harm your unborn baby. If you get pregnant, stop taking atorvastatin calcium tablets and call your doctor right away. are breast feeding . Atorvastatin calcium can pass into your breast milk and may harm your baby. have liver problems. are allergic to atorvastatin calcium tablets or any of its ingredients. The active ingredient is atorvastatin. See the end of this leaflet for a complete list of ingredients in atorvastatin calcium tablets. Atorvastatin calcium tablets dosing has not been established in children under 10 years of age. Before You Start Atorvastatin calcium tablets Tell your doctor if you: have muscle aches or weakness drink more than 2 glasses of alcohol daily have diabetes have a thyroid problem have kidney problems Some medicines should not be taken with atorvastatin calcium tablets. Tell your doctor about all the medicines you take, including prescription and non-prescription medicines, vitamins, and herbal supplements. Atorvastatin calcium tablets and certain other medicines can interact causing serious side effects. Especially tell your doctor if you take medicines for: your immune system cholesterol infections birth control heart failure HIV or AIDS hepatitis C virus Know all the medicines you take. Keep a list of them with you to show your doctor and pharmacist. How Should I Take Atorvastatin calcium tablets? Take atorvastatin calcium tablets exactly as prescribed by your doctor. Do not change your dose or stop atorvastatin calcium tablets without talking to your doctor. Your doctor may do blood tests to check your cholesterol levels during your treatment with atorvastatin calcium tablets. Your dose of atorvastatin calcium tablets may be changed based on these blood test results. Take atorvastatin calcium tablets each day at any time of day at about the same time each day. Atorvastatin calcium tablets can be taken with or without food. Don't break atorvastatin calcium tablets before taking. Your doctor should start you on a low-fat diet before giving you atorvastatin calcium tablets. Stay on this low-fat diet when you take atorvastatin calcium tablets. If you miss a dose of atorvastatin calcium tablets, take it as soon as you remember. Do not take atorvastatin calcium tablets if it has been more than 12 hours since you missed your last dose. Wait and take the next dose at your regular time. Do not take 2 doses of atorvastatin calcium tablets at the same time. If you take too much atorvastatin calcium tablets or overdose, call your doctor or Poison Control Center right away. Or go to the nearest emergency room. What Should I Avoid While Taking Atorvastatin calcium tablets? Talk to your doctor before you start any new medicines. This includes prescription and non-prescription medicines, vitamins, and herbal supplements. Atorvastatin calcium tablets and certain other medicines can interact causing serious side effects. Do not get pregnant. If you get pregnant, stop taking atorvastatin calcium tablets right away and call your doctor. What are the Possible Side Effects of Atorvastatin calcium tablets? Atorvastatin calcium tablets can cause serious side effects. These side effects have happened only to a small number of people. Your doctor can monitor you for them. These side effects usually go away if your dose is lowered or atorvastatin calcium tablet is stopped. These serious side effects include: Muscle problems. Atorvastatin calcium tablets can cause serious muscle problems that can lead to kidney problems, including kidney failure. You have a higher chance for muscle problems if you are taking certain other medicines with atorvastatin calcium tablets. Liver problems. Your doctor should do blood tests to check your liver before you start taking atorvastatin calcium tablets, and if you have symptoms of liver problems while you take atorvastatin calcium tablets. Call your doctor right away if you have the following symptoms of liver problems: feel tired or weak loss of appetite upper belly pain dark amber colored urine yellowing of your skin or the whites of your eyes Call your doctor right away if you have: muscle problems like weakness, tenderness, or pain that happen without a good reason, especially if you also have a fever or feel more tired than usual. This may be an early sign of a rare muscle problem. muscle problems that do not go away even after your doctor has advised you to stop taking atorvastatin calcium. Your doctor may do further tests to diagnose the cause of your muscle problems. allergic reactions including swelling of the face, lips, tongue, and/or throat that may cause difficulty in breathing or swallowing which may require treatment right away. nausea and vomiting. passing brown or dark-colored urine. you feel more tired than usual your skin and whites of your eyes get yellow. stomach pain. allergic skin reactions. In clinical studies, patients reported the following common side effects while taking atorvastatin calcium tablets: diarrhea, upset stomach, muscle and joint pain, and alterations in some laboratory blood tests. The following additional side effects have been reported with atorvastatin calcium tablets: tiredness, tendon problems, memory loss, and confusion. Talk to your doctor or pharmacist if you have side effects that bother you or that will not go away. These are not all the side effects of atorvastatin calcium tablets. Ask your doctor or pharmacist for a complete list. How do I store Atorvastatin calcium tablets? Store atorvastatin calcium tablets at room temperature, 68°F to 77°F (20°C to 25°C). Do not keep medicine that is out of date or that you no longer need. Keep atorvastatin calcium tablets and all medicines out of the reach of children. Be sure that if you throw medicine away, it is out of the reach of children. General Information About Atorvastatin calcium tablets Medicines are sometimes prescribed for conditions that are not mentioned in patient information leaflets. Do not use atorvastatin calcium tablets for a condition for which it was not prescribed. Do not give atorvastatin calcium tablets to other people, even if they have the same problem you have. It may harm them. This leaflet summarizes the most important information about atorvastatin calcium tablets. If you would like more information, talk with your doctor. You can ask your doctor or pharmacist for information about atorvastatin calcium tablets that is written for health professionals. For more information, go to www.accordhealthcare.us or call Accord Healthcare at 1-866-941-7875. What are the Ingredients in Atorvastatin calcium tablets? Active Ingredient: atorvastatin calcium Inactive Ingredients: croscarmellose sodium, hydroxyl propyl cellulose, lactose monohydrate, magnesium stearate, microcrystalline cellulose, opadry-YS-1-7040 white (hypromellose, polyethylene glycol, talc, titanium dioxide), polysorbate 80, precipitated calcium carbonate. Manufactured For: Accord Healthcare, Inc., 1009 Slater Road, Suite 210-B, Durham, NC 27703, USA. Manufactured By: Intas Pharmaceuticals Limited, Plot No. : 457, 458, Village – Matoda, Bavla Road, Ta.- Sanand, Dist.- Ahmedabad – 382 210. India. 10 3000 1 697808 Issued May 2019

Description

Dosage and Administration, Dosage in Patients Taking Cyclosporine, Clarithromycin, Itraconazole, or Certain Protease Inhibitors ( 2.6 )                                                                                                                                                                 4/2019 Warnings and Precautions, Skeletal Muscle ( 5.1 )                                                                                                     4/2019

Section 34077-8

Risk Summary

Atorvastatin calcium tablet is contraindicated for use in pregnant women since safety in pregnant women has not been established and there is no apparent benefit of lipid lowering drugs during pregnancy. Because HMG-CoA reductase inhibitors decrease cholesterol synthesis and possibly the synthesis of other biologically active substances derived from cholesterol, atorvastatin calcium may cause fetal harm when administered to a pregnant woman. Atorvastatin calcium tablets should be discontinued as soon as pregnancy is recognized [see Contraindications (4)]. Limited published data on the use of atorvastatin are insufficient to determine a drug-associated risk of major congenital malformations or miscarriage. In animal reproduction studies in rats and rabbits there was no evidence of embryo-fetal toxicity or congenital malformations at doses up to 30 and 20 times, respectively, the human exposure at the maximum recommended human dose (MRHD) of 80 mg, based on body surface area (mg/m 2). In rats administered atorvastatin during gestation and lactation, decreased postnatal growth and development was observed at doses ≥ 6 times the MRHD (see Data).

The estimated background risk of major birth defects and miscarriage for the indicated population is unknown. In the U.S. general population, the estimated background risk of major birth defects and miscarriage in clinically recognized pregnancies is 2 to 4% and 15 to 20%, respectively.

Data

Human Data Limited published data on atorvastatin calcium from observational studies, meta-analyses and case reports have not shown an increased risk of major congenital malformations or miscarriage. Rare reports of congenital anomalies have been received following intrauterine exposure to other HMG-CoA reductase inhibitors. In a review of approximately 100 prospectively followed pregnancies in women exposed to simvastatin or lovastatin, the incidences of congenital anomalies, spontaneous abortions, and fetal deaths/stillbirths did not exceed what would be expected in the general population. The number of cases is adequate to exclude a ≥ 3to 4-fold increase in congenital anomalies over the background incidence. In 89% of the prospectively followed pregnancies, drug treatment was initiated prior to pregnancy and was discontinued at some point in the first trimester when pregnancy was identified.

Animal Data

Atorvastatin crosses the rat placenta and reaches a level in fetal liver equivalent to that of maternal plasma. Atorvastatin was administered to pregnant rats and rabbits during organogenesis at oral doses up to 300 mg/kg/day and 100 mg/kg/day, respectively. Atorvastatin was not teratogenic in rats at doses up to 300 mg/kg/day or in rabbits at doses up to 100 mg/kg/day. These doses resulted in multiples of about 30 times (rat) or 20 times (rabbit) the human exposure at the MRHD based on surface area (mg/m 2). In rats, the maternally toxic dose of 300 mg/kg resulted in increased post-implantation loss and decreased fetal body weight. At the maternally toxic doses of 50 and 100 mg/kg/day in rabbits, there was increased post-implantation loss, and at 100 mg/kg/day fetal body weights were decreased.

In a study in pregnant rats administered 20, 100, or 225 mg/kg/day from gestation day 7 through to lactation day 20 (weaning), there was decreased survival at birth, postnatal day 4, weaning, and post-weaning in pups of mothers dosed with 225 mg/kg/day, a dose at which maternal toxicity was observed. Pup body weight was decreased through postnatal day 21 at 100 mg/kg/day, and through postnatal day 91 at 225 mg/kg/day. Pup development was delayed (rotorod performance at 100 mg/kg/day and acoustic startle at 225 mg/kg/day; pinnae detachment and eye-opening at 225 mg/kg/day). These doses correspond to 6 times (100 mg/kg) and 22 times (225 mg/kg) the human exposure at the MRHD, based on AUC.

Section 42229-5

Anglo-Scandinavian Cardiac Outcomes Trial (ASCOT)

In ASCOT [see Clinical Studies (14.1) ] involving 10,305 participants (age range 40 to 80 years, 19% women; 94.6% Caucasians, 2.6% Africans, 1.5% South Asians, 1.3% mixed/other) treated with atorvastatin calcium 10 mg daily (n=5,168) or placebo (n=5,137), the safety and tolerability profile of the group treated with atorvastatin calcium was comparable to that of the group treated with placebo during a median of 3.3 years of follow-up.

Section 44425-7

Storage

Store at 20°C to 25°C (68°F to 77°F). [See USP Controlled Room Temperature].

Section 51945-4

7.7 Niacin

The risk of skeletal muscle effects may be enhanced when atorvastatin calcium is used in combination with niacin; a reduction in atorvastatin calcium dosage should be considered in this setting [see Warnings and Precautions (5.1)].

7.9 Digoxin

When multiple doses of atorvastatin calcium and digoxin were co-administered, steady state plasma digoxin concentrations increased [see Clinical Pharmacology (12.3)]. Patients taking digoxin should be monitored appropriately.

10 Overdosage

There is no specific treatment for atorvastatin calcium overdosage. In the event of an overdose, the patient should be treated symptomatically, and supportive measures instituted as required. Due to extensive drug binding to plasma proteins, hemodialysis is not expected to significantly enhance atorvastatin calcium clearance.

7.11 Warfarin

Atorvastatin calcium had no clinically significant effect on prothrombin time when administered to patients receiving chronic warfarin treatment.

8.2 Lactation

Risk Summary

Atorvastatin calcium tablet use is contraindicated during breastfeeding [see Contraindications (4)]. There is no available information on the effects of the drug on the breastfed infant or the effects of the drug on milk production. It is not known whether atorvastatin is present in human milk, but it has been shown that another drug in this class passes into human milk and atorvastatin is present in rat milk. Because of the potential for serious adverse reactions in a breastfed infant, advise women that breastfeeding is not recommended during treatment with atorvastatin calcium tablets.

11 Description

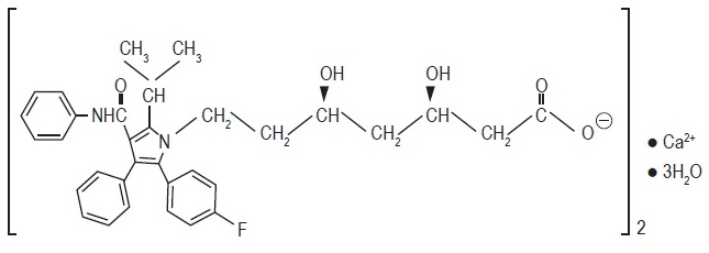
Atorvastatin calcium is a synthetic lipid-lowering agent. Atorvastatin is an inhibitor of 3-hydroxy-3-methylglutaryl-coenzyme A (HMG-CoA) reductase. This enzyme catalyzes the conversion of HMG-CoA to mevalonate, an early and rate-limiting step in cholesterol biosynthesis.

Atorvastatin calcium is [R-(R*, R*)]-2-(4-fluorophenyl)-ß, δ-dihydroxy-5-(1-methylethyl)-3-phenyl-4-[(phenylamino)carbonyl]-1H-pyrrole-1-heptanoic acid, calcium salt (2:1) trihydrate. The empirical formula of atorvastatin calcium is (C 33H 34 FN 2O 5) 2Ca•3H 2O and its molecular weight is 1209.42. Its structural formula is:

Atorvastatin calcium is a white to off-white crystalline powder that is insoluble in aqueous solutions of pH 4 and below. Atorvastatin calcium is very slightly soluble in distilled water, pH 7.4 phosphate buffer, and acetonitrile; slightly soluble in ethanol; and freely soluble in methanol.

Atorvastatin calcium tablets USP for oral administration contain 10, 20, 40, or 80 mg of atorvastatin and the following inactive ingredients: croscarmellose sodium, hydroxyl propyl cellulose, lactose monohydrate, magnesium stearate, microcrystalline cellulose, opadry-YS-1-7040 white (hypromellose, polyethylene glycol, talc, titanium dioxide), polysorbate 80, precipitated calcium carbonate.

17.4 Lactation

Advise women not to breastfeed during treatment with atorvastatin calcium tablets [see Contraindications (4) and Use in Specific Populations (8.2)].

The brands listed are trademarks of their respective owners.

Manufactured For:

Accord Healthcare, Inc.,

1009 Slater Road,

Suite 210-B,

Durham, NC 27703,

USA.



Manufactured By:

Intas Pharmaceuticals Limited,

Plot No. : 457, 458,

Village – Matoda,

Bavla Road, Ta.- Sanand,

Dist.- Ahmedabad – 382 210.

India.

10 3000 1 697808

Issued May 2019

7.12 Colchicine

Cases of myopathy, including rhabdomyolysis, have been reported with atorvastatin co-administered with colchicine, and caution should be exercised when prescribing atorvastatin with colchicine.

7.5 Gemfibrozil

Due to an increased risk of myopathy/rhabdomyolysis when HMG-CoA reductase inhibitors are co-administered with gemfibrozil, concomitant administration of atorvastatin calcium with gemfibrozil should be avoided [see Warnings and Precautions (5.1)].

17.1 Muscle Pain

All patients starting therapy with atorvastatin calcium should be advised of the risk of myopathy and told to report promptly any unexplained muscle pain, tenderness, or weakness particularly if accompanied by malaise or fever or if these muscle signs or symptoms persist after discontinuing atorvastatin calcium. The risk of this occurring is increased when taking certain types of medication or consuming larger quantities (>1 liter) of grapefruit juice. They should discuss all medication, both prescription and over the counter, with their healthcare professional.

5.4 Cns Toxicity

Brain hemorrhage was seen in a female dog treated for 3 months at 120 mg/kg/day. Brain hemorrhage and optic nerve vacuolation were seen in another female dog that was sacrificed in moribund condition after 11 weeks of escalating doses up to 280 mg/kg/day. The 120 mg/kg dose resulted in a systemic exposure approximately 16 times the human plasma area-under-the-curve (AUC, 0 to 24 hours) based on the maximum human dose of 80 mg/day. A single tonic convulsion was seen in each of 2 male dogs (one treated at 10 mg/kg/day and one at 120 mg/kg/day) in a 2-year study. No CNS lesions have been observed in mice after chronic treatment for up to 2 years at doses up to 400 mg/kg/day or in rats at doses up to 100 mg/kg/day. These doses were 6 to 11 times (mouse) and 8 to 16 times (rat) the human AUC (0 to 24) based on the maximum recommended human dose of 80 mg/day.

CNS vascular lesions, characterized by perivascular hemorrhages, edema, and mononuclear cell infiltration of perivascular spaces, have been observed in dogs treated with other members of this class. A chemically similar drug in this class produced optic nerve degeneration (Wallerian degeneration of retinogeniculate fibers) in clinically normal dogs in a dose-dependent fashion at a dose that produced plasma drug levels about 30 times higher than the mean drug level in humans taking the highest recommended dose.

7.3 Cyclosporine

Atorvastatin is a substrate of the hepatic transporters. Atorvastatin-metabolites are substrates of the OATP1B1 transporter. Inhibitors of the OATP1B1 (e.g., cyclosporine) can increase the bioavailability of atorvastatin. Atorvastatin AUC was significantly increased with concomitant administration of atorvastatin calcium 10 mg and cyclosporine 5.2 mg/kg/day compared to that of atorvastatin calcium alone [see Clinical Pharmacology (12.3)]. The co-administration of atorvastatin calcium with cyclosporine should be avoided [see Warnings and Precautions (5.1)].

8.4 Pediatric Use

Heterozygous Familial Hypercholesterolemia (HeFH)

The safety and effectiveness of atorvastatin calcium tablets have been established in pediatric patients, 10 years to 17 years of age, with HeFH as an adjunct to diet to reduce total cholesterol, LDL-C, and apo B levels when, after an adequate trial of diet therapy, the following are present:

  • LDL-C ≥ 190 mg/dL, or
  • LDL-C ≥ 160 mg/dL and
    • a positive family history of FH, or premature CVD in a first, or second-degree relative, or
    • two or more other CVD risk factors are present.

Use of atorvastatin calcium tablets for this indication is supported by evidence from [see Dosage and Administration (2.2), Adverse Reactions (6.1), Clinical Pharmacology (12.3), and Clinical Studies (14.6)] :

  • A placebo-controlled clinical trial of 6 months duration in 187 boys and postmenarchal girls, 10 years to 17 years of age. Patients treated with 10 mg or 20 mg daily atorvastatin calcium tablets had an adverse reaction profile generally similar to that of patients treated with placebo. In this limited controlled study, there was no significant effect on growth or sexual maturation in boys or on menstrual cycle length in girls.

Advise postmenarchal girls of contraception recommendations, if appropriate for the patient [see Use in Specific Populations (8.1), (8.3)].

The long-term efficacy of atorvastatin calcium tablets therapy initiated in childhood to reduce morbidity and mortality in adulthood has not been established.

The safety and efficacy of atorvastatin calcium tablets have not been established in pediatric patients younger than 10 years of age with HeFH.

Additional pediatric use information is approved for Pfizer’s LIPITOR (atorvastatin calcium) tablets. However, due to Pfizer’s marketing exclusivity rights, this drug product is not labeled with that pediatric information.

Homozygous Familial Hypercholesterolemia (HoFH)

Clinical efficacy of atorvastatin calcium tablets with dosages up to 80 mg/day for 1 year was evaluated in an uncontrolled study of patients with HoFH including 8 pediatric patients [see Clinical Studies (14.5)].

8.5 Geriatric Use

Of the 39,828 patients who received atorvastatin calcium in clinical studies, 15,813 (40%) were ≥65 years old and 2,800 (7%) were ≥75 years old. No overall differences in safety or effectiveness were observed between these subjects and younger subjects, and other reported clinical experience has not identified differences in responses between the elderly and younger patients, but greater sensitivity of some older adults cannot be ruled out. Since advanced age (≥65 years) is a predisposing factor for myopathy, atorvastatin calcium should be prescribed with caution in the elderly.

1.2 Hyperlipidemia

Atorvastatin calcium tablet is indicated:

  • As an adjunct to diet to reduce elevated total-C, LDL-C, apo B, and TG levels and to increase HDL-C in adult patients with primary hypercholesterolemia (heterozygous familial and nonfamilial) and mixed dyslipidemia (Fredrickson Types IIa and IIb);
  • As an adjunct to diet for the treatment of adult patients with elevated serum TG levels (Fredrickson Type IV);
  • For the treatment of adult patients with primary dysbetalipoproteinemia (Fredrickson Type III) who do not respond adequately to diet;
  • To reduce total-C and LDL-C in patients with homozygous familial hypercholesterolemia (HoFH) as an adjunct to other lipid-lowering treatments (e.g., LDL apheresis) or if such treatments are unavailable;
  • As an adjunct to diet to reduce total-C, LDL-C, and apo B levels in pediatric patients, 10 years to 17 years of age, with heterozygous familial hypercholesterolemia (HeFH) if after an adequate trial of diet therapy the following findings are present:
    • LDL-C remains ≥ 190 mg/dL or
    • LDL-C remains ≥ 160 mg/dL and:
      • there is a positive family history of premature cardiovascular disease or
      • two or more other CVD risk factors are present in the pediatric patient
17.2 Liver Enzymes

It is recommended that liver enzyme tests be performed before the initiation of atorvastatin calcium and if signs or symptoms of liver injury occur. All patients treated with atorvastatin calcium should be advised to report promptly any symptoms that may indicate liver injury, including fatigue, anorexia, right upper abdominal discomfort, dark urine, or jaundice.

7.6 Other Fibrates

Because it is known that the risk of myopathy during treatment with HMG-CoA reductase inhibitors is increased with concurrent administration of other fibrates, atorvastatin calcium should be administered with caution when used concomitantly with other fibrates [see Warnings and Precautions (5.1)].

4 Contraindications
  • Active Liver Disease, Which May Include Unexplained Persistent Elevations in Hepatic Transaminase Levels
  • Hypersensitivity to Any Component of This Medication
  • Pregnancy [see Use in Specific Populations ( 8.1)].
  • Lactation [see Use in Specific Populations ( 8.2)].
5.1 Skeletal Muscle

A history of renal impairment may be a risk factor for the development of rhabdomyolysis. Such patients merit closer monitoring for skeletal muscle effects. Rare cases of rhabdomyolysis with acute renal failure secondary to myoglobinuria have been reported with atorvastatin calcium and with other drugs in this class. A history of renal impairment may be a risk factor for the development of rhabdomyolysis. Such patients merit closer monitoring for skeletal muscle effects.

Atorvastatin, like other statins, occasionally causes myopathy, defined as muscle aches or muscle weakness in conjunction with increases in creatine phosphokinase (CPK) values >10 times ULN. The concomitant use of higher doses of atorvastatin with certain drugs such as cyclosporine and strong cytochrome P450 3A4 (CYP3A4) inhibitors (e.g., clarithromycin, itraconazole, and HIV and HCV protease inhibitors) increases the risk of myopathy/rhabdomyolysis.

There have been rare reports of immune-mediated necrotizing myopathy (IMNM), an autoimmune myopathy, associated with statin use. IMNM is characterized by: proximal muscle weakness and elevated serum creatine kinase, which persist despite discontinuation of statin treatment; muscle biopsy showing necrotizing myopathy without significant inflammation; improvement with immunosuppressive agents. There have been rare reports of immune-mediated necrotizing myopathy (IMNM), an autoimmune myopathy, associated with statin use. IMNM is characterized by: proximal muscle weakness and elevated serum creatine kinase, which persist despite discontinuation of statin treatment; muscle biopsy showing necrotizing myopathy without significant inflammation; improvement with immunosuppressive agents.

Myopathy should be considered in any patient with diffuse myalgias, muscle tenderness or weakness, and/or marked elevation of CPK. Patients should be advised to report promptly unexplained muscle pain, tenderness, or weakness, particularly if accompanied by malaise or fever or if muscle signs and symptoms persist after discontinuing atorvastatin calcium. Atorvastatin calcium therapy should be discontinued if markedly elevated CPK levels occur or myopathy is diagnosed or suspected. Myopathy should be considered in any patient with diffuse myalgias, muscle tenderness or weakness, and/or marked elevation of CPK. Patients should be advised to report promptly unexplained muscle pain, tenderness, or weakness, particularly if accompanied by malaise or fever or if muscle signs and symptoms persist after discontinuing atorvastatin calcium. Atorvastatin calcium therapy should be discontinued if markedly elevated CPK levels occur or myopathy is diagnosed or suspected.

The risk of myopathy during treatment with drugs in this class is increased with concurrent administration of the drugs listed in Table 2. Physicians considering combined therapy of atorvastatin calcium with any of these drugs should carefully weigh the potential benefits and risks and should carefully monitor patients for any signs or symptoms of muscle pain, tenderness, or weakness, particularly during the initial months of therapy and during any periods of upward dosage titration of either drug. Lower starting and maintenance doses of atorvastatin should be considered when taken concomitantly with the aforementioned drugs [see Drug Interactions (7)]. Periodic creatine phosphokinase (CPK) determinations may be considered in such situations, but there is no assurance that such monitoring will prevent the occurrence of severe myopathy.

Prescribing recommendations for interacting agents are summarized in Prescribing recommendations for interacting agents are summarized in Table 2 [see Dosage and Administration (2.6), Drug Interactions (7), and Clinical Pharmacology (12.3)].

Table 2 Drug Interactions Associated with Increased Risk of Myopathy/Rhabdomyolysis

Use the lowest dose necessary ( ) *Use the lowest dose necessary ( 12.3)

Interacting Agents Prescribing Recommendations
Cyclosporine, tipranavir plus ritonavir, glecaprevir plus pibrentasvir

Avoid atorvastatin

Clarithromycin, itraconazole, saquinavir plus ritonavir*, darunavir plus ritonavir, fosamprenavir, fosamprenavir plus ritonavir, elbasvir plus grazoprevir

Do not exceed 20 mg atorvastatin daily

Nelfinavir

Do not exceed 40 mg atorvastatin daily

Lopinavir plus ritonavir, simeprevir, fibric acid derivatives, erythromycin, azole antifungals, lipid-modifying doses of niacin, colchicine

Use with caution and lowest dose necessary

Atorvastatin calcium tablets therapy should be temporarily withheld or discontinued in any patient with an acute, serious condition suggestive of a myopathy or having a risk factor predisposing to the development of renal failure secondary to rhabdomyolysis (e.g., severe acute infection, hypotension, major surgery, trauma, severe metabolic, endocrine and electrolyte disorders, and uncontrolled seizures).

6 Adverse Reactions

The following serious adverse reactions are discussed in greater detail in other sections of the label: Rhabdomyolysis and myopathy [see Warnings and Precautions (5.1) ]

Liver enzyme abnormalities [see Warnings and Precautions (5.2) ]

7 Drug Interactions

The risk of myopathy during treatment with statins is increased with concurrent administration of fibric acid derivatives, lipid-modifying doses of niacin, cyclosporine, or strong CYP 3A4 inhibitors (e.g., clarithromycin, HIV and HCV protease inhibitors, and itraconazole) [see Warnings and Precautions (5.1) and Clinical Pharmacology (12.3)].

7.2 Grapefruit Juice

Contains one or more components that inhibit CYP 3A4 and can increase plasma concentrations of atorvastatin, especially with excessive grapefruit juice consumption (>1.2 liters per day).

12.2 Pharmacodynamics

Atorvastatin calcium, as well as some of its metabolites, are pharmacologically active in humans. The liver is the primary site of action and the principal site of cholesterol synthesis and LDL clearance. Drug dosage, rather than systemic drug concentration, correlates better with LDL-C reduction. Individualization of drug dosage should be based on therapeutic response [see Dosage and Administration (2)].

5.2 Liver Dysfunction

Statins, like some other lipid-lowering therapies, have been associated with biochemical abnormalities of liver function. Persistent elevations (>3 times the upper limit of normal [ULN] occurring on 2 or more occasions) in serum transaminases occurred in 0.7% of patients who received atorvastatin calcium in clinical trials. The incidence of these abnormalities was 0.2%, 0.2%, 0.6%, and 2.3% for 10, 20, 40, and 80 mg, respectively.

One patient in clinical trials developed jaundice. Increases in liver function tests (LFT) in other patients were not associated with jaundice or other clinical signs or symptoms. Upon dose reduction, drug interruption, or discontinuation, transaminase levels returned to or near pretreatment levels without sequelae. Eighteen of 30 patients with persistent LFT elevations continued treatment with a reduced dose of atorvastatin calcium.

It is recommended that liver enzyme tests be obtained prior to initiating therapy with atorvastatin calcium and repeated as clinically indicated. There have been rare postmarketing reports of fatal and non-fatal hepatic failure in patients taking statins, including atorvastatin. If serious liver injury with clinical symptoms and/or hyperbilirubinemia or jaundice occurs during treatment with atorvastatin calcium, promptly interrupt therapy. If an alternate etiology is not found, do not restart atorvastatin calcium.

Atorvastatin calcium should be used with caution in patients who consume substantial quantities of alcohol and/or have a history of liver disease. Active liver disease or unexplained persistent transaminase elevations are contraindications to the use of atorvastatin calcium [see Contraindications (4) ].

1.3 Limitations of Use

Atorvastatin calcium tablets have not been studied in conditions where the major lipoprotein abnormality is elevation of chylomicrons (Fredrickson Types I and V).

5.3 Endocrine Function

Increases in HbA1c and fasting serum glucose levels have been reported with HMG-CoA reductase inhibitors, including atorvastatin calcium.

Statins interfere with cholesterol synthesis and theoretically might blunt adrenal and/or gonadal steroid production. Clinical studies have shown that atorvastatin calcium does not reduce basal plasma cortisol concentration or impair adrenal reserve. The effects of statins on male fertility have not been studied in adequate numbers of patients. The effects, if any, on the pituitary-gonadal axis in premenopausal women are unknown. Caution should be exercised if a statin is administered concomitantly with drugs that may decrease the levels or activity of endogenous steroid hormones, such as ketoconazole, spironolactone, and cimetidine.

8.6 Hepatic Impairment

Atorvastatin calcium is contraindicated in patients with active liver disease which may include unexplained persistent elevations in hepatic transaminase levels [see Contraindications (4) and Clinical Pharmacology (12.3)].

1 Indications and Usage

Therapy with lipid-altering agents should be only one component of multiple risk factor intervention in individuals at significantly increased risk for atherosclerotic vascular disease due to hypercholesterolemia. Drug therapy is recommended as an adjunct to diet when the response to a diet restricted in saturated fat and cholesterol and other nonpharmacologic measures alone has been inadequate. In patients with CHD or multiple risk factors for CHD, atorvastatin calcium tablets can be started simultaneously with diet.

12.1 Mechanism of Action

Atorvastatin calcium is a selective, competitive inhibitor of HMG-CoA reductase, the rate-limiting enzyme that converts 3-hydroxy-3-methylglutaryl-coenzyme A to mevalonate, a precursor of sterols, including cholesterol. In animal models, atorvastatin calcium lowers plasma cholesterol and lipoprotein levels by inhibiting HMG-CoA reductase and cholesterol synthesis in the liver and by increasing the number of hepatic LDL receptors on the cell surface to enhance uptake and catabolism of LDL; atorvastatin calcium also reduces LDL production and the number of LDL particles.

7.10 Oral Contraceptives

Co-administration of atorvastatin calcium and an oral contraceptive increased AUC values for norethindrone and ethinyl estradiol [see Clinical Pharmacology (12.3)]. These increases should be considered when selecting an oral contraceptive for a woman taking atorvastatin calcium.

14.3 Hypertriglyceridemia

The response to atorvastatin calcium in 64 patients with isolated hypertriglyceridemia ( Fredrickson Type IV) treated across several clinical trials is shown in the table below ( Table 9). For the atorvastatin calcium-treated patients, median (min, max) baseline TG level was 565 (267 to1502).

TABLE 9. Combined Patients With Isolated Elevated TG: Median (min, max) Percentage Change From Baseline
Placebo

(N=12)
Atorvastatin Calcium 10 mg

(N=37)
Atorvastatin Calcium 20 mg

(N=13)
Atorvastatin Calcium 80 mg

(N=14)
Triglycerides -12.4 (-36.6, 82.7) -41.0 (-76.2, 49.4) -38.7 (-62.7, 29.5) -51.8 (-82.8, 41.3)
Total-C -2.3 (-15.5, 24.4) -28.2 (-44.9, -6.8) -34.9 (-49.6, -15.2) -44.4 (-63.5, -3.8)
LDL-C 3.6 (-31.3, 31.6) -26.5 (-57.7, 9.8) -30.4 (-53.9, 0.3) -40.5 (-60.6, -13.8)
HDL-C 3.8 (-18.6, 13.4) 13.8 (-9.7, 61.5) 11.0 (-3.2, 25.2) 7.5 (-10.8, 37.2)
VLDL-C -1.0 (-31.9, 53.2) -48.8 (-85.8, 57.3) -44.6 (-62.2, -10.8) -62.0 (-88.2, 37.6)
non-HDL-C -2.8 (-17.6, 30.0) -33.0 (-52.1, -13.3) -42.7 (-53.7, -17.4) -51.5 (-72.9, -4.3)
17.3 Embryofetal Toxicity

Advise females of reproductive potential of the risk to a fetus, to use effective contraception during treatment and to inform their healthcare provider of a known or suspected pregnancy [see Contraindications (4) and Use in Specific Populations (8.1, 8.3)].

5 Warnings and Precautions

Skeletal muscle effects (e.g., myopathy and rhabdomyolysis): Risks increase when higher doses are used concomitantly with cyclosporine and strong CYP3A4 inhibitors (e.g., clarithromycin, itraconazole, human immunodeficiency virus (HIV) or hepatitis C virus (HCV) protease inhibitors). Predisposing factors include advanced age (> 65), uncontrolled hypothyroidism, and renal impairment. Rare cases of rhabdomyolysis with acute renal failure secondary to myoglobinuria have been reported. Advise patients to promptly report to their physician unexplained and/or persistent muscle pain, tenderness, or weakness. Atorvastatin calcium therapy should be discontinued if myopathy is diagnosed or suspected ( 2.6, 5.1, 8.5).



Liver enzyme abnormalities: Persistent elevations in hepatic transaminases can occur. Check liver enzyme tests before initiating therapy and as clinically indicated thereafter ( 5.2).



A higher incidence of hemorrhagic stroke was seen in patients without CHD but with stroke or TIA within the previous 6 months in the atorvastatin calcium 80 mg group vs. placebo ( 5.5).

14.4 Dysbetalipoproteinemia

The results of an open-label crossover study of 16 patients (genotypes: 14 apo E2/E2 and 2 apo E3/E2) with dysbetalipoproteinemia (Fredrickson Type III) are shown in the table below ( Table 10).

TABLE 10. Open-Label Crossover Study of 16 Patients With Dysbetalipoproteinemia (Fredrickson Type III)
Median % Change (min, max)
Median (min, max) at Baseline (mg/dL) Atorvastatin Calcium 10 mg Atorvastatin Calcium 80 mg
Total-C 442 (225, 1320) -37 (-85, 17) -58 (-90, -31)
Triglycerides 678 (273, 5990) -39 (-92, -8) -53 (-95, -30)
IDL-C + VLDL-C 215 (111, 613) -32 (-76, 9) -63 (-90, -8)
non-HDL-C 411 (218, 1272) -43 (-87, -19) -64 (-92, -36)
2 Dosage and Administration
  • Dose range: 10 to 80 mg once daily 2.1).
  • Recommended start dose: 10 or 20 mg once daily ( 2.1).
  • Patients requiring large LDL-C reduction (>45%) may start at 40 mg once daily ( 2.1).
  • Pediatric patients with HeFH: starting dose: 10 mg once daily; dose range: 10 to 20 mg/day for patients 10 years to 17 years of age ( 2.2).
3 Dosage Forms and Strengths

Atorvastatin calcium tablets USP are white to off white, oval, biconvex, film-coated, and are available in four strengths (see Table 1).

Table 1: Atorvastatin Calcium Tablet Strengths and Identifying Features
Tablet Strength Identifying Features
10 mg of atorvastatin debossed with “FF1” on one side and plain on other side
20 mg of atorvastatin debossed with “FF2” on one side and plain on other side
40 mg of atorvastatin debossed with “FF3” on one side and plain on other side
80 mg of atorvastatin debossed with “FF4” on one side and plain on other side
6.2 Postmarketing Experience

The following adverse reactions have been identified during post-approval use of atorvastatin calcium. Because these reactions are reported voluntarily from a population of uncertain size, it is not always possible to reliably estimate their frequency or establish a causal relationship to drug exposure.

Adverse reactions associated with atorvastatin calcium therapy reported since market introduction, that are not listed above, regardless of causality assessment, include the following: anaphylaxis, angioneurotic edema, bullous rashes (including erythema multiforme, Stevens-Johnson syndrome, and toxic epidermal necrolysis), rhabdomyolysis, myositis, fatigue, tendon rupture, fatal and non-fatal hepatic failure, dizziness, depression, peripheral neuropathy, pancreatitis and interstitial lung disease.

There have been rare reports of immune-mediated necrotizing myopathy associated with statin use [see Warnings and Precautions (5.1)].

There have been rare postmarketing reports of cognitive impairment (e.g., memory loss, forgetfulness, amnesia, memory impairment, confusion) associated with statin use. These cognitive issues have been reported for all statins. The reports are generally nonserious, and reversible upon statin discontinuation, with variable times to symptom onset (1 day to years) and symptom resolution (median of 3 weeks).

8 Use in Specific Populations
  • Hepatic impairment: Plasma concentrations markedly increased in patients with chronic alcoholic liver disease ( 8.6, 12.3).
  • Females of reproductive potential: Advise females of reproductive potential to use effective contraception during treatment with atorvastatin calcium ( 8.3).
6.1 Clinical Trials Experience

Because clinical trials are conducted under widely varying conditions, the adverse reaction rates observed in the clinical trials of a drug cannot be directly compared to rates in the clinical trials of another drug and may not reflect the rates observed in clinical practice.

In the atorvastatin calcium placebo-controlled clinical trial database of 16,066 patients (8755 atorvastatin calcium vs. 7311 placebo; age range 10 to 93 years, 39% women, 91% Caucasians, 3% Blacks, 2% Asians, 4% other) with a median treatment duration of 53 weeks, 9.7% of patients on atorvastatin calcium and 9.5% of the patients on placebo discontinued due to adverse reactions regardless of causality. The five most common adverse reactions in patients treated with atorvastatin calcium that led to treatment discontinuation and occurred at a rate greater than placebo were: myalgia (0.7%), diarrhea (0.5%), nausea (0.4%), alanine aminotransferase increase (0.4%), and hepatic enzyme increase (0.4%).

The most commonly reported adverse reactions (incidence ≥ 2% and greater than placebo) regardless of causality, in patients treated with atorvastatin calcium in placebo controlled trials (n=8755) were: nasopharyngitis (8.3%), arthralgia (6.9%), diarrhea (6.8%), pain in extremity (6.0%), and urinary tract infection (5.7%).

Table 3 summarizes the frequency of clinical adverse reactions, regardless of causality, reported in ≥ 2% and at a rate greater than placebo in patients treated with atorvastatin calcium (n=8755), from seventeen placebo-controlled trials.

Table 3. Clinical adverse reactions occurring in ≥ 2% in patients treated with any dose of atorvastatin calcium and at an incidence greater than placebo regardless of causality (% of patients).
*Adverse Reaction ≥ 2% in any dose greater than placebo
Adverse Reaction Any dose

N=8755
10 mg

N=3908
20 mg

N=188
40 mg

N=604
80 mg

N=4055
Placebo

N=7311
Nasopharyngitis 8.3 12.9 5.3 7.0 4.2 8.2
Arthralgia 6.9 8.9 11.7 10.6 4.3 6.5
Diarrhea 6.8 7.3 6.4 14.1 5.2 6.3
Pain in extremity 6.0 8.5 3.7 9.3 3.1 5.9
Urinary tract infection 5.7 6.9 6.4 8.0 4.1 5.6
Dyspepsia 4.7 5.9 3.2 6.0 3.3 4.3
Nausea 4.0 3.7 3.7 7.1 3.8 3.5
Musculoskeletal pain 3.8 5.2 3.2 5.1 2.3 3.6
Muscle Spasms 3.6 4.6 4.8 5.1 2.4 3.0
Myalgia 3.5 3.6 5.9 8.4 2.7 3.1
Insomnia 3.0 2.8 1.1 5.3 2.8 2.9
Pharyngolaryngeal pain 2.3 3.9 1.6 2.8 0.7 2.1

Other adverse reactions reported in placebo-controlled studies include:

Body as a whole: malaise, pyrexia; Digestive system: abdominal discomfort, eructation, flatulence, hepatitis, cholestasis; Musculoskeletal system: musculoskeletal pain, muscle fatigue, neck pain, joint swelling; Metabolic and nutritional system: transaminases increase, liver function test abnormal, blood alkaline phosphatase increase, creatine phosphokinase increase, hyperglycemia; Nervous system: nightmare; Respiratory system: epistaxis; Skin and appendages: urticaria; Special senses: vision blurred, tinnitus; Urogenital system: white blood cells urine positive.

7.1 Strong Inhibitors of Cyp 3a4

Atorvastatin calcium is metabolized by cytochrome P450 3A4. Concomitant administration of atorvastatin calcium with strong inhibitors of CYP 3A4 can lead to increases in plasma concentrations of atorvastatin. The extent of interaction and potentiation of effects depend on the variability of effect on CYP 3A4.

17 Patient Counseling Information

Advise the patient to read the FDA-approved patient labeling ( Patient Information).

Patients taking atorvastatin calcium should be advised that cholesterol is a chronic condition and they should adhere to their medication along with their National Cholesterol Education Program (NCEP)-recommended diet, a regular exercise program as appropriate, and periodic testing of a fasting lipid panel to determine goal attainment.

Patients should be advised about substances they should not take concomitantly with atorvastatin [see Warnings and Precautions (5.1)] . Patients should also be advised to inform other healthcare professionals prescribing a new medication that they are taking atorvastatin calcium.

16 How Supplied/storage and Handling

Atorvastatin calcium tablets USP 40 mg(40 mg of atorvastatin): White to off-white, oval shaped, biconvex, film coated tablets, debossed with FF3 on one side and plain on other side.

NDC 68071-5194-3 BOTTLES OF 30

2.4 Concomitant Lipid Lowering Therapy

Atorvastatin calcium tablets may be used with bile acid resins. The combination of HMG-CoA reductase inhibitors (statins) and fibrates should generally be used with caution [see Warnings and Precautions (5.1), and Drug Interactions (7)].

14.1 Prevention of Cardiovascular Disease

In the Anglo-Scandinavian Cardiac Outcomes Trial (ASCOT), the effect of atorvastatin calcium on fatal and non-fatal coronary heart disease was assessed in 10,305 hypertensive patients 40 to 80 years of age (mean of 63 years), without a previous myocardial infarction and with TC levels ≤251 mg/dL (6.5 mmol/L). Additionally, all patients had at least 3 of the following cardiovascular risk factors: male gender (81.1%), age >55 years (84.5%), smoking (33.2%), diabetes (24.3%), history of CHD in a first-degree relative (26%), TC:HDL >6 (14.3%), peripheral vascular disease (5.1%), left ventricular hypertrophy (14.4%), prior cerebrovascular event (9.8%), specific ECG abnormality (14.3%), proteinuria/albuminuria (62.4%). In this double-blind, placebo-controlled study, patients were treated with anti-hypertensive therapy (Goal BP <140/90 mm Hg for non-diabetic patients; <130/80 mm Hg for diabetic patients) and allocated to either atorvastatin calcium 10 mg daily (n=5168) or placebo (n=5137), using a covariate adaptive method which took into account the distribution of nine baseline characteristics of patients already enrolled and minimized the imbalance of those characteristics across the groups. Patients were followed for a median duration of 3.3 years.

The effect of 10 mg/day of atorvastatin calcium on lipid levels was similar to that seen in previous clinical trials.

Atorvastatin calcium significantly reduced the rate of coronary events [either fatal coronary heart disease (46 events in the placebo group vs. 40 events in the atorvastatin calcium group) or non-fatal MI (108 events in the placebo group vs. 60 events in the atorvastatin calcium group)] with a relative risk reduction of 36% [(based on incidences of 1.9% for atorvastatin calcium vs. 3.0% for placebo), p=0.0005 (see Figure 1)]. The risk reduction was consistent regardless of age, smoking status, obesity, or presence of renal dysfunction. The effect of atorvastatin calcium was seen regardless of baseline LDL levels. Due to the small number of events, results for women were inconclusive.

Figure 1: Effect of Atorvastatin calcium 10 mg/day on Cumulative Incidence of Non-Fatal Myocardial Infarction or Coronary Heart Disease Death (in ASCOT-LLA)

Atorvastatin calcium also significantly decreased the relative risk for revascularization procedures by 42% (incidences of 1.4% for atorvastatin calcium and 2.5% for placebo). Although the reduction of fatal and non-fatal strokes did not reach a pre-defined significance level (p=0.01), a favorable trend was observed with a 26% relative risk reduction (incidences of 1.7% for atorvastatin calcium and 2.3% for placebo). There was no significant difference between the treatment groups for death due to cardiovascular causes (p=0.51) or noncardiovascular causes (p=0.17).

In the Collaborative Atorvastatin Diabetes Study (CARDS), the effect of atorvastatin calcium on cardiovascular disease (CVD) endpoints was assessed in 2838 subjects (94% white, 68% male), ages 40 to 75 with type 2 diabetes based on WHO criteria, without prior history of cardiovascular disease and with LDL ≤ 160 mg/dL and TG ≤ 600 mg/dL. In addition to diabetes, subjects had 1 or more of the following risk factors: current smoking (23%), hypertension (80%), retinopathy (30%), or microalbuminuria (9%) or macroalbuminuria (3%). No subjects on hemodialysis were enrolled in the study. In this multicenter, placebo-controlled, double-blind clinical trial, subjects were randomly allocated to either atorvastatin calcium 10 mg daily (1429) or placebo (1411) in a 1:1 ratio and were followed for a median duration of 3.9 years. The primary endpoint was the occurrence of any of the major cardiovascular events: myocardial infarction, acute CHD death, unstable angina, coronary revascularization, or stroke. The primary analysis was the time to first occurrence of the primary endpoint.

Baseline characteristics of subjects were: mean age of 62 years, mean HbA 1c 7.7%; median LDL-C 120 mg/dL; median TC 207 mg/dL; median TG 151 mg/dL; median HDL-C 52 mg/dL.

The effect of atorvastatin calcium 10 mg/day on lipid levels was similar to that seen in previous clinical trials.

Atorvastatin calcium significantly reduced the rate of major cardiovascular events (primary endpoint events) (83 events in the atorvastatin calcium group vs. 127 events in the placebo group) with a relative risk reduction of 37%, HR 0.63, 95% CI (0.48, 0.83) (p=0.001) (see Figure 2). An effect of atorvastatin calcium was seen regardless of age, sex, or baseline lipid levels.

Atorvastatin calcium significantly reduced the risk of stroke by 48% (21 events in the atorvastatin calcium group vs. 39 events in the placebo group), HR 0.52, 95% CI (0.31, 0.89) (p=0.016) and reduced the risk of MI by 42% (38 events in the atorvastatin calcium group vs. 64 events in the placebo group), HR 0.58, 95.1% CI (0.39, 0.86) (p=0.007). There was no significant difference between the treatment groups for angina, revascularization procedures, and acute CHD death.

There were 61 deaths in the atorvastatin calcium group vs. 82 deaths in the placebo group (HR 0.73, p=0.059).

Figure 2: Effect of Atorvastatin calcium 10 mg/day on Time to Occurrence of Major Cardiovascular Event (myocardial infarction, acute CHD death, unstable angina, coronary revascularization, or stroke) in CARDS

In the Treating to New Targets Study (TNT), the effect of atorvastatin calcium 80 mg/day vs. atorvastatin calcium 10 mg/day on the reduction in cardiovascular events was assessed in 10,001 subjects (94% white, 81% male, 38% ≥65 years) with clinically evident coronary heart disease who had achieved a target LDL-C level <130 mg/dL after completing an 8-week, open-label, run-in period with atorvastatin calcium 10 mg/day. Subjects were randomly assigned to either 10 mg/day or 80 mg/day of atorvastatin calcium and followed for a median duration of 4.9 years. The primary endpoint was the time-to-first occurrence of any of the following major cardiovascular events (MCVE): death due to CHD, non-fatal myocardial infarction, resuscitated cardiac arrest, and fatal and non-fatal stroke. The mean LDL-C, TC, TG, non-HDL, and HDL cholesterol levels at 12 weeks were 73, 145, 128, 98, and 47 mg/dL during treatment with 80 mg of atorvastatin calcium and 99, 177, 152, 129, and 48 mg/dL during treatment with 10 mg of atorvastatin calcium.

Treatment with atorvastatin calcium 80 mg/day significantly reduced the rate of MCVE (434 events in the 80 mg/day group vs. 548 events in the 10 mg/day group) with a relative risk reduction of 22%, HR 0.78, 95% CI (0.69, 0.89), p=0.0002 (see Figure 3 and Table 6). The overall risk reduction was consistent regardless of age (<65, ≥65) or gender.

Figure 3: Effect of Atorvastatin calcium 80 mg/day vs. 10 mg/day on Time to Occurrence of Major Cardiovascular Events (TNT)

TABLE 6. Overview of Efficacy Results in TNT
Endpoint Atorvastatin

10 mg

(N=5006)
Atorvastatin

80 mg

(N=4995)
HR
Atorvastatin 80 mg: atorvastatin 10 mg
(95%CI)
PRIMARY ENDPOINT n (%) n (%)
First major cardiovascular endpoint 548 (10.9) 434 (8.7) 0.78 (0.69, 0.89)
Components of the Primary Endpoint
  CHD death 127 (2.5) 101 (2.0) 0.80 (0.61, 1.03)
  Non-fatal, non-procedure related MI 308 (6.2) 243 (4.9) 0.78 (0.66, 0.93)
  Resuscitated cardiac arrest 26 (0.5) 25 (0.5) 0.96 (0.56, 1.67)
  Stroke (fatal and non-fatal) 155 (3.1) 117 (2.3) 0.75 (0.59, 0.96)
SECONDARY ENDPOINTS
Secondary endpoints not included in primary endpoint
First CHF with hospitalization 164 (3.3) 122 (2.4) 0.74 (0.59, 0.94)
First PVD endpoint 282 (5.6) 275 (5.5) 0.97 (0.83, 1.15)
First CABG or other coronary revascularization procedure
Component of other secondary endpoints HR=hazard ratio; CHD=coronary heart disease; CI=confidence interval; MI=myocardial infarction; CHF=congestive heart failure; CV=cardiovascular; PVD=peripheral vascular disease; CABG=coronary artery bypass graft Confidence intervals for the Secondary Endpoints were not adjusted for multiple comparisons
904 (18.1) 667 (13.4) 0.72 (0.65, 0.80)
First documented angina endpoint
615 (12.3) 545 (10.9) 0.88 (0.79, 0.99)
All-cause mortality 282 (5.6) 284 (5.7) 1.01 (0.85, 1.19)
Components of All-Cause Mortality
  Cardiovascular death 155 (3.1) 126 (2.5) 0.81 (0.64, 1.03)
  Noncardiovascular death 127 (2.5) 158 (3.2) 1.25 (0.99, 1.57)
    Cancer death 75 (1.5) 85 (1.7) 1.13 (0.83, 1.55)
   Other non-CV death 43 (0.9) 58 (1.2) 1.35 (0.91, 2.00)
    Suicide, homicide, and othertraumatic non-CV death 9 (0.2) 15 (0.3) 1.67 (0.73, 3.82)

Of the events that comprised the primary efficacy endpoint, treatment with atorvastatin calcium 80 mg/day significantly reduced the rate of non-fatal, non-procedure related MI and fatal and non-fatal stroke, but not CHD death or resuscitated cardiac arrest ( Table 6). Of the predefined secondary endpoints, treatment with atorvastatin calcium 80 mg/day significantly reduced the rate of coronary revascularization, angina, and hospitalization for heart failure, but not peripheral vascular disease. The reduction in the rate of CHF with hospitalization was only observed in the 8% of patients with a prior history of CHF.

There was no significant difference between the treatment groups for all-cause mortality ( Table 6). The proportions of subjects who experienced cardiovascular death, including the components of CHD death and fatal stroke, were numerically smaller in the atorvastatin calcium 80 mg group than in the atorvastatin calcium 10 mg treatment group. The proportions of subjects who experienced noncardiovascular death were numerically larger in the atorvastatin calcium 80 mg group than in the atorvastatin calcium 10 mg treatment group.

In the Incremental Decrease in Endpoints Through Aggressive Lipid Lowering Study (IDEAL), treatment with atorvastatin calcium 80 mg/day was compared to treatment with simvastatin 20 to 40 mg/day in 8,888 subjects up to 80 years of age with a history of CHD to assess whether reduction in CV risk could be achieved. Patients were mainly male (81%), white (99%) with an average age of 61.7 years, and an average LDL-C of 121.5 mg/dL at randomization; 76% were on statin therapy. In this prospective, randomized, open-label, blinded endpoint (PROBE) trial with no run-in period, subjects were followed for a median duration of 4.8 years. The mean LDL-C, TC, TG, HDL, and non-HDL cholesterol levels at Week 12 were 78, 145, 115, 45, and 100 mg/dL during treatment with 80 mg of atorvastatin calcium and 105, 179, 142, 47, and 132 mg/dL during treatment with 20 to 40 mg of simvastatin.

There was no significant difference between the treatment groups for the primary endpoint, the rate of first major coronary event (fatal CHD, non-fatal MI, and resuscitated cardiac arrest): 411 (9.3%) in the atorvastatin calcium 80 mg/day group vs. 463 (10.4%) in the simvastatin 20 to 40 mg/day group, HR 0.89, 95% CI ( 0.78, 1.01), p=0.07.

There were no significant differences between the treatment groups for all-cause mortality: 366 (8.2%) in the atorvastatin calcium 80 mg/day group vs. 374 (8.4%) in the simvastatin 20 to 40 mg/day group. The proportions of subjects who experienced CV or non-CV death were similar for the atorvastatin calcium 80 mg group and the simvastatin 20 to 40 mg group.

2.1 Hyperlipidemia and Mixed Dyslipidemia

The recommended starting dose of atorvastatin calcium tablet is 10 or 20 mg once daily. Patients who require a large reduction in LDL-C (more than 45%) may be started at 40 mg once daily. The dosage range of atorvastatin calcium tablet is 10 to 80 mg once daily. Atorvastatin calcium tablets can be administered as a single dose at any time of the day, with or without food. The starting dose and maintenance doses of atorvastatin calcium tablets should be individualized according to patient characteristics such as goal of therapy and response. After initiation and/or upon titration of atorvastatin calcium tablets, lipid levels should be analyzed within 2 to 4 weeks and dosage adjusted accordingly.

14.2 Hyperlipidemia and Mixed Dyslipidemia

Atorvastatin calcium reduces total-C, LDL-C, VLDL-C, apo B, and TG, and increases HDL-C in patients with hyperlipidemia (heterozygous familial and nonfamilial) and mixed dyslipidemia ( Fredrickson Types IIa and IIb). Therapeutic response is seen within 2 weeks, and maximum response is usually achieved within 4 weeks and maintained during chronic therapy.

Atorvastatin calcium is effective in a wide variety of patient populations with hyperlipidemia, with and without hypertriglyceridemia, in men and women, and in the elderly.

In two multicenter, placebo-controlled, dose-response studies in patients with hyperlipidemia, atorvastatin calcium given as a single dose over 6 weeks, significantly reduced total-C, LDL-C, apo B, and TG. (Pooled results are provided in Table 7.)

TABLE 7. Dose Response in Patients With Primary Hyperlipidemia (Adjusted Mean % Change From Baseline) a
Dose N TC LDL-C Apo B TG HDL-C Non-HDL-C/ HDL-C
aResults are pooled from 2 dose-response studies.
Placebo 21 4 4 3 10 -3 7
10 22 -29 -39 -32 -19 6 -34
20 20 -33 -43 -35 -26 9 -41
40 21 -37 -50 -42 -29 6 -45
80 23 -45 -60 -50 -37 5 -53

In patients with Fredrickson Types IIa and IIb hyperlipoproteinemia pooled from 24 controlled trials, the median (25 th and 75 th percentile) percent changes from baseline in HDL-C for atorvastatin calcium 10, 20, 40, and 80 mg were 6.4 (-1.4, 14), 8.7 (0, 17), 7.8 (0, 16), and 5.1 (-2.7, 15), respectively. Additionally, analysis of the pooled data demonstrated consistent and significant decreases in total-C, LDL-C, TG, total-C/HDL-C, and LDL-C/HDL-C.

In three multicenter, double-blind studies in patients with hyperlipidemia, atorvastatin calcium was compared to other statins. After randomization, patients were treated for 16 weeks with either atorvastatin calcium 10 mg per day or a fixed dose of the comparative agent ( Table 8).

TABLE 8. Mean Percentage Change From Baseline at Endpoint (Double-Blind, Randomized, Active-Controlled Trials)
Treatment

(Daily Dose)
N Total-C LDL-C Apo B TG HDL-C Non-HDL-C/ HDL-C
Study 1
Atorvastatin Calcium 10 mg 707 -27
A negative value for the 95% CI for the difference between treatments favors atorvastatin calcium for all except HDL-C, for which a positive value favors atorvastatin calcium. If the range does not include 0, this indicates a statistically significant difference.
-36
-28
-17
+7 -37
Lovastatin 20 mg 191 -19 -27 -20 -6 +7 -28
95% CI for Diff
Significantly different from lovastatin, ANCOVA, p ≤0.05
-9.2, -6.5 -10.7, -7.1 -10.0, -6.5 -15.2, -7.1 -1.7, 2.0 -11.1, -7.1
Study 2
Atorvastatin Calcium 10 mg 222 -25
Significantly different from pravastatin, ANCOVA, p ≤0.05
-35
-27
-17
+6 -36
Pravastatin 20 mg 77 -17 -23 -17 -9 +8 -28
95% CI for Diff
-10.8, -6.1 -14.5, -8.2 -13.4, -7.4 -14.1, -0.7 -4.9, 1.6 -11.5, -4.1
Study 3
Atorvastatin Calcium 10 mg 132 -29
Significantly different from simvastatin, ANCOVA, p ≤0.05
-37
-34
-23
+7 -39
Simvastatin 10 mg 45 -24 -30 -30 -15 +7 -33
95% CI for Diff
-8.7, -2.7 -10.1, -2.6 -8.0, -1.1 -15.1, -0.7 -4.3, 3.9 -9.6, -1.9

The impact on clinical outcomes of the differences in lipid-altering effects between treatments shown in Table 8 is not known. Table 8 does not contain data comparing the effects of atorvastatin calcium 10 mg and higher doses of lovastatin, pravastatin, and simvastatin. The drugs compared in the studies summarized in the table are not necessarily interchangeable.

2.3 Homozygous Familial Hypercholesterolemia

The dosage of atorvastatin calcium tablets in patients with HoFH is 10 to 80 mg daily. Atorvastatin calcium tablets should be used as an adjunct to other lipid-lowering treatments (e.g., LDL apheresis) in these patients or if such treatments are unavailable.

2.5 Dosage in Patients With Renal Impairment

Renal disease does not affect the plasma concentrations nor LDL-C reduction of atorvastatin calcium tablets; thus, dosage adjustment in patients with renal dysfunction is not necessary [see Warnings and Precautions (5.1), and Clinical Pharmacology (12.3)].

14.5 Homozygous Familial Hypercholesterolemia

In a study without a concurrent control group, 29 patients ages 6 years to 37 years with HoFH received maximum daily doses of 20 to 80 mg of atorvastatin calcium. The mean LDL-C reduction in this study was 18%. Twenty-five patients with a reduction in LDL-C had a mean response of 20% (range of 7% to 53%, median of 24%); the remaining 4 patients had 7% to 24% increases in LDL-C. Five of the 29 patients had absent LDL-receptor function. Of these, 2 patients also had a portacaval shunt and had no significant reduction in LDL-C. The remaining 3 receptor-negative patients had a mean LDL-C reduction of 22%.

5.5 Use in Patients With Recent Stroke Or Tia

In a post-hoc analysis of the Stroke Prevention by Aggressive Reduction in Cholesterol Levels (SPARCL) study where atorvastatin calcium 80 mg vs. placebo was administered in 4,731 subjects without CHD who had a stroke or TIA within the preceding 6 months, a higher incidence of hemorrhagic stroke was seen in the atorvastatin calcium 80 mg group compared to placebo (55, 2.3% atorvastatin vs. 33, 1.4% placebo; HR: 1.68, 95% CI: 1.09, 2.59; p=0.0168). The incidence of fatal hemorrhagic stroke was similar across treatment groups (17 vs. 18 for the atorvastatin and placebo groups, respectively). The incidence of nonfatal hemorrhagic stroke was significantly higher in the atorvastatin group (38, 1.6%) as compared to the placebo group (16, 0.7%). Some baseline characteristics, including hemorrhagic and lacunar stroke on study entry, were associated with a higher incidence of hemorrhagic stroke in the atorvastatin group [see Adverse Reactions (6.1) ].

8.3 Females and Males of Reproductive Potential

Contraception

Atorvastatin calcium tablets may cause fetal harm when administered to a pregnant woman. Advise females of reproductive potential to use effective contraception during treatment with atorvastatin calcium tablets [see Use in Specific Populations (8.1)].

1.1 Prevention of Cardiovascular Disease in Adults

In adult patients without clinically evident coronary heart disease, but with multiple risk factors for coronary heart disease such as age, smoking, hypertension, low HDL-C, or a family history of early coronary heart disease, atorvastatin calcium tablet is indicated to:

  • Reduce the risk of myocardial infarction
  • Reduce the risk of stroke
  • Reduce the risk for revascularization procedures and angina

In adult patients with type 2 diabetes, and without clinically evident coronary heart disease, but with multiple risk factors for coronary heart disease such as retinopathy, albuminuria, smoking, or hypertension, atorvastatin calcium tablet is indicated to:

  • Reduce the risk of myocardial infarction
  • Reduce the risk of stroke

In adult patients with clinically evident coronary heart disease, atorvastatin calcium tablet is indicated to:

  • Reduce the risk of non-fatal myocardial infarction
  • Reduce the risk of fatal and non-fatal stroke
  • Reduce the risk for revascularization procedures
  • Reduce the risk of hospitalization for CHF
  • Reduce the risk of angina
7.8 Rifampin Or Other Inducers of Cytochrome P450 3a4

Concomitant administration of atorvastatin calcium with inducers of cytochrome P450 3A4 (e.g., efavirenz, rifampin) can lead to variable reductions in plasma concentrations of atorvastatin. Due to the dual interaction mechanism of rifampin, simultaneous co-administration of atorvastatin calcium with rifampin is recommended, as delayed administration of atorvastatin calcium after administration of rifampin has been associated with a significant reduction in atorvastatin plasma concentrations.

13.1 Carcinogenesis, Mutagenesis, Impairment of Fertility

In a 2-year carcinogenicity study in rats at dose levels of 10, 30, and 100 mg/kg/day, 2 rare tumors were found in muscle in high-dose females: in one, there was a rhabdomyosarcoma and, in another, there was a fibrosarcoma. This dose represents a plasma AUC (0 to 24) value of approximately 16 times the mean human plasma drug exposure after an 80 mg oral dose.

A 2-year carcinogenicity study in mice given 100, 200, or 400 mg/kg/day resulted in a significant increase in liver adenomas in high-dose males and liver carcinomas in high-dose females. These findings occurred at plasma AUC (0 to 24) values of approximately 6 times the mean human plasma drug exposure after an 80 mg oral dose.

In vitro, atorvastatin was not mutagenic or clastogenic in the following tests with and without metabolic activation: the Ames test with Salmonella typhimurium and Escherichia coli, the HGPRT forward mutation assay in Chinese hamster lung cells, and the chromosomal aberration assay in Chinese hamster lung cells. Atorvastatin was negative in the in vivo mouse micronucleus test.

In female rats, atorvastatin at doses up to 225 mg/kg (56 times the human exposure) did not cause adverse effects on fertility. Studies in male rats performed at doses up to 175 mg/kg (15 times the human exposure) produced no changes in fertility. There was aplasia and aspermia in the epididymis of 2 of 10 rats treated with 100 mg/kg/day of atorvastatin for 3 months (16 times the human AUC at the 80 mg dose); testis weights were significantly lower at 30 and 100 mg/kg and epididymal weight was lower at 100 mg/kg. Male rats given 100 mg/kg/day for 11 weeks prior to mating had decreased sperm motility, spermatid head concentration, and increased abnormal sperm. Atorvastatin caused no adverse effects on semen parameters, or reproductive organ histopathology in dogs given doses of 10, 40, or 120 mg/kg for two years.

7.4 Glecaprevir and Pibrentasvir; Elbasvir and Grazoprevir

Concomitant administration of glecaprevir and pibrentasvir or elbasvir and grazoprevir may lead to increased plasma concentrations of atorvastatin and an increased risk of myopathy.

Coadministration of glecaprevir and pibrentasvir with atorvastatin increase plasma concentrations of atorvastatin by 8.3-fold due in part to BCRP, OATP1B1/1B3, and CYP3A inhibition; therefore, coadministration of atorvastatin calcium in patients receiving concomitant medications with products containing glecaprevir and pibrentasvir is not recommended.

Coadministration of elbasvir and grazoprevir with atorvastatin increase plasma concentrations of atorvastatin by 1.9-fold due in part to BCRP, OATP1B1/1B3, and CYP3A inhibition; therefore, the dose of atorvastatin calcium should not exceed 20 mg daily in patients receiving concomitant medications with products containing elbasvir and grazoprevir [see Dosage and Administration (2.6), Warnings and Precautions (5.1), and Clinical Pharmacology (12.3)].

14.6 Heterozygous Familial Hypercholesterolemia in Pediatric Patients

In a double-blind, placebo-controlled study followed by an open-label phase, 187 boys and post-menarchal girls 10 years to 17 years of age (mean age 14.1 years) with heterozygous familial hypercholesterolemia (HeFH) or severe hypercholesterolemia, were randomized to atorvastatin calcium (n=140) or placebo (n=47) for 26 weeks and then all received atorvastatin calcium for 26 weeks. Inclusion in the study required 1) a baseline LDL-C level ≥ 190 mg/dL or 2) a baseline LDL-C level ≥ 160 mg/dL and positive family history of FH or documented premature cardiovascular disease in a first or second-degree relative. The mean baseline LDL-C value was 218.6 mg/dL (range: 138.5 to 385.0 mg/dL) in the atorvastatin calcium group compared to 230.0 mg/dL (range: 160.0 to 324.5 mg/dL) in the placebo group. The dosage of atorvastatin calcium (once daily) was 10 mg for the first 4 weeks and uptitrated to 20 mg if the LDL-C level was > 130 mg/dL. The number of atorvastatin calcium-treated patients who required uptitration to 20 mg after Week 4 during the double-blind phase was 78 (55.7%).

Atorvastatin calcium significantly decreased plasma levels of total-C, LDL-C, triglycerides, and apolipoprotein B during the 26-week double-blind phase (see Table 11).

TABLE 11. Lipid-altering Effects of Atorvastatin Calcium in Adolescent Boys and Girls with Heterozygous Familial Hypercholesterolemia or Severe Hypercholesterolemia (Mean Percentage Change From Baseline at Endpoint in Intention-to-Treat Population)
DOSAGE N Total-C LDL-C HDL-C TG Apolipoprotein B
Placebo 47 -1.5 -0.4 -1.9 1.0 0.7
Atorvastatin Calcium 140 -31.4 -39.6 2.8 -12.0 -34.0

The mean achieved LDL-C value was 130.7 mg/dL (range: 70.0 to 242.0 mg/dL) in the atorvastatin calcium group compared to 228.5 mg/dL (range: 152.0 to 385.0 mg/dL) in the placebo group during the 26-week double-blind phase.

The long-term efficacy of atorvastatin calcium tablets therapy in childhood to reduce morbidity and mortality in adulthood has not been established.

Additional pediatric use information is approved for Pfizer’s LIPITOR (atorvastatin calcium) tablets. However, due to Pfizer’s marketing exclusivity rights, this drug product is not labeled with that pediatric information.

2.2 Heterozygous Familial Hypercholesterolemia in Pediatric Patients (10 Years to 17 Years of Age)

The recommended starting dose of atorvastatin calcium tablet is 10 mg/day; the usual dose range is 10 to 20 mg orally once daily [see Clinical Studies ( 14.6)]. Doses should be individualized according to the recommended goal of therapy [see Indications and Usage ( 1.2) and Clinical Pharmacology ( 12)]. Adjustments should be made at intervals of 4 weeks or more.

2.6 Dosage in Patients Taking Cyclosporine, Clarithromycin, Itraconazole, Or Certain Protease Inhibitors

In patients taking cyclosporine or the HIV protease inhibitor tipranavir plus ritonavir or the hepatitis C virus (HCV) protease inhibitor glecaprevir plus pibrentasvir, therapy with atorvastatin calcium should be avoided. In patients with HIV taking lopinavir plus ritonavir, use the lowest dose necessary of atorvastatin calcium. In patients taking clarithromycin, itraconazole, elbasvir plus grazoprevir, or in patients with HIV taking a combination of saquinavir plus ritonavir, darunavir plus ritonavir, fosamprenavir, or fosamprenavir plus ritonavir, therapy with atorvastatin calcium should be limited to 20 mg, and appropriate clinical assessment is recommended to ensure that the lowest dose necessary of atorvastatin calcium is used. In patients taking the HIV protease inhibitor nelfinavir therapy with atorvastatin calcium should be limited to 40 mg. When co-prescribing atorvastatin with other protease inhibitors, appropriate clinical assessment is recommended to ensure that the lowest dose necessary of atorvastatin calcium is used [see Warnings and Precautions (5.1) and Drug Interactions (7)].

                                                                                                    patient Information

                                                                                                    Atorvastatin Calcium Tablets

                                                                                                (a-TOR-va-STAT-in KAL-see-um)

Read the Patient Information that comes with atorvastatin calcium tablets before you start taking it and each time you get a refill. There may be new information. This leaflet does not take the place of talking with your doctor about your condition or treatment.

If you have any questions about atorvastatin calcium tablets, ask your doctor or pharmacist.

What are Atorvastatin calcium tablets?

Atorvastatin calcium tablet is a prescription medicine that lowers cholesterol in your blood. It lowers the LDL-C ("bad" cholesterol) and triglycerides in your blood. It can raise your HDL-C ("good" cholesterol) as well. Atorvastatin calcium tablet is for adults and children over 10 whose cholesterol does not come down enough with exercise and a low-fat diet alone.

Atorvastatin calcium tablets can lower the risk for heart attack, stroke, certain types of heart surgery, and chest pain in patients who have heart disease or risk factors for heart disease such as:

  • age, smoking, high blood pressure, low HDL-C, heart disease in the family.

Atorvastatin calcium tablets can lower the risk for heart attack or stroke in patients with diabetes and risk factors such as:

  • eye problems, kidney problems, smoking, or high blood pressure.

Atorvastatin calcium tablets start to work in about 2 weeks.

What is Cholesterol?

Cholesterol and triglycerides are fats that are made in your body. They are also found in foods. You need some cholesterol for good health, but too much is not good for you. Cholesterol and triglycerides can clog your blood vessels. It is especially important to lower your cholesterol if you have heart disease, smoke, have diabetes or high blood pressure, are older, or if heart disease starts early in your family.

Who Should Not Take Atorvastatin Calcium Tablets?

Do not take atorvastatin calcium tablets if you:

  • are pregnant or think you may be pregnant, or are planning to become pregnant. Atorvastatin calcium may harm your unborn baby. If you get pregnant, stop taking atorvastatin calcium tablets and call your doctor right away.
  • are breast feeding . Atorvastatin calcium can pass into your breast milk and may harm your baby.
  • have liver problems.
  • are allergic to atorvastatin calcium tablets or any of its ingredients. The active ingredient is atorvastatin. See the end of this leaflet for a complete list of ingredients in atorvastatin calcium tablets.

Atorvastatin calcium tablets dosing has not been established in children under 10 years of age.

Before You Start Atorvastatin calcium tablets

Tell your doctor if you:

  • have muscle aches or weakness
  • drink more than 2 glasses of alcohol daily
  • have diabetes
  • have a thyroid problem
  • have kidney problems

Some medicines should not be taken with atorvastatin calcium tablets. Tell your doctor about all the medicines you take, including prescription and non-prescription medicines, vitamins, and herbal supplements. Atorvastatin calcium tablets and certain other medicines can interact causing serious side effects. Especially tell your doctor if you take medicines for:

  • your immune system
  • cholesterol
  • infections
  • birth control
  • heart failure
  • HIV or AIDS
  • hepatitis C virus

Know all the medicines you take. Keep a list of them with you to show your doctor and pharmacist.

How Should I Take Atorvastatin calcium tablets?

  • Take atorvastatin calcium tablets exactly as prescribed by your doctor. Do not change your dose or stop atorvastatin calcium tablets without talking to your doctor. Your doctor may do blood tests to check your cholesterol levels during your treatment with atorvastatin calcium tablets. Your dose of atorvastatin calcium tablets may be changed based on these blood test results.
  • Take atorvastatin calcium tablets each day at any time of day at about the same time each day. Atorvastatin calcium tablets can be taken with or without food.

    Don't break atorvastatin calcium tablets before taking.
  • Your doctor should start you on a low-fat diet before giving you atorvastatin calcium tablets. Stay on this low-fat diet when you take atorvastatin calcium tablets.
  • If you miss a dose of atorvastatin calcium tablets, take it as soon as you remember. Do not take atorvastatin calcium tablets if it has been more than 12 hours since you missed your last dose. Wait and take the next dose at your regular time. Do not take 2 doses of atorvastatin calcium tablets at the same time.
  • If you take too much atorvastatin calcium tablets or overdose, call your doctor or Poison Control Center right away. Or go to the nearest emergency room.

What Should I Avoid While Taking Atorvastatin calcium tablets?

  • Talk to your doctor before you start any new medicines. This includes prescription and non-prescription medicines, vitamins, and herbal supplements. Atorvastatin calcium tablets and certain other medicines can interact causing serious side effects.
  • Do not get pregnant. If you get pregnant, stop taking atorvastatin calcium tablets right away and call your doctor.

What are the Possible Side Effects of Atorvastatin calcium tablets?

Atorvastatin calcium tablets can cause serious side effects. These side effects have happened only to a small number of people. Your doctor can monitor you for them. These side effects usually go away if your dose is lowered or atorvastatin calcium tablet is stopped. These serious side effects include:

  • Muscle problems. Atorvastatin calcium tablets can cause serious muscle problems that can lead to kidney problems, including kidney failure. You have a higher chance for muscle problems if you are taking certain other medicines with atorvastatin calcium tablets.
  • Liver problems. Your doctor should do blood tests to check your liver before you start taking atorvastatin calcium tablets, and if you have symptoms of liver problems while you take atorvastatin calcium tablets. Call your doctor right away if you have the following symptoms of liver problems:
    • feel tired or weak
    • loss of appetite
    • upper belly pain
    • dark amber colored urine
    • yellowing of your skin or the whites of your eyes

Call your doctor right away if you have:

  • muscle problems like weakness, tenderness, or pain that happen without a good reason, especially if you also have a fever or feel more tired than usual. This may be an early sign of a rare muscle problem.
  • muscle problems that do not go away even after your doctor has advised you to stop taking atorvastatin calcium. Your doctor may do further tests to diagnose the cause of your muscle problems.
  • allergic reactions including swelling of the face, lips, tongue, and/or throat that may cause difficulty in breathing or swallowing which may require treatment right away.
  • nausea and vomiting.
  • passing brown or dark-colored urine.
  • you feel more tired than usual
  • your skin and whites of your eyes get yellow.
  • stomach pain.
  • allergic skin reactions.

In clinical studies, patients reported the following common side effects while taking atorvastatin calcium tablets: diarrhea, upset stomach, muscle and joint pain, and alterations in some laboratory blood tests.

The following additional side effects have been reported with atorvastatin calcium tablets: tiredness, tendon problems, memory loss, and confusion.

Talk to your doctor or pharmacist if you have side effects that bother you or that will not go away.

These are not all the side effects of atorvastatin calcium tablets. Ask your doctor or pharmacist for a complete list.

How do I store Atorvastatin calcium tablets?

  • Store atorvastatin calcium tablets at room temperature, 68°F to 77°F (20°C to 25°C).
  • Do not keep medicine that is out of date or that you no longer need.
  • Keep atorvastatin calcium tablets and all medicines out of the reach of children. Be sure that if you throw medicine away, it is out of the reach of children.

General Information About Atorvastatin calcium tablets

Medicines are sometimes prescribed for conditions that are not mentioned in patient information leaflets. Do not use atorvastatin calcium tablets for a condition for which it was not prescribed. Do not give atorvastatin calcium tablets to other people, even if they have the same problem you have. It may harm them.

This leaflet summarizes the most important information about atorvastatin calcium tablets. If you would like more information, talk with your doctor. You can ask your doctor or pharmacist for information about atorvastatin calcium tablets that is written for health professionals.

For more information, go to www.accordhealthcare.us or call Accord Healthcare at 1-866-941-7875.

What are the Ingredients in Atorvastatin calcium tablets?

Active Ingredient: atorvastatin calcium

Inactive Ingredients: croscarmellose sodium, hydroxyl propyl cellulose, lactose monohydrate, magnesium stearate, microcrystalline cellulose, opadry-YS-1-7040 white (hypromellose, polyethylene glycol, talc, titanium dioxide), polysorbate 80, precipitated calcium carbonate.

Manufactured For:

Accord Healthcare, Inc.,

1009 Slater Road,

Suite 210-B,

Durham, NC 27703,

USA.



Manufactured By:

Intas Pharmaceuticals Limited,

Plot No. : 457, 458,

Village – Matoda,

Bavla Road, Ta.- Sanand,

Dist.- Ahmedabad – 382 210.

India.

10 3000 1 697808

Issued May 2019


Structured Label Content

Section 34077-8 (34077-8)

Risk Summary

Atorvastatin calcium tablet is contraindicated for use in pregnant women since safety in pregnant women has not been established and there is no apparent benefit of lipid lowering drugs during pregnancy. Because HMG-CoA reductase inhibitors decrease cholesterol synthesis and possibly the synthesis of other biologically active substances derived from cholesterol, atorvastatin calcium may cause fetal harm when administered to a pregnant woman. Atorvastatin calcium tablets should be discontinued as soon as pregnancy is recognized [see Contraindications (4)]. Limited published data on the use of atorvastatin are insufficient to determine a drug-associated risk of major congenital malformations or miscarriage. In animal reproduction studies in rats and rabbits there was no evidence of embryo-fetal toxicity or congenital malformations at doses up to 30 and 20 times, respectively, the human exposure at the maximum recommended human dose (MRHD) of 80 mg, based on body surface area (mg/m 2). In rats administered atorvastatin during gestation and lactation, decreased postnatal growth and development was observed at doses ≥ 6 times the MRHD (see Data).

The estimated background risk of major birth defects and miscarriage for the indicated population is unknown. In the U.S. general population, the estimated background risk of major birth defects and miscarriage in clinically recognized pregnancies is 2 to 4% and 15 to 20%, respectively.

Data

Human Data Limited published data on atorvastatin calcium from observational studies, meta-analyses and case reports have not shown an increased risk of major congenital malformations or miscarriage. Rare reports of congenital anomalies have been received following intrauterine exposure to other HMG-CoA reductase inhibitors. In a review of approximately 100 prospectively followed pregnancies in women exposed to simvastatin or lovastatin, the incidences of congenital anomalies, spontaneous abortions, and fetal deaths/stillbirths did not exceed what would be expected in the general population. The number of cases is adequate to exclude a ≥ 3to 4-fold increase in congenital anomalies over the background incidence. In 89% of the prospectively followed pregnancies, drug treatment was initiated prior to pregnancy and was discontinued at some point in the first trimester when pregnancy was identified.

Animal Data

Atorvastatin crosses the rat placenta and reaches a level in fetal liver equivalent to that of maternal plasma. Atorvastatin was administered to pregnant rats and rabbits during organogenesis at oral doses up to 300 mg/kg/day and 100 mg/kg/day, respectively. Atorvastatin was not teratogenic in rats at doses up to 300 mg/kg/day or in rabbits at doses up to 100 mg/kg/day. These doses resulted in multiples of about 30 times (rat) or 20 times (rabbit) the human exposure at the MRHD based on surface area (mg/m 2). In rats, the maternally toxic dose of 300 mg/kg resulted in increased post-implantation loss and decreased fetal body weight. At the maternally toxic doses of 50 and 100 mg/kg/day in rabbits, there was increased post-implantation loss, and at 100 mg/kg/day fetal body weights were decreased.

In a study in pregnant rats administered 20, 100, or 225 mg/kg/day from gestation day 7 through to lactation day 20 (weaning), there was decreased survival at birth, postnatal day 4, weaning, and post-weaning in pups of mothers dosed with 225 mg/kg/day, a dose at which maternal toxicity was observed. Pup body weight was decreased through postnatal day 21 at 100 mg/kg/day, and through postnatal day 91 at 225 mg/kg/day. Pup development was delayed (rotorod performance at 100 mg/kg/day and acoustic startle at 225 mg/kg/day; pinnae detachment and eye-opening at 225 mg/kg/day). These doses correspond to 6 times (100 mg/kg) and 22 times (225 mg/kg) the human exposure at the MRHD, based on AUC.

Section 42229-5 (42229-5)

Anglo-Scandinavian Cardiac Outcomes Trial (ASCOT)

In ASCOT [see Clinical Studies (14.1) ] involving 10,305 participants (age range 40 to 80 years, 19% women; 94.6% Caucasians, 2.6% Africans, 1.5% South Asians, 1.3% mixed/other) treated with atorvastatin calcium 10 mg daily (n=5,168) or placebo (n=5,137), the safety and tolerability profile of the group treated with atorvastatin calcium was comparable to that of the group treated with placebo during a median of 3.3 years of follow-up.

Section 44425-7 (44425-7)

Storage

Store at 20°C to 25°C (68°F to 77°F). [See USP Controlled Room Temperature].

Section 51945-4 (51945-4)

7.7 Niacin

The risk of skeletal muscle effects may be enhanced when atorvastatin calcium is used in combination with niacin; a reduction in atorvastatin calcium dosage should be considered in this setting [see Warnings and Precautions (5.1)].

7.9 Digoxin

When multiple doses of atorvastatin calcium and digoxin were co-administered, steady state plasma digoxin concentrations increased [see Clinical Pharmacology (12.3)]. Patients taking digoxin should be monitored appropriately.

10 Overdosage (10 OVERDOSAGE)

There is no specific treatment for atorvastatin calcium overdosage. In the event of an overdose, the patient should be treated symptomatically, and supportive measures instituted as required. Due to extensive drug binding to plasma proteins, hemodialysis is not expected to significantly enhance atorvastatin calcium clearance.

7.11 Warfarin

Atorvastatin calcium had no clinically significant effect on prothrombin time when administered to patients receiving chronic warfarin treatment.

8.2 Lactation

Risk Summary

Atorvastatin calcium tablet use is contraindicated during breastfeeding [see Contraindications (4)]. There is no available information on the effects of the drug on the breastfed infant or the effects of the drug on milk production. It is not known whether atorvastatin is present in human milk, but it has been shown that another drug in this class passes into human milk and atorvastatin is present in rat milk. Because of the potential for serious adverse reactions in a breastfed infant, advise women that breastfeeding is not recommended during treatment with atorvastatin calcium tablets.

11 Description (11 DESCRIPTION)

Atorvastatin calcium is a synthetic lipid-lowering agent. Atorvastatin is an inhibitor of 3-hydroxy-3-methylglutaryl-coenzyme A (HMG-CoA) reductase. This enzyme catalyzes the conversion of HMG-CoA to mevalonate, an early and rate-limiting step in cholesterol biosynthesis.

Atorvastatin calcium is [R-(R*, R*)]-2-(4-fluorophenyl)-ß, δ-dihydroxy-5-(1-methylethyl)-3-phenyl-4-[(phenylamino)carbonyl]-1H-pyrrole-1-heptanoic acid, calcium salt (2:1) trihydrate. The empirical formula of atorvastatin calcium is (C 33H 34 FN 2O 5) 2Ca•3H 2O and its molecular weight is 1209.42. Its structural formula is:

Atorvastatin calcium is a white to off-white crystalline powder that is insoluble in aqueous solutions of pH 4 and below. Atorvastatin calcium is very slightly soluble in distilled water, pH 7.4 phosphate buffer, and acetonitrile; slightly soluble in ethanol; and freely soluble in methanol.

Atorvastatin calcium tablets USP for oral administration contain 10, 20, 40, or 80 mg of atorvastatin and the following inactive ingredients: croscarmellose sodium, hydroxyl propyl cellulose, lactose monohydrate, magnesium stearate, microcrystalline cellulose, opadry-YS-1-7040 white (hypromellose, polyethylene glycol, talc, titanium dioxide), polysorbate 80, precipitated calcium carbonate.

17.4 Lactation

Advise women not to breastfeed during treatment with atorvastatin calcium tablets [see Contraindications (4) and Use in Specific Populations (8.2)].

The brands listed are trademarks of their respective owners.

Manufactured For:

Accord Healthcare, Inc.,

1009 Slater Road,

Suite 210-B,

Durham, NC 27703,

USA.



Manufactured By:

Intas Pharmaceuticals Limited,

Plot No. : 457, 458,

Village – Matoda,

Bavla Road, Ta.- Sanand,

Dist.- Ahmedabad – 382 210.

India.

10 3000 1 697808

Issued May 2019

7.12 Colchicine

Cases of myopathy, including rhabdomyolysis, have been reported with atorvastatin co-administered with colchicine, and caution should be exercised when prescribing atorvastatin with colchicine.

7.5 Gemfibrozil

Due to an increased risk of myopathy/rhabdomyolysis when HMG-CoA reductase inhibitors are co-administered with gemfibrozil, concomitant administration of atorvastatin calcium with gemfibrozil should be avoided [see Warnings and Precautions (5.1)].

17.1 Muscle Pain

All patients starting therapy with atorvastatin calcium should be advised of the risk of myopathy and told to report promptly any unexplained muscle pain, tenderness, or weakness particularly if accompanied by malaise or fever or if these muscle signs or symptoms persist after discontinuing atorvastatin calcium. The risk of this occurring is increased when taking certain types of medication or consuming larger quantities (>1 liter) of grapefruit juice. They should discuss all medication, both prescription and over the counter, with their healthcare professional.

5.4 Cns Toxicity (5.4 CNS Toxicity)

Brain hemorrhage was seen in a female dog treated for 3 months at 120 mg/kg/day. Brain hemorrhage and optic nerve vacuolation were seen in another female dog that was sacrificed in moribund condition after 11 weeks of escalating doses up to 280 mg/kg/day. The 120 mg/kg dose resulted in a systemic exposure approximately 16 times the human plasma area-under-the-curve (AUC, 0 to 24 hours) based on the maximum human dose of 80 mg/day. A single tonic convulsion was seen in each of 2 male dogs (one treated at 10 mg/kg/day and one at 120 mg/kg/day) in a 2-year study. No CNS lesions have been observed in mice after chronic treatment for up to 2 years at doses up to 400 mg/kg/day or in rats at doses up to 100 mg/kg/day. These doses were 6 to 11 times (mouse) and 8 to 16 times (rat) the human AUC (0 to 24) based on the maximum recommended human dose of 80 mg/day.

CNS vascular lesions, characterized by perivascular hemorrhages, edema, and mononuclear cell infiltration of perivascular spaces, have been observed in dogs treated with other members of this class. A chemically similar drug in this class produced optic nerve degeneration (Wallerian degeneration of retinogeniculate fibers) in clinically normal dogs in a dose-dependent fashion at a dose that produced plasma drug levels about 30 times higher than the mean drug level in humans taking the highest recommended dose.

7.3 Cyclosporine

Atorvastatin is a substrate of the hepatic transporters. Atorvastatin-metabolites are substrates of the OATP1B1 transporter. Inhibitors of the OATP1B1 (e.g., cyclosporine) can increase the bioavailability of atorvastatin. Atorvastatin AUC was significantly increased with concomitant administration of atorvastatin calcium 10 mg and cyclosporine 5.2 mg/kg/day compared to that of atorvastatin calcium alone [see Clinical Pharmacology (12.3)]. The co-administration of atorvastatin calcium with cyclosporine should be avoided [see Warnings and Precautions (5.1)].

8.4 Pediatric Use

Heterozygous Familial Hypercholesterolemia (HeFH)

The safety and effectiveness of atorvastatin calcium tablets have been established in pediatric patients, 10 years to 17 years of age, with HeFH as an adjunct to diet to reduce total cholesterol, LDL-C, and apo B levels when, after an adequate trial of diet therapy, the following are present:

  • LDL-C ≥ 190 mg/dL, or
  • LDL-C ≥ 160 mg/dL and
    • a positive family history of FH, or premature CVD in a first, or second-degree relative, or
    • two or more other CVD risk factors are present.

Use of atorvastatin calcium tablets for this indication is supported by evidence from [see Dosage and Administration (2.2), Adverse Reactions (6.1), Clinical Pharmacology (12.3), and Clinical Studies (14.6)] :

  • A placebo-controlled clinical trial of 6 months duration in 187 boys and postmenarchal girls, 10 years to 17 years of age. Patients treated with 10 mg or 20 mg daily atorvastatin calcium tablets had an adverse reaction profile generally similar to that of patients treated with placebo. In this limited controlled study, there was no significant effect on growth or sexual maturation in boys or on menstrual cycle length in girls.

Advise postmenarchal girls of contraception recommendations, if appropriate for the patient [see Use in Specific Populations (8.1), (8.3)].

The long-term efficacy of atorvastatin calcium tablets therapy initiated in childhood to reduce morbidity and mortality in adulthood has not been established.

The safety and efficacy of atorvastatin calcium tablets have not been established in pediatric patients younger than 10 years of age with HeFH.

Additional pediatric use information is approved for Pfizer’s LIPITOR (atorvastatin calcium) tablets. However, due to Pfizer’s marketing exclusivity rights, this drug product is not labeled with that pediatric information.

Homozygous Familial Hypercholesterolemia (HoFH)

Clinical efficacy of atorvastatin calcium tablets with dosages up to 80 mg/day for 1 year was evaluated in an uncontrolled study of patients with HoFH including 8 pediatric patients [see Clinical Studies (14.5)].

8.5 Geriatric Use

Of the 39,828 patients who received atorvastatin calcium in clinical studies, 15,813 (40%) were ≥65 years old and 2,800 (7%) were ≥75 years old. No overall differences in safety or effectiveness were observed between these subjects and younger subjects, and other reported clinical experience has not identified differences in responses between the elderly and younger patients, but greater sensitivity of some older adults cannot be ruled out. Since advanced age (≥65 years) is a predisposing factor for myopathy, atorvastatin calcium should be prescribed with caution in the elderly.

1.2 Hyperlipidemia

Atorvastatin calcium tablet is indicated:

  • As an adjunct to diet to reduce elevated total-C, LDL-C, apo B, and TG levels and to increase HDL-C in adult patients with primary hypercholesterolemia (heterozygous familial and nonfamilial) and mixed dyslipidemia (Fredrickson Types IIa and IIb);
  • As an adjunct to diet for the treatment of adult patients with elevated serum TG levels (Fredrickson Type IV);
  • For the treatment of adult patients with primary dysbetalipoproteinemia (Fredrickson Type III) who do not respond adequately to diet;
  • To reduce total-C and LDL-C in patients with homozygous familial hypercholesterolemia (HoFH) as an adjunct to other lipid-lowering treatments (e.g., LDL apheresis) or if such treatments are unavailable;
  • As an adjunct to diet to reduce total-C, LDL-C, and apo B levels in pediatric patients, 10 years to 17 years of age, with heterozygous familial hypercholesterolemia (HeFH) if after an adequate trial of diet therapy the following findings are present:
    • LDL-C remains ≥ 190 mg/dL or
    • LDL-C remains ≥ 160 mg/dL and:
      • there is a positive family history of premature cardiovascular disease or
      • two or more other CVD risk factors are present in the pediatric patient
17.2 Liver Enzymes

It is recommended that liver enzyme tests be performed before the initiation of atorvastatin calcium and if signs or symptoms of liver injury occur. All patients treated with atorvastatin calcium should be advised to report promptly any symptoms that may indicate liver injury, including fatigue, anorexia, right upper abdominal discomfort, dark urine, or jaundice.

7.6 Other Fibrates

Because it is known that the risk of myopathy during treatment with HMG-CoA reductase inhibitors is increased with concurrent administration of other fibrates, atorvastatin calcium should be administered with caution when used concomitantly with other fibrates [see Warnings and Precautions (5.1)].

4 Contraindications (4 CONTRAINDICATIONS)
  • Active Liver Disease, Which May Include Unexplained Persistent Elevations in Hepatic Transaminase Levels
  • Hypersensitivity to Any Component of This Medication
  • Pregnancy [see Use in Specific Populations ( 8.1)].
  • Lactation [see Use in Specific Populations ( 8.2)].
5.1 Skeletal Muscle

A history of renal impairment may be a risk factor for the development of rhabdomyolysis. Such patients merit closer monitoring for skeletal muscle effects. Rare cases of rhabdomyolysis with acute renal failure secondary to myoglobinuria have been reported with atorvastatin calcium and with other drugs in this class. A history of renal impairment may be a risk factor for the development of rhabdomyolysis. Such patients merit closer monitoring for skeletal muscle effects.

Atorvastatin, like other statins, occasionally causes myopathy, defined as muscle aches or muscle weakness in conjunction with increases in creatine phosphokinase (CPK) values >10 times ULN. The concomitant use of higher doses of atorvastatin with certain drugs such as cyclosporine and strong cytochrome P450 3A4 (CYP3A4) inhibitors (e.g., clarithromycin, itraconazole, and HIV and HCV protease inhibitors) increases the risk of myopathy/rhabdomyolysis.

There have been rare reports of immune-mediated necrotizing myopathy (IMNM), an autoimmune myopathy, associated with statin use. IMNM is characterized by: proximal muscle weakness and elevated serum creatine kinase, which persist despite discontinuation of statin treatment; muscle biopsy showing necrotizing myopathy without significant inflammation; improvement with immunosuppressive agents. There have been rare reports of immune-mediated necrotizing myopathy (IMNM), an autoimmune myopathy, associated with statin use. IMNM is characterized by: proximal muscle weakness and elevated serum creatine kinase, which persist despite discontinuation of statin treatment; muscle biopsy showing necrotizing myopathy without significant inflammation; improvement with immunosuppressive agents.

Myopathy should be considered in any patient with diffuse myalgias, muscle tenderness or weakness, and/or marked elevation of CPK. Patients should be advised to report promptly unexplained muscle pain, tenderness, or weakness, particularly if accompanied by malaise or fever or if muscle signs and symptoms persist after discontinuing atorvastatin calcium. Atorvastatin calcium therapy should be discontinued if markedly elevated CPK levels occur or myopathy is diagnosed or suspected. Myopathy should be considered in any patient with diffuse myalgias, muscle tenderness or weakness, and/or marked elevation of CPK. Patients should be advised to report promptly unexplained muscle pain, tenderness, or weakness, particularly if accompanied by malaise or fever or if muscle signs and symptoms persist after discontinuing atorvastatin calcium. Atorvastatin calcium therapy should be discontinued if markedly elevated CPK levels occur or myopathy is diagnosed or suspected.

The risk of myopathy during treatment with drugs in this class is increased with concurrent administration of the drugs listed in Table 2. Physicians considering combined therapy of atorvastatin calcium with any of these drugs should carefully weigh the potential benefits and risks and should carefully monitor patients for any signs or symptoms of muscle pain, tenderness, or weakness, particularly during the initial months of therapy and during any periods of upward dosage titration of either drug. Lower starting and maintenance doses of atorvastatin should be considered when taken concomitantly with the aforementioned drugs [see Drug Interactions (7)]. Periodic creatine phosphokinase (CPK) determinations may be considered in such situations, but there is no assurance that such monitoring will prevent the occurrence of severe myopathy.

Prescribing recommendations for interacting agents are summarized in Prescribing recommendations for interacting agents are summarized in Table 2 [see Dosage and Administration (2.6), Drug Interactions (7), and Clinical Pharmacology (12.3)].

Table 2 Drug Interactions Associated with Increased Risk of Myopathy/Rhabdomyolysis

Use the lowest dose necessary ( ) *Use the lowest dose necessary ( 12.3)

Interacting Agents Prescribing Recommendations
Cyclosporine, tipranavir plus ritonavir, glecaprevir plus pibrentasvir

Avoid atorvastatin

Clarithromycin, itraconazole, saquinavir plus ritonavir*, darunavir plus ritonavir, fosamprenavir, fosamprenavir plus ritonavir, elbasvir plus grazoprevir

Do not exceed 20 mg atorvastatin daily

Nelfinavir

Do not exceed 40 mg atorvastatin daily

Lopinavir plus ritonavir, simeprevir, fibric acid derivatives, erythromycin, azole antifungals, lipid-modifying doses of niacin, colchicine

Use with caution and lowest dose necessary

Atorvastatin calcium tablets therapy should be temporarily withheld or discontinued in any patient with an acute, serious condition suggestive of a myopathy or having a risk factor predisposing to the development of renal failure secondary to rhabdomyolysis (e.g., severe acute infection, hypotension, major surgery, trauma, severe metabolic, endocrine and electrolyte disorders, and uncontrolled seizures).

6 Adverse Reactions (6 ADVERSE REACTIONS)

The following serious adverse reactions are discussed in greater detail in other sections of the label: Rhabdomyolysis and myopathy [see Warnings and Precautions (5.1) ]

Liver enzyme abnormalities [see Warnings and Precautions (5.2) ]

7 Drug Interactions (7 DRUG INTERACTIONS)

The risk of myopathy during treatment with statins is increased with concurrent administration of fibric acid derivatives, lipid-modifying doses of niacin, cyclosporine, or strong CYP 3A4 inhibitors (e.g., clarithromycin, HIV and HCV protease inhibitors, and itraconazole) [see Warnings and Precautions (5.1) and Clinical Pharmacology (12.3)].

7.2 Grapefruit Juice

Contains one or more components that inhibit CYP 3A4 and can increase plasma concentrations of atorvastatin, especially with excessive grapefruit juice consumption (>1.2 liters per day).

Recent Major Changes (RECENT MAJOR CHANGES)

Dosage and Administration, Dosage in Patients Taking Cyclosporine, Clarithromycin, Itraconazole, or Certain Protease Inhibitors ( 2.6)                                                                                                                                                                 4/2019

Warnings and Precautions, Skeletal Muscle ( 5.1)                                                                                                     4/2019

12.2 Pharmacodynamics

Atorvastatin calcium, as well as some of its metabolites, are pharmacologically active in humans. The liver is the primary site of action and the principal site of cholesterol synthesis and LDL clearance. Drug dosage, rather than systemic drug concentration, correlates better with LDL-C reduction. Individualization of drug dosage should be based on therapeutic response [see Dosage and Administration (2)].

5.2 Liver Dysfunction

Statins, like some other lipid-lowering therapies, have been associated with biochemical abnormalities of liver function. Persistent elevations (>3 times the upper limit of normal [ULN] occurring on 2 or more occasions) in serum transaminases occurred in 0.7% of patients who received atorvastatin calcium in clinical trials. The incidence of these abnormalities was 0.2%, 0.2%, 0.6%, and 2.3% for 10, 20, 40, and 80 mg, respectively.

One patient in clinical trials developed jaundice. Increases in liver function tests (LFT) in other patients were not associated with jaundice or other clinical signs or symptoms. Upon dose reduction, drug interruption, or discontinuation, transaminase levels returned to or near pretreatment levels without sequelae. Eighteen of 30 patients with persistent LFT elevations continued treatment with a reduced dose of atorvastatin calcium.

It is recommended that liver enzyme tests be obtained prior to initiating therapy with atorvastatin calcium and repeated as clinically indicated. There have been rare postmarketing reports of fatal and non-fatal hepatic failure in patients taking statins, including atorvastatin. If serious liver injury with clinical symptoms and/or hyperbilirubinemia or jaundice occurs during treatment with atorvastatin calcium, promptly interrupt therapy. If an alternate etiology is not found, do not restart atorvastatin calcium.

Atorvastatin calcium should be used with caution in patients who consume substantial quantities of alcohol and/or have a history of liver disease. Active liver disease or unexplained persistent transaminase elevations are contraindications to the use of atorvastatin calcium [see Contraindications (4) ].

1.3 Limitations of Use

Atorvastatin calcium tablets have not been studied in conditions where the major lipoprotein abnormality is elevation of chylomicrons (Fredrickson Types I and V).

5.3 Endocrine Function

Increases in HbA1c and fasting serum glucose levels have been reported with HMG-CoA reductase inhibitors, including atorvastatin calcium.

Statins interfere with cholesterol synthesis and theoretically might blunt adrenal and/or gonadal steroid production. Clinical studies have shown that atorvastatin calcium does not reduce basal plasma cortisol concentration or impair adrenal reserve. The effects of statins on male fertility have not been studied in adequate numbers of patients. The effects, if any, on the pituitary-gonadal axis in premenopausal women are unknown. Caution should be exercised if a statin is administered concomitantly with drugs that may decrease the levels or activity of endogenous steroid hormones, such as ketoconazole, spironolactone, and cimetidine.

8.6 Hepatic Impairment

Atorvastatin calcium is contraindicated in patients with active liver disease which may include unexplained persistent elevations in hepatic transaminase levels [see Contraindications (4) and Clinical Pharmacology (12.3)].

1 Indications and Usage (1 INDICATIONS AND USAGE)

Therapy with lipid-altering agents should be only one component of multiple risk factor intervention in individuals at significantly increased risk for atherosclerotic vascular disease due to hypercholesterolemia. Drug therapy is recommended as an adjunct to diet when the response to a diet restricted in saturated fat and cholesterol and other nonpharmacologic measures alone has been inadequate. In patients with CHD or multiple risk factors for CHD, atorvastatin calcium tablets can be started simultaneously with diet.

12.1 Mechanism of Action

Atorvastatin calcium is a selective, competitive inhibitor of HMG-CoA reductase, the rate-limiting enzyme that converts 3-hydroxy-3-methylglutaryl-coenzyme A to mevalonate, a precursor of sterols, including cholesterol. In animal models, atorvastatin calcium lowers plasma cholesterol and lipoprotein levels by inhibiting HMG-CoA reductase and cholesterol synthesis in the liver and by increasing the number of hepatic LDL receptors on the cell surface to enhance uptake and catabolism of LDL; atorvastatin calcium also reduces LDL production and the number of LDL particles.

7.10 Oral Contraceptives

Co-administration of atorvastatin calcium and an oral contraceptive increased AUC values for norethindrone and ethinyl estradiol [see Clinical Pharmacology (12.3)]. These increases should be considered when selecting an oral contraceptive for a woman taking atorvastatin calcium.

14.3 Hypertriglyceridemia

The response to atorvastatin calcium in 64 patients with isolated hypertriglyceridemia ( Fredrickson Type IV) treated across several clinical trials is shown in the table below ( Table 9). For the atorvastatin calcium-treated patients, median (min, max) baseline TG level was 565 (267 to1502).

TABLE 9. Combined Patients With Isolated Elevated TG: Median (min, max) Percentage Change From Baseline
Placebo

(N=12)
Atorvastatin Calcium 10 mg

(N=37)
Atorvastatin Calcium 20 mg

(N=13)
Atorvastatin Calcium 80 mg

(N=14)
Triglycerides -12.4 (-36.6, 82.7) -41.0 (-76.2, 49.4) -38.7 (-62.7, 29.5) -51.8 (-82.8, 41.3)
Total-C -2.3 (-15.5, 24.4) -28.2 (-44.9, -6.8) -34.9 (-49.6, -15.2) -44.4 (-63.5, -3.8)
LDL-C 3.6 (-31.3, 31.6) -26.5 (-57.7, 9.8) -30.4 (-53.9, 0.3) -40.5 (-60.6, -13.8)
HDL-C 3.8 (-18.6, 13.4) 13.8 (-9.7, 61.5) 11.0 (-3.2, 25.2) 7.5 (-10.8, 37.2)
VLDL-C -1.0 (-31.9, 53.2) -48.8 (-85.8, 57.3) -44.6 (-62.2, -10.8) -62.0 (-88.2, 37.6)
non-HDL-C -2.8 (-17.6, 30.0) -33.0 (-52.1, -13.3) -42.7 (-53.7, -17.4) -51.5 (-72.9, -4.3)
17.3 Embryofetal Toxicity

Advise females of reproductive potential of the risk to a fetus, to use effective contraception during treatment and to inform their healthcare provider of a known or suspected pregnancy [see Contraindications (4) and Use in Specific Populations (8.1, 8.3)].

5 Warnings and Precautions (5 WARNINGS AND PRECAUTIONS)

Skeletal muscle effects (e.g., myopathy and rhabdomyolysis): Risks increase when higher doses are used concomitantly with cyclosporine and strong CYP3A4 inhibitors (e.g., clarithromycin, itraconazole, human immunodeficiency virus (HIV) or hepatitis C virus (HCV) protease inhibitors). Predisposing factors include advanced age (> 65), uncontrolled hypothyroidism, and renal impairment. Rare cases of rhabdomyolysis with acute renal failure secondary to myoglobinuria have been reported. Advise patients to promptly report to their physician unexplained and/or persistent muscle pain, tenderness, or weakness. Atorvastatin calcium therapy should be discontinued if myopathy is diagnosed or suspected ( 2.6, 5.1, 8.5).



Liver enzyme abnormalities: Persistent elevations in hepatic transaminases can occur. Check liver enzyme tests before initiating therapy and as clinically indicated thereafter ( 5.2).



A higher incidence of hemorrhagic stroke was seen in patients without CHD but with stroke or TIA within the previous 6 months in the atorvastatin calcium 80 mg group vs. placebo ( 5.5).

14.4 Dysbetalipoproteinemia

The results of an open-label crossover study of 16 patients (genotypes: 14 apo E2/E2 and 2 apo E3/E2) with dysbetalipoproteinemia (Fredrickson Type III) are shown in the table below ( Table 10).

TABLE 10. Open-Label Crossover Study of 16 Patients With Dysbetalipoproteinemia (Fredrickson Type III)
Median % Change (min, max)
Median (min, max) at Baseline (mg/dL) Atorvastatin Calcium 10 mg Atorvastatin Calcium 80 mg
Total-C 442 (225, 1320) -37 (-85, 17) -58 (-90, -31)
Triglycerides 678 (273, 5990) -39 (-92, -8) -53 (-95, -30)
IDL-C + VLDL-C 215 (111, 613) -32 (-76, 9) -63 (-90, -8)
non-HDL-C 411 (218, 1272) -43 (-87, -19) -64 (-92, -36)
2 Dosage and Administration (2 DOSAGE AND ADMINISTRATION)
  • Dose range: 10 to 80 mg once daily 2.1).
  • Recommended start dose: 10 or 20 mg once daily ( 2.1).
  • Patients requiring large LDL-C reduction (>45%) may start at 40 mg once daily ( 2.1).
  • Pediatric patients with HeFH: starting dose: 10 mg once daily; dose range: 10 to 20 mg/day for patients 10 years to 17 years of age ( 2.2).
3 Dosage Forms and Strengths (3 DOSAGE FORMS AND STRENGTHS)

Atorvastatin calcium tablets USP are white to off white, oval, biconvex, film-coated, and are available in four strengths (see Table 1).

Table 1: Atorvastatin Calcium Tablet Strengths and Identifying Features
Tablet Strength Identifying Features
10 mg of atorvastatin debossed with “FF1” on one side and plain on other side
20 mg of atorvastatin debossed with “FF2” on one side and plain on other side
40 mg of atorvastatin debossed with “FF3” on one side and plain on other side
80 mg of atorvastatin debossed with “FF4” on one side and plain on other side
6.2 Postmarketing Experience

The following adverse reactions have been identified during post-approval use of atorvastatin calcium. Because these reactions are reported voluntarily from a population of uncertain size, it is not always possible to reliably estimate their frequency or establish a causal relationship to drug exposure.

Adverse reactions associated with atorvastatin calcium therapy reported since market introduction, that are not listed above, regardless of causality assessment, include the following: anaphylaxis, angioneurotic edema, bullous rashes (including erythema multiforme, Stevens-Johnson syndrome, and toxic epidermal necrolysis), rhabdomyolysis, myositis, fatigue, tendon rupture, fatal and non-fatal hepatic failure, dizziness, depression, peripheral neuropathy, pancreatitis and interstitial lung disease.

There have been rare reports of immune-mediated necrotizing myopathy associated with statin use [see Warnings and Precautions (5.1)].

There have been rare postmarketing reports of cognitive impairment (e.g., memory loss, forgetfulness, amnesia, memory impairment, confusion) associated with statin use. These cognitive issues have been reported for all statins. The reports are generally nonserious, and reversible upon statin discontinuation, with variable times to symptom onset (1 day to years) and symptom resolution (median of 3 weeks).

8 Use in Specific Populations (8 USE IN SPECIFIC POPULATIONS)
  • Hepatic impairment: Plasma concentrations markedly increased in patients with chronic alcoholic liver disease ( 8.6, 12.3).
  • Females of reproductive potential: Advise females of reproductive potential to use effective contraception during treatment with atorvastatin calcium ( 8.3).
6.1 Clinical Trials Experience

Because clinical trials are conducted under widely varying conditions, the adverse reaction rates observed in the clinical trials of a drug cannot be directly compared to rates in the clinical trials of another drug and may not reflect the rates observed in clinical practice.

In the atorvastatin calcium placebo-controlled clinical trial database of 16,066 patients (8755 atorvastatin calcium vs. 7311 placebo; age range 10 to 93 years, 39% women, 91% Caucasians, 3% Blacks, 2% Asians, 4% other) with a median treatment duration of 53 weeks, 9.7% of patients on atorvastatin calcium and 9.5% of the patients on placebo discontinued due to adverse reactions regardless of causality. The five most common adverse reactions in patients treated with atorvastatin calcium that led to treatment discontinuation and occurred at a rate greater than placebo were: myalgia (0.7%), diarrhea (0.5%), nausea (0.4%), alanine aminotransferase increase (0.4%), and hepatic enzyme increase (0.4%).

The most commonly reported adverse reactions (incidence ≥ 2% and greater than placebo) regardless of causality, in patients treated with atorvastatin calcium in placebo controlled trials (n=8755) were: nasopharyngitis (8.3%), arthralgia (6.9%), diarrhea (6.8%), pain in extremity (6.0%), and urinary tract infection (5.7%).

Table 3 summarizes the frequency of clinical adverse reactions, regardless of causality, reported in ≥ 2% and at a rate greater than placebo in patients treated with atorvastatin calcium (n=8755), from seventeen placebo-controlled trials.

Table 3. Clinical adverse reactions occurring in ≥ 2% in patients treated with any dose of atorvastatin calcium and at an incidence greater than placebo regardless of causality (% of patients).
*Adverse Reaction ≥ 2% in any dose greater than placebo
Adverse Reaction Any dose

N=8755
10 mg

N=3908
20 mg

N=188
40 mg

N=604
80 mg

N=4055
Placebo

N=7311
Nasopharyngitis 8.3 12.9 5.3 7.0 4.2 8.2
Arthralgia 6.9 8.9 11.7 10.6 4.3 6.5
Diarrhea 6.8 7.3 6.4 14.1 5.2 6.3
Pain in extremity 6.0 8.5 3.7 9.3 3.1 5.9
Urinary tract infection 5.7 6.9 6.4 8.0 4.1 5.6
Dyspepsia 4.7 5.9 3.2 6.0 3.3 4.3
Nausea 4.0 3.7 3.7 7.1 3.8 3.5
Musculoskeletal pain 3.8 5.2 3.2 5.1 2.3 3.6
Muscle Spasms 3.6 4.6 4.8 5.1 2.4 3.0
Myalgia 3.5 3.6 5.9 8.4 2.7 3.1
Insomnia 3.0 2.8 1.1 5.3 2.8 2.9
Pharyngolaryngeal pain 2.3 3.9 1.6 2.8 0.7 2.1

Other adverse reactions reported in placebo-controlled studies include:

Body as a whole: malaise, pyrexia; Digestive system: abdominal discomfort, eructation, flatulence, hepatitis, cholestasis; Musculoskeletal system: musculoskeletal pain, muscle fatigue, neck pain, joint swelling; Metabolic and nutritional system: transaminases increase, liver function test abnormal, blood alkaline phosphatase increase, creatine phosphokinase increase, hyperglycemia; Nervous system: nightmare; Respiratory system: epistaxis; Skin and appendages: urticaria; Special senses: vision blurred, tinnitus; Urogenital system: white blood cells urine positive.

7.1 Strong Inhibitors of Cyp 3a4 (7.1 Strong Inhibitors of CYP 3A4)

Atorvastatin calcium is metabolized by cytochrome P450 3A4. Concomitant administration of atorvastatin calcium with strong inhibitors of CYP 3A4 can lead to increases in plasma concentrations of atorvastatin. The extent of interaction and potentiation of effects depend on the variability of effect on CYP 3A4.

17 Patient Counseling Information (17 PATIENT COUNSELING INFORMATION)

Advise the patient to read the FDA-approved patient labeling ( Patient Information).

Patients taking atorvastatin calcium should be advised that cholesterol is a chronic condition and they should adhere to their medication along with their National Cholesterol Education Program (NCEP)-recommended diet, a regular exercise program as appropriate, and periodic testing of a fasting lipid panel to determine goal attainment.

Patients should be advised about substances they should not take concomitantly with atorvastatin [see Warnings and Precautions (5.1)] . Patients should also be advised to inform other healthcare professionals prescribing a new medication that they are taking atorvastatin calcium.

16 How Supplied/storage and Handling (16 HOW SUPPLIED/STORAGE AND HANDLING)

Atorvastatin calcium tablets USP 40 mg(40 mg of atorvastatin): White to off-white, oval shaped, biconvex, film coated tablets, debossed with FF3 on one side and plain on other side.

NDC 68071-5194-3 BOTTLES OF 30

2.4 Concomitant Lipid Lowering Therapy (2.4 Concomitant Lipid-Lowering Therapy)

Atorvastatin calcium tablets may be used with bile acid resins. The combination of HMG-CoA reductase inhibitors (statins) and fibrates should generally be used with caution [see Warnings and Precautions (5.1), and Drug Interactions (7)].

14.1 Prevention of Cardiovascular Disease

In the Anglo-Scandinavian Cardiac Outcomes Trial (ASCOT), the effect of atorvastatin calcium on fatal and non-fatal coronary heart disease was assessed in 10,305 hypertensive patients 40 to 80 years of age (mean of 63 years), without a previous myocardial infarction and with TC levels ≤251 mg/dL (6.5 mmol/L). Additionally, all patients had at least 3 of the following cardiovascular risk factors: male gender (81.1%), age >55 years (84.5%), smoking (33.2%), diabetes (24.3%), history of CHD in a first-degree relative (26%), TC:HDL >6 (14.3%), peripheral vascular disease (5.1%), left ventricular hypertrophy (14.4%), prior cerebrovascular event (9.8%), specific ECG abnormality (14.3%), proteinuria/albuminuria (62.4%). In this double-blind, placebo-controlled study, patients were treated with anti-hypertensive therapy (Goal BP <140/90 mm Hg for non-diabetic patients; <130/80 mm Hg for diabetic patients) and allocated to either atorvastatin calcium 10 mg daily (n=5168) or placebo (n=5137), using a covariate adaptive method which took into account the distribution of nine baseline characteristics of patients already enrolled and minimized the imbalance of those characteristics across the groups. Patients were followed for a median duration of 3.3 years.

The effect of 10 mg/day of atorvastatin calcium on lipid levels was similar to that seen in previous clinical trials.

Atorvastatin calcium significantly reduced the rate of coronary events [either fatal coronary heart disease (46 events in the placebo group vs. 40 events in the atorvastatin calcium group) or non-fatal MI (108 events in the placebo group vs. 60 events in the atorvastatin calcium group)] with a relative risk reduction of 36% [(based on incidences of 1.9% for atorvastatin calcium vs. 3.0% for placebo), p=0.0005 (see Figure 1)]. The risk reduction was consistent regardless of age, smoking status, obesity, or presence of renal dysfunction. The effect of atorvastatin calcium was seen regardless of baseline LDL levels. Due to the small number of events, results for women were inconclusive.

Figure 1: Effect of Atorvastatin calcium 10 mg/day on Cumulative Incidence of Non-Fatal Myocardial Infarction or Coronary Heart Disease Death (in ASCOT-LLA)

Atorvastatin calcium also significantly decreased the relative risk for revascularization procedures by 42% (incidences of 1.4% for atorvastatin calcium and 2.5% for placebo). Although the reduction of fatal and non-fatal strokes did not reach a pre-defined significance level (p=0.01), a favorable trend was observed with a 26% relative risk reduction (incidences of 1.7% for atorvastatin calcium and 2.3% for placebo). There was no significant difference between the treatment groups for death due to cardiovascular causes (p=0.51) or noncardiovascular causes (p=0.17).

In the Collaborative Atorvastatin Diabetes Study (CARDS), the effect of atorvastatin calcium on cardiovascular disease (CVD) endpoints was assessed in 2838 subjects (94% white, 68% male), ages 40 to 75 with type 2 diabetes based on WHO criteria, without prior history of cardiovascular disease and with LDL ≤ 160 mg/dL and TG ≤ 600 mg/dL. In addition to diabetes, subjects had 1 or more of the following risk factors: current smoking (23%), hypertension (80%), retinopathy (30%), or microalbuminuria (9%) or macroalbuminuria (3%). No subjects on hemodialysis were enrolled in the study. In this multicenter, placebo-controlled, double-blind clinical trial, subjects were randomly allocated to either atorvastatin calcium 10 mg daily (1429) or placebo (1411) in a 1:1 ratio and were followed for a median duration of 3.9 years. The primary endpoint was the occurrence of any of the major cardiovascular events: myocardial infarction, acute CHD death, unstable angina, coronary revascularization, or stroke. The primary analysis was the time to first occurrence of the primary endpoint.

Baseline characteristics of subjects were: mean age of 62 years, mean HbA 1c 7.7%; median LDL-C 120 mg/dL; median TC 207 mg/dL; median TG 151 mg/dL; median HDL-C 52 mg/dL.

The effect of atorvastatin calcium 10 mg/day on lipid levels was similar to that seen in previous clinical trials.

Atorvastatin calcium significantly reduced the rate of major cardiovascular events (primary endpoint events) (83 events in the atorvastatin calcium group vs. 127 events in the placebo group) with a relative risk reduction of 37%, HR 0.63, 95% CI (0.48, 0.83) (p=0.001) (see Figure 2). An effect of atorvastatin calcium was seen regardless of age, sex, or baseline lipid levels.

Atorvastatin calcium significantly reduced the risk of stroke by 48% (21 events in the atorvastatin calcium group vs. 39 events in the placebo group), HR 0.52, 95% CI (0.31, 0.89) (p=0.016) and reduced the risk of MI by 42% (38 events in the atorvastatin calcium group vs. 64 events in the placebo group), HR 0.58, 95.1% CI (0.39, 0.86) (p=0.007). There was no significant difference between the treatment groups for angina, revascularization procedures, and acute CHD death.

There were 61 deaths in the atorvastatin calcium group vs. 82 deaths in the placebo group (HR 0.73, p=0.059).

Figure 2: Effect of Atorvastatin calcium 10 mg/day on Time to Occurrence of Major Cardiovascular Event (myocardial infarction, acute CHD death, unstable angina, coronary revascularization, or stroke) in CARDS

In the Treating to New Targets Study (TNT), the effect of atorvastatin calcium 80 mg/day vs. atorvastatin calcium 10 mg/day on the reduction in cardiovascular events was assessed in 10,001 subjects (94% white, 81% male, 38% ≥65 years) with clinically evident coronary heart disease who had achieved a target LDL-C level <130 mg/dL after completing an 8-week, open-label, run-in period with atorvastatin calcium 10 mg/day. Subjects were randomly assigned to either 10 mg/day or 80 mg/day of atorvastatin calcium and followed for a median duration of 4.9 years. The primary endpoint was the time-to-first occurrence of any of the following major cardiovascular events (MCVE): death due to CHD, non-fatal myocardial infarction, resuscitated cardiac arrest, and fatal and non-fatal stroke. The mean LDL-C, TC, TG, non-HDL, and HDL cholesterol levels at 12 weeks were 73, 145, 128, 98, and 47 mg/dL during treatment with 80 mg of atorvastatin calcium and 99, 177, 152, 129, and 48 mg/dL during treatment with 10 mg of atorvastatin calcium.

Treatment with atorvastatin calcium 80 mg/day significantly reduced the rate of MCVE (434 events in the 80 mg/day group vs. 548 events in the 10 mg/day group) with a relative risk reduction of 22%, HR 0.78, 95% CI (0.69, 0.89), p=0.0002 (see Figure 3 and Table 6). The overall risk reduction was consistent regardless of age (<65, ≥65) or gender.

Figure 3: Effect of Atorvastatin calcium 80 mg/day vs. 10 mg/day on Time to Occurrence of Major Cardiovascular Events (TNT)

TABLE 6. Overview of Efficacy Results in TNT
Endpoint Atorvastatin

10 mg

(N=5006)
Atorvastatin

80 mg

(N=4995)
HR
Atorvastatin 80 mg: atorvastatin 10 mg
(95%CI)
PRIMARY ENDPOINT n (%) n (%)
First major cardiovascular endpoint 548 (10.9) 434 (8.7) 0.78 (0.69, 0.89)
Components of the Primary Endpoint
  CHD death 127 (2.5) 101 (2.0) 0.80 (0.61, 1.03)
  Non-fatal, non-procedure related MI 308 (6.2) 243 (4.9) 0.78 (0.66, 0.93)
  Resuscitated cardiac arrest 26 (0.5) 25 (0.5) 0.96 (0.56, 1.67)
  Stroke (fatal and non-fatal) 155 (3.1) 117 (2.3) 0.75 (0.59, 0.96)
SECONDARY ENDPOINTS
Secondary endpoints not included in primary endpoint
First CHF with hospitalization 164 (3.3) 122 (2.4) 0.74 (0.59, 0.94)
First PVD endpoint 282 (5.6) 275 (5.5) 0.97 (0.83, 1.15)
First CABG or other coronary revascularization procedure
Component of other secondary endpoints HR=hazard ratio; CHD=coronary heart disease; CI=confidence interval; MI=myocardial infarction; CHF=congestive heart failure; CV=cardiovascular; PVD=peripheral vascular disease; CABG=coronary artery bypass graft Confidence intervals for the Secondary Endpoints were not adjusted for multiple comparisons
904 (18.1) 667 (13.4) 0.72 (0.65, 0.80)
First documented angina endpoint
615 (12.3) 545 (10.9) 0.88 (0.79, 0.99)
All-cause mortality 282 (5.6) 284 (5.7) 1.01 (0.85, 1.19)
Components of All-Cause Mortality
  Cardiovascular death 155 (3.1) 126 (2.5) 0.81 (0.64, 1.03)
  Noncardiovascular death 127 (2.5) 158 (3.2) 1.25 (0.99, 1.57)
    Cancer death 75 (1.5) 85 (1.7) 1.13 (0.83, 1.55)
   Other non-CV death 43 (0.9) 58 (1.2) 1.35 (0.91, 2.00)
    Suicide, homicide, and othertraumatic non-CV death 9 (0.2) 15 (0.3) 1.67 (0.73, 3.82)

Of the events that comprised the primary efficacy endpoint, treatment with atorvastatin calcium 80 mg/day significantly reduced the rate of non-fatal, non-procedure related MI and fatal and non-fatal stroke, but not CHD death or resuscitated cardiac arrest ( Table 6). Of the predefined secondary endpoints, treatment with atorvastatin calcium 80 mg/day significantly reduced the rate of coronary revascularization, angina, and hospitalization for heart failure, but not peripheral vascular disease. The reduction in the rate of CHF with hospitalization was only observed in the 8% of patients with a prior history of CHF.

There was no significant difference between the treatment groups for all-cause mortality ( Table 6). The proportions of subjects who experienced cardiovascular death, including the components of CHD death and fatal stroke, were numerically smaller in the atorvastatin calcium 80 mg group than in the atorvastatin calcium 10 mg treatment group. The proportions of subjects who experienced noncardiovascular death were numerically larger in the atorvastatin calcium 80 mg group than in the atorvastatin calcium 10 mg treatment group.

In the Incremental Decrease in Endpoints Through Aggressive Lipid Lowering Study (IDEAL), treatment with atorvastatin calcium 80 mg/day was compared to treatment with simvastatin 20 to 40 mg/day in 8,888 subjects up to 80 years of age with a history of CHD to assess whether reduction in CV risk could be achieved. Patients were mainly male (81%), white (99%) with an average age of 61.7 years, and an average LDL-C of 121.5 mg/dL at randomization; 76% were on statin therapy. In this prospective, randomized, open-label, blinded endpoint (PROBE) trial with no run-in period, subjects were followed for a median duration of 4.8 years. The mean LDL-C, TC, TG, HDL, and non-HDL cholesterol levels at Week 12 were 78, 145, 115, 45, and 100 mg/dL during treatment with 80 mg of atorvastatin calcium and 105, 179, 142, 47, and 132 mg/dL during treatment with 20 to 40 mg of simvastatin.

There was no significant difference between the treatment groups for the primary endpoint, the rate of first major coronary event (fatal CHD, non-fatal MI, and resuscitated cardiac arrest): 411 (9.3%) in the atorvastatin calcium 80 mg/day group vs. 463 (10.4%) in the simvastatin 20 to 40 mg/day group, HR 0.89, 95% CI ( 0.78, 1.01), p=0.07.

There were no significant differences between the treatment groups for all-cause mortality: 366 (8.2%) in the atorvastatin calcium 80 mg/day group vs. 374 (8.4%) in the simvastatin 20 to 40 mg/day group. The proportions of subjects who experienced CV or non-CV death were similar for the atorvastatin calcium 80 mg group and the simvastatin 20 to 40 mg group.

2.1 Hyperlipidemia and Mixed Dyslipidemia

The recommended starting dose of atorvastatin calcium tablet is 10 or 20 mg once daily. Patients who require a large reduction in LDL-C (more than 45%) may be started at 40 mg once daily. The dosage range of atorvastatin calcium tablet is 10 to 80 mg once daily. Atorvastatin calcium tablets can be administered as a single dose at any time of the day, with or without food. The starting dose and maintenance doses of atorvastatin calcium tablets should be individualized according to patient characteristics such as goal of therapy and response. After initiation and/or upon titration of atorvastatin calcium tablets, lipid levels should be analyzed within 2 to 4 weeks and dosage adjusted accordingly.

14.2 Hyperlipidemia and Mixed Dyslipidemia

Atorvastatin calcium reduces total-C, LDL-C, VLDL-C, apo B, and TG, and increases HDL-C in patients with hyperlipidemia (heterozygous familial and nonfamilial) and mixed dyslipidemia ( Fredrickson Types IIa and IIb). Therapeutic response is seen within 2 weeks, and maximum response is usually achieved within 4 weeks and maintained during chronic therapy.

Atorvastatin calcium is effective in a wide variety of patient populations with hyperlipidemia, with and without hypertriglyceridemia, in men and women, and in the elderly.

In two multicenter, placebo-controlled, dose-response studies in patients with hyperlipidemia, atorvastatin calcium given as a single dose over 6 weeks, significantly reduced total-C, LDL-C, apo B, and TG. (Pooled results are provided in Table 7.)

TABLE 7. Dose Response in Patients With Primary Hyperlipidemia (Adjusted Mean % Change From Baseline) a
Dose N TC LDL-C Apo B TG HDL-C Non-HDL-C/ HDL-C
aResults are pooled from 2 dose-response studies.
Placebo 21 4 4 3 10 -3 7
10 22 -29 -39 -32 -19 6 -34
20 20 -33 -43 -35 -26 9 -41
40 21 -37 -50 -42 -29 6 -45
80 23 -45 -60 -50 -37 5 -53

In patients with Fredrickson Types IIa and IIb hyperlipoproteinemia pooled from 24 controlled trials, the median (25 th and 75 th percentile) percent changes from baseline in HDL-C for atorvastatin calcium 10, 20, 40, and 80 mg were 6.4 (-1.4, 14), 8.7 (0, 17), 7.8 (0, 16), and 5.1 (-2.7, 15), respectively. Additionally, analysis of the pooled data demonstrated consistent and significant decreases in total-C, LDL-C, TG, total-C/HDL-C, and LDL-C/HDL-C.

In three multicenter, double-blind studies in patients with hyperlipidemia, atorvastatin calcium was compared to other statins. After randomization, patients were treated for 16 weeks with either atorvastatin calcium 10 mg per day or a fixed dose of the comparative agent ( Table 8).

TABLE 8. Mean Percentage Change From Baseline at Endpoint (Double-Blind, Randomized, Active-Controlled Trials)
Treatment

(Daily Dose)
N Total-C LDL-C Apo B TG HDL-C Non-HDL-C/ HDL-C
Study 1
Atorvastatin Calcium 10 mg 707 -27
A negative value for the 95% CI for the difference between treatments favors atorvastatin calcium for all except HDL-C, for which a positive value favors atorvastatin calcium. If the range does not include 0, this indicates a statistically significant difference.
-36
-28
-17
+7 -37
Lovastatin 20 mg 191 -19 -27 -20 -6 +7 -28
95% CI for Diff
Significantly different from lovastatin, ANCOVA, p ≤0.05
-9.2, -6.5 -10.7, -7.1 -10.0, -6.5 -15.2, -7.1 -1.7, 2.0 -11.1, -7.1
Study 2
Atorvastatin Calcium 10 mg 222 -25
Significantly different from pravastatin, ANCOVA, p ≤0.05
-35
-27
-17
+6 -36
Pravastatin 20 mg 77 -17 -23 -17 -9 +8 -28
95% CI for Diff
-10.8, -6.1 -14.5, -8.2 -13.4, -7.4 -14.1, -0.7 -4.9, 1.6 -11.5, -4.1
Study 3
Atorvastatin Calcium 10 mg 132 -29
Significantly different from simvastatin, ANCOVA, p ≤0.05
-37
-34
-23
+7 -39
Simvastatin 10 mg 45 -24 -30 -30 -15 +7 -33
95% CI for Diff
-8.7, -2.7 -10.1, -2.6 -8.0, -1.1 -15.1, -0.7 -4.3, 3.9 -9.6, -1.9

The impact on clinical outcomes of the differences in lipid-altering effects between treatments shown in Table 8 is not known. Table 8 does not contain data comparing the effects of atorvastatin calcium 10 mg and higher doses of lovastatin, pravastatin, and simvastatin. The drugs compared in the studies summarized in the table are not necessarily interchangeable.

2.3 Homozygous Familial Hypercholesterolemia

The dosage of atorvastatin calcium tablets in patients with HoFH is 10 to 80 mg daily. Atorvastatin calcium tablets should be used as an adjunct to other lipid-lowering treatments (e.g., LDL apheresis) in these patients or if such treatments are unavailable.

2.5 Dosage in Patients With Renal Impairment (2.5 Dosage in Patients with Renal Impairment)

Renal disease does not affect the plasma concentrations nor LDL-C reduction of atorvastatin calcium tablets; thus, dosage adjustment in patients with renal dysfunction is not necessary [see Warnings and Precautions (5.1), and Clinical Pharmacology (12.3)].

14.5 Homozygous Familial Hypercholesterolemia

In a study without a concurrent control group, 29 patients ages 6 years to 37 years with HoFH received maximum daily doses of 20 to 80 mg of atorvastatin calcium. The mean LDL-C reduction in this study was 18%. Twenty-five patients with a reduction in LDL-C had a mean response of 20% (range of 7% to 53%, median of 24%); the remaining 4 patients had 7% to 24% increases in LDL-C. Five of the 29 patients had absent LDL-receptor function. Of these, 2 patients also had a portacaval shunt and had no significant reduction in LDL-C. The remaining 3 receptor-negative patients had a mean LDL-C reduction of 22%.

5.5 Use in Patients With Recent Stroke Or Tia (5.5 Use in Patients with Recent Stroke or TIA)

In a post-hoc analysis of the Stroke Prevention by Aggressive Reduction in Cholesterol Levels (SPARCL) study where atorvastatin calcium 80 mg vs. placebo was administered in 4,731 subjects without CHD who had a stroke or TIA within the preceding 6 months, a higher incidence of hemorrhagic stroke was seen in the atorvastatin calcium 80 mg group compared to placebo (55, 2.3% atorvastatin vs. 33, 1.4% placebo; HR: 1.68, 95% CI: 1.09, 2.59; p=0.0168). The incidence of fatal hemorrhagic stroke was similar across treatment groups (17 vs. 18 for the atorvastatin and placebo groups, respectively). The incidence of nonfatal hemorrhagic stroke was significantly higher in the atorvastatin group (38, 1.6%) as compared to the placebo group (16, 0.7%). Some baseline characteristics, including hemorrhagic and lacunar stroke on study entry, were associated with a higher incidence of hemorrhagic stroke in the atorvastatin group [see Adverse Reactions (6.1) ].

8.3 Females and Males of Reproductive Potential

Contraception

Atorvastatin calcium tablets may cause fetal harm when administered to a pregnant woman. Advise females of reproductive potential to use effective contraception during treatment with atorvastatin calcium tablets [see Use in Specific Populations (8.1)].

1.1 Prevention of Cardiovascular Disease in Adults

In adult patients without clinically evident coronary heart disease, but with multiple risk factors for coronary heart disease such as age, smoking, hypertension, low HDL-C, or a family history of early coronary heart disease, atorvastatin calcium tablet is indicated to:

  • Reduce the risk of myocardial infarction
  • Reduce the risk of stroke
  • Reduce the risk for revascularization procedures and angina

In adult patients with type 2 diabetes, and without clinically evident coronary heart disease, but with multiple risk factors for coronary heart disease such as retinopathy, albuminuria, smoking, or hypertension, atorvastatin calcium tablet is indicated to:

  • Reduce the risk of myocardial infarction
  • Reduce the risk of stroke

In adult patients with clinically evident coronary heart disease, atorvastatin calcium tablet is indicated to:

  • Reduce the risk of non-fatal myocardial infarction
  • Reduce the risk of fatal and non-fatal stroke
  • Reduce the risk for revascularization procedures
  • Reduce the risk of hospitalization for CHF
  • Reduce the risk of angina
7.8 Rifampin Or Other Inducers of Cytochrome P450 3a4 (7.8 Rifampin or other Inducers of Cytochrome P450 3A4)

Concomitant administration of atorvastatin calcium with inducers of cytochrome P450 3A4 (e.g., efavirenz, rifampin) can lead to variable reductions in plasma concentrations of atorvastatin. Due to the dual interaction mechanism of rifampin, simultaneous co-administration of atorvastatin calcium with rifampin is recommended, as delayed administration of atorvastatin calcium after administration of rifampin has been associated with a significant reduction in atorvastatin plasma concentrations.

13.1 Carcinogenesis, Mutagenesis, Impairment of Fertility

In a 2-year carcinogenicity study in rats at dose levels of 10, 30, and 100 mg/kg/day, 2 rare tumors were found in muscle in high-dose females: in one, there was a rhabdomyosarcoma and, in another, there was a fibrosarcoma. This dose represents a plasma AUC (0 to 24) value of approximately 16 times the mean human plasma drug exposure after an 80 mg oral dose.

A 2-year carcinogenicity study in mice given 100, 200, or 400 mg/kg/day resulted in a significant increase in liver adenomas in high-dose males and liver carcinomas in high-dose females. These findings occurred at plasma AUC (0 to 24) values of approximately 6 times the mean human plasma drug exposure after an 80 mg oral dose.

In vitro, atorvastatin was not mutagenic or clastogenic in the following tests with and without metabolic activation: the Ames test with Salmonella typhimurium and Escherichia coli, the HGPRT forward mutation assay in Chinese hamster lung cells, and the chromosomal aberration assay in Chinese hamster lung cells. Atorvastatin was negative in the in vivo mouse micronucleus test.

In female rats, atorvastatin at doses up to 225 mg/kg (56 times the human exposure) did not cause adverse effects on fertility. Studies in male rats performed at doses up to 175 mg/kg (15 times the human exposure) produced no changes in fertility. There was aplasia and aspermia in the epididymis of 2 of 10 rats treated with 100 mg/kg/day of atorvastatin for 3 months (16 times the human AUC at the 80 mg dose); testis weights were significantly lower at 30 and 100 mg/kg and epididymal weight was lower at 100 mg/kg. Male rats given 100 mg/kg/day for 11 weeks prior to mating had decreased sperm motility, spermatid head concentration, and increased abnormal sperm. Atorvastatin caused no adverse effects on semen parameters, or reproductive organ histopathology in dogs given doses of 10, 40, or 120 mg/kg for two years.

7.4 Glecaprevir and Pibrentasvir; Elbasvir and Grazoprevir

Concomitant administration of glecaprevir and pibrentasvir or elbasvir and grazoprevir may lead to increased plasma concentrations of atorvastatin and an increased risk of myopathy.

Coadministration of glecaprevir and pibrentasvir with atorvastatin increase plasma concentrations of atorvastatin by 8.3-fold due in part to BCRP, OATP1B1/1B3, and CYP3A inhibition; therefore, coadministration of atorvastatin calcium in patients receiving concomitant medications with products containing glecaprevir and pibrentasvir is not recommended.

Coadministration of elbasvir and grazoprevir with atorvastatin increase plasma concentrations of atorvastatin by 1.9-fold due in part to BCRP, OATP1B1/1B3, and CYP3A inhibition; therefore, the dose of atorvastatin calcium should not exceed 20 mg daily in patients receiving concomitant medications with products containing elbasvir and grazoprevir [see Dosage and Administration (2.6), Warnings and Precautions (5.1), and Clinical Pharmacology (12.3)].

14.6 Heterozygous Familial Hypercholesterolemia in Pediatric Patients

In a double-blind, placebo-controlled study followed by an open-label phase, 187 boys and post-menarchal girls 10 years to 17 years of age (mean age 14.1 years) with heterozygous familial hypercholesterolemia (HeFH) or severe hypercholesterolemia, were randomized to atorvastatin calcium (n=140) or placebo (n=47) for 26 weeks and then all received atorvastatin calcium for 26 weeks. Inclusion in the study required 1) a baseline LDL-C level ≥ 190 mg/dL or 2) a baseline LDL-C level ≥ 160 mg/dL and positive family history of FH or documented premature cardiovascular disease in a first or second-degree relative. The mean baseline LDL-C value was 218.6 mg/dL (range: 138.5 to 385.0 mg/dL) in the atorvastatin calcium group compared to 230.0 mg/dL (range: 160.0 to 324.5 mg/dL) in the placebo group. The dosage of atorvastatin calcium (once daily) was 10 mg for the first 4 weeks and uptitrated to 20 mg if the LDL-C level was > 130 mg/dL. The number of atorvastatin calcium-treated patients who required uptitration to 20 mg after Week 4 during the double-blind phase was 78 (55.7%).

Atorvastatin calcium significantly decreased plasma levels of total-C, LDL-C, triglycerides, and apolipoprotein B during the 26-week double-blind phase (see Table 11).

TABLE 11. Lipid-altering Effects of Atorvastatin Calcium in Adolescent Boys and Girls with Heterozygous Familial Hypercholesterolemia or Severe Hypercholesterolemia (Mean Percentage Change From Baseline at Endpoint in Intention-to-Treat Population)
DOSAGE N Total-C LDL-C HDL-C TG Apolipoprotein B
Placebo 47 -1.5 -0.4 -1.9 1.0 0.7
Atorvastatin Calcium 140 -31.4 -39.6 2.8 -12.0 -34.0

The mean achieved LDL-C value was 130.7 mg/dL (range: 70.0 to 242.0 mg/dL) in the atorvastatin calcium group compared to 228.5 mg/dL (range: 152.0 to 385.0 mg/dL) in the placebo group during the 26-week double-blind phase.

The long-term efficacy of atorvastatin calcium tablets therapy in childhood to reduce morbidity and mortality in adulthood has not been established.

Additional pediatric use information is approved for Pfizer’s LIPITOR (atorvastatin calcium) tablets. However, due to Pfizer’s marketing exclusivity rights, this drug product is not labeled with that pediatric information.

2.2 Heterozygous Familial Hypercholesterolemia in Pediatric Patients (10 Years to 17 Years of Age)

The recommended starting dose of atorvastatin calcium tablet is 10 mg/day; the usual dose range is 10 to 20 mg orally once daily [see Clinical Studies ( 14.6)]. Doses should be individualized according to the recommended goal of therapy [see Indications and Usage ( 1.2) and Clinical Pharmacology ( 12)]. Adjustments should be made at intervals of 4 weeks or more.

2.6 Dosage in Patients Taking Cyclosporine, Clarithromycin, Itraconazole, Or Certain Protease Inhibitors (2.6 Dosage in Patients Taking Cyclosporine, Clarithromycin, Itraconazole, or Certain Protease Inhibitors)

In patients taking cyclosporine or the HIV protease inhibitor tipranavir plus ritonavir or the hepatitis C virus (HCV) protease inhibitor glecaprevir plus pibrentasvir, therapy with atorvastatin calcium should be avoided. In patients with HIV taking lopinavir plus ritonavir, use the lowest dose necessary of atorvastatin calcium. In patients taking clarithromycin, itraconazole, elbasvir plus grazoprevir, or in patients with HIV taking a combination of saquinavir plus ritonavir, darunavir plus ritonavir, fosamprenavir, or fosamprenavir plus ritonavir, therapy with atorvastatin calcium should be limited to 20 mg, and appropriate clinical assessment is recommended to ensure that the lowest dose necessary of atorvastatin calcium is used. In patients taking the HIV protease inhibitor nelfinavir therapy with atorvastatin calcium should be limited to 40 mg. When co-prescribing atorvastatin with other protease inhibitors, appropriate clinical assessment is recommended to ensure that the lowest dose necessary of atorvastatin calcium is used [see Warnings and Precautions (5.1) and Drug Interactions (7)].

                                                                                                    patient Information (                                                                                                    PATIENT INFORMATION)

                                                                                                    Atorvastatin Calcium Tablets

                                                                                                (a-TOR-va-STAT-in KAL-see-um)

Read the Patient Information that comes with atorvastatin calcium tablets before you start taking it and each time you get a refill. There may be new information. This leaflet does not take the place of talking with your doctor about your condition or treatment.

If you have any questions about atorvastatin calcium tablets, ask your doctor or pharmacist.

What are Atorvastatin calcium tablets?

Atorvastatin calcium tablet is a prescription medicine that lowers cholesterol in your blood. It lowers the LDL-C ("bad" cholesterol) and triglycerides in your blood. It can raise your HDL-C ("good" cholesterol) as well. Atorvastatin calcium tablet is for adults and children over 10 whose cholesterol does not come down enough with exercise and a low-fat diet alone.

Atorvastatin calcium tablets can lower the risk for heart attack, stroke, certain types of heart surgery, and chest pain in patients who have heart disease or risk factors for heart disease such as:

  • age, smoking, high blood pressure, low HDL-C, heart disease in the family.

Atorvastatin calcium tablets can lower the risk for heart attack or stroke in patients with diabetes and risk factors such as:

  • eye problems, kidney problems, smoking, or high blood pressure.

Atorvastatin calcium tablets start to work in about 2 weeks.

What is Cholesterol?

Cholesterol and triglycerides are fats that are made in your body. They are also found in foods. You need some cholesterol for good health, but too much is not good for you. Cholesterol and triglycerides can clog your blood vessels. It is especially important to lower your cholesterol if you have heart disease, smoke, have diabetes or high blood pressure, are older, or if heart disease starts early in your family.

Who Should Not Take Atorvastatin Calcium Tablets?

Do not take atorvastatin calcium tablets if you:

  • are pregnant or think you may be pregnant, or are planning to become pregnant. Atorvastatin calcium may harm your unborn baby. If you get pregnant, stop taking atorvastatin calcium tablets and call your doctor right away.
  • are breast feeding . Atorvastatin calcium can pass into your breast milk and may harm your baby.
  • have liver problems.
  • are allergic to atorvastatin calcium tablets or any of its ingredients. The active ingredient is atorvastatin. See the end of this leaflet for a complete list of ingredients in atorvastatin calcium tablets.

Atorvastatin calcium tablets dosing has not been established in children under 10 years of age.

Before You Start Atorvastatin calcium tablets

Tell your doctor if you:

  • have muscle aches or weakness
  • drink more than 2 glasses of alcohol daily
  • have diabetes
  • have a thyroid problem
  • have kidney problems

Some medicines should not be taken with atorvastatin calcium tablets. Tell your doctor about all the medicines you take, including prescription and non-prescription medicines, vitamins, and herbal supplements. Atorvastatin calcium tablets and certain other medicines can interact causing serious side effects. Especially tell your doctor if you take medicines for:

  • your immune system
  • cholesterol
  • infections
  • birth control
  • heart failure
  • HIV or AIDS
  • hepatitis C virus

Know all the medicines you take. Keep a list of them with you to show your doctor and pharmacist.

How Should I Take Atorvastatin calcium tablets?

  • Take atorvastatin calcium tablets exactly as prescribed by your doctor. Do not change your dose or stop atorvastatin calcium tablets without talking to your doctor. Your doctor may do blood tests to check your cholesterol levels during your treatment with atorvastatin calcium tablets. Your dose of atorvastatin calcium tablets may be changed based on these blood test results.
  • Take atorvastatin calcium tablets each day at any time of day at about the same time each day. Atorvastatin calcium tablets can be taken with or without food.

    Don't break atorvastatin calcium tablets before taking.
  • Your doctor should start you on a low-fat diet before giving you atorvastatin calcium tablets. Stay on this low-fat diet when you take atorvastatin calcium tablets.
  • If you miss a dose of atorvastatin calcium tablets, take it as soon as you remember. Do not take atorvastatin calcium tablets if it has been more than 12 hours since you missed your last dose. Wait and take the next dose at your regular time. Do not take 2 doses of atorvastatin calcium tablets at the same time.
  • If you take too much atorvastatin calcium tablets or overdose, call your doctor or Poison Control Center right away. Or go to the nearest emergency room.

What Should I Avoid While Taking Atorvastatin calcium tablets?

  • Talk to your doctor before you start any new medicines. This includes prescription and non-prescription medicines, vitamins, and herbal supplements. Atorvastatin calcium tablets and certain other medicines can interact causing serious side effects.
  • Do not get pregnant. If you get pregnant, stop taking atorvastatin calcium tablets right away and call your doctor.

What are the Possible Side Effects of Atorvastatin calcium tablets?

Atorvastatin calcium tablets can cause serious side effects. These side effects have happened only to a small number of people. Your doctor can monitor you for them. These side effects usually go away if your dose is lowered or atorvastatin calcium tablet is stopped. These serious side effects include:

  • Muscle problems. Atorvastatin calcium tablets can cause serious muscle problems that can lead to kidney problems, including kidney failure. You have a higher chance for muscle problems if you are taking certain other medicines with atorvastatin calcium tablets.
  • Liver problems. Your doctor should do blood tests to check your liver before you start taking atorvastatin calcium tablets, and if you have symptoms of liver problems while you take atorvastatin calcium tablets. Call your doctor right away if you have the following symptoms of liver problems:
    • feel tired or weak
    • loss of appetite
    • upper belly pain
    • dark amber colored urine
    • yellowing of your skin or the whites of your eyes

Call your doctor right away if you have:

  • muscle problems like weakness, tenderness, or pain that happen without a good reason, especially if you also have a fever or feel more tired than usual. This may be an early sign of a rare muscle problem.
  • muscle problems that do not go away even after your doctor has advised you to stop taking atorvastatin calcium. Your doctor may do further tests to diagnose the cause of your muscle problems.
  • allergic reactions including swelling of the face, lips, tongue, and/or throat that may cause difficulty in breathing or swallowing which may require treatment right away.
  • nausea and vomiting.
  • passing brown or dark-colored urine.
  • you feel more tired than usual
  • your skin and whites of your eyes get yellow.
  • stomach pain.
  • allergic skin reactions.

In clinical studies, patients reported the following common side effects while taking atorvastatin calcium tablets: diarrhea, upset stomach, muscle and joint pain, and alterations in some laboratory blood tests.

The following additional side effects have been reported with atorvastatin calcium tablets: tiredness, tendon problems, memory loss, and confusion.

Talk to your doctor or pharmacist if you have side effects that bother you or that will not go away.

These are not all the side effects of atorvastatin calcium tablets. Ask your doctor or pharmacist for a complete list.

How do I store Atorvastatin calcium tablets?

  • Store atorvastatin calcium tablets at room temperature, 68°F to 77°F (20°C to 25°C).
  • Do not keep medicine that is out of date or that you no longer need.
  • Keep atorvastatin calcium tablets and all medicines out of the reach of children. Be sure that if you throw medicine away, it is out of the reach of children.

General Information About Atorvastatin calcium tablets

Medicines are sometimes prescribed for conditions that are not mentioned in patient information leaflets. Do not use atorvastatin calcium tablets for a condition for which it was not prescribed. Do not give atorvastatin calcium tablets to other people, even if they have the same problem you have. It may harm them.

This leaflet summarizes the most important information about atorvastatin calcium tablets. If you would like more information, talk with your doctor. You can ask your doctor or pharmacist for information about atorvastatin calcium tablets that is written for health professionals.

For more information, go to www.accordhealthcare.us or call Accord Healthcare at 1-866-941-7875.

What are the Ingredients in Atorvastatin calcium tablets?

Active Ingredient: atorvastatin calcium

Inactive Ingredients: croscarmellose sodium, hydroxyl propyl cellulose, lactose monohydrate, magnesium stearate, microcrystalline cellulose, opadry-YS-1-7040 white (hypromellose, polyethylene glycol, talc, titanium dioxide), polysorbate 80, precipitated calcium carbonate.

Manufactured For:

Accord Healthcare, Inc.,

1009 Slater Road,

Suite 210-B,

Durham, NC 27703,

USA.



Manufactured By:

Intas Pharmaceuticals Limited,

Plot No. : 457, 458,

Village – Matoda,

Bavla Road, Ta.- Sanand,

Dist.- Ahmedabad – 382 210.

India.

10 3000 1 697808

Issued May 2019


Advanced Ingredient Data


Raw Label Data

All Sections (JSON)