These Highlights Do Not Include All The Information Needed To Use

These Highlights Do Not Include All The Information Needed To Use
SPL v9
SPL
SPL Set ID a05a70b9-f506-456f-a7aa-d9f9c80a7f12
Route
INTRAVENOUS
Published
Effective Date 2023-11-23
Document Type 34391-3 HUMAN PRESCRIPTION DRUG LABEL

Drug Facts

Composition & Product

Active Ingredients
Phenylephrine (10 mg)
Inactive Ingredients
Citric Acid Monohydrate Hydrochloric Acid Sodium Chloride Sodium Hydroxide Sodium Metabisulfite Trisodium Citrate Dihydrate Water

Identifiers & Packaging

Marketing Status
ANDA Active Since 2018-07-24

Description

Phenylephrine hydrochloride injection, 10 mg/mL is indicated for the treatment of clinically important hypotension resulting primarily from vasodilation in the setting of anesthesia.

Indications and Usage

Phenylephrine hydrochloride injection, 10 mg/mL is indicated for the treatment of clinically important hypotension resulting primarily from vasodilation in the setting of anesthesia.

Dosage and Administration

Phenylephrine hydrochloride injection, 10 mg/mL, is injected intravenously either as a bolus or in a dilute solution as a continuous infusion. Dilute before administration. ( 2) Dosing for treatment of hypotension during anesthesia Bolus intravenous injection: 40 mcg to 100 mcg every 1 to 2 minutes as needed, not to exceed 200 mcg. ( 2 ) Intravenous infusion: 10 mcg/min to 35 mcg/min, titrating to effect, not to exceed 200 mcg/min. ( 2 ) Adjust the dose according to the pressor response (i.e. titrate to effect). ( 2 )

Warnings and Precautions

Exacerbation of Angina, Heart Failure, or Pulmonary Arterial Hypertension: Phenylephrine hydrochloride can precipitate angina in patients with severe arteriosclerosis or history of angina, exacerbate underlying heart failure, and increase pulmonary arterial pressure. ( 5.1 ) Peripheral and Visceral Ischemia: Phenylephrine hydrochloride can cause excessive peripheral and visceral vasoconstriction and ischemia to vital organs. ( 5.2 ) Skin and Subcutaneous Necrosis: Extravasation during intravenous administration may cause necrosis or sloughing of tissue. ( 5.3 ) Bradycardia: Phenylephrine hydrochloride can cause severe bradycardia and decreased cardiac output. ( 5.4 )

Contraindications

None

Adverse Reactions

Adverse reactions to phenylephrine hydrochloride are primarily attributable to excessive pharmacologic activity. Adverse reactions reported in published clinical studies, observational trials, and case reports of phenylephrine hydrochloride are listed below by body system. Because these reactions are reported voluntarily from a population of uncertain size, it is not always possible to estimate their frequency reliably or to establish a causal relationship to drug exposure. Cardiac disorders : Reflex bradycardia, lowered cardiac output, ischemia, hypertension, arrhythmias Gastrointestinal disorders : Epigastric pain, vomiting, nausea Nervous system disorders : Headache, blurred vision, neck pain, tremors Vascular disorders : Hypertensive crisis Respiratory, Thoracic and Mediastinal Disorders : Dyspnea Skin and subcutaneous tissue disorders : Pruritis

Drug Interactions

Agonistic effects (increase in phenylephrine hydrochloride blood pressure effect) can occur with monoamine oxidase inhibitors (MAOI), oxytocin and oxytocic drugs, tricyclic antidepressants, angiotensin and aldosterone, atropine, steroids, norepinephrine transporter inhibitors, ergot alkaloids. ( 7.1 ) Antagonistic effects (decrease in phenylephrine hydrochloride blood pressure effect) can occur with α-adrenergic antagonists, phosphodiesterase Type 5 inhibitors, mixed α- and β-receptor antagonists, calcium channel blockers, benzodiazepines and ACE inhibitors, centrally acting sympatholytic agents. ( 7.2 )

Storage and Handling

Phenylephrine Hydrochloride Injection, USP is a sterile, clear, colorless solution and supplied in 5 mL and 10 mL glass vials. Each mL contains phenylephrine hydrochloride USP, 10 mg . 50 mg/5 mL (10 mg/mL) 5 mL vial Pharmacy Bulk Package: 5 mL Vial:                                                                               NDC 70121-1578-1 10 Vials in a Carton:                                                               NDC 70121-1578-7 100 mg/10 mL (10 mg/mL) 10 mL vial Pharmacy Bulk Package: 10 mL Vial  in a Carton:                                                          NDC 70121-1579-1 Store phenylephrine hydrochloride injection USP, 10 mg/mL at 20° to 25°C (68° to 77°F); excursions permitted between 15° to 30°C (59° to 86°F) [see USP Controlled Room Temperature]. Protect from light. Store in carton until time of use. Vial stoppers are not made with natural rubber latex. The diluted solution should not be held for more than 4 hours at room temperature or for more than 24 hours under refrigerated conditions. Discard any unused portion.

How Supplied

Phenylephrine Hydrochloride Injection, USP is a sterile, clear, colorless solution and supplied in 5 mL and 10 mL glass vials. Each mL contains phenylephrine hydrochloride USP, 10 mg . 50 mg/5 mL (10 mg/mL) 5 mL vial Pharmacy Bulk Package: 5 mL Vial:                                                                               NDC 70121-1578-1 10 Vials in a Carton:                                                               NDC 70121-1578-7 100 mg/10 mL (10 mg/mL) 10 mL vial Pharmacy Bulk Package: 10 mL Vial  in a Carton:                                                          NDC 70121-1579-1 Store phenylephrine hydrochloride injection USP, 10 mg/mL at 20° to 25°C (68° to 77°F); excursions permitted between 15° to 30°C (59° to 86°F) [see USP Controlled Room Temperature]. Protect from light. Store in carton until time of use. Vial stoppers are not made with natural rubber latex. The diluted solution should not be held for more than 4 hours at room temperature or for more than 24 hours under refrigerated conditions. Discard any unused portion.


Medication Information

Warnings and Precautions

Exacerbation of Angina, Heart Failure, or Pulmonary Arterial Hypertension: Phenylephrine hydrochloride can precipitate angina in patients with severe arteriosclerosis or history of angina, exacerbate underlying heart failure, and increase pulmonary arterial pressure. ( 5.1 ) Peripheral and Visceral Ischemia: Phenylephrine hydrochloride can cause excessive peripheral and visceral vasoconstriction and ischemia to vital organs. ( 5.2 ) Skin and Subcutaneous Necrosis: Extravasation during intravenous administration may cause necrosis or sloughing of tissue. ( 5.3 ) Bradycardia: Phenylephrine hydrochloride can cause severe bradycardia and decreased cardiac output. ( 5.4 )

Indications and Usage

Phenylephrine hydrochloride injection, 10 mg/mL is indicated for the treatment of clinically important hypotension resulting primarily from vasodilation in the setting of anesthesia.

Dosage and Administration

Phenylephrine hydrochloride injection, 10 mg/mL, is injected intravenously either as a bolus or in a dilute solution as a continuous infusion. Dilute before administration. ( 2) Dosing for treatment of hypotension during anesthesia Bolus intravenous injection: 40 mcg to 100 mcg every 1 to 2 minutes as needed, not to exceed 200 mcg. ( 2 ) Intravenous infusion: 10 mcg/min to 35 mcg/min, titrating to effect, not to exceed 200 mcg/min. ( 2 ) Adjust the dose according to the pressor response (i.e. titrate to effect). ( 2 )

Contraindications

None

Adverse Reactions

Adverse reactions to phenylephrine hydrochloride are primarily attributable to excessive pharmacologic activity. Adverse reactions reported in published clinical studies, observational trials, and case reports of phenylephrine hydrochloride are listed below by body system. Because these reactions are reported voluntarily from a population of uncertain size, it is not always possible to estimate their frequency reliably or to establish a causal relationship to drug exposure. Cardiac disorders : Reflex bradycardia, lowered cardiac output, ischemia, hypertension, arrhythmias Gastrointestinal disorders : Epigastric pain, vomiting, nausea Nervous system disorders : Headache, blurred vision, neck pain, tremors Vascular disorders : Hypertensive crisis Respiratory, Thoracic and Mediastinal Disorders : Dyspnea Skin and subcutaneous tissue disorders : Pruritis

Drug Interactions

Agonistic effects (increase in phenylephrine hydrochloride blood pressure effect) can occur with monoamine oxidase inhibitors (MAOI), oxytocin and oxytocic drugs, tricyclic antidepressants, angiotensin and aldosterone, atropine, steroids, norepinephrine transporter inhibitors, ergot alkaloids. ( 7.1 ) Antagonistic effects (decrease in phenylephrine hydrochloride blood pressure effect) can occur with α-adrenergic antagonists, phosphodiesterase Type 5 inhibitors, mixed α- and β-receptor antagonists, calcium channel blockers, benzodiazepines and ACE inhibitors, centrally acting sympatholytic agents. ( 7.2 )

Storage and Handling

Phenylephrine Hydrochloride Injection, USP is a sterile, clear, colorless solution and supplied in 5 mL and 10 mL glass vials. Each mL contains phenylephrine hydrochloride USP, 10 mg . 50 mg/5 mL (10 mg/mL) 5 mL vial Pharmacy Bulk Package: 5 mL Vial:                                                                               NDC 70121-1578-1 10 Vials in a Carton:                                                               NDC 70121-1578-7 100 mg/10 mL (10 mg/mL) 10 mL vial Pharmacy Bulk Package: 10 mL Vial  in a Carton:                                                          NDC 70121-1579-1 Store phenylephrine hydrochloride injection USP, 10 mg/mL at 20° to 25°C (68° to 77°F); excursions permitted between 15° to 30°C (59° to 86°F) [see USP Controlled Room Temperature]. Protect from light. Store in carton until time of use. Vial stoppers are not made with natural rubber latex. The diluted solution should not be held for more than 4 hours at room temperature or for more than 24 hours under refrigerated conditions. Discard any unused portion.

How Supplied

Phenylephrine Hydrochloride Injection, USP is a sterile, clear, colorless solution and supplied in 5 mL and 10 mL glass vials. Each mL contains phenylephrine hydrochloride USP, 10 mg . 50 mg/5 mL (10 mg/mL) 5 mL vial Pharmacy Bulk Package: 5 mL Vial:                                                                               NDC 70121-1578-1 10 Vials in a Carton:                                                               NDC 70121-1578-7 100 mg/10 mL (10 mg/mL) 10 mL vial Pharmacy Bulk Package: 10 mL Vial  in a Carton:                                                          NDC 70121-1579-1 Store phenylephrine hydrochloride injection USP, 10 mg/mL at 20° to 25°C (68° to 77°F); excursions permitted between 15° to 30°C (59° to 86°F) [see USP Controlled Room Temperature]. Protect from light. Store in carton until time of use. Vial stoppers are not made with natural rubber latex. The diluted solution should not be held for more than 4 hours at room temperature or for more than 24 hours under refrigerated conditions. Discard any unused portion.

Description

Phenylephrine hydrochloride injection, 10 mg/mL is indicated for the treatment of clinically important hypotension resulting primarily from vasodilation in the setting of anesthesia.

10 Overdosage

Overdose of phenylephrine hydrochloride can cause a rapid rise in blood pressure. Symptoms of overdose include headache, vomiting, hypertension, reflex bradycardia, a sensation of fullness in the head, tingling of the extremities, and cardiac arrhythmias including ventricular extrasystoles and ventricular tachycardia.

8.1 Pregnancy

Risk Summary

Data from randomized controlled trials and meta-analyses with phenylephrine hydrochloride use in pregnant women during Cesarean section have not established a drug-associated risk of major birth defects and miscarriage. These studies have not identified an adverse effect on maternal outcomes or infant Apgar scores [see Data]. There are no data on the use of phenylephrine during the first or second trimester. In animal reproduction and development studies in normotensive animals, evidence of fetal malformations was noted when phenylephrine was administered during organogenesis via a 1-hour infusion at 1.2 times the human daily dose (HDD) of 10 mg/60 kg/day. Decreased pup weights were noted in offspring of pregnant rats treated with 2.9 times the HDD [See Data]. The estimated background risk of major birth defects and miscarriage for the indicated population are unknown. All pregnancies have a background risk of birth defect, loss, or other adverse outcomes. In the U.S. general population, the estimated background risk of major birth defects and miscarriage in clinically recognized pregnancies is 2% to 4% and 15% to 20%, respectively.

Clinical Considerations

Disease-Associated Maternal and/or Embryofetal Risk

Untreated hypotension associated with spinal anesthesia for Cesarean section is associated with an increase in maternal nausea and vomiting. A sustained decrease in uterine blood flow due to maternal hypotension may result in fetal bradycardia and acidosis.

Data

Human Data

Published randomized controlled trials over several decades, which compared the use of phenylephrine hydrochloride injection to other similar agents in pregnant women during Cesarean section, have not identified adverse maternal or infant outcomes. At recommended doses, phenylephrine does not appear to affect fetal heart rate or fetal heart rate variability to a significant degree.

There are no studies on the safety of phenylephrine hydrochloride injection exposure during the period of organogenesis, and therefore, it is not possible to draw any conclusions on the risk of birth defects following exposure to phenylephrine hydrochloride injection during pregnancy. In addition, there are no data on the risk of miscarriage following fetal exposure to phenylephrine hydrochloride injection.

Animal Data

No clear malformations or fetal toxicity were reported when normotensive pregnant rabbits were treated with phenylephrine via continuous intravenous infusion over 1 hour (0.5 mg/kg/day; approximately equivalent to a HDD based on body surface area) from Gestation Day 7 to 19. At this dose, which demonstrated no maternal toxicity, there was evidence of developmental delay (altered ossification of sternebra).

In a non-GLP dose range-finding study in normotensive pregnant rabbits, fetal lethality and cranial, paw, and limb malformations were noted following treatment with 1.2 mg/kg/day of phenylephrine via continuous intravenous infusion over 1 hour (2.3-times the HDD). This dose was clearly maternally toxic (increased mortality and significant body weight loss). An increase in the incidence of limb malformation (hyperextension of the forepaw) coincident with high fetal mortality was noted in a single litter at 0.6 mg/kg/day (1.2-times the HDD) in the absence of maternal toxicity.

No malformations or embryo-fetal toxicity were reported when normotensive pregnant rats were treated with up to 3 mg/kg/day phenylephrine via continuous intravenous infusion over 1 hour (2.9-times the HDD) from Gestation Day 6 to 17. This dose was associated with some maternal toxicity (decreased food consumption and body weights).

Decreased pup weights were reported in a pre-and postnatal development toxicity study in which normotensive pregnant rats were administered phenylephrine via continuous intravenous infusion over 1 hour (0.3, 1.0, or 3.0 mg/kg/day; 0.29, 1, or 2.9 times the HDD) from Gestation Day 6 through Lactation Day 21). No adverse effects on growth and development (learning and memory, sexual development, and fertility) were noted in the offspring of pregnant rats at any dose tested. Maternal toxicities (mortality late in gestation and during lactation period, decreased food consumption and body weight) occurred at 1 and 3 mg/kg/day of phenylephrine (equivalent to and 2.9 times the HDD, respectively).

8.2 Lactation

Risk Summary

There are no data on the presence of phenylephrine hydrochloride or its metabolite in human or animal milk, the effects on the breastfed infant, or the effects on milk production. The developmental and health benefits of breastfeeding should be considered along with the mother’s clinical need for phenylephrine hydrochloride and any potential adverse effects on the breastfed infant from phenylephrine hydrochloride or from the underlying maternal condition.

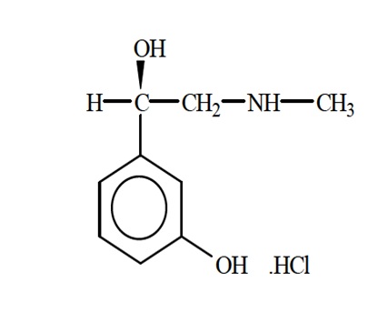
11 Description

Phenylephrine is an alpha-1 adrenergic receptor agonist. Phenylephrine hydrochloride injection USP, 10 mg/mL, is a clear, colorless, sterile, nonpyrogenic solution for intravenous use. It must be diluted before administration as an intravenous bolus or continuous intravenous infusion. The chemical name of phenylephrine hydrochloride is (-)-m-hydroxy-α-[(methylamino)methyl]benzyl alcohol hydrochloride, and its structural formula is depicted below:

Phenylephrine hydrochloride, USP is a white or practically white crystals with a molecular formula of C9H13NO2 • HCl and a molecular weight of 203.67. It is freely soluble in water and in alcohol.

Phenylephrine hydrochloride injection USP, 10 mg/mL is sensitive to light.

Each mL contains: phenylephrine hydrochloride USP, 10 mg; sodium chloride 3.5 mg; trisodium citrate dihydrate 4 mg; citric acid monohydrate 1 mg; and sodium metabisulfite  2 mg in water for injection. The pH is adjusted with sodium hydroxide and/or hydrochloric acid if necessary. The pH range is 3.5 to 5.5.

5.4 Bradycardia

Phenylephrine hydrochloride can cause severe bradycardia and decreased cardiac output.

8.4 Pediatric Use

Safety and effectiveness in pediatric patients have not been established.

8.5 Geriatric Use

Clinical studies of phenylephrine did not include sufficient numbers of subjects aged 65 and over to determine whether they respond differently from younger subjects. Other reported clinical experience has not identified differences in responses between the elderly and younger patients. In general, dose selection for an elderly patient should be cautious, usually starting at the low end of the dosing range, reflecting the greater frequency of decreased hepatic, renal, or cardiac function, and of concomitant disease or other drug therapy.

5.6 Renal Toxicity

Phenylephrine hydrochloride can increase the need for renal replacement therapy in patients with septic shock. Monitor renal function.

14 Clinical Studies

The evidence for the efficacy of phenylephrine hydrochloride injection is derived from studies of phenylephrine hydrochloride in the published literature. The literature support includes 16 studies evaluating the use of intravenous phenylephrine to treat hypotension during anesthesia. The 16 studies include 9 studies where phenylephrine was used in low-risk (ASA 1 and 2) pregnant women undergoing neuraxial anesthesia during Cesarean delivery, 6 studies in non-obstetric surgery under general anesthesia, and 1 study in non-obstetric surgery under combined general and neuraxial anesthesia. Phenylephrine has been shown to raise systolic and mean blood pressure when administered either as a bolus dose or by continuous infusion following the development of hypotension during anesthesia.

4 Contraindications

None

6 Adverse Reactions

Adverse reactions to phenylephrine hydrochloride are primarily attributable to excessive pharmacologic activity. Adverse reactions reported in published clinical studies, observational trials, and case reports of phenylephrine hydrochloride are listed below by body system. Because these reactions are reported voluntarily from a population of uncertain size, it is not always possible to estimate their frequency reliably or to establish a causal relationship to drug exposure.

Cardiac disorders: Reflex bradycardia, lowered cardiac output, ischemia, hypertension, arrhythmias

Gastrointestinal disorders
: Epigastric pain, vomiting, nausea

Nervous system disorders
: Headache, blurred vision, neck pain, tremors

Vascular disorders
: Hypertensive crisis

Respiratory, Thoracic and Mediastinal Disorders
: Dyspnea

Skin and subcutaneous tissue disorders
: Pruritis

7 Drug Interactions

Agonistic effects (increase in phenylephrine hydrochloride blood pressure effect) can occur with monoamine oxidase inhibitors (MAOI), oxytocin and oxytocic drugs, tricyclic antidepressants, angiotensin and aldosterone, atropine, steroids, norepinephrine transporter inhibitors, ergot alkaloids. (7.1)



Antagonistic effects
(decrease in phenylephrine hydrochloride blood pressure effect) can occur with α-adrenergic antagonists, phosphodiesterase Type 5 inhibitors, mixed α- and β-receptor antagonists, calcium channel blockers, benzodiazepines and ACE inhibitors, centrally acting sympatholytic agents. (7.2)

8.7 Renal Impairment

In patients with end stage renal disease (ESRD), dose-response data indicate increased responsiveness to phenylephrine. Consider starting at the lower end of the recommended dose range, and adjusting dose based on the target blood pressure goal.

12.2 Pharmacodynamics

Interaction of phenylephrine with α-1-adrenergic receptors on vascular smooth muscle cells causes activation of the cells and results in vasoconstriction. Following phenylephrine hydrochloride intravenous administration, increases in systolic and diastolic blood pressures, mean arterial blood pressure, and total peripheral vascular resistance are observed. The onset of blood pressure increase following an intravenous bolus phenylephrine hydrochloride administration is rapid, typically within minutes. As blood pressure increases following intravenous administration, vagal activity also increases, resulting in reflex bradycardia. Phenylephrine has activity on most vascular beds, including renal, pulmonary, and splanchnic arteries.

12.3 Pharmacokinetics

Following an intravenous infusion of phenylephrine hydrochloride, the observed effective half-life was approximately 5 minutes. The steady-state volume of distribution of approximately 340 L suggests a high distribution into organs and peripheral tissues. The average total serum clearance is approximately 2100 mL/min. The observed phenylephrine plasma terminal elimination half-life was 2.5 hours.

Phenylephrine is metabolized primarily by monoamine oxidase and sulfotransferase. After intravenous administration of radiolabeled phenylephrine, approximately 80% of the total dose was eliminated within first 12 hours; and approximately 86% of the total dose was recovered in the urine within 48 hours. The excreted unchanged parent drug was 16% of the total dose in the urine at 48 hours post intravenous administration. There are two major metabolites, with approximately 57 and 8% of the total dose excreted as m-hydroxymandelic acid and sulfate conjugates, respectively. The metabolites are considered not pharmacologically active.

5.5 Allergic Reactions

Phenylephrine hydrochloride injection contains sodium metabisulfite, a sulfite that may cause allergic-type reactions, including anaphylactic symptoms and life-threatening or less severe asthmatic episodes in certain susceptible people. The overall prevalence of sulfite sensitivity in the general population is unknown and probably low. Sulfite sensitivity is seen more frequently in asthmatic than in nonasthmatic people.

8.6 Hepatic Impairment

In patients with liver cirrhosis [Child Pugh Class B and Class C], dose-response data indicate decreased responsiveness to phenylephrine. Start dosing in the recommended dose range, but more phenylephrine may be needed in this population.

1 Indications and Usage

Phenylephrine hydrochloride injection, 10 mg/mL is indicated for the treatment of clinically important hypotension resulting primarily from vasodilation in the setting of anesthesia.

Principal Display Panel

NDC: 70121-1578-1

Name: Phenylephrine Hydrochloride Injection, USP (Matoda)

Strength: 10 mg/mL (5 mL)

Rx only

Vial Label

Amneal Pharmaceuticals LLC

NDC: 70121-1578-7

Name: Phenylephrine Hydrochloride Injection, USP (Matoda)

Strength: 10 mg/mL (5 mL)

Rx only

Carton

Amneal Pharmaceuticals LLC

NDC: 70121-1579-1

Name: Phenylephrine Hydrochloride Injection, USP (Matoda)

Strength: 10 mg/mL (10 mL)

Rx only

Vial Label

Amneal Pharmaceuticals LLC

NDC: 70121-1579-1

Name: Phenylephrine Hydrochloride Injection, USP (Matoda)

Strength: 10 mg/mL (10 mL)

Rx only

Carton

Amneal Pharmaceuticals LLC

NDC: 70121-1578-1

Name: Phenylephrine Hydrochloride Injection, USP (Pipan)

Strength: 10 mg/mL (5 mL)

Rx only

Vial Label

Amneal Pharmaceuticals LLC

NDC: 70121-1578-7

Name: Phenylephrine Hydrochloride Injection, USP (Pipan)

Strength: 10 mg/mL (5 mL)

Rx only

Carton

Amneal Pharmaceuticals LLC

NDC: 70121-1579-1

Name: Phenylephrine Hydrochloride Injection, USP (Pipan)

Strength: 10 mg/mL (10 mL)

Rx only

Vial Label

Amneal Pharmaceuticals LLC

NDC: 70121-1579-1

Name: Phenylephrine Hydrochloride Injection, USP (Pipan)

Strength: 10 mg/mL (10 mL)

Rx only

Carton

Amneal Pharmaceuticals LLC

12.1 Mechanism of Action

Phenylephrine hydrochloride is an α-1 adrenergic receptor agonist.

5 Warnings and Precautions

Exacerbation of Angina, Heart Failure, or Pulmonary Arterial Hypertension: Phenylephrine hydrochloride can precipitate angina in patients with severe arteriosclerosis or history of angina, exacerbate underlying heart failure, and increase pulmonary arterial pressure. (5.1)



Peripheral and Visceral Ischemia: Phenylephrine hydrochloride can cause excessive peripheral and visceral vasoconstriction and ischemia to vital organs. (5.2)

Skin and Subcutaneous Necrosis: Extravasation during intravenous administration may cause necrosis or sloughing of tissue. (5.3)



Bradycardia: Phenylephrine hydrochloride can cause severe bradycardia and decreased cardiac output. (5.4)

2 Dosage and Administration

Phenylephrine hydrochloride injection, 10 mg/mL, is injected intravenously either as a bolus or in a dilute solution as a continuous infusion.

Dilute before administration. (2)

Dosing for treatment of hypotension during anesthesia

  • Bolus intravenous injection: 40 mcg to 100 mcg every 1 to 2 minutes as needed, not to exceed 200 mcg. (2)
  • Intravenous infusion: 10 mcg/min to 35 mcg/min, titrating to effect, not to exceed 200 mcg/min. (2)
  • Adjust the dose according to the pressor response (i.e. titrate to effect). (2)
3 Dosage Forms and Strengths

Phenylephrine hydrochloride injection USP, 10 mg/mL, for intravenous use, is available in following vial sizes:

  • Injection: 10 mg/mL in Pharmacy Bulk Package 5 mL vial (50 mg of phenylephrine hydrochloride, USP per vial) that will provide five 1 mL single-doses
  • Injection: 10 mg/mL in Pharmacy Bulk Package 10 mL vial (100 mg of phenylephrine hydrochloride, USP per vial) that will provide ten 1 mL single-doses

17 Patient Counseling Information

If applicable, inform patient, family member, or caregiver that certain medical conditions and medications might influence how phenylephrine hydrochloride injection works.

Manufactured by:

Amneal Pharmaceuticals Pvt. Ltd.

Parenteral Unit


Ahmedabad 382213, INDIA

Or

Amneal Pharmaceuticals Pvt. Ltd.

Parenteral Unit


Ahmedabad 382110, INDIA

Distributed by:

Amneal Pharmaceuticals LLC


Bridgewater, NJ 08807

Rev. 11-2023-03

5.3 Skin and Subcutaneous Necrosis

Extravasation of phenylephrine hydrochloride can cause necrosis or sloughing of tissue. The infusion site should be checked for free flow. Care should be taken to avoid extravasation of phenylephrine hydrochloride.

16 How Supplied/storage and Handling

Phenylephrine Hydrochloride Injection, USP is a sterile, clear, colorless solution and supplied in 5 mL and 10 mL glass vials. Each mL contains phenylephrine hydrochloride USP, 10 mg.

50 mg/5 mL (10 mg/mL) 5 mL vial Pharmacy Bulk Package:

5 mL Vial:                                                                               NDC 70121-1578-1

10 Vials in a Carton:                                                               NDC 70121-1578-7

100 mg/10 mL (10 mg/mL) 10 mL vial Pharmacy Bulk Package:

10 mL Vial  in a Carton:                                                          NDC 70121-1579-1

Store phenylephrine hydrochloride injection USP, 10 mg/mL at 20° to 25°C (68° to 77°F); excursions permitted between 15° to 30°C (59° to 86°F) [see USP Controlled Room Temperature].

Protect from light. Store in carton until time of use. Vial stoppers are not made with natural rubber latex.

The diluted solution should not be held for more than 4 hours at room temperature or for more than 24 hours under refrigerated conditions. Discard any unused portion.

5.2 Peripheral and Visceral Ischemia

Phenylephrine hydrochloride can cause excessive peripheral and visceral vasoconstriction and ischemia to vital organs, particularly in patients with extensive peripheral vascular disease.

7.1 Interactions That Augment Pressor Effect

The increasing blood pressure effect of phenylephrine hydrochloride is increased in patients receiving:

  • Monoamine oxidase inhibitors (MAOI)
  • Oxytocin and oxytocic drugs
  • Tricyclic antidepressants
  • Angiotensin, aldosterone
  • Atropine
  • Steroids, such as hydrocortisone
  • Norepinephrine transporter inhibitors, such as atomoxetine
  • Ergot alkaloids, such as methylergonovine maleate

2.1 General Dosage and Administration Instructions

Phenylephrine hydrochloride injection, 10 mg/mL must be diluted before administration as an intravenous bolus or continuous intravenous infusion to achieve the desired concentration:

  • Bolus: Dilute with normal saline or 5% dextrose in water.
  • Continuous infusion: Dilute with normal saline or 5% dextrose in water.

Parenteral drug products should be inspected visually for particulate matter and discoloration prior to administration. Do not use if the solution is colored or cloudy, or if it contains particulate matter. The diluted solution should not be held for more than 4 hours at room temperature or for more than 24 hours under refrigerated conditions. Discard any unused portion.

During phenylephrine hydrochloride injection administration:

  • Correct intravascular volume depletion.
  • Correct acidosis. Acidosis may reduce the effectiveness of phenylephrine.
5.8 Pressor Effect With Concomitant Oxytocic Drugs

Oxytocic drugs potentiate the increasing blood pressure effect of sympathomimetic pressor amines including phenylephrine hydrochloride [see Drug Interactions ( 7.1) ], with the potential for hemorrhagic stroke.

7.2 Interactions That Antagonize the Pressor Effect

The increasing blood pressure effect of phenylephrine hydrochloride is decreased in patients receiving:

  • α-adrenergic antagonists
  • Phosphodiesterase Type 5 inhibitors
  • Mixed α- and β-receptor antagonists
  • Calcium channel blockers, such as nifedipine
  • Benzodiazepines
  • ACE inhibitors
  • Centrally acting sympatholytic agents, such as reserpine, guanfacine

2.5 Directions for Dispensing From Pharmacy Bulk Vial

The Pharmacy Bulk Vial is intended for dispensing of single-doses to multiple patients in a pharmacy admixture program and is restricted to the preparation of admixtures for infusion. Each closure shall be penetrated only one time with a suitable sterile transfer device or dispensing set that allows measured dispensing of the contents. The Pharmacy Bulk Vial is to be used only in a suitable work area such as a laminar flow hood (or an equivalent clean air compounding area). Dispensing from a pharmacy bulk vial should be completed within 4 hours after the vial is penetrated.

13.1 Carcinogenesis, Mutagenesis, Impairment of Fertility

Carcinogenesis

Long-term animal studies that evaluated the carcinogenic potential of orally administered phenylephrine hydrochloride in F344/N rats and B6C3F1 mice were completed by the National Toxicology Program using the dietary route of administration. There was no evidence of carcinogenicity in mice administered approximately 270 mg/kg/day (131 times the human daily dose (HDD) of 10 mg/60 kg/day based on body surface area) or rats administered approximately 50 mg/kg/day (48 times HDD) based on body surface area comparisons.

Mutagenesis

Phenylephrine hydrochloride tested negative in the in vitro bacterial reverse mutation assay (S.typhimurium strains TA98, TA100, TA1535 and TA1537), the in vitro chromosomal aberrations assay, the in vitro sister chromatid exchange assay, and the in vivo rat micronucleus assay. Positive results were reported in only one of two replicates of the in vitro mouse lymphoma assay.

Impairment of Fertility

Phenylephrine did not impair mating, fertility, or reproductive outcome in normotensive male rats treated with 3 mg/kg/day phenylephrine via continuous intravenous infusion over 1 hour (2.9 times the HDD) for 28 days prior to mating and for a minimum of 63 days prior to sacrifice and female rats treated with the same dosing regimen for 14 days prior to mating and through Gestation Day 6. This dose was associated with increased mortality in both male and female rats and decreased body weight gain in treated males. There were decreased caudal sperm density and increased abnormal sperm reported in males treated with 3 mg/kg/day phenylephrine (2.9 times the HDD).

2.2 Dosing for Treatment of Hypotension During Anesthesia

The following are the recommended dosages for the treatment of hypotension during anesthesia.

  • The recommended initial dose is 40 to 100 mcg administered by intravenous bolus.

    Additional boluses may be administered every 1 to 2 minutes as needed; not to exceed a total dosage of 200 mcg.

  • If blood pressure is below the target goal, start a continuous intravenous infusion with an infusion rate of 10 to 35 mcg/minute; not to exceed 200 mcg/minute.
  • Adjust dosage according to the blood pressure goal.
2.4 Prepare A Solution for Continuous Intravenous Administration

For continuous intravenous infusion, prepare a solution containing a final concentration of 20 mcg/mL of phenylephrine hydrochloride in 5% Dextrose Injection, USP or 0.9% Sodium Chloride Injection, USP:

  • Withdraw 10 mg (1 mL of 10 mg/mL) of phenylephrine hydrochloride and dilute with 500 mL of 5% Dextrose Injection, USP or 0.9% Sodium Chloride Injection, USP.
2.3 Prepare A 100 Mcg/ml Solution for Bolus Intravenous Administration

For bolus intravenous administration, prepare a solution containing a final concentration of 100 mcg/mL of phenylephrine hydrochloride injection:

  • Withdraw 10 mg (1 mL of 10 mg/mL) of phenylephrine hydrochloride and dilute with 99 mL of 5% Dextrose Injection, USP or 0.9% Sodium Chloride Injection, USP.
  • Withdraw an appropriate dose from the 100 mcg/mL solution prior to bolus intravenous administration.
5.7 Risk of Augmented Pressor Affect in Patients With Autonomic Dysfunction

The increasing blood pressure response to adrenergic drugs, including phenylephrine hydrochloride, can be increased in patients with autonomic dysfunction, as may occur with spinal cord injuries.

5.1 Exacerbation of Angina, Heart Failure, Or Pulmonary Arterial Hypertension

Because of its increasing blood pressure effects, phenylephrine hydrochloride can precipitate angina in patients with severe arteriosclerosis or history of angina, exacerbate underlying heart failure, and increase pulmonary arterial pressure.


Structured Label Content

10 Overdosage (10 OVERDOSAGE)

Overdose of phenylephrine hydrochloride can cause a rapid rise in blood pressure. Symptoms of overdose include headache, vomiting, hypertension, reflex bradycardia, a sensation of fullness in the head, tingling of the extremities, and cardiac arrhythmias including ventricular extrasystoles and ventricular tachycardia.

8.1 Pregnancy

Risk Summary

Data from randomized controlled trials and meta-analyses with phenylephrine hydrochloride use in pregnant women during Cesarean section have not established a drug-associated risk of major birth defects and miscarriage. These studies have not identified an adverse effect on maternal outcomes or infant Apgar scores [see Data]. There are no data on the use of phenylephrine during the first or second trimester. In animal reproduction and development studies in normotensive animals, evidence of fetal malformations was noted when phenylephrine was administered during organogenesis via a 1-hour infusion at 1.2 times the human daily dose (HDD) of 10 mg/60 kg/day. Decreased pup weights were noted in offspring of pregnant rats treated with 2.9 times the HDD [See Data]. The estimated background risk of major birth defects and miscarriage for the indicated population are unknown. All pregnancies have a background risk of birth defect, loss, or other adverse outcomes. In the U.S. general population, the estimated background risk of major birth defects and miscarriage in clinically recognized pregnancies is 2% to 4% and 15% to 20%, respectively.

Clinical Considerations

Disease-Associated Maternal and/or Embryofetal Risk

Untreated hypotension associated with spinal anesthesia for Cesarean section is associated with an increase in maternal nausea and vomiting. A sustained decrease in uterine blood flow due to maternal hypotension may result in fetal bradycardia and acidosis.

Data

Human Data

Published randomized controlled trials over several decades, which compared the use of phenylephrine hydrochloride injection to other similar agents in pregnant women during Cesarean section, have not identified adverse maternal or infant outcomes. At recommended doses, phenylephrine does not appear to affect fetal heart rate or fetal heart rate variability to a significant degree.

There are no studies on the safety of phenylephrine hydrochloride injection exposure during the period of organogenesis, and therefore, it is not possible to draw any conclusions on the risk of birth defects following exposure to phenylephrine hydrochloride injection during pregnancy. In addition, there are no data on the risk of miscarriage following fetal exposure to phenylephrine hydrochloride injection.

Animal Data

No clear malformations or fetal toxicity were reported when normotensive pregnant rabbits were treated with phenylephrine via continuous intravenous infusion over 1 hour (0.5 mg/kg/day; approximately equivalent to a HDD based on body surface area) from Gestation Day 7 to 19. At this dose, which demonstrated no maternal toxicity, there was evidence of developmental delay (altered ossification of sternebra).

In a non-GLP dose range-finding study in normotensive pregnant rabbits, fetal lethality and cranial, paw, and limb malformations were noted following treatment with 1.2 mg/kg/day of phenylephrine via continuous intravenous infusion over 1 hour (2.3-times the HDD). This dose was clearly maternally toxic (increased mortality and significant body weight loss). An increase in the incidence of limb malformation (hyperextension of the forepaw) coincident with high fetal mortality was noted in a single litter at 0.6 mg/kg/day (1.2-times the HDD) in the absence of maternal toxicity.

No malformations or embryo-fetal toxicity were reported when normotensive pregnant rats were treated with up to 3 mg/kg/day phenylephrine via continuous intravenous infusion over 1 hour (2.9-times the HDD) from Gestation Day 6 to 17. This dose was associated with some maternal toxicity (decreased food consumption and body weights).

Decreased pup weights were reported in a pre-and postnatal development toxicity study in which normotensive pregnant rats were administered phenylephrine via continuous intravenous infusion over 1 hour (0.3, 1.0, or 3.0 mg/kg/day; 0.29, 1, or 2.9 times the HDD) from Gestation Day 6 through Lactation Day 21). No adverse effects on growth and development (learning and memory, sexual development, and fertility) were noted in the offspring of pregnant rats at any dose tested. Maternal toxicities (mortality late in gestation and during lactation period, decreased food consumption and body weight) occurred at 1 and 3 mg/kg/day of phenylephrine (equivalent to and 2.9 times the HDD, respectively).

8.2 Lactation

Risk Summary

There are no data on the presence of phenylephrine hydrochloride or its metabolite in human or animal milk, the effects on the breastfed infant, or the effects on milk production. The developmental and health benefits of breastfeeding should be considered along with the mother’s clinical need for phenylephrine hydrochloride and any potential adverse effects on the breastfed infant from phenylephrine hydrochloride or from the underlying maternal condition.

11 Description (11 DESCRIPTION)

Phenylephrine is an alpha-1 adrenergic receptor agonist. Phenylephrine hydrochloride injection USP, 10 mg/mL, is a clear, colorless, sterile, nonpyrogenic solution for intravenous use. It must be diluted before administration as an intravenous bolus or continuous intravenous infusion. The chemical name of phenylephrine hydrochloride is (-)-m-hydroxy-α-[(methylamino)methyl]benzyl alcohol hydrochloride, and its structural formula is depicted below:

Phenylephrine hydrochloride, USP is a white or practically white crystals with a molecular formula of C9H13NO2 • HCl and a molecular weight of 203.67. It is freely soluble in water and in alcohol.

Phenylephrine hydrochloride injection USP, 10 mg/mL is sensitive to light.

Each mL contains: phenylephrine hydrochloride USP, 10 mg; sodium chloride 3.5 mg; trisodium citrate dihydrate 4 mg; citric acid monohydrate 1 mg; and sodium metabisulfite  2 mg in water for injection. The pH is adjusted with sodium hydroxide and/or hydrochloric acid if necessary. The pH range is 3.5 to 5.5.

5.4 Bradycardia

Phenylephrine hydrochloride can cause severe bradycardia and decreased cardiac output.

8.4 Pediatric Use

Safety and effectiveness in pediatric patients have not been established.

8.5 Geriatric Use

Clinical studies of phenylephrine did not include sufficient numbers of subjects aged 65 and over to determine whether they respond differently from younger subjects. Other reported clinical experience has not identified differences in responses between the elderly and younger patients. In general, dose selection for an elderly patient should be cautious, usually starting at the low end of the dosing range, reflecting the greater frequency of decreased hepatic, renal, or cardiac function, and of concomitant disease or other drug therapy.

5.6 Renal Toxicity

Phenylephrine hydrochloride can increase the need for renal replacement therapy in patients with septic shock. Monitor renal function.

14 Clinical Studies (14 CLINICAL STUDIES)

The evidence for the efficacy of phenylephrine hydrochloride injection is derived from studies of phenylephrine hydrochloride in the published literature. The literature support includes 16 studies evaluating the use of intravenous phenylephrine to treat hypotension during anesthesia. The 16 studies include 9 studies where phenylephrine was used in low-risk (ASA 1 and 2) pregnant women undergoing neuraxial anesthesia during Cesarean delivery, 6 studies in non-obstetric surgery under general anesthesia, and 1 study in non-obstetric surgery under combined general and neuraxial anesthesia. Phenylephrine has been shown to raise systolic and mean blood pressure when administered either as a bolus dose or by continuous infusion following the development of hypotension during anesthesia.

4 Contraindications (4 CONTRAINDICATIONS)

None

6 Adverse Reactions (6 ADVERSE REACTIONS)

Adverse reactions to phenylephrine hydrochloride are primarily attributable to excessive pharmacologic activity. Adverse reactions reported in published clinical studies, observational trials, and case reports of phenylephrine hydrochloride are listed below by body system. Because these reactions are reported voluntarily from a population of uncertain size, it is not always possible to estimate their frequency reliably or to establish a causal relationship to drug exposure.

Cardiac disorders: Reflex bradycardia, lowered cardiac output, ischemia, hypertension, arrhythmias

Gastrointestinal disorders
: Epigastric pain, vomiting, nausea

Nervous system disorders
: Headache, blurred vision, neck pain, tremors

Vascular disorders
: Hypertensive crisis

Respiratory, Thoracic and Mediastinal Disorders
: Dyspnea

Skin and subcutaneous tissue disorders
: Pruritis

7 Drug Interactions (7 DRUG INTERACTIONS)

Agonistic effects (increase in phenylephrine hydrochloride blood pressure effect) can occur with monoamine oxidase inhibitors (MAOI), oxytocin and oxytocic drugs, tricyclic antidepressants, angiotensin and aldosterone, atropine, steroids, norepinephrine transporter inhibitors, ergot alkaloids. (7.1)



Antagonistic effects
(decrease in phenylephrine hydrochloride blood pressure effect) can occur with α-adrenergic antagonists, phosphodiesterase Type 5 inhibitors, mixed α- and β-receptor antagonists, calcium channel blockers, benzodiazepines and ACE inhibitors, centrally acting sympatholytic agents. (7.2)

8.7 Renal Impairment

In patients with end stage renal disease (ESRD), dose-response data indicate increased responsiveness to phenylephrine. Consider starting at the lower end of the recommended dose range, and adjusting dose based on the target blood pressure goal.

12.2 Pharmacodynamics

Interaction of phenylephrine with α-1-adrenergic receptors on vascular smooth muscle cells causes activation of the cells and results in vasoconstriction. Following phenylephrine hydrochloride intravenous administration, increases in systolic and diastolic blood pressures, mean arterial blood pressure, and total peripheral vascular resistance are observed. The onset of blood pressure increase following an intravenous bolus phenylephrine hydrochloride administration is rapid, typically within minutes. As blood pressure increases following intravenous administration, vagal activity also increases, resulting in reflex bradycardia. Phenylephrine has activity on most vascular beds, including renal, pulmonary, and splanchnic arteries.

12.3 Pharmacokinetics

Following an intravenous infusion of phenylephrine hydrochloride, the observed effective half-life was approximately 5 minutes. The steady-state volume of distribution of approximately 340 L suggests a high distribution into organs and peripheral tissues. The average total serum clearance is approximately 2100 mL/min. The observed phenylephrine plasma terminal elimination half-life was 2.5 hours.

Phenylephrine is metabolized primarily by monoamine oxidase and sulfotransferase. After intravenous administration of radiolabeled phenylephrine, approximately 80% of the total dose was eliminated within first 12 hours; and approximately 86% of the total dose was recovered in the urine within 48 hours. The excreted unchanged parent drug was 16% of the total dose in the urine at 48 hours post intravenous administration. There are two major metabolites, with approximately 57 and 8% of the total dose excreted as m-hydroxymandelic acid and sulfate conjugates, respectively. The metabolites are considered not pharmacologically active.

5.5 Allergic Reactions

Phenylephrine hydrochloride injection contains sodium metabisulfite, a sulfite that may cause allergic-type reactions, including anaphylactic symptoms and life-threatening or less severe asthmatic episodes in certain susceptible people. The overall prevalence of sulfite sensitivity in the general population is unknown and probably low. Sulfite sensitivity is seen more frequently in asthmatic than in nonasthmatic people.

8.6 Hepatic Impairment

In patients with liver cirrhosis [Child Pugh Class B and Class C], dose-response data indicate decreased responsiveness to phenylephrine. Start dosing in the recommended dose range, but more phenylephrine may be needed in this population.

1 Indications and Usage (1 INDICATIONS AND USAGE)

Phenylephrine hydrochloride injection, 10 mg/mL is indicated for the treatment of clinically important hypotension resulting primarily from vasodilation in the setting of anesthesia.

Principal Display Panel (PRINCIPAL DISPLAY PANEL)

NDC: 70121-1578-1

Name: Phenylephrine Hydrochloride Injection, USP (Matoda)

Strength: 10 mg/mL (5 mL)

Rx only

Vial Label

Amneal Pharmaceuticals LLC

NDC: 70121-1578-7

Name: Phenylephrine Hydrochloride Injection, USP (Matoda)

Strength: 10 mg/mL (5 mL)

Rx only

Carton

Amneal Pharmaceuticals LLC

NDC: 70121-1579-1

Name: Phenylephrine Hydrochloride Injection, USP (Matoda)

Strength: 10 mg/mL (10 mL)

Rx only

Vial Label

Amneal Pharmaceuticals LLC

NDC: 70121-1579-1

Name: Phenylephrine Hydrochloride Injection, USP (Matoda)

Strength: 10 mg/mL (10 mL)

Rx only

Carton

Amneal Pharmaceuticals LLC

NDC: 70121-1578-1

Name: Phenylephrine Hydrochloride Injection, USP (Pipan)

Strength: 10 mg/mL (5 mL)

Rx only

Vial Label

Amneal Pharmaceuticals LLC

NDC: 70121-1578-7

Name: Phenylephrine Hydrochloride Injection, USP (Pipan)

Strength: 10 mg/mL (5 mL)

Rx only

Carton

Amneal Pharmaceuticals LLC

NDC: 70121-1579-1

Name: Phenylephrine Hydrochloride Injection, USP (Pipan)

Strength: 10 mg/mL (10 mL)

Rx only

Vial Label

Amneal Pharmaceuticals LLC

NDC: 70121-1579-1

Name: Phenylephrine Hydrochloride Injection, USP (Pipan)

Strength: 10 mg/mL (10 mL)

Rx only

Carton

Amneal Pharmaceuticals LLC

12.1 Mechanism of Action

Phenylephrine hydrochloride is an α-1 adrenergic receptor agonist.

5 Warnings and Precautions (5 WARNINGS AND PRECAUTIONS)

Exacerbation of Angina, Heart Failure, or Pulmonary Arterial Hypertension: Phenylephrine hydrochloride can precipitate angina in patients with severe arteriosclerosis or history of angina, exacerbate underlying heart failure, and increase pulmonary arterial pressure. (5.1)



Peripheral and Visceral Ischemia: Phenylephrine hydrochloride can cause excessive peripheral and visceral vasoconstriction and ischemia to vital organs. (5.2)

Skin and Subcutaneous Necrosis: Extravasation during intravenous administration may cause necrosis or sloughing of tissue. (5.3)



Bradycardia: Phenylephrine hydrochloride can cause severe bradycardia and decreased cardiac output. (5.4)

2 Dosage and Administration (2 DOSAGE AND ADMINISTRATION)

Phenylephrine hydrochloride injection, 10 mg/mL, is injected intravenously either as a bolus or in a dilute solution as a continuous infusion.

Dilute before administration. (2)

Dosing for treatment of hypotension during anesthesia

  • Bolus intravenous injection: 40 mcg to 100 mcg every 1 to 2 minutes as needed, not to exceed 200 mcg. (2)
  • Intravenous infusion: 10 mcg/min to 35 mcg/min, titrating to effect, not to exceed 200 mcg/min. (2)
  • Adjust the dose according to the pressor response (i.e. titrate to effect). (2)
3 Dosage Forms and Strengths (3 DOSAGE FORMS AND STRENGTHS)

Phenylephrine hydrochloride injection USP, 10 mg/mL, for intravenous use, is available in following vial sizes:

  • Injection: 10 mg/mL in Pharmacy Bulk Package 5 mL vial (50 mg of phenylephrine hydrochloride, USP per vial) that will provide five 1 mL single-doses
  • Injection: 10 mg/mL in Pharmacy Bulk Package 10 mL vial (100 mg of phenylephrine hydrochloride, USP per vial) that will provide ten 1 mL single-doses

17 Patient Counseling Information (17 PATIENT COUNSELING INFORMATION)

If applicable, inform patient, family member, or caregiver that certain medical conditions and medications might influence how phenylephrine hydrochloride injection works.

Manufactured by:

Amneal Pharmaceuticals Pvt. Ltd.

Parenteral Unit


Ahmedabad 382213, INDIA

Or

Amneal Pharmaceuticals Pvt. Ltd.

Parenteral Unit


Ahmedabad 382110, INDIA

Distributed by:

Amneal Pharmaceuticals LLC


Bridgewater, NJ 08807

Rev. 11-2023-03

5.3 Skin and Subcutaneous Necrosis

Extravasation of phenylephrine hydrochloride can cause necrosis or sloughing of tissue. The infusion site should be checked for free flow. Care should be taken to avoid extravasation of phenylephrine hydrochloride.

16 How Supplied/storage and Handling (16 HOW SUPPLIED/STORAGE AND HANDLING)

Phenylephrine Hydrochloride Injection, USP is a sterile, clear, colorless solution and supplied in 5 mL and 10 mL glass vials. Each mL contains phenylephrine hydrochloride USP, 10 mg.

50 mg/5 mL (10 mg/mL) 5 mL vial Pharmacy Bulk Package:

5 mL Vial:                                                                               NDC 70121-1578-1

10 Vials in a Carton:                                                               NDC 70121-1578-7

100 mg/10 mL (10 mg/mL) 10 mL vial Pharmacy Bulk Package:

10 mL Vial  in a Carton:                                                          NDC 70121-1579-1

Store phenylephrine hydrochloride injection USP, 10 mg/mL at 20° to 25°C (68° to 77°F); excursions permitted between 15° to 30°C (59° to 86°F) [see USP Controlled Room Temperature].

Protect from light. Store in carton until time of use. Vial stoppers are not made with natural rubber latex.

The diluted solution should not be held for more than 4 hours at room temperature or for more than 24 hours under refrigerated conditions. Discard any unused portion.

5.2 Peripheral and Visceral Ischemia

Phenylephrine hydrochloride can cause excessive peripheral and visceral vasoconstriction and ischemia to vital organs, particularly in patients with extensive peripheral vascular disease.

7.1 Interactions That Augment Pressor Effect (7.1 Interactions that Augment Pressor Effect)

The increasing blood pressure effect of phenylephrine hydrochloride is increased in patients receiving:

  • Monoamine oxidase inhibitors (MAOI)
  • Oxytocin and oxytocic drugs
  • Tricyclic antidepressants
  • Angiotensin, aldosterone
  • Atropine
  • Steroids, such as hydrocortisone
  • Norepinephrine transporter inhibitors, such as atomoxetine
  • Ergot alkaloids, such as methylergonovine maleate

2.1 General Dosage and Administration Instructions

Phenylephrine hydrochloride injection, 10 mg/mL must be diluted before administration as an intravenous bolus or continuous intravenous infusion to achieve the desired concentration:

  • Bolus: Dilute with normal saline or 5% dextrose in water.
  • Continuous infusion: Dilute with normal saline or 5% dextrose in water.

Parenteral drug products should be inspected visually for particulate matter and discoloration prior to administration. Do not use if the solution is colored or cloudy, or if it contains particulate matter. The diluted solution should not be held for more than 4 hours at room temperature or for more than 24 hours under refrigerated conditions. Discard any unused portion.

During phenylephrine hydrochloride injection administration:

  • Correct intravascular volume depletion.
  • Correct acidosis. Acidosis may reduce the effectiveness of phenylephrine.
5.8 Pressor Effect With Concomitant Oxytocic Drugs (5.8 Pressor Effect with Concomitant Oxytocic Drugs)

Oxytocic drugs potentiate the increasing blood pressure effect of sympathomimetic pressor amines including phenylephrine hydrochloride [see Drug Interactions ( 7.1) ], with the potential for hemorrhagic stroke.

7.2 Interactions That Antagonize the Pressor Effect (7.2 Interactions that Antagonize the Pressor Effect)

The increasing blood pressure effect of phenylephrine hydrochloride is decreased in patients receiving:

  • α-adrenergic antagonists
  • Phosphodiesterase Type 5 inhibitors
  • Mixed α- and β-receptor antagonists
  • Calcium channel blockers, such as nifedipine
  • Benzodiazepines
  • ACE inhibitors
  • Centrally acting sympatholytic agents, such as reserpine, guanfacine

2.5 Directions for Dispensing From Pharmacy Bulk Vial (2.5 Directions for Dispensing from Pharmacy Bulk Vial)

The Pharmacy Bulk Vial is intended for dispensing of single-doses to multiple patients in a pharmacy admixture program and is restricted to the preparation of admixtures for infusion. Each closure shall be penetrated only one time with a suitable sterile transfer device or dispensing set that allows measured dispensing of the contents. The Pharmacy Bulk Vial is to be used only in a suitable work area such as a laminar flow hood (or an equivalent clean air compounding area). Dispensing from a pharmacy bulk vial should be completed within 4 hours after the vial is penetrated.

13.1 Carcinogenesis, Mutagenesis, Impairment of Fertility

Carcinogenesis

Long-term animal studies that evaluated the carcinogenic potential of orally administered phenylephrine hydrochloride in F344/N rats and B6C3F1 mice were completed by the National Toxicology Program using the dietary route of administration. There was no evidence of carcinogenicity in mice administered approximately 270 mg/kg/day (131 times the human daily dose (HDD) of 10 mg/60 kg/day based on body surface area) or rats administered approximately 50 mg/kg/day (48 times HDD) based on body surface area comparisons.

Mutagenesis

Phenylephrine hydrochloride tested negative in the in vitro bacterial reverse mutation assay (S.typhimurium strains TA98, TA100, TA1535 and TA1537), the in vitro chromosomal aberrations assay, the in vitro sister chromatid exchange assay, and the in vivo rat micronucleus assay. Positive results were reported in only one of two replicates of the in vitro mouse lymphoma assay.

Impairment of Fertility

Phenylephrine did not impair mating, fertility, or reproductive outcome in normotensive male rats treated with 3 mg/kg/day phenylephrine via continuous intravenous infusion over 1 hour (2.9 times the HDD) for 28 days prior to mating and for a minimum of 63 days prior to sacrifice and female rats treated with the same dosing regimen for 14 days prior to mating and through Gestation Day 6. This dose was associated with increased mortality in both male and female rats and decreased body weight gain in treated males. There were decreased caudal sperm density and increased abnormal sperm reported in males treated with 3 mg/kg/day phenylephrine (2.9 times the HDD).

2.2 Dosing for Treatment of Hypotension During Anesthesia (2.2 Dosing for Treatment of Hypotension during Anesthesia)

The following are the recommended dosages for the treatment of hypotension during anesthesia.

  • The recommended initial dose is 40 to 100 mcg administered by intravenous bolus.

    Additional boluses may be administered every 1 to 2 minutes as needed; not to exceed a total dosage of 200 mcg.

  • If blood pressure is below the target goal, start a continuous intravenous infusion with an infusion rate of 10 to 35 mcg/minute; not to exceed 200 mcg/minute.
  • Adjust dosage according to the blood pressure goal.
2.4 Prepare A Solution for Continuous Intravenous Administration (2.4 Prepare a Solution for Continuous Intravenous Administration)

For continuous intravenous infusion, prepare a solution containing a final concentration of 20 mcg/mL of phenylephrine hydrochloride in 5% Dextrose Injection, USP or 0.9% Sodium Chloride Injection, USP:

  • Withdraw 10 mg (1 mL of 10 mg/mL) of phenylephrine hydrochloride and dilute with 500 mL of 5% Dextrose Injection, USP or 0.9% Sodium Chloride Injection, USP.
2.3 Prepare A 100 Mcg/ml Solution for Bolus Intravenous Administration (2.3 Prepare a 100 mcg/mL Solution for Bolus Intravenous Administration)

For bolus intravenous administration, prepare a solution containing a final concentration of 100 mcg/mL of phenylephrine hydrochloride injection:

  • Withdraw 10 mg (1 mL of 10 mg/mL) of phenylephrine hydrochloride and dilute with 99 mL of 5% Dextrose Injection, USP or 0.9% Sodium Chloride Injection, USP.
  • Withdraw an appropriate dose from the 100 mcg/mL solution prior to bolus intravenous administration.
5.7 Risk of Augmented Pressor Affect in Patients With Autonomic Dysfunction (5.7 Risk of Augmented Pressor Affect in Patients with Autonomic Dysfunction)

The increasing blood pressure response to adrenergic drugs, including phenylephrine hydrochloride, can be increased in patients with autonomic dysfunction, as may occur with spinal cord injuries.

5.1 Exacerbation of Angina, Heart Failure, Or Pulmonary Arterial Hypertension (5.1 Exacerbation of Angina, Heart Failure, or Pulmonary Arterial Hypertension)

Because of its increasing blood pressure effects, phenylephrine hydrochloride can precipitate angina in patients with severe arteriosclerosis or history of angina, exacerbate underlying heart failure, and increase pulmonary arterial pressure.


Advanced Ingredient Data


Raw Label Data

All Sections (JSON)