These Highlights Do Not Include All The Information Needed To Use Pregabalin Capsules Safely And Effectively. See Full Prescribing Information For Pregabalin Capsules.

These Highlights Do Not Include All The Information Needed To Use Pregabalin Capsules Safely And Effectively. See Full Prescribing Information For Pregabalin Capsules.
SPL v2
SPL
SPL Set ID a025e4fc-e0c1-4c5b-a1c8-bd8e578a737e
Route
ORAL
Published
Effective Date 2024-12-01
Document Type 34391-3 HUMAN PRESCRIPTION DRUG LABEL

Drug Facts

Composition & Product

Active Ingredients
Pregabalin (75 mg)
Inactive Ingredients
Shellac Ammonia Alcohol Propylene Glycol Starch, Corn Mannitol Talc Gelatin, Unspecified Sodium Lauryl Sulfate Titanium Dioxide Ferric Oxide Red Ferrosoferric Oxide Butyl Alcohol Isopropyl Alcohol Potassium Hydroxide

Identifiers & Packaging

Pill Appearance
Imprint: 140;J Shape: capsule Color: orange Color: white Size: 14 mm Score: 1
Marketing Status
ANDA Active Since 2019-10-08

Description

Pregabalin capsules are indicated for:  • Management of neuropathic pain associated with diabetic peripheral neuropathy  • Management of postherpetic neuralgia  • Adjunctive therapy for the treatment of partial-onset seizures in patients 1 month of age and older • Management of fibromyalgia  • Management of neuropathic pain associated with spinal cord injury 

Warnings and Precautions

• Angioedema (e.g., swelling of the throat, head and neck) can occur, and may be associated with life-threatening respiratory compromise requiring emergency treatment. Discontinue pregabalin capsules immediately in these cases. ( Error! Hyperlink reference not valid. )  • Hypersensitivity reactions (e.g., hives, dyspnea, and wheezing) can occur. Discontinue pregabalin capsules immediately in these patients. ( Error! Hyperlink reference not valid. )  • Antiepileptic drugs, including pregabalin capsules, increase the risk of suicidal thoughts or behavior. ( Error! Hyperlink reference not valid. ) • Respiratory depression: May occur with pregabalin capsules, when used with concomitant CNS depressants or in the setting of underlying respiratory impairment. Monitor patients and adjust dosage as appropriate. ( Error! Hyperlink reference not valid. )  • Pregabalin capsules may cause dizziness and somnolence and impair patients’ ability to drive or operate machinery. ( Error! Hyperlink reference not valid. ) • Increased seizure frequency or other adverse reactions may occur if pregabalin capsules are rapidly discontinued. Withdraw pregabalin capsules gradually over a minimum of 1 week. ( Error! Hyperlink reference not valid. ) • Pregabalin capsules may cause peripheral edema. Exercise caution when co-administering pregabalin capsules and thiazolidinedione antidiabetic agents. ( Error! Hyperlink reference not valid. )

Contraindications

Pregabalin capsules are contraindicated in patients with known hypersensitivity to pregabalin or any of its components. Angioedema and hypersensitivity reactions have occurred in patients receiving pregabalin therapy [see Warnings and Precautions ( Error! Hyperlink reference not valid. )] .

Adverse Reactions

As with all antiepileptic drugs (AEDs), withdraw pregabalin capsules gradually to minimize the potential of increased seizure frequency in patients with seizure disorders. Following abrupt or rapid discontinuation of pregabalin capsules, some patients reported symptoms including insomnia, nausea, headache, anxiety, hyperhidrosis, and diarrhea. If pregabalin capsules are discontinued, taper the drug gradually over a minimum of 1 week rather than discontinue the drug abruptly. 

Drug Interactions

Since pregabalin capsules are predominantly excreted unchanged in the urine, undergoes negligible metabolism in humans (less than 2% of a dose recovered in urine as metabolites), and does not bind to plasma proteins, its pharmacokinetics are unlikely to be affected by other agents through metabolic interactions or protein binding displacement. In vitro and in vivo studies showed that pregabalin capsules are unlikely to be involved in significant pharmacokinetic drug interactions. Specifically, there are no pharmacokinetic interactions between pregabalin and the following antiepileptic drugs: carbamazepine, valproic acid, lamotrigine, phenytoin, phenobarbital, and topiramate. Important pharmacokinetic interactions would also not be expected to occur between pregabalin capsules and commonly used antiepileptic drugs [see Clinical Pharmacology ( 12)]. Pharmacodynamics Multiple oral doses of pregabalin capsules were co-administered with oxycodone, lorazepam, or ethanol. Although no pharmacokinetic interactions were seen, additive effects on cognitive and gross motor functioning were seen when pregabalin capsules were co-administered with these drugs. No clinically important effects on respiration were seen.

Storage and Handling

75 mg capsules: Light peach opaque cap / white opaque body size '4' hard gelatin capsules imprinted with '140' on cap and 'J' on body with black ink, filled with white to off white powder. Bottle of 60 capsules                        NDC 82804-170-60 Bottle of 90 capsules                        NDC 82804-170-90 Storage and Handling  Store at 20º to 25ºC (68º to 77ºF) [see USP Controlled Room Temperature].

How Supplied

75 mg capsules: Light peach opaque cap / white opaque body size '4' hard gelatin capsules imprinted with '140' on cap and 'J' on body with black ink, filled with white to off white powder. Bottle of 60 capsules                        NDC 82804-170-60 Bottle of 90 capsules                        NDC 82804-170-90 Storage and Handling  Store at 20º to 25ºC (68º to 77ºF) [see USP Controlled Room Temperature].


Medication Information

Warnings and Precautions

• Angioedema (e.g., swelling of the throat, head and neck) can occur, and may be associated with life-threatening respiratory compromise requiring emergency treatment. Discontinue pregabalin capsules immediately in these cases. ( Error! Hyperlink reference not valid. )  • Hypersensitivity reactions (e.g., hives, dyspnea, and wheezing) can occur. Discontinue pregabalin capsules immediately in these patients. ( Error! Hyperlink reference not valid. )  • Antiepileptic drugs, including pregabalin capsules, increase the risk of suicidal thoughts or behavior. ( Error! Hyperlink reference not valid. ) • Respiratory depression: May occur with pregabalin capsules, when used with concomitant CNS depressants or in the setting of underlying respiratory impairment. Monitor patients and adjust dosage as appropriate. ( Error! Hyperlink reference not valid. )  • Pregabalin capsules may cause dizziness and somnolence and impair patients’ ability to drive or operate machinery. ( Error! Hyperlink reference not valid. ) • Increased seizure frequency or other adverse reactions may occur if pregabalin capsules are rapidly discontinued. Withdraw pregabalin capsules gradually over a minimum of 1 week. ( Error! Hyperlink reference not valid. ) • Pregabalin capsules may cause peripheral edema. Exercise caution when co-administering pregabalin capsules and thiazolidinedione antidiabetic agents. ( Error! Hyperlink reference not valid. )

Contraindications

Pregabalin capsules are contraindicated in patients with known hypersensitivity to pregabalin or any of its components. Angioedema and hypersensitivity reactions have occurred in patients receiving pregabalin therapy [see Warnings and Precautions ( Error! Hyperlink reference not valid. )] .

Adverse Reactions

As with all antiepileptic drugs (AEDs), withdraw pregabalin capsules gradually to minimize the potential of increased seizure frequency in patients with seizure disorders. Following abrupt or rapid discontinuation of pregabalin capsules, some patients reported symptoms including insomnia, nausea, headache, anxiety, hyperhidrosis, and diarrhea. If pregabalin capsules are discontinued, taper the drug gradually over a minimum of 1 week rather than discontinue the drug abruptly. 

Drug Interactions

Since pregabalin capsules are predominantly excreted unchanged in the urine, undergoes negligible metabolism in humans (less than 2% of a dose recovered in urine as metabolites), and does not bind to plasma proteins, its pharmacokinetics are unlikely to be affected by other agents through metabolic interactions or protein binding displacement. In vitro and in vivo studies showed that pregabalin capsules are unlikely to be involved in significant pharmacokinetic drug interactions. Specifically, there are no pharmacokinetic interactions between pregabalin and the following antiepileptic drugs: carbamazepine, valproic acid, lamotrigine, phenytoin, phenobarbital, and topiramate. Important pharmacokinetic interactions would also not be expected to occur between pregabalin capsules and commonly used antiepileptic drugs [see Clinical Pharmacology ( 12)]. Pharmacodynamics Multiple oral doses of pregabalin capsules were co-administered with oxycodone, lorazepam, or ethanol. Although no pharmacokinetic interactions were seen, additive effects on cognitive and gross motor functioning were seen when pregabalin capsules were co-administered with these drugs. No clinically important effects on respiration were seen.

Storage and Handling

75 mg capsules: Light peach opaque cap / white opaque body size '4' hard gelatin capsules imprinted with '140' on cap and 'J' on body with black ink, filled with white to off white powder. Bottle of 60 capsules                        NDC 82804-170-60 Bottle of 90 capsules                        NDC 82804-170-90 Storage and Handling  Store at 20º to 25ºC (68º to 77ºF) [see USP Controlled Room Temperature].

How Supplied

75 mg capsules: Light peach opaque cap / white opaque body size '4' hard gelatin capsules imprinted with '140' on cap and 'J' on body with black ink, filled with white to off white powder. Bottle of 60 capsules                        NDC 82804-170-60 Bottle of 90 capsules                        NDC 82804-170-90 Storage and Handling  Store at 20º to 25ºC (68º to 77ºF) [see USP Controlled Room Temperature].

Description

Pregabalin capsules are indicated for:  • Management of neuropathic pain associated with diabetic peripheral neuropathy  • Management of postherpetic neuralgia  • Adjunctive therapy for the treatment of partial-onset seizures in patients 1 month of age and older • Management of fibromyalgia  • Management of neuropathic pain associated with spinal cord injury 

9.2 Abuse

In a study of recreational users (N=15) of sedative/hypnotic drugs, including alcohol, pregabalin capsules (450 mg, single dose) received subjective ratings of "good drug effect," "high" and "liking" to a degree that was similar to diazepam (30 mg, single dose). In controlled clinical studies in over 5,500 patients, 4 % of pregabalin capsules-treated patients and 1 % of placebo-treated patients overall reported euphoria as an adverse reaction, though in some patient populations studied, this reporting rate was higher and ranged from 1 to 12%.

10 Overdosage

Signs, Symptoms and Laboratory Findings of Acute Overdosage in Humans 

In the postmarketing experience, the most commonly reported adverse events observed with pregabalin when taken in overdose include reduced consciousness, depression/anxiety, confusional state, agitation, and restlessness. Seizures and heart block have also been reported. Deaths have been reported in the setting of lone pregabalin overdose and in combination with other CNS depressants. 

Treatment or Management of Overdose 

There is no specific antidote for overdose with pregabalin capsules. If indicated, elimination of unabsorbed drug may be attempted by emesis or gastric lavage; observe usual precautions to maintain the airway. General supportive care of the patient is indicated including monitoring of vital signs and observation of the clinical status of the patient. Contact a Certified Poison Control Center for up-to-date information on the management of overdose with pregabalin capsules. 

Pregabalin can be removed by hemodialysis. Standard hemodialysis procedures result in significant clearance of pregabalin (approximately 50% in 4 hours).

8.1 Pregnancy

Pregnancy Exposure Registry

There is a pregnancy exposure registry that monitors pregnancy outcomes in women exposed to pregabalin capsules during pregnancy. To provide information regarding the effects of in uteroexposure to pregabalin capsules, physicians are advised to recommend that pregnant patients taking pregabalin capsules enroll in the North American Antiepileptic Drug (NAAED) Pregnancy Registry. This can be done by calling the toll free number 1-888-233-2334, and must be done by patients themselves. Information on the registry can also be found at the website http://www.aedpregnancyregistry.org/.

Risk Summary 

Observational studies on the use of pregabalin during pregnancy suggest a possible small increase in the rate of overall major birth defects, but there was no consistent or specific pattern of major birth defects identified (see Data). Available postmarketing data on miscarriage and other maternal, fetal, and long term developmental adverse effects were insufficient to identify risk associated with pregabalin.

In animal reproduction studies, increased incidences of fetal structural abnormalities and other manifestations of developmental toxicity, including skeletal malformations, retarded ossification, and decreased fetal body weight were observed in the offspring of rats and rabbits given pregabalin orally during organogenesis, at doses that produced plasma pregabalin exposures (AUC) greater than or equal to 16 times human exposure at the maximum recommended dose (MRD) of 600 mg/day (see Data). In an animal development study, lethality, growth retardation, and nervous and reproductive system functional impairment were observed in the offspring of rats given pregabalin during gestation and lactation. The no-effect dose for developmental toxicity was approximately twice the human exposure at MRD. 

The background risk of major birth defects and miscarriage for the indicated populations are unknown. However, the background risk in the U.S. general population of major birth defects is 2 to 4% and of miscarriage is 15 to 20% of clinically recognized pregnancies. 

Data 

Human Data

One database study, which included over 2,700 pregnancies exposed to pregabalin (monotherapy) during the first trimester compared to 3,063,251 pregnancies unexposed to antiepileptics demonstrated prevalence ratios for major malformations overall of 1.14 (CI 95% 0.96-1.35) for pregabalin, 1.29 (CI 95% 1.01-1.65) for lamotrigine, 1.39 (CI 95% 1.07-1.82) for duloxetine, and 1.24 (CI 95% 1.00-1.54) for exposure to either lamotrigine or duloxetine. Important study limitations include uncertainty of whether women who filled a prescription took the medication and inability to adequately control for the underlying disease and other potential confounders.

A published study included results from two separate databases. One database, which included 353 pregnancies exposed to pregabalin (monotherapy) during the first trimester compared to 368,489 pregnancies unexposed to antiepileptics, showed no increase in risk of major birth defects; adjusted relative risk 0.87 (CI 95% 0.53-1.42). The second database, which included 118 pregnancies exposed to pregabalin (monotherapy) during the first trimester compared to 380,347 pregnancies unexposed to antiepileptics, suggested a small increase in risk of major birth defects; adjusted relative risk 1.26 (CI 95% 0.64-2.49). The risk estimates crossed the null, and the study had limitations similar to the prior study. 

Other published epidemiologic studies reported inconsistent findings. No specific pattern of birth defects was identified across studies. All of the studies had limitations due to their retrospective design.

Animal Data

When pregnant rats were given pregabalin (500 mg, 1250 mg, or 2500 mg/kg) orally throughout the period of organogenesis, incidences of specific skull alterations attributed to abnormally advanced ossification (premature fusion of the jugal and nasal sutures) were increased at greater than or equal to 1250 mg/kg, and incidences of skeletal variations and retarded ossification were increased at all doses. Fetal body weights were decreased at the highest dose. The low dose in this study was associated with a plasma exposure (AUC) approximately 17 times human exposure at the MRD of 600 mg/day. A no-effect dose for rat embryo-fetal developmental toxicity was not established.

When pregnant rabbits were given pregabalin capsules (250 mg, 500 mg, or 1250 mg/kg) orally throughout the period of organogenesis, decreased fetal body weight and increased incidences of skeletal malformations, visceral variations, and retarded ossification were observed at the highest dose. The no-effect dose for developmental toxicity in rabbits (500 mg/kg) was associated with a plasma exposure approximately 16 times human exposure at the MRD.

In a study in which female rats were dosed with pregabalin capsules (50 mg, 100 mg, 250 mg, 1250 mg, or 2500 mg/kg) throughout gestation and lactation, offspring growth was reduced at greater than or equal to 100 mg/kg and offspring survival was decreased at greater than or equal to 250 mg/kg. The effect on offspring survival was pronounced at doses greater than or equal to 1250 mg/kg, with 100% mortality in high-dose litters. When offspring were tested as adults, neurobehavioral abnormalities (decreased auditory startle responding) were observed at greater than or equal to 250 mg/kg and reproductive impairment (decreased fertility and litter size) was seen at 1250 mg/kg. The no-effect dose for pre- and postnatal developmental toxicity in rats (50 mg/kg) produced a plasma exposure approximately 2 times human exposure at the MRD.

In the prenatal-postnatal study in rats, pregabalin prolonged gestation and induced dystocia at exposures greater than or equal to 50 times the mean human exposure (AUC (0 to 24)of 123 mcg∙hr/mL) at the MRD.

8.2 Lactation

Risk Summary

Small amounts of pregabalin have been detected in the milk of lactating women. A pharmacokinetic study in lactating women detected pregabalin in breast milk at average steady state concentrations approximately 76% of those in maternal plasma. The estimated average daily infant dose of pregabalin from breast milk (assuming mean milk consumption of 150 mL/kg/day) was 0.31 mg/kg/day, which on a mg/kg basis would be approximately 7% of the maternal dose (see Data).The study did not evaluate the effects of pregabalin capsules on milk production or the effects of pregabalin capsules on the breastfed infant.

Based on animal studies, there is a potential risk of tumorigenicity with pregabalin exposure via breast milk to the breastfed infant [see Nonclinical Toxicology ( Error! Hyperlink reference not valid.  Available clinical study data in patients greater than 12 years of age do not provide a clear conclusion about the potential risk of tumorigenicity with pregabalin [see Warnings and Precautions ( Error! Hyperlink reference not valid. )]. Because of the potential risk of tumorigenicity, breastfeeding is not recommended during treatment with pregabalin capsules.

Data

A pharmacokinetic study in ten lactating women, who were at least 12 weeks postpartum, evaluated the concentrations of pregabalin in plasma and breast milk. Pregabalin 150 mg oral capsule was given every 12 hours (300 mg daily dose) for a total of four doses. Pregabalin was detected in breast milk at average steady-state concentrations approximately 76% of those in maternal plasma. The estimated average daily infant dose of pregabalin from breast milk (assuming mean milk consumption of 150 mL/kg/day) was 0.31 mg/kg/day, which on a mg/kg basis would be approximately 7% of the maternal dose. The study did not evaluate the effects of pregabalin capsules on milk production. Infants did not receive breast milk obtained during the dosing period, therefore, the effects of pregabalin capsules on the breast fed infant were not evaluated.

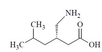
11 Description

Pregabalin is described chemically as (3S)-3-(Aminomethyl)-5-methylhexanoic acid. The molecular formula is C 8H 17NO 2and the molecular weight is 159.23. The chemical structure of pregabalin is:

Pregabalin is a white to off-white powder with a pKa of 11.30. It is freely soluble in 1N hydrochloric acid and sparingly soluble in water. The log of the partition coefficient is 1.3.

Pregabalin capsules are administered orally and are supplied as imprinted hard-shell capsules containing 25 mg, 50 mg, 75 mg, 100 mg, 150 mg, 200 mg, 225 mg, and 300 mg of pregabalin, along with corn starch, mannitol and talc as inactive ingredients. The capsule shells contain gelatin, sodium lauryl sulfate and titanium dioxide. In addition, 75 mg, 100 mg, 200 mg, 225 mg and 300 mg capsules contain iron oxide red. The imprinting ink contains black iron oxide, butyl alcohol, dehydrated alcohol, isopropyl alcohol, potassium hydroxide, propylene glycol, shellac and strong ammonia solution.

5.1 Angioedema

There have been postmarketing reports of angioedema in patients during initial and chronic treatment with pregabalin capsules. Specific symptoms included swelling of the face, mouth (tongue, lips, and gums), and neck (throat and larynx). There were reports of life-threatening angioedema with respiratory compromise requiring emergency treatment. Discontinue pregabalin capsules immediately in patients with these symptoms.

Exercise caution when prescribing pregabalin capsules to patients who have had a previous episode of angioedema. In addition, patients who are taking other drugs associated with angioedema (e.g., angiotensin converting enzyme inhibitors [ACE-inhibitors]) may be at increased risk of developing angioedema.

9.3 Dependence

In clinical studies, following abrupt or rapid discontinuation of pregabalin capsules, some patients reported symptoms including insomnia, nausea, headache or diarrhea [see Warnings and Precautions( Error! Hyperlink reference not valid. )], consistent with physical dependence. In the postmarketing experience, in addition to these reported symptoms there have also been reported cases of anxiety and hyperhidrosis.

5.8 Weight Gain

Pregabalin capsules treatment may cause weight gain. In pregabalin capsules controlled clinical trials in adult patients of up to 14 weeks, a gain of 7% or more over baseline weight was observed in 9% of pregabalin capsules-treated patients and 2% of placebo-treated patients. Few patients treated with pregabalin capsules (0.3%) withdrew from controlled trials due to weight gain. Pregabalin capsules associated weight gain was related to dose and duration of exposure but did not appear to be associated with baseline BMI, gender, or age. Weight gain was not limited to patients with edema [see Warnings and Precautions ( Error! Hyperlink reference not valid. )].

Although weight gain was not associated with clinically important changes in blood pressure in short-term controlled studies, the long-term cardiovascular effects of pregabalin capsules-associated weight gain are unknown.

Among diabetic patients, pregabalin capsules-treated patients gained an average of 1.6 kg (range: -16 to 16 kg), compared to an average 0.3 kg (range: -10 to 9 kg) weight gain in placebo patients. In a cohort of 333 diabetic patients who received pregabalin capsules for at least 2 years, the average weight gain was 5.2 kg.

While the effects of pregabalin capsules-associated weight gain on glycemic control have not been systematically assessed, in controlled and longer-term open label clinical trials with diabetic patients, pregabalin capsules treatment did not appear to be associated with loss of glycemic control (as measured by HbA 1C).

Medication Guide

  Pregabalin Capsules CV

(pre-GAB-a-lin)



Read this Medication Guide before you start taking pregabalin capsules and each time you get a refill. There may be new information. This information does not take the place of talking to your healthcare provider about your medical condition or treatment. If you have any questions about pregabalin capsules, ask your healthcare provider or pharmacist. 



What is the most important information I should know about pregabalin capsules?

Pregabalin capsules may cause serious side effects including:

• serious, even life-threatening, allergic reactions  

• swelling of your hands, legs and feet

• suicidal thoughts or actions  

• dizziness and sleepiness

• Serious, even life-threatening, allergic reactions.

These serious side effects are described below:

Stop taking pregabalin capsules and call your healthcare provider right away if you have any of these signs of a serious allergic reaction:

o swelling of your face, mouth, lips, gums, tongue, throat or neck

o trouble breathing

o rash, hives (raised bumps) or blisters

• Like other antiepileptic drugs, pregabalin capsules may cause suicidal thoughts or actions in a very small number of people, about 1 in 500. Call a healthcare provider right away if you have any of these symptoms, especially if they are new, worse, or worry you:

o thoughts about suicide or dying  

o trouble sleeping (insomnia)

o attempts to commit suicide  

o new or worse irritability

o new or worse depression  

o acting aggressive, being angry, or violent

o new or worse anxiety  

o acting on dangerous impulses

o feeling agitated or restless  

o an extreme increase in activity and talking (mania)

o panic attacks  

o other unusual changes in behavior or mood

If you have suicidal thoughts or actions, do not stop pregabalin capsules without first talking to a healthcare provider.

o Stopping pregabalin capsules suddenly can cause serious problems.

o Suicidal thoughts or actions can be caused by things other than medicines. If you have suicidal thoughts or actions, your healthcare provider may check for other causes.

How can I watch for early symptoms of suicidal thoughts and actions? 

  • Pay attention to any changes, especially sudden changes, in mood, behaviors, thoughts, or feelings.
  • Keep all follow-up visits with your healthcare provider as scheduled.
  • Call your healthcare provider between visits as needed, especially if you are worried about symptoms.



• Serious breathing problems can occur when pregabalin capsules is taken with other medicines that can cause severe sleepiness or decreased awareness, or when it is taken by someone who already has breathing problems. Watch for increased sleepiness or decreased breathing when starting pregabalin capsules or when the dose is increased. Get help right away if breathing problems occur.

• Swelling of your hands, legs and feet.This swelling can be a serious problem for people with heart problems.

• Dizziness and sleepiness.  Do not drive a car, work with machines, or do other dangerous activities until you know how pregabalin capsules affects you. Ask your healthcare provider about when it will be okay to do these activities.



What are pregabalin capsules?

Pregabalin capsules are a prescription medicine used in adults, 18 years of age and older to treat:

  • pain from damaged nerves (neuropathic pain) that happens with diabetes

  • pain from damaged nerves (neuropathic pain) that follows healing of shingles

  • fibromyalgia (pain all over your body)

  • pain from damaged nerves (neuropathic pain) that follows spinal cord injury

It is not known if pregabalin capsules are safe and effective in people under 18 years of age for the treatment of fibromyalgia and neuropathic pain with diabetes, shingles, or spinal cord injury.

Pregabalin capsules are a prescription medicine used in people 1 month of age and older to treat:

  • partial-onset seizures when taken together with other seizure medicines.

For the treatment of partial-onset seizures when taken together with other seizure medicines, it is not known if pregabalin capsules are safe and effective in children under 1 month of age. 



Who should not take pregabalin capsules?

Do not take pregabalin capsules if you are allergic to pregabalin or any of the ingredients in pregabalin capsules .

See  “What is the most important information I should know about pregabalin capsules?” for the signs of an allergic reaction.

See the end of this Medication Guide for a complete list of ingredients in pregabalin capsules.



What should I tell my healthcare provider before taking pregabalin capsules?

Before taking pregabalin capsules, tell your healthcare provider about all your medical conditions, including if you:

• have or have had depression, mood problems or suicidal thoughts or behavior.

• have breathing problems.

• have kidney problems or get kidney dialysis.

• have heart problems including heart failure.

• have a bleeding problem or a low blood platelet count.

• have abused prescription medicines, street drugs, or alcohol in the past.

• have ever had swelling of your face, mouth, tongue, lips, gums, neck, or throat (angioedema).

• plan to father a child. Animal studies have shown that pregabalin, the active ingredient in pregabalin capsules, made male animals less fertile and caused sperm to change. Also, in animal studies, birth defects were seen in the offspring (babies) of male animals treated with pregabalin. It is not known if these problems can happen in people who take pregabalin capsules.

• are pregnant or plan to become pregnant. Pregabalin capsules may harm your unborn baby. You and your healthcare provider will decide if you should take pregabalin capsules while you are pregnant.

o If you become pregnant while taking pregabalin capsules, talk to your healthcare provider about registering with the North American Antiepileptic Drug Pregnancy Registry. You can enroll in this registry by calling 1-888-233-‑2334. The purpose of this registry is to collect information about the safety of antiepileptic drugs during pregnancy. Information about the registry can also be found at the website, http://www.aedpregnancyregistry.org/.

• are breastfeeding or plan to breastfeed. Pregabalin passes into your breast milk. It is not known if pregabalin capsules can harm your baby. Talk to your healthcare provider about the best way to feed your baby if you take pregabalin capsules.  Breastfeeding is not recommended while taking pregabalin capsules.

Tell your healthcare provider about all the medicines you take, including prescription and over-the-counter medicines, vitamins or herbal supplements. Pregabalin capsules and other medicines may affect each other causing side effects. Especially tell your healthcare provider if you take:

• angiotensin converting enzyme (ACE) inhibitors, which are used to treat many conditions, including high blood pressure. You may have a higher chance for swelling and hives if these medicines are taken with pregabalin capsules.

• Avandia (rosiglitazone) or Actos (pioglitazone) for diabetes. You may have a higher chance of weight gain or swelling of your hands or feet if these medicines are taken with pregabalin capsules.

• any opioid pain medicine (such as oxycodone), or medicines for anxiety (such as lorazepam) or insomnia (such as zolpidem). You may have a higher chance for dizziness, sleepiness or serious breathing problems if these medicines are taken with pregabalin capsules.  

• any medicines that make you sleepy.

Know the medicines you take. Keep a list of them with you to show your healthcare provider and pharmacist each time you get a new medicine. Do not start a new medicine without talking with your healthcare provider. 



How should I take pregabalin capsules?

• Take pregabalin capsules exactly as prescribed. Your healthcare provider will tell you how much pregabalin to take and when to take it.

• Pregabalin capsules may be taken with or without food.

• Your healthcare provider may change your dose. Do not change your dose without talking to your healthcare provider.

• Do not stop taking pregabalin capsules without talking to your healthcare provider. If you stop taking pregabalin capsules suddenly you may have headaches, nausea, diarrhea, trouble sleeping, increased sweating, or you may feel anxious. If you have epilepsy and you stop taking pregabalin capsules suddenly, you may have seizures more often. Talk with your healthcare provider about how to stop pregabalin capsules slowly.

• If you miss a dose, take it as soon as you remember. If it is almost time for your next dose, just skip the missed dose. Take the next dose at your regular time. Do not take 2 doses at the same time.

• If you take too much pregabalin, call your healthcare provider or poison control center, or go to the nearest emergency room right away.



What should I avoid while taking pregabalin capsules?

• Do not drive a car, work with machines, or do other dangerous activities until you know how pregabalin capsules affects you.

• Do not drink alcohol while taking pregabalin capsules. Pregabalin capsules and alcohol can affect each other and increase side effects such as sleepiness and dizziness.



What are the possible side effects of pregabalin capsules?

Pregabalin capsules may cause serious side effects, including:

• See “What is the most important information I should know about pregabalin capsules?"

• Muscle problems, muscle pain, soreness, or weakness. If you have these symptoms, especially if you feel sick and have a fever, tell your healthcare provider right away.

• Problems with your eyesight, including blurry vision. Call your healthcare provider if you have any changes in your eyesight.

• Weight gain. If you have diabetes, weight gain may affect the management of your diabetes. Weight gain can also be a serious problem for people with heart problems.

• Feeling "high".

The most common side effects of pregabalin capsules in adults are:

• dizziness  • weight gain • trouble concentrating

• blurry vision  •   sleepiness  • swelling of hands and feet

•  dry mouth   

The most common side effects of pregabalin capsules in childrenare weight gain, increase in appetite, and sleepiness.

Pregabalin capsules caused skin sores in animal studies. Skin sores did not happen in studies in people. If you have diabetes, you should pay attention to your skin while taking pregabalin capsules and tell your healthcare provider about any sores or skin problems.

Tell your healthcare provider about any side effect that bothers you or that does not go away.

These are not all the possible side effects of pregabalin capsules. For more information, ask your healthcare provider or pharmacist.

Call your doctor for medical advice about side effects. You may report side effects to FDA at 1-800-FDA-1088. 



How should I store pregabalin capsules?

• Store pregabalin capsules at 68º to 77ºF (20º to 25ºC) in its original package.

• Safely throw away any pregabalin capsules that are out of date or no longer needed.

Keep pregabalin capsules and all medicines out of the reach of children. 



General information about the safe and effective use of pregabalin capsules

Medicines are sometimes prescribed for purposes other than those listed in a Medication Guide. Do not use pregabalin capsules for a condition for which it was not prescribed. Do not give pregabalin capsules to other people, even if they have the same symptoms you have. they may harm them. You can ask your healthcare provider or pharmacist for information about pregabalin capsules that is written for health professionals.



What are the ingredients in pregabalin capsules?

Active ingredient: pregabalin

Inactive ingredients: corn starch, mannitol and talc

Capsule shell: gelatin, sodium lauryl sulfate and titanium dioxide. In addition, 75 mg, 100 mg, 200 mg, 225 mg and 300 mg capsules contain iron oxide red.

Imprinting ink: black iron oxide, butyl alcohol, dehydrated alcohol, isopropyl alcohol, potassium hydroxide, propylene glycol, shellac and strong ammonia solution.

The brands listed are the trademarks of their respective owners and are not trademarks of Hetero Labs Limited.

 Medication Guide available at  http://camberpharma.com/medication-guides





Manufactured for:

Camber Pharmaceuticals, Inc.

Piscataway, NJ 08854



By:  HETEROTM

Hetero Labs Limited

Jeedimetla, Hyderabad-500055, India

 

Repackaged by:

Proficient Rx LC

Thousand Oaks, CA 91320

This Medication Guide has been approved by the U.S. Food and Drug Administration.

Revised: 04/2024

8.4 Pediatric Use

Neuropathic Pain Associated with Diabetic Peripheral Neuropathy, Postherpetic Neuralgia, and Neuropathic Pain Associated with Spinal Cord Injury

Safety and effectiveness in pediatric patients have not been established.

Fibromyalgia

Safety and effectiveness in pediatric patients have not been established.

A 15-week, placebo-controlled trial was conducted with 107 pediatric patients with fibromyalgia, ages 12 through 17 years, at pregabalin capsules total daily doses of 75 to 450 mg per day. The primary efficacy endpoint of change from baseline to Week 15 in mean pain intensity (derived from an 11-point numeric rating scale) showed numerically greater improvement for the pregabalin-treated patients compared to placebo-treated patients, but did not reach statistical significance. The most frequently observed adverse reactions in the clinical trial included dizziness, nausea, headache, weight increased, and fatigue. The overall safety profile in adolescents was similar to that observed in adults with fibromyalgia.

Adjunctive Therapy for Partial-Onset Seizures

Safety and effectiveness in pediatric patients below the age of 1 month have not been established.

4 to Less Than 17 Years of Age with Partial-Onset Seizures 

The safety and effectiveness of pregabalin as adjunctive treatment for partial-onset seizures in pediatric patients 4 to less than 17 years of age have been established in a 12-week, double-blind, placebo-controlled study (n=295) [see Clinical Studies (14.3)].Patients treated with pregabalin 10 mg/kg/day had, on average, a 21.0% greater reduction in partial-onset seizures than patients treated with placebo (p=0.0185). Patients treated with pregabalin 2.5 mg/kg/day had, on average, a 10.5% greater reduction in partial-onset seizures than patients treated with placebo, but the difference was not statistically significant (p=0.2577). 

Responder rates (50% or greater reduction in partial-onset seizure frequency) were a key secondary efficacy parameter and showed numerical improvement with pregabalin compared with placebo: the responder rates were 40.6%, 29.1%, and 22.6%, for pregabalin 10 mg/kg/day, pregabalin 2.5 mg/kg/day, and placebo, respectively.

The most common adverse reactions (≥5%) with pregabalin in this study were somnolence, weight increased, and increased appetite [see Adverse Reactions (6.1)]. 

The use of pregabalin 2.5 mg/kg/day in pediatric patients is further supported by evidence from adequate and well-controlled studies in adults with partial-onset seizures and pharmacokinetic data from adult and pediatric patients [see Clinical Pharmacology (12.3)]. 

1 Month to Less than 4 Years of Age with Partial-Onset Seizures 

The safety and effectiveness of pregabalin as adjunctive treatment for partial-onset seizures in pediatric patients 1 month to less than 4 years of age have been established in a 14-day double-blind, placebo-controlled study (N=175) [see Clinical Studies (14.3)].The youngest subject evaluated was 3 months of age; use in patients 1 month to less than 3 months of age is supported by additional pharmacokinetic analyses. Patients treated with pregabalin 14 mg/kg/day had, on average, 43.9% greater reduction in partial-onset seizures than patients treated with placebo (p=0.0223). In addition, pediatric patients treated with pregabalin 14 mg/kg/day showed numerical improvement in responder rates (≥50% reduction in partial-onset seizure frequency) compared with placebo (53.6% versus 41.5%). Patients treated with pregabalin 7 mg/kg/day did not show improvement relative to placebo for either endpoint. 

The most common dose-related adverse reactions (>5%) with pregabalin in this study were somnolence, pneumonia, and viral infection [see Adverse Reactions (6.1)].

Juvenile Animal Data

In studies in which pregabalin (50 mg to 500 mg/kg) was orally administered to young rats from early in the postnatal period (Postnatal Day 7) through sexual maturity, neurobehavioral abnormalities (deficits in learning and memory, altered locomotor activity, decreased auditory startle responding and habituation) and reproductive impairment (delayed sexual maturation and decreased fertility in males and females) were observed at doses greater than or equal to 50 mg/kg. The neurobehavioral changes of acoustic startle persisted at greater than or equal to 250 mg/kg and locomotor activity and water maze performance at greater than or equal to 500 mg/kg in animals tested after cessation of dosing and, thus, were considered to represent long-term effects. The low effect dose for developmental neurotoxicity and reproductive impairment in juvenile rats (50 mg/kg) was associated with a plasma pregabalin exposure (AUC) approximately equal to human exposure at the maximum recommended dose of 600 mg/day. A no-effect dose was not established.

8.5 Geriatric Use

In controlled clinical studies of pregabalin capsules in neuropathic pain associated with diabetic peripheral neuropathy, 246 patients were 65 to 74 years of age, and 73 patients were 75 years of age or older.

In controlled clinical studies of pregabalin capsules in neuropathic pain associated with postherpetic neuralgia, 282 patients were 65 to 74 years of age, and 379 patients were 75 years of age or older.

In controlled clinical studies of pregabalin capsules in epilepsy, there were only 10 patients 65 to 74 years of age, and 2 patients who were 75 years of age or older.

No overall differences in safety and efficacy were observed between these patients and younger patients.

In controlled clinical studies of pregabalin capsules in fibromyalgia, 106 patients were 65 years of age or older. Although the adverse reaction profile was similar between the two age groups, the following neurological adverse reactions were more frequent in patients 65 years of age or older: dizziness, vision blurred, balance disorder, tremor, confusional state, coordination abnormal, and lethargy.

Pregabalin capsules are known to be substantially excreted by the kidney, and the risk of toxic reactions to pregabalin capsules may be greater in patients with impaired renal function. Because pregabalin is eliminated primarily by renal excretion, adjust the dose for elderly patients with renal impairment [see Dosage and Administration Error! Hyperlink reference not valid.

4 Contraindications

Pregabalin capsules are contraindicated in patients with known hypersensitivity to pregabalin or any of its components. Angioedema and hypersensitivity reactions have occurred in patients receiving pregabalin therapy [see Warnings and Precautions ( Error! Hyperlink reference not valid. )] .

6 Adverse Reactions

The following serious adverse reactions are described elsewhere in the labeling: 

• Angioedema [see Warnings and Precautions ( Error! Hyperlink reference not valid. )] 

• Hypersensitivity [see Warnings and Precautions ( Error! Hyperlink reference not valid. )] 

• Suicidal Behavior and Ideation [see Warnings and Precautions ( Error! Hyperlink reference not valid. )] 

• Respiratory Depression [see Warnings and Precautions ( Error! Hyperlink reference not valid. )] 

• Dizziness and Somnolence [see Warnings and Precautions ( Error! Hyperlink reference not valid. )] 

• Increased Risk of Adverse Reactions with Abrupt or Rapid Discontinuation [see Warnings and Precautions ( Error! Hyperlink reference not valid. )] 

• Peripheral Edema [see Warnings and Precautions ( Error! Hyperlink reference not valid. )]  

• Weight Gain [see Warnings and Precautions ( Error! Hyperlink reference not valid. )] 

• Tumorigenic Potential [see Warnings and Precautions ( Error! Hyperlink reference not valid. )]

• Ophthalmological Effects [see Warnings and Precautions ( Error! Hyperlink reference not valid. )] 

• Creatine Kinase Elevations [see Warnings and Precautions ( Error! Hyperlink reference not valid. )] 

• Decreased Platelet Count [see Warnings and Precautions ( Error! Hyperlink reference not valid. )] 

• PR Interval Prolongation [see Warnings and Precautions ( Error! Hyperlink reference not valid. )]

7 Drug Interactions

Since pregabalin capsules are predominantly excreted unchanged in the urine, undergoes negligible metabolism in humans (less than 2% of a dose recovered in urine as metabolites), and does not bind to plasma proteins, its pharmacokinetics are unlikely to be affected by other agents through metabolic interactions or protein binding displacement. In vitroand in vivostudies showed that pregabalin capsules are unlikely to be involved in significant pharmacokinetic drug interactions. Specifically, there are no pharmacokinetic interactions between pregabalin and the following antiepileptic drugs: carbamazepine, valproic acid, lamotrigine, phenytoin, phenobarbital, and topiramate. Important pharmacokinetic interactions would also not be expected to occur between pregabalin capsules and commonly used antiepileptic drugs [see Clinical Pharmacology (12)].

Pharmacodynamics

Multiple oral doses of pregabalin capsules were co-administered with oxycodone, lorazepam, or ethanol. Although no pharmacokinetic interactions were seen, additive effects on cognitive and gross motor functioning were seen when pregabalin capsules were co-administered with these drugs. No clinically important effects on respiration were seen.

5.2 Hypersensitivity

There have been postmarketing reports of hypersensitivity in patients shortly after initiation of treatment with pregabalin capsules. Adverse reactions included skin redness, blisters, hives, rash, dyspnea, and wheezing. Discontinue pregabalin capsules immediately in patients with these symptoms.

5.7 Peripheral Edema

Pregabalin capsules treatment may cause peripheral edema. In short-term trials of patients without clinically significant heart or peripheral vascular disease, there was no apparent association between peripheral edema and cardiovascular complications such as hypertension or congestive heart failure. Peripheral edema was not associated with laboratory changes suggestive of deterioration in renal or hepatic function.

In controlled clinical trials in adult patients, the incidence of peripheral edema was 6% in the pregabalin capsules group compared with 2% in the placebo group. In controlled clinical trials, 0.5% of pregabalin capsules patients and 0.2% placebo patients withdrew due to peripheral edema.

Higher frequencies of weight gain and peripheral edema were observed in patients taking both pregabalin capsules and a thiazolidinedione antidiabetic agent compared to patients taking either drug alone. The majority of patients using thiazolidinedione antidiabetic agents in the overall safety database were participants in studies of pain associated with diabetic peripheral neuropathy. In this population, peripheral edema was reported in 3% (2/60) of patients who were using thiazolidinedione antidiabetic agents only, 8% (69/859) of patients who were treated with pregabalin capsules only, and 19% (23/120) of patients who were on both pregabalin capsules and thiazolidinedione antidiabetic agents. Similarly, weight gain was reported in 0% (0/60) of patients on thiazolidinediones only; 4% (35/859) of patients on pregabalin capsules only; and 7.5% (9/120) of patients on both drugs.

As the thiazolidinedione class of antidiabetic drugs can cause weight gain and/or fluid retention, possibly exacerbating or leading to heart failure, exercise caution when co-administering pregabalin capsules and these agents.

Because there are limited data on congestive heart failure patients with New York Heart Association (NYHA) Class III or IV cardiac status, exercise caution when using pregabalin capsules in these patients.

8.6 Renal Impairment

Pregabalin is eliminated primarily by renal excretion and dose adjustment is recommended for adult patients with renal impairment [see Dosage and Administration ( Error! Hyperlink reference not valid. ) and Clinical Pharmacology ( Error! Hyperlink reference not valid. )] . The use of pregabalin in pediatric patients with compromised renal function has not been studied.

12.3 Pharmacokinetics

Pregabalin is well absorbed after oral administration, is eliminated largely by renal excretion, and has an elimination half-life of about 6 hours.

Absorption and Distribution

Following oral administration of pregabalin capsules under fasting conditions, peak plasma concentrations occur within 1.5 hours. Pregabalin oral bioavailability is greater than or equal to 90% and is independent of dose. Following single- (25 mg to 300 mg) and multiple-dose (75 mg to 900 mg/day) administration, maximum plasma concentrations (C max) and area under the plasma concentration-time curve (AUC) values increase linearly. Following repeated administration, steady state is achieved within 24 to 48 hours. Multiple-dose pharmacokinetics can be predicted from single-dose data.

The rate of pregabalin absorption is decreased when given with food, resulting in a decrease in C maxof approximately 25% to 30% and an increase in T maxto approximately 3 hours. However, administration of pregabalin with food has no clinically relevant effect on the total absorption of pregabalin. Therefore, pregabalin can be taken with or without food.

Pregabalin does not bind to plasma proteins. The apparent volume of distribution of pregabalin following oral administration is approximately 0.5 L/kg. Pregabalin is a substrate for system L transporter which is responsible for the transport of large amino acids across the blood brain barrier. Although there are no data in humans, pregabalin has been shown to cross the blood brain barrier in mice, rats, and monkeys. In addition, pregabalin has been shown to cross the placenta in rats and is present in the milk of lactating rats.



Metabolism and Elimination

Pregabalin undergoes negligible metabolism in humans. Following a dose of radiolabeled pregabalin, approximately 90% of the administered dose was recovered in the urine as unchanged pregabalin. The N-methylated derivative of pregabalin, the major metabolite of pregabalin found in urine, accounted for 0.9% of the dose. In preclinical studies, pregabalin (S-enantiomer) did not undergo racemization to the R-enantiomer in mice, rats, rabbits, or monkeys.

Pregabalin is eliminated from the systemic circulation primarily by renal excretion as unchanged drug with a mean elimination half-life of 6.3 hours in subjects with normal renal function. Mean renal clearance was estimated to be 67.0 to 80.9 mL/min in young healthy subjects. Because pregabalin is not bound to plasma proteins this clearance rate indicates that renal tubular reabsorption is involved. Pregabalin elimination is nearly proportional to creatinine clearance (CL cr) [see Dosage and Administration Error! Hyperlink reference not valid.

Pharmacokinetics in Specific Populations

Race

In population pharmacokinetic analyses of the clinical studies in various populations, the pharmacokinetics of pregabalin capsules were not significantly affected by race (Caucasians, Blacks, and Hispanics).

Gender

Population pharmacokinetic analyses of the clinical studies showed that the relationship between daily dose and pregabalin capsules drug exposure is similar between genders.

Renal Impairment and Hemodialysis

Pregabalin clearance is nearly proportional to creatinine clearance (CL cr). Dosage reduction in patients with renal dysfunction is necessary. Pregabalin is effectively removed from plasma by hemodialysis. Following a 4-hour hemodialysis treatment, plasma pregabalin concentrations are reduced by approximately 50%. For patients on hemodialysis, dosing must be modified [see Dosage and Administration Error! Hyperlink reference not valid.

Elderly

Pregabalin oral clearance tended to decrease with increasing age. This decrease in pregabalin oral clearance is consistent with age-related decreases in CL cr. Reduction of pregabalin dose may be required in patients who have age-related compromised renal function [see Dosage and Administration Error! Hyperlink reference not valid.

Pediatric Pharmacokinetics

Pediatric Patients (3 months to less than 17 years of age) 

Pregabalin pharmacokinetics were evaluated in 358 pediatric patients 3 months to less than 17 years of age with partial-onset seizures at dose levels of 2.5, 5, 10, and 15 mg/kg/day after single and multiple oral administration of pregabalin. Following oral administration, pregabalin reaches peak plasma concentration at 0.5 hours to 2 hours in the fasted state. Both apparent clearance (CL/F) and apparent volume of distribution increase as body weight increases. A weight-based dosing regimen is necessary to achieve pregabalin exposures in pediatric patients 1 month to less than 17 years of age similar to those observed in adults treated for partial-onset seizures at effective doses [see Dosage and Administration ( Error! Hyperlink reference not valid. )]. The mean t ½is 3 to 4 hours in pediatric subjects up to 6 years of age, and 4 to 6 hours in those 7 years of age and older. Pregabalin CL/F is nearly proportional to CLcr (mL/min). The relationship is similar in pediatric and adult subjects. When normalized per body weight, CL/F (mL/min/kg) in pediatric subjects weighing less than 30 kg is approximately 40% higher in comparison to subjects weighing greater than or equal to 30 kg [see Dosage and Administration ( Error! Hyperlink reference not valid. )].

Drug Interactions

In Vitro Studies

Pregabalin, at concentrations that were, in general, 10-times those attained in clinical trials, does not inhibit human CYP1A2, CYP2A6, CYP2C9, CYP2C19, CYP2D6, CYP2E1, and CYP3A4 enzyme systems. In vitrodrug interaction studies demonstrate that pregabalin does not induce CYP1A2 or CYP3A4 activity. Therefore, an increase in the metabolism of coadministered CYP1A2 substrates (e.g. theophylline, caffeine) or CYP 3A4 substrates (e.g., midazolam, testosterone) is not anticipated.

In Vivo Studies

The drug interaction studies described in this section were conducted in healthy adults, and across various patient populations.

Gabapentin

The pharmacokinetic interactions of pregabalin and gabapentin were investigated in 12 healthy subjects following concomitant single-dose administration of 100-mg pregabalin and 300-mg gabapentin and in 18 healthy subjects following concomitant multiple-dose administration of 200-mg pregabalin every 8 hours and 400 mg gabapentin every 8 hours. Gabapentin pharmacokinetics following single- and multiple-dose administration were unaltered by pregabalin coadministration. The extent of pregabalin absorption was unaffected by gabapentin coadministration, although there was a small reduction in rate of absorption.

Oral Contraceptive

Pregabalin coadministration (200 mg three times a day) had no effect on the steady-state pharmacokinetics of norethindrone and ethinyl estradiol (1 mg/35 mcg, respectively) in healthy subjects.

Lorazepam

Multiple-dose administration of pregabalin (300 mg twice a day) in healthy subjects had no effect on the rate and extent of lorazepam single-dose pharmacokinetics and single-dose administration of lorazepam (1 mg) had no effect on the steady-state pharmacokinetics of pregabalin.

Oxycodone

Multiple-dose administration of pregabalin (300 mg twice a day) in healthy subjects had no effect on the rate and extent of oxycodone single-dose pharmacokinetics. Single-dose administration of oxycodone (10 mg) had no effect on the steady-state pharmacokinetics of pregabalin.

Ethanol

Multiple-dose administration of pregabalin (300 mg twice a day) in healthy subjects had no effect on the rate and extent of ethanol single-dose pharmacokinetics and single-dose administration of ethanol (0.7 g/kg) had no effect on the steady-state pharmacokinetics of pregabalin.

Phenytoin, carbamazepine, valproic acid, and lamotrigine

Steady-state trough plasma concentrations of phenytoin, carbamazepine and carbamazepine 10, 11 epoxide, valproic acid, and lamotrigine were not affected by concomitant pregabalin (200 mg three times a day) administration.

Population pharmacokinetic analyses in patients treated with pregabalin and various concomitant medications suggest the following:

Therapeutic class

Specific concomitant drug studied

Concomitant drug has no effect on the pharmacokinetics of pregabalin  

Hypoglycemics

Diuretics

Glyburide, insulin, metformin

Furosemide

Antiepileptic Drugs

Tiagabine

Concomitant drug has no effect on the pharmacokinetics of pregabalin

and pregabalin has no effect on the pharmacokinetics of concomitant

drug

Antiepileptic Drugs

Carbamazepine, lamotrigine, phenobarbital, phenytoin, topiramate, valproic acid

1 Indications and Usage

Pregabalin capsules are indicated for: 

• Management of neuropathic pain associated with diabetic peripheral neuropathy 

• Management of postherpetic neuralgia 

• Adjunctive therapy for the treatment of partial-onset seizures in patients 1 month of age and older

• Management of fibromyalgia 

• Management of neuropathic pain associated with spinal cord injury 

12.1 Mechanism of Action

Pregabalin binds with high affinity to the alpha 2-delta site (an auxiliary subunit of voltage-gated calcium channels) in central nervous system tissues. Although the mechanism of action of pregabalin has not been fully elucidated, results with genetically modified mice and with compounds structurally related to pregabalin (such as gabapentin) suggest that binding to the alpha 2-delta subunit may be involved in pregabalin's anti-nociceptive and antiseizure effects in animals. In animal models of nerve damage, pregabalin has been shown to reduce calcium-dependent release of pro-nociceptive neurotransmitters in the spinal cord, possibly by disrupting alpha 2-delta containing-calcium channel trafficking and/or reducing calcium currents. Evidence from other animal models of nerve damage and persistent pain suggest the anti-nociceptive activities of pregabalin may also be mediated through interactions with descending noradrenergic and serotonergic pathways originating from the brainstem that modulate pain transmission in the spinal cord.



While pregabalin is a structural derivative of the inhibitory neurotransmitter gamma-aminobutyric acid (GABA), it does not bind directly to GABA A, GABA B, or benzodiazepine receptors, does not augment GABAA responses in cultured neurons, does not alter rat brain GABA concentration or have acute effects on GABA uptake or degradation. However, in cultured neurons prolonged application of pregabalin increases the density of GABA transporter protein and increases the rate of functional GABA transport. Pregabalin does not block sodium channels, is not active at opiate receptors, and does not alter cyclooxygenase enzyme activity. It is inactive at serotonin and dopamine receptors and does not inhibit dopamine, serotonin, or noradrenaline reuptake.

9.1 Controlled Substance

Pregabalin capsules are a Schedule V controlled substance.

Pregabalin is not known to be active at receptor sites associated with drugs of abuse. As with any CNS active drug, carefully evaluate patients for history of drug abuse and observe them for signs of pregabalin capsules misuse or abuse (e.g., development of tolerance, dose escalation, drug-seeking behavior).

5.9 Tumorigenic Potential

In standard preclinical in vivolifetime carcinogenicity studies of pregabalin capsules, an unexpectedly high incidence of hemangiosarcoma was identified in two different strains of mice [see Nonclinical Toxicology ( Error! Hyperlink reference not valid. )]. The clinical significance of this finding is unknown. Clinical experience during pregabalin capsules premarketing development provides no direct means to assess its potential for inducing tumors in humans.

In clinical studies across various patient populations, comprising 6,396 patient-years of exposure in patients greater than 12 years of age, new or worsening-preexisting tumors were reported in 57 patients. Without knowledge of the background incidence and recurrence in similar populations not treated with pregabalin capsules, it is impossible to know whether the incidence seen in these cohorts is or is not affected by treatment.

5 Warnings and Precautions

• Angioedema (e.g., swelling of the throat, head and neck) can occur, and may be associated with life-threatening respiratory compromise requiring emergency treatment. Discontinue pregabalin capsules immediately in these cases. ( Error! Hyperlink reference not valid.

• Hypersensitivity reactions (e.g., hives, dyspnea, and wheezing) can occur. Discontinue pregabalin capsules immediately in these patients. ( Error! Hyperlink reference not valid.

• Antiepileptic drugs, including pregabalin capsules, increase the risk of suicidal thoughts or behavior. ( Error! Hyperlink reference not valid.)

• Respiratory depression: May occur with pregabalin capsules, when used with concomitant CNS depressants or in the setting of underlying respiratory impairment. Monitor patients and adjust dosage as appropriate. ( Error! Hyperlink reference not valid.

• Pregabalin capsules may cause dizziness and somnolence and impair patients’ ability to drive or operate machinery. ( Error! Hyperlink reference not valid.)

• Increased seizure frequency or other adverse reactions may occur if pregabalin capsules are rapidly discontinued. Withdraw pregabalin capsules gradually over a minimum of 1 week. ( Error! Hyperlink reference not valid.)

• Pregabalin capsules may cause peripheral edema. Exercise caution when co-administering pregabalin capsules and thiazolidinedione antidiabetic agents. ( Error! Hyperlink reference not valid.)

5.4 Respiratory Depression

There is evidence from case reports, human studies, and animal studies associating pregabalin capsules with serious, life-threatening, or fatal respiratory depression when co-administered with central nervous system (CNS) depressants, including opioids, or in the setting of underlying respiratory impairment. When the decision is made to co-prescribe pregabalin capsules with another CNS depressant, particularly an opioid, or to prescribe pregabalin capsules to patients with underlying respiratory impairment, monitor patients for symptoms of respiratory depression and sedation, and consider initiating pregabalin capsules at a low dose. The management of respiratory depression may include close observation, supportive measures, and reduction or withdrawal of CNS depressants (including pregabalin capsules).

There is more limited evidence from case reports, animal studies, and human studies associating pregabalin capsules with serious respiratory depression, without co-administered CNS depressants or without underlying respiratory impairment.

14.2 Postherpetic Neuralgia

The efficacy of pregabalin capsules for the management of postherpetic neuralgia was established in three double-blind, placebo-controlled, multicenter studies. These studies enrolled patients with neuralgia persisting for at least 3 months following healing of herpes zoster rash and a minimum baseline score of greater than or equal to 4 on an 11-point numerical pain rating scale ranging from 0 (no pain) to 10 (worst possible pain). Seventy-three percent of patients completed the studies. The baseline mean pain scores across the 3 studies ranged from 6 to 7. Patients were permitted up to 4 grams of acetaminophen per day as needed for pain, in addition to pregabalin. Patients recorded their pain daily in a diary.

Study PHN 1:This 13-week study compared pregabalin capsules 75 mg, 150 mg, and 300 mg twice daily with placebo. Patients with creatinine clearance (CL cr) between 30 to 60 mL/min were randomized to 75 mg, 150 mg, or placebo twice daily. Patients with creatinine clearance greater than 60 mL/min were randomized to 75 mg, 150 mg, 300 mg or placebo twice daily. In patients with creatinine clearance greater than 60 mL/min treatment with all doses of pregabalin capsules statistically significantly improved the endpoint mean pain score and increased the proportion of patients with at least a 50% reduction in pain score from baseline. Despite differences in dosing based on renal function, patients with creatinine clearance between 30 to  60 mL/min tolerated pregabalin capsules less well than patients with creatinine clearance greater than 60 mL/min as evidenced by higher rates of discontinuation due to adverse reactions. For various levels of improvement in pain intensity from baseline to study endpoint, Figure 3 shows the fraction of patients achieving that level of improvement. The figure is cumulative, so that patients whose change from baseline is, for example, 50%, are also included at every level of improvement below 50%. Patients who did not complete the study were assigned 0% improvement. Some patients experienced a decrease in pain as early as Week 1, which persisted throughout the study.



Figure 3:Patients Achieving Various Levels of Improvement in Pain Intensity– Study PHN 1

Study PHN 2:This 8-week study compared pregabalin capsules 100 mg or 200 mg three times a day with placebo, with doses assigned based on creatinine clearance. Patients with creatinine clearance between 30 to 60 mL/min were treated with 100 mg three times a day, and patients with creatinine clearance greater than 60 mL/min were treated with 200 mg three times daily. Treatment with pregabalin capsules statistically significantly improved the endpoint mean pain score and increased the proportion of patients with at least a 50% reduction in pain score from baseline. For various levels of improvement in pain intensity from baseline to study endpoint, Figure 4 shows the fraction of patients achieving those levels of improvement. The figure is cumulative, so that patients whose change from baseline is, for example, 50%, are also included at every level of improvement below 50%. Patients who did not complete the study were assigned 0% improvement. Some patients experienced a decrease in pain as early as Week 1, which persisted throughout the study.



Figure 4:Patients Achieving Various Levels of Improvement in Pain Intensity – Study PHN 2

Study PHN 3:This 8-week study compared pregabalin capsules 50 mg or 100 mg three times a day with placebo with doses assigned regardless of creatinine clearance. Treatment with pregabalin capsules 50 mg and 100 mg three times a day statistically significantly improved the endpoint mean pain score and increased the proportion of patients with at least a 50% reduction in pain score from baseline. Patients with creatinine clearance between 30 to 60 mL/min tolerated pregabalin capsules less well than patients with creatinine clearance greater than 60 mL/min as evidenced by markedly higher rates of discontinuation due to adverse reactions. For various levels of improvement in pain intensity from baseline to study endpoint, Figure 5 shows the fraction of patients achieving that level of improvement. The figure is cumulative, so that patients whose change from baseline is, for example, 50%, are also included at every level of improvement below 50%. Patients who did not complete the study were assigned 0% improvement. Some patients experienced a decrease in pain as early as Week 1, which persisted throughout the study.



Figure 5:Patients Achieving Various Levels of Improvement in Pain Intensity– Study PHN 3

2 Dosage and Administration

• For adult indications, begin dosing at 150 mg/day. For partial-onset seizure dosing in pediatric patients 1 month of age and older, refer to section Error! Hyperlink reference not valid.. ( Error! Hyperlink reference not valid., Error! Hyperlink reference not valid., Error! Hyperlink reference not valid., Error! Hyperlink reference not valid., Error! Hyperlink reference not valid.)

• Dosing recommendations: 

INDICATION

Dosing

Regimen

 

Maximum Dose

 

 

DPN Pain (2.2)

3 divided doses

per day

300 mg/day within

1 week

PHN (2.3)

2 or 3 divided doses per day

300 mg/day within 1 week.

Maximum dose of 600 mg/day.

Adjunctive Therapy for

Partial-Onset Seizures in

Pediatric and Adult Patients Weighing 30 kg or More (2.4)

2 or 3 divided doses per day

 

Maximum dose of

600 mg/day.

Adjunctive Therapy for Partial-Onset Seizures in Pediatric Patients Weighing Less than 30 kg (2.4)

1 month to less than 4 years: 

3 divided doses per day

4 years and older:

2 or 3 divided doses per day

14 mg/kg/day.

Fibromyalgia (2.5)

2 divided doses per day

300 mg/day within

1 week.

Maximum dose of 450 mg/day.

Neuropathic Pain Associated with Spinal Cord Injury (2.6)

2 divided doses per day

300 mg/day within

1 week.

Maximum dose of 600 mg/day.

Dose should be adjusted in adult patients with reduced renal function. ( Error! Hyperlink reference not valid.)  

5.5 Dizziness and Somnolence

Pregabalin capsules may cause dizziness and somnolence. Inform patients that pregabalin capsules-related dizziness and somnolence may impair their ability to perform tasks such as driving or operating machinery [see Patient Counseling Information ( Error! Hyperlink reference not valid. )]. 

In the pregabalin capsules controlled trials in adult patients, dizziness was experienced by 30% of pregabalin capsules-treated patients compared to 8% of placebo-treated patients; somnolence was experienced by 23% of pregabalin capsules-treated patients compared to 8% of placebo-treated patients. Dizziness and somnolence generally began shortly after the initiation of pregabalin capsules therapy and occurred more frequently at higher doses. Dizziness and somnolence were the adverse reactions most frequently leading to withdrawal (4% each) from controlled studies. In pregabalin capsules-treated patients reporting these adverse reactions in short-term, controlled studies, dizziness persisted until the last dose in 30% and somnolence persisted until the last dose in 42% of patients [see Drug Interactions ( Error! Hyperlink reference not valid. )].  

In the pregabalin capsules controlled trials in pediatric patients 4 to less than 17 years of age and 1 month to less than 4 years of age for the treatment of partial-onset seizures, somnolence was reported in 21% and 15% of pregabalin capsules-treated patients compared to 14% and 9% of placebo-treated patients, respectively, and occurred more frequently at higher doses. For patients 1 month to less than 4 years of age, somnolence includes related terms lethargy, sluggishness, and hypersomnia.

6.2 Postmarketing Experience

The following adverse reactions have been identified during postapproval use of pregabalin capsules. Because these reactions are reported voluntarily from a population of uncertain size, it is not always possible to reliably estimate their frequency or establish a causal relationship to drug exposure. 

Nervous System Disorders – Headache 

Gastrointestinal Disorders – Nausea, Diarrhea 

Reproductive System and Breast Disorders – Gynecomastia, Breast Enlargement 

Skin and subcutaneous tissue disorders – Bullous pemphigoid 

There are postmarketing reports of life-threatening or fatal respiratory depression in patients taking pregabalin capsules with opioids or other CNS depressants, or in the setting of underlying respiratory impairment.

In addition, there are postmarketing reports of events related to reduced lower gastrointestinal tract function (e.g., intestinal obstruction, paralytic ileus, constipation) when pregabalin capsules were co-administered with medications that have the potential to produce constipation, such as opioid analgesics. 

3 Dosage Forms and Strengths

Capsules: 25 mg, 50 mg, 75 mg, 100 mg, 150 mg, 200 mg, 225 mg, and 300 mg [see Description ( Error! Hyperlink reference not valid. ) and How Supplied/Storage and Handling ( Error! Hyperlink reference not valid. )].

5.10 Ophthalmological Effects

In controlled studies in adult patients, a higher proportion of patients treated with pregabalin capsules reported blurred vision (7%) than did patients treated with placebo (2%), which resolved in a majority of cases with continued dosing. Less than 1% of patients discontinued pregabalin capsules treatment due to vision-related events (primarily blurred vision).

Prospectively planned ophthalmologic testing, including visual acuity testing, formal visual field testing and dilated funduscopic examination, was performed in over 3,600 patients. In these patients, visual acuity was reduced in 7% of patients treated with pregabalin capsules, and 5% of placebo-treated patients. Visual field changes were detected in 13% of pregabalin capsules-treated, and 12% of placebo-treated patients. Funduscopic changes were observed in 2% of pregabalin capsules-treated and 2% of placebo-treated patients.

Although the clinical significance of the ophthalmologic findings is unknown, inform patients to notify their physician if changes in vision occur. If visual disturbance persists, consider further assessment. Consider more frequent assessment for patients who are already routinely monitored for ocular conditions [see Patient Counseling Information ( Error! Hyperlink reference not valid. )].

5.12 Decreased Platelet Count

Pregabalin capsules treatment was associated with a decrease in platelet count. Pregabalin capsules-treated subjects experienced a mean maximal decrease in platelet count of 20 × 10 3/μL, compared to 11 × 10 3/μL in placebo patients. In the overall database of controlled trials in adult patients, 2% of placebo patients and 3% of pregabalin capsules patients experienced a potentially clinically significant decrease in platelets, defined as 20% below baseline value and less than 150 × 10 3/μL. A single pregabalin capsules-treated subject developed severe thrombocytopenia with a platelet count less than 20 x 10 3/μL. In randomized controlled trials, pregabalin capsules were not associated with an increase in bleeding-related adverse reactions.

5.13 Pr Interval Prolongation

Pregabalin capsules treatment was associated with PR interval prolongation. In analyses of clinical trial ECG data in adult patients, the mean PR interval increase was 3 to 6 msec at pregabalin capsules doses greater than or equal to 300 mg/day. This mean change difference was not associated with an increased risk of PR increase greater than or equal to 25% from baseline, an increased percentage of subjects with on-treatment PR greater than 200 msec, or an increased risk of adverse reactions of second or third degree AV block.

Subgroup analyses did not identify an increased risk of PR prolongation in patients with baseline PR prolongation or in patients taking other PR prolonging medications. However, these analyses cannot be considered definitive because of the limited number of patients in these categories.

8 Use in Specific Populations

Lactation: Breastfeeding is not recommended.  Error! Hyperlink reference not valid.

6.1 Clinical Trials Experience

Because clinical trials are conducted under widely varying conditions, adverse reaction rates observed in the clinical trials of a drug cannot be directly compared to rates in the clinical trials of another drug and may not reflect the rates observed in practice.

In all controlled and uncontrolled trials across various patient populations during the premarketing development of pregabalin capsules, more than 10,000 patients have received pregabalin capsules. Approximately 5,000 patients were treated for 6 months or more, over 3,100 patients were treated for 1 year or longer, and over 1,400 patients were treated for at least 2 years.

Adverse Reactions Most Commonly Leading to Discontinuation in All Premarketing Controlled Clinical Studies

In premarketing controlled trials of all adult populations combined, 14% of patients treated with pregabalin capsules and 7% of patients treated with placebo discontinued prematurely due to adverse reactions. In the pregabalin capsules treatment group, the adverse reactions most frequently leading to discontinuation were dizziness (4%) and somnolence (4%). In the placebo group, 1% of patients withdrew due to dizziness and less than 1% withdrew due to somnolence. Other adverse reactions that led to discontinuation from controlled trials more frequently in the pregabalin capsules group compared to the placebo group were ataxia, confusion, asthenia, thinking abnormal, blurred vision, incoordination, and peripheral edema (1% each).

Most Common Adverse Reactions in All Controlled Clinical Studies in Adults

In premarketing controlled trials of all adult patient populations combined (including DPN, PHN, and adult patients with partial-onset seizures), dizziness, somnolence, dry mouth, edema, blurred vision, weight gain, and "thinking abnormal" (primarily difficulty with concentration/attention) were more commonly reported by subjects treated with pregabalin capsules than by subjects treated with placebo (greater than or equal to 5% and twice the rate of that seen in placebo).

Controlled Studies with Neuropathic Pain Associated with Diabetic Peripheral Neuropathy

Adverse Reactions Leading to Discontinuation

In clinical trials in adults with neuropathic pain associated with diabetic peripheral neuropathy, 9% of patients treated with pregabalin capsules and 4% of patients treated with placebo discontinued prematurely due to adverse reactions. In the pregabalin capsules treatment group, the most common reasons for discontinuation due to adverse reactions were dizziness (3%) and somnolence (2%). In comparison, less than 1% of placebo patients withdrew due to dizziness and somnolence. Other reasons for discontinuation from the trials, occurring with greater frequency in the pregabalin capsules group than in the placebo group, were asthenia, confusion, and peripheral edema. Each of these events led to withdrawal in approximately 1% of patients.

Most Common Adverse Reactions

Table 4 lists all adverse reactions, regardless of causality, occurring in greater than or equal to 1% of patients with neuropathic pain associated with diabetic neuropathy in the combined pregabalin capsules group for which the incidence was greater in this combined pregabalin capsules group than in the placebo group. A majority of pregabalin-treated patients in clinical studies had adverse reactions with a maximum intensity of "mild" or "moderate”.

Table 4. Adverse Reaction Incidence in Controlled Trials in Neuropathic Pain Associated with Diabetic Peripheral Neuropathy



Body systemPreferred term





75

mg/day [N=77]

%





150

mg/day [N=212]

%





300

mg/day

[N=321]

%





600

mg/day [N=369]

%



All PGB*

[N=979]

%





Placebo

[N=459]

%



Body as a whole



Asthenia





4



2





4





7





5





2



Accidental injury





5



2





2





6





4





3



Back pain



0



2





1





2





2





0



Chest pain



4



1





1





2





2





1



Face edema





0





1





1





2





1





0



Digestive system



Dry mouth



3



2





5





7





5





1



Constipation





0



2





4





6





4





2



Flatulence





3



0





2





3





2





1



Metabolic and nutritional disorders



Peripheral edema



4



6





9





12





9





2



Weight gain



0



4





4





6





4





0



Edema



0



2





4





2





2





0



Hypoglycemia





1





3





2





1





2





1



Nervous system



Dizziness





8



9





23





29





21





5



Somnolence





4



6





13





16





12





3



Neuropathy



9



2





2





5





4





3



Ataxia



6



1





2





4





3





1



Vertigo





1



2





2





4





3





1



Confusion



0



1





2





3





2





1



Euphoria



0



0





3





2





2





0



Incoordination





1



0





2





2





2





0





Thinking abnormal



1



0





1





3





2





0



Tremor





1



1





1





2





1





0



Abnormal gait



1



0





1





3





1





0



Amnesia





3



1





0





2





1





0



Nervousness



0



1





1





1





1





0



Respiratory system



Dyspnea





3



0





2





2





2





1



Special senses



Blurry vision





3



1





3





6





4





2



Abnormal vision





1



0





1





1





1





0

* PGB: pregabalin

† Thinking abnormal primarily consists of events related to difficulty with concentration/attention but also includes events related to cognition and language problems and slowed thinking.

‡ Investigator term; summary level term is amblyopia

Controlled Studies in Postherpetic Neuralgia

Adverse Reactions Leading to Discontinuation

In clinical trials in adults with postherpetic neuralgia, 14% of patients treated with pregabalin capsules and 7% of patients treated with placebo discontinued prematurely due to adverse reactions. In the pregabalin capsules treatment group, the most common reasons for discontinuation due to adverse reactions were dizziness (4%) and somnolence (3%). In comparison, less than 1% of placebo patients withdrew due to dizziness and somnolence. Other reasons for discontinuation from the trials, occurring in greater frequency in the pregabalin capsules group than in the placebo group, were confusion (2%), as well as peripheral edema, asthenia, ataxia, and abnormal gait (1% each).

Most Common Adverse Reactions

Table 5 lists all adverse reactions, regardless of causality, occurring in greater than or equal to 1% of patients with neuropathic pain associated with postherpetic neuralgia in the combined pregabalin capsules group for which the incidence was greater in this combined pregabalin capsules group than in the placebo group. In addition, an event is included, even if the incidence in the all pregabalin capsules group is not greater than in the placebo group, if the incidence of the event in the 600 mg/day group is more than twice that in the placebo group. A majority of pregabalin-treated patients in clinical studies had adverse reactions with a maximum intensity of "mild" or "moderate". Overall, 12.4% of all pregabalin-treated patients and 9.0% of all placebo-treated patients had at least one severe event while 8% of pregabalin-treated patients and 4.3% of placebo-treated patients had at least one severe treatment-related adverse event.

Table 5. Adverse Reaction Incidence in Controlled Trials in Neuropathic Pain Associated with Postherpetic Neuralgia

Body system

Preferred term

75 mg/d [N=84]

%

150 mg/d [N=302] %

300 mg/d [N=312] %

600 mg/d [N=154]

%

All PGB*[N=852]

%

Placebo [N=398] %

Body as a whole

Infection

14

8

6

3

7

4

Headache

5

9

5

8

7

5

Pain

5

4

5

5

5

4

Accidental injury

4

3

3

5

3

2

Flu syndrome

1

2

2

1

2

1

Face edema

0

2

1

3

2

1

Digestive system

Dry mouth

7

7

6

15

8

3

Constipation

4

5

5

5

5

2

Flatulence

2

1

2

3

2

1

Vomiting

1

1

3

3

2

1

Metabolic and nutritional disorders

Peripheral edema

0

8

16

16

12

4

Weight gain

1

2

5

7

4

0

Edema

0

1

2

6

2

1

Musculoskeletal system

Myasthenia

1

1

1

1

1

0

Nervous system

Dizziness

11

18

31

37

26

9

Somnolence

8

12

18

25

16

5

Ataxia

1

2

5

9

5

1

Abnormal gait

0

2

4

8

4

1

Confusion

1

2

3

7

3

0

Thinking abnormal

0

2

1

6

2

2

Incoordination

2

2

1

3

2

0

Amnesia

0

1

1

4

2

0

Speech disorder

0

0

1

3

1

0

Respiratory system

Bronchitis

0

1

1

3

1

1

Special senses

Blurry vision

1

5

5

9

5

3

Diplopia

0

2

2

4

2

0

Abnormal vision

0

1

2

5

2

0

Eye Disorder

0

1

1

2

1

0

Urogenital System

Urinary Incontinence

0

1

1

2

1

0

* PGB: pregabalin

† Thinking abnormal primarily consists of events related to difficulty with concentration/attention but also includes events related to cognition and language problems and slowed thinking.

‡ Investigator term; summary level term is amblyopia

Controlled Studies of Adjunctive Therapy for Partial-Onset Seizures in Adult Patients

Adverse Reactions Leading to Discontinuation

Approximately 15% of patients receiving pregabalin capsules and 6% of patients receiving placebo in trials of adjunctive therapy for partial-onset seizures discontinued prematurely due to adverse reactions. In the pregabalin capsules treatment group, the adverse reactions most frequently leading to discontinuation were dizziness (6%), ataxia (4%), and somnolence (3%). In comparison, less than 1% of patients in the placebo group withdrew due to each of these events. Other adverse reactions that led to discontinuation of at least 1% of patients in the pregabalin capsules group and at least twice as frequently compared to the placebo group were asthenia, diplopia, blurred vision, thinking abnormal, nausea, tremor, vertigo, headache, and confusion (which each led to withdrawal in 2% or less of patients).

Most Common Adverse Reactions

Table 6 lists all dose-related adverse reactions occurring in at least 2% of all pregabalin capsules-treated patients. Dose-relatedness was defined as the incidence of the adverse event in the 600 mg/day group was at least 2% greater than the rate in both the placebo and 150 mg/day groups. In these studies, 758 patients received pregabalin capsules and 294 patients received placebo for up to 12 weeks. A majority of pregabalin-treated patients in clinical studies had adverse reactions with a maximum intensity of "mild" or "moderate”.

Table 6. Dose-related Adverse Reaction Incidence in Controlled Trials of Adjunctive Therapy for Partial-Onset Seizures in Adult Patients



Body SystemPreferred Term





150 mg/d

[N = 185] %



300 mg/d

[N = 90]

%





600 mg/d

[N = 395]

%



All PGB *

[N = 670]

%



Placebo

[N = 294]

%



Body as a Whole



Accidental Injury



7



11



10



9



5



Pain



3



2



5



4



3



Digestive System



Increased Appetite



2



3



6



5



1



Dry Mouth



1



2



6



4



1



Constipation



1



1



7



4



2



Metabolic and Nutritional Disorders



Weight Gain



5



7



16



12



1



Peripheral Edema



3



3



6



5



2



Nervous System



Dizziness



18



31



38



32



11



Somnolence



11



18



28



22



11



Ataxia



6



10



20



15



4



Tremor



3



7



11



8



4



Thinking Abnormal



4



8



9



8



2



Amnesia



3



2



6



5



2



Speech Disorder



1



2



7



5



1



Incoordination



1



3



6



4



1



Abnormal Gait



1



3



5



4



0



Twitching



0



4



5



4



1



Confusion



1



2



5



4



2



Myoclonus





1





0





4





2





0



Special Senses



Blurred Vision §



5



8



12



10



4



Diplopia



5



7



12



9



4



Abnormal Vision



3



1



5



4



1

* PGB: pregabalin

† Excludes patients who received the 50 mg dose in Study E1.

‡ Thinking abnormal primarily consists of events related to difficulty with concentration/attention but also includes events related to cognition and language problems and slowed thinking.

§ Investigator term; summary level term is amblyopia.

Controlled Study of Adjunctive Therapy for Partial-Onset Seizures in Patients 4 to Less Than 17 Years of Age

Adverse Reactions Leading to Discontinuation

Approximately 2.5% of patients receiving pregabalin and no patients receiving placebo in trials of adjunctive therapy for partial-onset seizures discontinued prematurely due to adverse reactions. In the pregabalin treatment group, the adverse reactions leading to discontinuation were somnolence (3 patients), worsening of epilepsy (1 patient), and hallucination (1 patient).

Most Common Adverse Reactions

Table 7 lists all dose-related adverse reactions occurring in at least 2% of all pregabalin capsules -treated patients. Dose-relatedness was defined as an incidence of the adverse event in the 10 mg/kg/day group that was at least 2% greater than the rate in both the placebo and 2.5 mg/kg/day groups. In this study, 201 patients received pregabalin and 94 patients received placebo for up to 12 weeks. A majority of pregabalin-treated patients in the clinical study had adverse reactions with a maximum intensity of "mild" or "moderate”.

Table 7. Dose-related Adverse Reaction Incidence in a Controlled Trial in Adjunctive Therapy for Partial-Onset Seizures in Patients 4 to Less Than 17 Years of Age

Body System

Preferred Term

2.5 mg/kg/day a[N=104]

%

10 mg/kg/day b[N=97]

%

All PGB

[N=201]

%

Placebo

[N=94]

%

Gastrointestinal disorders

Salivary hypersecretion

1

4

2

0

Investigations

Weight increased

4

13

8

4

Metabolism and nutrition disorders

Increased appetite

7

10

8

4

Nervous system disorders

Somnolence

17

26

21

14

Abbreviations: N=number of patients; PGB = pregabalin.

a. 2.5 mg/kg/day: Maximum dose 150 mg/day. Includes patients less than 30 kg for whom dose was adjusted to 3.5 mg/kg/day.

b.10 mg/kg/day: Maximum dose 600 mg/day. Includes patients less than 30 kg for whom dose was adjusted to 14 mg/kg/day.

Controlled Study of Adjunctive Therapy for Partial-Onset Seizures in Patients 1 Month to Less Than 4 Years of Age

Most Common Adverse Reactions

Table 8 lists all dose-related adverse reactions occurring in at least 2% of all pregabalin capsules -treated patients. Dose-relatedness was defined as an incidence of the adverse event in the 14 mg/kg/day group that was at least 2% greater than the rate in both the placebo and 7 mg/kg/day groups. In this study, 105 patients received pregabalin and 70 patients received placebo for up to 14 days.

Table 8. Dose-related Adverse Reaction Incidence in a Controlled Trial in Adjunctive Therapy for Partial-Onset Seizures in Patients 1 Month to Less Than 4 Years of Age

Body System

Preferred Term

7 mg/kg/day [N=71]

%

14 mg/kg/day [N=34]

%

All PGB

[N=105]

%

Placebo

[N=70]

%

Nervous system disorders

Somnolence*

13

21

15

9

Infections and infestations

Pneumonia

1

9

4

0

Viral infection

3

6

4

3

Abbreviations: N=number of patients; PGB=pregabalin.

* includes related terms including lethargy, sluggishness, and hypersomnia.



Controlled Studies with Fibromyalgia

Adverse Reactions Leading to Discontinuation

In clinical trials of patients with fibromyalgia, 19% of patients treated with pregabalin (150 mg to 600 mg/day) and 10% of patients treated with placebo discontinued prematurely due to adverse reactions. In the pregabalin treatment group, the most common reasons for discontinuation due to adverse reactions were dizziness (6%) and somnolence (3%). In comparison, less than 1% of placebo-treated patients withdrew due to dizziness and somnolence. Other reasons for discontinuation from the trials, occurring with greater frequency in the pregabalin treatment group than in the placebo treatment group, were fatigue, headache, balance disorder, and weight increased. Each of these adverse reactions led to withdrawal in approximately 1% of patients.

Most Common Adverse Reactions

Table 9 lists all adverse reactions, regardless of causality, occurring in greater than or equal to 2% of patients with fibromyalgia in the ‘all pregabalin’ treatment group for which the incidence was greater than in the placebo treatment group. A majority of pregabalin-treated patients in clinical studies experienced adverse reactions with a maximum intensity of "mild" or "moderate".

Table 9. Adverse Reaction Incidence in Controlled Trials in Fibromyalgia



System Organ Class Preferred term



150

mg/d [N=132] %



300

mg/d [N=502]

%



450

mg/d [N=505]

%



600

mg/d [N=378]

%







All PGB*

[N=1,517]

%







Placebo

[N=505] %



Ear and Labyrinth Disorders



Vertigo



2



2



2



1



2



0



Eye Disorders



Vision blurred



8



7



7



12



8



1



Gastrointestinal Disorders



Dry mouth



7



6



9



9



8



2



Constipation



4



4



7



10



7



2



Vomiting



2



3



3



2



3



2



Flatulence



1



1



2



2



2



1



Abdominal distension



2



2



2



2



2



1



General Disorders and Administrative Site Conditions



Fatigue



5



7



6



8



7



4



Edema peripheral



5



5



6



9



6



2



Chest pain



2



1



1



2



2



1



Feeling abnormal



1



3



2



2



2



0



Edema



1



2



1



2



2



1



Feeling drunk



1



2



1



2



2



0



Infections and Infestations



Sinusitis



4



5



7



5



5



4



Investigations



Weight increased



8



10



10



14



11



2



Metabolism and Nutrition Disorders



Increased appetite



4



3



5



7



5



1



Fluid retention



2



3



3



2



2



1



Musculoskeletal and Connective Tissue Disorders



Arthralgia



4



3



3



6



4



2



Muscle spasms



2



4



4



4



4



2



Back pain



2



3



4



3



3



3



Nervous System Disorders



Dizziness



23



31



43



45



38



9



Somnolence



13



18



22



22



20



4



Headache



11



12



14



10



12



12



Disturbance in attention



4



4



6



6



5



1



Balance disorder



2



3



6



9



5



0



Memory impairment



1



3



4



4



3



0



Coordination abnormal



2



1



2



2



2



1



Hypoesthesia



2



2



3



2



2



1



Lethargy



2



2



1



2



2



0



Tremor



0



1



3



2



2



0



Psychiatric Disorders



Euphoric Mood



2



5



6



7



6



1



Confusional state



0



2



3



4



3



0



Anxiety



2



2



2



2



2



1



Disorientation



1



0



2



1



2



0



Depression



2



2



2



2



2



2



Respiratory, Thoracic and Mediastinal Disorders



Pharyngolaryngeal pain



2



1



3



3



2



2

* PGB: pregabalin

Controlled Studies in Neuropathic Pain Associated with Spinal Cord Injury

Adverse Reactions Leading to Discontinuation

In clinical trials of adults with neuropathic pain associated with spinal cord injury, 13% of patients treated with pregabalin and 10% of patients treated with placebo discontinued prematurely due to adverse reactions. In the pregabalin treatment group, the most common reasons for discontinuation due to adverse reactions were somnolence (3%) and edema (2%). In comparison, none of the placebo-treated patients withdrew due to somnolence and edema. Other reasons for discontinuation from the trials, occurring with greater frequency in the pregabalin treatment group than in the placebo treatment group, were fatigue and balance disorder. Each of these adverse reactions led to withdrawal in less than 2% of patients.

Most Common Adverse Reactions

Table 10 lists all adverse reactions, regardless of causality, occurring in greater than or equal to 2% of patients for which the incidence was greater than in the placebo treatment group with neuropathic pain associated with spinal cord injury in the controlled trials. A majority of pregabalin-treated patients in clinical studies experienced adverse reactions with a maximum intensity of "mild" or "moderate".

Table 10. Adverse Reaction Incidence in Controlled Trials in Neuropathic Pain Associated with Spinal Cord Injury

System Organ Class

Preferred term

PGB* (N=182)

Placebo (N=174)

%

%

Ear and labyrinth disorders

Vertigo

2.7

1.1

Eye disorders

Vision blurred

6.6

1.1

Gastrointestinal disorders

Dry mouth

11.0

2.9

Constipation

8.2

5.7

Nausea

4.9

4.0

Vomiting

2.7

1.1

General disorders and administration site conditions

Fatigue

11.0

4.0

Edema peripheral

10.4

5.2

Edema

8.2

1.1

Pain

3.3

1.1

Infections and infestations

Nasopharyngitis

8.2

4.6

Investigations

Weight increased

3.3

1.1

Blood creatine phosphokinase increased

2.7

0

Musculoskeletal and connective tissue disorders

Muscular weakness

4.9

1.7

Pain in extremity

3.3

2.3

Neck pain

2.7

1.1

Back pain

2.2

1.7

Joint swelling

2.2

0

Nervous system disorders

Somnolence

35.7

11.5

Dizziness

20.9

6.9

Disturbance in attention

3.8

0

Memory impairment

3.3

1.1

Paresthesia

2.2

0.6

Psychiatric disorders

Insomnia

3.8

2.9

Euphoric mood

2.2

0.6

Renal and urinary disorders

Urinary incontinence

2.7

1.1

Skin and subcutaneous tissue disorders

Decubitus ulcer

2.7

1.1

Vascular disorders

Hypertension

2.2

1.1

Hypotension

2.2

0

* PGB: Pregabalin

Other Adverse Reactions Observed During the Clinical Studies of Pregabalin Capsules

Following is a list of treatment-emergent adverse reactions reported by patients treated with pregabalin capsules during all clinical trials. The listing does not include those events already listed in the previous tables or elsewhere in labeling, those events for which a drug cause was remote, those events which were so general as to be uninformative, and those events reported only once which did not have a substantial probability of being acutely life-threatening.

Events are categorized by body system and listed in order of decreasing frequency according to the following definitions: frequentadverse reactions are those occurring on one or more occasions in at least 1/100 patients; infrequentadverse reactions are those occurring in 1/100 to 1/1,000 patients; rarereactions are those occurring in fewer than 1/1,000 patients. Events of major clinical importance are described in the Warnings and Precautionssection ( 5).

Body as a Whole – Frequent: Abdominal pain, Allergic reaction, Fever, Infrequent: Abscess, Cellulitis, Chills, Malaise, Neck rigidity, Overdose, Pelvic pain, Photosensitivity reaction, Rare: Anaphylactoid reaction, Ascites, Granuloma, Hangover effect, Intentional Injury, Retroperitoneal Fibrosis, Shock

Cardiovascular System – Infrequent: Deep thrombophlebitis, Heart failure, Hypotension, Postural hypotension, Retinal vascular disorder, Syncope; Rare: ST Depressed, Ventricular Fibrillation

Digestive System – Frequent: Gastroenteritis, Increased appetite; Infrequent: Cholecystitis, Cholelithiasis, Colitis, Dysphagia, Esophagitis, Gastritis, Gastrointestinal hemorrhage, Melena, Mouth ulceration, Pancreatitis, Rectal hemorrhage, Tongue edema; Rare: Aphthous stomatitis, Esophageal Ulcer, Periodontal abscess

Hemic and Lymphatic System – Frequent: Ecchymosis; Infrequent: Anemia, Eosinophilia, Hypochromic anemia, Leukocytosis, Leukopenia, Lymphadenopathy, Thrombocytopenia; Rare: Myelofibrosis, Polycythemia, Prothrombin decreased, Purpura, Thrombocythemia, Alanine aminotransferase increased, Aspartate aminotransferase increased

Metabolic and Nutritional Disorders – Rare: Glucose Tolerance Decreased, Urate Crystalluria

Musculoskeletal System – Frequent: Arthralgia, Leg cramps, Myalgia, Myasthenia; Infrequent:

Arthrosis; Rare: Chondrodystrophy, Generalized Spasm

Nervous System – Frequent: Anxiety, Depersonalization, Hypertonia, Hypoesthesia, Libido decreased, Nystagmus, Paresthesia, Sedation, Stupor, Twitching; Infrequent: Abnormal dreams, Agitation, Apathy, Aphasia, Circumoral paresthesia, Dysarthria, Hallucinations, Hostility, Hyperalgesia, Hyperesthesia, Hyperkinesia, Hypokinesia, Hypotonia, Libido increased, Myoclonus, Neuralgia; Rare: Addiction, Cerebellar syndrome, Cogwheel rigidity, Coma, Delirium, Delusions, Dysautonomia, Dyskinesia, Dystonia, Encephalopathy, Extrapyramidal syndrome, Guillain-Barré syndrome, Hypalgesia, Intracranial hypertension, Manic reaction, Paranoid reaction, Peripheral neuritis, Personality disorder, Psychotic depression, Schizophrenic reaction, Sleep disorder, Torticollis, Trismus

Respiratory System – Rare: Apnea, Atelectasis, Bronchiolitis, Hiccup, Laryngismus, Lung edema, Lung fibrosis, Yawn

Skin and Appendages – Frequent: Pruritus, Infrequent: Alopecia, Dry skin, Eczema, Hirsutism, Skin ulcer, Urticaria, Vesiculobullous rash; Rare: Angioedema, Exfoliative dermatitis, Lichenoid dermatitis, Melanosis, Nail Disorder, Petechial rash, Purpuric rash, Pustular rash, Skin atrophy, Skin necrosis, Skin nodule, Stevens-Johnson syndrome, Subcutaneous nodule

Special senses – Frequent: Conjunctivitis, Diplopia, Otitis media, Tinnitus; Infrequent: Abnormality of accommodation, Blepharitis, Dry eyes, Eye hemorrhage, Hyperacusis, Photophobia, Retinal edema, Taste loss, Taste perversion; Rare: Anisocoria, Blindness, Corneal ulcer, Exophthalmos, Extraocular palsy, Iritis, Keratitis, Keratoconjunctivitis, Miosis, Mydriasis, Night blindness, Ophthalmoplegia, Optic atrophy, Papilledema, Parosmia, Ptosis, Uveitis

Urogenital System – Frequent: Anorgasmia, Impotence, Urinary frequency, Urinary incontinence; Infrequent: Abnormal ejaculation, Albuminuria, Amenorrhea, Dysmenorrhea, Dysuria, Hematuria, Kidney calculus, Leukorrhea, Menorrhagia, Metrorrhagia, Nephritis, Oliguria, Urinary retention, Urine abnormality; Rare: Acute kidney failure, Balanitis, Bladder Neoplasm, Cervicitis, Dyspareunia, Epididymitis, Female lactation, Glomerulitis, Ovarian disorder, Pyelonephritis

Comparison of Gender and Race

The overall adverse event profile of pregabalin was similar between women and men. There are insufficient data to support a statement regarding the distribution of adverse experience reports by race.

14.4 Management of Fibromyalgia

The efficacy of pregabalin capsules for management of fibromyalgia was established in one    14-week, double-blind, placebo-controlled, multicenter study (F1) and one six-month, randomized withdrawal study (F2). Studies F1 and F2 enrolled patients with a diagnosis of fibromyalgia using the American College of Rheumatology (ACR) criteria (history of widespread pain for 3 months, and pain present at 11 or more of the 18 specific tender point sites). The studies showed a reduction in pain by visual analog scale. In addition, improvement was demonstrated based on a patient global assessment (PGIC), and on the Fibromyalgia Impact Questionnaire (FIQ).



Study F1:This 14-week study compared pregabalin capsules total daily doses of 300 mg, 450 mg and 600 mg with placebo. Patients were enrolled with a minimum mean baseline pain score of greater than or equal to 4 on an 11-point numeric pain rating scale and a score of greater than or equal to 40 mm on the 100 mm pain visual analog scale (VAS). The baseline mean pain score in this trial was 6.7. Responders to placebo in an initial one-week run-in phase were not randomized into subsequent phases of the study. A total of 64% of patients randomized to pregabalin capsules completed the study. There was no evidence of a greater effect on pain scores of the 600 mg daily dose than the 450 mg daily dose, but there was evidence of dose-dependent adverse reactions [ see Adverse Reactions Error! Hyperlink reference not valid. ]. Some patients experienced a decrease in pain as early as Week 1, which persisted throughout the study. The results are summarized in Figure 9 and Table 14.



For various levels of improvement in pain intensity from baseline to study endpoint, Figure 9 shows the fraction of patients achieving that level of improvement. The figure is cumulative. Patients who did not complete the study were assigned 0% improvement. Some patients experienced a decrease in pain as early as Week 1, which persisted throughout the study.



Figure 9:Patients Achieving Various Levels of Improvement in Pain Intensity – Fibromyalgia Study F1

  Table 14. Patient Global Response in Fibromyalgia Study F1



Patient Global Impression of Change



Treatment

Group

(mg/day)



% Any Improvement



95% CI



Placebo



47.6



(40.0, 55.2)



PGB 300



68.1



(60.9, 75.3)



PGB 450



77.8



(71.5, 84.0)



PGB 600



66.1



(59.1, 73.1) 

PGB = Pregabalin



Study F2: This randomized withdrawal study compared pregabalin capsules with placebo. Patients were titrated during a 6-week open-label dose optimization phase to a total daily dose of 300 mg, 450 mg, or 600 mg. Patients were considered to be responders if they had both: 1) at least a 50% reduction in pain (VAS) and, 2) rated their overall improvement on the PGIC as "much improved" or "very much improved." Those who responded to treatment were then randomized in the double-blind treatment phase to either the dose achieved in the open-label phase or to placebo. Patients were treated for up to 6 months following randomization. Efficacy was assessed by time to loss of therapeutic response, defined as 1) less than 30% reduction in pain (VAS) from open-label baseline during two consecutive visits of the double-blind phase, or 2) worsening of FM symptoms necessitating an alternative treatment. Fifty-four percent of patients were able to titrate to an effective and tolerable dose of pregabalin capsules during the  6-week open-label phase. Of the patients entering the randomized treatment phase assigned to remain on pregabalin capsules, 38% of patients completed 26 weeks of treatment versus 19% of placebo-treated patients.

When considering return of pain or withdrawal due to adverse events as loss of response (LTR), treatment with pregabalin capsules resulted in a longer time to loss of therapeutic response than treatment with placebo. Fifty-three percent of the pregabalin-treated subjects compared to 33% of placebo patients remained on study drug and maintained a therapeutic response to Week 26 of the study. Treatment with pregabalin capsules also resulted in a longer time to loss of response based on the FIQ 1, and longer time to loss of overall assessment of patient status, as measured by the PGIC 2.



1Time to worsening of the FIQ was defined as the time to a 1-point increase from double-blind baseline in each of the subscales, and a 5-point increase from double-blind baseline evaluation for the FIQ total score.

2Time to PGIC lack of improvement was defined as time to PGIC assessments indicating less improvement than "much improvement."



Figure 10:Time to Loss of Therapeutic Response, Fibromyalgia Study F2 (Kaplan-Meier Analysis)

 

5.11 Creatine Kinase Elevations

Pregabalin capsules treatment was associated with creatine kinase elevations. Mean changes in creatine kinase from baseline to the maximum value were 60 U/L for pregabalin capsules-treated patients and 28 U/L for the placebo patients. In all controlled trials in adult patients across multiple patient populations, 1.5% of patients on pregabalin capsules and 0.7% of placebo patients had a value of creatine kinase at least three times the upper limit of normal. Three pregabalin capsules-treated subjects had events reported as rhabdomyolysis in premarketing clinical trials. The relationship between these myopathy events and pregabalin capsules is not completely understood because the cases had documented factors that may have caused or contributed to these events. Instruct patients to promptly report unexplained muscle pain, tenderness, or weakness, particularly if these muscle symptoms are accompanied by malaise or fever. Discontinue treatment with pregabalin capsules if myopathy is diagnosed or suspected or if markedly elevated creatine kinase levels occur.

17 Patient Counseling Information

Advise the patient to read the FDA-approved patient labeling (Medication Guide).

Angioedema

Advise patients that pregabalin capsules may cause angioedema, with swelling of the face, mouth (lip, gum, tongue) and neck (larynx and pharynx) that can lead to life-threatening respiratory compromise. Instruct patients to discontinue pregabalin capsules and immediately seek medical care if they experience these symptoms [see Warnings and Precautions ( Error! Hyperlink reference not valid.

Hypersensitivity

Advise patients that pregabalin capsules has been associated with hypersensitivity reactions such as wheezing, dyspnea, rash, hives, and blisters. Instruct patients to discontinue pregabalin capsules and immediately seek medical care if they experience these symptoms [see Warnings and Precautions ( Error! Hyperlink reference not valid. )].

Suicidal Thinking and Behavior 

Patients, their caregivers, and families should be counseled that AEDs, including pregabalin capsules, may increase the risk of suicidal thoughts and behavior and should be advised of the need to be alert for the emergence or worsening of symptoms of depression, any unusual changes in mood or behavior, or the emergence of suicidal thoughts, behavior, or thoughts about self-harm. Report behaviors of concern immediately to healthcare providers [see Warnings and Precautions ( Error! Hyperlink reference not valid. )].  

Respiratory Depression

Inform patients about the risk of respiratory depression. Include information that the risk is greatest for those using concomitant central nervous system (CNS) depressants (such as opioid analgesics) or in those with underlying respiratory impairment. Teach patients how to recognize respiratory depression and advise them to seek medical attention immediately if it occurs [see Warnings and Precautions ( Error! Hyperlink reference not valid. )].

Dizziness and Somnolence 

Counsel patients that pregabalin capsules may cause dizziness, somnolence, blurred vision and other CNS signs and symptoms. Accordingly, advise patients not to drive, operate complex machinery, or engage in other hazardous activities until they have gained sufficient experience on pregabalin capsules to gauge whether or not it affects their mental, visual, and/or motor performance adversely [see Warnings and Precautions ( Error! Hyperlink reference not valid. )]. 

CNS Depressants 

Inform patients who require concomitant treatment with central nervous system depressants such as opiates or benzodiazepines that they may experience additive CNS side effects, such as respiratory depression, somnolence, and dizziness [see Warnings and Precautions ( Error! Hyperlink reference not valid. , Error! Hyperlink reference not valid. ) and Drug Interactions ( Error! Hyperlink reference not valid. )]. Advise patients to avoid consuming alcohol while taking pregabalin, as pregabalin may potentiate the impairment of motor skills and sedating effects of alcohol.

Adverse Reactions with Abrupt or Rapid Discontinuation 

Advise patients to take pregabalin capsules as prescribed. Abrupt or rapid discontinuation may result in increased seizure frequency in patients with seizure disorders, and insomnia, nausea, headache, anxiety, hyperhidrosis, or diarrhea [see Warnings and Precautions ( Error! Hyperlink reference not valid. )]. 

Missed Dose

Counsel patients if they miss a dose, they should take it as soon as they remember. If it is almost time for the next dose, they should skip the missed dose and take the next dose at their regularly scheduled time. Instruct patients not to take two doses at the same time.

Weight Gain and Edema 

Counsel patients that pregabalin capsules may cause edema and weight gain. Advise patients that concomitant treatment with pregabalin capsules and a thiazolidinedione antidiabetic agent may lead to an additive effect on edema and weight gain. For patients with preexisting cardiac conditions, this may increase the risk of heart failure [see Warnings and Precautions ( Error! Hyperlink reference not valid. , Error! Hyperlink reference not valid. )]. 

Ophthalmological Effects 

Counsel patients that pregabalin capsules may cause visual disturbances. Inform patients that if changes in vision occur, they should notify their physician [see Warnings and Precautions ( Error! Hyperlink reference not valid. )]. 

Creatine Kinase Elevations 

Instruct patients to promptly report unexplained muscle pain, tenderness, or weakness, particularly if accompanied by malaise or fever [see Warnings and Precautions ( Error! Hyperlink reference not valid. )].

Pregnancy

There is a pregnancy exposure registry that monitors pregnancy outcomes in women exposed to pregabalin capsules during pregnancy [see Use in Specific Populations ( Error! Hyperlink reference not valid.

Lactation

Advise nursing mothers that breastfeeding is not recommended during treatment with pregabalin capsules [see Use in Specific Populations ( Error! Hyperlink reference not valid.

Male Fertility

Inform men being treated with pregabalin capsules who plan to father a child of the potential risk of male-mediated teratogenicity. In preclinical studies in rats, pregabalin was associated with an increased risk of male-mediated teratogenicity. The clinical significance of this finding is uncertain [see Nonclinical Toxicology ( Error! Hyperlink reference not valid. ) and Use in Specific populations Error! Hyperlink reference not valid.

Dermatopathy

Instruct diabetic patients to pay particular attention to skin integrity while being treated with pregabalin capsules and to inform their healthcare provider about any sores or skin problems. Some animals treated with pregabalin developed skin ulcerations, although no increased incidence of skin lesions associated with pregabalin capsules was observed in clinical trials [see Nonclinical Toxicology ( Error! Hyperlink reference not valid.

Manufactured for:

Camber Pharmaceuticals, Inc.

Piscataway, NJ 08854



By: HETERO TM

Hetero Labs Limited

Jeedimetla, Hyderabad-500055, India

Repackaged by:

Proficient Rx LP

Thousand Oaks, CA 91320



Revised: 04/2024

5.3 Suicidal Behavior and Ideation

Antiepileptic drugs (AEDs), including pregabalin capsules, increase the risk of suicidal thoughts or behavior in patients taking these drugs for any indication. Monitor patients treated with any AED for any indication for the emergence or worsening of depression, suicidal thoughts or behavior, and/or any unusual changes in mood or behavior.

Pooled analyses of 199 placebo-controlled clinical trials (mono- and adjunctive therapy) of 11 different AEDs showed that patients randomized to one of the AEDs had approximately twice the risk (adjusted Relative Risk 1.8, 95% CI:1.2, 2.7) of suicidal thinking or behavior compared to patients randomized to placebo. In these trials, which had a median treatment duration of 12 weeks, the estimated incidence rate of suicidal behavior or ideation among 27,863 AED-treated patients was 0.43%, compared to 0.24% among 16,029 placebo-treated patients, representing an increase of approximately one case of suicidal thinking or behavior for every 530 patients treated. There were four suicides in drug-treated patients in the trials and none in placebo-treated patients, but the number is too small to allow any conclusion about drug effect on suicide.

The increased risk of suicidal thoughts or behavior with AEDs was observed as early as one week after starting drug treatment with AEDs and persisted for the duration of treatment assessed. Because most trials included in the analysis did not extend beyond 24 weeks, the risk of suicidal thoughts or behavior beyond 24 weeks could not be assessed.

The risk of suicidal thoughts or behavior was generally consistent among drugs in the data analyzed. The finding of increased risk with AEDs of varying mechanisms of action and across a range of indications suggests that the risk applies to all AEDs used for any indication. The risk did not vary substantially by age (5 to 100 years) in the clinical trials analyzed.

Table 3 shows absolute and relative risk by indication for all evaluated AEDs.

Table 3. Risk by Indication for Antiepileptic Drugs in the Pooled Analysis

Indication

Placebo Patients with Events Per 1,000 Patients

Drug Patients with Events Per 1,000 Patients

Relative Risk: Incidence of Events in Drug Patients/Incidence in Placebo Patients

Risk Difference: Additional Drug Patients with Events Per 1,000 Patients

Epilepsy

1.0

3.4

3.5

2.4

Psychiatric

5.7

8.5

1.5

2.9

Other

1.0

1.8

1.9

0.9

Total

2.4

4.3

1.8

1.9

The relative risk for suicidal thoughts or behavior was higher in clinical trials for epilepsy than in clinical trials for psychiatric or other conditions, but the absolute risk differences were similar for the epilepsy and psychiatric indications.

Anyone considering prescribing pregabalin capsules or any other AED must balance the risk of suicidal thoughts or behavior with the risk of untreated illness. Epilepsy and many other illnesses for which AEDs are prescribed are themselves associated with morbidity and mortality and an increased risk of suicidal thoughts and behavior. Should suicidal thoughts and behavior emerge during treatment, the prescriber needs to consider whether the emergence of these symptoms in any given patient may be related to the illness being treated.

16 How Supplied/storage and Handling

75 mg capsules:

Light peach opaque cap / white opaque body size '4' hard gelatin capsules imprinted with '140' on cap and 'J' on body with black ink, filled with white to off white powder.

Bottle of 60 capsules                        NDC 82804-170-60

Bottle of 90 capsules                        NDC 82804-170-90



Storage and Handling 

Store at 20º to 25ºC (68º to 77ºF) [see USP Controlled Room Temperature].

2.3 Postherpetic Neuralgia in Adults

The recommended dose of pregabalin capsules is 75 mg to 150 mg two times a day, or 50 mg to 100 mg three times a day (150 mg to 300 mg/day) in patients with creatinine clearance of at least    60 mL/min. Begin dosing at 75 mg two times a day, or 50 mg three times a day (150 mg/day). The dose may be increased to 300 mg/day within 1 week based on efficacy and tolerability.

Patients who do not experience sufficient pain relief following 2 to 4 weeks of treatment with 300 mg/day, and who are able to tolerate pregabalin capsules, may be treated with up to 300 mg two times a day, or 200 mg three times a day (600 mg/day). In view of the dose-dependent adverse reactions and the higher rate of treatment discontinuation due to adverse reactions, reserve dosing above 300 mg/day for those patients who have on-going pain and are tolerating 300 mg daily [see Adverse Reactions ( Error! Hyperlink reference not valid. )].

Package Label.principal Display Panel

Pregabalin Capsules 75 mg 60's Container-Label

2.5 Management of Fibromyalgia in Adults

The recommended dose of pregabalin capsules for fibromyalgia is 300 mg to 450 mg/day. Begin dosing at 75 mg two times a day (150 mg/day). The dose may be increased to 150 mg two times a day (300 mg/day) within 1 week based on efficacy and tolerability. Patients who do not experience sufficient benefit with 300 mg/day may be further increased to 225 mg two times a day (450 mg/day). Although pregabalin capsules were also studied at 600 mg/day, there is no evidence that this dose confers additional benefit and this dose was less well tolerated. In view of the dose-dependent adverse reactions, treatment with doses above 450 mg/day is not recommended [see Adverse Reactions ( Error! Hyperlink reference not valid. )].

2.1 Important Administration Instructions

Pregabalin capsules are given orally with or without food.

When discontinuing pregabalin capsules, taper gradually over a minimum of 1 week [see Warnings and Precautions ( Error! Hyperlink reference not valid. )].   

Because pregabalin is eliminated primarily by renal excretion, adjust the dose in adult patients with reduced renal function [see Dosage and Administration ( Error! Hyperlink reference not valid. )].

13.2 Animal Toxicology And/or Pharmacology

Dermatopathy

Skin lesions ranging from erythema to necrosis were seen in repeated-dose toxicology studies in both rats and monkeys. The etiology of these skin lesions is unknown. At the maximum recommended human dose (MRD) of 600 mg/day, there is a 2-fold safety margin for the dermatological lesions. The more severe dermatopathies involving necrosis were associated with pregabalin exposures (as expressed by plasma AUCs) of approximately 3 to 8 times those achieved in humans given the MRD. No increase in incidence of skin lesions was observed in clinical studies.

Ocular Lesions

Ocular lesions (characterized by retinal atrophy [including loss of photoreceptor cells] and/or corneal inflammation/mineralization) were observed in two lifetime carcinogenicity studies in Wistar rats. These findings were observed at plasma pregabalin exposures (AUC) greater than or equal to 2 times those achieved in humans given the maximum recommended dose of 600 mg/day. A no-effect dose for ocular lesions was not established. Similar lesions were not observed in lifetime carcinogenicity studies in two strains of mice or in monkeys treated for 1 year.

8.3 Females and Males of Reproductive Potential

Infertility

Males

Effects on Spermatogenesis

In a randomized, double-blind, placebo-controlled non-inferiority study to assess the effect of pregabalin on sperm characteristics, healthy male subjects received pregabalin at a daily dose up to 600 mg (n=111) or placebo (n=109) for 13 weeks (one complete sperm cycle) followed by a 13-week washout period (off-drug). A total of 65 subjects in the pregabalin group (59%) and 62 subjects in the placebo group (57%) were included in the per protocol (PP) population. These subjects took study drug for at least 8 weeks, had appropriate timing of semen collections and did not have any significant protocol violations. Among these subjects, approximately 9% of the pregabalin group (6/65) vs. 3% in the placebo group (2/62) had greater than or equal to 50% reduction in mean sperm concentrations from baseline at Week 26 (the primary endpoint). The difference between pregabalin and placebo was within the pre-specified non-inferiority margin of 20%. There were no adverse effects of pregabalin on sperm morphology, sperm motility, serum FSH or serum testosterone levels as compared to placebo. In subjects in the PP population with greater than or equal to 50% reduction in sperm concentration from baseline, sperm concentrations were no longer reduced by greater than or equal to 50% in any affected subject after an additional 3 months off-drug. In one subject, however, subsequent semen analyses demonstrated reductions from baseline of greater than or equal to 50% at 9 and 12 months off-drug. The clinical relevance of these data is unknown.

In the animal fertility study with pregabalin in male rats, adverse reproductive and developmental effects were observed [see Nonclinical Toxicology ( Error! Hyperlink reference not valid.

2.7 Dosing for Adult Patients With Renal Impairment

In view of dose-dependent adverse reactions and since pregabalin is eliminated primarily by renal excretion, adjust the dose in adult patients with reduced renal function. The use of pregabalin in pediatric patients with compromised renal function has not been studied.



Base the dose adjustment in patients with renal impairment on creatinine clearance (CLcr), as indicated in Table 2. To use this dosing table, an estimate of the patient's CLcr in mL/min is needed. CLcr in mL/min may be estimated from serum creatinine (mg/dL) determination using the Cockcroft and Gault equation: 



CLCr  =    [140- age (years) ] x weight (kg)     ( X 0.85 for female patients)

                72  x serum creatinine (mg/dL)



Next, refer to the Dosage and Administration section to determine the recommended total daily dose based on indication, for a patient with normal renal function (CLcr greater than or equal to 60 mL/min). Then refer to Table 2 to determine the corresponding renal adjusted dose.



(For example: A patient initiating pregabalin capsules therapy for postherpetic neuralgia with normal renal function (CLcr greater than or equal to 60 mL/min), receives a total daily dose of 150 mg/day pregabalin. Therefore, a renal impaired patient with a CLcr of 50 mL/min would receive a total daily dose of 75 mg/day pregabalin administered in two or three divided doses.)



For patients undergoing hemodialysis, adjust the pregabalin daily dose based on renal function. In addition to the daily dose adjustment, administer a supplemental dose immediately following every 4-hour hemodialysis treatment (see Table 2).



Table 2. Pregabalin Dosage Adjustment Based on Renal Function



Creatinine Clearance (CLcr)(mL/min)



Total Pregabalin Daily Dose (mg/day)*



Dose Regimen



Greater than or equal to 60



150



300



450



600



BID or TID



30 to 60



75



150



225



300



BID or TID



15 to 30



25 to 50



75



100 to 150



150



QD or BID



Less than 15



25



25 to 50



50 to 75



75



QD



 Supplementary dosage following hemodialysis (mg)



Patients on the 25 mg QD regimen: take one supplemental dose of 25 mg or 50 mg Patients on the 25 to 50 mg QD regimen: take one supplemental dose of 50 mg or 75 mg

Patients on the 50 to 75 mg QD regimen: take one supplemental dose of 75 mg or 100 mg

Patients on the 75 mg QD regimen: take one supplemental dose of 100 mg or 150 mg

TID= Three divided doses; BID = Two divided doses; QD = Single daily dose.

* Total daily dose (mg/day) should be divided as indicated by dose regimen to provide mg/dose.

† Supplementary dose is a single additional dose.

13.1 Carcinogenesis, Mutagenesis, Impairment of Fertility

Carcinogenesis

A dose-dependent increase in the incidence of malignant vascular tumors (hemangiosarcomas) was observed in two strains of mice (B6C3F1 and CD-1) given pregabalin (200 mg, 1000 mg, or 5000 mg/kg) in the diet for two years. Plasma pregabalin exposure (AUC) in mice receiving the lowest dose that increased hemangiosarcomas was approximately equal to the human exposure at the maximum recommended dose (MRD) of 600 mg/day. A no-effect dose for induction of hemangiosarcomas in mice was not established. No evidence of carcinogenicity was seen in two studies in Wistar rats following dietary administration of pregabalin for two years at doses (50 mg, 150 mg, or 450 mg/kg in males and 100 mg, 300 mg, or 900 mg/kg in females) that were associated with plasma exposures in males and females up to approximately 14 and 24 times, respectively, human exposure at the MRD.



Mutagenesis

Pregabalin was not mutagenic in bacteria or in mammalian cells in vitro, was not clastogenic in mammalian systems in vitroand in vivo, and did not induce unscheduled DNA synthesis in mouse or rat hepatocytes.



Impairment of Fertility

In fertility studies in which male rats were orally administered pregabalin (50 mg to 2500 mg/kg) prior to and during mating with untreated females, a number of adverse reproductive and developmental effects were observed. These included decreased sperm counts and sperm motility, increased sperm abnormalities, reduced fertility, increased preimplantation embryo loss, decreased litter size, decreased fetal body weights, and an increased incidence of fetal abnormalities. Effects on sperm and fertility parameters were reversible in studies of this duration (3 to 4 months). The no-effect dose for male reproductive toxicity in these studies (100 mg/kg) was associated with a plasma pregabalin exposure (AUC) approximately 3 times human exposure at the maximum recommended dose (MRD) of 600 mg/day.



In addition, adverse reactions on reproductive organ (testes, epididymides) histopathology were observed in male rats exposed to pregabalin (500 mg to 1250 mg/kg) in general toxicology studies of four weeks or greater duration. The no-effect dose for male reproductive organ histopathology in rats (250 mg/kg) was associated with a plasma exposure approximately 8 times human exposure at the MRD.



In a fertility study in which female rats were given pregabalin (500 mg, 1250 mg, or 2500 mg/kg) orally prior to and during mating and early gestation, disrupted estrous cyclicity and an increased number of days to mating were seen at all doses, and embryolethality occurred at the highest dose. The low dose in this study produced a plasma exposure approximately 9 times that in humans receiving the MRD. A no-effect dose for female reproductive toxicity in rats was not established.

2.6 Neuropathic Pain Associated With Spinal Cord Injury in Adults

The recommended dose range of pregabalin capsules for the treatment of neuropathic pain associated with spinal cord injury is 150 mg to 600 mg/day. The recommended starting dose is 75 mg two times a day (150 mg/day). The dose may be increased to 150 mg two times a day (300 mg/day) within 1 week based on efficacy and tolerability. Patients who do not experience sufficient pain relief after 2 to 3 weeks of treatment with 150 mg two times a day and who tolerate pregabalin capsules may be treated with up to 300 mg two times a day [see Clinical Studies ( Error! Hyperlink reference not valid. )].

14.1 Neuropathic Pain Associated With Diabetic Peripheral Neuropathy

The efficacy of the maximum recommended dose of pregabalin capsules for the management of neuropathic pain associated with diabetic peripheral neuropathy was established in three double-blind, placebo-controlled, multicenter studies with three times a day dosing, two of which studied the maximum recommended dose. Patients were enrolled with either Type 1 or Type 2 diabetes mellitus and a diagnosis of painful distal symmetrical sensorimotor polyneuropathy for 1 to 5 years. A total of 89% of patients completed Studies DPN 1 and DPN 2. The patients had a minimum mean baseline pain score of greater than or equal to 4 on an 11-point numerical pain rating scale ranging from 0 (no pain) to 10 (worst possible pain). The baseline mean pain scores across the two studies ranged from 6.1 to 6.7. Patients were permitted up to 4 grams of acetaminophen per day as needed for pain, in addition to pregabalin. Patients recorded their pain daily in a diary.

Study DPN 1:This 5-week study compared pregabalin capsules 25 mg, 100 mg, or 200 mg three times a day with placebo. Treatment with pregabalin capsules 100 mg and 200 mg three times a day statistically significantly improved the endpoint mean pain score and increased the proportion of patients with at least a 50% reduction in pain score from baseline. There was no evidence of a greater effect on pain scores of the 200 mg three times a day dose than the 100 mg three times a day dose, but there was evidence of dose dependent adverse reactions [see Adverse Reactions ( Error! Hyperlink reference not valid.  For a range of levels of improvement in pain intensity from baseline to study endpoint, Figure 1 shows the fraction of patients achieving that level of improvement. The figure is cumulative, so that patients whose change from baseline is, for example, 50%, are also included at every level of improvement below 50%. Patients who did not complete the study were assigned 0% improvement. Some patients experienced a decrease in pain as early as Week 1, which persisted throughout the study.



Figure 1:Patients Achieving Various Levels of Improvement in Pain Intensity – Study DPN 1

Study DPN 2:This 8-week study compared pregabalin capsules 100 mg three times a day with placebo. Treatment with pregabalin capsules 100 mg three times a day statistically significantly improved the endpoint mean pain score and increased the proportion of patients with at least a 50% reduction in pain score from baseline. For various levels of improvement in pain intensity from baseline to study endpoint, Figure 2 shows the fraction of patients achieving that level of improvement. The figure is cumulative, so that patients whose change from baseline is, for example, 50%, are also included at every level of improvement below 50%. Patients who did not complete the study were assigned 0% improvement. Some patients experienced a decrease in pain as early as Week 1, which persisted throughout the study.



Figure 2:Patients Achieving Various Levels of Improvement in Pain Intensity– Study DPN 2

14.5 Management of Neuropathic Pain Associated With Spinal Cord Injury

The efficacy of pregabalin capsules for the management of neuropathic pain associated with spinal cord injury was established in two double-blind, placebo-controlled, multicenter studies. Patients were enrolled with neuropathic pain associated with spinal cord injury that persisted continuously for at least three months or with relapses and remissions for at least six months. A total of 63% of patients completed study 1 and 84% completed study 2. The patients had a minimum mean baseline pain score of greater than or equal to 4 on an 11-point numerical pain rating scale ranging from 0 (no pain) to 10 (worst possible pain). The baseline mean pain scores across the two studies ranged from 6.5 to 6.7.



Patients were allowed to take opioids, non-opioid analgesics, antiepileptic drugs, muscle relaxants, and antidepressant drugs if the dose was stable for 30 days prior to screening. Patients were allowed to take acetaminophen and nonsteroidal anti-inflammatory drugs during the studies.



Study SCI 1:This 12-week, randomized, double-blind, parallel-group, multicenter, flexible dose (150 mg to 600 mg/day) study compared pregabalin with placebo. The 12-week study consisted of a 3-week dose adjustment phase and a 9-week dose maintenance phase. Treatment with pregabalin capsules 150 mg to 600 mg/day statistically significantly improved the endpoint weekly mean pain score, and increased the proportion of patients with at least a 30% and 50% reduction in pain score from baseline. The fraction of patients achieving various levels of improvement in pain intensity from baseline to Week 12 is presented in Figure 11. Some patients experienced a decrease in pain as early as week 1, which persisted throughout the study.



Figure 11:Patients Achieving Various Levels of Improvement in Pain Intensity – Study SCI 1

Study SCI 2:This 16-week, randomized, double-blind, placebo-controlled, parallel-group, multicenter, flexible dose (150 mg to 600 mg/day, in increments of 150 mg) study compared the efficacy, safety and tolerability of pregabalin with placebo. The 16-week study consisted of a    4-week dose adjustment phase and a 12-week dose maintenance phase. Treatment with pregabalin capsules statistically significantly improved the endpoint weekly mean pain score, and increased the proportion of patients with at least a 30% and 50% reduction in pain score from baseline. The fraction of patients achieving various levels of improvement in pain intensity from baseline to Week 16 is presented in Figure 12. Some patients experienced a decrease in pain as early as week 1, which persisted throughout the study.



Figure 12:Patients Achieving Various Levels of Improvement in Pain Intensity – Study SCI 2

 









5.6 Increased Risk of Adverse Reactions With Abrupt Or Rapid Discontinuation

As with all antiepileptic drugs (AEDs), withdraw pregabalin capsules gradually to minimize the potential of increased seizure frequency in patients with seizure disorders.

Following abrupt or rapid discontinuation of pregabalin capsules, some patients reported symptoms including insomnia, nausea, headache, anxiety, hyperhidrosis, and diarrhea.

If pregabalin capsules are discontinued, taper the drug gradually over a minimum of 1 week rather than discontinue the drug abruptly. 

2.2 Neuropathic Pain Associated With Diabetic Peripheral neuropathy in Adults

The maximum recommended dose of pregabalin capsules is 100 mg three times a day (300 mg/day) in patients with creatinine clearance of at least 60 mL/min. Begin dosing at 50 mg three times a day (150 mg/day). The dose may be increased to 300 mg/day within 1 week based on efficacy and tolerability.

Although pregabalin capsules were also studied at 600 mg/day, there is no evidence that this dose confers additional significant benefit and this dose was less well tolerated. In view of the dose-dependent adverse reactions, treatment with doses above 300 mg/day is not recommended [see Adverse Reactions ( Error! Hyperlink reference not valid. )].

2.4 Adjunctive Therapy for Partial Onset Seizures in Patients 1 Month of Age and Older

The recommended dosage for adults and pediatric patients 1 month of age and older are included in Table 1. Administer the total daily dosage orally in two or three divided doses as indicated in Table 1. In pediatric patients, the recommended dosing regimen is dependent upon body weight. Based on clinical response and tolerability, dosage may be increased, approximately weekly.

Table 1. Recommended Dosage for Adults and Pediatric Patients 1 Month and Older

Age and Body Weight

 

Recommended Initial Dosage

Recommended Maximum Dosage

Frequency of Administration

 

Adults (17 years and older)

150 mg/day

600 mg/day

2 or 3 divided doses

Pediatric patients weighing 30 kg or more

2.5 mg/kg/day

10 mg/kg/day

(not to exceed

600 mg/day)

2 or 3 divided doses

Pediatric patients weighing less than 30 kg

3.5 mg/kg/day

14 mg/kg/day

1 month to less than 4 years of age: 

3 divided doses

 

4 years of age and older: 

2 or 3 divided doses

Both the efficacy and adverse event profiles of pregabalin capsules have been shown to be dose-related. 

The effect of dose escalation rate on the tolerability of pregabalin capsules has not been formally studied. 

The efficacy of adjunctive pregabalin capsules in patients taking gabapentin has not been evaluated in controlled trials. Consequently, dosing recommendations for the use of pregabalin capsules with gabapentin cannot be offered.

14.3 Adjunctive Therapy for Partial Onset Seizures in Patients 1 Month of Age and Older

Adjunctive Therapy for Partial-Onset Seizures in Adult Patients

The efficacy of pregabalin capsules as adjunctive therapy for partial-onset seizures in adult patients was established in three 12-week, randomized, double-blind, placebo-controlled, multicenter studies. Patients were enrolled who had partial-onset seizures with or without secondary generalization and were not adequately controlled with 1 to 3 concomitant antiepileptic drugs (AEDs). Patients taking gabapentin were required to discontinue gabapentin treatment 1 week prior to entering baseline. During an 8-week baseline period, patients had to experience at least   6 partial-onset seizures with no seizure-free period exceeding 4 weeks. The mean duration of epilepsy was 25 years in these 3 studies and the mean and median baseline seizure frequencies were 22.5 and 10 seizures per month, respectively. Approximately half of the patients were taking 2 concurrent AEDs at baseline. Among the pregabalin capsules-treated patients, 80% completed the double-blind phase of the studies.

Table 11 shows median baseline seizure rates and median percent reduction in seizure frequency by dose.



Table 11. Seizure Response in Controlled, Adjunctive Epilepsy Studies in Adults



Daily Dose of Pregabalin



Dosing Regimen



N



Baseline Seizure Frequency/mo



Median % Change from Baseline



p-value, vs. placebo



Study E1



 



 



 



 



 



    Placebo



BID



100



9.5



0



 



50 mg/day



BID



88



10.3



-9



0.4230



150 mg/day



BID



86



8.8



-35



0.0001



300 mg/day



BID



90



9.8



-37



0.0001



600 mg/day



BID



89



9.0



-51



0.0001



Study E2



 



 



 



 



 



Placebo



TID



96



9.3



1



 



150 mg/day



TID



99



11.5



-17



0.0007



600 mg/day



TID



92



12.3



-43



0.0001



Study E3



 



 



 



 



 



Placebo



BID/TID



98



11



-1



 



600 mg/day



BID



103



9.5



-36



0.0001



600 mg/day



TID



111



10



-48



0.0001

In the first study (E1), there was evidence of a dose-response relationship for total daily doses of pregabalin capsules between 150 mg and 600 mg/day; a dose of 50 mg/day was not effective. In the first study (E1), each daily dose was divided into two equal doses (twice a day dosing). In the second study (E2), each daily dose was divided into three equal doses (three times a day dosing). In the third study (E3), the same total daily dose was divided into two equal doses for one group (twice a day dosing) and three equal doses for another group (three times a day dosing). While the three times a day dosing group in Study E3 performed numerically better than the twice a day dosing group, this difference was small and not statistically significant.

A secondary outcome measure included the responder rate (proportion of patients with greater than or equal to 50% reduction from baseline in partial seizure frequency). The following figure displays responder rate by dose for two of the studies.



Figure 6: Responder Rate by Adjunctive Epilepsy Study

 







Figure 7:Seizure Reduction by Dose (All Partial-Onset Seizures) for Studies E1, E2, and E3

Subset evaluations of the antiseizure efficacy of pregabalin capsules showed no clinically important differences as a function of age, gender, or race.

Adjunctive Therapy for Partial-Onset Seizures in Pediatric Patients 4 to Less Than 17 Years of Age 

The efficacy of pregabalin as adjunctive therapy in partial-onset seizures was established in a 12-week, randomized, double-blind, placebo-controlled, multicenter study in pediatric patients 4 years to less than 17 years of age with partial-onset seizures with or without secondary generalization. During an 8-week baseline period, patients had to experience at least 6 partial-onset seizures with no seizure-free period exceeding 4 weeks. The mean duration of epilepsy was 6 years and the mean and median baseline seizure frequencies were 57 and 18 seizures per month, respectively. Approximately 74% of the patients were taking 2 to 3 concurrent AEDs at baseline. Among the pregabalin-treated patients, 87% completed the double-blind phase of the study. 

In this study, pregabalin 2.5 mg/kg/day (maximum 150 mg/day) and 10 mg/kg/day (maximum 600 mg/day) were compared to placebo. Administration of each daily dose was divided into two equal doses (twice a day dosing). Because of higher weight-normalized clearance in patients with body weight less than 30 kg [see Clinical Pharmacology ( Error! Hyperlink reference not valid. )], the pregabalin dose was increased by 40% to 3.5 mg/kg/day for patients weighing less than 30 kg randomized to the 2.5 mg/kg/day group or to 14 mg/kg/day for patients randomized to the 10 mg/kg/day group. 

Table 12 shows median baseline seizure rates, median percent change from baseline in seizure rates, and percent difference relative to placebo (derived from the primary analysis model) by dose. 

Table 12. Seizure Response in Controlled Adjunctive Partial-Onset Seizure Study in Pediatric Patients 4 to Less Than 17 Years of Age



Daily Dose ofPregabalin



N



Median Baseline Seizure Frequency/ 28 days



Median % Change from Baseline



% Difference Relative to Placebo



p-value, versus placebo

 



Placebo



93



16.5



-16.9



Not applicable



 



2.5 mg/kg/day (BID) a



104



23.8



-27.3



-10.5



0.2577



10 mg/kg/day (BID) b



97



17.5



-37.1



-21.0



0.0185

Abbreviations: BID=twice daily; N=number. 

a.2.5 mg/kg/day: Maximum dose 150 mg/day. Includes patients less than 30 kg for whom dose was adjusted to 3.5 mg/kg/day. 

b.10 mg/kg/day: Maximum dose 600 mg/day. Includes patients less than 30 kg for whom dose was adjusted to 14 mg/kg/day. 

There was evidence of a dose-response relationship for total daily doses of pregabalin between 2.5 mg/kg/day and 10 mg/kg/day. A significant improvement in seizure rate was observed for pregabalin 10 mg/kg/day group compared with placebo. While the 2.5 mg/kg/day group performed numerically better than placebo, this difference was not statistically significant. 

A key secondary efficacy measure, the responder rate (proportion of patients with greater than or equal to 50% reduction from baseline in partial seizure frequency) showed improvements for pregabalin groups compared with placebo. The following figure displays responder rate by dose:

Figure 8:Responder Rate (Greater than or Equal to 50% Reduction)

Adjunctive Therapy for Partial-Onset Seizures in Pediatric Patients 1 Month to Less Than 4 Years of Age 

The efficacy of pregabalin as adjunctive therapy in partial-onset seizures was established in a 14-day, randomized, double-blind, placebo-controlled, multicenter study in children 1 month to less than 4 years of age with partial-onset seizures with or without secondary generalization. The youngest patient evaluated was 3 months of age. During a 48- to 72-hour baseline video electroencephalogram (EEG), patients had to experience at least 2 partial-onset seizures. The mean duration of epilepsy at baseline was 1.6 years and the mean and median baseline seizure frequencies were 12.2 and 4.4 seizures per day, respectively. Approximately 33%, 50%, and 17% of patients were taking 1, 2, or 3 concurrent AEDs at baseline, respectively. Among the pregabalin -treated patients, 97% completed the double-blind phase of the study. 

In this study, pregabalin 7 mg/kg/day and 14 mg/kg/day were compared to placebo. Administration of each daily dose was divided into three equal doses (three times a day dosing). The primary endpoint was the 24-hour partial-onset seizure rate based on the comparison of the baseline video EEG to a repeat 48-72 hour video EEG performed at the end of 14 days of double-blind treatment. 

Table 13 shows median baseline seizure rates, median percent change from baseline in seizure rates, and percent difference relative to placebo (derived from the primary analysis model) by dose.

Table 13. Seizure Response in Controlled Adjunctive Partial-Onset Seizure Study in Pediatric Patients 1 Month to Less Than 4 Years of Age



Daily Dose ofPregabalin



N



Median Baseline Seizure Frequency/ 24 hours



Median % Change from Baseline



% Difference Relative to Placebo



p-value, versus placebo



Placebo



53



2.9



22.2



Not applicable



 



7 mg/kg/day



59



4.7



16.8



15.1



0.4606



14 mg/kg/day



28



5.4



70.0



-43.9



0.0223

Abbreviations: N=number of patients 

A significant improvement in partial-onset seizure rate was observed for pregabalin 14 mg/kg/day group compared with placebo. Patients treated with pregabalin 7 mg/kg/day did not show improvement relative to placebo.

Responder rates (≥50% or greater reduction in partial-onset seizure frequency) were a secondary efficacy parameter; patients treated with pregabalin 14 mg/kg/day showed numerical improvement compared with placebo, while patients treated with pregabalin 7 mg/kg/day did not show improvement relative to placebo: the responder rates were 53.6%, 30.5%, and 41.5% for pregabalin 14 mg/kg/day, pregabalin 7 mg/kg/day, and placebo, respectively.


Structured Label Content

9.2 Abuse

In a study of recreational users (N=15) of sedative/hypnotic drugs, including alcohol, pregabalin capsules (450 mg, single dose) received subjective ratings of "good drug effect," "high" and "liking" to a degree that was similar to diazepam (30 mg, single dose). In controlled clinical studies in over 5,500 patients, 4 % of pregabalin capsules-treated patients and 1 % of placebo-treated patients overall reported euphoria as an adverse reaction, though in some patient populations studied, this reporting rate was higher and ranged from 1 to 12%.

10 Overdosage (10 OVERDOSAGE)

Signs, Symptoms and Laboratory Findings of Acute Overdosage in Humans 

In the postmarketing experience, the most commonly reported adverse events observed with pregabalin when taken in overdose include reduced consciousness, depression/anxiety, confusional state, agitation, and restlessness. Seizures and heart block have also been reported. Deaths have been reported in the setting of lone pregabalin overdose and in combination with other CNS depressants. 

Treatment or Management of Overdose 

There is no specific antidote for overdose with pregabalin capsules. If indicated, elimination of unabsorbed drug may be attempted by emesis or gastric lavage; observe usual precautions to maintain the airway. General supportive care of the patient is indicated including monitoring of vital signs and observation of the clinical status of the patient. Contact a Certified Poison Control Center for up-to-date information on the management of overdose with pregabalin capsules. 

Pregabalin can be removed by hemodialysis. Standard hemodialysis procedures result in significant clearance of pregabalin (approximately 50% in 4 hours).

8.1 Pregnancy

Pregnancy Exposure Registry

There is a pregnancy exposure registry that monitors pregnancy outcomes in women exposed to pregabalin capsules during pregnancy. To provide information regarding the effects of in uteroexposure to pregabalin capsules, physicians are advised to recommend that pregnant patients taking pregabalin capsules enroll in the North American Antiepileptic Drug (NAAED) Pregnancy Registry. This can be done by calling the toll free number 1-888-233-2334, and must be done by patients themselves. Information on the registry can also be found at the website http://www.aedpregnancyregistry.org/.

Risk Summary 

Observational studies on the use of pregabalin during pregnancy suggest a possible small increase in the rate of overall major birth defects, but there was no consistent or specific pattern of major birth defects identified (see Data). Available postmarketing data on miscarriage and other maternal, fetal, and long term developmental adverse effects were insufficient to identify risk associated with pregabalin.

In animal reproduction studies, increased incidences of fetal structural abnormalities and other manifestations of developmental toxicity, including skeletal malformations, retarded ossification, and decreased fetal body weight were observed in the offspring of rats and rabbits given pregabalin orally during organogenesis, at doses that produced plasma pregabalin exposures (AUC) greater than or equal to 16 times human exposure at the maximum recommended dose (MRD) of 600 mg/day (see Data). In an animal development study, lethality, growth retardation, and nervous and reproductive system functional impairment were observed in the offspring of rats given pregabalin during gestation and lactation. The no-effect dose for developmental toxicity was approximately twice the human exposure at MRD. 

The background risk of major birth defects and miscarriage for the indicated populations are unknown. However, the background risk in the U.S. general population of major birth defects is 2 to 4% and of miscarriage is 15 to 20% of clinically recognized pregnancies. 

Data 

Human Data

One database study, which included over 2,700 pregnancies exposed to pregabalin (monotherapy) during the first trimester compared to 3,063,251 pregnancies unexposed to antiepileptics demonstrated prevalence ratios for major malformations overall of 1.14 (CI 95% 0.96-1.35) for pregabalin, 1.29 (CI 95% 1.01-1.65) for lamotrigine, 1.39 (CI 95% 1.07-1.82) for duloxetine, and 1.24 (CI 95% 1.00-1.54) for exposure to either lamotrigine or duloxetine. Important study limitations include uncertainty of whether women who filled a prescription took the medication and inability to adequately control for the underlying disease and other potential confounders.

A published study included results from two separate databases. One database, which included 353 pregnancies exposed to pregabalin (monotherapy) during the first trimester compared to 368,489 pregnancies unexposed to antiepileptics, showed no increase in risk of major birth defects; adjusted relative risk 0.87 (CI 95% 0.53-1.42). The second database, which included 118 pregnancies exposed to pregabalin (monotherapy) during the first trimester compared to 380,347 pregnancies unexposed to antiepileptics, suggested a small increase in risk of major birth defects; adjusted relative risk 1.26 (CI 95% 0.64-2.49). The risk estimates crossed the null, and the study had limitations similar to the prior study. 

Other published epidemiologic studies reported inconsistent findings. No specific pattern of birth defects was identified across studies. All of the studies had limitations due to their retrospective design.

Animal Data

When pregnant rats were given pregabalin (500 mg, 1250 mg, or 2500 mg/kg) orally throughout the period of organogenesis, incidences of specific skull alterations attributed to abnormally advanced ossification (premature fusion of the jugal and nasal sutures) were increased at greater than or equal to 1250 mg/kg, and incidences of skeletal variations and retarded ossification were increased at all doses. Fetal body weights were decreased at the highest dose. The low dose in this study was associated with a plasma exposure (AUC) approximately 17 times human exposure at the MRD of 600 mg/day. A no-effect dose for rat embryo-fetal developmental toxicity was not established.

When pregnant rabbits were given pregabalin capsules (250 mg, 500 mg, or 1250 mg/kg) orally throughout the period of organogenesis, decreased fetal body weight and increased incidences of skeletal malformations, visceral variations, and retarded ossification were observed at the highest dose. The no-effect dose for developmental toxicity in rabbits (500 mg/kg) was associated with a plasma exposure approximately 16 times human exposure at the MRD.

In a study in which female rats were dosed with pregabalin capsules (50 mg, 100 mg, 250 mg, 1250 mg, or 2500 mg/kg) throughout gestation and lactation, offspring growth was reduced at greater than or equal to 100 mg/kg and offspring survival was decreased at greater than or equal to 250 mg/kg. The effect on offspring survival was pronounced at doses greater than or equal to 1250 mg/kg, with 100% mortality in high-dose litters. When offspring were tested as adults, neurobehavioral abnormalities (decreased auditory startle responding) were observed at greater than or equal to 250 mg/kg and reproductive impairment (decreased fertility and litter size) was seen at 1250 mg/kg. The no-effect dose for pre- and postnatal developmental toxicity in rats (50 mg/kg) produced a plasma exposure approximately 2 times human exposure at the MRD.

In the prenatal-postnatal study in rats, pregabalin prolonged gestation and induced dystocia at exposures greater than or equal to 50 times the mean human exposure (AUC (0 to 24)of 123 mcg∙hr/mL) at the MRD.

8.2 Lactation

Risk Summary

Small amounts of pregabalin have been detected in the milk of lactating women. A pharmacokinetic study in lactating women detected pregabalin in breast milk at average steady state concentrations approximately 76% of those in maternal plasma. The estimated average daily infant dose of pregabalin from breast milk (assuming mean milk consumption of 150 mL/kg/day) was 0.31 mg/kg/day, which on a mg/kg basis would be approximately 7% of the maternal dose (see Data).The study did not evaluate the effects of pregabalin capsules on milk production or the effects of pregabalin capsules on the breastfed infant.

Based on animal studies, there is a potential risk of tumorigenicity with pregabalin exposure via breast milk to the breastfed infant [see Nonclinical Toxicology ( Error! Hyperlink reference not valid.  Available clinical study data in patients greater than 12 years of age do not provide a clear conclusion about the potential risk of tumorigenicity with pregabalin [see Warnings and Precautions ( Error! Hyperlink reference not valid. )]. Because of the potential risk of tumorigenicity, breastfeeding is not recommended during treatment with pregabalin capsules.

Data

A pharmacokinetic study in ten lactating women, who were at least 12 weeks postpartum, evaluated the concentrations of pregabalin in plasma and breast milk. Pregabalin 150 mg oral capsule was given every 12 hours (300 mg daily dose) for a total of four doses. Pregabalin was detected in breast milk at average steady-state concentrations approximately 76% of those in maternal plasma. The estimated average daily infant dose of pregabalin from breast milk (assuming mean milk consumption of 150 mL/kg/day) was 0.31 mg/kg/day, which on a mg/kg basis would be approximately 7% of the maternal dose. The study did not evaluate the effects of pregabalin capsules on milk production. Infants did not receive breast milk obtained during the dosing period, therefore, the effects of pregabalin capsules on the breast fed infant were not evaluated.

11 Description (11 DESCRIPTION)

Pregabalin is described chemically as (3S)-3-(Aminomethyl)-5-methylhexanoic acid. The molecular formula is C 8H 17NO 2and the molecular weight is 159.23. The chemical structure of pregabalin is:

Pregabalin is a white to off-white powder with a pKa of 11.30. It is freely soluble in 1N hydrochloric acid and sparingly soluble in water. The log of the partition coefficient is 1.3.

Pregabalin capsules are administered orally and are supplied as imprinted hard-shell capsules containing 25 mg, 50 mg, 75 mg, 100 mg, 150 mg, 200 mg, 225 mg, and 300 mg of pregabalin, along with corn starch, mannitol and talc as inactive ingredients. The capsule shells contain gelatin, sodium lauryl sulfate and titanium dioxide. In addition, 75 mg, 100 mg, 200 mg, 225 mg and 300 mg capsules contain iron oxide red. The imprinting ink contains black iron oxide, butyl alcohol, dehydrated alcohol, isopropyl alcohol, potassium hydroxide, propylene glycol, shellac and strong ammonia solution.

5.1 Angioedema

There have been postmarketing reports of angioedema in patients during initial and chronic treatment with pregabalin capsules. Specific symptoms included swelling of the face, mouth (tongue, lips, and gums), and neck (throat and larynx). There were reports of life-threatening angioedema with respiratory compromise requiring emergency treatment. Discontinue pregabalin capsules immediately in patients with these symptoms.

Exercise caution when prescribing pregabalin capsules to patients who have had a previous episode of angioedema. In addition, patients who are taking other drugs associated with angioedema (e.g., angiotensin converting enzyme inhibitors [ACE-inhibitors]) may be at increased risk of developing angioedema.

9.3 Dependence

In clinical studies, following abrupt or rapid discontinuation of pregabalin capsules, some patients reported symptoms including insomnia, nausea, headache or diarrhea [see Warnings and Precautions( Error! Hyperlink reference not valid. )], consistent with physical dependence. In the postmarketing experience, in addition to these reported symptoms there have also been reported cases of anxiety and hyperhidrosis.

5.8 Weight Gain

Pregabalin capsules treatment may cause weight gain. In pregabalin capsules controlled clinical trials in adult patients of up to 14 weeks, a gain of 7% or more over baseline weight was observed in 9% of pregabalin capsules-treated patients and 2% of placebo-treated patients. Few patients treated with pregabalin capsules (0.3%) withdrew from controlled trials due to weight gain. Pregabalin capsules associated weight gain was related to dose and duration of exposure but did not appear to be associated with baseline BMI, gender, or age. Weight gain was not limited to patients with edema [see Warnings and Precautions ( Error! Hyperlink reference not valid. )].

Although weight gain was not associated with clinically important changes in blood pressure in short-term controlled studies, the long-term cardiovascular effects of pregabalin capsules-associated weight gain are unknown.

Among diabetic patients, pregabalin capsules-treated patients gained an average of 1.6 kg (range: -16 to 16 kg), compared to an average 0.3 kg (range: -10 to 9 kg) weight gain in placebo patients. In a cohort of 333 diabetic patients who received pregabalin capsules for at least 2 years, the average weight gain was 5.2 kg.

While the effects of pregabalin capsules-associated weight gain on glycemic control have not been systematically assessed, in controlled and longer-term open label clinical trials with diabetic patients, pregabalin capsules treatment did not appear to be associated with loss of glycemic control (as measured by HbA 1C).

Medication Guide (MEDICATION GUIDE)

  Pregabalin Capsules CV

(pre-GAB-a-lin)



Read this Medication Guide before you start taking pregabalin capsules and each time you get a refill. There may be new information. This information does not take the place of talking to your healthcare provider about your medical condition or treatment. If you have any questions about pregabalin capsules, ask your healthcare provider or pharmacist. 



What is the most important information I should know about pregabalin capsules?

Pregabalin capsules may cause serious side effects including:

• serious, even life-threatening, allergic reactions  

• swelling of your hands, legs and feet

• suicidal thoughts or actions  

• dizziness and sleepiness

• Serious, even life-threatening, allergic reactions.

These serious side effects are described below:

Stop taking pregabalin capsules and call your healthcare provider right away if you have any of these signs of a serious allergic reaction:

o swelling of your face, mouth, lips, gums, tongue, throat or neck

o trouble breathing

o rash, hives (raised bumps) or blisters

• Like other antiepileptic drugs, pregabalin capsules may cause suicidal thoughts or actions in a very small number of people, about 1 in 500. Call a healthcare provider right away if you have any of these symptoms, especially if they are new, worse, or worry you:

o thoughts about suicide or dying  

o trouble sleeping (insomnia)

o attempts to commit suicide  

o new or worse irritability

o new or worse depression  

o acting aggressive, being angry, or violent

o new or worse anxiety  

o acting on dangerous impulses

o feeling agitated or restless  

o an extreme increase in activity and talking (mania)

o panic attacks  

o other unusual changes in behavior or mood

If you have suicidal thoughts or actions, do not stop pregabalin capsules without first talking to a healthcare provider.

o Stopping pregabalin capsules suddenly can cause serious problems.

o Suicidal thoughts or actions can be caused by things other than medicines. If you have suicidal thoughts or actions, your healthcare provider may check for other causes.

How can I watch for early symptoms of suicidal thoughts and actions? 

  • Pay attention to any changes, especially sudden changes, in mood, behaviors, thoughts, or feelings.
  • Keep all follow-up visits with your healthcare provider as scheduled.
  • Call your healthcare provider between visits as needed, especially if you are worried about symptoms.



• Serious breathing problems can occur when pregabalin capsules is taken with other medicines that can cause severe sleepiness or decreased awareness, or when it is taken by someone who already has breathing problems. Watch for increased sleepiness or decreased breathing when starting pregabalin capsules or when the dose is increased. Get help right away if breathing problems occur.

• Swelling of your hands, legs and feet.This swelling can be a serious problem for people with heart problems.

• Dizziness and sleepiness.  Do not drive a car, work with machines, or do other dangerous activities until you know how pregabalin capsules affects you. Ask your healthcare provider about when it will be okay to do these activities.



What are pregabalin capsules?

Pregabalin capsules are a prescription medicine used in adults, 18 years of age and older to treat:

  • pain from damaged nerves (neuropathic pain) that happens with diabetes

  • pain from damaged nerves (neuropathic pain) that follows healing of shingles

  • fibromyalgia (pain all over your body)

  • pain from damaged nerves (neuropathic pain) that follows spinal cord injury

It is not known if pregabalin capsules are safe and effective in people under 18 years of age for the treatment of fibromyalgia and neuropathic pain with diabetes, shingles, or spinal cord injury.

Pregabalin capsules are a prescription medicine used in people 1 month of age and older to treat:

  • partial-onset seizures when taken together with other seizure medicines.

For the treatment of partial-onset seizures when taken together with other seizure medicines, it is not known if pregabalin capsules are safe and effective in children under 1 month of age. 



Who should not take pregabalin capsules?

Do not take pregabalin capsules if you are allergic to pregabalin or any of the ingredients in pregabalin capsules .

See  “What is the most important information I should know about pregabalin capsules?” for the signs of an allergic reaction.

See the end of this Medication Guide for a complete list of ingredients in pregabalin capsules.



What should I tell my healthcare provider before taking pregabalin capsules?

Before taking pregabalin capsules, tell your healthcare provider about all your medical conditions, including if you:

• have or have had depression, mood problems or suicidal thoughts or behavior.

• have breathing problems.

• have kidney problems or get kidney dialysis.

• have heart problems including heart failure.

• have a bleeding problem or a low blood platelet count.

• have abused prescription medicines, street drugs, or alcohol in the past.

• have ever had swelling of your face, mouth, tongue, lips, gums, neck, or throat (angioedema).

• plan to father a child. Animal studies have shown that pregabalin, the active ingredient in pregabalin capsules, made male animals less fertile and caused sperm to change. Also, in animal studies, birth defects were seen in the offspring (babies) of male animals treated with pregabalin. It is not known if these problems can happen in people who take pregabalin capsules.

• are pregnant or plan to become pregnant. Pregabalin capsules may harm your unborn baby. You and your healthcare provider will decide if you should take pregabalin capsules while you are pregnant.

o If you become pregnant while taking pregabalin capsules, talk to your healthcare provider about registering with the North American Antiepileptic Drug Pregnancy Registry. You can enroll in this registry by calling 1-888-233-‑2334. The purpose of this registry is to collect information about the safety of antiepileptic drugs during pregnancy. Information about the registry can also be found at the website, http://www.aedpregnancyregistry.org/.

• are breastfeeding or plan to breastfeed. Pregabalin passes into your breast milk. It is not known if pregabalin capsules can harm your baby. Talk to your healthcare provider about the best way to feed your baby if you take pregabalin capsules.  Breastfeeding is not recommended while taking pregabalin capsules.

Tell your healthcare provider about all the medicines you take, including prescription and over-the-counter medicines, vitamins or herbal supplements. Pregabalin capsules and other medicines may affect each other causing side effects. Especially tell your healthcare provider if you take:

• angiotensin converting enzyme (ACE) inhibitors, which are used to treat many conditions, including high blood pressure. You may have a higher chance for swelling and hives if these medicines are taken with pregabalin capsules.

• Avandia (rosiglitazone) or Actos (pioglitazone) for diabetes. You may have a higher chance of weight gain or swelling of your hands or feet if these medicines are taken with pregabalin capsules.

• any opioid pain medicine (such as oxycodone), or medicines for anxiety (such as lorazepam) or insomnia (such as zolpidem). You may have a higher chance for dizziness, sleepiness or serious breathing problems if these medicines are taken with pregabalin capsules.  

• any medicines that make you sleepy.

Know the medicines you take. Keep a list of them with you to show your healthcare provider and pharmacist each time you get a new medicine. Do not start a new medicine without talking with your healthcare provider. 



How should I take pregabalin capsules?

• Take pregabalin capsules exactly as prescribed. Your healthcare provider will tell you how much pregabalin to take and when to take it.

• Pregabalin capsules may be taken with or without food.

• Your healthcare provider may change your dose. Do not change your dose without talking to your healthcare provider.

• Do not stop taking pregabalin capsules without talking to your healthcare provider. If you stop taking pregabalin capsules suddenly you may have headaches, nausea, diarrhea, trouble sleeping, increased sweating, or you may feel anxious. If you have epilepsy and you stop taking pregabalin capsules suddenly, you may have seizures more often. Talk with your healthcare provider about how to stop pregabalin capsules slowly.

• If you miss a dose, take it as soon as you remember. If it is almost time for your next dose, just skip the missed dose. Take the next dose at your regular time. Do not take 2 doses at the same time.

• If you take too much pregabalin, call your healthcare provider or poison control center, or go to the nearest emergency room right away.



What should I avoid while taking pregabalin capsules?

• Do not drive a car, work with machines, or do other dangerous activities until you know how pregabalin capsules affects you.

• Do not drink alcohol while taking pregabalin capsules. Pregabalin capsules and alcohol can affect each other and increase side effects such as sleepiness and dizziness.



What are the possible side effects of pregabalin capsules?

Pregabalin capsules may cause serious side effects, including:

• See “What is the most important information I should know about pregabalin capsules?"

• Muscle problems, muscle pain, soreness, or weakness. If you have these symptoms, especially if you feel sick and have a fever, tell your healthcare provider right away.

• Problems with your eyesight, including blurry vision. Call your healthcare provider if you have any changes in your eyesight.

• Weight gain. If you have diabetes, weight gain may affect the management of your diabetes. Weight gain can also be a serious problem for people with heart problems.

• Feeling "high".

The most common side effects of pregabalin capsules in adults are:

• dizziness  • weight gain • trouble concentrating

• blurry vision  •   sleepiness  • swelling of hands and feet

•  dry mouth   

The most common side effects of pregabalin capsules in childrenare weight gain, increase in appetite, and sleepiness.

Pregabalin capsules caused skin sores in animal studies. Skin sores did not happen in studies in people. If you have diabetes, you should pay attention to your skin while taking pregabalin capsules and tell your healthcare provider about any sores or skin problems.

Tell your healthcare provider about any side effect that bothers you or that does not go away.

These are not all the possible side effects of pregabalin capsules. For more information, ask your healthcare provider or pharmacist.

Call your doctor for medical advice about side effects. You may report side effects to FDA at 1-800-FDA-1088. 



How should I store pregabalin capsules?

• Store pregabalin capsules at 68º to 77ºF (20º to 25ºC) in its original package.

• Safely throw away any pregabalin capsules that are out of date or no longer needed.

Keep pregabalin capsules and all medicines out of the reach of children. 



General information about the safe and effective use of pregabalin capsules

Medicines are sometimes prescribed for purposes other than those listed in a Medication Guide. Do not use pregabalin capsules for a condition for which it was not prescribed. Do not give pregabalin capsules to other people, even if they have the same symptoms you have. they may harm them. You can ask your healthcare provider or pharmacist for information about pregabalin capsules that is written for health professionals.



What are the ingredients in pregabalin capsules?

Active ingredient: pregabalin

Inactive ingredients: corn starch, mannitol and talc

Capsule shell: gelatin, sodium lauryl sulfate and titanium dioxide. In addition, 75 mg, 100 mg, 200 mg, 225 mg and 300 mg capsules contain iron oxide red.

Imprinting ink: black iron oxide, butyl alcohol, dehydrated alcohol, isopropyl alcohol, potassium hydroxide, propylene glycol, shellac and strong ammonia solution.

The brands listed are the trademarks of their respective owners and are not trademarks of Hetero Labs Limited.

 Medication Guide available at  http://camberpharma.com/medication-guides





Manufactured for:

Camber Pharmaceuticals, Inc.

Piscataway, NJ 08854



By:  HETEROTM

Hetero Labs Limited

Jeedimetla, Hyderabad-500055, India

 

Repackaged by:

Proficient Rx LC

Thousand Oaks, CA 91320

This Medication Guide has been approved by the U.S. Food and Drug Administration.

Revised: 04/2024

8.4 Pediatric Use

Neuropathic Pain Associated with Diabetic Peripheral Neuropathy, Postherpetic Neuralgia, and Neuropathic Pain Associated with Spinal Cord Injury

Safety and effectiveness in pediatric patients have not been established.

Fibromyalgia

Safety and effectiveness in pediatric patients have not been established.

A 15-week, placebo-controlled trial was conducted with 107 pediatric patients with fibromyalgia, ages 12 through 17 years, at pregabalin capsules total daily doses of 75 to 450 mg per day. The primary efficacy endpoint of change from baseline to Week 15 in mean pain intensity (derived from an 11-point numeric rating scale) showed numerically greater improvement for the pregabalin-treated patients compared to placebo-treated patients, but did not reach statistical significance. The most frequently observed adverse reactions in the clinical trial included dizziness, nausea, headache, weight increased, and fatigue. The overall safety profile in adolescents was similar to that observed in adults with fibromyalgia.

Adjunctive Therapy for Partial-Onset Seizures

Safety and effectiveness in pediatric patients below the age of 1 month have not been established.

4 to Less Than 17 Years of Age with Partial-Onset Seizures 

The safety and effectiveness of pregabalin as adjunctive treatment for partial-onset seizures in pediatric patients 4 to less than 17 years of age have been established in a 12-week, double-blind, placebo-controlled study (n=295) [see Clinical Studies (14.3)].Patients treated with pregabalin 10 mg/kg/day had, on average, a 21.0% greater reduction in partial-onset seizures than patients treated with placebo (p=0.0185). Patients treated with pregabalin 2.5 mg/kg/day had, on average, a 10.5% greater reduction in partial-onset seizures than patients treated with placebo, but the difference was not statistically significant (p=0.2577). 

Responder rates (50% or greater reduction in partial-onset seizure frequency) were a key secondary efficacy parameter and showed numerical improvement with pregabalin compared with placebo: the responder rates were 40.6%, 29.1%, and 22.6%, for pregabalin 10 mg/kg/day, pregabalin 2.5 mg/kg/day, and placebo, respectively.

The most common adverse reactions (≥5%) with pregabalin in this study were somnolence, weight increased, and increased appetite [see Adverse Reactions (6.1)]. 

The use of pregabalin 2.5 mg/kg/day in pediatric patients is further supported by evidence from adequate and well-controlled studies in adults with partial-onset seizures and pharmacokinetic data from adult and pediatric patients [see Clinical Pharmacology (12.3)]. 

1 Month to Less than 4 Years of Age with Partial-Onset Seizures 

The safety and effectiveness of pregabalin as adjunctive treatment for partial-onset seizures in pediatric patients 1 month to less than 4 years of age have been established in a 14-day double-blind, placebo-controlled study (N=175) [see Clinical Studies (14.3)].The youngest subject evaluated was 3 months of age; use in patients 1 month to less than 3 months of age is supported by additional pharmacokinetic analyses. Patients treated with pregabalin 14 mg/kg/day had, on average, 43.9% greater reduction in partial-onset seizures than patients treated with placebo (p=0.0223). In addition, pediatric patients treated with pregabalin 14 mg/kg/day showed numerical improvement in responder rates (≥50% reduction in partial-onset seizure frequency) compared with placebo (53.6% versus 41.5%). Patients treated with pregabalin 7 mg/kg/day did not show improvement relative to placebo for either endpoint. 

The most common dose-related adverse reactions (>5%) with pregabalin in this study were somnolence, pneumonia, and viral infection [see Adverse Reactions (6.1)].

Juvenile Animal Data

In studies in which pregabalin (50 mg to 500 mg/kg) was orally administered to young rats from early in the postnatal period (Postnatal Day 7) through sexual maturity, neurobehavioral abnormalities (deficits in learning and memory, altered locomotor activity, decreased auditory startle responding and habituation) and reproductive impairment (delayed sexual maturation and decreased fertility in males and females) were observed at doses greater than or equal to 50 mg/kg. The neurobehavioral changes of acoustic startle persisted at greater than or equal to 250 mg/kg and locomotor activity and water maze performance at greater than or equal to 500 mg/kg in animals tested after cessation of dosing and, thus, were considered to represent long-term effects. The low effect dose for developmental neurotoxicity and reproductive impairment in juvenile rats (50 mg/kg) was associated with a plasma pregabalin exposure (AUC) approximately equal to human exposure at the maximum recommended dose of 600 mg/day. A no-effect dose was not established.

8.5 Geriatric Use

In controlled clinical studies of pregabalin capsules in neuropathic pain associated with diabetic peripheral neuropathy, 246 patients were 65 to 74 years of age, and 73 patients were 75 years of age or older.

In controlled clinical studies of pregabalin capsules in neuropathic pain associated with postherpetic neuralgia, 282 patients were 65 to 74 years of age, and 379 patients were 75 years of age or older.

In controlled clinical studies of pregabalin capsules in epilepsy, there were only 10 patients 65 to 74 years of age, and 2 patients who were 75 years of age or older.

No overall differences in safety and efficacy were observed between these patients and younger patients.

In controlled clinical studies of pregabalin capsules in fibromyalgia, 106 patients were 65 years of age or older. Although the adverse reaction profile was similar between the two age groups, the following neurological adverse reactions were more frequent in patients 65 years of age or older: dizziness, vision blurred, balance disorder, tremor, confusional state, coordination abnormal, and lethargy.

Pregabalin capsules are known to be substantially excreted by the kidney, and the risk of toxic reactions to pregabalin capsules may be greater in patients with impaired renal function. Because pregabalin is eliminated primarily by renal excretion, adjust the dose for elderly patients with renal impairment [see Dosage and Administration Error! Hyperlink reference not valid.

4 Contraindications (4 CONTRAINDICATIONS)

Pregabalin capsules are contraindicated in patients with known hypersensitivity to pregabalin or any of its components. Angioedema and hypersensitivity reactions have occurred in patients receiving pregabalin therapy [see Warnings and Precautions ( Error! Hyperlink reference not valid. )] .

6 Adverse Reactions (6 ADVERSE REACTIONS)

The following serious adverse reactions are described elsewhere in the labeling: 

• Angioedema [see Warnings and Precautions ( Error! Hyperlink reference not valid. )] 

• Hypersensitivity [see Warnings and Precautions ( Error! Hyperlink reference not valid. )] 

• Suicidal Behavior and Ideation [see Warnings and Precautions ( Error! Hyperlink reference not valid. )] 

• Respiratory Depression [see Warnings and Precautions ( Error! Hyperlink reference not valid. )] 

• Dizziness and Somnolence [see Warnings and Precautions ( Error! Hyperlink reference not valid. )] 

• Increased Risk of Adverse Reactions with Abrupt or Rapid Discontinuation [see Warnings and Precautions ( Error! Hyperlink reference not valid. )] 

• Peripheral Edema [see Warnings and Precautions ( Error! Hyperlink reference not valid. )]  

• Weight Gain [see Warnings and Precautions ( Error! Hyperlink reference not valid. )] 

• Tumorigenic Potential [see Warnings and Precautions ( Error! Hyperlink reference not valid. )]

• Ophthalmological Effects [see Warnings and Precautions ( Error! Hyperlink reference not valid. )] 

• Creatine Kinase Elevations [see Warnings and Precautions ( Error! Hyperlink reference not valid. )] 

• Decreased Platelet Count [see Warnings and Precautions ( Error! Hyperlink reference not valid. )] 

• PR Interval Prolongation [see Warnings and Precautions ( Error! Hyperlink reference not valid. )]

7 Drug Interactions (7 DRUG INTERACTIONS)

Since pregabalin capsules are predominantly excreted unchanged in the urine, undergoes negligible metabolism in humans (less than 2% of a dose recovered in urine as metabolites), and does not bind to plasma proteins, its pharmacokinetics are unlikely to be affected by other agents through metabolic interactions or protein binding displacement. In vitroand in vivostudies showed that pregabalin capsules are unlikely to be involved in significant pharmacokinetic drug interactions. Specifically, there are no pharmacokinetic interactions between pregabalin and the following antiepileptic drugs: carbamazepine, valproic acid, lamotrigine, phenytoin, phenobarbital, and topiramate. Important pharmacokinetic interactions would also not be expected to occur between pregabalin capsules and commonly used antiepileptic drugs [see Clinical Pharmacology (12)].

Pharmacodynamics

Multiple oral doses of pregabalin capsules were co-administered with oxycodone, lorazepam, or ethanol. Although no pharmacokinetic interactions were seen, additive effects on cognitive and gross motor functioning were seen when pregabalin capsules were co-administered with these drugs. No clinically important effects on respiration were seen.

5.2 Hypersensitivity

There have been postmarketing reports of hypersensitivity in patients shortly after initiation of treatment with pregabalin capsules. Adverse reactions included skin redness, blisters, hives, rash, dyspnea, and wheezing. Discontinue pregabalin capsules immediately in patients with these symptoms.

5.7 Peripheral Edema

Pregabalin capsules treatment may cause peripheral edema. In short-term trials of patients without clinically significant heart or peripheral vascular disease, there was no apparent association between peripheral edema and cardiovascular complications such as hypertension or congestive heart failure. Peripheral edema was not associated with laboratory changes suggestive of deterioration in renal or hepatic function.

In controlled clinical trials in adult patients, the incidence of peripheral edema was 6% in the pregabalin capsules group compared with 2% in the placebo group. In controlled clinical trials, 0.5% of pregabalin capsules patients and 0.2% placebo patients withdrew due to peripheral edema.

Higher frequencies of weight gain and peripheral edema were observed in patients taking both pregabalin capsules and a thiazolidinedione antidiabetic agent compared to patients taking either drug alone. The majority of patients using thiazolidinedione antidiabetic agents in the overall safety database were participants in studies of pain associated with diabetic peripheral neuropathy. In this population, peripheral edema was reported in 3% (2/60) of patients who were using thiazolidinedione antidiabetic agents only, 8% (69/859) of patients who were treated with pregabalin capsules only, and 19% (23/120) of patients who were on both pregabalin capsules and thiazolidinedione antidiabetic agents. Similarly, weight gain was reported in 0% (0/60) of patients on thiazolidinediones only; 4% (35/859) of patients on pregabalin capsules only; and 7.5% (9/120) of patients on both drugs.

As the thiazolidinedione class of antidiabetic drugs can cause weight gain and/or fluid retention, possibly exacerbating or leading to heart failure, exercise caution when co-administering pregabalin capsules and these agents.

Because there are limited data on congestive heart failure patients with New York Heart Association (NYHA) Class III or IV cardiac status, exercise caution when using pregabalin capsules in these patients.

8.6 Renal Impairment

Pregabalin is eliminated primarily by renal excretion and dose adjustment is recommended for adult patients with renal impairment [see Dosage and Administration ( Error! Hyperlink reference not valid. ) and Clinical Pharmacology ( Error! Hyperlink reference not valid. )] . The use of pregabalin in pediatric patients with compromised renal function has not been studied.

12.3 Pharmacokinetics

Pregabalin is well absorbed after oral administration, is eliminated largely by renal excretion, and has an elimination half-life of about 6 hours.

Absorption and Distribution

Following oral administration of pregabalin capsules under fasting conditions, peak plasma concentrations occur within 1.5 hours. Pregabalin oral bioavailability is greater than or equal to 90% and is independent of dose. Following single- (25 mg to 300 mg) and multiple-dose (75 mg to 900 mg/day) administration, maximum plasma concentrations (C max) and area under the plasma concentration-time curve (AUC) values increase linearly. Following repeated administration, steady state is achieved within 24 to 48 hours. Multiple-dose pharmacokinetics can be predicted from single-dose data.

The rate of pregabalin absorption is decreased when given with food, resulting in a decrease in C maxof approximately 25% to 30% and an increase in T maxto approximately 3 hours. However, administration of pregabalin with food has no clinically relevant effect on the total absorption of pregabalin. Therefore, pregabalin can be taken with or without food.

Pregabalin does not bind to plasma proteins. The apparent volume of distribution of pregabalin following oral administration is approximately 0.5 L/kg. Pregabalin is a substrate for system L transporter which is responsible for the transport of large amino acids across the blood brain barrier. Although there are no data in humans, pregabalin has been shown to cross the blood brain barrier in mice, rats, and monkeys. In addition, pregabalin has been shown to cross the placenta in rats and is present in the milk of lactating rats.



Metabolism and Elimination

Pregabalin undergoes negligible metabolism in humans. Following a dose of radiolabeled pregabalin, approximately 90% of the administered dose was recovered in the urine as unchanged pregabalin. The N-methylated derivative of pregabalin, the major metabolite of pregabalin found in urine, accounted for 0.9% of the dose. In preclinical studies, pregabalin (S-enantiomer) did not undergo racemization to the R-enantiomer in mice, rats, rabbits, or monkeys.

Pregabalin is eliminated from the systemic circulation primarily by renal excretion as unchanged drug with a mean elimination half-life of 6.3 hours in subjects with normal renal function. Mean renal clearance was estimated to be 67.0 to 80.9 mL/min in young healthy subjects. Because pregabalin is not bound to plasma proteins this clearance rate indicates that renal tubular reabsorption is involved. Pregabalin elimination is nearly proportional to creatinine clearance (CL cr) [see Dosage and Administration Error! Hyperlink reference not valid.

Pharmacokinetics in Specific Populations

Race

In population pharmacokinetic analyses of the clinical studies in various populations, the pharmacokinetics of pregabalin capsules were not significantly affected by race (Caucasians, Blacks, and Hispanics).

Gender

Population pharmacokinetic analyses of the clinical studies showed that the relationship between daily dose and pregabalin capsules drug exposure is similar between genders.

Renal Impairment and Hemodialysis

Pregabalin clearance is nearly proportional to creatinine clearance (CL cr). Dosage reduction in patients with renal dysfunction is necessary. Pregabalin is effectively removed from plasma by hemodialysis. Following a 4-hour hemodialysis treatment, plasma pregabalin concentrations are reduced by approximately 50%. For patients on hemodialysis, dosing must be modified [see Dosage and Administration Error! Hyperlink reference not valid.

Elderly

Pregabalin oral clearance tended to decrease with increasing age. This decrease in pregabalin oral clearance is consistent with age-related decreases in CL cr. Reduction of pregabalin dose may be required in patients who have age-related compromised renal function [see Dosage and Administration Error! Hyperlink reference not valid.

Pediatric Pharmacokinetics

Pediatric Patients (3 months to less than 17 years of age) 

Pregabalin pharmacokinetics were evaluated in 358 pediatric patients 3 months to less than 17 years of age with partial-onset seizures at dose levels of 2.5, 5, 10, and 15 mg/kg/day after single and multiple oral administration of pregabalin. Following oral administration, pregabalin reaches peak plasma concentration at 0.5 hours to 2 hours in the fasted state. Both apparent clearance (CL/F) and apparent volume of distribution increase as body weight increases. A weight-based dosing regimen is necessary to achieve pregabalin exposures in pediatric patients 1 month to less than 17 years of age similar to those observed in adults treated for partial-onset seizures at effective doses [see Dosage and Administration ( Error! Hyperlink reference not valid. )]. The mean t ½is 3 to 4 hours in pediatric subjects up to 6 years of age, and 4 to 6 hours in those 7 years of age and older. Pregabalin CL/F is nearly proportional to CLcr (mL/min). The relationship is similar in pediatric and adult subjects. When normalized per body weight, CL/F (mL/min/kg) in pediatric subjects weighing less than 30 kg is approximately 40% higher in comparison to subjects weighing greater than or equal to 30 kg [see Dosage and Administration ( Error! Hyperlink reference not valid. )].

Drug Interactions

In Vitro Studies

Pregabalin, at concentrations that were, in general, 10-times those attained in clinical trials, does not inhibit human CYP1A2, CYP2A6, CYP2C9, CYP2C19, CYP2D6, CYP2E1, and CYP3A4 enzyme systems. In vitrodrug interaction studies demonstrate that pregabalin does not induce CYP1A2 or CYP3A4 activity. Therefore, an increase in the metabolism of coadministered CYP1A2 substrates (e.g. theophylline, caffeine) or CYP 3A4 substrates (e.g., midazolam, testosterone) is not anticipated.

In Vivo Studies

The drug interaction studies described in this section were conducted in healthy adults, and across various patient populations.

Gabapentin

The pharmacokinetic interactions of pregabalin and gabapentin were investigated in 12 healthy subjects following concomitant single-dose administration of 100-mg pregabalin and 300-mg gabapentin and in 18 healthy subjects following concomitant multiple-dose administration of 200-mg pregabalin every 8 hours and 400 mg gabapentin every 8 hours. Gabapentin pharmacokinetics following single- and multiple-dose administration were unaltered by pregabalin coadministration. The extent of pregabalin absorption was unaffected by gabapentin coadministration, although there was a small reduction in rate of absorption.

Oral Contraceptive

Pregabalin coadministration (200 mg three times a day) had no effect on the steady-state pharmacokinetics of norethindrone and ethinyl estradiol (1 mg/35 mcg, respectively) in healthy subjects.

Lorazepam

Multiple-dose administration of pregabalin (300 mg twice a day) in healthy subjects had no effect on the rate and extent of lorazepam single-dose pharmacokinetics and single-dose administration of lorazepam (1 mg) had no effect on the steady-state pharmacokinetics of pregabalin.

Oxycodone

Multiple-dose administration of pregabalin (300 mg twice a day) in healthy subjects had no effect on the rate and extent of oxycodone single-dose pharmacokinetics. Single-dose administration of oxycodone (10 mg) had no effect on the steady-state pharmacokinetics of pregabalin.

Ethanol

Multiple-dose administration of pregabalin (300 mg twice a day) in healthy subjects had no effect on the rate and extent of ethanol single-dose pharmacokinetics and single-dose administration of ethanol (0.7 g/kg) had no effect on the steady-state pharmacokinetics of pregabalin.

Phenytoin, carbamazepine, valproic acid, and lamotrigine

Steady-state trough plasma concentrations of phenytoin, carbamazepine and carbamazepine 10, 11 epoxide, valproic acid, and lamotrigine were not affected by concomitant pregabalin (200 mg three times a day) administration.

Population pharmacokinetic analyses in patients treated with pregabalin and various concomitant medications suggest the following:

Therapeutic class

Specific concomitant drug studied

Concomitant drug has no effect on the pharmacokinetics of pregabalin  

Hypoglycemics

Diuretics

Glyburide, insulin, metformin

Furosemide

Antiepileptic Drugs

Tiagabine

Concomitant drug has no effect on the pharmacokinetics of pregabalin

and pregabalin has no effect on the pharmacokinetics of concomitant

drug

Antiepileptic Drugs

Carbamazepine, lamotrigine, phenobarbital, phenytoin, topiramate, valproic acid

1 Indications and Usage (1 INDICATIONS AND USAGE)

Pregabalin capsules are indicated for: 

• Management of neuropathic pain associated with diabetic peripheral neuropathy 

• Management of postherpetic neuralgia 

• Adjunctive therapy for the treatment of partial-onset seizures in patients 1 month of age and older

• Management of fibromyalgia 

• Management of neuropathic pain associated with spinal cord injury 

12.1 Mechanism of Action

Pregabalin binds with high affinity to the alpha 2-delta site (an auxiliary subunit of voltage-gated calcium channels) in central nervous system tissues. Although the mechanism of action of pregabalin has not been fully elucidated, results with genetically modified mice and with compounds structurally related to pregabalin (such as gabapentin) suggest that binding to the alpha 2-delta subunit may be involved in pregabalin's anti-nociceptive and antiseizure effects in animals. In animal models of nerve damage, pregabalin has been shown to reduce calcium-dependent release of pro-nociceptive neurotransmitters in the spinal cord, possibly by disrupting alpha 2-delta containing-calcium channel trafficking and/or reducing calcium currents. Evidence from other animal models of nerve damage and persistent pain suggest the anti-nociceptive activities of pregabalin may also be mediated through interactions with descending noradrenergic and serotonergic pathways originating from the brainstem that modulate pain transmission in the spinal cord.



While pregabalin is a structural derivative of the inhibitory neurotransmitter gamma-aminobutyric acid (GABA), it does not bind directly to GABA A, GABA B, or benzodiazepine receptors, does not augment GABAA responses in cultured neurons, does not alter rat brain GABA concentration or have acute effects on GABA uptake or degradation. However, in cultured neurons prolonged application of pregabalin increases the density of GABA transporter protein and increases the rate of functional GABA transport. Pregabalin does not block sodium channels, is not active at opiate receptors, and does not alter cyclooxygenase enzyme activity. It is inactive at serotonin and dopamine receptors and does not inhibit dopamine, serotonin, or noradrenaline reuptake.

9.1 Controlled Substance

Pregabalin capsules are a Schedule V controlled substance.

Pregabalin is not known to be active at receptor sites associated with drugs of abuse. As with any CNS active drug, carefully evaluate patients for history of drug abuse and observe them for signs of pregabalin capsules misuse or abuse (e.g., development of tolerance, dose escalation, drug-seeking behavior).

5.9 Tumorigenic Potential

In standard preclinical in vivolifetime carcinogenicity studies of pregabalin capsules, an unexpectedly high incidence of hemangiosarcoma was identified in two different strains of mice [see Nonclinical Toxicology ( Error! Hyperlink reference not valid. )]. The clinical significance of this finding is unknown. Clinical experience during pregabalin capsules premarketing development provides no direct means to assess its potential for inducing tumors in humans.

In clinical studies across various patient populations, comprising 6,396 patient-years of exposure in patients greater than 12 years of age, new or worsening-preexisting tumors were reported in 57 patients. Without knowledge of the background incidence and recurrence in similar populations not treated with pregabalin capsules, it is impossible to know whether the incidence seen in these cohorts is or is not affected by treatment.

5 Warnings and Precautions (5 WARNINGS AND PRECAUTIONS)

• Angioedema (e.g., swelling of the throat, head and neck) can occur, and may be associated with life-threatening respiratory compromise requiring emergency treatment. Discontinue pregabalin capsules immediately in these cases. ( Error! Hyperlink reference not valid.

• Hypersensitivity reactions (e.g., hives, dyspnea, and wheezing) can occur. Discontinue pregabalin capsules immediately in these patients. ( Error! Hyperlink reference not valid.

• Antiepileptic drugs, including pregabalin capsules, increase the risk of suicidal thoughts or behavior. ( Error! Hyperlink reference not valid.)

• Respiratory depression: May occur with pregabalin capsules, when used with concomitant CNS depressants or in the setting of underlying respiratory impairment. Monitor patients and adjust dosage as appropriate. ( Error! Hyperlink reference not valid.

• Pregabalin capsules may cause dizziness and somnolence and impair patients’ ability to drive or operate machinery. ( Error! Hyperlink reference not valid.)

• Increased seizure frequency or other adverse reactions may occur if pregabalin capsules are rapidly discontinued. Withdraw pregabalin capsules gradually over a minimum of 1 week. ( Error! Hyperlink reference not valid.)

• Pregabalin capsules may cause peripheral edema. Exercise caution when co-administering pregabalin capsules and thiazolidinedione antidiabetic agents. ( Error! Hyperlink reference not valid.)

5.4 Respiratory Depression

There is evidence from case reports, human studies, and animal studies associating pregabalin capsules with serious, life-threatening, or fatal respiratory depression when co-administered with central nervous system (CNS) depressants, including opioids, or in the setting of underlying respiratory impairment. When the decision is made to co-prescribe pregabalin capsules with another CNS depressant, particularly an opioid, or to prescribe pregabalin capsules to patients with underlying respiratory impairment, monitor patients for symptoms of respiratory depression and sedation, and consider initiating pregabalin capsules at a low dose. The management of respiratory depression may include close observation, supportive measures, and reduction or withdrawal of CNS depressants (including pregabalin capsules).

There is more limited evidence from case reports, animal studies, and human studies associating pregabalin capsules with serious respiratory depression, without co-administered CNS depressants or without underlying respiratory impairment.

14.2 Postherpetic Neuralgia

The efficacy of pregabalin capsules for the management of postherpetic neuralgia was established in three double-blind, placebo-controlled, multicenter studies. These studies enrolled patients with neuralgia persisting for at least 3 months following healing of herpes zoster rash and a minimum baseline score of greater than or equal to 4 on an 11-point numerical pain rating scale ranging from 0 (no pain) to 10 (worst possible pain). Seventy-three percent of patients completed the studies. The baseline mean pain scores across the 3 studies ranged from 6 to 7. Patients were permitted up to 4 grams of acetaminophen per day as needed for pain, in addition to pregabalin. Patients recorded their pain daily in a diary.

Study PHN 1:This 13-week study compared pregabalin capsules 75 mg, 150 mg, and 300 mg twice daily with placebo. Patients with creatinine clearance (CL cr) between 30 to 60 mL/min were randomized to 75 mg, 150 mg, or placebo twice daily. Patients with creatinine clearance greater than 60 mL/min were randomized to 75 mg, 150 mg, 300 mg or placebo twice daily. In patients with creatinine clearance greater than 60 mL/min treatment with all doses of pregabalin capsules statistically significantly improved the endpoint mean pain score and increased the proportion of patients with at least a 50% reduction in pain score from baseline. Despite differences in dosing based on renal function, patients with creatinine clearance between 30 to  60 mL/min tolerated pregabalin capsules less well than patients with creatinine clearance greater than 60 mL/min as evidenced by higher rates of discontinuation due to adverse reactions. For various levels of improvement in pain intensity from baseline to study endpoint, Figure 3 shows the fraction of patients achieving that level of improvement. The figure is cumulative, so that patients whose change from baseline is, for example, 50%, are also included at every level of improvement below 50%. Patients who did not complete the study were assigned 0% improvement. Some patients experienced a decrease in pain as early as Week 1, which persisted throughout the study.



Figure 3:Patients Achieving Various Levels of Improvement in Pain Intensity– Study PHN 1

Study PHN 2:This 8-week study compared pregabalin capsules 100 mg or 200 mg three times a day with placebo, with doses assigned based on creatinine clearance. Patients with creatinine clearance between 30 to 60 mL/min were treated with 100 mg three times a day, and patients with creatinine clearance greater than 60 mL/min were treated with 200 mg three times daily. Treatment with pregabalin capsules statistically significantly improved the endpoint mean pain score and increased the proportion of patients with at least a 50% reduction in pain score from baseline. For various levels of improvement in pain intensity from baseline to study endpoint, Figure 4 shows the fraction of patients achieving those levels of improvement. The figure is cumulative, so that patients whose change from baseline is, for example, 50%, are also included at every level of improvement below 50%. Patients who did not complete the study were assigned 0% improvement. Some patients experienced a decrease in pain as early as Week 1, which persisted throughout the study.



Figure 4:Patients Achieving Various Levels of Improvement in Pain Intensity – Study PHN 2

Study PHN 3:This 8-week study compared pregabalin capsules 50 mg or 100 mg three times a day with placebo with doses assigned regardless of creatinine clearance. Treatment with pregabalin capsules 50 mg and 100 mg three times a day statistically significantly improved the endpoint mean pain score and increased the proportion of patients with at least a 50% reduction in pain score from baseline. Patients with creatinine clearance between 30 to 60 mL/min tolerated pregabalin capsules less well than patients with creatinine clearance greater than 60 mL/min as evidenced by markedly higher rates of discontinuation due to adverse reactions. For various levels of improvement in pain intensity from baseline to study endpoint, Figure 5 shows the fraction of patients achieving that level of improvement. The figure is cumulative, so that patients whose change from baseline is, for example, 50%, are also included at every level of improvement below 50%. Patients who did not complete the study were assigned 0% improvement. Some patients experienced a decrease in pain as early as Week 1, which persisted throughout the study.



Figure 5:Patients Achieving Various Levels of Improvement in Pain Intensity– Study PHN 3

2 Dosage and Administration (2 DOSAGE AND ADMINISTRATION)

• For adult indications, begin dosing at 150 mg/day. For partial-onset seizure dosing in pediatric patients 1 month of age and older, refer to section Error! Hyperlink reference not valid.. ( Error! Hyperlink reference not valid., Error! Hyperlink reference not valid., Error! Hyperlink reference not valid., Error! Hyperlink reference not valid., Error! Hyperlink reference not valid.)

• Dosing recommendations: 

INDICATION

Dosing

Regimen

 

Maximum Dose

 

 

DPN Pain (2.2)

3 divided doses

per day

300 mg/day within

1 week

PHN (2.3)

2 or 3 divided doses per day

300 mg/day within 1 week.

Maximum dose of 600 mg/day.

Adjunctive Therapy for

Partial-Onset Seizures in

Pediatric and Adult Patients Weighing 30 kg or More (2.4)

2 or 3 divided doses per day

 

Maximum dose of

600 mg/day.

Adjunctive Therapy for Partial-Onset Seizures in Pediatric Patients Weighing Less than 30 kg (2.4)

1 month to less than 4 years: 

3 divided doses per day

4 years and older:

2 or 3 divided doses per day

14 mg/kg/day.

Fibromyalgia (2.5)

2 divided doses per day

300 mg/day within

1 week.

Maximum dose of 450 mg/day.

Neuropathic Pain Associated with Spinal Cord Injury (2.6)

2 divided doses per day

300 mg/day within

1 week.

Maximum dose of 600 mg/day.

Dose should be adjusted in adult patients with reduced renal function. ( Error! Hyperlink reference not valid.)  

5.5 Dizziness and Somnolence

Pregabalin capsules may cause dizziness and somnolence. Inform patients that pregabalin capsules-related dizziness and somnolence may impair their ability to perform tasks such as driving or operating machinery [see Patient Counseling Information ( Error! Hyperlink reference not valid. )]. 

In the pregabalin capsules controlled trials in adult patients, dizziness was experienced by 30% of pregabalin capsules-treated patients compared to 8% of placebo-treated patients; somnolence was experienced by 23% of pregabalin capsules-treated patients compared to 8% of placebo-treated patients. Dizziness and somnolence generally began shortly after the initiation of pregabalin capsules therapy and occurred more frequently at higher doses. Dizziness and somnolence were the adverse reactions most frequently leading to withdrawal (4% each) from controlled studies. In pregabalin capsules-treated patients reporting these adverse reactions in short-term, controlled studies, dizziness persisted until the last dose in 30% and somnolence persisted until the last dose in 42% of patients [see Drug Interactions ( Error! Hyperlink reference not valid. )].  

In the pregabalin capsules controlled trials in pediatric patients 4 to less than 17 years of age and 1 month to less than 4 years of age for the treatment of partial-onset seizures, somnolence was reported in 21% and 15% of pregabalin capsules-treated patients compared to 14% and 9% of placebo-treated patients, respectively, and occurred more frequently at higher doses. For patients 1 month to less than 4 years of age, somnolence includes related terms lethargy, sluggishness, and hypersomnia.

6.2 Postmarketing Experience

The following adverse reactions have been identified during postapproval use of pregabalin capsules. Because these reactions are reported voluntarily from a population of uncertain size, it is not always possible to reliably estimate their frequency or establish a causal relationship to drug exposure. 

Nervous System Disorders – Headache 

Gastrointestinal Disorders – Nausea, Diarrhea 

Reproductive System and Breast Disorders – Gynecomastia, Breast Enlargement 

Skin and subcutaneous tissue disorders – Bullous pemphigoid 

There are postmarketing reports of life-threatening or fatal respiratory depression in patients taking pregabalin capsules with opioids or other CNS depressants, or in the setting of underlying respiratory impairment.

In addition, there are postmarketing reports of events related to reduced lower gastrointestinal tract function (e.g., intestinal obstruction, paralytic ileus, constipation) when pregabalin capsules were co-administered with medications that have the potential to produce constipation, such as opioid analgesics. 

3 Dosage Forms and Strengths (3 DOSAGE FORMS AND STRENGTHS)

Capsules: 25 mg, 50 mg, 75 mg, 100 mg, 150 mg, 200 mg, 225 mg, and 300 mg [see Description ( Error! Hyperlink reference not valid. ) and How Supplied/Storage and Handling ( Error! Hyperlink reference not valid. )].

5.10 Ophthalmological Effects

In controlled studies in adult patients, a higher proportion of patients treated with pregabalin capsules reported blurred vision (7%) than did patients treated with placebo (2%), which resolved in a majority of cases with continued dosing. Less than 1% of patients discontinued pregabalin capsules treatment due to vision-related events (primarily blurred vision).

Prospectively planned ophthalmologic testing, including visual acuity testing, formal visual field testing and dilated funduscopic examination, was performed in over 3,600 patients. In these patients, visual acuity was reduced in 7% of patients treated with pregabalin capsules, and 5% of placebo-treated patients. Visual field changes were detected in 13% of pregabalin capsules-treated, and 12% of placebo-treated patients. Funduscopic changes were observed in 2% of pregabalin capsules-treated and 2% of placebo-treated patients.

Although the clinical significance of the ophthalmologic findings is unknown, inform patients to notify their physician if changes in vision occur. If visual disturbance persists, consider further assessment. Consider more frequent assessment for patients who are already routinely monitored for ocular conditions [see Patient Counseling Information ( Error! Hyperlink reference not valid. )].

5.12 Decreased Platelet Count

Pregabalin capsules treatment was associated with a decrease in platelet count. Pregabalin capsules-treated subjects experienced a mean maximal decrease in platelet count of 20 × 10 3/μL, compared to 11 × 10 3/μL in placebo patients. In the overall database of controlled trials in adult patients, 2% of placebo patients and 3% of pregabalin capsules patients experienced a potentially clinically significant decrease in platelets, defined as 20% below baseline value and less than 150 × 10 3/μL. A single pregabalin capsules-treated subject developed severe thrombocytopenia with a platelet count less than 20 x 10 3/μL. In randomized controlled trials, pregabalin capsules were not associated with an increase in bleeding-related adverse reactions.

5.13 Pr Interval Prolongation (5.13 PR Interval Prolongation)

Pregabalin capsules treatment was associated with PR interval prolongation. In analyses of clinical trial ECG data in adult patients, the mean PR interval increase was 3 to 6 msec at pregabalin capsules doses greater than or equal to 300 mg/day. This mean change difference was not associated with an increased risk of PR increase greater than or equal to 25% from baseline, an increased percentage of subjects with on-treatment PR greater than 200 msec, or an increased risk of adverse reactions of second or third degree AV block.

Subgroup analyses did not identify an increased risk of PR prolongation in patients with baseline PR prolongation or in patients taking other PR prolonging medications. However, these analyses cannot be considered definitive because of the limited number of patients in these categories.

8 Use in Specific Populations (8 USE IN SPECIFIC POPULATIONS)

Lactation: Breastfeeding is not recommended.  Error! Hyperlink reference not valid.

6.1 Clinical Trials Experience

Because clinical trials are conducted under widely varying conditions, adverse reaction rates observed in the clinical trials of a drug cannot be directly compared to rates in the clinical trials of another drug and may not reflect the rates observed in practice.

In all controlled and uncontrolled trials across various patient populations during the premarketing development of pregabalin capsules, more than 10,000 patients have received pregabalin capsules. Approximately 5,000 patients were treated for 6 months or more, over 3,100 patients were treated for 1 year or longer, and over 1,400 patients were treated for at least 2 years.

Adverse Reactions Most Commonly Leading to Discontinuation in All Premarketing Controlled Clinical Studies

In premarketing controlled trials of all adult populations combined, 14% of patients treated with pregabalin capsules and 7% of patients treated with placebo discontinued prematurely due to adverse reactions. In the pregabalin capsules treatment group, the adverse reactions most frequently leading to discontinuation were dizziness (4%) and somnolence (4%). In the placebo group, 1% of patients withdrew due to dizziness and less than 1% withdrew due to somnolence. Other adverse reactions that led to discontinuation from controlled trials more frequently in the pregabalin capsules group compared to the placebo group were ataxia, confusion, asthenia, thinking abnormal, blurred vision, incoordination, and peripheral edema (1% each).

Most Common Adverse Reactions in All Controlled Clinical Studies in Adults

In premarketing controlled trials of all adult patient populations combined (including DPN, PHN, and adult patients with partial-onset seizures), dizziness, somnolence, dry mouth, edema, blurred vision, weight gain, and "thinking abnormal" (primarily difficulty with concentration/attention) were more commonly reported by subjects treated with pregabalin capsules than by subjects treated with placebo (greater than or equal to 5% and twice the rate of that seen in placebo).

Controlled Studies with Neuropathic Pain Associated with Diabetic Peripheral Neuropathy

Adverse Reactions Leading to Discontinuation

In clinical trials in adults with neuropathic pain associated with diabetic peripheral neuropathy, 9% of patients treated with pregabalin capsules and 4% of patients treated with placebo discontinued prematurely due to adverse reactions. In the pregabalin capsules treatment group, the most common reasons for discontinuation due to adverse reactions were dizziness (3%) and somnolence (2%). In comparison, less than 1% of placebo patients withdrew due to dizziness and somnolence. Other reasons for discontinuation from the trials, occurring with greater frequency in the pregabalin capsules group than in the placebo group, were asthenia, confusion, and peripheral edema. Each of these events led to withdrawal in approximately 1% of patients.

Most Common Adverse Reactions

Table 4 lists all adverse reactions, regardless of causality, occurring in greater than or equal to 1% of patients with neuropathic pain associated with diabetic neuropathy in the combined pregabalin capsules group for which the incidence was greater in this combined pregabalin capsules group than in the placebo group. A majority of pregabalin-treated patients in clinical studies had adverse reactions with a maximum intensity of "mild" or "moderate”.

Table 4. Adverse Reaction Incidence in Controlled Trials in Neuropathic Pain Associated with Diabetic Peripheral Neuropathy



Body systemPreferred term





75

mg/day [N=77]

%





150

mg/day [N=212]

%





300

mg/day

[N=321]

%





600

mg/day [N=369]

%



All PGB*

[N=979]

%





Placebo

[N=459]

%



Body as a whole



Asthenia





4



2





4





7





5





2



Accidental injury





5



2





2





6





4





3



Back pain



0



2





1





2





2





0



Chest pain



4



1





1





2





2





1



Face edema





0





1





1





2





1





0



Digestive system



Dry mouth



3



2





5





7





5





1



Constipation





0



2





4





6





4





2



Flatulence





3



0





2





3





2





1



Metabolic and nutritional disorders



Peripheral edema



4



6





9





12





9





2



Weight gain



0



4





4





6





4





0



Edema



0



2





4





2





2





0



Hypoglycemia





1





3





2





1





2





1



Nervous system



Dizziness





8



9





23





29





21





5



Somnolence





4



6





13





16





12





3



Neuropathy



9



2





2





5





4





3



Ataxia



6



1





2





4





3





1



Vertigo





1



2





2





4





3





1



Confusion



0



1





2





3





2





1



Euphoria



0



0





3





2





2





0



Incoordination





1



0





2





2





2





0





Thinking abnormal



1



0





1





3





2





0



Tremor





1



1





1





2





1





0



Abnormal gait



1



0





1





3





1





0



Amnesia





3



1





0





2





1





0



Nervousness



0



1





1





1





1





0



Respiratory system



Dyspnea





3



0





2





2





2





1



Special senses



Blurry vision





3



1





3





6





4





2



Abnormal vision





1



0





1





1





1





0

* PGB: pregabalin

† Thinking abnormal primarily consists of events related to difficulty with concentration/attention but also includes events related to cognition and language problems and slowed thinking.

‡ Investigator term; summary level term is amblyopia

Controlled Studies in Postherpetic Neuralgia

Adverse Reactions Leading to Discontinuation

In clinical trials in adults with postherpetic neuralgia, 14% of patients treated with pregabalin capsules and 7% of patients treated with placebo discontinued prematurely due to adverse reactions. In the pregabalin capsules treatment group, the most common reasons for discontinuation due to adverse reactions were dizziness (4%) and somnolence (3%). In comparison, less than 1% of placebo patients withdrew due to dizziness and somnolence. Other reasons for discontinuation from the trials, occurring in greater frequency in the pregabalin capsules group than in the placebo group, were confusion (2%), as well as peripheral edema, asthenia, ataxia, and abnormal gait (1% each).

Most Common Adverse Reactions

Table 5 lists all adverse reactions, regardless of causality, occurring in greater than or equal to 1% of patients with neuropathic pain associated with postherpetic neuralgia in the combined pregabalin capsules group for which the incidence was greater in this combined pregabalin capsules group than in the placebo group. In addition, an event is included, even if the incidence in the all pregabalin capsules group is not greater than in the placebo group, if the incidence of the event in the 600 mg/day group is more than twice that in the placebo group. A majority of pregabalin-treated patients in clinical studies had adverse reactions with a maximum intensity of "mild" or "moderate". Overall, 12.4% of all pregabalin-treated patients and 9.0% of all placebo-treated patients had at least one severe event while 8% of pregabalin-treated patients and 4.3% of placebo-treated patients had at least one severe treatment-related adverse event.

Table 5. Adverse Reaction Incidence in Controlled Trials in Neuropathic Pain Associated with Postherpetic Neuralgia

Body system

Preferred term

75 mg/d [N=84]

%

150 mg/d [N=302] %

300 mg/d [N=312] %

600 mg/d [N=154]

%

All PGB*[N=852]

%

Placebo [N=398] %

Body as a whole

Infection

14

8

6

3

7

4

Headache

5

9

5

8

7

5

Pain

5

4

5

5

5

4

Accidental injury

4

3

3

5

3

2

Flu syndrome

1

2

2

1

2

1

Face edema

0

2

1

3

2

1

Digestive system

Dry mouth

7

7

6

15

8

3

Constipation

4

5

5

5

5

2

Flatulence

2

1

2

3

2

1

Vomiting

1

1

3

3

2

1

Metabolic and nutritional disorders

Peripheral edema

0

8

16

16

12

4

Weight gain

1

2

5

7

4

0

Edema

0

1

2

6

2

1

Musculoskeletal system

Myasthenia

1

1

1

1

1

0

Nervous system

Dizziness

11

18

31

37

26

9

Somnolence

8

12

18

25

16

5

Ataxia

1

2

5

9

5

1

Abnormal gait

0

2

4

8

4

1

Confusion

1

2

3

7

3

0

Thinking abnormal

0

2

1

6

2

2

Incoordination

2

2

1

3

2

0

Amnesia

0

1

1

4

2

0

Speech disorder

0

0

1

3

1

0

Respiratory system

Bronchitis

0

1

1

3

1

1

Special senses

Blurry vision

1

5

5

9

5

3

Diplopia

0

2

2

4

2

0

Abnormal vision

0

1

2

5

2

0

Eye Disorder

0

1

1

2

1

0

Urogenital System

Urinary Incontinence

0

1

1

2

1

0

* PGB: pregabalin

† Thinking abnormal primarily consists of events related to difficulty with concentration/attention but also includes events related to cognition and language problems and slowed thinking.

‡ Investigator term; summary level term is amblyopia

Controlled Studies of Adjunctive Therapy for Partial-Onset Seizures in Adult Patients

Adverse Reactions Leading to Discontinuation

Approximately 15% of patients receiving pregabalin capsules and 6% of patients receiving placebo in trials of adjunctive therapy for partial-onset seizures discontinued prematurely due to adverse reactions. In the pregabalin capsules treatment group, the adverse reactions most frequently leading to discontinuation were dizziness (6%), ataxia (4%), and somnolence (3%). In comparison, less than 1% of patients in the placebo group withdrew due to each of these events. Other adverse reactions that led to discontinuation of at least 1% of patients in the pregabalin capsules group and at least twice as frequently compared to the placebo group were asthenia, diplopia, blurred vision, thinking abnormal, nausea, tremor, vertigo, headache, and confusion (which each led to withdrawal in 2% or less of patients).

Most Common Adverse Reactions

Table 6 lists all dose-related adverse reactions occurring in at least 2% of all pregabalin capsules-treated patients. Dose-relatedness was defined as the incidence of the adverse event in the 600 mg/day group was at least 2% greater than the rate in both the placebo and 150 mg/day groups. In these studies, 758 patients received pregabalin capsules and 294 patients received placebo for up to 12 weeks. A majority of pregabalin-treated patients in clinical studies had adverse reactions with a maximum intensity of "mild" or "moderate”.

Table 6. Dose-related Adverse Reaction Incidence in Controlled Trials of Adjunctive Therapy for Partial-Onset Seizures in Adult Patients



Body SystemPreferred Term





150 mg/d

[N = 185] %



300 mg/d

[N = 90]

%





600 mg/d

[N = 395]

%



All PGB *

[N = 670]

%



Placebo

[N = 294]

%



Body as a Whole



Accidental Injury



7



11



10



9



5



Pain



3



2



5



4



3



Digestive System



Increased Appetite



2



3



6



5



1



Dry Mouth



1



2



6



4



1



Constipation



1



1



7



4



2



Metabolic and Nutritional Disorders



Weight Gain



5



7



16



12



1



Peripheral Edema



3



3



6



5



2



Nervous System



Dizziness



18



31



38



32



11



Somnolence



11



18



28



22



11



Ataxia



6



10



20



15



4



Tremor



3



7



11



8



4



Thinking Abnormal



4



8



9



8



2



Amnesia



3



2



6



5



2



Speech Disorder



1



2



7



5



1



Incoordination



1



3



6



4



1



Abnormal Gait



1



3



5



4



0



Twitching



0



4



5



4



1



Confusion



1



2



5



4



2



Myoclonus





1





0





4





2





0



Special Senses



Blurred Vision §



5



8



12



10



4



Diplopia



5



7



12



9



4



Abnormal Vision



3



1



5



4



1

* PGB: pregabalin

† Excludes patients who received the 50 mg dose in Study E1.

‡ Thinking abnormal primarily consists of events related to difficulty with concentration/attention but also includes events related to cognition and language problems and slowed thinking.

§ Investigator term; summary level term is amblyopia.

Controlled Study of Adjunctive Therapy for Partial-Onset Seizures in Patients 4 to Less Than 17 Years of Age

Adverse Reactions Leading to Discontinuation

Approximately 2.5% of patients receiving pregabalin and no patients receiving placebo in trials of adjunctive therapy for partial-onset seizures discontinued prematurely due to adverse reactions. In the pregabalin treatment group, the adverse reactions leading to discontinuation were somnolence (3 patients), worsening of epilepsy (1 patient), and hallucination (1 patient).

Most Common Adverse Reactions

Table 7 lists all dose-related adverse reactions occurring in at least 2% of all pregabalin capsules -treated patients. Dose-relatedness was defined as an incidence of the adverse event in the 10 mg/kg/day group that was at least 2% greater than the rate in both the placebo and 2.5 mg/kg/day groups. In this study, 201 patients received pregabalin and 94 patients received placebo for up to 12 weeks. A majority of pregabalin-treated patients in the clinical study had adverse reactions with a maximum intensity of "mild" or "moderate”.

Table 7. Dose-related Adverse Reaction Incidence in a Controlled Trial in Adjunctive Therapy for Partial-Onset Seizures in Patients 4 to Less Than 17 Years of Age

Body System

Preferred Term

2.5 mg/kg/day a[N=104]

%

10 mg/kg/day b[N=97]

%

All PGB

[N=201]

%

Placebo

[N=94]

%

Gastrointestinal disorders

Salivary hypersecretion

1

4

2

0

Investigations

Weight increased

4

13

8

4

Metabolism and nutrition disorders

Increased appetite

7

10

8

4

Nervous system disorders

Somnolence

17

26

21

14

Abbreviations: N=number of patients; PGB = pregabalin.

a. 2.5 mg/kg/day: Maximum dose 150 mg/day. Includes patients less than 30 kg for whom dose was adjusted to 3.5 mg/kg/day.

b.10 mg/kg/day: Maximum dose 600 mg/day. Includes patients less than 30 kg for whom dose was adjusted to 14 mg/kg/day.

Controlled Study of Adjunctive Therapy for Partial-Onset Seizures in Patients 1 Month to Less Than 4 Years of Age

Most Common Adverse Reactions

Table 8 lists all dose-related adverse reactions occurring in at least 2% of all pregabalin capsules -treated patients. Dose-relatedness was defined as an incidence of the adverse event in the 14 mg/kg/day group that was at least 2% greater than the rate in both the placebo and 7 mg/kg/day groups. In this study, 105 patients received pregabalin and 70 patients received placebo for up to 14 days.

Table 8. Dose-related Adverse Reaction Incidence in a Controlled Trial in Adjunctive Therapy for Partial-Onset Seizures in Patients 1 Month to Less Than 4 Years of Age

Body System

Preferred Term

7 mg/kg/day [N=71]

%

14 mg/kg/day [N=34]

%

All PGB

[N=105]

%

Placebo

[N=70]

%

Nervous system disorders

Somnolence*

13

21

15

9

Infections and infestations

Pneumonia

1

9

4

0

Viral infection

3

6

4

3

Abbreviations: N=number of patients; PGB=pregabalin.

* includes related terms including lethargy, sluggishness, and hypersomnia.



Controlled Studies with Fibromyalgia

Adverse Reactions Leading to Discontinuation

In clinical trials of patients with fibromyalgia, 19% of patients treated with pregabalin (150 mg to 600 mg/day) and 10% of patients treated with placebo discontinued prematurely due to adverse reactions. In the pregabalin treatment group, the most common reasons for discontinuation due to adverse reactions were dizziness (6%) and somnolence (3%). In comparison, less than 1% of placebo-treated patients withdrew due to dizziness and somnolence. Other reasons for discontinuation from the trials, occurring with greater frequency in the pregabalin treatment group than in the placebo treatment group, were fatigue, headache, balance disorder, and weight increased. Each of these adverse reactions led to withdrawal in approximately 1% of patients.

Most Common Adverse Reactions

Table 9 lists all adverse reactions, regardless of causality, occurring in greater than or equal to 2% of patients with fibromyalgia in the ‘all pregabalin’ treatment group for which the incidence was greater than in the placebo treatment group. A majority of pregabalin-treated patients in clinical studies experienced adverse reactions with a maximum intensity of "mild" or "moderate".

Table 9. Adverse Reaction Incidence in Controlled Trials in Fibromyalgia



System Organ Class Preferred term



150

mg/d [N=132] %



300

mg/d [N=502]

%



450

mg/d [N=505]

%



600

mg/d [N=378]

%







All PGB*

[N=1,517]

%







Placebo

[N=505] %



Ear and Labyrinth Disorders



Vertigo



2



2



2



1



2



0



Eye Disorders



Vision blurred



8



7



7



12



8



1



Gastrointestinal Disorders



Dry mouth



7



6



9



9



8



2



Constipation



4



4



7



10



7



2



Vomiting



2



3



3



2



3



2



Flatulence



1



1



2



2



2



1



Abdominal distension



2



2



2



2



2



1



General Disorders and Administrative Site Conditions



Fatigue



5



7



6



8



7



4



Edema peripheral



5



5



6



9



6



2



Chest pain



2



1



1



2



2



1



Feeling abnormal



1



3



2



2



2



0



Edema



1



2



1



2



2



1



Feeling drunk



1



2



1



2



2



0



Infections and Infestations



Sinusitis



4



5



7



5



5



4



Investigations



Weight increased



8



10



10



14



11



2



Metabolism and Nutrition Disorders



Increased appetite



4



3



5



7



5



1



Fluid retention



2



3



3



2



2



1



Musculoskeletal and Connective Tissue Disorders



Arthralgia



4



3



3



6



4



2



Muscle spasms



2



4



4



4



4



2



Back pain



2



3



4



3



3



3



Nervous System Disorders



Dizziness



23



31



43



45



38



9



Somnolence



13



18



22



22



20



4



Headache



11



12



14



10



12



12



Disturbance in attention



4



4



6



6



5



1



Balance disorder



2



3



6



9



5



0



Memory impairment



1



3



4



4



3



0



Coordination abnormal



2



1



2



2



2



1



Hypoesthesia



2



2



3



2



2



1



Lethargy



2



2



1



2



2



0



Tremor



0



1



3



2



2



0



Psychiatric Disorders



Euphoric Mood



2



5



6



7



6



1



Confusional state



0



2



3



4



3



0



Anxiety



2



2



2



2



2



1



Disorientation



1



0



2



1



2



0



Depression



2



2



2



2



2



2



Respiratory, Thoracic and Mediastinal Disorders



Pharyngolaryngeal pain



2



1



3



3



2



2

* PGB: pregabalin

Controlled Studies in Neuropathic Pain Associated with Spinal Cord Injury

Adverse Reactions Leading to Discontinuation

In clinical trials of adults with neuropathic pain associated with spinal cord injury, 13% of patients treated with pregabalin and 10% of patients treated with placebo discontinued prematurely due to adverse reactions. In the pregabalin treatment group, the most common reasons for discontinuation due to adverse reactions were somnolence (3%) and edema (2%). In comparison, none of the placebo-treated patients withdrew due to somnolence and edema. Other reasons for discontinuation from the trials, occurring with greater frequency in the pregabalin treatment group than in the placebo treatment group, were fatigue and balance disorder. Each of these adverse reactions led to withdrawal in less than 2% of patients.

Most Common Adverse Reactions

Table 10 lists all adverse reactions, regardless of causality, occurring in greater than or equal to 2% of patients for which the incidence was greater than in the placebo treatment group with neuropathic pain associated with spinal cord injury in the controlled trials. A majority of pregabalin-treated patients in clinical studies experienced adverse reactions with a maximum intensity of "mild" or "moderate".

Table 10. Adverse Reaction Incidence in Controlled Trials in Neuropathic Pain Associated with Spinal Cord Injury

System Organ Class

Preferred term

PGB* (N=182)

Placebo (N=174)

%

%

Ear and labyrinth disorders

Vertigo

2.7

1.1

Eye disorders

Vision blurred

6.6

1.1

Gastrointestinal disorders

Dry mouth

11.0

2.9

Constipation

8.2

5.7

Nausea

4.9

4.0

Vomiting

2.7

1.1

General disorders and administration site conditions

Fatigue

11.0

4.0

Edema peripheral

10.4

5.2

Edema

8.2

1.1

Pain

3.3

1.1

Infections and infestations

Nasopharyngitis

8.2

4.6

Investigations

Weight increased

3.3

1.1

Blood creatine phosphokinase increased

2.7

0

Musculoskeletal and connective tissue disorders

Muscular weakness

4.9

1.7

Pain in extremity

3.3

2.3

Neck pain

2.7

1.1

Back pain

2.2

1.7

Joint swelling

2.2

0

Nervous system disorders

Somnolence

35.7

11.5

Dizziness

20.9

6.9

Disturbance in attention

3.8

0

Memory impairment

3.3

1.1

Paresthesia

2.2

0.6

Psychiatric disorders

Insomnia

3.8

2.9

Euphoric mood

2.2

0.6

Renal and urinary disorders

Urinary incontinence

2.7

1.1

Skin and subcutaneous tissue disorders

Decubitus ulcer

2.7

1.1

Vascular disorders

Hypertension

2.2

1.1

Hypotension

2.2

0

* PGB: Pregabalin

Other Adverse Reactions Observed During the Clinical Studies of Pregabalin Capsules

Following is a list of treatment-emergent adverse reactions reported by patients treated with pregabalin capsules during all clinical trials. The listing does not include those events already listed in the previous tables or elsewhere in labeling, those events for which a drug cause was remote, those events which were so general as to be uninformative, and those events reported only once which did not have a substantial probability of being acutely life-threatening.

Events are categorized by body system and listed in order of decreasing frequency according to the following definitions: frequentadverse reactions are those occurring on one or more occasions in at least 1/100 patients; infrequentadverse reactions are those occurring in 1/100 to 1/1,000 patients; rarereactions are those occurring in fewer than 1/1,000 patients. Events of major clinical importance are described in the Warnings and Precautionssection ( 5).

Body as a Whole – Frequent: Abdominal pain, Allergic reaction, Fever, Infrequent: Abscess, Cellulitis, Chills, Malaise, Neck rigidity, Overdose, Pelvic pain, Photosensitivity reaction, Rare: Anaphylactoid reaction, Ascites, Granuloma, Hangover effect, Intentional Injury, Retroperitoneal Fibrosis, Shock

Cardiovascular System – Infrequent: Deep thrombophlebitis, Heart failure, Hypotension, Postural hypotension, Retinal vascular disorder, Syncope; Rare: ST Depressed, Ventricular Fibrillation

Digestive System – Frequent: Gastroenteritis, Increased appetite; Infrequent: Cholecystitis, Cholelithiasis, Colitis, Dysphagia, Esophagitis, Gastritis, Gastrointestinal hemorrhage, Melena, Mouth ulceration, Pancreatitis, Rectal hemorrhage, Tongue edema; Rare: Aphthous stomatitis, Esophageal Ulcer, Periodontal abscess

Hemic and Lymphatic System – Frequent: Ecchymosis; Infrequent: Anemia, Eosinophilia, Hypochromic anemia, Leukocytosis, Leukopenia, Lymphadenopathy, Thrombocytopenia; Rare: Myelofibrosis, Polycythemia, Prothrombin decreased, Purpura, Thrombocythemia, Alanine aminotransferase increased, Aspartate aminotransferase increased

Metabolic and Nutritional Disorders – Rare: Glucose Tolerance Decreased, Urate Crystalluria

Musculoskeletal System – Frequent: Arthralgia, Leg cramps, Myalgia, Myasthenia; Infrequent:

Arthrosis; Rare: Chondrodystrophy, Generalized Spasm

Nervous System – Frequent: Anxiety, Depersonalization, Hypertonia, Hypoesthesia, Libido decreased, Nystagmus, Paresthesia, Sedation, Stupor, Twitching; Infrequent: Abnormal dreams, Agitation, Apathy, Aphasia, Circumoral paresthesia, Dysarthria, Hallucinations, Hostility, Hyperalgesia, Hyperesthesia, Hyperkinesia, Hypokinesia, Hypotonia, Libido increased, Myoclonus, Neuralgia; Rare: Addiction, Cerebellar syndrome, Cogwheel rigidity, Coma, Delirium, Delusions, Dysautonomia, Dyskinesia, Dystonia, Encephalopathy, Extrapyramidal syndrome, Guillain-Barré syndrome, Hypalgesia, Intracranial hypertension, Manic reaction, Paranoid reaction, Peripheral neuritis, Personality disorder, Psychotic depression, Schizophrenic reaction, Sleep disorder, Torticollis, Trismus

Respiratory System – Rare: Apnea, Atelectasis, Bronchiolitis, Hiccup, Laryngismus, Lung edema, Lung fibrosis, Yawn

Skin and Appendages – Frequent: Pruritus, Infrequent: Alopecia, Dry skin, Eczema, Hirsutism, Skin ulcer, Urticaria, Vesiculobullous rash; Rare: Angioedema, Exfoliative dermatitis, Lichenoid dermatitis, Melanosis, Nail Disorder, Petechial rash, Purpuric rash, Pustular rash, Skin atrophy, Skin necrosis, Skin nodule, Stevens-Johnson syndrome, Subcutaneous nodule

Special senses – Frequent: Conjunctivitis, Diplopia, Otitis media, Tinnitus; Infrequent: Abnormality of accommodation, Blepharitis, Dry eyes, Eye hemorrhage, Hyperacusis, Photophobia, Retinal edema, Taste loss, Taste perversion; Rare: Anisocoria, Blindness, Corneal ulcer, Exophthalmos, Extraocular palsy, Iritis, Keratitis, Keratoconjunctivitis, Miosis, Mydriasis, Night blindness, Ophthalmoplegia, Optic atrophy, Papilledema, Parosmia, Ptosis, Uveitis

Urogenital System – Frequent: Anorgasmia, Impotence, Urinary frequency, Urinary incontinence; Infrequent: Abnormal ejaculation, Albuminuria, Amenorrhea, Dysmenorrhea, Dysuria, Hematuria, Kidney calculus, Leukorrhea, Menorrhagia, Metrorrhagia, Nephritis, Oliguria, Urinary retention, Urine abnormality; Rare: Acute kidney failure, Balanitis, Bladder Neoplasm, Cervicitis, Dyspareunia, Epididymitis, Female lactation, Glomerulitis, Ovarian disorder, Pyelonephritis

Comparison of Gender and Race

The overall adverse event profile of pregabalin was similar between women and men. There are insufficient data to support a statement regarding the distribution of adverse experience reports by race.

14.4 Management of Fibromyalgia

The efficacy of pregabalin capsules for management of fibromyalgia was established in one    14-week, double-blind, placebo-controlled, multicenter study (F1) and one six-month, randomized withdrawal study (F2). Studies F1 and F2 enrolled patients with a diagnosis of fibromyalgia using the American College of Rheumatology (ACR) criteria (history of widespread pain for 3 months, and pain present at 11 or more of the 18 specific tender point sites). The studies showed a reduction in pain by visual analog scale. In addition, improvement was demonstrated based on a patient global assessment (PGIC), and on the Fibromyalgia Impact Questionnaire (FIQ).



Study F1:This 14-week study compared pregabalin capsules total daily doses of 300 mg, 450 mg and 600 mg with placebo. Patients were enrolled with a minimum mean baseline pain score of greater than or equal to 4 on an 11-point numeric pain rating scale and a score of greater than or equal to 40 mm on the 100 mm pain visual analog scale (VAS). The baseline mean pain score in this trial was 6.7. Responders to placebo in an initial one-week run-in phase were not randomized into subsequent phases of the study. A total of 64% of patients randomized to pregabalin capsules completed the study. There was no evidence of a greater effect on pain scores of the 600 mg daily dose than the 450 mg daily dose, but there was evidence of dose-dependent adverse reactions [ see Adverse Reactions Error! Hyperlink reference not valid. ]. Some patients experienced a decrease in pain as early as Week 1, which persisted throughout the study. The results are summarized in Figure 9 and Table 14.



For various levels of improvement in pain intensity from baseline to study endpoint, Figure 9 shows the fraction of patients achieving that level of improvement. The figure is cumulative. Patients who did not complete the study were assigned 0% improvement. Some patients experienced a decrease in pain as early as Week 1, which persisted throughout the study.



Figure 9:Patients Achieving Various Levels of Improvement in Pain Intensity – Fibromyalgia Study F1

  Table 14. Patient Global Response in Fibromyalgia Study F1



Patient Global Impression of Change



Treatment

Group

(mg/day)



% Any Improvement



95% CI



Placebo



47.6



(40.0, 55.2)



PGB 300



68.1



(60.9, 75.3)



PGB 450



77.8



(71.5, 84.0)



PGB 600



66.1



(59.1, 73.1) 

PGB = Pregabalin



Study F2: This randomized withdrawal study compared pregabalin capsules with placebo. Patients were titrated during a 6-week open-label dose optimization phase to a total daily dose of 300 mg, 450 mg, or 600 mg. Patients were considered to be responders if they had both: 1) at least a 50% reduction in pain (VAS) and, 2) rated their overall improvement on the PGIC as "much improved" or "very much improved." Those who responded to treatment were then randomized in the double-blind treatment phase to either the dose achieved in the open-label phase or to placebo. Patients were treated for up to 6 months following randomization. Efficacy was assessed by time to loss of therapeutic response, defined as 1) less than 30% reduction in pain (VAS) from open-label baseline during two consecutive visits of the double-blind phase, or 2) worsening of FM symptoms necessitating an alternative treatment. Fifty-four percent of patients were able to titrate to an effective and tolerable dose of pregabalin capsules during the  6-week open-label phase. Of the patients entering the randomized treatment phase assigned to remain on pregabalin capsules, 38% of patients completed 26 weeks of treatment versus 19% of placebo-treated patients.

When considering return of pain or withdrawal due to adverse events as loss of response (LTR), treatment with pregabalin capsules resulted in a longer time to loss of therapeutic response than treatment with placebo. Fifty-three percent of the pregabalin-treated subjects compared to 33% of placebo patients remained on study drug and maintained a therapeutic response to Week 26 of the study. Treatment with pregabalin capsules also resulted in a longer time to loss of response based on the FIQ 1, and longer time to loss of overall assessment of patient status, as measured by the PGIC 2.



1Time to worsening of the FIQ was defined as the time to a 1-point increase from double-blind baseline in each of the subscales, and a 5-point increase from double-blind baseline evaluation for the FIQ total score.

2Time to PGIC lack of improvement was defined as time to PGIC assessments indicating less improvement than "much improvement."



Figure 10:Time to Loss of Therapeutic Response, Fibromyalgia Study F2 (Kaplan-Meier Analysis)

 

5.11 Creatine Kinase Elevations

Pregabalin capsules treatment was associated with creatine kinase elevations. Mean changes in creatine kinase from baseline to the maximum value were 60 U/L for pregabalin capsules-treated patients and 28 U/L for the placebo patients. In all controlled trials in adult patients across multiple patient populations, 1.5% of patients on pregabalin capsules and 0.7% of placebo patients had a value of creatine kinase at least three times the upper limit of normal. Three pregabalin capsules-treated subjects had events reported as rhabdomyolysis in premarketing clinical trials. The relationship between these myopathy events and pregabalin capsules is not completely understood because the cases had documented factors that may have caused or contributed to these events. Instruct patients to promptly report unexplained muscle pain, tenderness, or weakness, particularly if these muscle symptoms are accompanied by malaise or fever. Discontinue treatment with pregabalin capsules if myopathy is diagnosed or suspected or if markedly elevated creatine kinase levels occur.

17 Patient Counseling Information (17 PATIENT COUNSELING INFORMATION)

Advise the patient to read the FDA-approved patient labeling (Medication Guide).

Angioedema

Advise patients that pregabalin capsules may cause angioedema, with swelling of the face, mouth (lip, gum, tongue) and neck (larynx and pharynx) that can lead to life-threatening respiratory compromise. Instruct patients to discontinue pregabalin capsules and immediately seek medical care if they experience these symptoms [see Warnings and Precautions ( Error! Hyperlink reference not valid.

Hypersensitivity

Advise patients that pregabalin capsules has been associated with hypersensitivity reactions such as wheezing, dyspnea, rash, hives, and blisters. Instruct patients to discontinue pregabalin capsules and immediately seek medical care if they experience these symptoms [see Warnings and Precautions ( Error! Hyperlink reference not valid. )].

Suicidal Thinking and Behavior 

Patients, their caregivers, and families should be counseled that AEDs, including pregabalin capsules, may increase the risk of suicidal thoughts and behavior and should be advised of the need to be alert for the emergence or worsening of symptoms of depression, any unusual changes in mood or behavior, or the emergence of suicidal thoughts, behavior, or thoughts about self-harm. Report behaviors of concern immediately to healthcare providers [see Warnings and Precautions ( Error! Hyperlink reference not valid. )].  

Respiratory Depression

Inform patients about the risk of respiratory depression. Include information that the risk is greatest for those using concomitant central nervous system (CNS) depressants (such as opioid analgesics) or in those with underlying respiratory impairment. Teach patients how to recognize respiratory depression and advise them to seek medical attention immediately if it occurs [see Warnings and Precautions ( Error! Hyperlink reference not valid. )].

Dizziness and Somnolence 

Counsel patients that pregabalin capsules may cause dizziness, somnolence, blurred vision and other CNS signs and symptoms. Accordingly, advise patients not to drive, operate complex machinery, or engage in other hazardous activities until they have gained sufficient experience on pregabalin capsules to gauge whether or not it affects their mental, visual, and/or motor performance adversely [see Warnings and Precautions ( Error! Hyperlink reference not valid. )]. 

CNS Depressants 

Inform patients who require concomitant treatment with central nervous system depressants such as opiates or benzodiazepines that they may experience additive CNS side effects, such as respiratory depression, somnolence, and dizziness [see Warnings and Precautions ( Error! Hyperlink reference not valid. , Error! Hyperlink reference not valid. ) and Drug Interactions ( Error! Hyperlink reference not valid. )]. Advise patients to avoid consuming alcohol while taking pregabalin, as pregabalin may potentiate the impairment of motor skills and sedating effects of alcohol.

Adverse Reactions with Abrupt or Rapid Discontinuation 

Advise patients to take pregabalin capsules as prescribed. Abrupt or rapid discontinuation may result in increased seizure frequency in patients with seizure disorders, and insomnia, nausea, headache, anxiety, hyperhidrosis, or diarrhea [see Warnings and Precautions ( Error! Hyperlink reference not valid. )]. 

Missed Dose

Counsel patients if they miss a dose, they should take it as soon as they remember. If it is almost time for the next dose, they should skip the missed dose and take the next dose at their regularly scheduled time. Instruct patients not to take two doses at the same time.

Weight Gain and Edema 

Counsel patients that pregabalin capsules may cause edema and weight gain. Advise patients that concomitant treatment with pregabalin capsules and a thiazolidinedione antidiabetic agent may lead to an additive effect on edema and weight gain. For patients with preexisting cardiac conditions, this may increase the risk of heart failure [see Warnings and Precautions ( Error! Hyperlink reference not valid. , Error! Hyperlink reference not valid. )]. 

Ophthalmological Effects 

Counsel patients that pregabalin capsules may cause visual disturbances. Inform patients that if changes in vision occur, they should notify their physician [see Warnings and Precautions ( Error! Hyperlink reference not valid. )]. 

Creatine Kinase Elevations 

Instruct patients to promptly report unexplained muscle pain, tenderness, or weakness, particularly if accompanied by malaise or fever [see Warnings and Precautions ( Error! Hyperlink reference not valid. )].

Pregnancy

There is a pregnancy exposure registry that monitors pregnancy outcomes in women exposed to pregabalin capsules during pregnancy [see Use in Specific Populations ( Error! Hyperlink reference not valid.

Lactation

Advise nursing mothers that breastfeeding is not recommended during treatment with pregabalin capsules [see Use in Specific Populations ( Error! Hyperlink reference not valid.

Male Fertility

Inform men being treated with pregabalin capsules who plan to father a child of the potential risk of male-mediated teratogenicity. In preclinical studies in rats, pregabalin was associated with an increased risk of male-mediated teratogenicity. The clinical significance of this finding is uncertain [see Nonclinical Toxicology ( Error! Hyperlink reference not valid. ) and Use in Specific populations Error! Hyperlink reference not valid.

Dermatopathy

Instruct diabetic patients to pay particular attention to skin integrity while being treated with pregabalin capsules and to inform their healthcare provider about any sores or skin problems. Some animals treated with pregabalin developed skin ulcerations, although no increased incidence of skin lesions associated with pregabalin capsules was observed in clinical trials [see Nonclinical Toxicology ( Error! Hyperlink reference not valid.

Manufactured for:

Camber Pharmaceuticals, Inc.

Piscataway, NJ 08854



By: HETERO TM

Hetero Labs Limited

Jeedimetla, Hyderabad-500055, India

Repackaged by:

Proficient Rx LP

Thousand Oaks, CA 91320



Revised: 04/2024

5.3 Suicidal Behavior and Ideation

Antiepileptic drugs (AEDs), including pregabalin capsules, increase the risk of suicidal thoughts or behavior in patients taking these drugs for any indication. Monitor patients treated with any AED for any indication for the emergence or worsening of depression, suicidal thoughts or behavior, and/or any unusual changes in mood or behavior.

Pooled analyses of 199 placebo-controlled clinical trials (mono- and adjunctive therapy) of 11 different AEDs showed that patients randomized to one of the AEDs had approximately twice the risk (adjusted Relative Risk 1.8, 95% CI:1.2, 2.7) of suicidal thinking or behavior compared to patients randomized to placebo. In these trials, which had a median treatment duration of 12 weeks, the estimated incidence rate of suicidal behavior or ideation among 27,863 AED-treated patients was 0.43%, compared to 0.24% among 16,029 placebo-treated patients, representing an increase of approximately one case of suicidal thinking or behavior for every 530 patients treated. There were four suicides in drug-treated patients in the trials and none in placebo-treated patients, but the number is too small to allow any conclusion about drug effect on suicide.

The increased risk of suicidal thoughts or behavior with AEDs was observed as early as one week after starting drug treatment with AEDs and persisted for the duration of treatment assessed. Because most trials included in the analysis did not extend beyond 24 weeks, the risk of suicidal thoughts or behavior beyond 24 weeks could not be assessed.

The risk of suicidal thoughts or behavior was generally consistent among drugs in the data analyzed. The finding of increased risk with AEDs of varying mechanisms of action and across a range of indications suggests that the risk applies to all AEDs used for any indication. The risk did not vary substantially by age (5 to 100 years) in the clinical trials analyzed.

Table 3 shows absolute and relative risk by indication for all evaluated AEDs.

Table 3. Risk by Indication for Antiepileptic Drugs in the Pooled Analysis

Indication

Placebo Patients with Events Per 1,000 Patients

Drug Patients with Events Per 1,000 Patients

Relative Risk: Incidence of Events in Drug Patients/Incidence in Placebo Patients

Risk Difference: Additional Drug Patients with Events Per 1,000 Patients

Epilepsy

1.0

3.4

3.5

2.4

Psychiatric

5.7

8.5

1.5

2.9

Other

1.0

1.8

1.9

0.9

Total

2.4

4.3

1.8

1.9

The relative risk for suicidal thoughts or behavior was higher in clinical trials for epilepsy than in clinical trials for psychiatric or other conditions, but the absolute risk differences were similar for the epilepsy and psychiatric indications.

Anyone considering prescribing pregabalin capsules or any other AED must balance the risk of suicidal thoughts or behavior with the risk of untreated illness. Epilepsy and many other illnesses for which AEDs are prescribed are themselves associated with morbidity and mortality and an increased risk of suicidal thoughts and behavior. Should suicidal thoughts and behavior emerge during treatment, the prescriber needs to consider whether the emergence of these symptoms in any given patient may be related to the illness being treated.

16 How Supplied/storage and Handling (16 HOW SUPPLIED/STORAGE AND HANDLING)

75 mg capsules:

Light peach opaque cap / white opaque body size '4' hard gelatin capsules imprinted with '140' on cap and 'J' on body with black ink, filled with white to off white powder.

Bottle of 60 capsules                        NDC 82804-170-60

Bottle of 90 capsules                        NDC 82804-170-90



Storage and Handling 

Store at 20º to 25ºC (68º to 77ºF) [see USP Controlled Room Temperature].

2.3 Postherpetic Neuralgia in Adults

The recommended dose of pregabalin capsules is 75 mg to 150 mg two times a day, or 50 mg to 100 mg three times a day (150 mg to 300 mg/day) in patients with creatinine clearance of at least    60 mL/min. Begin dosing at 75 mg two times a day, or 50 mg three times a day (150 mg/day). The dose may be increased to 300 mg/day within 1 week based on efficacy and tolerability.

Patients who do not experience sufficient pain relief following 2 to 4 weeks of treatment with 300 mg/day, and who are able to tolerate pregabalin capsules, may be treated with up to 300 mg two times a day, or 200 mg three times a day (600 mg/day). In view of the dose-dependent adverse reactions and the higher rate of treatment discontinuation due to adverse reactions, reserve dosing above 300 mg/day for those patients who have on-going pain and are tolerating 300 mg daily [see Adverse Reactions ( Error! Hyperlink reference not valid. )].

Package Label.principal Display Panel (PACKAGE LABEL.PRINCIPAL DISPLAY PANEL)

Pregabalin Capsules 75 mg 60's Container-Label

2.5 Management of Fibromyalgia in Adults

The recommended dose of pregabalin capsules for fibromyalgia is 300 mg to 450 mg/day. Begin dosing at 75 mg two times a day (150 mg/day). The dose may be increased to 150 mg two times a day (300 mg/day) within 1 week based on efficacy and tolerability. Patients who do not experience sufficient benefit with 300 mg/day may be further increased to 225 mg two times a day (450 mg/day). Although pregabalin capsules were also studied at 600 mg/day, there is no evidence that this dose confers additional benefit and this dose was less well tolerated. In view of the dose-dependent adverse reactions, treatment with doses above 450 mg/day is not recommended [see Adverse Reactions ( Error! Hyperlink reference not valid. )].

2.1 Important Administration Instructions

Pregabalin capsules are given orally with or without food.

When discontinuing pregabalin capsules, taper gradually over a minimum of 1 week [see Warnings and Precautions ( Error! Hyperlink reference not valid. )].   

Because pregabalin is eliminated primarily by renal excretion, adjust the dose in adult patients with reduced renal function [see Dosage and Administration ( Error! Hyperlink reference not valid. )].

13.2 Animal Toxicology And/or Pharmacology (13.2 Animal Toxicology and/or Pharmacology)

Dermatopathy

Skin lesions ranging from erythema to necrosis were seen in repeated-dose toxicology studies in both rats and monkeys. The etiology of these skin lesions is unknown. At the maximum recommended human dose (MRD) of 600 mg/day, there is a 2-fold safety margin for the dermatological lesions. The more severe dermatopathies involving necrosis were associated with pregabalin exposures (as expressed by plasma AUCs) of approximately 3 to 8 times those achieved in humans given the MRD. No increase in incidence of skin lesions was observed in clinical studies.

Ocular Lesions

Ocular lesions (characterized by retinal atrophy [including loss of photoreceptor cells] and/or corneal inflammation/mineralization) were observed in two lifetime carcinogenicity studies in Wistar rats. These findings were observed at plasma pregabalin exposures (AUC) greater than or equal to 2 times those achieved in humans given the maximum recommended dose of 600 mg/day. A no-effect dose for ocular lesions was not established. Similar lesions were not observed in lifetime carcinogenicity studies in two strains of mice or in monkeys treated for 1 year.

8.3 Females and Males of Reproductive Potential

Infertility

Males

Effects on Spermatogenesis

In a randomized, double-blind, placebo-controlled non-inferiority study to assess the effect of pregabalin on sperm characteristics, healthy male subjects received pregabalin at a daily dose up to 600 mg (n=111) or placebo (n=109) for 13 weeks (one complete sperm cycle) followed by a 13-week washout period (off-drug). A total of 65 subjects in the pregabalin group (59%) and 62 subjects in the placebo group (57%) were included in the per protocol (PP) population. These subjects took study drug for at least 8 weeks, had appropriate timing of semen collections and did not have any significant protocol violations. Among these subjects, approximately 9% of the pregabalin group (6/65) vs. 3% in the placebo group (2/62) had greater than or equal to 50% reduction in mean sperm concentrations from baseline at Week 26 (the primary endpoint). The difference between pregabalin and placebo was within the pre-specified non-inferiority margin of 20%. There were no adverse effects of pregabalin on sperm morphology, sperm motility, serum FSH or serum testosterone levels as compared to placebo. In subjects in the PP population with greater than or equal to 50% reduction in sperm concentration from baseline, sperm concentrations were no longer reduced by greater than or equal to 50% in any affected subject after an additional 3 months off-drug. In one subject, however, subsequent semen analyses demonstrated reductions from baseline of greater than or equal to 50% at 9 and 12 months off-drug. The clinical relevance of these data is unknown.

In the animal fertility study with pregabalin in male rats, adverse reproductive and developmental effects were observed [see Nonclinical Toxicology ( Error! Hyperlink reference not valid.

2.7 Dosing for Adult Patients With Renal Impairment (2.7 Dosing for Adult Patients with Renal Impairment)

In view of dose-dependent adverse reactions and since pregabalin is eliminated primarily by renal excretion, adjust the dose in adult patients with reduced renal function. The use of pregabalin in pediatric patients with compromised renal function has not been studied.



Base the dose adjustment in patients with renal impairment on creatinine clearance (CLcr), as indicated in Table 2. To use this dosing table, an estimate of the patient's CLcr in mL/min is needed. CLcr in mL/min may be estimated from serum creatinine (mg/dL) determination using the Cockcroft and Gault equation: 



CLCr  =    [140- age (years) ] x weight (kg)     ( X 0.85 for female patients)

                72  x serum creatinine (mg/dL)



Next, refer to the Dosage and Administration section to determine the recommended total daily dose based on indication, for a patient with normal renal function (CLcr greater than or equal to 60 mL/min). Then refer to Table 2 to determine the corresponding renal adjusted dose.



(For example: A patient initiating pregabalin capsules therapy for postherpetic neuralgia with normal renal function (CLcr greater than or equal to 60 mL/min), receives a total daily dose of 150 mg/day pregabalin. Therefore, a renal impaired patient with a CLcr of 50 mL/min would receive a total daily dose of 75 mg/day pregabalin administered in two or three divided doses.)



For patients undergoing hemodialysis, adjust the pregabalin daily dose based on renal function. In addition to the daily dose adjustment, administer a supplemental dose immediately following every 4-hour hemodialysis treatment (see Table 2).



Table 2. Pregabalin Dosage Adjustment Based on Renal Function



Creatinine Clearance (CLcr)(mL/min)



Total Pregabalin Daily Dose (mg/day)*



Dose Regimen



Greater than or equal to 60



150



300



450



600



BID or TID



30 to 60



75



150



225



300



BID or TID



15 to 30



25 to 50



75



100 to 150



150



QD or BID



Less than 15



25



25 to 50



50 to 75



75



QD



 Supplementary dosage following hemodialysis (mg)



Patients on the 25 mg QD regimen: take one supplemental dose of 25 mg or 50 mg Patients on the 25 to 50 mg QD regimen: take one supplemental dose of 50 mg or 75 mg

Patients on the 50 to 75 mg QD regimen: take one supplemental dose of 75 mg or 100 mg

Patients on the 75 mg QD regimen: take one supplemental dose of 100 mg or 150 mg

TID= Three divided doses; BID = Two divided doses; QD = Single daily dose.

* Total daily dose (mg/day) should be divided as indicated by dose regimen to provide mg/dose.

† Supplementary dose is a single additional dose.

13.1 Carcinogenesis, Mutagenesis, Impairment of Fertility

Carcinogenesis

A dose-dependent increase in the incidence of malignant vascular tumors (hemangiosarcomas) was observed in two strains of mice (B6C3F1 and CD-1) given pregabalin (200 mg, 1000 mg, or 5000 mg/kg) in the diet for two years. Plasma pregabalin exposure (AUC) in mice receiving the lowest dose that increased hemangiosarcomas was approximately equal to the human exposure at the maximum recommended dose (MRD) of 600 mg/day. A no-effect dose for induction of hemangiosarcomas in mice was not established. No evidence of carcinogenicity was seen in two studies in Wistar rats following dietary administration of pregabalin for two years at doses (50 mg, 150 mg, or 450 mg/kg in males and 100 mg, 300 mg, or 900 mg/kg in females) that were associated with plasma exposures in males and females up to approximately 14 and 24 times, respectively, human exposure at the MRD.



Mutagenesis

Pregabalin was not mutagenic in bacteria or in mammalian cells in vitro, was not clastogenic in mammalian systems in vitroand in vivo, and did not induce unscheduled DNA synthesis in mouse or rat hepatocytes.



Impairment of Fertility

In fertility studies in which male rats were orally administered pregabalin (50 mg to 2500 mg/kg) prior to and during mating with untreated females, a number of adverse reproductive and developmental effects were observed. These included decreased sperm counts and sperm motility, increased sperm abnormalities, reduced fertility, increased preimplantation embryo loss, decreased litter size, decreased fetal body weights, and an increased incidence of fetal abnormalities. Effects on sperm and fertility parameters were reversible in studies of this duration (3 to 4 months). The no-effect dose for male reproductive toxicity in these studies (100 mg/kg) was associated with a plasma pregabalin exposure (AUC) approximately 3 times human exposure at the maximum recommended dose (MRD) of 600 mg/day.



In addition, adverse reactions on reproductive organ (testes, epididymides) histopathology were observed in male rats exposed to pregabalin (500 mg to 1250 mg/kg) in general toxicology studies of four weeks or greater duration. The no-effect dose for male reproductive organ histopathology in rats (250 mg/kg) was associated with a plasma exposure approximately 8 times human exposure at the MRD.



In a fertility study in which female rats were given pregabalin (500 mg, 1250 mg, or 2500 mg/kg) orally prior to and during mating and early gestation, disrupted estrous cyclicity and an increased number of days to mating were seen at all doses, and embryolethality occurred at the highest dose. The low dose in this study produced a plasma exposure approximately 9 times that in humans receiving the MRD. A no-effect dose for female reproductive toxicity in rats was not established.

2.6 Neuropathic Pain Associated With Spinal Cord Injury in Adults (2.6 Neuropathic Pain Associated with Spinal Cord Injury in Adults)

The recommended dose range of pregabalin capsules for the treatment of neuropathic pain associated with spinal cord injury is 150 mg to 600 mg/day. The recommended starting dose is 75 mg two times a day (150 mg/day). The dose may be increased to 150 mg two times a day (300 mg/day) within 1 week based on efficacy and tolerability. Patients who do not experience sufficient pain relief after 2 to 3 weeks of treatment with 150 mg two times a day and who tolerate pregabalin capsules may be treated with up to 300 mg two times a day [see Clinical Studies ( Error! Hyperlink reference not valid. )].

14.1 Neuropathic Pain Associated With Diabetic Peripheral Neuropathy (14.1 Neuropathic Pain Associated with Diabetic Peripheral Neuropathy)

The efficacy of the maximum recommended dose of pregabalin capsules for the management of neuropathic pain associated with diabetic peripheral neuropathy was established in three double-blind, placebo-controlled, multicenter studies with three times a day dosing, two of which studied the maximum recommended dose. Patients were enrolled with either Type 1 or Type 2 diabetes mellitus and a diagnosis of painful distal symmetrical sensorimotor polyneuropathy for 1 to 5 years. A total of 89% of patients completed Studies DPN 1 and DPN 2. The patients had a minimum mean baseline pain score of greater than or equal to 4 on an 11-point numerical pain rating scale ranging from 0 (no pain) to 10 (worst possible pain). The baseline mean pain scores across the two studies ranged from 6.1 to 6.7. Patients were permitted up to 4 grams of acetaminophen per day as needed for pain, in addition to pregabalin. Patients recorded their pain daily in a diary.

Study DPN 1:This 5-week study compared pregabalin capsules 25 mg, 100 mg, or 200 mg three times a day with placebo. Treatment with pregabalin capsules 100 mg and 200 mg three times a day statistically significantly improved the endpoint mean pain score and increased the proportion of patients with at least a 50% reduction in pain score from baseline. There was no evidence of a greater effect on pain scores of the 200 mg three times a day dose than the 100 mg three times a day dose, but there was evidence of dose dependent adverse reactions [see Adverse Reactions ( Error! Hyperlink reference not valid.  For a range of levels of improvement in pain intensity from baseline to study endpoint, Figure 1 shows the fraction of patients achieving that level of improvement. The figure is cumulative, so that patients whose change from baseline is, for example, 50%, are also included at every level of improvement below 50%. Patients who did not complete the study were assigned 0% improvement. Some patients experienced a decrease in pain as early as Week 1, which persisted throughout the study.



Figure 1:Patients Achieving Various Levels of Improvement in Pain Intensity – Study DPN 1

Study DPN 2:This 8-week study compared pregabalin capsules 100 mg three times a day with placebo. Treatment with pregabalin capsules 100 mg three times a day statistically significantly improved the endpoint mean pain score and increased the proportion of patients with at least a 50% reduction in pain score from baseline. For various levels of improvement in pain intensity from baseline to study endpoint, Figure 2 shows the fraction of patients achieving that level of improvement. The figure is cumulative, so that patients whose change from baseline is, for example, 50%, are also included at every level of improvement below 50%. Patients who did not complete the study were assigned 0% improvement. Some patients experienced a decrease in pain as early as Week 1, which persisted throughout the study.



Figure 2:Patients Achieving Various Levels of Improvement in Pain Intensity– Study DPN 2

14.5 Management of Neuropathic Pain Associated With Spinal Cord Injury (14.5 Management of Neuropathic Pain Associated with Spinal Cord Injury)

The efficacy of pregabalin capsules for the management of neuropathic pain associated with spinal cord injury was established in two double-blind, placebo-controlled, multicenter studies. Patients were enrolled with neuropathic pain associated with spinal cord injury that persisted continuously for at least three months or with relapses and remissions for at least six months. A total of 63% of patients completed study 1 and 84% completed study 2. The patients had a minimum mean baseline pain score of greater than or equal to 4 on an 11-point numerical pain rating scale ranging from 0 (no pain) to 10 (worst possible pain). The baseline mean pain scores across the two studies ranged from 6.5 to 6.7.



Patients were allowed to take opioids, non-opioid analgesics, antiepileptic drugs, muscle relaxants, and antidepressant drugs if the dose was stable for 30 days prior to screening. Patients were allowed to take acetaminophen and nonsteroidal anti-inflammatory drugs during the studies.



Study SCI 1:This 12-week, randomized, double-blind, parallel-group, multicenter, flexible dose (150 mg to 600 mg/day) study compared pregabalin with placebo. The 12-week study consisted of a 3-week dose adjustment phase and a 9-week dose maintenance phase. Treatment with pregabalin capsules 150 mg to 600 mg/day statistically significantly improved the endpoint weekly mean pain score, and increased the proportion of patients with at least a 30% and 50% reduction in pain score from baseline. The fraction of patients achieving various levels of improvement in pain intensity from baseline to Week 12 is presented in Figure 11. Some patients experienced a decrease in pain as early as week 1, which persisted throughout the study.



Figure 11:Patients Achieving Various Levels of Improvement in Pain Intensity – Study SCI 1

Study SCI 2:This 16-week, randomized, double-blind, placebo-controlled, parallel-group, multicenter, flexible dose (150 mg to 600 mg/day, in increments of 150 mg) study compared the efficacy, safety and tolerability of pregabalin with placebo. The 16-week study consisted of a    4-week dose adjustment phase and a 12-week dose maintenance phase. Treatment with pregabalin capsules statistically significantly improved the endpoint weekly mean pain score, and increased the proportion of patients with at least a 30% and 50% reduction in pain score from baseline. The fraction of patients achieving various levels of improvement in pain intensity from baseline to Week 16 is presented in Figure 12. Some patients experienced a decrease in pain as early as week 1, which persisted throughout the study.



Figure 12:Patients Achieving Various Levels of Improvement in Pain Intensity – Study SCI 2

 









5.6 Increased Risk of Adverse Reactions With Abrupt Or Rapid Discontinuation (5.6 Increased Risk of Adverse Reactions with Abrupt or Rapid Discontinuation)

As with all antiepileptic drugs (AEDs), withdraw pregabalin capsules gradually to minimize the potential of increased seizure frequency in patients with seizure disorders.

Following abrupt or rapid discontinuation of pregabalin capsules, some patients reported symptoms including insomnia, nausea, headache, anxiety, hyperhidrosis, and diarrhea.

If pregabalin capsules are discontinued, taper the drug gradually over a minimum of 1 week rather than discontinue the drug abruptly. 

2.2 Neuropathic Pain Associated With Diabetic Peripheral neuropathy in Adults (2.2 Neuropathic Pain Associated with Diabetic Peripheral Neuropathy in Adults)

The maximum recommended dose of pregabalin capsules is 100 mg three times a day (300 mg/day) in patients with creatinine clearance of at least 60 mL/min. Begin dosing at 50 mg three times a day (150 mg/day). The dose may be increased to 300 mg/day within 1 week based on efficacy and tolerability.

Although pregabalin capsules were also studied at 600 mg/day, there is no evidence that this dose confers additional significant benefit and this dose was less well tolerated. In view of the dose-dependent adverse reactions, treatment with doses above 300 mg/day is not recommended [see Adverse Reactions ( Error! Hyperlink reference not valid. )].

2.4 Adjunctive Therapy for Partial Onset Seizures in Patients 1 Month of Age and Older (2.4 Adjunctive Therapy for Partial-Onset Seizures in Patients 1 Month of Age and Older)

The recommended dosage for adults and pediatric patients 1 month of age and older are included in Table 1. Administer the total daily dosage orally in two or three divided doses as indicated in Table 1. In pediatric patients, the recommended dosing regimen is dependent upon body weight. Based on clinical response and tolerability, dosage may be increased, approximately weekly.

Table 1. Recommended Dosage for Adults and Pediatric Patients 1 Month and Older

Age and Body Weight

 

Recommended Initial Dosage

Recommended Maximum Dosage

Frequency of Administration

 

Adults (17 years and older)

150 mg/day

600 mg/day

2 or 3 divided doses

Pediatric patients weighing 30 kg or more

2.5 mg/kg/day

10 mg/kg/day

(not to exceed

600 mg/day)

2 or 3 divided doses

Pediatric patients weighing less than 30 kg

3.5 mg/kg/day

14 mg/kg/day

1 month to less than 4 years of age: 

3 divided doses

 

4 years of age and older: 

2 or 3 divided doses

Both the efficacy and adverse event profiles of pregabalin capsules have been shown to be dose-related. 

The effect of dose escalation rate on the tolerability of pregabalin capsules has not been formally studied. 

The efficacy of adjunctive pregabalin capsules in patients taking gabapentin has not been evaluated in controlled trials. Consequently, dosing recommendations for the use of pregabalin capsules with gabapentin cannot be offered.

14.3 Adjunctive Therapy for Partial Onset Seizures in Patients 1 Month of Age and Older (14.3 Adjunctive Therapy for Partial-Onset Seizures in Patients 1 Month of Age and Older)

Adjunctive Therapy for Partial-Onset Seizures in Adult Patients

The efficacy of pregabalin capsules as adjunctive therapy for partial-onset seizures in adult patients was established in three 12-week, randomized, double-blind, placebo-controlled, multicenter studies. Patients were enrolled who had partial-onset seizures with or without secondary generalization and were not adequately controlled with 1 to 3 concomitant antiepileptic drugs (AEDs). Patients taking gabapentin were required to discontinue gabapentin treatment 1 week prior to entering baseline. During an 8-week baseline period, patients had to experience at least   6 partial-onset seizures with no seizure-free period exceeding 4 weeks. The mean duration of epilepsy was 25 years in these 3 studies and the mean and median baseline seizure frequencies were 22.5 and 10 seizures per month, respectively. Approximately half of the patients were taking 2 concurrent AEDs at baseline. Among the pregabalin capsules-treated patients, 80% completed the double-blind phase of the studies.

Table 11 shows median baseline seizure rates and median percent reduction in seizure frequency by dose.



Table 11. Seizure Response in Controlled, Adjunctive Epilepsy Studies in Adults



Daily Dose of Pregabalin



Dosing Regimen



N



Baseline Seizure Frequency/mo



Median % Change from Baseline



p-value, vs. placebo



Study E1



 



 



 



 



 



    Placebo



BID



100



9.5



0



 



50 mg/day



BID



88



10.3



-9



0.4230



150 mg/day



BID



86



8.8



-35



0.0001



300 mg/day



BID



90



9.8



-37



0.0001



600 mg/day



BID



89



9.0



-51



0.0001



Study E2



 



 



 



 



 



Placebo



TID



96



9.3



1



 



150 mg/day



TID



99



11.5



-17



0.0007



600 mg/day



TID



92



12.3



-43



0.0001



Study E3



 



 



 



 



 



Placebo



BID/TID



98



11



-1



 



600 mg/day



BID



103



9.5



-36



0.0001



600 mg/day



TID



111



10



-48



0.0001

In the first study (E1), there was evidence of a dose-response relationship for total daily doses of pregabalin capsules between 150 mg and 600 mg/day; a dose of 50 mg/day was not effective. In the first study (E1), each daily dose was divided into two equal doses (twice a day dosing). In the second study (E2), each daily dose was divided into three equal doses (three times a day dosing). In the third study (E3), the same total daily dose was divided into two equal doses for one group (twice a day dosing) and three equal doses for another group (three times a day dosing). While the three times a day dosing group in Study E3 performed numerically better than the twice a day dosing group, this difference was small and not statistically significant.

A secondary outcome measure included the responder rate (proportion of patients with greater than or equal to 50% reduction from baseline in partial seizure frequency). The following figure displays responder rate by dose for two of the studies.



Figure 6: Responder Rate by Adjunctive Epilepsy Study

 







Figure 7:Seizure Reduction by Dose (All Partial-Onset Seizures) for Studies E1, E2, and E3

Subset evaluations of the antiseizure efficacy of pregabalin capsules showed no clinically important differences as a function of age, gender, or race.

Adjunctive Therapy for Partial-Onset Seizures in Pediatric Patients 4 to Less Than 17 Years of Age 

The efficacy of pregabalin as adjunctive therapy in partial-onset seizures was established in a 12-week, randomized, double-blind, placebo-controlled, multicenter study in pediatric patients 4 years to less than 17 years of age with partial-onset seizures with or without secondary generalization. During an 8-week baseline period, patients had to experience at least 6 partial-onset seizures with no seizure-free period exceeding 4 weeks. The mean duration of epilepsy was 6 years and the mean and median baseline seizure frequencies were 57 and 18 seizures per month, respectively. Approximately 74% of the patients were taking 2 to 3 concurrent AEDs at baseline. Among the pregabalin-treated patients, 87% completed the double-blind phase of the study. 

In this study, pregabalin 2.5 mg/kg/day (maximum 150 mg/day) and 10 mg/kg/day (maximum 600 mg/day) were compared to placebo. Administration of each daily dose was divided into two equal doses (twice a day dosing). Because of higher weight-normalized clearance in patients with body weight less than 30 kg [see Clinical Pharmacology ( Error! Hyperlink reference not valid. )], the pregabalin dose was increased by 40% to 3.5 mg/kg/day for patients weighing less than 30 kg randomized to the 2.5 mg/kg/day group or to 14 mg/kg/day for patients randomized to the 10 mg/kg/day group. 

Table 12 shows median baseline seizure rates, median percent change from baseline in seizure rates, and percent difference relative to placebo (derived from the primary analysis model) by dose. 

Table 12. Seizure Response in Controlled Adjunctive Partial-Onset Seizure Study in Pediatric Patients 4 to Less Than 17 Years of Age



Daily Dose ofPregabalin



N



Median Baseline Seizure Frequency/ 28 days



Median % Change from Baseline



% Difference Relative to Placebo



p-value, versus placebo

 



Placebo



93



16.5



-16.9



Not applicable



 



2.5 mg/kg/day (BID) a



104



23.8



-27.3



-10.5



0.2577



10 mg/kg/day (BID) b



97



17.5



-37.1



-21.0



0.0185

Abbreviations: BID=twice daily; N=number. 

a.2.5 mg/kg/day: Maximum dose 150 mg/day. Includes patients less than 30 kg for whom dose was adjusted to 3.5 mg/kg/day. 

b.10 mg/kg/day: Maximum dose 600 mg/day. Includes patients less than 30 kg for whom dose was adjusted to 14 mg/kg/day. 

There was evidence of a dose-response relationship for total daily doses of pregabalin between 2.5 mg/kg/day and 10 mg/kg/day. A significant improvement in seizure rate was observed for pregabalin 10 mg/kg/day group compared with placebo. While the 2.5 mg/kg/day group performed numerically better than placebo, this difference was not statistically significant. 

A key secondary efficacy measure, the responder rate (proportion of patients with greater than or equal to 50% reduction from baseline in partial seizure frequency) showed improvements for pregabalin groups compared with placebo. The following figure displays responder rate by dose:

Figure 8:Responder Rate (Greater than or Equal to 50% Reduction)

Adjunctive Therapy for Partial-Onset Seizures in Pediatric Patients 1 Month to Less Than 4 Years of Age 

The efficacy of pregabalin as adjunctive therapy in partial-onset seizures was established in a 14-day, randomized, double-blind, placebo-controlled, multicenter study in children 1 month to less than 4 years of age with partial-onset seizures with or without secondary generalization. The youngest patient evaluated was 3 months of age. During a 48- to 72-hour baseline video electroencephalogram (EEG), patients had to experience at least 2 partial-onset seizures. The mean duration of epilepsy at baseline was 1.6 years and the mean and median baseline seizure frequencies were 12.2 and 4.4 seizures per day, respectively. Approximately 33%, 50%, and 17% of patients were taking 1, 2, or 3 concurrent AEDs at baseline, respectively. Among the pregabalin -treated patients, 97% completed the double-blind phase of the study. 

In this study, pregabalin 7 mg/kg/day and 14 mg/kg/day were compared to placebo. Administration of each daily dose was divided into three equal doses (three times a day dosing). The primary endpoint was the 24-hour partial-onset seizure rate based on the comparison of the baseline video EEG to a repeat 48-72 hour video EEG performed at the end of 14 days of double-blind treatment. 

Table 13 shows median baseline seizure rates, median percent change from baseline in seizure rates, and percent difference relative to placebo (derived from the primary analysis model) by dose.

Table 13. Seizure Response in Controlled Adjunctive Partial-Onset Seizure Study in Pediatric Patients 1 Month to Less Than 4 Years of Age



Daily Dose ofPregabalin



N



Median Baseline Seizure Frequency/ 24 hours



Median % Change from Baseline



% Difference Relative to Placebo



p-value, versus placebo



Placebo



53



2.9



22.2



Not applicable



 



7 mg/kg/day



59



4.7



16.8



15.1



0.4606



14 mg/kg/day



28



5.4



70.0



-43.9



0.0223

Abbreviations: N=number of patients 

A significant improvement in partial-onset seizure rate was observed for pregabalin 14 mg/kg/day group compared with placebo. Patients treated with pregabalin 7 mg/kg/day did not show improvement relative to placebo.

Responder rates (≥50% or greater reduction in partial-onset seizure frequency) were a secondary efficacy parameter; patients treated with pregabalin 14 mg/kg/day showed numerical improvement compared with placebo, while patients treated with pregabalin 7 mg/kg/day did not show improvement relative to placebo: the responder rates were 53.6%, 30.5%, and 41.5% for pregabalin 14 mg/kg/day, pregabalin 7 mg/kg/day, and placebo, respectively.


Advanced Ingredient Data


Raw Label Data

All Sections (JSON)