These Highlights Do Not Include All The Information Needed To Use Gemcitabine For Injection Safely And Effectively. See Full Prescribing Information For Gemcitabine For Injection. Gemcitabine for Injection, For Intravenous Use Initial U.s. Approval: 1996

These Highlights Do Not Include All The Information Needed To Use Gemcitabine For Injection Safely And Effectively. See Full Prescribing Information For Gemcitabine For Injection. Gemcitabine for Injection, For Intravenous Use Initial U.s. Approval: 1996
SPL v14
SPL
SPL Set ID 9f8fe5ba-943f-4f0a-9618-6083101faa28
Route
INTRAVENOUS
Published
Effective Date 2024-09-06
Document Type 34391-3 Human Prescription Drug Label

Drug Facts

Composition & Product

Active Ingredients
Gemcitabine (200 mg)
Inactive Ingredients
Mannitol Sodium Acetate Sodium Hydroxide Hydrochloric Acid

Identifiers & Packaging

Marketing Status
ANDA Active Since 2016-02-01

Description

Dosage and Administration, Dosage Modifications for Non-Hematologic Adverse Reactions ( 2.5 )                         8/2024 Warnings and Precautions, Severe Cutaneous Adverse Reactions (SCARs) ( 5.3 )                                                         8/2024

Warnings and Precautions

• Schedule-Dependent Toxicity: Increased toxicity with infusion time greater than 60 minutes or dosing more frequently than once weekly. ( 5.1 ) • Myelosuppression: Monitor for myelosuppression prior to each cycle and reduce or withhold dose for severe myelosuppression. ( 5.2 , 5.7 ) • Severe Cutaneous Adverse Reactions (SCARs): Permanently discontinue gemcitabine injection if SCARs occur. ( 5.3 ) • Pulmonary Toxicity and Respiratory Failure: Discontinue Gemcitabine for Injection for unexplained dyspnea or other evidence of severe pulmonary toxicity. ( 5.4 ) • Hemolytic Uremic Syndrome (HUS): Monitor renal function prior to initiation and during treatment. Discontinue Gemcitabine for Injection for HUS or severe renal impairment. ( 5.5 ) • Hepatic Toxicity: Monitor hepatic function prior to initiation and during treatment. Discontinue Gemcitabine for Injection for severe hepatic toxicity. ( 5.6 ) • Embryo-Fetal Toxicity: Can cause fetal harm. Advise females and males of reproductive potential to use effective contraception. ( 5.7 , 8.1 ) • Exacerbation of Radiation Therapy Toxicity: May cause severe and life-threatening toxicity when administered during or within 7 days of radiation therapy. ( 5.8 ) • Capillary Leak Syndrome: Discontinue Gemcitabine for Injection. ( 5.9 ) • Posterior Reversible Encephalopathy Syndrome (PRES): Discontinue Gemcitabine for Injection. ( 5.10 )

Contraindications

Gemcitabine for Injection is contraindicated in patients with a known hypersensitivity to gemcitabine. Reactions include anaphylaxis [see Adverse Reactions (6.1) ].

Adverse Reactions

SCARs, including Stevens-Johnson syndrome (SJS), toxic epidermal necrolysis (TEN), drug reaction with eosinophilia and systemic symptoms (DRESS), and acute generalized exanthematous pustulosis (AGEP), which can be life-threatening or fatal, have been reported in association with gemcitabine treatment  [see  Adverse Reactions (6.2) ] . Monitor patients for signs and symptoms of severe cutaneous adverse reactions. Permanently discontinue gemcitabine in patients who develop SCARs.

Storage and Handling

Gemcitabine for Injection, USP is supplied as follows: NDC Gemcitabine for Injection, USP Package Factor 68083-148-01  200 mg Single-Dose Vial 1 vial per carton 68083-149-01  1 gram Single-Dose Vial 1 vial per carton Gemcitabine for Injection, USP is a sterile white to off-white lyophilized powder. Gemcitabine for Injection, USP is a cytotoxic drug. Follow applicable special handling and disposal procedures. 1 Storage Conditions Store at 20° to 25°C (68° to 77°F); excursions permitted between 15° and 30°C (59° and 86°F). [See USP Controlled Room Temperature.] Sterile, Nonpyrogenic, Preservative-free, Lyophilized. The container closure is not made with natural rubber latex.

How Supplied

Gemcitabine for Injection, USP is supplied as follows: NDC Gemcitabine for Injection, USP Package Factor 68083-148-01  200 mg Single-Dose Vial 1 vial per carton 68083-149-01  1 gram Single-Dose Vial 1 vial per carton Gemcitabine for Injection, USP is a sterile white to off-white lyophilized powder. Gemcitabine for Injection, USP is a cytotoxic drug. Follow applicable special handling and disposal procedures. 1 Storage Conditions Store at 20° to 25°C (68° to 77°F); excursions permitted between 15° and 30°C (59° and 86°F). [See USP Controlled Room Temperature.] Sterile, Nonpyrogenic, Preservative-free, Lyophilized. The container closure is not made with natural rubber latex.


Medication Information

Warnings and Precautions

• Schedule-Dependent Toxicity: Increased toxicity with infusion time greater than 60 minutes or dosing more frequently than once weekly. ( 5.1 ) • Myelosuppression: Monitor for myelosuppression prior to each cycle and reduce or withhold dose for severe myelosuppression. ( 5.2 , 5.7 ) • Severe Cutaneous Adverse Reactions (SCARs): Permanently discontinue gemcitabine injection if SCARs occur. ( 5.3 ) • Pulmonary Toxicity and Respiratory Failure: Discontinue Gemcitabine for Injection for unexplained dyspnea or other evidence of severe pulmonary toxicity. ( 5.4 ) • Hemolytic Uremic Syndrome (HUS): Monitor renal function prior to initiation and during treatment. Discontinue Gemcitabine for Injection for HUS or severe renal impairment. ( 5.5 ) • Hepatic Toxicity: Monitor hepatic function prior to initiation and during treatment. Discontinue Gemcitabine for Injection for severe hepatic toxicity. ( 5.6 ) • Embryo-Fetal Toxicity: Can cause fetal harm. Advise females and males of reproductive potential to use effective contraception. ( 5.7 , 8.1 ) • Exacerbation of Radiation Therapy Toxicity: May cause severe and life-threatening toxicity when administered during or within 7 days of radiation therapy. ( 5.8 ) • Capillary Leak Syndrome: Discontinue Gemcitabine for Injection. ( 5.9 ) • Posterior Reversible Encephalopathy Syndrome (PRES): Discontinue Gemcitabine for Injection. ( 5.10 )

Contraindications

Gemcitabine for Injection is contraindicated in patients with a known hypersensitivity to gemcitabine. Reactions include anaphylaxis [see Adverse Reactions (6.1) ].

Adverse Reactions

SCARs, including Stevens-Johnson syndrome (SJS), toxic epidermal necrolysis (TEN), drug reaction with eosinophilia and systemic symptoms (DRESS), and acute generalized exanthematous pustulosis (AGEP), which can be life-threatening or fatal, have been reported in association with gemcitabine treatment  [see  Adverse Reactions (6.2) ] . Monitor patients for signs and symptoms of severe cutaneous adverse reactions. Permanently discontinue gemcitabine in patients who develop SCARs.

Storage and Handling

Gemcitabine for Injection, USP is supplied as follows: NDC Gemcitabine for Injection, USP Package Factor 68083-148-01  200 mg Single-Dose Vial 1 vial per carton 68083-149-01  1 gram Single-Dose Vial 1 vial per carton Gemcitabine for Injection, USP is a sterile white to off-white lyophilized powder. Gemcitabine for Injection, USP is a cytotoxic drug. Follow applicable special handling and disposal procedures. 1 Storage Conditions Store at 20° to 25°C (68° to 77°F); excursions permitted between 15° and 30°C (59° and 86°F). [See USP Controlled Room Temperature.] Sterile, Nonpyrogenic, Preservative-free, Lyophilized. The container closure is not made with natural rubber latex.

How Supplied

Gemcitabine for Injection, USP is supplied as follows: NDC Gemcitabine for Injection, USP Package Factor 68083-148-01  200 mg Single-Dose Vial 1 vial per carton 68083-149-01  1 gram Single-Dose Vial 1 vial per carton Gemcitabine for Injection, USP is a sterile white to off-white lyophilized powder. Gemcitabine for Injection, USP is a cytotoxic drug. Follow applicable special handling and disposal procedures. 1 Storage Conditions Store at 20° to 25°C (68° to 77°F); excursions permitted between 15° and 30°C (59° and 86°F). [See USP Controlled Room Temperature.] Sterile, Nonpyrogenic, Preservative-free, Lyophilized. The container closure is not made with natural rubber latex.

Description

Dosage and Administration, Dosage Modifications for Non-Hematologic Adverse Reactions ( 2.5 )                         8/2024 Warnings and Precautions, Severe Cutaneous Adverse Reactions (SCARs) ( 5.3 )                                                         8/2024

Section 42229-5


Breast Cancer

Tables 9 and 10 present the incidence of selected adverse reactions and laboratory abnormalities, occurring in ≥10% of Gemcitabine for Injection-treated patients and at a higher incidence in the Gemcitabine for Injection with paclitaxel arm, reported in a randomized trial (Study 2) of Gemcitabine for Injection with paclitaxel (n=262) compared to paclitaxel alone (n=259) for the first-line treatment of metastatic breast cancer (MBC) in women who received anthracycline-containing chemotherapy in the adjuvant/neo-adjuvant setting or for whom anthracyclines were contraindicated [see Clinical Studies (14.2)]. Additional clinically significant adverse reactions, occurring in <10% of patients, are provided following Table 10.



The requirement for dose reduction of paclitaxel were higher for patients in the Gemcitabine for Injection/paclitaxel arm (5% versus 2%). The number of paclitaxel doses omitted (<1%), the proportion of patients discontinuing treatment for adverse reactions (7% versus 5%) and the number of treatment-related deaths (1 patient in each arm) were similar between the two arms.



Table 9: Selected Adverse Reactions Occurring in Patients Receiving Gemcitabine with Paclitaxel and at Higher Incidence than in Patients Receiving Single Agent Paclitaxel [Between Arm Difference of ≥5% (All Grades) or ≥2% (Grades 3-4)] in Study 2a





 

 

Adverse Reactionsb

Gemcitabine for Injection/Paclitaxel

(N=262)

Paclitaxel

(N=259)

All Grades

(%)

Grade 3

(%)

Grade 4

(%)

All Grades

(%)

Grade 3

(%)

Grade 4

(%)

Alopecia

90

14

4

92

19

3

Neuropathy-Sensory

64

5

<1

58

3

0

Nausea

50

1

0

31

2

0

Fatigue

40

6

<1

28

1

<1

Vomiting

29

2

0

15

2

0

Diarrhea

20

3

0

13

2

0

Anorexia

17

0

0

12

<1

0

Neuropathy-Motor

15

2

<1

10

<1

0

Stomatitis/Pharyngitis

13

1

<1

8

<1

0

Fever

13

<1

0

3

0

0

Rash/Desquamation

Febrile Neutropenia

11

6

<1

5

<1

<1

5

2

0

1

0

0

a  Grade based on National Cancer Institute CTC Version 2.0.

b  Non-laboratory events were graded only if assessed to be possibly drug-related.



Table 10: Selected Laboratory Abnormalities Occurring in >10% of Patients Receiving Gemcitabine with Paclitaxel and at a Higher Incidence than Patients Receiving Single Agent Paclitaxel [Between Arm Difference of ≥5% (All Grades) or ≥2% (Grades 3-4)] in Study 2a





 

 

Laboratory Abnormalityb

Gemcitabine for Injection/ Paclitaxel

(N=262)

Paclitaxel

(N=259)

All Grades

(%)

Grade 3

(%)

Grade 4

(%)

All Grades

(%)

Grade 3

(%)

Grade 4

(%)

Hematologic

 

 

 

 

 

 

     Anemia

69

6

1

51

3

<1

     Neutropenia

69

31

17

31

4

7

     Thrombocytopenia

26

5

<1

7

<1

<1

Hepatobiliary

 

 

 

 

 

 

     Increased ALT

18

5

<1

6

<1

0

     Increased AST

16

2

0

5

<1

0



a  Grade based on National Cancer Institute CTC Version 2.0.

b  Regardless of causality.



Clinically relevant Grade 3 or 4 dyspnea occurred with a higher incidence in the Gemcitabine for Injection with paclitaxel arm compared with the paclitaxel arm (1.9% versus 0).



Non-Small Cell Lung Cancer

Tables 11 and 12 present the incidence of selected adverse reactions and laboratory abnormalities occurring in ≥10% of Gemcitabine for Injection-treated patients and at a higher incidence in the Gemcitabine for Injection with cisplatin arm, reported in a randomized trial (Study 3) of Gemcitabine for Injection with cisplatin (n=260) administered in 28-day cycles as compared to cisplatin alone (n=262) in patients receiving first-line treatment for locally advanced or metastatic NSCLC [see Clinical Studies (14.3)].



Patients randomized to Gemcitabine for Injection with cisplatin received a median of 4 cycles of treatment and those randomized to cisplatin alone received a median of 2 cycles of treatment. In this trial, the requirement for dose adjustments (>90% versus 16%), discontinuation of treatment for adverse reactions (15% versus 8%), and the proportion of patients hospitalized (36% versus 23%) were all higher for patients receiving Gemcitabine for Injection with cisplatin compared to those receiving cisplatin alone. The incidence of febrile neutropenia (3% versus <1%), sepsis (4% versus 1%), Grade 3 cardiac dysrhythmias (3% versus <1%) were all higher in the Gemcitabine for Injection with cisplatin arm compared to the cisplatin alone arm. The two-drug combination was more myelosuppressive with 4 (1.5%) possibly treatment-related deaths, including 3 resulting from myelosuppression with infection and one case of renal failure associated with pancytopenia and infection. No deaths due to treatment were reported on the cisplatin arm.

Table 11: Selected Adverse Reactions Occurring in ≥10% of Patients Receiving Gemcitabine with Cisplatin and at Higher Incidence than in Patients Receiving Single Agent Cisplatin [Between Arm Difference of ≥5% (All Grades) or ≥2% (Grades 3-4)] in Study 3a



 

Adverse Reactionsb

Gemcitabine for Injection/Cisplatinc

Cisplatind

All Grades (%)

Grade 3 (%)

Grade 4 (%)

All Grades (%)

Grade 3 (%)

Grade 4 (%)

    Nausea

93

25

2

87

20

<1

    Vomiting

78

11

12

71

10

9

    Alopecia

53

1

0

33

0

0

    Neuro Motor

35

12

0

15

3

0

    Diarrhea

24

2

2

13

0

0

    Neuro Sensory

23

1

0

18

1

0

    Infection

18

3

2

12

1

0

    Fever

16

0

0

5

0

0

    Neuro Cortical

16

3

1

9

1

0

    Neuro Mood

16

1

0

10

1

0

    Local

15

0

0

6

0

0

    Neuro Headache

14

0

0

7

0

0

    Stomatitis

14

1

0

5

0

0

    Hemorrhage

14

1

0

4

0

0

    Hypotension

12

1

0

7

1

0

    Rash

11

0

0

3

0

0

a Grade based on National Cancer Institute Common Toxicity Criteria (CTC).

b Non-laboratory events were graded only if assessed to be possibly drug-related.

c N=217-253; all Gemcitabine for Injection/cisplatin patients with laboratory or non-laboratory data

d N=213-248; all cisplatin patients with laboratory or non-laboratory data



Table 12: Selected Laboratory Abnormalities Occurring in >10% of Patients Receiving Gemcitabine with Cisplatin and at Higher Incidence than in Patients Receiving Single Agent Cisplatin [Between Arm Difference of ≥5% (All Grades) or ≥2% (Grades 3-4)] in Study 3a



 

 

Laboratory Abnormalityb

Gemcitabine for Injection/Cisplatin

Cisplatin

All Grades (%)

Grade 3 (%)

Grade 4 (%)

All Grades (%)

Grade 3 (%)

Grade 4 (%)

Hematologic

 

 

 

 

 

 

     Anemia

89

22

3

67

6

1

     Thrombocytopenia

85

25

25

13

3

1

     Neutropenia

79

22

35

20

3

1

     Lymphopenia

     RBC Transfusionse

     Platelet Transfusionse

75

39

21

25

-

-

18

-

-

51

13

<1

12

-

-

5

-

-

Hepatic

 

 

 

 

 

 

     Increased Transaminases

22

2

1

10

1

0

     Increased Alkaline

     Phosphatase

19

1

0

13

0

0

Renal

     Increased Creatinine

 

38

 

4

 

<1

 

31

 

2

 

<1

     Proteinuria

23

0

0

18

0

0

     Hematuria

15

0

0

13

0

0

Other Laboratory

 

 

 

 

 

 

     Hyperglycemia

30

4

0

23

3

0

     Hypomagnesemia

30

4

3

17

2

0

     Hypocalcemia

18

2

0

7

0

<1



a  Grade based on National Cancer Institute CTC.

b  Regardless of causality.

c  N=217-253; all Gemcitabine for Injection/cisplatin patients with laboratory or non-laboratory data

d  N=213-248; all cisplatin patients with laboratory or non-laboratory data

e  Percent of patients receiving transfusions. Percent transfusions are not CTC-graded events.

Section 43683-2

Dosage and Administration, Dosage Modifications for Non-Hematologic Adverse Reactions (2.5)                         8/2024

Warnings and Precautions, Severe Cutaneous Adverse Reactions (SCARs) (5.3)                                                         8/2024

8.6 Gender


Gemcitabine for Injection clearance is decreased in females [see Clinical Pharmacology (12.3)]. In single agent studies of Gemcitabine for Injection, women, especially older women, were more likely not to proceed to a subsequent cycle and to experience Grade 3-4 neutropenia and thrombocytopenia [see Dosage and Administration (2.1, 2.2, 2.3, 2.4)].

10 Overdosage


There is no known antidote for overdoses of gemcitabine. Myelosuppression, paresthesias, and severe rash were the principal toxicities seen when a single dose as high as 5700 mg/m2 was administered by intravenous infusion over 30 minutes every 2 weeks to several patients in a dose-escalation study. In the event of suspected overdose, monitor with appropriate blood counts and provide supportive therapy, as necessary.

15 References

1.         “OSHA Hazardous Drugs.” OSHA. http://www.osha.gov/SLTC/hazardousdrugs/index.html

8.1 Pregnancy


Risk Summary

Based on animal data and its mechanism of action, Gemcitabine for Injection can cause fetal harm when administered to a pregnant woman [see Clinical Pharmacology (12.1)]. There are no available data on the use of Gemcitabine for Injection in pregnant women. In animal reproduction studies, gemcitabine was teratogenic, embryotoxic, and fetotoxic in mice and rabbits (see Data). Advise pregnant women of the potential risk to a fetus [see Use in Special Populations (8.3)].

In the U.S. general population, the estimated background risk of major birth defects and miscarriages in clinically recognized pregnancies is 2 to 4% and 15 to 20% respectively.



Data

Animal Data



Gemcitabine is embryotoxic in mice. Daily dosing of gemcitabine to pregnant mice increased the incidence of fetal malformation (cleft palate, incomplete ossification) at doses of 1.5 mg/kg/day [approximately 0.005 times the 1000 mg/m2 clinical dose based on body surface area (BSA)]. Gemcitabine was embryotoxic and fetotoxic in rabbits. Daily dosing of gemcitabine to pregnant rabbits resulted in fetotoxicity (decreased fetal viability, reduced litter sizes, and developmental delays) and increased the incidence of fetal malformations (fused pulmonary artery, absence of gall bladder) at doses of 0.1 mg/kg/day (approximately 0.002 times the 1000 mg/m2 clinical dose based on BSA).

8.2 Lactation

Risk Summary

There is no information regarding the presence of Gemcitabine for Injection or its metabolites in human milk, or their effects on the breastfed infant or on milk production. Due to the potential for serious adverse reactions in breastfed infants from Gemcitabine for Injection, advise women not to breastfeed during treatment with Gemcitabine for Injection and for at least one week following the last dose.

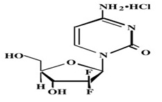
11 Description


Gemcitabine is a nucleoside metabolic inhibitor. Gemcitabine hydrochloride, USP is 2’- deoxy-2’, 2’-difluorocytidine monohydrochloride (β-isomer) with the following structural formula:









The empirical formula for gemcitabine hydrochloride, USP is C9H11F2N3O4 • HCl. It has a molecular weight of 299.66 g/mol.



Gemcitabine hydrochloride, USP is soluble in water, slightly soluble in methanol, and practically insoluble in ethanol and polar organic solvents.

 

Gemcitabine for Injection, USP is a sterile white to off-white lyophilized powder and available as 200 mg and 1 gram single-dose vials for intravenous use only. Each 200 mg vial contains 200 mg gemcitabine (equivalent to 227.7 mg gemcitabine hydrochloride, USP), 200 mg mannitol and 12.5 mg sodium acetate. Each 1 gram vial contains 1 gram gemcitabine (equivalent to 1.139 gram gemcitabine hydrochloride, USP), 1 gram mannitol, and 62.5 mg sodium acetate. Hydrochloric acid and/or sodium hydroxide may have been added for pH adjustment.

2.6 Preparation


• Gemcitabine for Injection vials contain no antimicrobial preservatives and are intended for single use only.

• Gemcitabine for Injection is a cytotoxic drug. Follow applicable special handling and disposal procedures.1

• Exercise caution and wear gloves when preparing Gemcitabine for Injection solutions. Immediately wash the skin thoroughly or rinse the mucosa with copious amounts of water if Gemcitabine for

    Injection contacts the skin or mucus membranes. Death has occurred in animal studies due to dermal absorption.

• Reconstitute the 200 mg vial with 5 mL and the 1 gram vial with 25 mL of 0.9% Sodium Chloride Injection, USP to yield a Gemcitabine for Injection concentration of 38 mg/mL. Reconstituted

    Gemcitabine for Injection is a clear, colorless to light straw-colored solution.

• Visually inspect reconstituted product for particulate matter and discoloration. Discard if particulate matter or discoloration is observed.

• Withdraw the calculated dose from the vial and discard any unused portion.

• Prior to administration, dilute the reconstituted solution with 0.9% Sodium Chloride Injection, USP to a minimum final concentration of at least 0.1 mg/mL.

• Store Gemcitabine for Injection solutions (reconstituted and diluted) at controlled room temperature of 20°C to 25°C (68°F to 77°F). Do not refrigerate as crystallization can occur. Discard Gemcitabine for Injection solutions if not used within 24 hours after reconstitution.

• No incompatibilities have been observed with infusion bottles or polyvinyl chloride bags and administration sets.

1.2 Breast Cancer


Gemcitabine for Injection in combination with paclitaxel is indicated for the first-line treatment of patients with metastatic breast cancer after failure of prior anthracycline-containing adjuvant chemotherapy, unless anthracyclines were clinically contraindicated.

2.2 Breast Cancer


Recommended Dose and Schedule

The recommended dosage of Gemcitabine for Injection is 1250 mg/m2 intravenously over 30 minutes on Days 1 and 8 of each 21-day cycle in combination with paclitaxel 175 mg/m2 administered as a 3-hour intravenous infusion on Day 1 before Gemcitabine for Injection administration. Refer to paclitaxel prescribing information for additional information.



Dosage Modifications

Recommended Gemcitabine for Injection dosage modifications for myelosuppression are described in Table 3 [see Warnings and Precautions (5.2)]. Refer to the recommended dosage modifications for non-hematologic adverse reactions [see Dosage and Administration (2.5)].









Table 3: Recommended Dosage Modifications for Gemcitabine for Injection for Myelosuppression on Day of Treatment in Breast Cancer

Treatment Day

Absolute Neutrophil Count

(x 106/L)

 

Platelet Count

(x 106/L)

Dosage Modification

Day 1

Greater than or equal to 1500

And

Greater than or equal to 100,000

None

Less than 1500

Or

Less than 100,000

Hold

Day 8

Greater than or equal to 1200

And

Greater than 75,000

None

1000 to 1199

Or

50,000 to 75,000

75% of full dose

700 to 999

And

Greater than or equal to 50,000

50% of full dose

Less than 700

Or

Less than 50,000

Hold



8.4 Pediatric Use




The safety and effectiveness of Gemcitabine for Injection have not been established in pediatric patients.



The safety and pharmacokinetics of gemcitabine were evaluated in a trial in pediatric patients with refractory leukemia. The maximum tolerated dose was 10 mg/m2/min for 360 minutes weekly for three weeks followed by a one-week rest period.



The safety and activity of Gemcitabine for Injection were evaluated in a trial of pediatric patients with relapsed acute lymphoblastic leukemia (22 patients) and acute myelogenous leukemia (10 patients) at a dose of 10 mg/m2/min administered over 360 minutes weekly for three weeks followed by a one-week rest period. Patients with M1 or M2 bone marrow on Day 28 who did not experience unacceptable toxicity were eligible to receive a maximum of one additional four-week course. Toxicities observed included myelosuppression, febrile neutropenia, increased serum transaminases, nausea, and rash/desquamation. No meaningful clinical activity was observed in this trial.

8.5 Geriatric Use


In clinical studies which enrolled 979 patients with various malignancies who received single agent Gemcitabine for Injection, no overall differences in safety were observed between patients aged 65 and older and younger patients, with the exception of a higher rate of Grade 3-4 thrombocytopenia in older patients as compared to younger patients.



In a randomized trial in women with ovarian cancer (Study 1), 175 women received Gemcitabine for Injection with carboplatin, of which 29% were age 65 years or older. Similar effectiveness was observed between older and younger women. There was significantly higher Grade 3-4 neutropenia in women 65 years of age or older [see Dosage and Administration (2.1)].



Gemcitabine for Injection clearance is affected by age; however, there are no recommended dose adjustments based on patient's age [see Clinical Pharmacology (12.3)].

1.1 Ovarian Cancer

Gemcitabine for Injection in combination with carboplatin is indicated for the treatment of patients with advanced ovarian cancer that has relapsed at least 6 months after completion of platinum-based therapy.

14.2 Breast Cancer


The efficacy of Gemcitabine for Injection was evaluated in a multinational, randomized, open-label trial (Study 2) conducted in women receiving initial treatment for metastatic breast cancer and who have received prior adjuvant/neoadjuvant anthracycline chemotherapy unless clinically contraindicated. Patients were randomized to receive either Gemcitabine for Injection 1250 mg/m2 on Days 1 and 8 of each 21-day cycle with paclitaxel 175 mg/m2 administered on Day 1 before Gemcitabine for Injection administration (n=267) or paclitaxel 175 mg/m2 on Day 1 of each 21-day cycle (n=262). The major efficacy outcome measure was time to documented disease progression.



A total of 529 patients were enrolled. Demographic and baseline characteristics were similar between treatment arms (Table 18).



Efficacy results are presented in Table 19 and Figure 2. The addition of Gemcitabine for Injection to paclitaxel resulted in statistically significant improvement in time to documented disease progression and overall response rate compared to paclitaxel alone. There was no significant difference in overall survival.

Table 18: Baseline Demographics and Clinical Characteristics for Study 2



 

Gemcitabine for Injection /Paclitaxel

(N=267)

Paclitaxel

(N=262)

Median age, years

  Range

53

26 to 83

52

26 to 75

Metastatic disease

97%

97%

Baseline KPSa ≥90

70%

74%

Number of tumor sites

      1-2

       ≥3

 

57%

43%

 

59%

41%

Visceral disease

73%

73%

   Prior anthracycline

97%

96%

a Karnofsky Performance Status.

Table 19: Efficacy Results in Study 2





Efficacy Parameter

Gemcitabine for Injection/ Paclitaxel

(N=267)

Paclitaxel

(N=262)

Time to Documented Disease Progressiona

Median (95% CI) in months

5.2 (4.2, 5.6)

2.9 (2.6, 3.7)

    Hazard Ratio (95% CI)

0.650 (0.524, 0.805)

    p-value

p<0.0001

Overall Survivalb

 Median (95% CI) in months

18.6 (16.5, 20.7)

15.8 (14.1, 17.3)

 Hazard Ratio (95% CI)

0.86 (0.71, 1.04)

 p-value

Not Significant

Overall Response Rate

40.8%

22.1%

    (95% CI)

(34.9, 46.7)

(17.1, 27.2)

    p-value

p<0.0001

a These represent reconciliation of investigator and Independent Review Committee assessments according to a predefined  algorithm.

b Based on the ITT population.

 

Figure 2: Kaplan-Meier Curves for Time to Documented Disease Progression in Study 2





2.1 Ovarian Cancer


Recommended Dose and Schedule

The recommended dosage of Gemcitabine for Injection is 1000 mg/m2 intravenously over 30 minutes on Days 1 and 8 of each 21-day cycle in combination with carboplatin AUC 4 administered intravenously on Day 1 after Gemcitabine for Injection administration. Refer to carboplatin prescribing information for additional information.



Dosage Modifications


Recommended Gemcitabine for Injection dosage modifications for myelosuppression are described in Tables 1 and 2 [see Warnings and Precautions (5.2)]. Refer to the recommended dosage modifications for non-hematologic adverse reactions [see Dosage and Administration (2.5)].





Table 1: Recommended Dosage Modifications for Gemcitabine for Injection for Myelosuppression on Day of Treatment in Ovarian Cancer



Treatment Day

Absolute Neutrophil Count

(x 106/L)



Platelet Count

(x 106/L)

Dosage Modification

Day 1

Greater than or equal to 1500

And

Greater than or equal to 100,000

None

Less than 1500

Or

Less than 100,000

Delay Treatment Cycle

Day 8

Greater than or equal to 1500

And

Greater than or equal to 100,000

None

1000 to 1499

Or

75,000 to 99,999

50% of full dose

Less than 1000

Or

Less than 75,000

Hold

















 

 

Table 2: Recommended Dosage Modifications for Gemcitabine for Injection for Myelosuppression in Previous Cycle in Ovarian Cancer



Occurrence

Myelosuppression During Treatment Cycle

Dosage Modification

Initial Occurrence

  • Absolute neutrophil count less than 500 x 106/L for more than 5 days or
  • Absolute neutrophil count less than 100 x 106/L for more than 3 days or
  • Febrile neutropenia or
  • Platelets less than 25,000 x 106/L or
  • Cycle delay for more than one week due to toxicity
Permanently reduce Gemcitabine for Injection to 800 mg/m2 on Days 1 and 8

Subsequent Occurrence

If any of the above toxicities occur after the initial dose reduction:

Permanently reduce Gemcitabine for Injection to 800 mg/m2 on Day 1 only

14.1 Ovarian Cancer


The efficacy of Gemcitabine for Injection was evaluated in a randomized trial (Study 1) conducted in women with advanced ovarian cancer that had relapsed at least 6 months after first-line platinum-based therapy. Patients were randomized to receive either Gemcitabine for Injection 1000 mg/m2 on Days 1 and 8 of each 21-day cycle with carboplatin AUC 4 on Day 1 after Gemcitabine for Injection administration (n=178) or carboplatin AUC 5 on Day 1 of each 21-day cycle (n=178). The major efficacy outcome measure was progression-free survival (PFS).



A total of 356 patients were enrolled. Demographics and baseline characteristics are shown in Table 16.



Efficacy results are presented in Table 17 and Figure 1. The addition of Gemcitabine for Injection to carboplatin resulted in statistically significant improvements in PFS and overall response rate. Approximately 75% of patients in each arm received additional chemotherapy for disease progression; 13 of 120 patients in the carboplatin alone arm received Gemcitabine for Injection for treatment of disease progression. There was no significant difference in overall survival between the treatment arms.





Table 16: Baseline Demographics and Clinical Characteristics for Study 1





 

Gemcitabine for Injection /Carboplatin

(N=178)

Carboplatin

(N=178)

Median age, years

      Range

59

36 to 78

58

21 to 81

Baseline ECOG performance status 0-1a

94%

95%

Disease Status

      Evaluable

      Bidimensionally measurable

 

8%

92%

 

3%

96%

Platinum-free intervalb

      6-12 months

      >12 months

 

40%

59%

 

40%

60%

First-line therapy

      Platinum-taxane combination

      Platinum-non-taxane combination

      Platinum monotherapy

 

70%

29%

1%

 

71%

28%

1%

a 5 patients on Gemcitabine for Injection with carboplatin arm and 4 patients on carboplatin arm had no baseline Eastern Cooperative Oncology Group (ECOG) performance status.

b 2 patients on Gemcitabine for Injection with carboplatin arm and 1 patient on carboplatin arm had platinum-free interval <6 months.

Table 17: Efficacy Results in Study 1







Efficacy Parameter

Gemcitabine for Injection/Carboplatin

(N=178)

Carboplatin

(N=178)

Progression-Free Survival

Median (95% CIa) in months

8.6 (8.0, 9.7)

5.8 (5.2, 7.1)

     Hazard Ratio (95% CI)

0.72 (0.57, 0.90)

     p-valueb

p=0.0038

Overall Survival

Median (95% CI) in months

18.0 (16.2, 20.3)

17.3 (15.2, 19.3)

      Hazard Ratio (95% CI)

0.98 (0.78, 1.24)

      p-valueb

p=0.8977

Overall Response Rate by

I n v estigator Review

47.2%

30.9%

      p-valuec

p=0.0016

      CRd

14.6%

6.2%

      PR with PRNMe

32.6%

24.7%

Overall Response Ratefby

Independent R eview

46.3%

35.6%

        p-valuec

p=0.11

        CRd

9.1%

4.0%

        PR with PRNMe

37.2%

31.7%

a CI=confidence interval.

b Log rank, unadjusted.

c Chi square.

d CR=Complete response.

e PR with PRNM=Partial response with partial response, non-measurable disease.

f Independently reviewed cohort – Gemcitabine for Injection/carboplatin (n=121), carboplatin (n=101); independent reviewers unable to measure disease detected by sonography or physical exam.



Figure 1: Kaplan-Meier Curves for Progression-Free Survival in Study 1



4 Contraindications


Gemcitabine for Injection is contraindicated in patients with a known hypersensitivity to gemcitabine. Reactions include anaphylaxis [see Adverse Reactions (6.1)].

6 Adverse Reactions


The following clinically significant adverse reactions are described elsewhere in the labeling:

• Hypersensitivity [see Contraindications (4)]

• Schedule-Dependent Toxicity [see Warnings and Precautions (5.1)]

• Myelosuppression [see Warnings and Precautions (5.2)]

Severe Cutaneous Adverse Reactions [see Warnings and Precautions (5.3)]

• Pulmonary Toxicity and Respiratory Failure [see Warnings and Precautions (5.4)]

• Hemolytic Uremic Syndrome [see Warnings and Precautions (5.5)]

• Hepatic Toxicity [see Warnings and Precautions (5.6)]

• Exacerbation of Radiation Therapy Toxicity [see Warnings and Precautions (5.8)]

• Capillary Leak Syndrome [see Warnings and Precautions (5.9)]

• Posterior Reversible Encephalopathy Syndrome [see Warnings and Precautions (5.10)]

5.2 Myelosuppression


Myelosuppression manifested by neutropenia, thrombocytopenia, and anemia occurs with Gemcitabine for Injection as a single agent and the risks are increased when Gemcitabine for Injection is combined with other cytotoxic drugs. In clinical trials, Grade 3-4 neutropenia, anemia, and thrombocytopenia occurred in 25%, 8%, and 5%, respectively of the 979 patients who received single agent Gemcitabine for Injection. The frequencies of Grade 3-4 neutropenia, anemia, and thrombocytopenia varied from 48% to 71%, 8% to 28%, and 5% to 55%, respectively, in patients receiving Gemcitabine for Injection in combination with another drug [see Adverse Reactions (6.1)].



Prior to each dose of Gemcitabine for Injection, obtain a complete blood count (CBC) with a differential and a platelet count. Modify the dosage as recommended [see Dosage and Administration (2.1, 2.2, 2.3, 2.4)].

5.6 Hepatic Toxicity


Drug-induced liver injury, including liver failure and death, has been reported in patients receiving Gemcitabine for Injection alone or with other potentially hepatotoxic drugs [see Adverse Reactions (6.1, 6.2)]. Administration of Gemcitabine for Injection in patients with concurrent liver metastases or a pre-existing medical history of hepatitis, alcoholism, or liver cirrhosis can lead to exacerbation of the underlying hepatic insufficiency. Assess hepatic function prior to initiation of Gemcitabine for Injection and periodically during treatment. Permanently discontinue Gemcitabine for Injection in patients who develop severe hepatic toxicity.

1.4 Pancreatic Cancer


Gemcitabine for Injection is indicated as first-line treatment for patients with locally advanced (nonresectable Stage II or Stage III) or metastatic (Stage IV) adenocarcinoma of the pancreas. Gemcitabine for Injection is indicated for patients previously treated with fluorouracil.

12.3 Pharmacokinetics


The pharmacokinetics of gemcitabine were examined in 353 patients with various solid tumors. Pharmacokinetic parameters were derived using data from patients treated for varying durations of therapy given weekly with periodic rest weeks and using both short infusions (<70 minutes) and long infusions (70 to 285 minutes). The total Gemcitabine for Injection dose varied from 500 mg/m2 to 3600 mg/m2.



Distribution 

The volume of distribution was increased with infusion length. Volume of distribution of gemcitabine was 50 L/m2 following infusions lasting <70 minutes. For long infusions, the volume of distribution rose to 370 L/m2.



Gemcitabine pharmacokinetics are linear and are described by a 2-compartment model. Population pharmacokinetic analyses of combined single and multiple dose studies showed that the volume of distribution of gemcitabine was significantly influenced by duration of infusion and sex. Gemcitabine plasma protein binding is negligible.



Elimination

Metabolism

The active metabolite, gemcitabine triphosphate, can be extracted from peripheral blood mononuclear cells. The half-life of the terminal phase for gemcitabine triphosphate from mononuclear cells ranges from 1.7 to 19.4 hours.



Excretion

Gemcitabine disposition was studied in 5 patients who received a single 1000 mg/m2 of radiolabeled drug as a 30-minute infusion. Within one week, 92% to 98% of the dose was recovered, almost entirely in the urine. Gemcitabine (<10%) and the inactive uracil metabolite, 2´-deoxy-2´,2´-difluorouridine (dFdU) accounted for 99% of the excreted dose. The metabolite dFdU is also found in plasma.



Specific Populations

Geriatric Patients

Clearance of gemcitabine was affected by age. The lower clearance in geriatric patients results in higher concentrations of gemcitabine for any given dose. Differences in either clearance or volume of distribution based on patient characteristics or the duration of infusion result in changes in half-life and plasma concentrations. Table 15 shows plasma clearance and half-life of gemcitabine following short infusions for typical patients by age and sex.





Table 15: Gemcitabine Clearance and Half-Life for the “Typical” Patient





Age


Clearance Men (L/hr/m2)


Clearance Women (L/hr/m2)


Half-Lifea

Men (min) 


Half-LifeaWomen (min) 

29

92.2

69.4

42

49

45

75.7

57.0

48

57

65

55.1

41.5

61

73

79

40.7

30.7

79

94



Half-life for patients receiving a <70 minute infusion.



Gemcitabine half-life for short infusions ranged from 42 to 94 minutes and for long infusions varied from 245 to 638 minutes, depending on age and sex, reflecting a greatly increased volume of distribution with longer infusions.



Male and Female Patients

Females have lower clearance and longer half-lives than male patients as described in Table 15.



Patients with Renal Impairment

No clinical studies have been conducted with gemcitabine in patients with decreased renal function.



Patients with Hepatic Impairment

No clinical studies have been conducted with gemcitabine in patients with decreased hepatic function.



Drug Interaction Studies



When Gemcitabine for Injection (1250 mg/m2 on Days 1 and 8) and cisplatin (75 mg/m2 on Day 1) were administered in patients with NSCLC, the clearance of gemcitabine on Day 1 was 128 L/hr/m2 and on Day 8 was 107 L/hr/m2. Data from patients with NSCLC demonstrate that Gemcitabine for Injection and carboplatin given in combination does not alter the pharmacokinetics of gemcitabine or carboplatin compared to administration of either single agent; however, due to wide confidence intervals and small sample size, interpatient variability may be observed.





Data from metastatic breast cancer patients shows that Gemcitabine for Injection has little or no effect on the pharmacokinetics (clearance and half-life) of paclitaxel and paclitaxel has little or no effect on the pharmacokinetics of gemcitabine.

2.4 Pancreatic Cancer


Recommended Dose and Schedule

The recommended dosage of Gemcitabine for Injection is 1000 mg/m2 intravenously over 30 minutes. The recommended treatment schedule is as follows:

• Weeks 1 to 8: weekly dosing for the first 7 weeks followed by one week rest.

• After week 8: weekly dosing on Days 1, 8, and 15 of each 28-day cycles.



Dosage Modifications


Recommended dosage modifications for Gemcitabine for Injection for myelosuppression are described in Table 4 [see Warnings and Precautions (5.2)]. Refer to the recommended dosage modifications for non-hematologic adverse reactions [see Dosage and Administration (2.5)].





Table 4: Recommended Dosage Modifications for Gemcitabine for Injection for Myelosuppression in Pancreatic Cancer and Non-Small Cell Lung Cancer



Absolute Neutrophil Count

(x 106/L)



Platelet Count

(x 106/L)

Dosage Modification

Greater than or equal to 1000

And

Greater than or equal to 100,000

None

500 to 999

Or

50,000 to 99,999

75% of full dose

Less than 500

Or

Less than 50,000

Hold

14.4 Pancreatic Cancer


The efficacy of Gemcitabine for Injection was evaluated in two trials (Studies 5 and 6), a randomized, single-blind, two-arm, active-controlled trial (Study 5) conducted in patients with locally advanced or metastatic pancreatic cancer who had received no prior chemotherapy and in a single-arm, open-label, multicenter trial (Study 6) conducted in patients with locally advanced or metastatic pancreatic cancer previously treated with fluorouracil or a fluorouracil-containing regimen. In Study 5, patients were randomized to receive either Gemcitabine for Injection 1000 mg/m2 intravenously over 30 minutes once weekly for 7 weeks followed by a one-week rest, then once weekly for 3 consecutive weeks every 28-days in subsequent cycles (n=63) or fluorouracil 600 mg/m2 intravenously over 30 minutes once weekly (n=63). In Study 6, all patients received Gemcitabine for Injection 1000 mg/m2 intravenously over 30 minutes once weekly for 7 weeks followed by a one-week rest, then once weekly for 3 consecutive weeks every 28-days in subsequent cycles.



The major efficacy outcome measure in both trials was "clinical benefit response". A patient was considered to have had a clinical benefit response if either of the following occurred:

• The patient achieved a ≥50% reduction in pain intensity (Memorial Pain Assessment Card) or analgesic consumption, or a 20-point or greater improvement in performance status (Karnofsky Performance Status) for a period of at least 4 consecutive weeks, without showing any sustained worsening in any of the other parameters. Sustained worsening was defined as 4 consecutive weeks with either any increase in pain intensity or analgesic consumption or a 20-point decrease in performance status occurring during the first 12 weeks of therapy.

      OR

• The patient was stable on all of the aforementioned parameters and showed a marked, sustained weight gain (≥7% increase maintained for ≥4 weeks) not due to fluid accumulation.



Study 5 enrolled 126 patients. Demographics and baseline characteristics were similar between the arms (Table 22).



The efficacy results are shown in Table 23 and Figure 4. Patients treated with Gemcitabine for Injection had statistically significant increases in clinical benefit response, survival, and time to disease progression compared to those randomized to receive fluorouracil. No confirmed objective tumor responses were observed in either treatment arm.



Table 22: Baseline Demographics and Clinical Characteristics for Study 5

 

Gemcitabine for Injection

(N=63)

Fluorouracil

(N=63)

      Male

54%

54%

Median age, years

62

61

      Range

37 to 79

36 to 77

Stage IV disease

71%

76%

Baseline KPSa ≤70

70%

68%

a   Karnofsky Performance Status.



Table 23: Efficacy Results in Study 5



Efficacy Parameter

Gemcitabine for Injection

(N=63)

Fluorouracil

(N=63)

Clinical Benefit Response

22.2%

4.8%

      p-valuea

                              p=0.004

Overall Survival

      Median (95% CI) in months

                            5.7 (4.7, 6.9)

4.2 (3.1, 5.1)

      p-valuea

p=0.0009

Time to Disease Progression

 

      Median (95% CI) in months

2.1 (1.9, 3.4)

0.9 (0.9, 1.1)

      p-valuea

p=0.0013

a  p-value for clinical benefit response calculated using the two-sided test for difference in binomial proportions. All other p-values are calculated using log rank test.



Figure 4: Kaplan-Meier Curves for Overall Survival in Study 5











1 Indications and Usage




Gemcitabine for Injection is a nucleoside metabolic inhibitor indicated:

• in combination with carboplatin, for the treatment of advanced ovarian cancer that has relapsed at least 6 months after completion of platinum-based therapy. (1.1)

• in combination with paclitaxel, for first-line treatment of metastatic breast cancer after failure of prior anthracycline-containing adjuvant chemotherapy, unless anthracyclines were clinically contraindicated. (1.2)

• in combination with cisplatin, for the treatment of non-small cell lung cancer. (1.3)

• as a single agent for the treatment of pancreatic cancer. (1.4)

12.1 Mechanism of Action


Gemcitabine kills cells undergoing DNA synthesis and blocks the progression of cells through the G1/S-phase boundary. Gemcitabine is metabolized by nucleoside kinases to diphosphate (dFdCDP) and triphosphate (dFdCTP) nucleosides. Gemcitabine diphosphate inhibits ribonucleotide reductase, an enzyme responsible for catalyzing the reactions that generate deoxynucleoside triphosphates for DNA synthesis, resulting in reductions in deoxynucleotide concentrations, including dCTP. Gemcitabine triphosphate competes with dCTP for incorporation into DNA. The reduction in the intracellular concentration of dCTP by the action of the diphosphate enhances the incorporation of gemcitabine triphosphate into DNA (self-potentiation). After the gemcitabine nucleotide is incorporated into DNA, only one additional nucleotide is added to the growing DNA strands, which eventually results in the initiation of apoptotic cell death.

5.7 Embryo Fetal Toxicity


Based on animal data and its mechanism of action, Gemcitabine for Injection can cause fetal harm when administered to a pregnant woman. Gemcitabine was teratogenic, embryotoxic, and fetotoxic in mice and rabbits.

 

Advise pregnant women of the potential risk to a fetus. Advise females of reproductive potential to use effective contraception during treatment with Gemcitabine for Injection and for 6 months after the final dose. Advise male patients with female partners of reproductive potential to use effective contraception during treatment with Gemcitabine for Injection and for 3 months following the final dose [see Use in Specific Populations (8.1, 8.3)].





5 Warnings and Precautions

• Schedule-Dependent Toxicity: Increased toxicity with infusion time greater than 60 minutes or dosing more frequently than once weekly. (5.1)

• Myelosuppression: Monitor for myelosuppression prior to each cycle and reduce or withhold dose for severe myelosuppression. (5.2, 5.7)

• Severe Cutaneous Adverse Reactions (SCARs): Permanently discontinue gemcitabine injection if SCARs occur. (5.3)

• Pulmonary Toxicity and Respiratory Failure: Discontinue Gemcitabine for Injection for unexplained dyspnea or other evidence of severe pulmonary toxicity. (5.4)

• Hemolytic Uremic Syndrome (HUS): Monitor renal function prior to initiation and during treatment. Discontinue Gemcitabine for Injection for HUS or severe renal impairment. (5.5)

• Hepatic Toxicity: Monitor hepatic function prior to initiation and during treatment. Discontinue Gemcitabine for Injection for severe hepatic toxicity. (5.6)

• Embryo-Fetal Toxicity: Can cause fetal harm. Advise females and males of reproductive potential to use effective contraception. (5.7, 8.1)

• Exacerbation of Radiation Therapy Toxicity: May cause severe and life-threatening toxicity when administered during or within 7 days of radiation therapy. (5.8)

• Capillary Leak Syndrome: Discontinue Gemcitabine for Injection. (5.9)

• Posterior Reversible Encephalopathy Syndrome (PRES): Discontinue Gemcitabine for Injection. (5.10)

5.9 Capillary Leak Syndrome

Capillary leak syndrome (CLS) with severe consequences has been reported in patients receiving Gemcitabine for Injection as a single agent or in combination with other chemotherapeutic agents [see Adverse Reactions (6.2)]. Permanently discontinue Gemcitabine for Injection if CLS develops during therapy.

6.2 Postmarketing Experience


The following adverse reactions have been identified during post approval use of Gemcitabine for Injection. Because these reactions are reported voluntarily from a population of uncertain size, it is not always possible to reliably estimate their frequency or establish a causal relationship to drug exposure.

•  Blood and lymphatic system: Thrombotic microangiopathy (TMA)

• Cardiovascular: Congestive heart failure, myocardial infarction, arrhythmias, supraventricular arrhythmias

• Vascular: Peripheral vasculitis, gangrene, capillary leak syndrome

• Skin: Cellulitis; pseudocellulitis; severe cutaneous adverse reactions (SCARs), including Stevens-Johnson syndrome (SJS), toxic epidermal necrolysis (TEN), drug reaction with eosinophilia and systemic symptoms (DRESS), and acute generalized exanthematous pustulosis (AGEP); desquamation and bullous skin eruptions

 Hepatic: Hepatic failure, hepatic veno-occlusive disease

• Pulmonary: Interstitial pneumonitis, pulmonary fibrosis, pulmonary edema, adult respiratory distress syndrome (ARDS), pulmonary eosinophilia

 Nervous System: Posterior reversible encephalopathy syndrome (PRES)

2 dosage and Administration






Gemcitabine for Injection is for intravenous use only.

• Ovarian Cancer: 1000 mg/m2 over 30 minutes on Days 1 and 8 of each 21-day cycle. (2.1)

• Breast Cancer: 1250 mg/m2 over 30 minutes on Days 1 and 8 of each 21-day cycle. (2.2)

• Non-Small Cell Lung Cancer: 1000 mg/m2 over 30 minutes on Days 1, 8, and 15 of each 28-day cycle or 1250 mg/m2 over 30 minutes on Days 1 and 8 of each 21-day cycle. (2.3)

• Pancreatic Cancer: 1000 mg/m2 over 30 minutes once weekly for the first 7 weeks, then one week rest, then once weekly for 3 weeks of each 28-day cycle. (2.4)

3 Dosage Forms and Strengths


Gemcitabine for Injection, USP is a white to off-white lyophilized powder available in sterile single-dose vials containing 200 mg or 1 gram gemcitabine.

5.5 Hemolytic Uremic Syndrome


Hemolytic Uremic Syndrome (HUS), including fatalities from renal failure or the requirement for dialysis, can occur with Gemcitabine for Injection. In clinical trials, HUS occurred in 0.25% of 2429 patients. Most fatal cases of renal failure were due to HUS [see Adverse Reactions (6.1)]. Serious cases of thrombotic microangiopathy other than HUS have been reported with Gemcitabine for Injection [see Adverse Reactions (6.2)].

 

Assess renal function prior to initiation of Gemcitabine for Injection and periodically during treatment. Consider the diagnosis of HUS in patients who develop anemia with evidence of microangiopathic hemolysis; increased bilirubin or LDH; reticulocytosis; severe thrombocytopenia; or renal failure (increased serum creatinine or BUN). Permanently discontinue Gemcitabine for Injection in patients with HUS or severe renal impairment. Renal failure may not be reversible even with the discontinuation of therapy.

8 Use in Specific Populations

Lactation: Advise not to breastfeed. (8.2)

1.3 Non Small Cell Lung Cancer


Gemcitabine for Injection in combination with cisplatin is indicated for the first-line treatment of patients with inoperable, locally advanced (Stage IIIA or IIIB) or metastatic (Stage IV) non-small cell lung cancer (NSCLC).

2.3 Non Small Cell Lung Cancer

Recommended Dose and Schedule

28-day schedule

The recommended dosage of Gemcitabine for Injection is 1000 mg/m2 intravenously over 30 minutes on Days 1, 8, and 15 of each 28-day cycle in combination with cisplatin 100 mg/m2 administered intravenously on Day 1 after Gemcitabine for Injection administration.

21-day schedule

The recommended dosage of Gemcitabine for Injection is 1250 mg/m2 intravenously over 30 minutes on Days 1 and 8 of each 21-day cycle in combination with cisplatin 100 mg/m2 administered intravenously on Day 1 after Gemcitabine for Injection administration.

Refer to cisplatin prescribing information for additional information.

Dosage Modifications

Recommended dosage modifications for Gemcitabine for Injection myelosuppression are described in Table 4 [see Warnings and Precautions (5.2)]. Refer to the recommended dosage modifications for non-hematologic adverse reactions [see Dosage and Administration (2.5)].

6.1 Clinical Trials Experience


Because clinical trials are conducted under widely varying conditions, adverse reaction rates observed in the clinical trials of a drug cannot be directly compared to rates in the clinical trials of another drug and may not reflect the rates observed in practice.



Single Agent



The data described below reflect exposure to Gemcitabine for Injection as a single agent administered at doses between 800 mg/m2 to 1250 mg/m2 intravenously over 30 minutes once weekly in 979 patients with various malignancies. The most common (≥20%) adverse reactions of single agent Gemcitabine for Injection are nausea/vomiting, anemia, increased alanine aminotransferase (ALT), increased aspartate aminotransferase (AST), neutropenia, increased alkaline phosphatase, proteinuria, fever, hematuria, rash, thrombocytopenia, dyspnea, and edema. The most common (≥5%) Grade 3 or 4 adverse reactions were neutropenia, nausea/vomiting, increased ALT, increased alkaline phosphatase, anemia, increased AST, and thrombocytopenia. Approximately 10% of the 979 patients discontinued Gemcitabine for Injection due to adverse reactions. Adverse reactions resulting in discontinuation of Gemcitabine for Injection in 2% of 979 patients were cardiovascular adverse reactions (myocardial infarction, cerebrovascular accident, arrhythmia, and hypertension) and adverse reactions resulting in discontinuation of Gemcitabine for Injection in <1% of 979 patients were anemia, thrombocytopenia, hepatic dysfunction, renal dysfunction, nausea/vomiting, fever, rash, dyspnea, hemorrhage, infection, stomatitis, somnolence, flu-like syndrome, and edema.



Tables 5 and 6 present the incidence of selected adverse reactions and laboratory abnormalities reported in patients with various malignancies receiving single agent Gemcitabine for Injection across 5 clinical trials. Additional clinically significant adverse reactions are provided following Table 6.

Table 5: Selected Adverse Reactions Occurring in ≥10% of Patients Receiving Single Agent Gemcitabine for Injectiona



Adverse Reactionsb

Gemcitabine for Injectionc

All Grades (%)

Grade 3 (%)

Grade 4 (%)

Nausea and Vomiting

69

13

1

Fever

41

2

0

Rash

30

<1

0

Dyspnea

23

3

<1

Diarrhea

19

1

0

Hemorrhage

17

<1

<1

Infection

16

1

<1

Alopecia

15

<1

0

Stomatitis

11

<1

0

Somnolence

11

<1

<1

Paresthesias

10

<1

0



a Grade based on criteria from the World Health Organization (WHO).

b For approximately 60% of patients, non-laboratory adverse reactions were graded only if assessed to be possibly drug-related.

c N=699-974; all patients with laboratory or non-laboratory data.

Table 6: Selected Laboratory Abnormalities Occurring in Patients Receiving Single Agent Gemcitabine for Injectiona



Laboratory Abnormalityb

Gemcitabine for Injectionc

All Grades (%)

Grade 3 (%)

Grade 4 (%)

Hematologic

 

 

 

      Anemia

68

7

1

      Neutropenia

63

19

6

      Thrombocytopenia

24

4

1

Hepatic

 

 

 

      Increased ALT

68

8

2

      Increased AST

67

6

2

      Increased Alkaline Phosphatase

55

7

2

      Hyperbilirubinemia

13

2

<1

Renal

 

 

 

      Proteinuria

45

<1

0

      Hematuria

35

<1

0

      Increased BUN

16

0

0

      Increased Creatinine

8

<1

0



a  Grade based on criteria from the WHO.

b  Regardless of causality.

c  N=699-974; all patients with laboratory or non-laboratory data.



Additional adverse reactions include the following:

• Transfusion requirements: Red blood cell transfusions (19%); platelet transfusions (<1%)

• Edema: Edema (13%), peripheral edema (20%), generalized edema (<1%)

• Flu-like symptoms: Fever, asthenia, anorexia, headache, cough, chills, myalgia, asthenia insomnia, rhinitis, sweating, and/or malaise (19%)

• Infection: Sepsis (<1%)

• Extravasation: Injection-site reactions (4%)

• Allergic: Bronchospasm (<2%); anaphylactoid reactions





Ovarian Cancer


Tables 7 and 8 present the incidence of selected adverse reactions and laboratory abnormalities, occurring in ≥10% of Gemcitabine for Injection-treated patients and at a higher incidence in the Gemcitabine for Injection with carboplatin arm, reported in a randomized trial (Study 1) of Gemcitabine for Injection with carboplatin (n=175) compared to carboplatin alone (n=174) for the second-line treatment of ovarian cancer in women with disease that had relapsed more than 6 months following first-line platinum-based chemotherapy [see Clinical Studies (14.1)]. Additional clinically significant adverse reactions, occurring in <10% of patients, are provided following Table 8.



The proportion of patients with dose adjustments for carboplatin (1.8% versus 3.8%), doses of carboplatin omitted (0.2% versus 0) and discontinuing treatment for adverse reactions (11% versus 10%), were similar between arms. Dose adjustment for Gemcitabine for Injection occurred in 10% of patients and Gemcitabine for Injection dose was omitted in 14% of patients in the Gemcitabine for Injection/carboplatin arm.



Table 7: Adverse Reactions Occurring in >10% of Patients Receiving Gemcitabine with Carboplatin and at Higher Incidence than in Patients Receiving Single Agent Carboplatin [Between Arm Difference of ≥5% (All Grades) or ≥2% (Grades 3-4)] in Study 1a



 

 

Adverse Reactionsb

Gemcitabine for Injection/Carboplatin

(N=175)

Carboplatin

(N=174)

All Grades

(%)

Grade 3

(%)

Grade 4

(%)

All Grades

(%)

Grade 3

(%)

Grade 4

(%)

    Nausea

69

6

0

61

3

0

    Alopecia

49

0

0

17

0

0

    Vomiting

46

6

0

36

2

<1

    Constipation

42

6

1

37

3

0

    Fatigue

40

3

<1

32

5

0

    Diarrhea

25

3

0

14

<1

0

   Stomatitis/Pharyngitis

22

<1

0

13

0

0

a   Grade based on National Cancer Institute CTC Version 2.0.

b   Regardless of causality.



Table 8: Laboratory Abnormalities Occurring in Patients Receiving Gemcitabine with Carboplatin and at Higher Incidence than in Patients Receiving Single Agent Carboplatin [Between Arm Difference of ≥5% (All Grades) or ≥2% (Grades 3-4)] in Study 1a



 

 

Laboratory Abnormalityb

Gemcitabine for Injection/Carboplatin

(N=175)

Carboplatin

(N=174)

All Grades

(%)

Grade 3

(%)

Grade 4

(%)

All Grades

(%)

Grade 3

(%)

Grade 4

(%)

Hematologic

 

 

 

 

 

 

     Neutropenia

90

42

29

58

11

1

     Anemia

86

22

6

75

9

2

     Thrombocytopenia

78

30

5

57

10

1

     RBC Transfusionsc

38

-

-

15

-

-

     Platelet Transfusionsc

9

-

-

3

-

-

a Grade based on National Cancer Institute CTC Version 2.0.

b Regardless of causality.

c Percent of patients receiving transfusions. Transfusions are not CTC-graded events. Blood transfusions included both packed red blood cells and whole blood.



Hematopoietic growth factors were administered more frequently in the Gemcitabine for Injection-containing arm: leukocyte growth factor (24% and 10%) and erythropoiesis-stimulating agent (7% and 3.9%).

The following clinically relevant Grade 3 and 4 adverse reactions occurred more frequently in the Gemcitabine for Injection with carboplatin arm: dyspnea (3.4% versus 2.9%), febrile neutropenia (1.1% versus 0), hemorrhagic event (2.3% versus 1.1%), motor neuropathy (1.1% versus 0.6%), and rash/desquamation (0.6% versus 0).

14.3 Non Small Cell Lung Cancer


The efficacy of Gemcitabine for Injection was evaluated in two randomized, multicenter trials.



Study 3: 28-Day Schedule

A multinational, randomized trial (Study 3) compared Gemcitabine for Injection with cisplatin to cisplatin alone in the treatment of patients with inoperable Stage IIIA, IIIB, or IV NSCLC who had not received prior chemotherapy. Patients were randomized to receive either Gemcitabine for Injection 1000 mg/m2 on Days 1, 8, and 15 of each 28-day cycle with cisplatin 100 mg/m2 on Day 1 after Gemcitabine for Injection administration (N=260) or cisplatin 100 mg/m2 on Day 1 of each 28-day cycle (N=262). The major efficacy outcome measure was overall survival.



A total of 522 patients were enrolled. Demographics and baseline characteristics (Table 20) were similar between arms with the exception of histologic subtype of NSCLC, with 48% of patients on the cisplatin arm and 37% of patients on the Gemcitabine for Injection with cisplatin arm having adenocarcinoma.



Efficacy results are presented in Table 21 and Figure 3.



Study 4: 21-Day Schedule

A randomized (1:1), multicenter trial (Study 4) was conducted in patients with Stage IIIB or IV NSCLC. Patients were randomized to receive either Gemcitabine for Injection 1250 mg/m2 on Days 1 and 8 of each 21-day cycle with cisplatin 100 mg/m2 on Day 1 after Gemcitabine for Injection administration or etoposide 100 mg/m2 intravenously on Days 1, 2, and 3 with cisplatin 100 mg/m2 on Day 1 of each 21 -day cycle. The major efficacy outcome measure was response rate.



A total of 135 patients were enrolled. Demographics and baseline characteristics are summarized in Table 20.



Efficacy results are presented in Table 21. There was no significant difference in survival between the two treatment arms. The median survival was 8.7 months for the Gemcitabine for Injection with cisplatin arm versus 7 months for the etoposide with cisplatin arm. Median time to disease progression for the Gemcitabine for Injection with cisplatin arm was 5 months compared to 4.1 months on the etoposide with cisplatin arm (Log rank p=0.015, two-sided). The objective response rate for the Gemcitabine for Injection with cisplatin arm was 33% compared to 14% on the etoposide with cisplatin arm (Fisher’s Exact p=0.01, two-sided).





Table 20: Baseline Demographics and Clinical Characteristics for Studies 3 and 4



Trial

28-day Schedule (Study 3)

21-day Schedule (Study 4)

 

Gemcitabine for Injection/Cisplatin

(N=260)

Cisplatin

(N=262)

Gemcitabine for Injection/Cisplatin

(N=69)

Etoposide/

Cisplatin

(N=66)

Male

Median age, years

Range

70%

62

36 to 88

71%

63

35 to 79

93%

58

33 to 76

92%

60

35 to 75

Stage IIIA

Stage IIIB

Stage IV

7%

26%

67%

7%

23%

70%

N/Aa

48%

52%

N/Aa

52%

49%

Baseline KPSb 70 to 80

Baseline KPSb 90 to 100

41%

57%

44%

55%

45%

55%

52%

49%













a N/A Not applicable.

b Karnofsky Performance Status.

Table 21: Efficacy Results for Studies 3 and 4





Trial

28-day Schedule (Study 3)

21-day Schedule (Study 4)

Efficacy Parameter

Gemcitabine for Injection/

Cisplatin

(N=260)

Cisplatin

(N=262)

Gemcitabine for Injection/ Cisplatin

(N=69)

Etoposide/Cisplatin

(N=66)

Survival

     Median (95% CIa)

     in months

9.0 (8.2, 11.0)

7.6 (6.6, 8.8)

8.7 (7.8, 10.1)

7.0 (6.0, 9.7)

     p-valuef

p=0.008

p=0.18

Time to Disease Progression

     Median (95% CIa)

     in months

5.2 (4.2, 5.7)

3.7 (3.0, 4.3)

5.0 (4.2, 6.4)

4.1 (2.4, 4.5)

     p-valueb

p=0.009

p=0.05

Tumor Response

26%

10%

33%

14%

     p-valueb

p<0.0001

p=0.01

a CI=confidence intervals.

b p-value two-sided Fisher’s Exact test for difference in binomial proportions; log rank test for time-to-event analyses.

Figure 3: Kaplan-Meier Curves for Overall Survival in Study 3



5.1 Schedule Dependent Toxicity


In clinical trials evaluating the maximum tolerated dose of Gemcitabine for Injection, prolongation of the infusion time beyond 60 minutes or more frequent than weekly dosing resulted in an increased incidence of clinically significant hypotension, severe flu-like symptoms, myelosuppression, and asthenia. The half-life of Gemcitabine for Injection is influenced by the length of the infusion [see Clinical Pharmacology (12.3)]. Refer to the recommended Gemcitabine for Injection dosage [see Dosage and Administration (2.1, 2.2, 2.3, 2.4)].

17 Patient Counseling Information


Myelosuppression

Advise patients of the risks of myelosuppression. Instruct patients to immediately contact their healthcare provider should any signs or symptoms of infection, including fever, or if bleeding or signs of anemia, occur [see Warnings and Precautions (5.2)].





Severe Cutaneous Adverse Reactions (SCARs)

Advise patients of the risks of SCARs, including Stevens-Johnson syndrome (SJS), toxic epidermal necrolysis (TEN), drug reaction with eosinophilia and systemic symptoms (DRESS), and acute generalized exanthematous pustulosis (AGEP). Instruct patients to immediately contact their healthcare provider should any signs or symptoms of severe skin rash or skin peeling, blistering and/or mouth sores occur [see Warnings and Precautions (5.3)].





Pulmonary Toxicity

Advise patients of the risks of pulmonary toxicity, including respiratory failure and death. Instruct patients to immediately contact their healthcare provider for development of shortness of breath, wheezing, or cough [see Warnings and Precautions (5.4)].



Hemolytic Uremic Syndrome and Renal Failure

Advise patients of the risks of hemolytic-uremic syndrome and associated renal failure. Instruct patients to immediately contact their healthcare provider for changes in the color or volume of urine output or for increased bruising or bleeding [see Warnings and Precautions (5.5)].



Hepatic Toxicity

Advise patients of the risks of hepatic toxicity including liver failure and death. Instruct patients to immediately contact their healthcare provider for signs of jaundice or for pain/tenderness in the right upper abdominal quadrant [see Warnings and Precautions (5.6)].



Embryo-Fetal Toxicity

Advise females and males of reproductive potential that Gemcitabine for Injection can cause fetal harm. Advise females of reproductive potential to use effective contraception during treatment with Gemcitabine for Injection and for 6 months after the final dose. Advise male patients with female partners of reproductive potential to use effective contraception during treatment with Gemcitabine for Injection and for 3 months after the final dose [see Warnings and Precaution (5.7), Use in Specific Populations (8.1, 8.3)].



Lactation

Advise women not to breastfeed during treatment with Gemcitabine for Injection and for at least one week after the last dose [see Use in Specific Populations (8.2)].



Infertility

Advise males of reproductive potential of the potential for reduced fertility with Gemcitabine for Injection [see Use in Specific Populations (8.3), Nonclinical Toxicology (13.1)].





Manufactured by:

Gland Pharma Limited

Visakhapatnam-530049,

Andhra Pradesh, India.



Revised: September 2024

16 How Supplied/storage and Handling

Gemcitabine for Injection, USP is supplied as follows:



NDC

Gemcitabine for Injection, USP

Package Factor

68083-148-01 

200 mg Single-Dose Vial

1 vial per carton

68083-149-01 

1 gram Single-Dose Vial

1 vial per carton

Gemcitabine for Injection, USP is a sterile white to off-white lyophilized powder.

Gemcitabine for Injection, USP is a cytotoxic drug. Follow applicable special handling and disposal procedures.1



Storage Conditions


Store at 20° to 25°C (68° to 77°F); excursions permitted between 15° and 30°C (59° and 86°F). [See USP Controlled Room Temperature.]



Sterile, Nonpyrogenic, Preservative-free, Lyophilized.

The container closure is not made with natural rubber latex.

Package Label.principal Display Panel


GEMCITABINE FOR INJECTION, USP

200 mg/vial

Single-Dose Vial

Vial label









GEMCITABINE FOR INJECTION, USP

200 mg/vial

Single-Dose Vial

Carton label



GEMCITABINE FOR INJECTION, USP

1 g/vial

Single-Dose Vial

Vial label





GEMCITABINE FOR INJECTION, USP

1 g/vial

Single-Dose Vial

Carton label



5.3 Severe Cutaneous Adverse Reactions (scars)

SCARs, including Stevens-Johnson syndrome (SJS), toxic epidermal necrolysis (TEN), drug reaction with eosinophilia and systemic symptoms (DRESS), and acute generalized exanthematous pustulosis (AGEP), which can be life-threatening or fatal, have been reported in association with gemcitabine treatment [see Adverse Reactions (6.2)]. Monitor patients for signs and symptoms of severe cutaneous adverse reactions. Permanently discontinue gemcitabine in patients who develop SCARs.

5.4 Pulmonary Toxicity and Respiratory Failure


Pulmonary toxicity, including interstitial pneumonitis, pulmonary fibrosis, pulmonary edema, and adult respiratory distress syndrome (ARDS), has been reported. In some cases, these pulmonary events can lead to fatal respiratory failure despite the discontinuation of therapy. The onset of pulmonary symptoms may occur up to 2 weeks after the last dose of Gemcitabine for Injection [see Adverse Reactions (6.1, 6.2)].

Permanently discontinue Gemcitabine for Injection in patients who develop unexplained dyspnea, with or without bronchospasm, or evidence of severe pulmonary toxicity.

5.8 Exacerbation of Radiation Therapy Toxicity


Gemcitabine for Injection is not recommended for use in combination with radiation therapy.

Concurrent (given together or ≤7 days apart)

Life-threatening mucositis, especially esophagitis and pneumonitis occurred in a trial in which Gemcitabine for Injection was administered at a dose of 1000 mg/m2 to patients with non-small cell lung cancer for up to 6 consecutive weeks concurrently with thoracic radiation.



Non-concurrent (given >7 days apart


Excessive toxicity has not been observed when Gemcitabine for Injection is administered more than 7 days before or after radiation. Radiation recall has been reported in patients who received Gemcitabine for Injection after prior radiation.

8.3 Females and Males of Reproductive Potential


Pregnancy Testing

Verify pregnancy status in females of reproductive potential prior to initiating Gemcitabine for Injection [see Use in Specific Populations (8.1)].

Contraception

Gemcitabine for Injection can cause fetal harm when administered to a pregnant woman [see Use in Specific Populations (8.1)].



Females

Because of the potential for genotoxicity, advise females of reproductive potential to use effective contraception during treatment with Gemcitabine for Injection and for 6 months after the final dose of Gemcitabine for Injection.



Males

Because of the potential for genotoxicity, advise males with female partners of reproductive potential to use effective contraception during treatment with Gemcitabine for Injection and for 3 months after the final dose [see Nonclinical Toxicology (13.1)].



Infertility

Males

Based on animal studies, Gemcitabine for Injection may impair fertility in males of reproductive potential [see Nonclinical Toxicology (13.1)]. It is not known whether these effects on fertility are reversible.

5.10 Posterior Reversible Encephalopathy Syndrome


Posterior reversible encephalopathy syndrome (PRES) has been reported in patients receiving Gemcitabine for Injection as a single agent or in combination with other chemotherapeutic agents [see Adverse Reactions (6.2)]. PRES can present with headache, seizure, lethargy, hypertension, confusion, blindness, and other visual and neurologic disturbances.  Confirm the diagnosis of PRES with magnetic resonance imaging (MRI). Permanently discontinue Gemcitabine for Injection if PRES develops during therapy.

13.1 Carcinogenesis, Mutagenesis, Impairment of Fertility


Long-term animal studies to evaluate the carcinogenic potential of Gemcitabine for Injection have not been conducted. Gemcitabine was mutagenic in an in vitro mouse lymphoma (L5178Y) assay and was clastogenic in an in vivo mouse micronucleus assay.  Gemcitabine intraperitoneal doses of 0.5 mg/kg/day [about 1/700 the 1000 mg/m2 clinical dose based on body surface area (BSA)] in male mice resulted in moderate to severe hypospermatogenesis, decreased fertility, and decreased implantations. In female mice, fertility was not affected but maternal toxicities were observed at 1.5 mg/kg/day administered intravenously (about 1/200 the 1000 mg/m2 clinical dose based on BSA) and fetotoxicity or embryolethality was observed at 0.25 mg/kg/day administered intravenously (about 1/1300 the 1000 mg/m2 clinical dose based on BSA).

2.5 Dosage Modifications for Non Hematologic Adverse Reactions


     



Permanently discontinue Gemcitabine for Injection for any of the following:

• Severe Cutaneous Adverse Reactions (SCARs) [see Warnings and Precautions (5.3)]

• Unexplained dyspnea or evidence of severe pulmonary toxicity [see Warnings and Precautions (5.4)]

• Hemolytic Uremic Syndrome (HUS) or severe renal impairment [see Warnings and Precautions (5.5)]

• Severe hepatic toxicity [see Warnings and Precautions (5.6)]

• Capillary leak syndrome (CLS) [see Warnings and Precautions (5.9)]

• Posterior reversible encephalopathy syndrome (PRES) [see Warnings and Precautions (5.10)]

Withhold Gemcitabine for Injection or reduce dose by 50% for other Grade 3 or 4 non-hematological adverse reactions until resolved. No dose modifications are recommended for alopecia, nausea, or vomiting.


Structured Label Content

Section 42229-5 (42229-5)


Breast Cancer

Tables 9 and 10 present the incidence of selected adverse reactions and laboratory abnormalities, occurring in ≥10% of Gemcitabine for Injection-treated patients and at a higher incidence in the Gemcitabine for Injection with paclitaxel arm, reported in a randomized trial (Study 2) of Gemcitabine for Injection with paclitaxel (n=262) compared to paclitaxel alone (n=259) for the first-line treatment of metastatic breast cancer (MBC) in women who received anthracycline-containing chemotherapy in the adjuvant/neo-adjuvant setting or for whom anthracyclines were contraindicated [see Clinical Studies (14.2)]. Additional clinically significant adverse reactions, occurring in <10% of patients, are provided following Table 10.



The requirement for dose reduction of paclitaxel were higher for patients in the Gemcitabine for Injection/paclitaxel arm (5% versus 2%). The number of paclitaxel doses omitted (<1%), the proportion of patients discontinuing treatment for adverse reactions (7% versus 5%) and the number of treatment-related deaths (1 patient in each arm) were similar between the two arms.



Table 9: Selected Adverse Reactions Occurring in Patients Receiving Gemcitabine with Paclitaxel and at Higher Incidence than in Patients Receiving Single Agent Paclitaxel [Between Arm Difference of ≥5% (All Grades) or ≥2% (Grades 3-4)] in Study 2a





 

 

Adverse Reactionsb

Gemcitabine for Injection/Paclitaxel

(N=262)

Paclitaxel

(N=259)

All Grades

(%)

Grade 3

(%)

Grade 4

(%)

All Grades

(%)

Grade 3

(%)

Grade 4

(%)

Alopecia

90

14

4

92

19

3

Neuropathy-Sensory

64

5

<1

58

3

0

Nausea

50

1

0

31

2

0

Fatigue

40

6

<1

28

1

<1

Vomiting

29

2

0

15

2

0

Diarrhea

20

3

0

13

2

0

Anorexia

17

0

0

12

<1

0

Neuropathy-Motor

15

2

<1

10

<1

0

Stomatitis/Pharyngitis

13

1

<1

8

<1

0

Fever

13

<1

0

3

0

0

Rash/Desquamation

Febrile Neutropenia

11

6

<1

5

<1

<1

5

2

0

1

0

0

a  Grade based on National Cancer Institute CTC Version 2.0.

b  Non-laboratory events were graded only if assessed to be possibly drug-related.



Table 10: Selected Laboratory Abnormalities Occurring in >10% of Patients Receiving Gemcitabine with Paclitaxel and at a Higher Incidence than Patients Receiving Single Agent Paclitaxel [Between Arm Difference of ≥5% (All Grades) or ≥2% (Grades 3-4)] in Study 2a





 

 

Laboratory Abnormalityb

Gemcitabine for Injection/ Paclitaxel

(N=262)

Paclitaxel

(N=259)

All Grades

(%)

Grade 3

(%)

Grade 4

(%)

All Grades

(%)

Grade 3

(%)

Grade 4

(%)

Hematologic

 

 

 

 

 

 

     Anemia

69

6

1

51

3

<1

     Neutropenia

69

31

17

31

4

7

     Thrombocytopenia

26

5

<1

7

<1

<1

Hepatobiliary

 

 

 

 

 

 

     Increased ALT

18

5

<1

6

<1

0

     Increased AST

16

2

0

5

<1

0



a  Grade based on National Cancer Institute CTC Version 2.0.

b  Regardless of causality.



Clinically relevant Grade 3 or 4 dyspnea occurred with a higher incidence in the Gemcitabine for Injection with paclitaxel arm compared with the paclitaxel arm (1.9% versus 0).



Non-Small Cell Lung Cancer

Tables 11 and 12 present the incidence of selected adverse reactions and laboratory abnormalities occurring in ≥10% of Gemcitabine for Injection-treated patients and at a higher incidence in the Gemcitabine for Injection with cisplatin arm, reported in a randomized trial (Study 3) of Gemcitabine for Injection with cisplatin (n=260) administered in 28-day cycles as compared to cisplatin alone (n=262) in patients receiving first-line treatment for locally advanced or metastatic NSCLC [see Clinical Studies (14.3)].



Patients randomized to Gemcitabine for Injection with cisplatin received a median of 4 cycles of treatment and those randomized to cisplatin alone received a median of 2 cycles of treatment. In this trial, the requirement for dose adjustments (>90% versus 16%), discontinuation of treatment for adverse reactions (15% versus 8%), and the proportion of patients hospitalized (36% versus 23%) were all higher for patients receiving Gemcitabine for Injection with cisplatin compared to those receiving cisplatin alone. The incidence of febrile neutropenia (3% versus <1%), sepsis (4% versus 1%), Grade 3 cardiac dysrhythmias (3% versus <1%) were all higher in the Gemcitabine for Injection with cisplatin arm compared to the cisplatin alone arm. The two-drug combination was more myelosuppressive with 4 (1.5%) possibly treatment-related deaths, including 3 resulting from myelosuppression with infection and one case of renal failure associated with pancytopenia and infection. No deaths due to treatment were reported on the cisplatin arm.

Table 11: Selected Adverse Reactions Occurring in ≥10% of Patients Receiving Gemcitabine with Cisplatin and at Higher Incidence than in Patients Receiving Single Agent Cisplatin [Between Arm Difference of ≥5% (All Grades) or ≥2% (Grades 3-4)] in Study 3a



 

Adverse Reactionsb

Gemcitabine for Injection/Cisplatinc

Cisplatind

All Grades (%)

Grade 3 (%)

Grade 4 (%)

All Grades (%)

Grade 3 (%)

Grade 4 (%)

    Nausea

93

25

2

87

20

<1

    Vomiting

78

11

12

71

10

9

    Alopecia

53

1

0

33

0

0

    Neuro Motor

35

12

0

15

3

0

    Diarrhea

24

2

2

13

0

0

    Neuro Sensory

23

1

0

18

1

0

    Infection

18

3

2

12

1

0

    Fever

16

0

0

5

0

0

    Neuro Cortical

16

3

1

9

1

0

    Neuro Mood

16

1

0

10

1

0

    Local

15

0

0

6

0

0

    Neuro Headache

14

0

0

7

0

0

    Stomatitis

14

1

0

5

0

0

    Hemorrhage

14

1

0

4

0

0

    Hypotension

12

1

0

7

1

0

    Rash

11

0

0

3

0

0

a Grade based on National Cancer Institute Common Toxicity Criteria (CTC).

b Non-laboratory events were graded only if assessed to be possibly drug-related.

c N=217-253; all Gemcitabine for Injection/cisplatin patients with laboratory or non-laboratory data

d N=213-248; all cisplatin patients with laboratory or non-laboratory data



Table 12: Selected Laboratory Abnormalities Occurring in >10% of Patients Receiving Gemcitabine with Cisplatin and at Higher Incidence than in Patients Receiving Single Agent Cisplatin [Between Arm Difference of ≥5% (All Grades) or ≥2% (Grades 3-4)] in Study 3a



 

 

Laboratory Abnormalityb

Gemcitabine for Injection/Cisplatin

Cisplatin

All Grades (%)

Grade 3 (%)

Grade 4 (%)

All Grades (%)

Grade 3 (%)

Grade 4 (%)

Hematologic

 

 

 

 

 

 

     Anemia

89

22

3

67

6

1

     Thrombocytopenia

85

25

25

13

3

1

     Neutropenia

79

22

35

20

3

1

     Lymphopenia

     RBC Transfusionse

     Platelet Transfusionse

75

39

21

25

-

-

18

-

-

51

13

<1

12

-

-

5

-

-

Hepatic

 

 

 

 

 

 

     Increased Transaminases

22

2

1

10

1

0

     Increased Alkaline

     Phosphatase

19

1

0

13

0

0

Renal

     Increased Creatinine

 

38

 

4

 

<1

 

31

 

2

 

<1

     Proteinuria

23

0

0

18

0

0

     Hematuria

15

0

0

13

0

0

Other Laboratory

 

 

 

 

 

 

     Hyperglycemia

30

4

0

23

3

0

     Hypomagnesemia

30

4

3

17

2

0

     Hypocalcemia

18

2

0

7

0

<1



a  Grade based on National Cancer Institute CTC.

b  Regardless of causality.

c  N=217-253; all Gemcitabine for Injection/cisplatin patients with laboratory or non-laboratory data

d  N=213-248; all cisplatin patients with laboratory or non-laboratory data

e  Percent of patients receiving transfusions. Percent transfusions are not CTC-graded events.

Section 43683-2 (43683-2)

Dosage and Administration, Dosage Modifications for Non-Hematologic Adverse Reactions (2.5)                         8/2024

Warnings and Precautions, Severe Cutaneous Adverse Reactions (SCARs) (5.3)                                                         8/2024

8.6 Gender


Gemcitabine for Injection clearance is decreased in females [see Clinical Pharmacology (12.3)]. In single agent studies of Gemcitabine for Injection, women, especially older women, were more likely not to proceed to a subsequent cycle and to experience Grade 3-4 neutropenia and thrombocytopenia [see Dosage and Administration (2.1, 2.2, 2.3, 2.4)].

10 Overdosage (10 OVERDOSAGE)


There is no known antidote for overdoses of gemcitabine. Myelosuppression, paresthesias, and severe rash were the principal toxicities seen when a single dose as high as 5700 mg/m2 was administered by intravenous infusion over 30 minutes every 2 weeks to several patients in a dose-escalation study. In the event of suspected overdose, monitor with appropriate blood counts and provide supportive therapy, as necessary.

15 References (15 REFERENCES)

1.         “OSHA Hazardous Drugs.” OSHA. http://www.osha.gov/SLTC/hazardousdrugs/index.html

8.1 Pregnancy


Risk Summary

Based on animal data and its mechanism of action, Gemcitabine for Injection can cause fetal harm when administered to a pregnant woman [see Clinical Pharmacology (12.1)]. There are no available data on the use of Gemcitabine for Injection in pregnant women. In animal reproduction studies, gemcitabine was teratogenic, embryotoxic, and fetotoxic in mice and rabbits (see Data). Advise pregnant women of the potential risk to a fetus [see Use in Special Populations (8.3)].

In the U.S. general population, the estimated background risk of major birth defects and miscarriages in clinically recognized pregnancies is 2 to 4% and 15 to 20% respectively.



Data

Animal Data



Gemcitabine is embryotoxic in mice. Daily dosing of gemcitabine to pregnant mice increased the incidence of fetal malformation (cleft palate, incomplete ossification) at doses of 1.5 mg/kg/day [approximately 0.005 times the 1000 mg/m2 clinical dose based on body surface area (BSA)]. Gemcitabine was embryotoxic and fetotoxic in rabbits. Daily dosing of gemcitabine to pregnant rabbits resulted in fetotoxicity (decreased fetal viability, reduced litter sizes, and developmental delays) and increased the incidence of fetal malformations (fused pulmonary artery, absence of gall bladder) at doses of 0.1 mg/kg/day (approximately 0.002 times the 1000 mg/m2 clinical dose based on BSA).

8.2 Lactation

Risk Summary

There is no information regarding the presence of Gemcitabine for Injection or its metabolites in human milk, or their effects on the breastfed infant or on milk production. Due to the potential for serious adverse reactions in breastfed infants from Gemcitabine for Injection, advise women not to breastfeed during treatment with Gemcitabine for Injection and for at least one week following the last dose.

11 Description (11 DESCRIPTION)


Gemcitabine is a nucleoside metabolic inhibitor. Gemcitabine hydrochloride, USP is 2’- deoxy-2’, 2’-difluorocytidine monohydrochloride (β-isomer) with the following structural formula:









The empirical formula for gemcitabine hydrochloride, USP is C9H11F2N3O4 • HCl. It has a molecular weight of 299.66 g/mol.



Gemcitabine hydrochloride, USP is soluble in water, slightly soluble in methanol, and practically insoluble in ethanol and polar organic solvents.

 

Gemcitabine for Injection, USP is a sterile white to off-white lyophilized powder and available as 200 mg and 1 gram single-dose vials for intravenous use only. Each 200 mg vial contains 200 mg gemcitabine (equivalent to 227.7 mg gemcitabine hydrochloride, USP), 200 mg mannitol and 12.5 mg sodium acetate. Each 1 gram vial contains 1 gram gemcitabine (equivalent to 1.139 gram gemcitabine hydrochloride, USP), 1 gram mannitol, and 62.5 mg sodium acetate. Hydrochloric acid and/or sodium hydroxide may have been added for pH adjustment.

2.6 Preparation


• Gemcitabine for Injection vials contain no antimicrobial preservatives and are intended for single use only.

• Gemcitabine for Injection is a cytotoxic drug. Follow applicable special handling and disposal procedures.1

• Exercise caution and wear gloves when preparing Gemcitabine for Injection solutions. Immediately wash the skin thoroughly or rinse the mucosa with copious amounts of water if Gemcitabine for

    Injection contacts the skin or mucus membranes. Death has occurred in animal studies due to dermal absorption.

• Reconstitute the 200 mg vial with 5 mL and the 1 gram vial with 25 mL of 0.9% Sodium Chloride Injection, USP to yield a Gemcitabine for Injection concentration of 38 mg/mL. Reconstituted

    Gemcitabine for Injection is a clear, colorless to light straw-colored solution.

• Visually inspect reconstituted product for particulate matter and discoloration. Discard if particulate matter or discoloration is observed.

• Withdraw the calculated dose from the vial and discard any unused portion.

• Prior to administration, dilute the reconstituted solution with 0.9% Sodium Chloride Injection, USP to a minimum final concentration of at least 0.1 mg/mL.

• Store Gemcitabine for Injection solutions (reconstituted and diluted) at controlled room temperature of 20°C to 25°C (68°F to 77°F). Do not refrigerate as crystallization can occur. Discard Gemcitabine for Injection solutions if not used within 24 hours after reconstitution.

• No incompatibilities have been observed with infusion bottles or polyvinyl chloride bags and administration sets.

1.2 Breast Cancer


Gemcitabine for Injection in combination with paclitaxel is indicated for the first-line treatment of patients with metastatic breast cancer after failure of prior anthracycline-containing adjuvant chemotherapy, unless anthracyclines were clinically contraindicated.

2.2 Breast Cancer


Recommended Dose and Schedule

The recommended dosage of Gemcitabine for Injection is 1250 mg/m2 intravenously over 30 minutes on Days 1 and 8 of each 21-day cycle in combination with paclitaxel 175 mg/m2 administered as a 3-hour intravenous infusion on Day 1 before Gemcitabine for Injection administration. Refer to paclitaxel prescribing information for additional information.



Dosage Modifications

Recommended Gemcitabine for Injection dosage modifications for myelosuppression are described in Table 3 [see Warnings and Precautions (5.2)]. Refer to the recommended dosage modifications for non-hematologic adverse reactions [see Dosage and Administration (2.5)].









Table 3: Recommended Dosage Modifications for Gemcitabine for Injection for Myelosuppression on Day of Treatment in Breast Cancer

Treatment Day

Absolute Neutrophil Count

(x 106/L)

 

Platelet Count

(x 106/L)

Dosage Modification

Day 1

Greater than or equal to 1500

And

Greater than or equal to 100,000

None

Less than 1500

Or

Less than 100,000

Hold

Day 8

Greater than or equal to 1200

And

Greater than 75,000

None

1000 to 1199

Or

50,000 to 75,000

75% of full dose

700 to 999

And

Greater than or equal to 50,000

50% of full dose

Less than 700

Or

Less than 50,000

Hold



8.4 Pediatric Use




The safety and effectiveness of Gemcitabine for Injection have not been established in pediatric patients.



The safety and pharmacokinetics of gemcitabine were evaluated in a trial in pediatric patients with refractory leukemia. The maximum tolerated dose was 10 mg/m2/min for 360 minutes weekly for three weeks followed by a one-week rest period.



The safety and activity of Gemcitabine for Injection were evaluated in a trial of pediatric patients with relapsed acute lymphoblastic leukemia (22 patients) and acute myelogenous leukemia (10 patients) at a dose of 10 mg/m2/min administered over 360 minutes weekly for three weeks followed by a one-week rest period. Patients with M1 or M2 bone marrow on Day 28 who did not experience unacceptable toxicity were eligible to receive a maximum of one additional four-week course. Toxicities observed included myelosuppression, febrile neutropenia, increased serum transaminases, nausea, and rash/desquamation. No meaningful clinical activity was observed in this trial.

8.5 Geriatric Use


In clinical studies which enrolled 979 patients with various malignancies who received single agent Gemcitabine for Injection, no overall differences in safety were observed between patients aged 65 and older and younger patients, with the exception of a higher rate of Grade 3-4 thrombocytopenia in older patients as compared to younger patients.



In a randomized trial in women with ovarian cancer (Study 1), 175 women received Gemcitabine for Injection with carboplatin, of which 29% were age 65 years or older. Similar effectiveness was observed between older and younger women. There was significantly higher Grade 3-4 neutropenia in women 65 years of age or older [see Dosage and Administration (2.1)].



Gemcitabine for Injection clearance is affected by age; however, there are no recommended dose adjustments based on patient's age [see Clinical Pharmacology (12.3)].

1.1 Ovarian Cancer

Gemcitabine for Injection in combination with carboplatin is indicated for the treatment of patients with advanced ovarian cancer that has relapsed at least 6 months after completion of platinum-based therapy.

14.2 Breast Cancer


The efficacy of Gemcitabine for Injection was evaluated in a multinational, randomized, open-label trial (Study 2) conducted in women receiving initial treatment for metastatic breast cancer and who have received prior adjuvant/neoadjuvant anthracycline chemotherapy unless clinically contraindicated. Patients were randomized to receive either Gemcitabine for Injection 1250 mg/m2 on Days 1 and 8 of each 21-day cycle with paclitaxel 175 mg/m2 administered on Day 1 before Gemcitabine for Injection administration (n=267) or paclitaxel 175 mg/m2 on Day 1 of each 21-day cycle (n=262). The major efficacy outcome measure was time to documented disease progression.



A total of 529 patients were enrolled. Demographic and baseline characteristics were similar between treatment arms (Table 18).



Efficacy results are presented in Table 19 and Figure 2. The addition of Gemcitabine for Injection to paclitaxel resulted in statistically significant improvement in time to documented disease progression and overall response rate compared to paclitaxel alone. There was no significant difference in overall survival.

Table 18: Baseline Demographics and Clinical Characteristics for Study 2



 

Gemcitabine for Injection /Paclitaxel

(N=267)

Paclitaxel

(N=262)

Median age, years

  Range

53

26 to 83

52

26 to 75

Metastatic disease

97%

97%

Baseline KPSa ≥90

70%

74%

Number of tumor sites

      1-2

       ≥3

 

57%

43%

 

59%

41%

Visceral disease

73%

73%

   Prior anthracycline

97%

96%

a Karnofsky Performance Status.

Table 19: Efficacy Results in Study 2





Efficacy Parameter

Gemcitabine for Injection/ Paclitaxel

(N=267)

Paclitaxel

(N=262)

Time to Documented Disease Progressiona

Median (95% CI) in months

5.2 (4.2, 5.6)

2.9 (2.6, 3.7)

    Hazard Ratio (95% CI)

0.650 (0.524, 0.805)

    p-value

p<0.0001

Overall Survivalb

 Median (95% CI) in months

18.6 (16.5, 20.7)

15.8 (14.1, 17.3)

 Hazard Ratio (95% CI)

0.86 (0.71, 1.04)

 p-value

Not Significant

Overall Response Rate

40.8%

22.1%

    (95% CI)

(34.9, 46.7)

(17.1, 27.2)

    p-value

p<0.0001

a These represent reconciliation of investigator and Independent Review Committee assessments according to a predefined  algorithm.

b Based on the ITT population.

 

Figure 2: Kaplan-Meier Curves for Time to Documented Disease Progression in Study 2





2.1 Ovarian Cancer


Recommended Dose and Schedule

The recommended dosage of Gemcitabine for Injection is 1000 mg/m2 intravenously over 30 minutes on Days 1 and 8 of each 21-day cycle in combination with carboplatin AUC 4 administered intravenously on Day 1 after Gemcitabine for Injection administration. Refer to carboplatin prescribing information for additional information.



Dosage Modifications


Recommended Gemcitabine for Injection dosage modifications for myelosuppression are described in Tables 1 and 2 [see Warnings and Precautions (5.2)]. Refer to the recommended dosage modifications for non-hematologic adverse reactions [see Dosage and Administration (2.5)].





Table 1: Recommended Dosage Modifications for Gemcitabine for Injection for Myelosuppression on Day of Treatment in Ovarian Cancer



Treatment Day

Absolute Neutrophil Count

(x 106/L)



Platelet Count

(x 106/L)

Dosage Modification

Day 1

Greater than or equal to 1500

And

Greater than or equal to 100,000

None

Less than 1500

Or

Less than 100,000

Delay Treatment Cycle

Day 8

Greater than or equal to 1500

And

Greater than or equal to 100,000

None

1000 to 1499

Or

75,000 to 99,999

50% of full dose

Less than 1000

Or

Less than 75,000

Hold

















 

 

Table 2: Recommended Dosage Modifications for Gemcitabine for Injection for Myelosuppression in Previous Cycle in Ovarian Cancer



Occurrence

Myelosuppression During Treatment Cycle

Dosage Modification

Initial Occurrence

  • Absolute neutrophil count less than 500 x 106/L for more than 5 days or
  • Absolute neutrophil count less than 100 x 106/L for more than 3 days or
  • Febrile neutropenia or
  • Platelets less than 25,000 x 106/L or
  • Cycle delay for more than one week due to toxicity
Permanently reduce Gemcitabine for Injection to 800 mg/m2 on Days 1 and 8

Subsequent Occurrence

If any of the above toxicities occur after the initial dose reduction:

Permanently reduce Gemcitabine for Injection to 800 mg/m2 on Day 1 only

14.1 Ovarian Cancer


The efficacy of Gemcitabine for Injection was evaluated in a randomized trial (Study 1) conducted in women with advanced ovarian cancer that had relapsed at least 6 months after first-line platinum-based therapy. Patients were randomized to receive either Gemcitabine for Injection 1000 mg/m2 on Days 1 and 8 of each 21-day cycle with carboplatin AUC 4 on Day 1 after Gemcitabine for Injection administration (n=178) or carboplatin AUC 5 on Day 1 of each 21-day cycle (n=178). The major efficacy outcome measure was progression-free survival (PFS).



A total of 356 patients were enrolled. Demographics and baseline characteristics are shown in Table 16.



Efficacy results are presented in Table 17 and Figure 1. The addition of Gemcitabine for Injection to carboplatin resulted in statistically significant improvements in PFS and overall response rate. Approximately 75% of patients in each arm received additional chemotherapy for disease progression; 13 of 120 patients in the carboplatin alone arm received Gemcitabine for Injection for treatment of disease progression. There was no significant difference in overall survival between the treatment arms.





Table 16: Baseline Demographics and Clinical Characteristics for Study 1





 

Gemcitabine for Injection /Carboplatin

(N=178)

Carboplatin

(N=178)

Median age, years

      Range

59

36 to 78

58

21 to 81

Baseline ECOG performance status 0-1a

94%

95%

Disease Status

      Evaluable

      Bidimensionally measurable

 

8%

92%

 

3%

96%

Platinum-free intervalb

      6-12 months

      >12 months

 

40%

59%

 

40%

60%

First-line therapy

      Platinum-taxane combination

      Platinum-non-taxane combination

      Platinum monotherapy

 

70%

29%

1%

 

71%

28%

1%

a 5 patients on Gemcitabine for Injection with carboplatin arm and 4 patients on carboplatin arm had no baseline Eastern Cooperative Oncology Group (ECOG) performance status.

b 2 patients on Gemcitabine for Injection with carboplatin arm and 1 patient on carboplatin arm had platinum-free interval <6 months.

Table 17: Efficacy Results in Study 1







Efficacy Parameter

Gemcitabine for Injection/Carboplatin

(N=178)

Carboplatin

(N=178)

Progression-Free Survival

Median (95% CIa) in months

8.6 (8.0, 9.7)

5.8 (5.2, 7.1)

     Hazard Ratio (95% CI)

0.72 (0.57, 0.90)

     p-valueb

p=0.0038

Overall Survival

Median (95% CI) in months

18.0 (16.2, 20.3)

17.3 (15.2, 19.3)

      Hazard Ratio (95% CI)

0.98 (0.78, 1.24)

      p-valueb

p=0.8977

Overall Response Rate by

I n v estigator Review

47.2%

30.9%

      p-valuec

p=0.0016

      CRd

14.6%

6.2%

      PR with PRNMe

32.6%

24.7%

Overall Response Ratefby

Independent R eview

46.3%

35.6%

        p-valuec

p=0.11

        CRd

9.1%

4.0%

        PR with PRNMe

37.2%

31.7%

a CI=confidence interval.

b Log rank, unadjusted.

c Chi square.

d CR=Complete response.

e PR with PRNM=Partial response with partial response, non-measurable disease.

f Independently reviewed cohort – Gemcitabine for Injection/carboplatin (n=121), carboplatin (n=101); independent reviewers unable to measure disease detected by sonography or physical exam.



Figure 1: Kaplan-Meier Curves for Progression-Free Survival in Study 1



4 Contraindications (4 CONTRAINDICATIONS)


Gemcitabine for Injection is contraindicated in patients with a known hypersensitivity to gemcitabine. Reactions include anaphylaxis [see Adverse Reactions (6.1)].

6 Adverse Reactions (6 ADVERSE REACTIONS)


The following clinically significant adverse reactions are described elsewhere in the labeling:

• Hypersensitivity [see Contraindications (4)]

• Schedule-Dependent Toxicity [see Warnings and Precautions (5.1)]

• Myelosuppression [see Warnings and Precautions (5.2)]

Severe Cutaneous Adverse Reactions [see Warnings and Precautions (5.3)]

• Pulmonary Toxicity and Respiratory Failure [see Warnings and Precautions (5.4)]

• Hemolytic Uremic Syndrome [see Warnings and Precautions (5.5)]

• Hepatic Toxicity [see Warnings and Precautions (5.6)]

• Exacerbation of Radiation Therapy Toxicity [see Warnings and Precautions (5.8)]

• Capillary Leak Syndrome [see Warnings and Precautions (5.9)]

• Posterior Reversible Encephalopathy Syndrome [see Warnings and Precautions (5.10)]

5.2 Myelosuppression


Myelosuppression manifested by neutropenia, thrombocytopenia, and anemia occurs with Gemcitabine for Injection as a single agent and the risks are increased when Gemcitabine for Injection is combined with other cytotoxic drugs. In clinical trials, Grade 3-4 neutropenia, anemia, and thrombocytopenia occurred in 25%, 8%, and 5%, respectively of the 979 patients who received single agent Gemcitabine for Injection. The frequencies of Grade 3-4 neutropenia, anemia, and thrombocytopenia varied from 48% to 71%, 8% to 28%, and 5% to 55%, respectively, in patients receiving Gemcitabine for Injection in combination with another drug [see Adverse Reactions (6.1)].



Prior to each dose of Gemcitabine for Injection, obtain a complete blood count (CBC) with a differential and a platelet count. Modify the dosage as recommended [see Dosage and Administration (2.1, 2.2, 2.3, 2.4)].

5.6 Hepatic Toxicity


Drug-induced liver injury, including liver failure and death, has been reported in patients receiving Gemcitabine for Injection alone or with other potentially hepatotoxic drugs [see Adverse Reactions (6.1, 6.2)]. Administration of Gemcitabine for Injection in patients with concurrent liver metastases or a pre-existing medical history of hepatitis, alcoholism, or liver cirrhosis can lead to exacerbation of the underlying hepatic insufficiency. Assess hepatic function prior to initiation of Gemcitabine for Injection and periodically during treatment. Permanently discontinue Gemcitabine for Injection in patients who develop severe hepatic toxicity.

1.4 Pancreatic Cancer


Gemcitabine for Injection is indicated as first-line treatment for patients with locally advanced (nonresectable Stage II or Stage III) or metastatic (Stage IV) adenocarcinoma of the pancreas. Gemcitabine for Injection is indicated for patients previously treated with fluorouracil.

12.3 Pharmacokinetics


The pharmacokinetics of gemcitabine were examined in 353 patients with various solid tumors. Pharmacokinetic parameters were derived using data from patients treated for varying durations of therapy given weekly with periodic rest weeks and using both short infusions (<70 minutes) and long infusions (70 to 285 minutes). The total Gemcitabine for Injection dose varied from 500 mg/m2 to 3600 mg/m2.



Distribution 

The volume of distribution was increased with infusion length. Volume of distribution of gemcitabine was 50 L/m2 following infusions lasting <70 minutes. For long infusions, the volume of distribution rose to 370 L/m2.



Gemcitabine pharmacokinetics are linear and are described by a 2-compartment model. Population pharmacokinetic analyses of combined single and multiple dose studies showed that the volume of distribution of gemcitabine was significantly influenced by duration of infusion and sex. Gemcitabine plasma protein binding is negligible.



Elimination

Metabolism

The active metabolite, gemcitabine triphosphate, can be extracted from peripheral blood mononuclear cells. The half-life of the terminal phase for gemcitabine triphosphate from mononuclear cells ranges from 1.7 to 19.4 hours.



Excretion

Gemcitabine disposition was studied in 5 patients who received a single 1000 mg/m2 of radiolabeled drug as a 30-minute infusion. Within one week, 92% to 98% of the dose was recovered, almost entirely in the urine. Gemcitabine (<10%) and the inactive uracil metabolite, 2´-deoxy-2´,2´-difluorouridine (dFdU) accounted for 99% of the excreted dose. The metabolite dFdU is also found in plasma.



Specific Populations

Geriatric Patients

Clearance of gemcitabine was affected by age. The lower clearance in geriatric patients results in higher concentrations of gemcitabine for any given dose. Differences in either clearance or volume of distribution based on patient characteristics or the duration of infusion result in changes in half-life and plasma concentrations. Table 15 shows plasma clearance and half-life of gemcitabine following short infusions for typical patients by age and sex.





Table 15: Gemcitabine Clearance and Half-Life for the “Typical” Patient





Age


Clearance Men (L/hr/m2)


Clearance Women (L/hr/m2)


Half-Lifea

Men (min) 


Half-LifeaWomen (min) 

29

92.2

69.4

42

49

45

75.7

57.0

48

57

65

55.1

41.5

61

73

79

40.7

30.7

79

94



Half-life for patients receiving a <70 minute infusion.



Gemcitabine half-life for short infusions ranged from 42 to 94 minutes and for long infusions varied from 245 to 638 minutes, depending on age and sex, reflecting a greatly increased volume of distribution with longer infusions.



Male and Female Patients

Females have lower clearance and longer half-lives than male patients as described in Table 15.



Patients with Renal Impairment

No clinical studies have been conducted with gemcitabine in patients with decreased renal function.



Patients with Hepatic Impairment

No clinical studies have been conducted with gemcitabine in patients with decreased hepatic function.



Drug Interaction Studies



When Gemcitabine for Injection (1250 mg/m2 on Days 1 and 8) and cisplatin (75 mg/m2 on Day 1) were administered in patients with NSCLC, the clearance of gemcitabine on Day 1 was 128 L/hr/m2 and on Day 8 was 107 L/hr/m2. Data from patients with NSCLC demonstrate that Gemcitabine for Injection and carboplatin given in combination does not alter the pharmacokinetics of gemcitabine or carboplatin compared to administration of either single agent; however, due to wide confidence intervals and small sample size, interpatient variability may be observed.





Data from metastatic breast cancer patients shows that Gemcitabine for Injection has little or no effect on the pharmacokinetics (clearance and half-life) of paclitaxel and paclitaxel has little or no effect on the pharmacokinetics of gemcitabine.

2.4 Pancreatic Cancer


Recommended Dose and Schedule

The recommended dosage of Gemcitabine for Injection is 1000 mg/m2 intravenously over 30 minutes. The recommended treatment schedule is as follows:

• Weeks 1 to 8: weekly dosing for the first 7 weeks followed by one week rest.

• After week 8: weekly dosing on Days 1, 8, and 15 of each 28-day cycles.



Dosage Modifications


Recommended dosage modifications for Gemcitabine for Injection for myelosuppression are described in Table 4 [see Warnings and Precautions (5.2)]. Refer to the recommended dosage modifications for non-hematologic adverse reactions [see Dosage and Administration (2.5)].





Table 4: Recommended Dosage Modifications for Gemcitabine for Injection for Myelosuppression in Pancreatic Cancer and Non-Small Cell Lung Cancer



Absolute Neutrophil Count

(x 106/L)



Platelet Count

(x 106/L)

Dosage Modification

Greater than or equal to 1000

And

Greater than or equal to 100,000

None

500 to 999

Or

50,000 to 99,999

75% of full dose

Less than 500

Or

Less than 50,000

Hold

14.4 Pancreatic Cancer


The efficacy of Gemcitabine for Injection was evaluated in two trials (Studies 5 and 6), a randomized, single-blind, two-arm, active-controlled trial (Study 5) conducted in patients with locally advanced or metastatic pancreatic cancer who had received no prior chemotherapy and in a single-arm, open-label, multicenter trial (Study 6) conducted in patients with locally advanced or metastatic pancreatic cancer previously treated with fluorouracil or a fluorouracil-containing regimen. In Study 5, patients were randomized to receive either Gemcitabine for Injection 1000 mg/m2 intravenously over 30 minutes once weekly for 7 weeks followed by a one-week rest, then once weekly for 3 consecutive weeks every 28-days in subsequent cycles (n=63) or fluorouracil 600 mg/m2 intravenously over 30 minutes once weekly (n=63). In Study 6, all patients received Gemcitabine for Injection 1000 mg/m2 intravenously over 30 minutes once weekly for 7 weeks followed by a one-week rest, then once weekly for 3 consecutive weeks every 28-days in subsequent cycles.



The major efficacy outcome measure in both trials was "clinical benefit response". A patient was considered to have had a clinical benefit response if either of the following occurred:

• The patient achieved a ≥50% reduction in pain intensity (Memorial Pain Assessment Card) or analgesic consumption, or a 20-point or greater improvement in performance status (Karnofsky Performance Status) for a period of at least 4 consecutive weeks, without showing any sustained worsening in any of the other parameters. Sustained worsening was defined as 4 consecutive weeks with either any increase in pain intensity or analgesic consumption or a 20-point decrease in performance status occurring during the first 12 weeks of therapy.

      OR

• The patient was stable on all of the aforementioned parameters and showed a marked, sustained weight gain (≥7% increase maintained for ≥4 weeks) not due to fluid accumulation.



Study 5 enrolled 126 patients. Demographics and baseline characteristics were similar between the arms (Table 22).



The efficacy results are shown in Table 23 and Figure 4. Patients treated with Gemcitabine for Injection had statistically significant increases in clinical benefit response, survival, and time to disease progression compared to those randomized to receive fluorouracil. No confirmed objective tumor responses were observed in either treatment arm.



Table 22: Baseline Demographics and Clinical Characteristics for Study 5

 

Gemcitabine for Injection

(N=63)

Fluorouracil

(N=63)

      Male

54%

54%

Median age, years

62

61

      Range

37 to 79

36 to 77

Stage IV disease

71%

76%

Baseline KPSa ≤70

70%

68%

a   Karnofsky Performance Status.



Table 23: Efficacy Results in Study 5



Efficacy Parameter

Gemcitabine for Injection

(N=63)

Fluorouracil

(N=63)

Clinical Benefit Response

22.2%

4.8%

      p-valuea

                              p=0.004

Overall Survival

      Median (95% CI) in months

                            5.7 (4.7, 6.9)

4.2 (3.1, 5.1)

      p-valuea

p=0.0009

Time to Disease Progression

 

      Median (95% CI) in months

2.1 (1.9, 3.4)

0.9 (0.9, 1.1)

      p-valuea

p=0.0013

a  p-value for clinical benefit response calculated using the two-sided test for difference in binomial proportions. All other p-values are calculated using log rank test.



Figure 4: Kaplan-Meier Curves for Overall Survival in Study 5











1 Indications and Usage (1 INDICATIONS AND USAGE)




Gemcitabine for Injection is a nucleoside metabolic inhibitor indicated:

• in combination with carboplatin, for the treatment of advanced ovarian cancer that has relapsed at least 6 months after completion of platinum-based therapy. (1.1)

• in combination with paclitaxel, for first-line treatment of metastatic breast cancer after failure of prior anthracycline-containing adjuvant chemotherapy, unless anthracyclines were clinically contraindicated. (1.2)

• in combination with cisplatin, for the treatment of non-small cell lung cancer. (1.3)

• as a single agent for the treatment of pancreatic cancer. (1.4)

12.1 Mechanism of Action


Gemcitabine kills cells undergoing DNA synthesis and blocks the progression of cells through the G1/S-phase boundary. Gemcitabine is metabolized by nucleoside kinases to diphosphate (dFdCDP) and triphosphate (dFdCTP) nucleosides. Gemcitabine diphosphate inhibits ribonucleotide reductase, an enzyme responsible for catalyzing the reactions that generate deoxynucleoside triphosphates for DNA synthesis, resulting in reductions in deoxynucleotide concentrations, including dCTP. Gemcitabine triphosphate competes with dCTP for incorporation into DNA. The reduction in the intracellular concentration of dCTP by the action of the diphosphate enhances the incorporation of gemcitabine triphosphate into DNA (self-potentiation). After the gemcitabine nucleotide is incorporated into DNA, only one additional nucleotide is added to the growing DNA strands, which eventually results in the initiation of apoptotic cell death.

5.7 Embryo Fetal Toxicity (5.7 Embryo-Fetal Toxicity)


Based on animal data and its mechanism of action, Gemcitabine for Injection can cause fetal harm when administered to a pregnant woman. Gemcitabine was teratogenic, embryotoxic, and fetotoxic in mice and rabbits.

 

Advise pregnant women of the potential risk to a fetus. Advise females of reproductive potential to use effective contraception during treatment with Gemcitabine for Injection and for 6 months after the final dose. Advise male patients with female partners of reproductive potential to use effective contraception during treatment with Gemcitabine for Injection and for 3 months following the final dose [see Use in Specific Populations (8.1, 8.3)].





5 Warnings and Precautions (5 WARNINGS AND PRECAUTIONS)

• Schedule-Dependent Toxicity: Increased toxicity with infusion time greater than 60 minutes or dosing more frequently than once weekly. (5.1)

• Myelosuppression: Monitor for myelosuppression prior to each cycle and reduce or withhold dose for severe myelosuppression. (5.2, 5.7)

• Severe Cutaneous Adverse Reactions (SCARs): Permanently discontinue gemcitabine injection if SCARs occur. (5.3)

• Pulmonary Toxicity and Respiratory Failure: Discontinue Gemcitabine for Injection for unexplained dyspnea or other evidence of severe pulmonary toxicity. (5.4)

• Hemolytic Uremic Syndrome (HUS): Monitor renal function prior to initiation and during treatment. Discontinue Gemcitabine for Injection for HUS or severe renal impairment. (5.5)

• Hepatic Toxicity: Monitor hepatic function prior to initiation and during treatment. Discontinue Gemcitabine for Injection for severe hepatic toxicity. (5.6)

• Embryo-Fetal Toxicity: Can cause fetal harm. Advise females and males of reproductive potential to use effective contraception. (5.7, 8.1)

• Exacerbation of Radiation Therapy Toxicity: May cause severe and life-threatening toxicity when administered during or within 7 days of radiation therapy. (5.8)

• Capillary Leak Syndrome: Discontinue Gemcitabine for Injection. (5.9)

• Posterior Reversible Encephalopathy Syndrome (PRES): Discontinue Gemcitabine for Injection. (5.10)

5.9 Capillary Leak Syndrome

Capillary leak syndrome (CLS) with severe consequences has been reported in patients receiving Gemcitabine for Injection as a single agent or in combination with other chemotherapeutic agents [see Adverse Reactions (6.2)]. Permanently discontinue Gemcitabine for Injection if CLS develops during therapy.

6.2 Postmarketing Experience


The following adverse reactions have been identified during post approval use of Gemcitabine for Injection. Because these reactions are reported voluntarily from a population of uncertain size, it is not always possible to reliably estimate their frequency or establish a causal relationship to drug exposure.

•  Blood and lymphatic system: Thrombotic microangiopathy (TMA)

• Cardiovascular: Congestive heart failure, myocardial infarction, arrhythmias, supraventricular arrhythmias

• Vascular: Peripheral vasculitis, gangrene, capillary leak syndrome

• Skin: Cellulitis; pseudocellulitis; severe cutaneous adverse reactions (SCARs), including Stevens-Johnson syndrome (SJS), toxic epidermal necrolysis (TEN), drug reaction with eosinophilia and systemic symptoms (DRESS), and acute generalized exanthematous pustulosis (AGEP); desquamation and bullous skin eruptions

 Hepatic: Hepatic failure, hepatic veno-occlusive disease

• Pulmonary: Interstitial pneumonitis, pulmonary fibrosis, pulmonary edema, adult respiratory distress syndrome (ARDS), pulmonary eosinophilia

 Nervous System: Posterior reversible encephalopathy syndrome (PRES)

2 dosage and Administration (2 DOSAGE AND ADMINISTRATION)






Gemcitabine for Injection is for intravenous use only.

• Ovarian Cancer: 1000 mg/m2 over 30 minutes on Days 1 and 8 of each 21-day cycle. (2.1)

• Breast Cancer: 1250 mg/m2 over 30 minutes on Days 1 and 8 of each 21-day cycle. (2.2)

• Non-Small Cell Lung Cancer: 1000 mg/m2 over 30 minutes on Days 1, 8, and 15 of each 28-day cycle or 1250 mg/m2 over 30 minutes on Days 1 and 8 of each 21-day cycle. (2.3)

• Pancreatic Cancer: 1000 mg/m2 over 30 minutes once weekly for the first 7 weeks, then one week rest, then once weekly for 3 weeks of each 28-day cycle. (2.4)

3 Dosage Forms and Strengths (3 DOSAGE FORMS AND STRENGTHS)


Gemcitabine for Injection, USP is a white to off-white lyophilized powder available in sterile single-dose vials containing 200 mg or 1 gram gemcitabine.

5.5 Hemolytic Uremic Syndrome


Hemolytic Uremic Syndrome (HUS), including fatalities from renal failure or the requirement for dialysis, can occur with Gemcitabine for Injection. In clinical trials, HUS occurred in 0.25% of 2429 patients. Most fatal cases of renal failure were due to HUS [see Adverse Reactions (6.1)]. Serious cases of thrombotic microangiopathy other than HUS have been reported with Gemcitabine for Injection [see Adverse Reactions (6.2)].

 

Assess renal function prior to initiation of Gemcitabine for Injection and periodically during treatment. Consider the diagnosis of HUS in patients who develop anemia with evidence of microangiopathic hemolysis; increased bilirubin or LDH; reticulocytosis; severe thrombocytopenia; or renal failure (increased serum creatinine or BUN). Permanently discontinue Gemcitabine for Injection in patients with HUS or severe renal impairment. Renal failure may not be reversible even with the discontinuation of therapy.

8 Use in Specific Populations (8 USE IN SPECIFIC POPULATIONS)

Lactation: Advise not to breastfeed. (8.2)

1.3 Non Small Cell Lung Cancer (1.3 Non-Small Cell Lung Cancer)


Gemcitabine for Injection in combination with cisplatin is indicated for the first-line treatment of patients with inoperable, locally advanced (Stage IIIA or IIIB) or metastatic (Stage IV) non-small cell lung cancer (NSCLC).

2.3 Non Small Cell Lung Cancer (2.3 Non-Small Cell Lung Cancer)

Recommended Dose and Schedule

28-day schedule

The recommended dosage of Gemcitabine for Injection is 1000 mg/m2 intravenously over 30 minutes on Days 1, 8, and 15 of each 28-day cycle in combination with cisplatin 100 mg/m2 administered intravenously on Day 1 after Gemcitabine for Injection administration.

21-day schedule

The recommended dosage of Gemcitabine for Injection is 1250 mg/m2 intravenously over 30 minutes on Days 1 and 8 of each 21-day cycle in combination with cisplatin 100 mg/m2 administered intravenously on Day 1 after Gemcitabine for Injection administration.

Refer to cisplatin prescribing information for additional information.

Dosage Modifications

Recommended dosage modifications for Gemcitabine for Injection myelosuppression are described in Table 4 [see Warnings and Precautions (5.2)]. Refer to the recommended dosage modifications for non-hematologic adverse reactions [see Dosage and Administration (2.5)].

6.1 Clinical Trials Experience


Because clinical trials are conducted under widely varying conditions, adverse reaction rates observed in the clinical trials of a drug cannot be directly compared to rates in the clinical trials of another drug and may not reflect the rates observed in practice.



Single Agent



The data described below reflect exposure to Gemcitabine for Injection as a single agent administered at doses between 800 mg/m2 to 1250 mg/m2 intravenously over 30 minutes once weekly in 979 patients with various malignancies. The most common (≥20%) adverse reactions of single agent Gemcitabine for Injection are nausea/vomiting, anemia, increased alanine aminotransferase (ALT), increased aspartate aminotransferase (AST), neutropenia, increased alkaline phosphatase, proteinuria, fever, hematuria, rash, thrombocytopenia, dyspnea, and edema. The most common (≥5%) Grade 3 or 4 adverse reactions were neutropenia, nausea/vomiting, increased ALT, increased alkaline phosphatase, anemia, increased AST, and thrombocytopenia. Approximately 10% of the 979 patients discontinued Gemcitabine for Injection due to adverse reactions. Adverse reactions resulting in discontinuation of Gemcitabine for Injection in 2% of 979 patients were cardiovascular adverse reactions (myocardial infarction, cerebrovascular accident, arrhythmia, and hypertension) and adverse reactions resulting in discontinuation of Gemcitabine for Injection in <1% of 979 patients were anemia, thrombocytopenia, hepatic dysfunction, renal dysfunction, nausea/vomiting, fever, rash, dyspnea, hemorrhage, infection, stomatitis, somnolence, flu-like syndrome, and edema.



Tables 5 and 6 present the incidence of selected adverse reactions and laboratory abnormalities reported in patients with various malignancies receiving single agent Gemcitabine for Injection across 5 clinical trials. Additional clinically significant adverse reactions are provided following Table 6.

Table 5: Selected Adverse Reactions Occurring in ≥10% of Patients Receiving Single Agent Gemcitabine for Injectiona



Adverse Reactionsb

Gemcitabine for Injectionc

All Grades (%)

Grade 3 (%)

Grade 4 (%)

Nausea and Vomiting

69

13

1

Fever

41

2

0

Rash

30

<1

0

Dyspnea

23

3

<1

Diarrhea

19

1

0

Hemorrhage

17

<1

<1

Infection

16

1

<1

Alopecia

15

<1

0

Stomatitis

11

<1

0

Somnolence

11

<1

<1

Paresthesias

10

<1

0



a Grade based on criteria from the World Health Organization (WHO).

b For approximately 60% of patients, non-laboratory adverse reactions were graded only if assessed to be possibly drug-related.

c N=699-974; all patients with laboratory or non-laboratory data.

Table 6: Selected Laboratory Abnormalities Occurring in Patients Receiving Single Agent Gemcitabine for Injectiona



Laboratory Abnormalityb

Gemcitabine for Injectionc

All Grades (%)

Grade 3 (%)

Grade 4 (%)

Hematologic

 

 

 

      Anemia

68

7

1

      Neutropenia

63

19

6

      Thrombocytopenia

24

4

1

Hepatic

 

 

 

      Increased ALT

68

8

2

      Increased AST

67

6

2

      Increased Alkaline Phosphatase

55

7

2

      Hyperbilirubinemia

13

2

<1

Renal

 

 

 

      Proteinuria

45

<1

0

      Hematuria

35

<1

0

      Increased BUN

16

0

0

      Increased Creatinine

8

<1

0



a  Grade based on criteria from the WHO.

b  Regardless of causality.

c  N=699-974; all patients with laboratory or non-laboratory data.



Additional adverse reactions include the following:

• Transfusion requirements: Red blood cell transfusions (19%); platelet transfusions (<1%)

• Edema: Edema (13%), peripheral edema (20%), generalized edema (<1%)

• Flu-like symptoms: Fever, asthenia, anorexia, headache, cough, chills, myalgia, asthenia insomnia, rhinitis, sweating, and/or malaise (19%)

• Infection: Sepsis (<1%)

• Extravasation: Injection-site reactions (4%)

• Allergic: Bronchospasm (<2%); anaphylactoid reactions





Ovarian Cancer


Tables 7 and 8 present the incidence of selected adverse reactions and laboratory abnormalities, occurring in ≥10% of Gemcitabine for Injection-treated patients and at a higher incidence in the Gemcitabine for Injection with carboplatin arm, reported in a randomized trial (Study 1) of Gemcitabine for Injection with carboplatin (n=175) compared to carboplatin alone (n=174) for the second-line treatment of ovarian cancer in women with disease that had relapsed more than 6 months following first-line platinum-based chemotherapy [see Clinical Studies (14.1)]. Additional clinically significant adverse reactions, occurring in <10% of patients, are provided following Table 8.



The proportion of patients with dose adjustments for carboplatin (1.8% versus 3.8%), doses of carboplatin omitted (0.2% versus 0) and discontinuing treatment for adverse reactions (11% versus 10%), were similar between arms. Dose adjustment for Gemcitabine for Injection occurred in 10% of patients and Gemcitabine for Injection dose was omitted in 14% of patients in the Gemcitabine for Injection/carboplatin arm.



Table 7: Adverse Reactions Occurring in >10% of Patients Receiving Gemcitabine with Carboplatin and at Higher Incidence than in Patients Receiving Single Agent Carboplatin [Between Arm Difference of ≥5% (All Grades) or ≥2% (Grades 3-4)] in Study 1a



 

 

Adverse Reactionsb

Gemcitabine for Injection/Carboplatin

(N=175)

Carboplatin

(N=174)

All Grades

(%)

Grade 3

(%)

Grade 4

(%)

All Grades

(%)

Grade 3

(%)

Grade 4

(%)

    Nausea

69

6

0

61

3

0

    Alopecia

49

0

0

17

0

0

    Vomiting

46

6

0

36

2

<1

    Constipation

42

6

1

37

3

0

    Fatigue

40

3

<1

32

5

0

    Diarrhea

25

3

0

14

<1

0

   Stomatitis/Pharyngitis

22

<1

0

13

0

0

a   Grade based on National Cancer Institute CTC Version 2.0.

b   Regardless of causality.



Table 8: Laboratory Abnormalities Occurring in Patients Receiving Gemcitabine with Carboplatin and at Higher Incidence than in Patients Receiving Single Agent Carboplatin [Between Arm Difference of ≥5% (All Grades) or ≥2% (Grades 3-4)] in Study 1a



 

 

Laboratory Abnormalityb

Gemcitabine for Injection/Carboplatin

(N=175)

Carboplatin

(N=174)

All Grades

(%)

Grade 3

(%)

Grade 4

(%)

All Grades

(%)

Grade 3

(%)

Grade 4

(%)

Hematologic

 

 

 

 

 

 

     Neutropenia

90

42

29

58

11

1

     Anemia

86

22

6

75

9

2

     Thrombocytopenia

78

30

5

57

10

1

     RBC Transfusionsc

38

-

-

15

-

-

     Platelet Transfusionsc

9

-

-

3

-

-

a Grade based on National Cancer Institute CTC Version 2.0.

b Regardless of causality.

c Percent of patients receiving transfusions. Transfusions are not CTC-graded events. Blood transfusions included both packed red blood cells and whole blood.



Hematopoietic growth factors were administered more frequently in the Gemcitabine for Injection-containing arm: leukocyte growth factor (24% and 10%) and erythropoiesis-stimulating agent (7% and 3.9%).

The following clinically relevant Grade 3 and 4 adverse reactions occurred more frequently in the Gemcitabine for Injection with carboplatin arm: dyspnea (3.4% versus 2.9%), febrile neutropenia (1.1% versus 0), hemorrhagic event (2.3% versus 1.1%), motor neuropathy (1.1% versus 0.6%), and rash/desquamation (0.6% versus 0).

14.3 Non Small Cell Lung Cancer (14.3 Non-Small Cell Lung Cancer)


The efficacy of Gemcitabine for Injection was evaluated in two randomized, multicenter trials.



Study 3: 28-Day Schedule

A multinational, randomized trial (Study 3) compared Gemcitabine for Injection with cisplatin to cisplatin alone in the treatment of patients with inoperable Stage IIIA, IIIB, or IV NSCLC who had not received prior chemotherapy. Patients were randomized to receive either Gemcitabine for Injection 1000 mg/m2 on Days 1, 8, and 15 of each 28-day cycle with cisplatin 100 mg/m2 on Day 1 after Gemcitabine for Injection administration (N=260) or cisplatin 100 mg/m2 on Day 1 of each 28-day cycle (N=262). The major efficacy outcome measure was overall survival.



A total of 522 patients were enrolled. Demographics and baseline characteristics (Table 20) were similar between arms with the exception of histologic subtype of NSCLC, with 48% of patients on the cisplatin arm and 37% of patients on the Gemcitabine for Injection with cisplatin arm having adenocarcinoma.



Efficacy results are presented in Table 21 and Figure 3.



Study 4: 21-Day Schedule

A randomized (1:1), multicenter trial (Study 4) was conducted in patients with Stage IIIB or IV NSCLC. Patients were randomized to receive either Gemcitabine for Injection 1250 mg/m2 on Days 1 and 8 of each 21-day cycle with cisplatin 100 mg/m2 on Day 1 after Gemcitabine for Injection administration or etoposide 100 mg/m2 intravenously on Days 1, 2, and 3 with cisplatin 100 mg/m2 on Day 1 of each 21 -day cycle. The major efficacy outcome measure was response rate.



A total of 135 patients were enrolled. Demographics and baseline characteristics are summarized in Table 20.



Efficacy results are presented in Table 21. There was no significant difference in survival between the two treatment arms. The median survival was 8.7 months for the Gemcitabine for Injection with cisplatin arm versus 7 months for the etoposide with cisplatin arm. Median time to disease progression for the Gemcitabine for Injection with cisplatin arm was 5 months compared to 4.1 months on the etoposide with cisplatin arm (Log rank p=0.015, two-sided). The objective response rate for the Gemcitabine for Injection with cisplatin arm was 33% compared to 14% on the etoposide with cisplatin arm (Fisher’s Exact p=0.01, two-sided).





Table 20: Baseline Demographics and Clinical Characteristics for Studies 3 and 4



Trial

28-day Schedule (Study 3)

21-day Schedule (Study 4)

 

Gemcitabine for Injection/Cisplatin

(N=260)

Cisplatin

(N=262)

Gemcitabine for Injection/Cisplatin

(N=69)

Etoposide/

Cisplatin

(N=66)

Male

Median age, years

Range

70%

62

36 to 88

71%

63

35 to 79

93%

58

33 to 76

92%

60

35 to 75

Stage IIIA

Stage IIIB

Stage IV

7%

26%

67%

7%

23%

70%

N/Aa

48%

52%

N/Aa

52%

49%

Baseline KPSb 70 to 80

Baseline KPSb 90 to 100

41%

57%

44%

55%

45%

55%

52%

49%













a N/A Not applicable.

b Karnofsky Performance Status.

Table 21: Efficacy Results for Studies 3 and 4





Trial

28-day Schedule (Study 3)

21-day Schedule (Study 4)

Efficacy Parameter

Gemcitabine for Injection/

Cisplatin

(N=260)

Cisplatin

(N=262)

Gemcitabine for Injection/ Cisplatin

(N=69)

Etoposide/Cisplatin

(N=66)

Survival

     Median (95% CIa)

     in months

9.0 (8.2, 11.0)

7.6 (6.6, 8.8)

8.7 (7.8, 10.1)

7.0 (6.0, 9.7)

     p-valuef

p=0.008

p=0.18

Time to Disease Progression

     Median (95% CIa)

     in months

5.2 (4.2, 5.7)

3.7 (3.0, 4.3)

5.0 (4.2, 6.4)

4.1 (2.4, 4.5)

     p-valueb

p=0.009

p=0.05

Tumor Response

26%

10%

33%

14%

     p-valueb

p<0.0001

p=0.01

a CI=confidence intervals.

b p-value two-sided Fisher’s Exact test for difference in binomial proportions; log rank test for time-to-event analyses.

Figure 3: Kaplan-Meier Curves for Overall Survival in Study 3



5.1 Schedule Dependent Toxicity (5.1 Schedule-Dependent Toxicity)


In clinical trials evaluating the maximum tolerated dose of Gemcitabine for Injection, prolongation of the infusion time beyond 60 minutes or more frequent than weekly dosing resulted in an increased incidence of clinically significant hypotension, severe flu-like symptoms, myelosuppression, and asthenia. The half-life of Gemcitabine for Injection is influenced by the length of the infusion [see Clinical Pharmacology (12.3)]. Refer to the recommended Gemcitabine for Injection dosage [see Dosage and Administration (2.1, 2.2, 2.3, 2.4)].

17 Patient Counseling Information (17 PATIENT COUNSELING INFORMATION)


Myelosuppression

Advise patients of the risks of myelosuppression. Instruct patients to immediately contact their healthcare provider should any signs or symptoms of infection, including fever, or if bleeding or signs of anemia, occur [see Warnings and Precautions (5.2)].





Severe Cutaneous Adverse Reactions (SCARs)

Advise patients of the risks of SCARs, including Stevens-Johnson syndrome (SJS), toxic epidermal necrolysis (TEN), drug reaction with eosinophilia and systemic symptoms (DRESS), and acute generalized exanthematous pustulosis (AGEP). Instruct patients to immediately contact their healthcare provider should any signs or symptoms of severe skin rash or skin peeling, blistering and/or mouth sores occur [see Warnings and Precautions (5.3)].





Pulmonary Toxicity

Advise patients of the risks of pulmonary toxicity, including respiratory failure and death. Instruct patients to immediately contact their healthcare provider for development of shortness of breath, wheezing, or cough [see Warnings and Precautions (5.4)].



Hemolytic Uremic Syndrome and Renal Failure

Advise patients of the risks of hemolytic-uremic syndrome and associated renal failure. Instruct patients to immediately contact their healthcare provider for changes in the color or volume of urine output or for increased bruising or bleeding [see Warnings and Precautions (5.5)].



Hepatic Toxicity

Advise patients of the risks of hepatic toxicity including liver failure and death. Instruct patients to immediately contact their healthcare provider for signs of jaundice or for pain/tenderness in the right upper abdominal quadrant [see Warnings and Precautions (5.6)].



Embryo-Fetal Toxicity

Advise females and males of reproductive potential that Gemcitabine for Injection can cause fetal harm. Advise females of reproductive potential to use effective contraception during treatment with Gemcitabine for Injection and for 6 months after the final dose. Advise male patients with female partners of reproductive potential to use effective contraception during treatment with Gemcitabine for Injection and for 3 months after the final dose [see Warnings and Precaution (5.7), Use in Specific Populations (8.1, 8.3)].



Lactation

Advise women not to breastfeed during treatment with Gemcitabine for Injection and for at least one week after the last dose [see Use in Specific Populations (8.2)].



Infertility

Advise males of reproductive potential of the potential for reduced fertility with Gemcitabine for Injection [see Use in Specific Populations (8.3), Nonclinical Toxicology (13.1)].





Manufactured by:

Gland Pharma Limited

Visakhapatnam-530049,

Andhra Pradesh, India.



Revised: September 2024

16 How Supplied/storage and Handling (16 HOW SUPPLIED/STORAGE AND HANDLING)

Gemcitabine for Injection, USP is supplied as follows:



NDC

Gemcitabine for Injection, USP

Package Factor

68083-148-01 

200 mg Single-Dose Vial

1 vial per carton

68083-149-01 

1 gram Single-Dose Vial

1 vial per carton

Gemcitabine for Injection, USP is a sterile white to off-white lyophilized powder.

Gemcitabine for Injection, USP is a cytotoxic drug. Follow applicable special handling and disposal procedures.1



Storage Conditions


Store at 20° to 25°C (68° to 77°F); excursions permitted between 15° and 30°C (59° and 86°F). [See USP Controlled Room Temperature.]



Sterile, Nonpyrogenic, Preservative-free, Lyophilized.

The container closure is not made with natural rubber latex.

Package Label.principal Display Panel (PACKAGE LABEL.PRINCIPAL DISPLAY PANEL)


GEMCITABINE FOR INJECTION, USP

200 mg/vial

Single-Dose Vial

Vial label









GEMCITABINE FOR INJECTION, USP

200 mg/vial

Single-Dose Vial

Carton label



GEMCITABINE FOR INJECTION, USP

1 g/vial

Single-Dose Vial

Vial label





GEMCITABINE FOR INJECTION, USP

1 g/vial

Single-Dose Vial

Carton label



5.3 Severe Cutaneous Adverse Reactions (scars) (5.3 Severe Cutaneous Adverse Reactions (SCARs))

SCARs, including Stevens-Johnson syndrome (SJS), toxic epidermal necrolysis (TEN), drug reaction with eosinophilia and systemic symptoms (DRESS), and acute generalized exanthematous pustulosis (AGEP), which can be life-threatening or fatal, have been reported in association with gemcitabine treatment [see Adverse Reactions (6.2)]. Monitor patients for signs and symptoms of severe cutaneous adverse reactions. Permanently discontinue gemcitabine in patients who develop SCARs.

5.4 Pulmonary Toxicity and Respiratory Failure


Pulmonary toxicity, including interstitial pneumonitis, pulmonary fibrosis, pulmonary edema, and adult respiratory distress syndrome (ARDS), has been reported. In some cases, these pulmonary events can lead to fatal respiratory failure despite the discontinuation of therapy. The onset of pulmonary symptoms may occur up to 2 weeks after the last dose of Gemcitabine for Injection [see Adverse Reactions (6.1, 6.2)].

Permanently discontinue Gemcitabine for Injection in patients who develop unexplained dyspnea, with or without bronchospasm, or evidence of severe pulmonary toxicity.

5.8 Exacerbation of Radiation Therapy Toxicity


Gemcitabine for Injection is not recommended for use in combination with radiation therapy.

Concurrent (given together or ≤7 days apart)

Life-threatening mucositis, especially esophagitis and pneumonitis occurred in a trial in which Gemcitabine for Injection was administered at a dose of 1000 mg/m2 to patients with non-small cell lung cancer for up to 6 consecutive weeks concurrently with thoracic radiation.



Non-concurrent (given >7 days apart


Excessive toxicity has not been observed when Gemcitabine for Injection is administered more than 7 days before or after radiation. Radiation recall has been reported in patients who received Gemcitabine for Injection after prior radiation.

8.3 Females and Males of Reproductive Potential


Pregnancy Testing

Verify pregnancy status in females of reproductive potential prior to initiating Gemcitabine for Injection [see Use in Specific Populations (8.1)].

Contraception

Gemcitabine for Injection can cause fetal harm when administered to a pregnant woman [see Use in Specific Populations (8.1)].



Females

Because of the potential for genotoxicity, advise females of reproductive potential to use effective contraception during treatment with Gemcitabine for Injection and for 6 months after the final dose of Gemcitabine for Injection.



Males

Because of the potential for genotoxicity, advise males with female partners of reproductive potential to use effective contraception during treatment with Gemcitabine for Injection and for 3 months after the final dose [see Nonclinical Toxicology (13.1)].



Infertility

Males

Based on animal studies, Gemcitabine for Injection may impair fertility in males of reproductive potential [see Nonclinical Toxicology (13.1)]. It is not known whether these effects on fertility are reversible.

5.10 Posterior Reversible Encephalopathy Syndrome


Posterior reversible encephalopathy syndrome (PRES) has been reported in patients receiving Gemcitabine for Injection as a single agent or in combination with other chemotherapeutic agents [see Adverse Reactions (6.2)]. PRES can present with headache, seizure, lethargy, hypertension, confusion, blindness, and other visual and neurologic disturbances.  Confirm the diagnosis of PRES with magnetic resonance imaging (MRI). Permanently discontinue Gemcitabine for Injection if PRES develops during therapy.

13.1 Carcinogenesis, Mutagenesis, Impairment of Fertility


Long-term animal studies to evaluate the carcinogenic potential of Gemcitabine for Injection have not been conducted. Gemcitabine was mutagenic in an in vitro mouse lymphoma (L5178Y) assay and was clastogenic in an in vivo mouse micronucleus assay.  Gemcitabine intraperitoneal doses of 0.5 mg/kg/day [about 1/700 the 1000 mg/m2 clinical dose based on body surface area (BSA)] in male mice resulted in moderate to severe hypospermatogenesis, decreased fertility, and decreased implantations. In female mice, fertility was not affected but maternal toxicities were observed at 1.5 mg/kg/day administered intravenously (about 1/200 the 1000 mg/m2 clinical dose based on BSA) and fetotoxicity or embryolethality was observed at 0.25 mg/kg/day administered intravenously (about 1/1300 the 1000 mg/m2 clinical dose based on BSA).

2.5 Dosage Modifications for Non Hematologic Adverse Reactions (2.5 Dosage Modifications for Non-Hematologic Adverse Reactions)


     



Permanently discontinue Gemcitabine for Injection for any of the following:

• Severe Cutaneous Adverse Reactions (SCARs) [see Warnings and Precautions (5.3)]

• Unexplained dyspnea or evidence of severe pulmonary toxicity [see Warnings and Precautions (5.4)]

• Hemolytic Uremic Syndrome (HUS) or severe renal impairment [see Warnings and Precautions (5.5)]

• Severe hepatic toxicity [see Warnings and Precautions (5.6)]

• Capillary leak syndrome (CLS) [see Warnings and Precautions (5.9)]

• Posterior reversible encephalopathy syndrome (PRES) [see Warnings and Precautions (5.10)]

Withhold Gemcitabine for Injection or reduce dose by 50% for other Grade 3 or 4 non-hematological adverse reactions until resolved. No dose modifications are recommended for alopecia, nausea, or vomiting.


Advanced Ingredient Data


Raw Label Data

All Sections (JSON)