These Highlights Do Not Include All The Information Needed To Use Dilaudid®

These Highlights Do Not Include All The Information Needed To Use Dilaudid®
SPL v5
SPL
SPL Set ID 9eebd88a-5632-460f-b7b6-26c8a180540d
Routes
INTRAVENOUS SUBCUTANEOUS INTRAMUSCULAR
Published
Effective Date 2025-04-28
Document Type 34391-3 HUMAN PRESCRIPTION DRUG LABEL

Drug Facts

Composition & Product

Active Ingredients
Hydromorphone (1 mg)
Inactive Ingredients
Sodium Citrate, Unspecified Form Citric Acid Monohydrate Water

Identifiers & Packaging

Marketing Status
NDA Active Since 2016-12-16

Description

Boxed Warning                                                                                                                                                            12/2023 Indications and Usage ( 1 )                                                                                                                                            12/2023 Dosage and Administration ( 2.1 , 2.2 , 2.5 )                                                                                                                   12/2023 Warnings and Precautions ( 5.5 )                                                                                                                                   12/2023

Indications and Usage

DILAUDID INJECTION is an opioid agonist indicated for the management of pain severe enough to require an opioid analgesic and for which alternate treatments are inadequate. ( 1 ) Limitations of Use: ( 1 ) Because of the risks of addiction, abuse, and misuse with opioids, which can occur at any dosage or duration, reserve Hydromorphone Hydrochloride Injection for use in patients for whom alternative treatment options (e.g., non-opioid analgesics or opioid combination products): • Have not been tolerated, or are not expected to be tolerated • Have not provided adequate analgesia or are not expected to provide adequate analgesia DILAUDID INJECTION should not be used for an extended period of time unless the pain remains severe enough to require an opioid analgesic and for which alternative treatment options continue to be inadequate.

Dosage and Administration

• DILAUDID INJECTION should be prescribed only by healthcare professionals who are knowledgeable about the use of opioids and how to mitigate the associated risks. ( 2.1 ) • Use the lowest effective dosage for the shortest duration of time consistent with individual patient treatment goals. Reserve titration to higher doses of Hydromorphone Hydrochloride Injection for patients in whom lower doses are insufficiently effective and in whom the expected benefits of using a higher dose opioid clearly outweigh the substantial risks. ( 2.1 , 5 ) • Many acute pain conditions (e.g., the pain that occurs with a number of surgical procedures or acute musculoskeletal injuries) require no more than a few days of an opioid analgesic. Clinical guidelines on opioid prescribing for some acute pain conditions are available. ( 2.1 ) • Initiate the dosing regimen for each patient individually, taking into account the patient’s underlying cause and severity of pain, prior analgesic treatment and response, and risk factors for addiction, abuse, and misuse. ( 2.1 , 5.1 ) • Respiratory depression can occur at any time during opioid therapy, especially when initiating and following dosage increases with Hydromorphone Hydrochloride Injection. Consider this risk when selecting an initial dose and when making dose adjustments. ( 2.1 , 5.2 ) • Initial Dosage: - Intramuscular or Subcutaneous Use: The usual starting dose is 1 mg to 2 mg every 2 to 3 hours as necessary. ( 2.2 ) - Intravenous Use: The usual starting dose is 0.2 mg to 1 mg every 2 to 3 hours. The injection should be given slowly , over at least 2 to 3 minutes. ( 2.2 ) • Hepatic Impairment: Initiate treatment with one-fourth to one-half the usual starting dose, depending on degree of hepatic impairment. ( 2.3 ) • Renal Impairment: Initiate treatment with one-fourth to one-half the usual starting dose, depending on degree of renal impairment. ( 2.4 ) • Do not abruptly discontinue DILAUDID INJECTION in a physically-dependent patient. ( 2.6 , 5.12 )

Warnings and Precautions

• Opioid-Induced Hyperalgesia and Allodynia: Opioid-Induced Hyperalgesia (OIH) occurs when an opioid analgesic paradoxically causes an increase in pain, or an increase in sensitivity to pain. If OIH is suspected, carefully consider appropriately decreasing the dose of the current opioid analgesic, or opioid rotation. ( 5.5 ) • Life-Threatening Respiratory Depression in Patients with Chronic Pulmonary Disease or in Elderly, Cachectic, or Debilitated Patients: Monitor closely, particularly during initiation and titration. ( 5.6 ) • Adrenal Insufficiency: If diagnosed, treat with physiologic replacement of corticosteroids, and wean patient off of the opioid. ( 5.7 ) • Severe Hypotension: Monitor during dosage initiation and titration. Avoid use of DILAUDID INJECTION in patients with circulatory shock. ( 5.8 ) • Risks of Use in Patients with Increased Intracranial Pressure, Brain Tumors, Head Injury, or Impaired Consciousness: Monitor for sedation and respiratory depression. Avoid use of DILAUDID INJECTION in patients with impaired consciousness or coma. ( 5.9 ) • DILAUDID INJECTION contains sodium metabisulfite. There is a risk of anaphylactic symptoms and life-threatening asthmatic episodes in susceptible people. ( 5.14 )

Contraindications

DILAUDID INJECTION is contraindicated in patients with: • Significant respiratory depression [see Warnings and Precautions ( 5.2 )] • Acute or severe bronchial asthma in an unmonitored setting or in the absence of resuscitative equipment [see Warnings and Precautions ( 5.6 )] • Known or suspected gastrointestinal obstruction, including paralytic ileus [see Warnings and Precautions ( 5.10 )] • Hypersensitivity to hydromorphone, hydromorphone salts, any other components of the product, or sulfite containing medications (e.g., anaphylaxis) [see Warnings and Precautions ( 5.14 )]

Adverse Reactions

The following serious adverse reactions are described, or described in greater detail, in other sections: • Addiction, Abuse, and Misuse [see Warnings and Precautions ( 5.1 )] • Life-Threatening Respiratory Depression [see Warnings and Precautions ( 5.2 )] • Interactions with Benzodiazepines and Other CNS Depressants [see Warnings and Precautions ( 5.3 )] • Neonatal Opioid Withdrawal Syndrome [see Warnings and Precautions ( 5.4 )] • Opioid-Induced Hyperalgesia and Allodynia [see Warnings and Precautions ( 5.5 )] • Adrenal Insufficiency [see Warnings and Precautions ( 5.7 )] • Severe Hypotension [see Warnings and Precautions ( 5.8 )] • Gastrointestinal Adverse Reactions [see Warnings and Precautions ( 5.10 )] • Seizures [see Warnings and Precautions ( 5.11 )] • Withdrawal [see Warnings and Precautions ( 5.12 )] The following adverse reactions associated with the use of hydromorphone were identified in clinical studies or postmarketing reports. Because some of these reactions were reported voluntarily from a population of uncertain size, it is not always possible to reliably estimate their frequency or establish a causal relationship to drug exposure. Serious adverse reactions associated with DILAUDID INJECTION include respiratory depression and apnea and, to a lesser degree, circulatory depression, respiratory arrest, shock, and cardiac arrest. The most common adverse effects are lightheadedness, dizziness, sedation, nausea, vomiting, sweating, flushing, dysphoria, euphoria, dry mouth, and pruritus. These effects seem to be more prominent in ambulatory patients and in those not experiencing severe pain.

Drug Interactions

Table 1 includes clinically significant drug interactions with DILAUDID INJECTION. Table 1. Clinically Significant Drug Interactions with DILAUDID INJECTION Benzodiazepines and other Central Nervous System Depressants (CNS) Clinical Impact: Due to additive pharmacologic effect, the concomitant use of benzodiazepines and other CNS depressants, including alcohol, can increase the risk of hypotension, respiratory depression, profound sedation, coma, and death. [see Warnings and Precautions ( 5.3 )] Intervention: Reserve concomitant prescribing of these drugs for use in patients for whom alternative treatment options are inadequate. Limit dosages and durations to the minimum required. Monitor patients closely for signs of respiratory depression and sedation [see Warnings and Precautions ( 5.3 )]. Examples: Benzodiazepines and other sedatives/hypnotics, anxiolytics, tranquilizers, muscle relaxants, general anesthetics, antipsychotics, other opioids, alcohol. Serotonergic Drugs Clinical Impact: The concomitant use of opioids with other drugs that affect the serotonergic neurotransmitter system has resulted in serotonin syndrome. Intervention: If concomitant use is warranted, carefully observe the patient, particularly during treatment initiation and dose adjustment. Discontinue DILAUDID INJECTION if serotonin syndrome is suspected. Examples: Selective serotonin reuptake inhibitors (SSRIs), serotonin and norepinephrine reuptake inhibitors (SNRIs), tricyclic antidepressants (TCAs), triptans, 5-HT3 receptor antagonists, drugs that effect the serotonin neurotransmitter system (e.g., mirtazapine, trazodone, tramadol), certain muscle relaxants (i.e., cyclobenzaprine, metaxalone), monoamine oxidase (MAO) inhibitors (those intended to treat psychiatric disorders and also others, such as linezolid and intravenous methylene blue). Monoamine Oxidase Inhibitors (MAOIs) Clinical Impact: MAOI interactions with opioids may manifest as serotonin syndrome or opioid toxicity (e.g., respiratory depression, coma) [see Warnings and Precautions ( 5.2 )]. If urgent use of an opioid is necessary, use test doses and frequent titration of small doses to treat pain while closely monitoring blood pressure and signs and symptoms of CNS and respiratory depression. Intervention: The use of DILAUDID INJECTION is not recommended for patients taking MAOIs or within 14 days of stopping such treatment. If urgent use of an opioid is necessary, use test doses and frequent titration of small doses while closely monitoring blood pressure and signs and symptoms of CNS and respiratory depression. Examples: phenelzine, tranylcypromine, linezolid Mixed Agonist/Antagonist and Partial Agonist Opioid Analgesics Clinical Impact: May reduce the analgesic effect of DILAUDID INJECTION and/or precipitate withdrawal syndrome. Intervention: Avoid concomitant use. Examples: butorphanol, nalbuphine, pentazocine, buprenorphine Muscle Relaxants Clinical Impact: Hydromorphone may enhance the neuromuscular blocking action of skeletal muscle relaxants and produce an increased degree of respiratory depression. Intervention: Monitor patients for signs of respiratory depression that may be greater than otherwise expected and decrease the dosage of DILAUDID INJECTION and/or the muscle relaxant as necessary. Diuretics Clinical Impact: Opioids can reduce the efficacy of diuretics by inducing the release of antidiuretic hormone. Intervention: Monitor patients for signs of diminished diuresis and/or effects on blood pressure and increase the dosage of the diuretic as needed. Anticholinergic Drugs Clinical Impact: The concomitant use of anticholinergic drugs may increase risk of urinary retention and/or severe constipation, which may lead to paralytic ileus. Intervention: Monitor patients for signs of urinary retention or reduced gastric motility when DILAUDID INJECTION is used concomitantly with anticholinergic drugs.

Storage and Handling

DILAUDID INJECTION (hydromorphone hydrochloride) is supplied in clear and colorless single-dose prefilled syringes. Each single-dose prefilled syringe of sterile, aqueous solution contains 0.2 mg, 0.5 mg, 1 mg or 2 mg hydromorphone hydrochloride with 0.2% sodium citrate and 0.2% citric acid solution. DILAUDID INJECTION contains no added preservative and is supplied as follows: Product Code Unit of Sale Strength Each 771906 NDC 76045-009-06 Unit of 10 0.5 mg/0.5 mL NDC 76045-009-96 0.5 mL single-dose prefilled syringe 771911 NDC 76045-009-11 Unit of 10 1 mg/mL NDC 76045-009-01 1 mL single-dose prefilled syringe 771011 NDC 76045-010-11 Unit of 10 2 mg/mL NDC 76045-010-01 1 mL single-dose prefilled syringe 771311 NDC 76045-121-11 Unit of 10 0.2 mg/mL NDC 76045-121-01 1 mL single-dose prefilled syringe PROTECT FROM LIGHT. Store at 20° to 25°C (68° to 77°F); excursions permitted to 15° to 30°C (59° to 86°F) [See USP Controlled Room Temperature]. Safety and Handling Instructions Discard any unused portion. Access to drugs with a potential for abuse such as DILAUDID INJECTION presents an occupational hazard for addiction in the health care industry. Routine procedures for handling controlled substances developed to protect the public may not be adequate to protect health care workers. Implementation of more effective accounting procedures and measures to restrict access to drugs of this class (appropriate to the practice setting) may minimize the risk of self-administration by health care providers.

How Supplied

DILAUDID INJECTION (hydromorphone hydrochloride) is supplied in clear and colorless single-dose prefilled syringes. Each single-dose prefilled syringe of sterile, aqueous solution contains 0.2 mg, 0.5 mg, 1 mg or 2 mg hydromorphone hydrochloride with 0.2% sodium citrate and 0.2% citric acid solution. DILAUDID INJECTION contains no added preservative and is supplied as follows: Product Code Unit of Sale Strength Each 771906 NDC 76045-009-06 Unit of 10 0.5 mg/0.5 mL NDC 76045-009-96 0.5 mL single-dose prefilled syringe 771911 NDC 76045-009-11 Unit of 10 1 mg/mL NDC 76045-009-01 1 mL single-dose prefilled syringe 771011 NDC 76045-010-11 Unit of 10 2 mg/mL NDC 76045-010-01 1 mL single-dose prefilled syringe 771311 NDC 76045-121-11 Unit of 10 0.2 mg/mL NDC 76045-121-01 1 mL single-dose prefilled syringe PROTECT FROM LIGHT. Store at 20° to 25°C (68° to 77°F); excursions permitted to 15° to 30°C (59° to 86°F) [See USP Controlled Room Temperature]. Safety and Handling Instructions Discard any unused portion. Access to drugs with a potential for abuse such as DILAUDID INJECTION presents an occupational hazard for addiction in the health care industry. Routine procedures for handling controlled substances developed to protect the public may not be adequate to protect health care workers. Implementation of more effective accounting procedures and measures to restrict access to drugs of this class (appropriate to the practice setting) may minimize the risk of self-administration by health care providers.


Medication Information

Warnings and Precautions

• Opioid-Induced Hyperalgesia and Allodynia: Opioid-Induced Hyperalgesia (OIH) occurs when an opioid analgesic paradoxically causes an increase in pain, or an increase in sensitivity to pain. If OIH is suspected, carefully consider appropriately decreasing the dose of the current opioid analgesic, or opioid rotation. ( 5.5 ) • Life-Threatening Respiratory Depression in Patients with Chronic Pulmonary Disease or in Elderly, Cachectic, or Debilitated Patients: Monitor closely, particularly during initiation and titration. ( 5.6 ) • Adrenal Insufficiency: If diagnosed, treat with physiologic replacement of corticosteroids, and wean patient off of the opioid. ( 5.7 ) • Severe Hypotension: Monitor during dosage initiation and titration. Avoid use of DILAUDID INJECTION in patients with circulatory shock. ( 5.8 ) • Risks of Use in Patients with Increased Intracranial Pressure, Brain Tumors, Head Injury, or Impaired Consciousness: Monitor for sedation and respiratory depression. Avoid use of DILAUDID INJECTION in patients with impaired consciousness or coma. ( 5.9 ) • DILAUDID INJECTION contains sodium metabisulfite. There is a risk of anaphylactic symptoms and life-threatening asthmatic episodes in susceptible people. ( 5.14 )

Indications and Usage

DILAUDID INJECTION is an opioid agonist indicated for the management of pain severe enough to require an opioid analgesic and for which alternate treatments are inadequate. ( 1 ) Limitations of Use: ( 1 ) Because of the risks of addiction, abuse, and misuse with opioids, which can occur at any dosage or duration, reserve Hydromorphone Hydrochloride Injection for use in patients for whom alternative treatment options (e.g., non-opioid analgesics or opioid combination products): • Have not been tolerated, or are not expected to be tolerated • Have not provided adequate analgesia or are not expected to provide adequate analgesia DILAUDID INJECTION should not be used for an extended period of time unless the pain remains severe enough to require an opioid analgesic and for which alternative treatment options continue to be inadequate.

Dosage and Administration

• DILAUDID INJECTION should be prescribed only by healthcare professionals who are knowledgeable about the use of opioids and how to mitigate the associated risks. ( 2.1 ) • Use the lowest effective dosage for the shortest duration of time consistent with individual patient treatment goals. Reserve titration to higher doses of Hydromorphone Hydrochloride Injection for patients in whom lower doses are insufficiently effective and in whom the expected benefits of using a higher dose opioid clearly outweigh the substantial risks. ( 2.1 , 5 ) • Many acute pain conditions (e.g., the pain that occurs with a number of surgical procedures or acute musculoskeletal injuries) require no more than a few days of an opioid analgesic. Clinical guidelines on opioid prescribing for some acute pain conditions are available. ( 2.1 ) • Initiate the dosing regimen for each patient individually, taking into account the patient’s underlying cause and severity of pain, prior analgesic treatment and response, and risk factors for addiction, abuse, and misuse. ( 2.1 , 5.1 ) • Respiratory depression can occur at any time during opioid therapy, especially when initiating and following dosage increases with Hydromorphone Hydrochloride Injection. Consider this risk when selecting an initial dose and when making dose adjustments. ( 2.1 , 5.2 ) • Initial Dosage: - Intramuscular or Subcutaneous Use: The usual starting dose is 1 mg to 2 mg every 2 to 3 hours as necessary. ( 2.2 ) - Intravenous Use: The usual starting dose is 0.2 mg to 1 mg every 2 to 3 hours. The injection should be given slowly , over at least 2 to 3 minutes. ( 2.2 ) • Hepatic Impairment: Initiate treatment with one-fourth to one-half the usual starting dose, depending on degree of hepatic impairment. ( 2.3 ) • Renal Impairment: Initiate treatment with one-fourth to one-half the usual starting dose, depending on degree of renal impairment. ( 2.4 ) • Do not abruptly discontinue DILAUDID INJECTION in a physically-dependent patient. ( 2.6 , 5.12 )

Contraindications

DILAUDID INJECTION is contraindicated in patients with: • Significant respiratory depression [see Warnings and Precautions ( 5.2 )] • Acute or severe bronchial asthma in an unmonitored setting or in the absence of resuscitative equipment [see Warnings and Precautions ( 5.6 )] • Known or suspected gastrointestinal obstruction, including paralytic ileus [see Warnings and Precautions ( 5.10 )] • Hypersensitivity to hydromorphone, hydromorphone salts, any other components of the product, or sulfite containing medications (e.g., anaphylaxis) [see Warnings and Precautions ( 5.14 )]

Adverse Reactions

The following serious adverse reactions are described, or described in greater detail, in other sections: • Addiction, Abuse, and Misuse [see Warnings and Precautions ( 5.1 )] • Life-Threatening Respiratory Depression [see Warnings and Precautions ( 5.2 )] • Interactions with Benzodiazepines and Other CNS Depressants [see Warnings and Precautions ( 5.3 )] • Neonatal Opioid Withdrawal Syndrome [see Warnings and Precautions ( 5.4 )] • Opioid-Induced Hyperalgesia and Allodynia [see Warnings and Precautions ( 5.5 )] • Adrenal Insufficiency [see Warnings and Precautions ( 5.7 )] • Severe Hypotension [see Warnings and Precautions ( 5.8 )] • Gastrointestinal Adverse Reactions [see Warnings and Precautions ( 5.10 )] • Seizures [see Warnings and Precautions ( 5.11 )] • Withdrawal [see Warnings and Precautions ( 5.12 )] The following adverse reactions associated with the use of hydromorphone were identified in clinical studies or postmarketing reports. Because some of these reactions were reported voluntarily from a population of uncertain size, it is not always possible to reliably estimate their frequency or establish a causal relationship to drug exposure. Serious adverse reactions associated with DILAUDID INJECTION include respiratory depression and apnea and, to a lesser degree, circulatory depression, respiratory arrest, shock, and cardiac arrest. The most common adverse effects are lightheadedness, dizziness, sedation, nausea, vomiting, sweating, flushing, dysphoria, euphoria, dry mouth, and pruritus. These effects seem to be more prominent in ambulatory patients and in those not experiencing severe pain.

Drug Interactions

Table 1 includes clinically significant drug interactions with DILAUDID INJECTION. Table 1. Clinically Significant Drug Interactions with DILAUDID INJECTION Benzodiazepines and other Central Nervous System Depressants (CNS) Clinical Impact: Due to additive pharmacologic effect, the concomitant use of benzodiazepines and other CNS depressants, including alcohol, can increase the risk of hypotension, respiratory depression, profound sedation, coma, and death. [see Warnings and Precautions ( 5.3 )] Intervention: Reserve concomitant prescribing of these drugs for use in patients for whom alternative treatment options are inadequate. Limit dosages and durations to the minimum required. Monitor patients closely for signs of respiratory depression and sedation [see Warnings and Precautions ( 5.3 )]. Examples: Benzodiazepines and other sedatives/hypnotics, anxiolytics, tranquilizers, muscle relaxants, general anesthetics, antipsychotics, other opioids, alcohol. Serotonergic Drugs Clinical Impact: The concomitant use of opioids with other drugs that affect the serotonergic neurotransmitter system has resulted in serotonin syndrome. Intervention: If concomitant use is warranted, carefully observe the patient, particularly during treatment initiation and dose adjustment. Discontinue DILAUDID INJECTION if serotonin syndrome is suspected. Examples: Selective serotonin reuptake inhibitors (SSRIs), serotonin and norepinephrine reuptake inhibitors (SNRIs), tricyclic antidepressants (TCAs), triptans, 5-HT3 receptor antagonists, drugs that effect the serotonin neurotransmitter system (e.g., mirtazapine, trazodone, tramadol), certain muscle relaxants (i.e., cyclobenzaprine, metaxalone), monoamine oxidase (MAO) inhibitors (those intended to treat psychiatric disorders and also others, such as linezolid and intravenous methylene blue). Monoamine Oxidase Inhibitors (MAOIs) Clinical Impact: MAOI interactions with opioids may manifest as serotonin syndrome or opioid toxicity (e.g., respiratory depression, coma) [see Warnings and Precautions ( 5.2 )]. If urgent use of an opioid is necessary, use test doses and frequent titration of small doses to treat pain while closely monitoring blood pressure and signs and symptoms of CNS and respiratory depression. Intervention: The use of DILAUDID INJECTION is not recommended for patients taking MAOIs or within 14 days of stopping such treatment. If urgent use of an opioid is necessary, use test doses and frequent titration of small doses while closely monitoring blood pressure and signs and symptoms of CNS and respiratory depression. Examples: phenelzine, tranylcypromine, linezolid Mixed Agonist/Antagonist and Partial Agonist Opioid Analgesics Clinical Impact: May reduce the analgesic effect of DILAUDID INJECTION and/or precipitate withdrawal syndrome. Intervention: Avoid concomitant use. Examples: butorphanol, nalbuphine, pentazocine, buprenorphine Muscle Relaxants Clinical Impact: Hydromorphone may enhance the neuromuscular blocking action of skeletal muscle relaxants and produce an increased degree of respiratory depression. Intervention: Monitor patients for signs of respiratory depression that may be greater than otherwise expected and decrease the dosage of DILAUDID INJECTION and/or the muscle relaxant as necessary. Diuretics Clinical Impact: Opioids can reduce the efficacy of diuretics by inducing the release of antidiuretic hormone. Intervention: Monitor patients for signs of diminished diuresis and/or effects on blood pressure and increase the dosage of the diuretic as needed. Anticholinergic Drugs Clinical Impact: The concomitant use of anticholinergic drugs may increase risk of urinary retention and/or severe constipation, which may lead to paralytic ileus. Intervention: Monitor patients for signs of urinary retention or reduced gastric motility when DILAUDID INJECTION is used concomitantly with anticholinergic drugs.

Storage and Handling

DILAUDID INJECTION (hydromorphone hydrochloride) is supplied in clear and colorless single-dose prefilled syringes. Each single-dose prefilled syringe of sterile, aqueous solution contains 0.2 mg, 0.5 mg, 1 mg or 2 mg hydromorphone hydrochloride with 0.2% sodium citrate and 0.2% citric acid solution. DILAUDID INJECTION contains no added preservative and is supplied as follows: Product Code Unit of Sale Strength Each 771906 NDC 76045-009-06 Unit of 10 0.5 mg/0.5 mL NDC 76045-009-96 0.5 mL single-dose prefilled syringe 771911 NDC 76045-009-11 Unit of 10 1 mg/mL NDC 76045-009-01 1 mL single-dose prefilled syringe 771011 NDC 76045-010-11 Unit of 10 2 mg/mL NDC 76045-010-01 1 mL single-dose prefilled syringe 771311 NDC 76045-121-11 Unit of 10 0.2 mg/mL NDC 76045-121-01 1 mL single-dose prefilled syringe PROTECT FROM LIGHT. Store at 20° to 25°C (68° to 77°F); excursions permitted to 15° to 30°C (59° to 86°F) [See USP Controlled Room Temperature]. Safety and Handling Instructions Discard any unused portion. Access to drugs with a potential for abuse such as DILAUDID INJECTION presents an occupational hazard for addiction in the health care industry. Routine procedures for handling controlled substances developed to protect the public may not be adequate to protect health care workers. Implementation of more effective accounting procedures and measures to restrict access to drugs of this class (appropriate to the practice setting) may minimize the risk of self-administration by health care providers.

How Supplied

DILAUDID INJECTION (hydromorphone hydrochloride) is supplied in clear and colorless single-dose prefilled syringes. Each single-dose prefilled syringe of sterile, aqueous solution contains 0.2 mg, 0.5 mg, 1 mg or 2 mg hydromorphone hydrochloride with 0.2% sodium citrate and 0.2% citric acid solution. DILAUDID INJECTION contains no added preservative and is supplied as follows: Product Code Unit of Sale Strength Each 771906 NDC 76045-009-06 Unit of 10 0.5 mg/0.5 mL NDC 76045-009-96 0.5 mL single-dose prefilled syringe 771911 NDC 76045-009-11 Unit of 10 1 mg/mL NDC 76045-009-01 1 mL single-dose prefilled syringe 771011 NDC 76045-010-11 Unit of 10 2 mg/mL NDC 76045-010-01 1 mL single-dose prefilled syringe 771311 NDC 76045-121-11 Unit of 10 0.2 mg/mL NDC 76045-121-01 1 mL single-dose prefilled syringe PROTECT FROM LIGHT. Store at 20° to 25°C (68° to 77°F); excursions permitted to 15° to 30°C (59° to 86°F) [See USP Controlled Room Temperature]. Safety and Handling Instructions Discard any unused portion. Access to drugs with a potential for abuse such as DILAUDID INJECTION presents an occupational hazard for addiction in the health care industry. Routine procedures for handling controlled substances developed to protect the public may not be adequate to protect health care workers. Implementation of more effective accounting procedures and measures to restrict access to drugs of this class (appropriate to the practice setting) may minimize the risk of self-administration by health care providers.

Description

Boxed Warning                                                                                                                                                            12/2023 Indications and Usage ( 1 )                                                                                                                                            12/2023 Dosage and Administration ( 2.1 , 2.2 , 2.5 )                                                                                                                   12/2023 Warnings and Precautions ( 5.5 )                                                                                                                                   12/2023

Data

Animal Data

Pregnant rats were treated with hydromorphone hydrochloride from Gestation Day 6 to 17 via oral gavage doses of 1, 5, or 10 mg/kg/day (0.4, 2, or 4 times the HDD of 24 mg based on body surface area, respectively). Maternal toxicity was noted in all treatment groups (reduced food consumption and body weights in the two highest dose groups). There was no evidence of malformations or embryotoxicity reported.

Pregnant rabbits were treated with hydromorphone hydrochloride from Gestation Day 7 to 19 via oral gavage doses of 10, 25, or 50 mg/kg/day (8.1, 20.3, or 40.5 times the HDD of 24 mg based on body surface area, respectively). Maternal toxicity was noted in the two highest dose groups (reduced food consumption and body weights). There was no evidence of malformations or embryotoxicity reported.

In a published study, neural tube defects (exencephaly and cranioschisis) were noted following subcutaneous administration of hydromorphone hydrochloride (19 to 258 mg/kg) on Gestation Day 8 to pregnant hamsters (6.4 to 87.2 times the HDD of 24 mg/day based on body surface area). The findings cannot be clearly attributed to maternal toxicity. No neural tube defects were noted at 14 mg/kg (4.7 times the human daily dose of 24 mg/day).

In a published study, CF-1 mice were treated subcutaneously with continuous infusion of 7.5, 15, or 30 mg/kg/day hydromorphone hydrochloride (1.5, 3, or 6.1 times the human daily dose of 24 mg based on body surface area) via implanted osmotic pumps during organogenesis (Gestation Days 7 to 10). Soft tissue malformations (cryptorchidism, cleft palate, malformed ventricles and retina), and skeletal variations (split supraoccipital, checkerboard and split sternebrae, delayed ossification of the paws and ectopic ossification sites) were observed at doses 3 times the human dose of 24 mg/day based on body surface area. The findings cannot be clearly attributed to maternal toxicity.

Increased pup mortality and decreased pup body weights were noted at 0.8 and 2 times the human daily dose of 24 mg in a study in which pregnant rats were treated with hydromorphone hydrochloride from Gestation Day 7 to Lactation Day 20 via oral gavage doses of 0, 0.5, 2, or 5 mg/kg/day (0.2, 0.8, or 2 times the HDD of 24 mg based on body surface area, respectively). Maternal toxicity (decreased food consumption and body weight gain) was also noted at the two highest doses tested.

Section 42229-5

Addiction, Abuse, and Misuse

Because the use of DILAUDID INJECTION exposes patients and other users to the risks of opioid addiction, abuse, and misuse, which can lead to overdose and death, assess each patient's risk prior to prescribing and reassess all patients regularly for the development of these behaviors and conditions [see Warnings and Precautions (5.1)].

Section 43683-2

Boxed Warning                                                                                                                                                            12/2023

Indications and Usage (1)                                                                                                                                            12/2023

Dosage and Administration (2.1, 2.2, 2.5)                                                                                                                   12/2023

Warnings and Precautions (5.5)                                                                                                                                   12/2023

Section 51945-4

PACKAGE LABEL – PRINCIPAL DISPLAY PANEL – Dilaudid 0.5 mL Single-Dose Syringe Label

For SC, IM, or slow IV use. 0.5 mL Single-Dose.

Rx only

Dilaudid® CII

HYDROmorphone HCl

Injection, USP

0.5 mg/0.5 mL

Section 59845-8

INSTRUCTIONS FOR USE

Figure 1: Outer Packaging (MicroVault®) and Prefilled Syringe

NOTES:

  • -
    Do not introduce any other fluid into the syringe at any time.
  • -
    Do not dilute for IV push.
  • -
    Do not re-sterilize the syringe.
  • -
    Do not use this product on a sterile field.
  • -
    This product is for single dose only.
9.2 Abuse

DILAUDID INJECTION contains hydromorphone, a substance with high potential for misuse and abuse, which can lead to the development of substance use disorder, including addiction [see Warnings and Precautions (5.1)].

Misuse is the intentional use, for therapeutic purposes, of a drug by an individual in a way other than prescribed by a healthcare provider or for whom it was not prescribed.

Abuse is the intentional, non-therapeutic use of a drug, even once, for its desirable psychological or physiological effects.

Drug addiction is a cluster of behavioral, cognitive, and physiological phenomena that may include a strong desire to take the drug, difficulties in controlling drug use (e.g., continuing drug use despite harmful consequences, giving a higher priority to drug use than other activities and obligations), and possible tolerance or physical dependence.

Misuse and abuse of DILAUDID INJECTION increases risk of overdose, which may lead to central nervous system and respiratory depression, hypotension, seizures, and death. The risk is increased with concurrent abuse of DILAUDID INJECTION with alcohol and/or other CNS depressants. Abuse of and addiction to opioids in some individuals may not be accompanied by concurrent tolerance and symptoms of physical dependence. In addition, abuse of opioids can occur in the absence of addiction.

All patients treated with opioids require careful and frequent reevaluation for signs of misuse, abuse, and addiction, because use of opioid analgesic products carries the risk of addiction even under appropriate medical use. Patients at high risk of DILAUDID INJECTION abuse include those with a history of prolonged use of any opioid, including products containing hydromorphone, those with a history of drug or alcohol abuse, or those who use DILAUDID INJECTION in combination with other abused drugs.

“Drug-seeking” behavior is very common in persons with substance use disorders. Drug-seeking tactics include emergency calls or visits near the end of office hours, refusal to undergo appropriate examination, testing, or referral, repeated “loss” of prescriptions, tampering with prescriptions, and reluctance to provide prior medical records or contact information for other treating healthcare provider(s). “Doctor shopping” (visiting multiple prescribers to obtain additional prescriptions) is common among people who abuse drugs and people with substance use disorder. Preoccupation with achieving adequate pain relief can be appropriate behavior in a patient with inadequate pain control.

DILAUDID INJECTION, like other opioids, can be diverted for nonmedical use into illicit channels of distribution. Careful record-keeping of prescribing information, including quantity, frequency, and renewal requests, as required by state and federal law, is strongly advised.

Proper assessment of the patient, proper prescribing practices, periodic reevaluation of therapy, and proper dispensing and storage are appropriate measures that help to limit abuse of opioid drugs.

Risks Specific to Abuse of DILAUDID INJECTION

Abuse of DILAUDID INJECTION poses a risk of overdose and death. The risk is increased with concurrent use of DILAUDID INJECTION with alcohol and/or other CNS depressants.

Parenteral drug abuse is commonly associated with transmission of infectious diseases such as hepatitis and HIV.

5.14 Sulfites

DILAUDID INJECTION contains sodium metabisulfite, a sulfite that may cause allergic-type reactions including anaphylactic symptoms and life- threatening or less severe asthmatic episodes in certain susceptible people. The overall prevalence of sulfite sensitivity in the general population is unknown and probably low. Sulfite sensitivity is seen more frequently in asthmatic than in nonasthmatic people.

11 Description

DILAUDID (hydromorphone hydrochloride), a hydrogenated ketone of morphine, is an opioid agonist.

DILAUDID INJECTION is available as a sterile, aqueous solution in clear and colorless single-dose prefilled syringes for slow intravenous, subcutaneous, or intramuscular administration. Each 1 mL of solution contains 0.2 mg, 1 mg or 2 mg of hydromorphone hydrochloride.

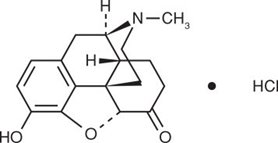
The chemical name of DILAUDID is 4,5α-epoxy-3-hydroxy-17-methylmorphinan-6-one hydrochloride. The molecular weight is 321.80. Its molecular formula is C17H19NO3·HCl, and it has the following chemical structure:

Hydromorphone hydrochloride is a white or almost white crystalline powder that is freely soluble in water, very slightly soluble in ethanol (96%), and practically insoluble in methylene chloride.

The inactive ingredients in DILAUDID (hydromorphone hydrochloride) include: 0.2% sodium citrate and 0.2% citric acid added as a buffer to maintain a pH between 3.5 and 5.5.

9.3 Dependence

Both tolerance and physical dependence can develop during use of opioid therapy.

Tolerance is a physiological state characterized by a reduced response to a drug after repeated administration (i.e., a higher dose of a drug is required to produce the same effect that was once obtained at a lower dose).

Physical dependence is a state that develops as a result of a physiological adaptation in response to repeated drug use, manifested by withdrawal signs and symptoms after abrupt discontinuation or a significant dose reduction of a drug.

Withdrawal may be precipitated through the administration of drugs with opioid antagonist activity (e.g., naloxone), mixed agonist/antagonist analgesics (e.g., pentazocine, butorphanol, nalbuphine), or partial agonists (e.g., buprenorphine). Physical dependence may not occur to a clinically significant degree until after several days to weeks of continued use.

DILAUDID INJECTION should not be abruptly discontinued in a physically-dependent patient [see Dosage and Administration (2.6)]. If DILAUDID INJECTION is abruptly discontinued in a physically-dependent patient, a withdrawal syndrome may occur, typically characterized by restlessness, lacrimation, rhinorrhea, perspiration, chills, myalgia, and mydriasis. Other signs and symptoms also may develop, including irritability, anxiety, backache, joint pain, weakness, abdominal cramps, insomnia, nausea, anorexia, vomiting, diarrhea, or increased blood pressure, respiratory rate, or heart rate.

Infants born to mothers physically dependent on opioids will also be physically dependent and may exhibit respiratory difficulties and withdrawal signs [see Use in Specific Populations (8.1)].

5.12 Withdrawal

Avoid the use of mixed agonist/antagonist (e.g., pentazocine, nalbuphine, and butorphanol) or partial agonist (e.g., buprenorphine) analgesics in patients who are receiving a full opioid agonist analgesic, including DILAUDID INJECTION. In these patients, mixed agonist/antagonist and partial agonist analgesics may reduce the analgesic effect and/or precipitate withdrawal symptoms [see Drug Interactions (7)].

When discontinuing DILAUDID INJECTION in a physically-dependent patient, gradually taper the dosage [see Dosage and Administration (2.6)]. Do not abruptly discontinue DILAUDID INJECTION in these patients [see Drug Abuse and Dependence (9.3)].

8.4 Pediatric Use

The safety and effectiveness of DILAUDID INJECTION in pediatric patients has not been established.

8.5 Geriatric Use

Elderly patients (aged 65 years or older) may have increased sensitivity to hydromorphone. In general, use caution when selecting a dosage for an elderly patient, usually starting at the low end of the dosing range, reflecting the greater frequency of decreased hepatic, renal, or cardiac function and of concomitant disease or other drug therapy.

Respiratory depression is the chief risk for elderly patients treated with opioids, and has occurred after large initial doses were administered to patients who were not opioid-tolerant or when opioids were co-administered with other agents that depress respiration. Titrate the dosage of DILAUDID INJECTION slowly in geriatric patients and monitor closely for signs of central nervous system and respiratory depression [see Warnings and Precautions (5.6)].

Hydromorphone is known to be substantially excreted by the kidney, and the risk of adverse reactions to this drug may be greater in patients with impaired renal function. Because elderly patients are more likely to have decreased renal function, care should be taken in dose selection, and it may be useful to monitor renal function.

4 Contraindications

DILAUDID INJECTION is contraindicated in patients with:

  • Significant respiratory depression [see Warnings and Precautions (5.2)]
  • Acute or severe bronchial asthma in an unmonitored setting or in the absence of resuscitative equipment [see Warnings and Precautions (5.6)]
  • Known or suspected gastrointestinal obstruction, including paralytic ileus [see Warnings and Precautions (5.10)]
  • Hypersensitivity to hydromorphone, hydromorphone salts, any other components of the product, or sulfite containing medications (e.g., anaphylaxis) [see Warnings and Precautions (5.14)]
6 Adverse Reactions

The following serious adverse reactions are described, or described in greater detail, in other sections:

  • Addiction, Abuse, and Misuse [see Warnings and Precautions (5.1)]
  • Life-Threatening Respiratory Depression [see Warnings and Precautions (5.2)]
  • Interactions with Benzodiazepines and Other CNS Depressants [see Warnings and Precautions (5.3)]
  • Neonatal Opioid Withdrawal Syndrome [see Warnings and Precautions (5.4)]
  • Opioid-Induced Hyperalgesia and Allodynia [see Warnings and Precautions (5.5)]
  • Adrenal Insufficiency [see Warnings and Precautions (5.7)]
  • Severe Hypotension [see Warnings and Precautions (5.8)]
  • Gastrointestinal Adverse Reactions [see Warnings and Precautions (5.10)]
  • Seizures [see Warnings and Precautions (5.11)]
  • Withdrawal [see Warnings and Precautions (5.12)]

The following adverse reactions associated with the use of hydromorphone were identified in clinical studies or postmarketing reports. Because some of these reactions were reported voluntarily from a population of uncertain size, it is not always possible to reliably estimate their frequency or establish a causal relationship to drug exposure.

Serious adverse reactions associated with DILAUDID INJECTION include respiratory depression and apnea and, to a lesser degree, circulatory depression, respiratory arrest, shock, and cardiac arrest.

The most common adverse effects are lightheadedness, dizziness, sedation, nausea, vomiting, sweating, flushing, dysphoria, euphoria, dry mouth, and pruritus. These effects seem to be more prominent in ambulatory patients and in those not experiencing severe pain.

7 Drug Interactions

Table 1 includes clinically significant drug interactions with DILAUDID INJECTION.

Table 1. Clinically Significant Drug Interactions with DILAUDID INJECTION

Benzodiazepines and other Central Nervous System Depressants (CNS)

Clinical Impact:

Due to additive pharmacologic effect, the concomitant use of benzodiazepines and other CNS depressants, including alcohol, can increase the risk of hypotension, respiratory depression, profound sedation, coma, and death. [see Warnings and Precautions (5.3)]

Intervention:

Reserve concomitant prescribing of these drugs for use in patients for whom alternative treatment options are inadequate. Limit dosages and durations to the minimum required. Monitor patients closely for signs of respiratory depression and sedation [see Warnings and Precautions (5.3)].

Examples:

Benzodiazepines and other sedatives/hypnotics, anxiolytics, tranquilizers, muscle relaxants, general anesthetics, antipsychotics, other opioids, alcohol.

Serotonergic Drugs

Clinical Impact:

The concomitant use of opioids with other drugs that affect the serotonergic neurotransmitter system has resulted in serotonin syndrome.

Intervention:

If concomitant use is warranted, carefully observe the patient, particularly during treatment initiation and dose adjustment. Discontinue DILAUDID INJECTION if serotonin syndrome is suspected.

Examples:

Selective serotonin reuptake inhibitors (SSRIs), serotonin and norepinephrine reuptake inhibitors (SNRIs), tricyclic antidepressants (TCAs), triptans, 5-HT3 receptor antagonists, drugs that effect the serotonin neurotransmitter system (e.g., mirtazapine, trazodone, tramadol), certain muscle relaxants (i.e., cyclobenzaprine, metaxalone), monoamine oxidase (MAO) inhibitors (those intended to treat psychiatric disorders and also others, such as linezolid and intravenous methylene blue).

Monoamine Oxidase Inhibitors (MAOIs)

Clinical Impact:

MAOI interactions with opioids may manifest as serotonin syndrome or opioid toxicity (e.g., respiratory depression, coma) [see Warnings and Precautions (5.2)].

If urgent use of an opioid is necessary, use test doses and frequent titration of small doses to treat pain while closely monitoring blood pressure and signs and symptoms of CNS and respiratory depression.

Intervention:

The use of DILAUDID INJECTION is not recommended for patients taking MAOIs or within 14 days of stopping such treatment. If urgent use of an opioid is necessary, use test doses and frequent titration of small doses while closely monitoring blood pressure and signs and symptoms of CNS and respiratory depression.

Examples:

phenelzine, tranylcypromine, linezolid

Mixed Agonist/Antagonist and Partial Agonist Opioid Analgesics

Clinical Impact:

May reduce the analgesic effect of DILAUDID INJECTION and/or precipitate withdrawal syndrome.

Intervention:

Avoid concomitant use.

Examples:

butorphanol, nalbuphine, pentazocine, buprenorphine

Muscle Relaxants

Clinical Impact:

Hydromorphone may enhance the neuromuscular blocking action of skeletal muscle relaxants and produce an increased degree of respiratory depression.

Intervention:

Monitor patients for signs of respiratory depression that may be greater than otherwise expected and decrease the dosage of DILAUDID INJECTION and/or the muscle relaxant as necessary.

Diuretics

Clinical Impact:

Opioids can reduce the efficacy of diuretics by inducing the release of antidiuretic hormone.

Intervention:

Monitor patients for signs of diminished diuresis and/or effects on blood pressure and increase the dosage of the diuretic as needed.

Anticholinergic Drugs

Clinical Impact:

The concomitant use of anticholinergic drugs may increase risk of urinary retention and/or severe constipation, which may lead to paralytic ileus.

Intervention:

Monitor patients for signs of urinary retention or reduced gastric motility when DILAUDID INJECTION is used concomitantly with anticholinergic drugs.

8.7 Renal Impairment

The pharmacokinetics of hydromorphone are affected by renal impairment. Start patients with renal impairment on one-fourth to one-half the usual starting dose depending on the degree of impairment. Patients with renal impairment should be closely monitored during dose titration [see Clinical Pharmacology (12.3)].

5.8 Severe Hypotension

DILAUDID INJECTION may cause severe hypotension including orthostatic hypotension and syncope in ambulatory patients. There is increased risk in patients whose ability to maintain blood pressure has already been compromised by a reduced blood volume or concurrent administration of certain CNS depressant drugs (e.g., phenothiazines or general anesthetics) [see Drug Interactions (7)]. Monitor these patients for signs of hypotension after initiating or titrating the dosage of DILAUDID INJECTION. In patients with circulatory shock, DILAUDID INJECTION may cause vasodilation that can further reduce cardiac output and blood pressure. Avoid the use of DILAUDID INJECTION in patients with circulatory shock.

8.6 Hepatic Impairment

The pharmacokinetics of hydromorphone are affected by hepatic impairment. Due to increased exposure of hydromorphone, patients with moderate hepatic impairment should be started at one-fourth to one-half the recommended starting dose depending on the degree of hepatic dysfunction and closely monitored during dose titration. The pharmacokinetics of hydromorphone in patients with severe hepatic impairment has not been studied. A further increase in Cmax and AUC of hydromorphone in this group is expected and should be taken into consideration when selecting a starting dose [see Clinical Pharmacology (12.3)].

1 Indications and Usage

DILAUDID INJECTION is an opioid agonist indicated for the management of pain severe enough to require an opioid analgesic and for which alternate treatments are inadequate. (1)

Limitations of Use: (1)

Because of the risks of addiction, abuse, and misuse with opioids, which can occur at any dosage or duration, reserve Hydromorphone Hydrochloride Injection for use in patients for whom alternative treatment options (e.g., non-opioid analgesics or opioid combination products):

  • Have not been tolerated, or are not expected to be tolerated
  • Have not provided adequate analgesia or are not expected to provide adequate analgesia

DILAUDID INJECTION should not be used for an extended period of time unless the pain remains severe enough to require an opioid analgesic and for which alternative treatment options continue to be inadequate.

Clinical Considerations

Fetal/Neonatal Adverse Reactions

Use of opioid analgesics for an extended period of time during pregnancy for medical or nonmedical purposes can result in physical dependence in the neonate and neonatal opioid withdrawal syndrome shortly after birth.

Neonatal opioid withdrawal syndrome presents as irritability, hyperactivity and abnormal sleep pattern, high pitched cry, tremor, vomiting, diarrhea, and failure to gain weight. The onset, duration, and severity of neonatal opioid withdrawal syndrome vary based on the specific opioid used, duration of use, timing and amount of last maternal use, and rate of elimination of the drug by the newborn. Observe newborns for symptoms of neonatal opioid withdrawal syndrome and manage accordingly [see Warnings and Precautions (5.4)].

Labor or Delivery

Opioids cross the placenta and may produce respiratory depression and psycho-physiologic effects in neonates. An opioid antagonist, such as naloxone, must be available for reversal of opioid-induced respiratory depression in the neonate. DILAUDID INJECTION is not recommended for use in pregnant women during or immediately prior to labor, when other analgesic techniques are more appropriate. Opioid analgesics, including DILAUDID INJECTION, can prolong labor through actions which temporarily reduce the strength, duration, and frequency of uterine contractions. However, this effect is not consistent and may be offset by an increased rate of cervical dilation, which tends to shorten labor.

Monitor neonates exposed to opioid analgesics during labor for signs of excess sedation and respiratory depression.

12.1 Mechanism of Action

Hydromorphone is a full opioid agonist and is relatively selective for the mu-opioid receptor, although it can bind to other opioid receptors at higher doses. The principal therapeutic action of hydromorphone is analgesia. Like all full opioid agonists, there is no ceiling effect for analgesia with morphine. Clinically, dosage is titrated to provide adequate analgesia and may be limited by adverse reactions, including respiratory and CNS depression.

The precise mechanism of the analgesic action is unknown. However, specific CNS opioid receptors for endogenous compounds with opioid-like activity have been identified throughout the brain and spinal cord and are thought to play a role in the analgesic effects of this drug.

9.1 Controlled Substance

DILAUDID INJECTION contains hydromorphone, which is a Schedule II controlled substance.

5.7 Adrenal Insufficiency

Cases of adrenal insufficiency have been reported with opioid use, more often following greater than one month of use. Presentation of adrenal insufficiency may include non-specific symptoms and signs including nausea, vomiting, anorexia, fatigue, weakness, dizziness, and low blood pressure. If adrenal insufficiency is suspected, confirm the diagnosis with diagnostic testing as soon as possible. If adrenal insufficiency is diagnosed, treat with physiologic replacement doses of corticosteroids. Wean the patient off of the opioid to allow adrenal function to recover and continue corticosteroid treatment until adrenal function recovers. Other opioids may be tried as some cases reported use of a different opioid without recurrence of adrenal insufficiency. The information available does not identify any particular opioids as being more likely to be associated with adrenal insufficiency.

5 Warnings and Precautions
  • Opioid-Induced Hyperalgesia and Allodynia: Opioid-Induced Hyperalgesia (OIH) occurs when an opioid analgesic paradoxically causes an increase in pain, or an increase in sensitivity to pain. If OIH is suspected, carefully consider appropriately decreasing the dose of the current opioid analgesic, or opioid rotation. (5.5)
  • Life-Threatening Respiratory Depression in Patients with Chronic Pulmonary Disease or in Elderly, Cachectic, or Debilitated Patients: Monitor closely, particularly during initiation and titration. (5.6)
  • Adrenal Insufficiency: If diagnosed, treat with physiologic replacement of corticosteroids, and wean patient off of the opioid. (5.7)
  • Severe Hypotension: Monitor during dosage initiation and titration. Avoid use of DILAUDID INJECTION in patients with circulatory shock. (5.8)
  • Risks of Use in Patients with Increased Intracranial Pressure, Brain Tumors, Head Injury, or Impaired Consciousness: Monitor for sedation and respiratory depression. Avoid use of DILAUDID INJECTION in patients with impaired consciousness or coma. (5.9)
  • DILAUDID INJECTION contains sodium metabisulfite. There is a risk of anaphylactic symptoms and life-threatening asthmatic episodes in susceptible people. (5.14)
2 Dosage and Administration
  • DILAUDID INJECTION should be prescribed only by healthcare professionals who are knowledgeable about the use of opioids and how to mitigate the associated risks. (2.1)
  • Use the lowest effective dosage for the shortest duration of time consistent with individual patient treatment goals. Reserve titration to higher doses of Hydromorphone Hydrochloride Injection for patients in whom lower doses are insufficiently effective and in whom the expected benefits of using a higher dose opioid clearly outweigh the substantial risks. (2.1, 5)
  • Many acute pain conditions (e.g., the pain that occurs with a number of surgical procedures or acute musculoskeletal injuries) require no more than a few days of an opioid analgesic. Clinical guidelines on opioid prescribing for some acute pain conditions are available. (2.1)
  • Initiate the dosing regimen for each patient individually, taking into account the patient’s underlying cause and severity of pain, prior analgesic treatment and response, and risk factors for addiction, abuse, and misuse. (2.1, 5.1)
  • Respiratory depression can occur at any time during opioid therapy, especially when initiating and following dosage increases with Hydromorphone Hydrochloride Injection. Consider this risk when selecting an initial dose and when making dose adjustments. (2.1, 5.2)
  • Initial Dosage:
    • -
      Intramuscular or Subcutaneous Use: The usual starting dose is 1 mg to 2 mg every 2 to 3 hours as necessary. (2.2)
    • -
      Intravenous Use: The usual starting dose is 0.2 mg to 1 mg every 2 to 3 hours. The injection should be given slowly, over at least 2 to 3 minutes. (2.2)
  • Hepatic Impairment: Initiate treatment with one-fourth to one-half the usual starting dose, depending on degree of hepatic impairment. (2.3)
  • Renal Impairment: Initiate treatment with one-fourth to one-half the usual starting dose, depending on degree of renal impairment. (2.4)
  • Do not abruptly discontinue DILAUDID INJECTION in a physically-dependent patient. ( 2.6 , 5.12 )
3 Dosage Forms and Strengths

DILAUDID INJECTION:

Each single-dose prefilled syringe contains 0.2 mg/mL, 0.5 mg/0.5 mL, 1 mg/mL or 2 mg/mL of hydromorphone hydrochloride in a sterile, aqueous solution.

8 Use in Specific Populations
  • Pregnancy: May cause fetal harm. (8.1)
5.1 Addiction, Abuse, and Misuse

DILAUDID INJECTION contains hydromorphone, a Schedule II controlled substance. As an opioid, DILAUDID INJECTION exposes users to the risks of addiction, abuse, and misuse [see Drug Abuse and Dependence (9)].

Although the risk of addiction in any individual is unknown, it can occur in patients appropriately prescribed DILAUDID INJECTION. Addiction can occur at recommended dosages and if the drug is misused or abused.

Assess each patient's risk for opioid addiction, abuse, or misuse prior to prescribing DILAUDID INJECTION and monitor all patients receiving DILAUDID INJECTION for the development of these behaviors and conditions. Risks are increased in patients with a personal or family history of substance abuse (including drug or alcohol abuse or addiction) or mental illness (e.g., major depression). The potential for these risks should not, however, prevent the proper management of pain in any given patient. Patients at increased risk may be prescribed opioids such as DILAUDID INJECTION but use in such patients necessitates intensive counseling about the risks and proper use of DILAUDID INJECTION along with intensive monitoring for signs of addiction, abuse, and misuse.

Opioids are sought for nonmedical use and are subject to diversion from legitimate prescribed use. Consider these risks when prescribing or dispensing DILAUDID INJECTION. Strategies to reduce these risks include prescribing the drug in the smallest appropriate quantity. Contact local state professional licensing board or state-controlled substances authority for information on how to prevent and detect abuse or diversion of this product.

16 How Supplied/storage and Handling

DILAUDID INJECTION (hydromorphone hydrochloride) is supplied in clear and colorless single-dose prefilled syringes. Each single-dose prefilled syringe of sterile, aqueous solution contains 0.2 mg, 0.5 mg, 1 mg or 2 mg hydromorphone hydrochloride with 0.2% sodium citrate and 0.2% citric acid solution.

DILAUDID INJECTION contains no added preservative and is supplied as follows:

Product Code

Unit of Sale

Strength

Each

771906

NDC 76045-009-06

Unit of 10

0.5 mg/0.5 mL

NDC 76045-009-96

0.5 mL single-dose prefilled syringe

771911

NDC 76045-009-11

Unit of 10

1 mg/mL

NDC 76045-009-01

1 mL single-dose prefilled syringe

771011

NDC 76045-010-11

Unit of 10

2 mg/mL

NDC 76045-010-01

1 mL single-dose prefilled syringe

771311

NDC 76045-121-11

Unit of 10

0.2 mg/mL

NDC 76045-121-01

1 mL single-dose prefilled syringe

PROTECT FROM LIGHT.

Store at 20° to 25°C (68° to 77°F); excursions permitted to 15° to 30°C (59° to 86°F) [See USP Controlled Room Temperature].

Safety and Handling Instructions

Discard any unused portion.

Access to drugs with a potential for abuse such as DILAUDID INJECTION presents an occupational hazard for addiction in the health care industry. Routine procedures for handling controlled substances developed to protect the public may not be adequate to protect health care workers.

Implementation of more effective accounting procedures and measures to restrict access to drugs of this class (appropriate to the practice setting) may minimize the risk of self-administration by health care providers.

5.4 Neonatal Opioid Withdrawal Syndrome

Use of Hydromorphone Hydrochloride Injection for an extended period of time during pregnancy can result in withdrawal in the neonate. Neonatal opioid withdrawal syndrome, unlike opioid withdrawal syndrome in adults, may be life-threatening if not recognized and treated, and requires management according to protocols developed by neonatology experts. Observe newborns for signs of neonatal opioid withdrawal syndrome and manage accordingly. Advise pregnant women using opioids for an extended period of time of the risk of neonatal opioid withdrawal syndrome and ensure that management by neonatology experts will be available at delivery [see Use in Specific Populations (8.1)].

2.5 Titration and Maintenance of Therapy

Titrate the dose based upon the individual patient’s response to their initial dose of DILAUDID INJECTION. Individually titrate DILAUDID INJECTION to a dose that provides adequate analgesia and minimizes adverse reactions. Continually reevaluate patients receiving DILAUDID INJECTION to assess the maintenance of pain control, signs and symptoms of opioid withdrawal, and other adverse reactions, as well as monitoring for the development of addiction, abuse, or misuse [see Warnings and Precautions (5.1, 5.12)]. Frequent communication is important among the prescriber, other members of the healthcare team, the patient, and the caregiver/family during periods of changing analgesic requirements, including initial titration.

If the level of pain increases after dosage stabilization, attempt to identify the source of increased pain before increasing the DILAUDID INJECTION dosage. If after increasing the dosage, unacceptable opioid-related adverse reactions are observed (including an increase in pain after a dosage increase), consider reducing the dosage [see Warnings and Precautions (5)]. Adjust the dosage to obtain an appropriate balance between management of pain and opioid-related adverse reactions.

5.2 Life Threatening Respiratory Depression

Serious, life-threatening, or fatal respiratory depression has been reported with the use of opioids, even when used as recommended. Respiratory depression, if not immediately recognized and treated, may lead to respiratory arrest and death. Management of respiratory depression may include close observation, supportive measures, and use of opioid antagonists, depending on the patient's clinical status [see Overdosage (10)]. Carbon dioxide (CO2) retention from opioid-induced respiratory depression can exacerbate the sedating effects of opioids.

While serious, life-threatening, or fatal respiratory depression can occur at any time during the use of DILAUDID INJECTION, the risk is greatest during the initiation of therapy or following a dosage increase.

To reduce the risk of respiratory depression, proper dosing and titration of DILAUDID INJECTION is essential [see Dosage and Administration (2)]. Overestimating the DILAUDID INJECTION dosage when converting patients from another opioid product can result in a fatal overdose with the first dose.

Opioids can cause sleep-related breathing disorders including central sleep apnea (CSA) and sleep-related hypoxemia. Opioid use increases the risk of CSA in a dose-dependent fashion. In patients who present with CSA, consider decreasing the opioid dosage using best practices for opioid taper [see Dosage and Administration (2.6)].

5.13 Risks of Driving and Operating Machinery

DILAUDID INJECTION may impair the mental or physical abilities needed to perform potentially hazardous activities such as driving a car or operating machinery. Warn patients not to drive or operate dangerous machinery unless they are tolerant to the effects of DILAUDID INJECTION and know how they will react to the medication.

2.1 Important Dosage and Administration Instructions
  • DILAUDID INJECTION should be prescribed only by healthcare professionals who are knowledgeable about the use of opioids and how to mitigate the associated risks.
  • Use the lowest effective dosage for the shortest duration of time consistent with individual patient treatment goals [see Warnings and Precautions (5)]. Because the risk of overdose increases as opioid doses increase, reserve titration to higher doses of DILAUDID INJECTION for patients in whom lower doses are insufficiently effective and in whom the expected benefits of using a higher dose opioid clearly outweigh the substantial risks.
  • Many acute pain conditions (e.g., the pain that occurs with a number of surgical procedures or acute musculoskeletal injuries) require no more than a few days of an opioid analgesic. Clinical guidelines on opioid prescribing for some acute pain conditions are available.
  • There is variability in the opioid analgesic dose and duration needed to adequately manage pain due both to the cause of pain and to individual patient factors. Initiate the dosing regimen for each patient individually, taking into account the patient’s underlying cause and severity of pain, prior analgesic treatment and response, and risk factors for addiction, abuse, and misuse [see Warnings and Precautions (5.1)].
  • Respiratory depression can occur at any time during opioid therapy, especially when initiating and following dosage increases with DILAUDID INJECTION. Consider this risk when selecting an initial dose and when making dose adjustments [see Warnings and Precautions (5)].
  • Inspect parenteral drug products visually for particulate matter and discoloration prior to administration, whenever solution and container permit. A slight yellowish discoloration may develop in DILAUDID INJECTION. No loss of potency has been demonstrated. DILAUDID INJECTION is physically compatible and chemically stable for at least 24 hours at 25°C, protected from light in most common large-volume parenteral solutions.
  • Discard any unused portion in an appropriate manner.
2.4 Dosage Modifications in Patients With Renal Impairment

Start patients with renal impairment on one-fourth to one-half the usual DILAUDID INJECTION starting dose depending on the degree of impairment [see Clinical Pharmacology (12.3)].

2.6 Safe Reduction Or Discontinuation of Dilaudid Injection

When a patient who has been taking DILAUDID INJECTION regularly and may be physically dependent no longer requires therapy with DILAUDID INJECTION, taper the dose gradually, by 25% to 50% every 2 to 4 days, while monitoring carefully for signs and symptoms of withdrawal. If the patient develops these signs or symptoms, raise the dose to the previous level and taper more slowly, either by increasing the interval between decreases, decreasing the amount of change in dose, or both. Do not abruptly discontinue DILAUDID INJECTION in a physically-dependent patient [see Warnings and Precautions (5.12), Drug Abuse and Dependence (9.3)].

2.3 Dosage Modifications in Patients With Hepatic Impairment

Start patients with hepatic impairment on one-fourth to one-half the usual DILAUDID INJECTION starting dose depending on the extent of impairment [see Clinical Pharmacology (12.3)].

5.10 Risks of Use in Patients With Gastrointestinal Conditions

DILAUDID INJECTION is contraindicated in patients with known or suspected gastrointestinal obstruction, including paralytic ileus.

The hydromorphone in DILAUDID INJECTION may cause spasm of the sphincter of Oddi. Opioids may cause increases in serum amylase. Monitor patients with biliary tract disease, including acute pancreatitis, for worsening symptoms.

5.11 Increased Risk of Seizures in Patients With Seizure Disorders

The hydromorphone in DILAUDID INJECTION may increase the frequency of seizures in patients with seizure disorders and may increase the risk of seizures occurring in other clinical settings associated with seizures. Monitor patients with a history of seizure disorders for worsened seizure control during DILAUDID INJECTION therapy.

Warning: Serious and Life Threatening Risks From Use of Dilaudid Injection

WARNING: SERIOUS AND LIFE-THREATENING RISKS FROM USE OF DILAUDID INJECTION

See full prescribing information for complete boxed warning.

  • DILAUDID INJECTION exposes users to risks of addiction, abuse, and misuse, which can lead to overdose and death. Assess patient's risk before prescribing and reassess regularly for these behaviors and conditions. (5.1)
  • Serious, life-threatening, or fatal respiratory depression may occur. Monitor closely, especially upon initiation or following a dosage increase. To reduce the risk of respiratory depression, proper dosing and titration of DILAUDID INJECTION are essential. (5.2)
  • Concomitant use of opioids with benzodiazepines or other central nervous system (CNS) depressants, including alcohol, may result in profound sedation, respiratory depression, coma, and death. Reserve concomitant prescribing for use in patients for whom alternative treatment options are inadequate. (5.3, 7).
  • If opioid use is required for an extended period of time in a pregnant woman, advise the patient of the risk of Neonatal Opioid Withdrawal Syndrome, which may be life-threatening if not recognized and treated. Ensure that management by neonatology experts will be available at delivery. (5.4).
5.3 Risks From Concomitant Use With Benzodiazepines Or Other Cns Depressants

Profound sedation, respiratory depression, coma, and death may result from the concomitant use of DILAUDID INJECTION with benzodiazepines and/or other CNS depressants, including alcohol (e.g., non-benzodiazepine sedatives/hypnotics, anxiolytics, tranquilizers, muscle relaxants, general anesthetics, antipsychotics, other opioids). Because of these risks, reserve concomitant prescribing of these drugs for use in patients for whom alternative treatment options are inadequate.

Observational studies have demonstrated that concomitant use of opioid analgesics and benzodiazepines increases the risk of drug-related mortality compared to use of opioid analgesics alone. Because of similar pharmacological properties, it is reasonable to expect similar risk with the concomitant use of other CNS depressant drugs with opioid analgesics [see Drug Interactions (7)].

If the decision is made to prescribe a benzodiazepine or other CNS depressant concomitantly with an opioid analgesic, prescribe the lowest effective dosages and minimum durations of concomitant use. In patients already receiving an opioid analgesic, prescribe a lower initial dose of the benzodiazepine or other CNS depressant than indicated in the absence of an opioid, and titrate based on clinical response. If an opioid analgesic is initiated in a patient already taking a benzodiazepine or other CNS depressant, prescribe a lower initial dose of the opioid analgesic, and titrate based on clinical response. Monitor patients closely for signs and symptoms of respiratory depression and sedation.

5.15 Increased Risk of Hypotension and Respiratory Depression With Rapid Intravenous Administration

DILAUDID INJECTION may be given intravenously, but the injection should be given very slowly. Rapid intravenous injection of opioid analgesics increases the possibility of side effects such as hypotension and respiratory depression [see Dosage and Administration (2)].

5.9 Risks of Use in Patients With Increased Intracranial Pressure, Brain Tumors, Head Injury, Or Impaired Consciousness

In patients who may be susceptible to the intracranial effects of CO2 retention (e.g., those with evidence of increased intracranial pressure or brain tumors), DILAUDID INJECTION may reduce respiratory drive, and the resultant CO2 retention can further increase intracranial pressure. Monitor such patients for signs of sedation and respiratory depression, particularly when initiating therapy with DILAUDID INJECTION.

Opioids may also obscure the clinical course in a patient with a head injury. Avoid the use of DILAUDID INJECTION in patients with impaired consciousness or coma.

5.6 Life Threatening Respiratory Depression in Patients With Chronic Pulmonary Disease Or in Elderly, Cachectic, Or Debilitated Patients

The use of DILAUDID INJECTION in patients with acute or severe bronchial asthma in an unmonitored setting or in the absence of resuscitative equipment is contraindicated.

Patients with Chronic Pulmonary Disease: DILAUDID INJECTION treated patients with significant chronic obstructive pulmonary disease or cor pulmonale, and those with a substantially decreased respiratory reserve, hypoxia, hypercapnia, or pre-existing respiratory depression are at increased risk of decreased respiratory drive including apnea, even at recommended dosages of DILAUDID INJECTION [see Warnings and Precautions (5.2)].

Elderly, Cachectic, or Debilitated Patients: Life-threatening respiratory depression is more likely to occur in elderly, cachectic, or debilitated patients because they may have altered pharmacokinetics or altered clearance compared to younger, healthier patients [see Warnings and Precautions (5.2)].

Monitor such patients closely, particularly when initiating and titrating DILAUDID INJECTION and when DILAUDID INJECTION is given concomitantly with other drugs that depress respiration [see Warnings and Precautions (5.2, 5.3), Drug Interactions (7)]. Alternatively, consider the use of non-opioid analgesics in these patients.


Structured Label Content

Data

Animal Data

Pregnant rats were treated with hydromorphone hydrochloride from Gestation Day 6 to 17 via oral gavage doses of 1, 5, or 10 mg/kg/day (0.4, 2, or 4 times the HDD of 24 mg based on body surface area, respectively). Maternal toxicity was noted in all treatment groups (reduced food consumption and body weights in the two highest dose groups). There was no evidence of malformations or embryotoxicity reported.

Pregnant rabbits were treated with hydromorphone hydrochloride from Gestation Day 7 to 19 via oral gavage doses of 10, 25, or 50 mg/kg/day (8.1, 20.3, or 40.5 times the HDD of 24 mg based on body surface area, respectively). Maternal toxicity was noted in the two highest dose groups (reduced food consumption and body weights). There was no evidence of malformations or embryotoxicity reported.

In a published study, neural tube defects (exencephaly and cranioschisis) were noted following subcutaneous administration of hydromorphone hydrochloride (19 to 258 mg/kg) on Gestation Day 8 to pregnant hamsters (6.4 to 87.2 times the HDD of 24 mg/day based on body surface area). The findings cannot be clearly attributed to maternal toxicity. No neural tube defects were noted at 14 mg/kg (4.7 times the human daily dose of 24 mg/day).

In a published study, CF-1 mice were treated subcutaneously with continuous infusion of 7.5, 15, or 30 mg/kg/day hydromorphone hydrochloride (1.5, 3, or 6.1 times the human daily dose of 24 mg based on body surface area) via implanted osmotic pumps during organogenesis (Gestation Days 7 to 10). Soft tissue malformations (cryptorchidism, cleft palate, malformed ventricles and retina), and skeletal variations (split supraoccipital, checkerboard and split sternebrae, delayed ossification of the paws and ectopic ossification sites) were observed at doses 3 times the human dose of 24 mg/day based on body surface area. The findings cannot be clearly attributed to maternal toxicity.

Increased pup mortality and decreased pup body weights were noted at 0.8 and 2 times the human daily dose of 24 mg in a study in which pregnant rats were treated with hydromorphone hydrochloride from Gestation Day 7 to Lactation Day 20 via oral gavage doses of 0, 0.5, 2, or 5 mg/kg/day (0.2, 0.8, or 2 times the HDD of 24 mg based on body surface area, respectively). Maternal toxicity (decreased food consumption and body weight gain) was also noted at the two highest doses tested.

Section 42229-5 (42229-5)

Addiction, Abuse, and Misuse

Because the use of DILAUDID INJECTION exposes patients and other users to the risks of opioid addiction, abuse, and misuse, which can lead to overdose and death, assess each patient's risk prior to prescribing and reassess all patients regularly for the development of these behaviors and conditions [see Warnings and Precautions (5.1)].

Section 43683-2 (43683-2)

Boxed Warning                                                                                                                                                            12/2023

Indications and Usage (1)                                                                                                                                            12/2023

Dosage and Administration (2.1, 2.2, 2.5)                                                                                                                   12/2023

Warnings and Precautions (5.5)                                                                                                                                   12/2023

Section 51945-4 (51945-4)

PACKAGE LABEL – PRINCIPAL DISPLAY PANEL – Dilaudid 0.5 mL Single-Dose Syringe Label

For SC, IM, or slow IV use. 0.5 mL Single-Dose.

Rx only

Dilaudid® CII

HYDROmorphone HCl

Injection, USP

0.5 mg/0.5 mL

Section 59845-8 (59845-8)

INSTRUCTIONS FOR USE

Figure 1: Outer Packaging (MicroVault®) and Prefilled Syringe

NOTES:

  • -
    Do not introduce any other fluid into the syringe at any time.
  • -
    Do not dilute for IV push.
  • -
    Do not re-sterilize the syringe.
  • -
    Do not use this product on a sterile field.
  • -
    This product is for single dose only.
9.2 Abuse

DILAUDID INJECTION contains hydromorphone, a substance with high potential for misuse and abuse, which can lead to the development of substance use disorder, including addiction [see Warnings and Precautions (5.1)].

Misuse is the intentional use, for therapeutic purposes, of a drug by an individual in a way other than prescribed by a healthcare provider or for whom it was not prescribed.

Abuse is the intentional, non-therapeutic use of a drug, even once, for its desirable psychological or physiological effects.

Drug addiction is a cluster of behavioral, cognitive, and physiological phenomena that may include a strong desire to take the drug, difficulties in controlling drug use (e.g., continuing drug use despite harmful consequences, giving a higher priority to drug use than other activities and obligations), and possible tolerance or physical dependence.

Misuse and abuse of DILAUDID INJECTION increases risk of overdose, which may lead to central nervous system and respiratory depression, hypotension, seizures, and death. The risk is increased with concurrent abuse of DILAUDID INJECTION with alcohol and/or other CNS depressants. Abuse of and addiction to opioids in some individuals may not be accompanied by concurrent tolerance and symptoms of physical dependence. In addition, abuse of opioids can occur in the absence of addiction.

All patients treated with opioids require careful and frequent reevaluation for signs of misuse, abuse, and addiction, because use of opioid analgesic products carries the risk of addiction even under appropriate medical use. Patients at high risk of DILAUDID INJECTION abuse include those with a history of prolonged use of any opioid, including products containing hydromorphone, those with a history of drug or alcohol abuse, or those who use DILAUDID INJECTION in combination with other abused drugs.

“Drug-seeking” behavior is very common in persons with substance use disorders. Drug-seeking tactics include emergency calls or visits near the end of office hours, refusal to undergo appropriate examination, testing, or referral, repeated “loss” of prescriptions, tampering with prescriptions, and reluctance to provide prior medical records or contact information for other treating healthcare provider(s). “Doctor shopping” (visiting multiple prescribers to obtain additional prescriptions) is common among people who abuse drugs and people with substance use disorder. Preoccupation with achieving adequate pain relief can be appropriate behavior in a patient with inadequate pain control.

DILAUDID INJECTION, like other opioids, can be diverted for nonmedical use into illicit channels of distribution. Careful record-keeping of prescribing information, including quantity, frequency, and renewal requests, as required by state and federal law, is strongly advised.

Proper assessment of the patient, proper prescribing practices, periodic reevaluation of therapy, and proper dispensing and storage are appropriate measures that help to limit abuse of opioid drugs.

Risks Specific to Abuse of DILAUDID INJECTION

Abuse of DILAUDID INJECTION poses a risk of overdose and death. The risk is increased with concurrent use of DILAUDID INJECTION with alcohol and/or other CNS depressants.

Parenteral drug abuse is commonly associated with transmission of infectious diseases such as hepatitis and HIV.

5.14 Sulfites

DILAUDID INJECTION contains sodium metabisulfite, a sulfite that may cause allergic-type reactions including anaphylactic symptoms and life- threatening or less severe asthmatic episodes in certain susceptible people. The overall prevalence of sulfite sensitivity in the general population is unknown and probably low. Sulfite sensitivity is seen more frequently in asthmatic than in nonasthmatic people.

11 Description (11 DESCRIPTION)

DILAUDID (hydromorphone hydrochloride), a hydrogenated ketone of morphine, is an opioid agonist.

DILAUDID INJECTION is available as a sterile, aqueous solution in clear and colorless single-dose prefilled syringes for slow intravenous, subcutaneous, or intramuscular administration. Each 1 mL of solution contains 0.2 mg, 1 mg or 2 mg of hydromorphone hydrochloride.

The chemical name of DILAUDID is 4,5α-epoxy-3-hydroxy-17-methylmorphinan-6-one hydrochloride. The molecular weight is 321.80. Its molecular formula is C17H19NO3·HCl, and it has the following chemical structure:

Hydromorphone hydrochloride is a white or almost white crystalline powder that is freely soluble in water, very slightly soluble in ethanol (96%), and practically insoluble in methylene chloride.

The inactive ingredients in DILAUDID (hydromorphone hydrochloride) include: 0.2% sodium citrate and 0.2% citric acid added as a buffer to maintain a pH between 3.5 and 5.5.

9.3 Dependence

Both tolerance and physical dependence can develop during use of opioid therapy.

Tolerance is a physiological state characterized by a reduced response to a drug after repeated administration (i.e., a higher dose of a drug is required to produce the same effect that was once obtained at a lower dose).

Physical dependence is a state that develops as a result of a physiological adaptation in response to repeated drug use, manifested by withdrawal signs and symptoms after abrupt discontinuation or a significant dose reduction of a drug.

Withdrawal may be precipitated through the administration of drugs with opioid antagonist activity (e.g., naloxone), mixed agonist/antagonist analgesics (e.g., pentazocine, butorphanol, nalbuphine), or partial agonists (e.g., buprenorphine). Physical dependence may not occur to a clinically significant degree until after several days to weeks of continued use.

DILAUDID INJECTION should not be abruptly discontinued in a physically-dependent patient [see Dosage and Administration (2.6)]. If DILAUDID INJECTION is abruptly discontinued in a physically-dependent patient, a withdrawal syndrome may occur, typically characterized by restlessness, lacrimation, rhinorrhea, perspiration, chills, myalgia, and mydriasis. Other signs and symptoms also may develop, including irritability, anxiety, backache, joint pain, weakness, abdominal cramps, insomnia, nausea, anorexia, vomiting, diarrhea, or increased blood pressure, respiratory rate, or heart rate.

Infants born to mothers physically dependent on opioids will also be physically dependent and may exhibit respiratory difficulties and withdrawal signs [see Use in Specific Populations (8.1)].

5.12 Withdrawal

Avoid the use of mixed agonist/antagonist (e.g., pentazocine, nalbuphine, and butorphanol) or partial agonist (e.g., buprenorphine) analgesics in patients who are receiving a full opioid agonist analgesic, including DILAUDID INJECTION. In these patients, mixed agonist/antagonist and partial agonist analgesics may reduce the analgesic effect and/or precipitate withdrawal symptoms [see Drug Interactions (7)].

When discontinuing DILAUDID INJECTION in a physically-dependent patient, gradually taper the dosage [see Dosage and Administration (2.6)]. Do not abruptly discontinue DILAUDID INJECTION in these patients [see Drug Abuse and Dependence (9.3)].

8.4 Pediatric Use

The safety and effectiveness of DILAUDID INJECTION in pediatric patients has not been established.

8.5 Geriatric Use

Elderly patients (aged 65 years or older) may have increased sensitivity to hydromorphone. In general, use caution when selecting a dosage for an elderly patient, usually starting at the low end of the dosing range, reflecting the greater frequency of decreased hepatic, renal, or cardiac function and of concomitant disease or other drug therapy.

Respiratory depression is the chief risk for elderly patients treated with opioids, and has occurred after large initial doses were administered to patients who were not opioid-tolerant or when opioids were co-administered with other agents that depress respiration. Titrate the dosage of DILAUDID INJECTION slowly in geriatric patients and monitor closely for signs of central nervous system and respiratory depression [see Warnings and Precautions (5.6)].

Hydromorphone is known to be substantially excreted by the kidney, and the risk of adverse reactions to this drug may be greater in patients with impaired renal function. Because elderly patients are more likely to have decreased renal function, care should be taken in dose selection, and it may be useful to monitor renal function.

4 Contraindications (4 CONTRAINDICATIONS)

DILAUDID INJECTION is contraindicated in patients with:

  • Significant respiratory depression [see Warnings and Precautions (5.2)]
  • Acute or severe bronchial asthma in an unmonitored setting or in the absence of resuscitative equipment [see Warnings and Precautions (5.6)]
  • Known or suspected gastrointestinal obstruction, including paralytic ileus [see Warnings and Precautions (5.10)]
  • Hypersensitivity to hydromorphone, hydromorphone salts, any other components of the product, or sulfite containing medications (e.g., anaphylaxis) [see Warnings and Precautions (5.14)]
6 Adverse Reactions (6 ADVERSE REACTIONS)

The following serious adverse reactions are described, or described in greater detail, in other sections:

  • Addiction, Abuse, and Misuse [see Warnings and Precautions (5.1)]
  • Life-Threatening Respiratory Depression [see Warnings and Precautions (5.2)]
  • Interactions with Benzodiazepines and Other CNS Depressants [see Warnings and Precautions (5.3)]
  • Neonatal Opioid Withdrawal Syndrome [see Warnings and Precautions (5.4)]
  • Opioid-Induced Hyperalgesia and Allodynia [see Warnings and Precautions (5.5)]
  • Adrenal Insufficiency [see Warnings and Precautions (5.7)]
  • Severe Hypotension [see Warnings and Precautions (5.8)]
  • Gastrointestinal Adverse Reactions [see Warnings and Precautions (5.10)]
  • Seizures [see Warnings and Precautions (5.11)]
  • Withdrawal [see Warnings and Precautions (5.12)]

The following adverse reactions associated with the use of hydromorphone were identified in clinical studies or postmarketing reports. Because some of these reactions were reported voluntarily from a population of uncertain size, it is not always possible to reliably estimate their frequency or establish a causal relationship to drug exposure.

Serious adverse reactions associated with DILAUDID INJECTION include respiratory depression and apnea and, to a lesser degree, circulatory depression, respiratory arrest, shock, and cardiac arrest.

The most common adverse effects are lightheadedness, dizziness, sedation, nausea, vomiting, sweating, flushing, dysphoria, euphoria, dry mouth, and pruritus. These effects seem to be more prominent in ambulatory patients and in those not experiencing severe pain.

7 Drug Interactions (7 DRUG INTERACTIONS)

Table 1 includes clinically significant drug interactions with DILAUDID INJECTION.

Table 1. Clinically Significant Drug Interactions with DILAUDID INJECTION

Benzodiazepines and other Central Nervous System Depressants (CNS)

Clinical Impact:

Due to additive pharmacologic effect, the concomitant use of benzodiazepines and other CNS depressants, including alcohol, can increase the risk of hypotension, respiratory depression, profound sedation, coma, and death. [see Warnings and Precautions (5.3)]

Intervention:

Reserve concomitant prescribing of these drugs for use in patients for whom alternative treatment options are inadequate. Limit dosages and durations to the minimum required. Monitor patients closely for signs of respiratory depression and sedation [see Warnings and Precautions (5.3)].

Examples:

Benzodiazepines and other sedatives/hypnotics, anxiolytics, tranquilizers, muscle relaxants, general anesthetics, antipsychotics, other opioids, alcohol.

Serotonergic Drugs

Clinical Impact:

The concomitant use of opioids with other drugs that affect the serotonergic neurotransmitter system has resulted in serotonin syndrome.

Intervention:

If concomitant use is warranted, carefully observe the patient, particularly during treatment initiation and dose adjustment. Discontinue DILAUDID INJECTION if serotonin syndrome is suspected.

Examples:

Selective serotonin reuptake inhibitors (SSRIs), serotonin and norepinephrine reuptake inhibitors (SNRIs), tricyclic antidepressants (TCAs), triptans, 5-HT3 receptor antagonists, drugs that effect the serotonin neurotransmitter system (e.g., mirtazapine, trazodone, tramadol), certain muscle relaxants (i.e., cyclobenzaprine, metaxalone), monoamine oxidase (MAO) inhibitors (those intended to treat psychiatric disorders and also others, such as linezolid and intravenous methylene blue).

Monoamine Oxidase Inhibitors (MAOIs)

Clinical Impact:

MAOI interactions with opioids may manifest as serotonin syndrome or opioid toxicity (e.g., respiratory depression, coma) [see Warnings and Precautions (5.2)].

If urgent use of an opioid is necessary, use test doses and frequent titration of small doses to treat pain while closely monitoring blood pressure and signs and symptoms of CNS and respiratory depression.

Intervention:

The use of DILAUDID INJECTION is not recommended for patients taking MAOIs or within 14 days of stopping such treatment. If urgent use of an opioid is necessary, use test doses and frequent titration of small doses while closely monitoring blood pressure and signs and symptoms of CNS and respiratory depression.

Examples:

phenelzine, tranylcypromine, linezolid

Mixed Agonist/Antagonist and Partial Agonist Opioid Analgesics

Clinical Impact:

May reduce the analgesic effect of DILAUDID INJECTION and/or precipitate withdrawal syndrome.

Intervention:

Avoid concomitant use.

Examples:

butorphanol, nalbuphine, pentazocine, buprenorphine

Muscle Relaxants

Clinical Impact:

Hydromorphone may enhance the neuromuscular blocking action of skeletal muscle relaxants and produce an increased degree of respiratory depression.

Intervention:

Monitor patients for signs of respiratory depression that may be greater than otherwise expected and decrease the dosage of DILAUDID INJECTION and/or the muscle relaxant as necessary.

Diuretics

Clinical Impact:

Opioids can reduce the efficacy of diuretics by inducing the release of antidiuretic hormone.

Intervention:

Monitor patients for signs of diminished diuresis and/or effects on blood pressure and increase the dosage of the diuretic as needed.

Anticholinergic Drugs

Clinical Impact:

The concomitant use of anticholinergic drugs may increase risk of urinary retention and/or severe constipation, which may lead to paralytic ileus.

Intervention:

Monitor patients for signs of urinary retention or reduced gastric motility when DILAUDID INJECTION is used concomitantly with anticholinergic drugs.

8.7 Renal Impairment

The pharmacokinetics of hydromorphone are affected by renal impairment. Start patients with renal impairment on one-fourth to one-half the usual starting dose depending on the degree of impairment. Patients with renal impairment should be closely monitored during dose titration [see Clinical Pharmacology (12.3)].

5.8 Severe Hypotension

DILAUDID INJECTION may cause severe hypotension including orthostatic hypotension and syncope in ambulatory patients. There is increased risk in patients whose ability to maintain blood pressure has already been compromised by a reduced blood volume or concurrent administration of certain CNS depressant drugs (e.g., phenothiazines or general anesthetics) [see Drug Interactions (7)]. Monitor these patients for signs of hypotension after initiating or titrating the dosage of DILAUDID INJECTION. In patients with circulatory shock, DILAUDID INJECTION may cause vasodilation that can further reduce cardiac output and blood pressure. Avoid the use of DILAUDID INJECTION in patients with circulatory shock.

8.6 Hepatic Impairment

The pharmacokinetics of hydromorphone are affected by hepatic impairment. Due to increased exposure of hydromorphone, patients with moderate hepatic impairment should be started at one-fourth to one-half the recommended starting dose depending on the degree of hepatic dysfunction and closely monitored during dose titration. The pharmacokinetics of hydromorphone in patients with severe hepatic impairment has not been studied. A further increase in Cmax and AUC of hydromorphone in this group is expected and should be taken into consideration when selecting a starting dose [see Clinical Pharmacology (12.3)].

1 Indications and Usage (1 INDICATIONS AND USAGE)

DILAUDID INJECTION is an opioid agonist indicated for the management of pain severe enough to require an opioid analgesic and for which alternate treatments are inadequate. (1)

Limitations of Use: (1)

Because of the risks of addiction, abuse, and misuse with opioids, which can occur at any dosage or duration, reserve Hydromorphone Hydrochloride Injection for use in patients for whom alternative treatment options (e.g., non-opioid analgesics or opioid combination products):

  • Have not been tolerated, or are not expected to be tolerated
  • Have not provided adequate analgesia or are not expected to provide adequate analgesia

DILAUDID INJECTION should not be used for an extended period of time unless the pain remains severe enough to require an opioid analgesic and for which alternative treatment options continue to be inadequate.

Clinical Considerations

Fetal/Neonatal Adverse Reactions

Use of opioid analgesics for an extended period of time during pregnancy for medical or nonmedical purposes can result in physical dependence in the neonate and neonatal opioid withdrawal syndrome shortly after birth.

Neonatal opioid withdrawal syndrome presents as irritability, hyperactivity and abnormal sleep pattern, high pitched cry, tremor, vomiting, diarrhea, and failure to gain weight. The onset, duration, and severity of neonatal opioid withdrawal syndrome vary based on the specific opioid used, duration of use, timing and amount of last maternal use, and rate of elimination of the drug by the newborn. Observe newborns for symptoms of neonatal opioid withdrawal syndrome and manage accordingly [see Warnings and Precautions (5.4)].

Labor or Delivery

Opioids cross the placenta and may produce respiratory depression and psycho-physiologic effects in neonates. An opioid antagonist, such as naloxone, must be available for reversal of opioid-induced respiratory depression in the neonate. DILAUDID INJECTION is not recommended for use in pregnant women during or immediately prior to labor, when other analgesic techniques are more appropriate. Opioid analgesics, including DILAUDID INJECTION, can prolong labor through actions which temporarily reduce the strength, duration, and frequency of uterine contractions. However, this effect is not consistent and may be offset by an increased rate of cervical dilation, which tends to shorten labor.

Monitor neonates exposed to opioid analgesics during labor for signs of excess sedation and respiratory depression.

12.1 Mechanism of Action

Hydromorphone is a full opioid agonist and is relatively selective for the mu-opioid receptor, although it can bind to other opioid receptors at higher doses. The principal therapeutic action of hydromorphone is analgesia. Like all full opioid agonists, there is no ceiling effect for analgesia with morphine. Clinically, dosage is titrated to provide adequate analgesia and may be limited by adverse reactions, including respiratory and CNS depression.

The precise mechanism of the analgesic action is unknown. However, specific CNS opioid receptors for endogenous compounds with opioid-like activity have been identified throughout the brain and spinal cord and are thought to play a role in the analgesic effects of this drug.

9.1 Controlled Substance

DILAUDID INJECTION contains hydromorphone, which is a Schedule II controlled substance.

5.7 Adrenal Insufficiency

Cases of adrenal insufficiency have been reported with opioid use, more often following greater than one month of use. Presentation of adrenal insufficiency may include non-specific symptoms and signs including nausea, vomiting, anorexia, fatigue, weakness, dizziness, and low blood pressure. If adrenal insufficiency is suspected, confirm the diagnosis with diagnostic testing as soon as possible. If adrenal insufficiency is diagnosed, treat with physiologic replacement doses of corticosteroids. Wean the patient off of the opioid to allow adrenal function to recover and continue corticosteroid treatment until adrenal function recovers. Other opioids may be tried as some cases reported use of a different opioid without recurrence of adrenal insufficiency. The information available does not identify any particular opioids as being more likely to be associated with adrenal insufficiency.

5 Warnings and Precautions (5 WARNINGS AND PRECAUTIONS)
  • Opioid-Induced Hyperalgesia and Allodynia: Opioid-Induced Hyperalgesia (OIH) occurs when an opioid analgesic paradoxically causes an increase in pain, or an increase in sensitivity to pain. If OIH is suspected, carefully consider appropriately decreasing the dose of the current opioid analgesic, or opioid rotation. (5.5)
  • Life-Threatening Respiratory Depression in Patients with Chronic Pulmonary Disease or in Elderly, Cachectic, or Debilitated Patients: Monitor closely, particularly during initiation and titration. (5.6)
  • Adrenal Insufficiency: If diagnosed, treat with physiologic replacement of corticosteroids, and wean patient off of the opioid. (5.7)
  • Severe Hypotension: Monitor during dosage initiation and titration. Avoid use of DILAUDID INJECTION in patients with circulatory shock. (5.8)
  • Risks of Use in Patients with Increased Intracranial Pressure, Brain Tumors, Head Injury, or Impaired Consciousness: Monitor for sedation and respiratory depression. Avoid use of DILAUDID INJECTION in patients with impaired consciousness or coma. (5.9)
  • DILAUDID INJECTION contains sodium metabisulfite. There is a risk of anaphylactic symptoms and life-threatening asthmatic episodes in susceptible people. (5.14)
2 Dosage and Administration (2 DOSAGE AND ADMINISTRATION)
  • DILAUDID INJECTION should be prescribed only by healthcare professionals who are knowledgeable about the use of opioids and how to mitigate the associated risks. (2.1)
  • Use the lowest effective dosage for the shortest duration of time consistent with individual patient treatment goals. Reserve titration to higher doses of Hydromorphone Hydrochloride Injection for patients in whom lower doses are insufficiently effective and in whom the expected benefits of using a higher dose opioid clearly outweigh the substantial risks. (2.1, 5)
  • Many acute pain conditions (e.g., the pain that occurs with a number of surgical procedures or acute musculoskeletal injuries) require no more than a few days of an opioid analgesic. Clinical guidelines on opioid prescribing for some acute pain conditions are available. (2.1)
  • Initiate the dosing regimen for each patient individually, taking into account the patient’s underlying cause and severity of pain, prior analgesic treatment and response, and risk factors for addiction, abuse, and misuse. (2.1, 5.1)
  • Respiratory depression can occur at any time during opioid therapy, especially when initiating and following dosage increases with Hydromorphone Hydrochloride Injection. Consider this risk when selecting an initial dose and when making dose adjustments. (2.1, 5.2)
  • Initial Dosage:
    • -
      Intramuscular or Subcutaneous Use: The usual starting dose is 1 mg to 2 mg every 2 to 3 hours as necessary. (2.2)
    • -
      Intravenous Use: The usual starting dose is 0.2 mg to 1 mg every 2 to 3 hours. The injection should be given slowly, over at least 2 to 3 minutes. (2.2)
  • Hepatic Impairment: Initiate treatment with one-fourth to one-half the usual starting dose, depending on degree of hepatic impairment. (2.3)
  • Renal Impairment: Initiate treatment with one-fourth to one-half the usual starting dose, depending on degree of renal impairment. (2.4)
  • Do not abruptly discontinue DILAUDID INJECTION in a physically-dependent patient. ( 2.6 , 5.12 )
3 Dosage Forms and Strengths (3 DOSAGE FORMS AND STRENGTHS)

DILAUDID INJECTION:

Each single-dose prefilled syringe contains 0.2 mg/mL, 0.5 mg/0.5 mL, 1 mg/mL or 2 mg/mL of hydromorphone hydrochloride in a sterile, aqueous solution.

8 Use in Specific Populations (8 USE IN SPECIFIC POPULATIONS)
  • Pregnancy: May cause fetal harm. (8.1)
5.1 Addiction, Abuse, and Misuse

DILAUDID INJECTION contains hydromorphone, a Schedule II controlled substance. As an opioid, DILAUDID INJECTION exposes users to the risks of addiction, abuse, and misuse [see Drug Abuse and Dependence (9)].

Although the risk of addiction in any individual is unknown, it can occur in patients appropriately prescribed DILAUDID INJECTION. Addiction can occur at recommended dosages and if the drug is misused or abused.

Assess each patient's risk for opioid addiction, abuse, or misuse prior to prescribing DILAUDID INJECTION and monitor all patients receiving DILAUDID INJECTION for the development of these behaviors and conditions. Risks are increased in patients with a personal or family history of substance abuse (including drug or alcohol abuse or addiction) or mental illness (e.g., major depression). The potential for these risks should not, however, prevent the proper management of pain in any given patient. Patients at increased risk may be prescribed opioids such as DILAUDID INJECTION but use in such patients necessitates intensive counseling about the risks and proper use of DILAUDID INJECTION along with intensive monitoring for signs of addiction, abuse, and misuse.

Opioids are sought for nonmedical use and are subject to diversion from legitimate prescribed use. Consider these risks when prescribing or dispensing DILAUDID INJECTION. Strategies to reduce these risks include prescribing the drug in the smallest appropriate quantity. Contact local state professional licensing board or state-controlled substances authority for information on how to prevent and detect abuse or diversion of this product.

16 How Supplied/storage and Handling (16 HOW SUPPLIED/STORAGE AND HANDLING)

DILAUDID INJECTION (hydromorphone hydrochloride) is supplied in clear and colorless single-dose prefilled syringes. Each single-dose prefilled syringe of sterile, aqueous solution contains 0.2 mg, 0.5 mg, 1 mg or 2 mg hydromorphone hydrochloride with 0.2% sodium citrate and 0.2% citric acid solution.

DILAUDID INJECTION contains no added preservative and is supplied as follows:

Product Code

Unit of Sale

Strength

Each

771906

NDC 76045-009-06

Unit of 10

0.5 mg/0.5 mL

NDC 76045-009-96

0.5 mL single-dose prefilled syringe

771911

NDC 76045-009-11

Unit of 10

1 mg/mL

NDC 76045-009-01

1 mL single-dose prefilled syringe

771011

NDC 76045-010-11

Unit of 10

2 mg/mL

NDC 76045-010-01

1 mL single-dose prefilled syringe

771311

NDC 76045-121-11

Unit of 10

0.2 mg/mL

NDC 76045-121-01

1 mL single-dose prefilled syringe

PROTECT FROM LIGHT.

Store at 20° to 25°C (68° to 77°F); excursions permitted to 15° to 30°C (59° to 86°F) [See USP Controlled Room Temperature].

Safety and Handling Instructions

Discard any unused portion.

Access to drugs with a potential for abuse such as DILAUDID INJECTION presents an occupational hazard for addiction in the health care industry. Routine procedures for handling controlled substances developed to protect the public may not be adequate to protect health care workers.

Implementation of more effective accounting procedures and measures to restrict access to drugs of this class (appropriate to the practice setting) may minimize the risk of self-administration by health care providers.

5.4 Neonatal Opioid Withdrawal Syndrome

Use of Hydromorphone Hydrochloride Injection for an extended period of time during pregnancy can result in withdrawal in the neonate. Neonatal opioid withdrawal syndrome, unlike opioid withdrawal syndrome in adults, may be life-threatening if not recognized and treated, and requires management according to protocols developed by neonatology experts. Observe newborns for signs of neonatal opioid withdrawal syndrome and manage accordingly. Advise pregnant women using opioids for an extended period of time of the risk of neonatal opioid withdrawal syndrome and ensure that management by neonatology experts will be available at delivery [see Use in Specific Populations (8.1)].

2.5 Titration and Maintenance of Therapy

Titrate the dose based upon the individual patient’s response to their initial dose of DILAUDID INJECTION. Individually titrate DILAUDID INJECTION to a dose that provides adequate analgesia and minimizes adverse reactions. Continually reevaluate patients receiving DILAUDID INJECTION to assess the maintenance of pain control, signs and symptoms of opioid withdrawal, and other adverse reactions, as well as monitoring for the development of addiction, abuse, or misuse [see Warnings and Precautions (5.1, 5.12)]. Frequent communication is important among the prescriber, other members of the healthcare team, the patient, and the caregiver/family during periods of changing analgesic requirements, including initial titration.

If the level of pain increases after dosage stabilization, attempt to identify the source of increased pain before increasing the DILAUDID INJECTION dosage. If after increasing the dosage, unacceptable opioid-related adverse reactions are observed (including an increase in pain after a dosage increase), consider reducing the dosage [see Warnings and Precautions (5)]. Adjust the dosage to obtain an appropriate balance between management of pain and opioid-related adverse reactions.

5.2 Life Threatening Respiratory Depression (5.2 Life-Threatening Respiratory Depression)

Serious, life-threatening, or fatal respiratory depression has been reported with the use of opioids, even when used as recommended. Respiratory depression, if not immediately recognized and treated, may lead to respiratory arrest and death. Management of respiratory depression may include close observation, supportive measures, and use of opioid antagonists, depending on the patient's clinical status [see Overdosage (10)]. Carbon dioxide (CO2) retention from opioid-induced respiratory depression can exacerbate the sedating effects of opioids.

While serious, life-threatening, or fatal respiratory depression can occur at any time during the use of DILAUDID INJECTION, the risk is greatest during the initiation of therapy or following a dosage increase.

To reduce the risk of respiratory depression, proper dosing and titration of DILAUDID INJECTION is essential [see Dosage and Administration (2)]. Overestimating the DILAUDID INJECTION dosage when converting patients from another opioid product can result in a fatal overdose with the first dose.

Opioids can cause sleep-related breathing disorders including central sleep apnea (CSA) and sleep-related hypoxemia. Opioid use increases the risk of CSA in a dose-dependent fashion. In patients who present with CSA, consider decreasing the opioid dosage using best practices for opioid taper [see Dosage and Administration (2.6)].

5.13 Risks of Driving and Operating Machinery

DILAUDID INJECTION may impair the mental or physical abilities needed to perform potentially hazardous activities such as driving a car or operating machinery. Warn patients not to drive or operate dangerous machinery unless they are tolerant to the effects of DILAUDID INJECTION and know how they will react to the medication.

2.1 Important Dosage and Administration Instructions
  • DILAUDID INJECTION should be prescribed only by healthcare professionals who are knowledgeable about the use of opioids and how to mitigate the associated risks.
  • Use the lowest effective dosage for the shortest duration of time consistent with individual patient treatment goals [see Warnings and Precautions (5)]. Because the risk of overdose increases as opioid doses increase, reserve titration to higher doses of DILAUDID INJECTION for patients in whom lower doses are insufficiently effective and in whom the expected benefits of using a higher dose opioid clearly outweigh the substantial risks.
  • Many acute pain conditions (e.g., the pain that occurs with a number of surgical procedures or acute musculoskeletal injuries) require no more than a few days of an opioid analgesic. Clinical guidelines on opioid prescribing for some acute pain conditions are available.
  • There is variability in the opioid analgesic dose and duration needed to adequately manage pain due both to the cause of pain and to individual patient factors. Initiate the dosing regimen for each patient individually, taking into account the patient’s underlying cause and severity of pain, prior analgesic treatment and response, and risk factors for addiction, abuse, and misuse [see Warnings and Precautions (5.1)].
  • Respiratory depression can occur at any time during opioid therapy, especially when initiating and following dosage increases with DILAUDID INJECTION. Consider this risk when selecting an initial dose and when making dose adjustments [see Warnings and Precautions (5)].
  • Inspect parenteral drug products visually for particulate matter and discoloration prior to administration, whenever solution and container permit. A slight yellowish discoloration may develop in DILAUDID INJECTION. No loss of potency has been demonstrated. DILAUDID INJECTION is physically compatible and chemically stable for at least 24 hours at 25°C, protected from light in most common large-volume parenteral solutions.
  • Discard any unused portion in an appropriate manner.
2.4 Dosage Modifications in Patients With Renal Impairment (2.4 Dosage Modifications in Patients with Renal Impairment)

Start patients with renal impairment on one-fourth to one-half the usual DILAUDID INJECTION starting dose depending on the degree of impairment [see Clinical Pharmacology (12.3)].

2.6 Safe Reduction Or Discontinuation of Dilaudid Injection (2.6 Safe Reduction or Discontinuation of DILAUDID INJECTION)

When a patient who has been taking DILAUDID INJECTION regularly and may be physically dependent no longer requires therapy with DILAUDID INJECTION, taper the dose gradually, by 25% to 50% every 2 to 4 days, while monitoring carefully for signs and symptoms of withdrawal. If the patient develops these signs or symptoms, raise the dose to the previous level and taper more slowly, either by increasing the interval between decreases, decreasing the amount of change in dose, or both. Do not abruptly discontinue DILAUDID INJECTION in a physically-dependent patient [see Warnings and Precautions (5.12), Drug Abuse and Dependence (9.3)].

2.3 Dosage Modifications in Patients With Hepatic Impairment (2.3 Dosage Modifications in Patients with Hepatic Impairment)

Start patients with hepatic impairment on one-fourth to one-half the usual DILAUDID INJECTION starting dose depending on the extent of impairment [see Clinical Pharmacology (12.3)].

5.10 Risks of Use in Patients With Gastrointestinal Conditions (5.10 Risks of Use in Patients with Gastrointestinal Conditions)

DILAUDID INJECTION is contraindicated in patients with known or suspected gastrointestinal obstruction, including paralytic ileus.

The hydromorphone in DILAUDID INJECTION may cause spasm of the sphincter of Oddi. Opioids may cause increases in serum amylase. Monitor patients with biliary tract disease, including acute pancreatitis, for worsening symptoms.

5.11 Increased Risk of Seizures in Patients With Seizure Disorders (5.11 Increased Risk of Seizures in Patients with Seizure Disorders)

The hydromorphone in DILAUDID INJECTION may increase the frequency of seizures in patients with seizure disorders and may increase the risk of seizures occurring in other clinical settings associated with seizures. Monitor patients with a history of seizure disorders for worsened seizure control during DILAUDID INJECTION therapy.

Warning: Serious and Life Threatening Risks From Use of Dilaudid Injection (WARNING: SERIOUS AND LIFE-THREATENING RISKS FROM USE OF DILAUDID INJECTION)

WARNING: SERIOUS AND LIFE-THREATENING RISKS FROM USE OF DILAUDID INJECTION

See full prescribing information for complete boxed warning.

  • DILAUDID INJECTION exposes users to risks of addiction, abuse, and misuse, which can lead to overdose and death. Assess patient's risk before prescribing and reassess regularly for these behaviors and conditions. (5.1)
  • Serious, life-threatening, or fatal respiratory depression may occur. Monitor closely, especially upon initiation or following a dosage increase. To reduce the risk of respiratory depression, proper dosing and titration of DILAUDID INJECTION are essential. (5.2)
  • Concomitant use of opioids with benzodiazepines or other central nervous system (CNS) depressants, including alcohol, may result in profound sedation, respiratory depression, coma, and death. Reserve concomitant prescribing for use in patients for whom alternative treatment options are inadequate. (5.3, 7).
  • If opioid use is required for an extended period of time in a pregnant woman, advise the patient of the risk of Neonatal Opioid Withdrawal Syndrome, which may be life-threatening if not recognized and treated. Ensure that management by neonatology experts will be available at delivery. (5.4).
5.3 Risks From Concomitant Use With Benzodiazepines Or Other Cns Depressants (5.3 Risks from Concomitant Use with Benzodiazepines or Other CNS Depressants)

Profound sedation, respiratory depression, coma, and death may result from the concomitant use of DILAUDID INJECTION with benzodiazepines and/or other CNS depressants, including alcohol (e.g., non-benzodiazepine sedatives/hypnotics, anxiolytics, tranquilizers, muscle relaxants, general anesthetics, antipsychotics, other opioids). Because of these risks, reserve concomitant prescribing of these drugs for use in patients for whom alternative treatment options are inadequate.

Observational studies have demonstrated that concomitant use of opioid analgesics and benzodiazepines increases the risk of drug-related mortality compared to use of opioid analgesics alone. Because of similar pharmacological properties, it is reasonable to expect similar risk with the concomitant use of other CNS depressant drugs with opioid analgesics [see Drug Interactions (7)].

If the decision is made to prescribe a benzodiazepine or other CNS depressant concomitantly with an opioid analgesic, prescribe the lowest effective dosages and minimum durations of concomitant use. In patients already receiving an opioid analgesic, prescribe a lower initial dose of the benzodiazepine or other CNS depressant than indicated in the absence of an opioid, and titrate based on clinical response. If an opioid analgesic is initiated in a patient already taking a benzodiazepine or other CNS depressant, prescribe a lower initial dose of the opioid analgesic, and titrate based on clinical response. Monitor patients closely for signs and symptoms of respiratory depression and sedation.

5.15 Increased Risk of Hypotension and Respiratory Depression With Rapid Intravenous Administration (5.15 Increased Risk of Hypotension and Respiratory Depression with Rapid Intravenous Administration)

DILAUDID INJECTION may be given intravenously, but the injection should be given very slowly. Rapid intravenous injection of opioid analgesics increases the possibility of side effects such as hypotension and respiratory depression [see Dosage and Administration (2)].

5.9 Risks of Use in Patients With Increased Intracranial Pressure, Brain Tumors, Head Injury, Or Impaired Consciousness (5.9 Risks of Use in Patients with Increased Intracranial Pressure, Brain Tumors, Head Injury, or Impaired Consciousness)

In patients who may be susceptible to the intracranial effects of CO2 retention (e.g., those with evidence of increased intracranial pressure or brain tumors), DILAUDID INJECTION may reduce respiratory drive, and the resultant CO2 retention can further increase intracranial pressure. Monitor such patients for signs of sedation and respiratory depression, particularly when initiating therapy with DILAUDID INJECTION.

Opioids may also obscure the clinical course in a patient with a head injury. Avoid the use of DILAUDID INJECTION in patients with impaired consciousness or coma.

5.6 Life Threatening Respiratory Depression in Patients With Chronic Pulmonary Disease Or in Elderly, Cachectic, Or Debilitated Patients (5.6 Life-Threatening Respiratory Depression in Patients with Chronic Pulmonary Disease or in Elderly, Cachectic, or Debilitated Patients)

The use of DILAUDID INJECTION in patients with acute or severe bronchial asthma in an unmonitored setting or in the absence of resuscitative equipment is contraindicated.

Patients with Chronic Pulmonary Disease: DILAUDID INJECTION treated patients with significant chronic obstructive pulmonary disease or cor pulmonale, and those with a substantially decreased respiratory reserve, hypoxia, hypercapnia, or pre-existing respiratory depression are at increased risk of decreased respiratory drive including apnea, even at recommended dosages of DILAUDID INJECTION [see Warnings and Precautions (5.2)].

Elderly, Cachectic, or Debilitated Patients: Life-threatening respiratory depression is more likely to occur in elderly, cachectic, or debilitated patients because they may have altered pharmacokinetics or altered clearance compared to younger, healthier patients [see Warnings and Precautions (5.2)].

Monitor such patients closely, particularly when initiating and titrating DILAUDID INJECTION and when DILAUDID INJECTION is given concomitantly with other drugs that depress respiration [see Warnings and Precautions (5.2, 5.3), Drug Interactions (7)]. Alternatively, consider the use of non-opioid analgesics in these patients.


Advanced Ingredient Data


Raw Label Data

All Sections (JSON)