SPL v6
SPL
SPL Set ID 9eb306e0-ccfb-418c-82ca-204f20a788f7
Route
ORAL
Published
Effective Date 2025-11-01
Document Type 34391-3 HUMAN PRESCRIPTION DRUG LABEL

Drug Facts

Composition & Product

Active Ingredients
Clarithromycin (500 mg)
Inactive Ingredients
Croscarmellose Sodium Magnesium Stearate Microcrystalline Cellulose Povidone K30 Silicon Dioxide Hypromellose, Unspecified Titanium Dioxide Polyethylene Glycol 400

Identifiers & Packaging

Pill Appearance
Imprint: S;4 Shape: oval Color: white Size: 19 mm Score: 1
Marketing Status
ANDA Active Since 2015-12-04

Description

To reduce the development of drug-resistant bacteria and maintain the effectiveness of clarithromycin tablets and other antibacterial drugs, clarithromycin tablets should be used only to treat or prevent infections that are proven or strongly suspected to be caused by bacteria.

Indications and Usage

Clarithromycin tablets, USP are indicated for the treatment of mild to moderate infections caused by susceptible isolates of the designated bacteria in the conditions as listed below:

Dosage and Administration

Clarithromycin tablets may be given with or without food. Clarithromycin may be administered without dosage adjustment in the presence of hepatic impairment if there is normal renal function. In patients with severe renal impairment (CL CR < 30 mL/min), the dose of clarithromycin should be reduced by 50%. However, when patients with moderate or severe renal impairment are taking clarithromycin concomitantly with atazanavir or ritonavir, the dose of clarithromycin should be reduced by 50% or 75% for patients with CL CR of 30 to 60 mL/min or < 30 mL/min, respectively. ADULT DOSAGE GUIDELINES   Clarithromycin Tablets Infection Dosage (q12h) Duration (days) Pharyngitis/Tonsillitis due to           S. pyogenes 250 mg 10 Acute maxillary sinusitis due to 500 mg 14       H. influenzae           M. catarrhalis           S. pneumoniae     Acute exacerbation of chronic bronchitis due to           H. influenzae 500 mg 7-14       H. parainfluenzae 500 mg 7       M. catarrhalis 250 mg 7-14       S. pneumoniae 250 mg 7-14 Community-Acquired Pneumonia due to           H. influenzae 250 mg 7       H. parainfluenzae - -       M. catarrhalis - -       S. pneumoniae 250 mg 7-14       C. pneumoniae 250 mg 7-14       M. pneumoniae 250 mg 7-14 Uncomplicated skin and skin structure 250 mg 7-14       S. aureus     S. pyogenes    

Contraindications

Clarithromycin is contraindicated in patients with a known hypersensitivity to clarithromycin or any of its excipients, erythromycin, or any of the macrolide antibiotics. Clarithromycin is contraindicated in patients with a history of cholestatic jaundice/hepatic dysfunction associated with prior use of clarithromycin. Concomitant administration of clarithromycin and any of the following drugs is contraindicated: cisapride, pimozide, astemizole, terfenadine, and ergotamine or dihydroergotamine (see Drug Interactions ). There have been post-marketing reports of drug interactions when clarithromycin and/or erythromycin are coadministered with cisapride, pimozide, astemizole, or terfenadine resulting in cardiac arrhythmias (QT prolongation, ventricular tachycardia, ventricular fibrillation, and torsades de pointes) most likely due to inhibition of metabolism of these drugs by erythromycin and clarithromycin. Fatalities have been reported. Concomitant administration of clarithromycin and colchicine is contraindicated in patients with renal or hepatic impairment. Clarithromycin should not be given to patients with history of QT prolongation or ventricular cardiac arrhythmia, including torsades de pointes . Clarithromycin should not be used concomitantly with HMG-CoA reductase inhibitors (statins) that are extensively metabolized by CYP3A4 (lovastatin or simvastatin), due to the increased risk of myopathy, including rhabdomyolysis (see WARNINGS ). For information about contraindications of other drugs indicated in combination with clarithromycin, refer to the CONTRAINDICATIONS section of their package inserts.

Adverse Reactions

The most frequent and common adverse reactions related to clarithromycin therapy for both adult and pediatric populations are abdominal pain, diarrhea, nausea, vomiting and dysgeusia. These adverse reactions are consistent with the known safety profile of macrolide antibiotics. There was no significant difference in the incidence of these gastrointestinal adverse reactions during clinical trials between the patient population with or without preexisting mycobacterial infections. Adverse Reactions Observed During Clinical Trials of Clarithromycin The following adverse reactions were observed in clinical trials with clarithromycin at a rate greater than or equal to 1%: Gastrointestinal Disorders Diarrhea, vomiting, dyspepsia, nausea, abdominal pain Hepatobiliary Disorders Liver function test abnormal Immune System Disorders Anaphylactoid reaction Infection and Infestations Candidiasis Nervous System Disorders Dysgeusia, headache Psychiatric Disorders Insomnia Skin and Subcutaneous Tissue Disorders Rash Other Adverse Reactions Observed During Clinical Trials of Clarithromycin The following adverse reactions were observed in clinical trials with clarithromycin at a rate less than 1%: Blood and Lymphatic System Disorders Leukopenia, neutropenia, thrombocythemia, eosinophilia Cardiac Disorders Electrocardiogram QT prolonged, cardiac arrest, atrial fibrillation, extrasystoles, palpitations Ear and Labyrinth Disorders Vertigo, tinnitus, hearing impaired Gastrointestinal Disorders Stomatitis, glossitis, esophagitis, gastrooesophageal reflux disease, gastritis, proctalgia, abdominal distension, constipation, dry mouth, eructation, flatulence General Disorders and Administration Site Conditions Malaise, pyrexia, asthenia, chest pain, chills, fatigue Hepatobiliary Disorders Cholestasis, hepatitis Immune System Disorders Hypersensitivity Infections and Infestations Cellulitis, gastroenteritis, infection, vaginal infection Investigations Blood bilirubin increased, blood alkaline phosphatase increased, blood lactate dehydrogenase increased, albumin globulin ratio abnormal Metabolism and Nutrition Disorders Anorexia, decreased appetite Musculoskeletal and Connective Tissue Disorders Myalgia, muscle spasms, nuchal rigidity Nervous System Disorders Dizziness, tremor, loss of consciousness, dyskinesia, somnolence Psychiatric Disorders Anxiety, nervousness Renal and Urinary Disorders Blood creatinine increased, blood urea increased Respiratory, Thoracic and Mediastinal Disorders Asthma, epistaxis, pulmonary embolism Skin and Subcutaneous Tissue Disorders Urticaria, dermatitis bullous, pruritus, hyperhidrosis, rash maculo-papular In the acute exacerbation of chronic bronchitis and acute maxillary sinusitis studies overall gastrointestinal adverse events were reported by a similar proportion of patients taking either clarithromycin tablets or clarithromycin extended-release tablets; however, patients taking clarithromycin extended-release tablets reported significantly less severe gastrointestinal symptoms compared to patients taking clarithromycin tablets. In addition, patients taking clarithromycin extended-release tablets had significantly fewer premature discontinuations for drug-related gastrointestinal or abnormal taste adverse events compared to clarithromycin tablets. In community-acquired pneumonia studies conducted in adults comparing clarithromycin to erythromycin base or erythromycin stearate, there were fewer adverse events involving the digestive system in clarithromycin-treated patients compared to erythromycin-treated patients (13% vs 32%; p < 0.01). Twenty percent of erythromycin-treated patients discontinued therapy due to adverse events compared to 4% of clarithromycin-treated patients. In two U.S. studies of acute otitis media comparing clarithromycin to amoxicillin/potassium clavulanate in pediatric patients, there were fewer adverse events involving the digestive system in clarithromycin-treated patients compared to amoxicillin/potassium clavulanate-treated patients (21% vs. 40%, p < 0.001). One-third as many clarithromycin-treated patients reported diarrhea as did amoxicillin/potassium clavulanate-treated patients.

Drug Interactions

Serious adverse reactions have been reported in patients taking clarithromycin concomitantly with CYP3A4 substrates. These include colchicine toxicity with colchicine; rhabdomyolysis with simvastatin, lovastatin, and atorvastatin; hypoglycemia with disopyramide; and hypotension and acute kidney injury with calcium channel blockers metabolized by CYP3A4 (e.g., verapamil, amlodipine, diltiazem, nifedipine). Most reports of acute kidney injury with calcium channel blockers metabolized by CYP3A4 involved elderly patients 65 years of age or older (see CONTRAINDICATIONS and PRECAUTIONS – Drug Interactions ). Clarithromycin should be used with caution when administered concurrently with medications that induce the cytochrome CYP3A4 enzyme (see PRECAUTIONS - Drug Interactions ). Colchicine Life-threatening and fatal drug interactions have been reported in patients treated with clarithromycin and colchicine. Clarithromycin is a strong CYP3A4 inhibitor and this interaction may occur while using both drugs at their recommended doses. If co-administration of clarithromycin and colchicine is necessary in patients with normal renal and hepatic function, the dose of colchicine should be reduced. Patients should be monitored for clinical symptoms of colchicine toxicity. Concomitant administration of clarithromycin and colchicine is contraindicated in patients with renal or hepatic impairment (see CONTRAINDICATIONS and PRECAUTIONS – Drug Interactions ). Benzodiazepines Increased sedation and prolongation of sedation have been reported with concomitant administration of clarithromycin and triazolobenzodiazepines, such as triazolam, and midazolam.

How Supplied

Clarithromycin Tablets, USP are supplied as white to off-white oval film-coated tablets in the following package sizes: 500 mg tablets: (debossed with "S 4" on one side) Bottles of 14 (NDC 63187-376-14) Bottles of 20 (NDC 63187-376-20) Bottles of 28 (NDC 63187-376-28) Bottles of 30 (NDC 63187-376-30) Bottles of 60 (NDC 63187-376-60) Bottles of 90 (NDC 63187-376-90) Store in a well closed container at 20º to 25ºC (68º to 77ºF). [See USP Controlled Room Temperature]. Dispense in a tight container as defined in the USP with a child-resistant closure.


Medication Information

Indications and Usage

Clarithromycin tablets, USP are indicated for the treatment of mild to moderate infections caused by susceptible isolates of the designated bacteria in the conditions as listed below:

Dosage and Administration

Clarithromycin tablets may be given with or without food.

Clarithromycin may be administered without dosage adjustment in the presence of hepatic impairment if there is normal renal function. In patients with severe renal impairment (CLCR < 30 mL/min), the dose of clarithromycin should be reduced by 50%. However, when patients with moderate or severe renal impairment are taking clarithromycin concomitantly with atazanavir or ritonavir, the dose of clarithromycin should be reduced by 50% or 75% for patients with CLCR of 30 to 60 mL/min or < 30 mL/min, respectively.

ADULT DOSAGE GUIDELINES

 

Clarithromycin Tablets

Infection

Dosage

(q12h)

Duration

(days)

Pharyngitis/Tonsillitis due to

 

 

     S. pyogenes

250 mg

10

Acute maxillary sinusitis due to

500 mg

14

     H. influenzae

 

 

     M. catarrhalis

 

 

     S. pneumoniae

 

 

Acute exacerbation of chronic bronchitis due to

 

 

     H. influenzae

500 mg

7-14

     H. parainfluenzae

500 mg

7

     M. catarrhalis

250 mg

7-14

     S. pneumoniae

250 mg

7-14

Community-Acquired Pneumonia due to

 

 

     H. influenzae

250 mg

7

     H. parainfluenzae

-

-

     M. catarrhalis

-

-

     S. pneumoniae

250 mg

7-14

     C. pneumoniae

250 mg

7-14

     M. pneumoniae

250 mg

7-14

Uncomplicated skin and skin structure

250 mg

7-14

     S. aureus

 

 

S. pyogenes

 

 

Contraindications

Clarithromycin is contraindicated in patients with a known hypersensitivity to clarithromycin or any of its excipients, erythromycin, or any of the macrolide antibiotics.

Clarithromycin is contraindicated in patients with a history of cholestatic jaundice/hepatic dysfunction associated with prior use of clarithromycin.

Concomitant administration of clarithromycin and any of the following drugs is contraindicated: cisapride, pimozide, astemizole, terfenadine, and ergotamine or dihydroergotamine (see Drug Interactions ). There have been post-marketing reports of drug interactions when clarithromycin and/or erythromycin are coadministered with cisapride, pimozide, astemizole, or terfenadine resulting in cardiac arrhythmias (QT prolongation, ventricular tachycardia, ventricular fibrillation, and torsades de pointes) most likely due to inhibition of metabolism of these drugs by erythromycin and clarithromycin. Fatalities have been reported.

Concomitant administration of clarithromycin and colchicine is contraindicated in patients with renal or hepatic impairment.

Clarithromycin should not be given to patients with history of QT prolongation or ventricular cardiac arrhythmia, including torsades de pointes.

Clarithromycin should not be used concomitantly with HMG-CoA reductase inhibitors (statins) that are extensively metabolized by CYP3A4 (lovastatin or simvastatin), due to the increased risk of myopathy, including rhabdomyolysis (see WARNINGS ).

For information about contraindications of other drugs indicated in combination with clarithromycin, refer to the CONTRAINDICATIONS section of their package inserts.

Adverse Reactions

The most frequent and common adverse reactions related to clarithromycin therapy for both adult and pediatric populations are abdominal pain, diarrhea, nausea, vomiting and dysgeusia. These adverse reactions are consistent with the known safety profile of macrolide antibiotics.

There was no significant difference in the incidence of these gastrointestinal adverse reactions during clinical trials between the patient population with or without preexisting mycobacterial infections.

Adverse Reactions Observed During Clinical Trials of Clarithromycin

The following adverse reactions were observed in clinical trials with clarithromycin at a rate greater than or equal to 1%:

Gastrointestinal Disorders

Diarrhea, vomiting, dyspepsia, nausea, abdominal pain

Hepatobiliary Disorders

Liver function test abnormal

Immune System Disorders

Anaphylactoid reaction

Infection and Infestations

Candidiasis

Nervous System Disorders

Dysgeusia, headache

Psychiatric Disorders

Insomnia

Skin and Subcutaneous Tissue Disorders

Rash

Other Adverse Reactions Observed During Clinical Trials of Clarithromycin

The following adverse reactions were observed in clinical trials with clarithromycin at a rate less than 1%:

Blood and Lymphatic System Disorders

Leukopenia, neutropenia, thrombocythemia, eosinophilia

Cardiac Disorders

Electrocardiogram QT prolonged, cardiac arrest, atrial fibrillation, extrasystoles, palpitations

Ear and Labyrinth Disorders

Vertigo, tinnitus, hearing impaired

Gastrointestinal Disorders

Stomatitis, glossitis, esophagitis, gastrooesophageal reflux disease, gastritis, proctalgia, abdominal distension, constipation, dry mouth, eructation, flatulence

General Disorders and Administration Site Conditions

Malaise, pyrexia, asthenia, chest pain, chills, fatigue

Hepatobiliary Disorders

Cholestasis, hepatitis

Immune System Disorders

Hypersensitivity

Infections and Infestations

Cellulitis, gastroenteritis, infection, vaginal infection

Investigations

Blood bilirubin increased, blood alkaline phosphatase increased, blood lactate dehydrogenase increased, albumin globulin ratio abnormal

Metabolism and Nutrition Disorders

Anorexia, decreased appetite

Musculoskeletal and Connective Tissue Disorders

Myalgia, muscle spasms, nuchal rigidity

Nervous System Disorders

Dizziness, tremor, loss of consciousness, dyskinesia, somnolence

Psychiatric Disorders

Anxiety, nervousness

Renal and Urinary Disorders

Blood creatinine increased, blood urea increased

Respiratory, Thoracic and Mediastinal Disorders

Asthma, epistaxis, pulmonary embolism

Skin and Subcutaneous Tissue Disorders

Urticaria, dermatitis bullous, pruritus, hyperhidrosis, rash maculo-papular

In the acute exacerbation of chronic bronchitis and acute maxillary sinusitis studies overall gastrointestinal adverse events were reported by a similar proportion of patients taking either clarithromycin tablets or clarithromycin extended-release tablets; however, patients taking clarithromycin extended-release tablets reported significantly less severe gastrointestinal symptoms compared to patients taking clarithromycin tablets. In addition, patients taking clarithromycin extended-release tablets had significantly fewer premature discontinuations for drug-related gastrointestinal or abnormal taste adverse events compared to clarithromycin tablets.

In community-acquired pneumonia studies conducted in adults comparing clarithromycin to erythromycin base or erythromycin stearate, there were fewer adverse events involving the digestive system in clarithromycin-treated patients compared to erythromycin-treated patients (13% vs 32%; p < 0.01). Twenty percent of erythromycin-treated patients discontinued therapy due to adverse events compared to 4% of clarithromycin-treated patients.

In two U.S. studies of acute otitis media comparing clarithromycin to amoxicillin/potassium clavulanate in pediatric patients, there were fewer adverse events involving the digestive system in clarithromycin-treated patients compared to amoxicillin/potassium clavulanate-treated patients (21% vs. 40%, p < 0.001). One-third as many clarithromycin-treated patients reported diarrhea as did amoxicillin/potassium clavulanate-treated patients.

Drug Interactions

Serious adverse reactions have been reported in patients taking clarithromycin concomitantly with CYP3A4 substrates. These include colchicine toxicity with colchicine; rhabdomyolysis with simvastatin, lovastatin, and atorvastatin; hypoglycemia with disopyramide; and hypotension and acute kidney injury with calcium channel blockers metabolized by CYP3A4 (e.g., verapamil, amlodipine, diltiazem, nifedipine). Most reports of acute kidney injury with calcium channel blockers metabolized by CYP3A4 involved elderly patients 65 years of age or older (see CONTRAINDICATIONS and PRECAUTIONS – Drug Interactions ). Clarithromycin should be used with caution when administered concurrently with medications that induce the cytochrome CYP3A4 enzyme (see PRECAUTIONS - Drug Interactions ).

Colchicine

Life-threatening and fatal drug interactions have been reported in patients treated with clarithromycin and colchicine. Clarithromycin is a strong CYP3A4 inhibitor and this interaction may occur while using both drugs at their recommended doses. If co-administration of clarithromycin and colchicine is necessary in patients with normal renal and hepatic function, the dose of colchicine should be reduced. Patients should be monitored for clinical symptoms of colchicine toxicity. Concomitant administration of clarithromycin and colchicine is contraindicated in patients with renal or hepatic impairment (see CONTRAINDICATIONS and PRECAUTIONS – Drug Interactions ).

Benzodiazepines

Increased sedation and prolongation of sedation have been reported with concomitant administration of clarithromycin and triazolobenzodiazepines, such as triazolam, and midazolam.

How Supplied

Clarithromycin Tablets, USP are supplied as white to off-white oval film-coated tablets in the following package sizes:

500 mg tablets: (debossed with "S 4" on one side)

Bottles of 14 (NDC 63187-376-14)

Bottles of 20 (NDC 63187-376-20)

Bottles of 28 (NDC 63187-376-28)

Bottles of 30 (NDC 63187-376-30)

Bottles of 60 (NDC 63187-376-60)

Bottles of 90 (NDC 63187-376-90)

Store in a well closed container at 20º to 25ºC (68º to 77ºF). [See USP Controlled Room Temperature].

Dispense in a tight container as defined in the USP with a child-resistant closure.

Description

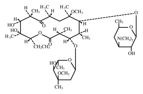
Clarithromycin is a semi-synthetic macrolide antibiotic. Chemically, it is 6-0-methylerythromycin. The molecular formula is C38H69NO13, and the molecular weight is 747.96. The structural formula is:

Clarithromycin is a white to off-white crystalline powder. It is soluble in acetone, slightly soluble in methanol, ethanol, and acetonitrile, and practically insoluble in water.

Each white to off-white oval film-coated immediate-release clarithromycin tablet, USP contains 250 mg or 500 mg of clarithromycin and the following inactive ingredients: croscarmellose sodium, magnesium stearate, microcrystalline cellulose, povidone, silicon dioxide, hypromellose, titanium dioxide and polyethylene glycol.

Adults

Pharyngitis/Tonsillitis due to Streptococcus pyogenes (The usual drug of choice in the treatment and prevention of streptococcal infections and the prophylaxis of rheumatic fever is penicillin administered by either the intramuscular or the oral route. Clarithromycin is generally effective in the eradication of S. pyogenes from the nasopharynx; however, data establishing the efficacy of clarithromycin in the subsequent prevention of rheumatic fever are not available at present).

Acute maxillary sinusitis due to Haemophilus influenzae, Moraxella catarrhalis, or Streptococcus pneumoniae.

Acute bacterial exacerbation of chronic bronchitis due to Haemophilus influenzae , Haemophilus parainfluenzae, Moraxella catarrhalis, or Streptococcus pneumoniae.

Community-Acquired Pneumonia due to Haemophilus influenzae, Mycoplasma pneumoniae, Streptococcus pneumoniae, or Chlamydophila pneumoniae (TWAR).

Uncomplicated skin and skin structure infections due to Staphylococcus aureus , or Streptococcus pyogenes (Abscesses usually require surgical drainage).

Disseminated mycobacterial infections due to Mycobacterium avium, or Mycobacterium intracellulare.

Clarithromycin tablets, USP in combination with amoxicillin and PREVACID (lansoprazole) or PRILOSEC (omeprazole) Delayed-Release Capsules, as triple therapy, are indicated for the treatment of patients with Helicobacter pylori infection and duodenal ulcer disease (active or five-year history of duodenal ulcer) to eradicate H. pylori.

Clarithromycin tablets, USP in combination with PRILOSEC (omeprazole) capsules or TRITEC (ranitidine bismuth citrate) tablets are also indicated for the treatment of patients with an active duodenal ulcer associated with H. pylori infection. However, regimens which contain clarithromycin as the single antimicrobial agent are more likely to be associated with the development of clarithromycin resistance among patients who fail therapy. Clarithromycin-containing regimens should not be used in patients with known or suspected clarithromycin resistant isolates because the efficacy of treatment is reduced in this setting.

In patients who fail therapy, susceptibility testing should be done if possible. If resistance to clarithromycin is demonstrated, a non-clarithromycin-containing therapy is recommended. (For information on development of resistance see Microbiology section.) The eradication of H. pylori has been demonstrated to reduce the risk of duodenal ulcer recurrence.

Safety

The adverse event profiles showed that both the 500 and 1000 mg b.i.d. doses were well tolerated. The 2000 mg b.i.d. dose was poorly tolerated and resulted in a higher proportion of premature discontinuations.

In AIDS patients and other immunocompromised patients treated with the higher doses of clarithromycin over long periods of time for mycobacterial infections, it was often difficult to distinguish adverse events possibly associated with clarithromycin administration from underlying signs of HIV disease or intercurrent illness.

The following analyses summarize experience during the first 12 weeks of therapy with clarithromycin. Data are reported separately for Study 500 (randomized, double-blind) and Study 577 (open-label, compassionate use) and also combined. Adverse events were reported less frequently in Study 577, which may be due in part to differences in monitoring between the two studies. In adult patients receiving clarithromycin 500 mg b.i.d., the most frequently reported adverse events, considered possibly or probably related to study drug, with an incidence of 5% or greater, are listed below. Most of these events were mild to moderate in severity, although 5% (Study 500: 8%; Study 577: 4%) of patients receiving 500 mg b.i.d. and 5% (Study 500: 4%; Study 577: 6%) of patients receiving 1000 mg b.i.d. reported severe adverse events. Excluding those patients who discontinued therapy or died due to complications of their underlying non-mycobacterial disease, approximately 8% (Study 500: 15%; Study 577: 7%) of the patients who received 500 mg b.i.d. and 12% (Study 500: 14%; Study 577: 12%) of the patients who received 1000 mg b.i.d. discontinued therapy due to drug-related events during the first 12 weeks of therapy. Overall, the 500 and 1000 mg b.i.d. doses had similar adverse event profiles.

Treatment-related* Adverse Event Incidence Rates (%) in Immunocompromised Adult Patients During the First 12 Weeks of Therapy with 500 mg b.i.d. Clarithromycin Dose

Adverse Event

Study 500

(n = 53)

Study 577

(n = 255)

Combined

(n = 308)

Abdominal Pain

7.5

2.4

3.2

Diarrhea

9.4

1.6

2.9

Flatulence

7.5

0.0

1.3

Headache

7.5

0.4

1.6

Nausea

28.3

9.0

12.3

Rash

9.4

2.0

3.2

Taste Perversion

18.9

0.4

3.6

Vomiting

24.5

3.9

7.5

*   Includes those events possibly or probably related to study drug and excludes concurrent conditions.

A limited number of pediatric AIDS patients have been treated with clarithromycin suspension for mycobacterial infections. The most frequently reported adverse events, excluding those due to the patient's concurrent condition, were consistent with those observed in adult patients.

Section 42229-5

To reduce the development of drug-resistant bacteria and maintain the effectiveness of clarithromycin tablets and other antibacterial drugs, clarithromycin tablets should be used only to treat or prevent infections that are proven or strongly suspected to be caused by bacteria.

Section 51945-4

NDC 63187-376-20

20 Tablets

Clarithromycin Tablets, USP

500 mg

Rx Only

General

Prescribing clarithromycin in the absence of a proven or strongly suspected bacterial infection or a prophylactic indication is unlikely to provide benefit to the patient and increases the risk of the development of drug-resistant bacteria.

Clarithromycin is principally excreted via the liver and kidney. Clarithromycin may be administered without dosage adjustment to patients with hepatic impairment and normal renal function. However, in the presence of severe renal impairment with or without coexisting hepatic impairment, decreased dosage or prolonged dosing intervals may be appropriate.

Clarithromycin in combination with ranitidine bismuth citrate therapy is not recommended in patients with creatinine clearance less than 25 mL/min (see DOSAGE AND ADMINISTRATION ).

Clarithromycin in combination with ranitidine bismuth citrate should not be used in patients with a history of acute porphyria.

Exacerbation of symptoms of myasthenia gravis and new onset of symptoms of myasthenic syndrome has been reported in patients receiving clarithromycin therapy.

For information about precautions of other drugs indicated in combination with clarithromycin, refer to the PRECAUTIONS section of their package inserts.

Children

Pharyngitis/Tonsillitis due to Streptococcus pyogenes.

Community-Acquired Pneumonia due to Mycoplasma pneumoniae, Streptococcus pneumoniae, or Chlamydophila pneumoniae (TWAR)

Acute maxillary sinusitis due to Haemophilus influenzae, Moraxella catarrhalis, or Streptococcus pneumoniae

Acute otitis media due to Haemophilus influenzae, Moraxella catarrhalis, or Streptococcus pneumoniae

NOTE: For information on otitis media, see CLINICAL STUDIES - Otitis Media .

Uncomplicated skin and skin structure infections due to Staphylococcus aureus, or Streptococcus pyogenes (Abscesses usually require surgical drainage.)

Disseminated mycobacterial infections due to Mycobacterium avium, or Mycobacterium intracellulare

In Vitro

Clarithromycin has demonstrated in vitro activity against Mycobacterium avium complex (MAC) microorganisms isolated from both AIDS and non-AIDS patients. While gene probe techniques may be used to distinguish M. avium species from M. intracellulare, many studies only reported results on M. avium complex (MAC) isolates.

Various in vitro methodologies employing broth or solid media at different pH's, with and without oleic acid-albumin-dextrose-catalase (OADC), have been used to determine clarithromycin MIC values for mycobacterial species. In general, MIC values decrease more than 16-fold as the pH of Middlebrook 7H12 broth media increases from 5.0 to 7.4. At pH 7.4, MIC values determined with Mueller-Hinton agar were 4- to 8-fold higher than those observed with Middlebrook 7H12 media. Utilization of oleic acid-albumin-dextrose-catalase (OADC) in these assays has been shown to further alter MIC values.

Clarithromycin activity against 80 MAC isolates from AIDS patients and 211 MAC isolates from non-AIDS patients was evaluated using a microdilution method with Middlebrook 7H9 broth. Results showed an MIC value of ≤ 4.0 mcg/mL in 81% and 89% of the AIDS and non-AIDS MAC isolates, respectively. Twelve percent of the non-AIDS isolates had an MIC value ≤ 0.5 mcg/mL. Clarithromycin was also shown to be active against phagocytized M. avium complex (MAC) in mouse and human macrophage cell cultures as well as in the beige mouse infection model.

Clarithromycin activity was evaluated against Mycobacterium tuberculosis microorganisms. In one study utilizing the agar dilution method with Middlebrook 7H10 media, 3 of 30 clinical isolates had an MIC of 2.5 mcg/mL. Clarithromycin inhibited all isolates at > 10.0 mcg/mL.

Survival

A statistically significant survival benefit was observed.

Survival All Randomized Patients

 

Mortality

Reduction in

 

Placebo

Clarithromycin

Mortality on Clarithromycin

6 month

9.4%

6.5%

31%

12 month

29.7%

20.5%

31%

18 month

46.4%

37.5%

20%

Since the analysis at 18 months includes patients no longer receiving prophylaxis the survival benefit of clarithromycin may be underestimated.

Ritonavir

Concomitant administration of clarithromycin and ritonavir (n = 22) resulted in a 77% increase in clarithromycin AUC and a 100% decrease in the AUC of 14-OH clarithromycin. Clarithromycin may be administered without dosage adjustment to patients with normal renal function taking ritonavir. Since concentrations of 14-OH clarithromycin are significantly reduced when clarithromycin is co-administered with ritonavir, alternative antibacterial therapy should be considered for indications other than infections due to Mycobacterium avium complex (see PRECAUTIONS – Drug Interactions ). Doses of clarithromycin greater than 1000 mg per day should not be co-administered with protease inhibitors.

Spontaneous reports in the post-marketing period suggest that concomitant administration of clarithromycin and oral anticoagulants may potentiate the effects of the oral anticoagulants. Prothrombin times should be carefully monitored while patients are receiving clarithromycin and oral anticoagulants simultaneously.

Digoxin is a substrate for P-glycoprotein (Pgp) and clarithromycin is known to inhibit Pgp. When clarithromycin and digoxin are co-administered, inhibition of Pgp by clarithromycin may lead to increased exposure of digoxin. Elevated digoxin serum concentrations in patients receiving clarithromycin and digoxin concomitantly have been reported in post-marketing surveillance. Some patients have shown clinical signs consistent with digoxin toxicity, including potentially fatal arrhythmias. Monitoring of serum digoxin concentrations should be considered, especially for patients with digoxin concentrations in the upper therapeutic range.

Co-administration of clarithromycin, known to inhibit CYP3A, and a drug primarily metabolized by CYP3A may be associated with elevations in drug concentrations that could increase or prolong both therapeutic and adverse effects of the concomitant drug.

Clarithromycin should be used with caution in patients receiving treatment with other drugs known to be CYP3A enzyme substrates, especially if the CYP3A substrate has a narrow safety margin (e.g., carbamazepine) and/or the substrate is extensively metabolized by this enzyme. Dosage adjustments may be considered, and when possible, serum concentrations of drugs primarily metabolized by CYP3A should be monitored closely in patients concurrently receiving clarithromycin.

The following are examples of some clinically significant CYP3A based drug interactions. Interactions with other drugs metabolized by the CYP3A isoform are also possible.

Treatment

Clarithromycin is recommended as the primary agent for the treatment of disseminated infection due to Mycobacterium avium complex. Clarithromycin should be used in combination with other antimycobacterial drugs that have shown in vitro activity against MAC or clinical benefit in MAC treatment (see CLINICAL STUDIES ). The recommended dose for mycobacterial infections in adults is 500 mg b.i.d. In children, the recommended dose is 7.5 mg/kg b.i.d. up to 500 mg b.i.d. Dosing recommendations for children are in the table above.

Clarithromycin therapy should continue if clinical response is observed. Clarithromycin can be discontinued when the patient is considered at low risk of disseminated infection.

Atazanavir

Both clarithromycin and atazanavir are substrates and inhibitors of CYP3A, and there is evidence of a bi-directional drug interaction. Following administration of clarithromycin (500 mg twice daily) with atazanavir (400 mg once daily), the clarithromycin AUC increased 94%, the 14-OH clarithromycin AUC decreased 70% and the atazanavir AUC increased 28%. When clarithromycin is co-administered with atazanavir, the dose of clarithromycin should be decreased by 50%. Since concentrations of 14-OH clarithromycin are significantly reduced when clarithromycin is co-administered with atazanavir, alternative antibacterial therapy should be considered for indications other than infections due to Mycobacterium avium complex (see PRECAUTIONS – Drug Interactions ). Doses of clarithromycin greater than 1000 mg per day should not be co-administered with protease inhibitors.

Colchicine

Colchicine is a substrate for both CYP3A and the efflux transporter, P-glycoprotein (Pgp). Clarithromycin and other macrolides are known to inhibit CYP3A and Pgp. When a single dose of colchicine 0.6 mg was administered with clarithromycin 250 mg BID for 7 days, the colchicine Cmax increased 197% and the AUC0-∞ increased 239% compared to administration of colchicine alone. The dose of colchicine should be reduced when co-administered with clarithromycin in patients with normal renal and hepatic function. Concomitant use of clarithromycin and colchicine is contraindicated in patients with renal or hepatic impairment (see WARNINGS ).

Etravirine

Clarithromycin exposure was decreased by etravirine; however, concentrations of the active metabolite, 14-OH-clarithromycin, were increased. Because 14-OH-clarithromycin has reduced activity against Mycobacterium avium complex (MAC), overall activity against this pathogen may be altered; therefore alternatives to clarithromycin should be considered for the treatment of MAC.

Overdosage

Overdosage of clarithromycin can cause gastrointestinal symptoms such as abdominal pain, vomiting, nausea, and diarrhea.

Adverse reactions accompanying overdosage should be treated by the prompt elimination of unabsorbed drug and supportive measures. As with other macrolides, clarithromycin serum concentrations are not expected to be appreciably affected by hemodialysis or peritoneal dialysis.

Quetiapine

Quetiapine is a substrate for CYP3A4, which is inhibited by clarithromycin. Co‑administration with clarithromycin could result in increased quetiapine exposure and possible quetiapine related toxicities. There have been post-marketing reports of somnolence, orthostatic hypotension, altered state of consciousness, neuroleptic malignant syndrome, and QT prolongation during concomitant administration. Refer to quetiapine prescribing information for recommendations on dose reduction if co-administered with CYP3A4 inhibitors such as clarithromycin.

References
  • 1.
    Clinical and Laboratory Standards Institute (CLSI). Methods for Dilution Antimicrobial Susceptibility Tests for Bacteria that Grow Aerobically - 9th edition. Approved Standard. CLSI Document M07-A9, CLSI. 950 West Valley Rd, Suite 2500, Wayne, PA 19087, 2012.
  • 2.
    CLSI. Performance Standards for Antimicrobial Susceptibility Testing, 23rd Informational Supplement, CLSI Document M100-S23, 2013.
  • 3.
    CLSI. Performance Standards for Antimicrobial Disk Susceptibility Tests, 11th edition. Approved Standard CLSI Document M02-A11, 2012.
  • 4.
    CLSI. Methods for Antimicrobial Dilution and Disk Diffusion Susceptibility Testing of Infrequently Isolated or Fastidious Bacteria - 2nd edition. CLSI document M45-A2, 2010.
  • 5.
    Chaisson RE, et al. Clarithromycin and Ethambutol with or without Clofazimine for the Treatment of Bacteremic Mycobacterium avium Complex Disease in Patients with HIV Infection. AIDS. 1997;11:311-317.
  • 6.
    Kemper CA, et al. Treatment of Mycobacterium avium Complex Bacteremia in AIDS with a Four-Drug Oral Regimen. Ann Intern Med. 1992;116:466-472.
Saquinavir

Both clarithromycin and saquinavir are substrates and inhibitors of CYP3A and there is evidence of a bi-directional drug interaction. Following administration of clarithromycin (500 mg bid) and saquinavir (soft gelatin capsules, 1200 mg tid) to 12 healthy volunteers, the steady-state saquinavir AUC and Cmax increased 177% and 187% respectively compared to administration of saquinavir alone. Clarithromycin AUC and Cmax increased 45% and 39% respectively, whereas the 14–OH clarithromycin AUC and Cmax decreased 24% and 34% respectively, compared to administration with clarithromycin alone. No dose adjustment of clarithromycin is necessary when clarithromycin is co-administered with saquinavir in patients with normal renal function. When saquinavir is co-administered with ritonavir, consideration should be given to the potential effects of ritonavir on clarithromycin (refer to interaction between clarithromycin and ritonavir) (see PRECAUTIONS — Drug Interactions ).

The following CYP3A based drug interactions have been observed with erythromycin products and/or with clarithromycin in post-marketing experience:

Prophylaxis

Clarithromycin tablets, USP are indicated for the prevention of disseminated Mycobacterium avium complex (MAC) disease in patients with advanced HIV infection.

To reduce the development of drug-resistant bacteria and maintain the effectiveness of clarithromycin and other antibacterial drugs, clarithromycin tablets, USP should be used only to treat or prevent infections that are proven or strongly suspected to be caused by susceptible bacteria. When culture and susceptibility information are available, they should be considered in selecting or modifying antibacterial therapy. In the absence of such data, local epidemiology and susceptibility patterns may contribute to the empiric selection of therapy.

Tolterodine

The primary route of metabolism for tolterodine is via CYP2D6. However, in a subset of the population devoid of CYP2D6, the identified pathway of metabolism is via CYP3A. In this population subset, inhibition of CYP3A results in significantly higher serum concentrations of tolterodine. Tolterodine 1 mg twice daily is recommended in patients deficient in CYP2D6 activity (poor metabolizers) when co-administered with clarithromycin.

Helicobacter

Helicobacter pylori

Itraconazole

Both clarithromycin and itraconazole are substrates and inhibitors of CYP3A, potentially leading to a bi-directional drug interaction when administered concomitantly. Clarithromycin may increase the plasma concentrations of itraconazole, while itraconazole may increase the plasma concentrations of clarithromycin. Patients taking itraconazole and clarithromycin concomitantly should be monitored closely for signs or symptoms of increased or prolonged adverse reactions.

Microbiology

Clarithromycin exerts its antibacterial action by binding to the 50S ribosomal subunit of susceptible bacteria resulting in inhibition of protein synthesis.

Clarithromycin is active in vitro against a variety of aerobic and anaerobic Gram-positive and Gram-negative bacteria as well as most Mycobacterium avium complex (MAC) bacteria.

Additionally, the 14-OH clarithromycin metabolite also has clinically significant antimicrobial activity. The 14-OH clarithromycin is twice as active against Haemophilus influenzae microorganisms as the parent compound. However, for Mycobacterium avium complex (MAC) isolates the 14-OH metabolite is 4 to 7 times less active than clarithromycin. The clinical significance of this activity against Mycobacterium avium complex is unknown.

Clarithromycin has been shown to be active against most strains of the following microorganisms both in vitro and in clinical infections as described in the INDICATIONS AND USAGE section:

Mycobacteria

Mycobacterium avium complex (MAC) consisting of:

Mycobacterium avium

Mycobacterium intracellulare

Beta-lactamase production should have no effect on clarithromycin activity.

NOTE: Most isolates of methicillin-resistant and oxacillin-resistant staphylococci are resistant to clarithromycin.

Omeprazole/clarithromycin dual therapy; ranitidine bismuth citrate/clarithromycin dual therapy; omeprazole/clarithromycin/amoxicillin triple therapy; and lansoprazole/clarithromycin/amoxicillin triple therapy have been shown to be active against most strains of Helicobacter pylori in vitro and in clinical infections as described in the INDICATIONS AND USAGE section.

Otitis Media

In a controlled clinical study of acute otitis media performed in the United States, where significant rates of beta-lactamase producing organisms were found, clarithromycin was compared to an oral cephalosporin. In this study, very strict evaluability criteria were used to determine clinical response. For the 223 patients who were evaluated for clinical efficacy, the clinical success rate (i.e., cure plus improvement) at the post-therapy visit was 88% for clarithromycin and 91% for the cephalosporin.

In a smaller number of patients, microbiologic determinations were made at the pre-treatment visit. The following presumptive bacterial eradication/clinical cure outcomes (i.e., clinical success) were obtained:

U.S. Acute Otitis Media Study Clarithromycin vs. Oral Cephalosporin EFFICACY RESULTS

PATHOGEN

OUTCOME

S. pneumoniae

clarithromycin success rate, 13/15 (87%), control 4/5

H. influenzae*

clarithromycin success rate, 10/14 (71%), control 3/4

M. catarrhalis

clarithromycin success rate, 4/5,control 1/1

S. pyogenes

clarithromycin success rate, 3/3,control 0/1

Overall

clarithromycin success rate, 30/37 (81%), control 8/11 (73%)

*   None of the H. influenzae isolated pre-treatment was resistant to clarithromycin; 6% were resistant to the control agent.

Geriatric Use

In a steady-state study in which healthy elderly subjects (age 65 to 81 years old) were given 500 mg every 12 hours, the maximum serum concentrations and area under the curves of clarithromycin and 14-OH clarithromycin were increased compared to those achieved in healthy young adults. These changes in pharmacokinetics parallel known age-related decreases in renal function. In clinical trials, elderly patients did not have an increased incidence of adverse events when compared to younger patients. Dosage adjustment should be considered in elderly patients with severe renal impairment. Elderly patients may be more susceptible to development of torsades de pointes arrhythmias than younger patients (see WARNINGS and PRECAUTIONS ).

Most reports of acute kidney injury with calcium channel blockers metabolized by CYP3A4 (e.g., verapamil, amlodipine, diltiazem, nifedipine) involved elderly patients 65 years of age or older (see WARNINGS ).

Pediatric Use

Safety and effectiveness of clarithromycin in pediatric patients under 6 months of age have not been established. The safety of clarithromycin has not been studied in MAC patients under the age of 20 months. Neonatal and juvenile animals tolerated clarithromycin in a manner similar to adult animals. Young animals were slightly more intolerant to acute overdosage and to subtle reductions in erythrocytes, platelets and leukocytes but were less sensitive to toxicity in the liver, kidney, thymus, and genitalia.

Hepatotoxicity

Hepatic dysfunction, including increased liver enzymes, and hepatocellular and/or cholestatic hepatitis, with or without jaundice, has been reported with clarithromycin. This hepatic dysfunction may be severe and is usually reversible. In some instances, hepatic failure with fatal outcome has been reported and generally has been associated with serious underlying diseases and/or concomitant medications. Symptoms of hepatitis can include anorexia, jaundice, dark urine, pruritus, or tender abdomen. Discontinue clarithromycin immediately if signs and symptoms of hepatitis occur.

Mac Bacteremia

In patients randomized to clarithromycin, the risk of MAC bacteremia was reduced by 69% compared to placebo. The difference between groups was statistically significant (p < 0.001). On an intent-to-treat basis, the one-year cumulative incidence of MAC bacteremia was 5.0% for patients randomized to clarithromycin and 19.4% for patients randomized to placebo. While only 19 of the 341 patients randomized to clarithromycin developed MAC, 11 of these cases were resistant to clarithromycin. The patients with resistant MAC bacteremia had a median baseline CD4 count of 10 cells/mm3 (range 2 to 25 cells/mm3). Information regarding the clinical course and response to treatment of the patients with resistant MAC bacteremia is limited. The 8 patients who received clarithromycin and developed susceptible MAC bacteremia had a median baseline CD4 count of 25 cells/mm3 (range 10 to 80 cells/mm3). Comparatively, 53 of the 341 placebo patients developed MAC; none of these isolates were resistant to clarithromycin. The median baseline CD4 count was 15 cells/mm3 (range 2 to 130 cells/mm3) for placebo patients that developed MAC.

Antiarrhythmics

There have been post-marketing reports of torsades de pointes occurring with concurrent use of clarithromycin and quinidine or disopyramide. Electrocardiograms should be monitored for QTc prolongation during coadministration of clarithromycin with these drugs. Serum concentrations of these medications should also be monitored.

There have been post marketing reports of hypoglycemia with the concomitant administration of clarithromycin and disopyramide. Therefore, blood glucose levels should be monitored during concomitant administration of clarithromycin and disopyramide.

Nursing Mothers

Clarithromycin and its active metabolite 14-hydroxy clarithromycin are excreted in human milk. Serum and milk samples were obtained after 3 days of treatment, at steady state, from one published study of 12 lactating women who were taking clarithromycin 250 mg orally twice daily. Based on the limited data from this study, and assuming milk consumption of 150 mL/kg/day, an exclusively human milk fed infant would receive an estimated average of 136 mcg/kg/day of clarithromycin and its active metabolite, with this maternal dosage regimen. This is less than 2% of the maternal weight-adjusted dose (7.8 mg/kg/day, based on the average maternal weight of 64 kg), and less than 1% of the pediatric dose (15 mg/kg/day) for children greater than 6 months of age.

A prospective observational study of 55 breastfed infants of mothers taking a macrolide antibiotic (6 were exposed to clarithromycin) were compared to 36 breastfed infants of mothers taking amoxicillin. Adverse reactions were comparable in both groups. Adverse reactions occurred in 12.7% of infants exposed to macrolides and included rash, diarrhea, loss of appetite, and somnolence.

Caution should be exercised when clarithromycin is administered to nursing women. The development and health benefits of human milk feeding should be considered along with the mother’s clinical need for clarithromycin and any potential adverse effects on the human milk fed child from the drug or from the underlying maternal condition.

Qt Prolongation

Clarithromycin has been associated with prolongation of the QT interval and infrequent cases of arrhythmia. Cases of torsades de pointes have been spontaneously reported during postmarketing surveillance in patients receiving clarithromycin. Fatalities have been reported. Clarithromycin should be avoided in patients with ongoing proarrhythmic conditions such as uncorrected hypokalemia or hypomagnesemia, clinically significant bradycardia (see CONTRAINDICATIONS ) and in patients receiving Class IA (quinidine, procainamide) or Class III (dofetilide, amiodarone, sotalol) antiarrhythmic agents. Elderly patients may be more susceptible to drug-associated effects on the QT interval.

Quality Control

Standardized susceptibility test procedures require the use of laboratory control bacteria to monitor and ensure the accuracy and precision of supplies and reagents in the assay, and the techniques of the individual performing the test.1,2 Standard clarithromycin powder should provide the following MIC ranges.

QC Strain

MIC (mcg/mL)

S. aureus

ATCC® 29213c

0.12 to 0.5

S. pneumoniae d

ATCC 49619

0.03 to 0.12

Haemophilus influenzae e

ATCC 49247

4 to 16

c ATCC is a registered trademark of the American Type Culture Collection.

d This quality control range is applicable only to S. pneumoniae ATCC 49619 tested by a microdilution procedure using cation-adjusted Mueller-Hinton broth with 2-5% lysed horse blood.

e This quality control range is applicable only to H. influenzae ATCC 49247 tested by a microdilution procedure using HTM1.

Pharmacokinetics

Clarithromycin is rapidly absorbed from the gastrointestinal tract after oral administration. The absolute bioavailability of 250 mg clarithromycin tablets was approximately 50%. For a single 500 mg dose of clarithromycin, food slightly delays the onset of clarithromycin absorption, increasing the peak time from approximately 2 to 2.5 hours. Food also increases the clarithromycin peak plasma concentration by about 24%, but does not affect the extent of clarithromycin bioavailability. Food does not affect the onset of formation of the antimicrobially active metabolite, 14-OH clarithromycin or its peak plasma concentration but does slightly decrease the extent of metabolite formation, indicated by an 11% decrease in area under the plasma concentration-time curve (AUC). Therefore, clarithromycin tablets may be given without regard to food.

In nonfasting healthy human subjects (males and females), peak plasma concentrations were attained within 2 to 3 hours after oral dosing. Steady-state peak plasma clarithromycin concentrations were attained within 3 days and were approximately 1 to 2 mcg/mL with a 250 mg dose administered every 12 hours and 3 to 4 mcg/mL with a 500 mg dose administered every 8 to 12 hours. The elimination half-life of clarithromycin was about 3 to 4 hours with 250 mg administered every 12 hours but increased to 5 to 7 hours with 500 mg administered every 8 to 12 hours. The nonlinearity of clarithromycin pharmacokinetics is slight at the recommended doses of 250 mg and 500 mg administered every 8 to 12 hours. With a 250 mg every 12 hours dosing, the principal metabolite, 14-OH clarithromycin, attains a peak steady-state concentration of about 0.6 mcg/mL and has an elimination half-life of 5 to 6 hours. With a 500 mg every 8 to 12 hours dosing, the peak steady-state concentration of 14-OH clarithromycin is slightly higher (up to 1 mcg/mL), and its elimination half-life is about 7 to 9 hours. With any of these dosing regimens, the steady-state concentration of this metabolite is generally attained within 3 to 4 days.

After a 250 mg tablet every 12 hours, approximately 20% of the dose is excreted in the urine as clarithromycin, while after a 500 mg tablet every 12 hours, the urinary excretion of clarithromycin is somewhat greater, approximately 30%. In comparison, after an oral dose of 250 mg (125 mg/5 mL) suspension every 12 hours, approximately 40% is excreted in urine as clarithromycin. The renal clearance of clarithromycin is, however, relatively independent of the dose size and approximates the normal glomerular filtration rate. The major metabolite found in urine is 14-OH clarithromycin, which accounts for an additional 10% to 15% of the dose with either a 250 mg or a 500 mg tablet administered every 12 hours.

Steady-state concentrations of clarithromycin and 14-OH clarithromycin observed following administration of 500 mg doses of clarithromycin every 12 hours to adult patients with HIV infection were similar to those observed in healthy volunteers. In adult HIV-infected patients taking 500- or 1000-mg doses of clarithromycin every 12 hours, steady-state clarithromycin Cmax values ranged from 2 to 4 mcg/mL and 5 to 10 mcg/mL, respectively.

The steady-state concentrations of clarithromycin in subjects with impaired hepatic function did not differ from those in normal subjects; however, the 14-OH clarithromycin concentrations were lower in the hepatically impaired subjects. The decreased formation of 14-OH clarithromycin was at least partially offset by an increase in renal clearance of clarithromycin in the subjects with impaired hepatic function when compared to healthy subjects.

The pharmacokinetics of clarithromycin was also altered in subjects with impaired renal function (see PRECAUTIONS and DOSAGE AND ADMINISTRATION ).

Clarithromycin and the 14-OH clarithromycin metabolite distribute readily into body tissues and fluids. There are no data available on cerebrospinal fluid penetration. Because of high intracellular concentrations, tissue concentrations are higher than serum concentrations. Examples of tissue and serum concentrations are presented below.

CONCENTRATION (after 250 mg q12h)

Tissue Type

Tissue

(mcg/g)

Serum

(mcg/mL)

Tonsil

1.6

0.8

Lung

8.8

1.7

Clarithromycin 500 mg every 8 hours was given in combination with omeprazole 40 mg daily to healthy adult males. The plasma levels of clarithromycin and 14-hydroxy-clarithromycin were increased by the concomitant administration of omeprazole. For clarithromycin, the mean Cmax was 10% greater, the mean Cmin was 27% greater, and the mean AUC0-8 was 15% greater when clarithromycin was administered with omeprazole than when clarithromycin was administered alone. Similar results were seen for 14-hydroxy-clarithromycin, the mean Cmax was 45% greater, the mean Cmin was 57% greater, and the mean AUC0-8 was 45% greater. Clarithromycin concentrations in the gastric tissue and mucus were also increased by concomitant administration of omeprazole.

Clarithromycin Tissue Concentrations 2 hours after Dose (mcg/mL)/(mcg/g)

Treatment

N

antrum

fundus

N

mucus

Clarithromycin

5

10.48 ± 2.01

20.81 ± 7.64

4

4.15 ± 7.74

Clarithromycin + Omeprazole

5

19.96 ± 4.71

24.25 ± 6.37

4

39.29 ± 32.79

For information about other drugs indicated in combination with clarithromycin, refer to the CLINICAL PHARMACOLOGY section of their package inserts.

Use in Pregnancy

CLARITHROMYCIN SHOULD NOT BE USED IN PREGNANT WOMEN EXCEPT IN CLINICAL CIRCUMSTANCES WHERE NO ALTERNATIVE THERAPY IS APPROPRIATE. IF PREGNANCY OCCURS WHILE TAKING THIS DRUG, THE PATIENT SHOULD BE APPRISED OF THE POTENTIAL HAZARD TO THE FETUS. CLARITHROMYCIN HAS DEMONSTRATED ADVERSE EFFECTS OF PREGNANCY OUTCOME AND/OR EMBRYO-FETAL DEVELOPMENT IN MONKEYS, RATS, MICE, AND RABBITS AT DOSES THAT PRODUCED PLASMA LEVELS 2 TO 17 TIMES THE SERUM LEVELS ACHIEVED IN HUMANS TREATED AT THE MAXIMUM RECOMMENDED HUMAN DOSES (see PRECAUTIONS - Pregnancy).

Dilution Techniques

Quantitative methods are used to determine antimicrobial minimum inhibitory concentrations (MICs). These MICs provide estimates of the susceptibility of bacteria to antimicrobial compounds. The MICs should be determined using a standardized procedure. Standardized procedures are based on a dilution method1 (broth or agar) or equivalent with standardized inoculum concentrations and standardized concentrations of clarithromycin powder. The MIC values should be interpreted according to the following criteria2:

Susceptibility Test Interpretive Criteria for Staphylococcus aureus

MIC (mcg/mL)

Interpretation

≤ 2.0

Susceptible (S)

4.0

Intermediate (I)

≥ 8.0

Resistant (R)

Susceptibility Test Interpretive Criteria for Streptococcus pyogenes and Streptococcus pneumoniae a

MIC (mcg/mL)

Interpretation

≤ 0.25

Susceptible (S)

0.5

Intermediate (I)

≥ 1.0

Resistant (R)

a   These interpretive standards are applicable only to broth microdilution susceptibility tests using cation-adjusted Mueller-Hinton broth with 2-5% lysed horse blood.

For testing Haemophilus spp. b

MIC (mcg/mL)

Interpretation

≤ 8.0

Susceptible (S)

16.0

Intermediate (I)

≥ 32.0

Resistant (R)

b   These interpretive standards are applicable only to broth microdilution susceptibility tests with Haemophilus spp. using Haemophilus Testing Medium (HTM).1

Note: When testing Streptococcus pyogenes and Streptococcus pneumoniae, susceptibility and resistance to clarithromycin can be predicted using erythromycin.

A report of "Susceptible" indicates that the pathogen is likely to be inhibited if the antimicrobial compound in the blood reaches the concentrations usually achievable. A report of "Intermediate" indicates that the result should be considered equivocal, and, if the microorganism is not fully susceptible to alternative, clinically feasible drugs, the test should be repeated. This category implies possible clinical applicability in body sites where the drug is physiologically concentrated or in situations where high dosage of drug can be used. This category also provides a buffer zone which prevents small uncontrolled technical factors from causing major discrepancies in interpretation. A report of "Resistant" indicates that the pathogen is not likely to be inhibited if the antimicrobial compound in the blood reaches the concentrations usually achievable; other therapy should be selected.

Sildenafil (viagra)

Erythromycin has been reported to increase the systemic exposure (AUC) of sildenafil. A similar interaction may occur with clarithromycin; reduction of sildenafil dosage should be considered (see Viagra package insert).

There have been spontaneous or published reports of CYP3A based interactions of erythromycin and/or clarithromycin with cyclosporine, carbamazepine, tacrolimus, alfentanil, disopyramide, rifabutin, quinidine, methylprednisolone, cilostazol, bromocriptine, vinblastine, phenobarbital and St. John’s Wort.

Concomitant administration of clarithromycin with cisapride, pimozide, astemizole, or terfenadine is contraindicated (see CONTRAINDICATIONS ).

In addition, there have been reports of interactions of erythromycin or clarithromycin with drugs not thought to be metabolized by CYP3A, including hexobarbital, phenytoin, and valproate.

Other Microorganisms

Mycoplasma pneumoniae

Chlamydophila pneumoniae (TWAR) [previously Chlamydia pneumoniae]

Pregnancy Category C

Four teratogenicity studies in rats (three with oral doses and one with intravenous doses up to 160 mg/kg/day administered during the period of major organogenesis) and two in rabbits at oral doses up to 125 mg/kg/day (approximately 2 times the recommended maximum human dose based on mg/m2) or intravenous doses of 30 mg/kg/day administered during gestation days 6 to 18 failed to demonstrate any teratogenicity from clarithromycin. Two additional oral studies in a different rat strain at similar doses and similar conditions demonstrated a low incidence of cardiovascular anomalies at doses of 150 mg/kg/day administered during gestation days 6 to 15. Plasma levels after 150 mg/kg/day were 2 times the human serum levels. Four studies in mice revealed a variable incidence of cleft palate following oral doses of 1000 mg/kg/day (2 and 4 times the recommended maximum human dose based on mg/m2, respectively) during gestation days 6 to 15. Cleft palate was also seen at 500 mg/kg/day. The 1000 mg/kg/day exposure resulted in plasma levels 17 times the human serum levels. In monkeys, an oral dose of 70 mg/kg/day (an approximate equidose of the recommended maximum human dose based on mg/m2) produced fetal growth retardation at plasma levels that were 2 times the human serum levels.

There are no adequate and well-controlled studies in pregnant women. Clarithromycin should be used during pregnancy only if the potential benefit justifies the potential risk to the fetus (see WARNINGS ).

Clostridium Difficile

Clostridium difficile associated diarrhea (CDAD) has been reported with use of nearly all antibacterial agents, including clarithromycin, and may range in severity from mild diarrhea to fatal colitis. Treatment with antibacterial agents alters the normal flora of the colon leading to overgrowth of C. difficile.

C. difficile produces toxins A and B which contribute to the development of CDAD. Hypertoxin producing strains of C. difficile cause increased morbidity and mortality, as these infections can be refractory to antimicrobial therapy and may require colectomy. CDAD must be considered in all patients who present with diarrhea following antibiotic use. Careful medical history is necessary since CDAD has been reported to occur over two months after the administration of antibacterial agents.

If CDAD is suspected or confirmed, ongoing antibiotic use not directed against C. difficile may need to be discontinued. Appropriate fluid and electrolyte management, protein supplementation, antibiotic treatment of C. difficile, and surgical evaluation should be instituted as clinically indicated.

Duodenal Ulcer Healing

The combination of clarithromycin and omeprazole was as effective as omeprazole alone for healing duodenal ulcer.

End-of-Treatment Ulcer Healing Rates Percent of Patients Healed (n/N)

Study

Clarithromycin + Omeprazole

Omeprazole

Clarithromycin

U.S. Studies

     Study 100

94% (58/62)

88% (60/68)

71% (49/69)

  •  
         Study 067

88% (56/64)

85% (55/65)

64% (44/69)

Non-U.S. Studies

  •  
         Study 058

99% (84/85)

95% (82/86)

N/A

     Study 812b1

100% (64/64)

99% (71/72)

N/A

†   p < 0.05 for clarithromycin + omeprazole versus clarithromycin monotherapy.

1   In Study 812b patients received omeprazole 40 mg daily for days 15 to 28.

Gram Negative Bacteria

Bordetella pertussis

Legionella pneumophila

Pasteurella multocida

Gram Positive Bacteria

Streptococcus agalactiae

Streptococci (Groups C, F, G)

Viridans group streptococci

Information to Patients

Patients should be counseled that antibacterial drugs including clarithromycin should only be used to treat bacterial infections. They do not treat viral infections (e.g., the common cold). When clarithromycin is prescribed to treat a bacterial infection, patients should be told that although it is common to feel better early in the course of therapy, the medication should be taken exactly as directed. Skipping doses or not completing the full course of therapy may (1) decrease the effectiveness of the immediate treatment and (2) increase the likelihood that bacteria will develop resistance and will not be treatable by clarithromycin or other antibacterial drugs in the future.

Diarrhea is a common problem caused by antibiotics which usually ends when the antibiotic is discontinued. Sometimes after starting treatment with antibiotics, patients can develop watery and bloody stools (with or without stomach cramps and fever) even as late as two or more months after having taken the last dose of the antibiotic. If this occurs, patients should contact their physician as soon as possible.

Clarithromycin may interact with some drugs; therefore patients should be advised to report to their doctor the use of any other medications.

Clarithromycin tablets can be taken with or without food and can be taken with milk.

Pretreatment Resistance

Clarithromycin pretreatment resistance rates were 3.5% (4/113) in the omeprazole/clarithromycin dual therapy studies (M93-067, M93-100) and 9.3% (41/439) in the omeprazole/clarithromycin/amoxicillin triple therapy studies (126, 127, M96-446). Clarithromycin pretreatment resistance was 12.6% (44/348) in the ranitidine bismuth citrate/clarithromycin b.i.d. versus t.i.d. clinical study (H2BA3001). Clarithromycin pretreatment resistance rates were 9.5% (91/960) by E-test and 11.3% (12/106) by agar dilution in the lansoprazole/clarithromycin/amoxicillin triple therapy clinical trials (M93-125, M93-130, M93-131, M95-392, and M95-399).

Amoxicillin pretreatment susceptible isolates (< 0.25 mcg/mL) were found in 99.3% (436/439) of the patients in the omeprazole/clarithromycin/amoxicillin clinical studies (126, 127, M96-446). Amoxicillin pretreatment minimum inhibitory concentrations (MICs) > 0.25 mcg/mL occurred in 0.7% (3/439) of the patients, all of whom were in the clarithromycin/amoxicillin study arm. Amoxicillin pretreatment susceptible isolates (< 0.25 mcg/mL) occurred in 97.8% (936/957) and 98.0% (98/100) of the patients in the lansoprazole/clarithromycin/amoxicillin triple-therapy clinical trials by E-test and agar dilution, respectively. Twenty-one of the 957 patients (2.2%) by E-test and 2 of 100 patients (2.0%) by agar dilution had amoxicillin pretreatment MICs of > 0.25 mcg/mL. Two patients had an unconfirmed pretreatment amoxicillin minimum inhibitory concentration (MIC) of > 256 mcg/mL by E-test.

Clarithromycin Susceptibility Test Results and Clinical/Bacteriological Outcomesa

Clarithromycin Pretreatment Results

 

Clarithromycin Post-treatment Results

 

 

H. pylori negative - eradicated

H. pylori positive - not eradicated

Post-treatment susceptibility results

 

 

 

Sb

Ib

Rb

No MIC

Omeprazole 40 mg q.d./clarithromycin 500 mg t.i.d. for 14 days followed by omeprazole 20 mg q.d. for another 14 days (M93-067, M93-100)

Susceptibleb

108

72

1

 

26

9

Intermediateb

1

 

 

 

1

 

Resistantb

4

 

 

 

4

 

Ranitidine bismuth citrate 400 mg b.i.d./clarithromycin 500 mg t.i.d. for 14 days followed by ranitidine bismuth citrate 400 mg b.i.d. for another 14 days (H2BA3001)

Susceptibleb

124

98

4

 

14

8

Intermediateb

3

2

 

 

 

1

Resistantb

17

1

 

 

15

1

Ranitidine bismuth citrate 400 mg b.i.d./clarithromycin 500 mg b.i.d. for 14 days followed by ranitidine bismuth citrate 400 mg b.i.d. for another 14 days (H2BA3001)

Susceptibleb

125

106

1

1

12

5

Intermediateb

2

2

 

 

 

 

Resistantb

20

1

 

 

19

 

Omeprazole 20 mg b.i.d./clarithromycin 500 mg b.i.d./amoxicillin 1 g b.i.d. for 10 days (126, 127, M96-446)

Susceptibleb

171

153

7

 

3

8

Intermediateb

 

 

 

 

 

 

Resistantb

14

4

1

 

6

3

Lansoprazole 30 mg b.i.d./clarithromycin 500 mg b.i.d./amoxicillin 1 g b.i.d. for 14 days (M95-399, M93-131, M95-392)

Susceptibleb

112

105

 

 

 

7

Intermediateb

3

3

 

 

 

 

Resistantb

17

6

 

 

7

4

Lansoprazole 30 mg b.i.d./clarithromycin 500 mg b.i.d./amoxicillin 1 g b.i.d. for 10 days (M95-399)

Susceptibleb

42

40

1

 

1

 

Intermediateb

 

 

 

 

 

 

Resistantb

4

1

 

 

3

 

a   Includes only patients with pretreatment clarithromycin susceptibility tests

b   Breakpoints for antimicrobial susceptibility testing at the time of studies were: Susceptible (S) MIC < 0.25 mcg/mL, Intermediate (I) MIC 0.5-1.0 mcg/mL, Resistant (R) MIC > 2 mcg/mL. For current antimicrobial susceptibility testing guidelines see reference 4. For current susceptibility test interpretive criteria, see Susceptibility Test for Helicobacter pylori below.

Patients not eradicated of H. pylori following omeprazole/clarithromycin, ranitidine bismuth citrate/clarithromycin, omeprazole/clarithromycin/amoxicillin, or lansoprazole/clarithromycin/amoxicillin therapy would likely have clarithromycin resistant H. pylori isolates. Therefore, for patients who fail therapy, clarithromycin susceptibility testing should be done, if possible. Patients with clarithromycin resistant H. pylori should not be treated with any of the following: omeprazole/clarithromycin dual therapy; ranitidine bismuth citrate/clarithromycin dual therapy; omeprazole/clarithromycin/amoxicillin triple therapy; lansoprazole/clarithromycin/amoxicillin triple therapy; or other regimens which include clarithromycin as the sole antimicrobial agent.

Post Marketing Experience

The following adverse reactions have been identified during post approval use of clarithromycin. Because these reactions are reported voluntarily from a population of uncertain size, it is not always possible to reliably estimate their frequency or establish a causal relationship to drug exposure.

Blood and Lymphatic System Disorders

Thrombocytopenia, agranulocytosis

Cardiac Disorders

Torsades de pointes, ventricular tachycardia, ventricular arrhythmia

Ear and Labyrinth Disorders

Deafness was reported chiefly in elderly women and was usually reversible.

Gastrointestinal Disorders

Pancreatitis acute, tongue discoloration, tooth discoloration was reported and was usually reversible with professional cleaning upon discontinuation of the drug. There have been reports of clarithromycin extended-release tablets in the stool, many of which have occurred in patients with anatomic (including ileostomy or colostomy) or functional gastrointestinal disorders with shortened GI transit times. In several reports, tablet residues have occurred in the context of diarrhea. It is recommended that patients who experience tablet residue in the stool and no improvement in their condition should be switched to a different clarithromycin formulation (e.g., suspension) or another antibacterial drug.

Hepatobiliary Disorders

Hepatic failure, jaundice hepatocellular. Adverse reactions related to hepatic dysfunction have been reported with clarithromycin (see WARNINGS - Hepatotoxicity ).

Immune System Disorders

Anaphylactic reaction, angioedema

Infections and Infestations

Pseudomembranous colitis

Investigations

Prothrombin time prolonged, white blood cell count decreased, international normalized ratio increased. Abnormal urine color has been reported, associated with hepatic failure.

Metabolism and Nutrition Disorders

Hypoglycemia has been reported in patients taking oral hypoglycemic agents or insulin.

Musculoskeletal and Connective Tissue Disorders

Myopathy, rhabdomyolysis was reported and in some of the reports, clarithromycin was administered concomitantly with statins, fibrates, colchicine or allopurinol (see CONTRAINDICATIONS and WARNINGS ).

Nervous System Disorders

Convulsion, ageusia, parosmia, anosmia, paraesthesia

Psychiatric Disorders

Psychotic disorder, confusional state, depersonalization, depression, disorientation, manic behavior, hallucination, abnormal behavior, abnormal dreams. These disorders usually resolve upon discontinuation of the drug.

There are no data on the effect of clarithromycin on the ability to drive or use machines. The potential for dizziness, vertigo, confusion and disorientation, which may occur with the medication, should be taken into account before patients drive or use machines.

Renal and Urinary Disorders

Nephritis interstitial, renal failure

Skin and Subcutaneous Tissue Disorders

Stevens-Johnson syndrome, toxic epidermal necrolysis, drug rash with eosinophilia and systemic symptoms (DRESS), Henoch-Schonlein purpura, acne

Vascular Disorders

Hemorrhage

There have been reports of colchicine toxicity with concomitant use of clarithromycin and colchicine, especially in the elderly, some of which occurred in patients with renal insufficiency. Deaths have been reported in some such patients (see WARNINGS and PRECAUTIONS ).

Changes in Laboratory Values

In immunocompromised patients treated with clarithromycin for mycobacterial infections, evaluations of laboratory values were made by analyzing those values outside the seriously abnormal level (i.e., the extreme high or low limit) for the specified test.

Percentage of Patients(a) Exceeding Extreme Laboratory Value Limits During First 12 Weeks of Treatment 500 mg b.i.d. Dose(b)

 

 

Study 500

Study 577

Combined

BUN

> 50 mg/dL

0%

< 1%

< 1%

Platelet Count

< 50 x 109/L

0%

< 1%

< 1%

SGOT

> 5 x ULN(c)

0%

3%

2%

SGPT

> 5 x ULN(c)

0%

2%

1%

WBC

< 1 x 109/L

0%

1%

1%

(a)   Includes only patients with baseline values within the normal range or borderline high (hematology variables) and within the normal range or borderline low (chemistry variables)

(b)   Includes all values within the first 12 weeks for patients who start on 500 mg b.i.d.

(c)   ULN = Upper Limit of Normal

Ergotamine/dihydroergotamine

Post-marketing reports indicate that coadministration of clarithromycin with ergotamine or dihydroergotamine has been associated with acute ergot toxicity characterized by vasospasm and ischemia of the extremities and other tissues including the central nervous system. Concomitant administration of clarithromycin with ergotamine or dihydroergotamine is contraindicated (see CONTRAINDICATIONS ).

Gram Negative Microorganisms

Haemophilus influenzae

Haemophilus parainfluenzae

Moraxella catarrhalis

Gram Positive Microorganisms

Staphylococcus aureus

Streptococcus pneumoniae

Streptococcus pyogenes

Carbamazepine and Terfenadine

Increased serum concentrations of carbamazepine and the active acid metabolite of terfenadine were observed in clinical trials with clarithromycin.

Gram Negative Anaerobic Bacteria

Prevotella melaninogenica (formerly Bacteriodes melaninogenicus)

Animal Pharmacology and Toxicology

Clarithromycin is rapidly and well-absorbed with dose-linear kinetics, low protein binding, and a high volume of distribution. Plasma half-life ranged from 1 to 6 hours and was species dependent. High tissue concentrations were achieved, but negligible accumulation was observed. Fecal clearance predominated. Hepatotoxicity occurred in all species tested (i.e., in rats and monkeys at doses 2 times greater than and in dogs at doses comparable to the maximum human daily dose, based on mg/m2). Renal tubular degeneration (calculated on a mg/m2 basis) occurred in rats at doses 2 times, in monkeys at doses 8 times, and in dogs at doses 12 times greater than the maximum human daily dose. Testicular atrophy (on a mg/m2 basis) occurred in rats at doses 7 times, in dogs at doses 3 times, and in monkeys at doses 8 times greater than the maximum human daily dose. Corneal opacity (on a mg/m2 basis) occurred in dogs at doses 12 times and in monkeys at doses 8 times greater than the maximum human daily dose. Lymphoid depletion (on a mg/m2 basis) occurred in dogs at doses 3 times greater than and in monkeys at doses 2 times greater than the maximum human daily dose. These adverse events were absent during clinical trials.

Clarithromycin + Omeprazole Therapy

Four randomized, double-blind, multi-center studies (067, 100, 812b, and 058) evaluated clarithromycin 500 mg t.i.d. plus omeprazole 40 mg q.d. for 14 days, followed by omeprazole 20 mg q.d. (067, 100, and 058) or by omeprazole 40 mg q.d. (812b) for an additional 14 days in patients with active duodenal ulcer associated with H. pylori . Studies 067 and 100 were conducted in the U.S. and Canada and enrolled 242 and 256 patients, respectively. H. pylori infection and duodenal ulcer were confirmed in 219 patients in Study 067 and 228 patients in Study 100. These studies compared the combination regimen to omeprazole and clarithromycin monotherapies. Studies 812b and 058 were conducted in Europe and enrolled 154 and 215 patients, respectively. H. pylori infection and duodenal ulcer were confirmed in 148 patients in Study 812b and 208 patients in Study 058. These studies compared the combination regimen to omeprazole monotherapy. The results for the efficacy analyses for these studies are described below.

Sildenafil, Tadalafil, and Vardenafil

Each of these phosphodiesterase inhibitors is primarily metabolized by CYP3A, and CYP3A will be inhibited by concomitant administration of clarithromycin. Co-administration of clarithromycin with sildenafil, tadalafil, or vardenafil will result in increased exposure of these phosphodiesterase inhibitors. Co-administration of these phosphodiesterase inhibitors with clarithromycin is not recommended.

Dual Therapy: Clarithromycin/omeprazole

The recommended adult dose is 500 mg clarithromycin given three times daily (q8h) and 40 mg omeprazole given once daily (qAM) for 14 days (see INDICATIONS AND USAGE and CLINICAL STUDIES sections). An additional 14 days of omeprazole 20 mg once daily is recommended for ulcer healing and symptom relief.

Susceptibility Test for Helicobacter Pylori

The reference methodology for susceptibility testing of H. pylori is agar dilution MICs.4 One to three microliters of an inoculum equivalent to a No. 2 McFarland standard (1 x 107-1 x 108 CFU/mL for H. pylori) are inoculated directly onto freshly prepared antimicrobial containing Mueller-Hinton agar plates with 5% aged defibrinated sheep blood (> 2-weeks old). The agar dilution plates are incubated at 35°C in a microaerobic environment produced by a gas generating system suitable for Campylobacter species. After 3 days of incubation, the MICs are recorded as the lowest concentration of antimicrobial agent required to inhibit growth of the organism. The clarithromycin and amoxicillin MIC values should be interpreted according to the following criteria:

Susceptibility Test Interpretive Criteria H. pylorii

Clarithromycin MIC (mcg/mL) j

Interpretation

≤ 0.25

Susceptible (S)

0.5

Intermediate (I)

≥ 1.0

Resistant (R)

Susceptibility Test Interpretive Criteria for H. pylori

Amoxicillin MIC (mcg/mL) j,k

Interpretation

< 0.25

Susceptible (S)

j  These are tentative breakpoints for the agar dilution methodology, and should not be used to interpret results obtained using alternative methods.

k  There were not enough organisms with MICs > 0.25 mcg/mL to determine a resistance breakpoint.

Standardized susceptibility test procedures require the use of laboratory control bacteria to monitor and ensure the accuracy and precision of supplies and reagents in the assay, and the techniques of the individual performing the test. Standard clarithromycin or amoxicillin powder should provide the following MIC ranges.

Acceptable Quality Control Ranges

Antimicrobial Agent

MIC (mcg/mL)l

H. pylori

ATCC 43504

Clarithromycin

0.015-0.12 mcg/mL

H. pylori

ATCC 43504

Amoxicillin

0.015-0.12 mcg/mL

l  These are quality control ranges for the agar dilution methodology and should not be used to control test results obtained using alternative methods.

Susceptibility Testing for Mycobacterium Avium

The disk diffusion and dilution techniques for susceptibility testing against gram-positive and gram-negative bacteria should not be used for determining clarithromycin MIC values against mycobacteria. In vitro susceptibility testing methods and diagnostic products currently available for determining minimum inhibitory concentration (MIC) values against Mycobacterium avium complex (MAC) organisms have not been standardized or validated. Clarithromycin MIC values will vary depending on the susceptibility testing method employed, composition and pH of the media, and the utilization of nutritional supplements. Breakpoints to determine whether clinical isolates of M. avium or M. intracellulare are susceptible or resistant to clarithromycin have not been established.

Clinically Significant Disseminated Mac Disease

In association with the decreased incidence of bacteremia, patients in the group randomized to clarithromycin showed reductions in the signs and symptoms of disseminated MAC disease, including fever, night sweats, weight loss, and anemia.

Carcinogenesis, Mutagenesis, Impairment of Fertility

The following in vitro mutagenicity tests have been conducted with clarithromycin:

Salmonella/Mammalian Microsomes Test

Bacterial Induced Mutation Frequency Test

In Vitro Chromosome Aberration Test

Rat Hepatocyte DNA Synthesis Assay

Mouse Lymphoma Assay

Mouse Dominant Lethal Study

Mouse Micronucleus Test

All tests had negative results except the In Vitro Chromosome Aberration Test which was weakly positive in one test and negative in another.

In addition, a Bacterial Reverse-Mutation Test (Ames Test) has been performed on clarithromycin metabolites with negative results.

Fertility and reproduction studies have shown that daily doses of up to 160 mg/kg/day (1.3 times the recommended maximum human dose based on mg/m2) to male and female rats caused no adverse effects on the estrous cycle, fertility, parturition, or number and viability of offspring. Plasma levels in rats after 150 mg/kg/day were 2 times the human serum levels.

In the 150 mg/kg/day monkey studies, plasma levels were 3 times the human serum levels. When given orally at 150 mg/kg/day (2.4 times the recommended maximum human dose based on mg/m2), clarithromycin was shown to produce embryonic loss in monkeys. This effect has been attributed to marked maternal toxicity of the drug at this high dose.

In rabbits, in utero fetal loss occurred at an intravenous dose of 33 mg/m2, which is 17 times less than the maximum proposed human oral daily dose of 618 mg/m2.

Long-term studies in animals have not been performed to evaluate the carcinogenic potential of clarithromycin.

Triple Therapy: Clarithromycin/omeprazole/amoxicillin

The recommended adult dose is 500 mg clarithromycin, 20 mg omeprazole, and 1 gram amoxicillin, all given twice daily (q12h) for 10 days (see INDICATIONS AND USAGE and CLINICAL STUDIES sections). In patients with an ulcer present at the time of initiation of therapy, an additional 18 days of omeprazole 20 mg once daily is recommended for ulcer healing and symptom relief.

Dual Therapy: Clarithromycin/ranitidine Bismuth Citrate

The recommended adult dose is 500 mg clarithromycin given twice daily (q12h) or three times daily (q8h) and 400 mg ranitidine bismuth citrate given twice daily (q12h) for 14 days. An additional 14 days of 400 mg twice daily is recommended for ulcer healing and symptom relief. Clarithromycin and ranitidine bismuth citrate combination therapy is not recommended in patients with creatinine clearance less than 25 mL/min (see  INDICATIONS AND USAGE and CLINICAL STUDIES sections).

Triple Therapy: Clarithromycin/lansoprazole/amoxicillin

The recommended adult dose is 500 mg clarithromycin, 30 mg lansoprazole, and 1 gram amoxicillin, all given twice daily (q12h) for 10 or 14 days (see INDICATIONS AND USAGE and CLINICAL STUDIES sections).

Efavirenz, Nevirapine, Rifampicin, Rifabutin, and Rifapentine

Inducers of CYP3A enzymes, such as efavirenz, nevirapine, rifampicin, rifabutin, and rifapentine will increase the metabolism of clarithromycin, thus decreasing plasma concentrations of clarithromycin, while increasing those of 14-OH-clarithromycin. Since the microbiological activities of clarithromycin and 14-OH-clarithromycin are different for different bacteria, the intended therapeutic effect could be impaired during concomitant administration of clarithromycin and enzyme inducers. Alternative antibacterial treatment should be considered when treating patients receiving inducers of CYP3A. Concomitant administration of rifabutin and clarithromycin resulted in an increase in rifabutin, and decrease in clarithromycin serum levels together with an increased risk of uveitis.

Triazolobenzodiazepines (e.g., Alprazolam, Midazolam, Triazolam)

When a single dose of midazolam was co-administered with clarithromycin tablets (500 mg twice daily for 7 days), midazolam AUC increased 174% after intravenous administration of midazolam and 600% after oral administration. When oral midazolam is co-administered with clarithromycin, dose adjustments may be necessary and possible prolongation and intensity of effect should be anticipated. Caution and appropriate dose adjustments should be considered when triazolam or alprazolam is co-administered with clarithromycin. For benzodiazepines which are not metabolized by CYP3A (e.g., temazepam, nitrazepam, lorazepam), a clinically important interaction with clarithromycin is unlikely.

There have been post-marketing reports of drug interactions and central nervous system (CNS) effects (e.g., somnolence and confusion) with the concomitant use of clarithromycin and triazolam. Monitoring the patient for increased CNS pharmacological effects is suggested.

Amoxicillin Susceptibility Test Results and Clinical/bacteriological Outcomes

In the omeprazole/clarithromycin/amoxicillin triple-therapy clinical trials, 84.9% (157/185) of the patients who had pretreatment amoxicillin susceptible MICs (< 0.25 mcg/mL) were eradicated of H. pylori and 15.1% (28/185) failed therapy. Of the 28 patients who failed triple therapy, 11 had no post-treatment susceptibility test results, and 17 had post-treatment H. pylori isolates with amoxicillin susceptible MICs. Eleven of the patients who failed triple therapy also had post-treatment H. pylori isolates with clarithromycin resistant MICs.

In the lansoprazole/clarithromycin/amoxicillin triple-therapy clinical trials, 82.6% (195/236) of the patients that had pretreatment amoxicillin susceptible MICs (< 0.25 mcg/mL) were eradicated of H. pylori. Of those with pretreatment amoxicillin MICs of > 0.25 mcg/mL, three of six had the H. pylori eradicated. A total of 12.8% (22/172) of the patients failed the 10- and 14-day triple-therapy regimens. Post-treatment susceptibility results were not obtained on 11 of the patients who failed therapy. Nine of the 11 patients with amoxicillin post-treatment MICs that failed the triple-therapy regimen also had clarithromycin resistant H. pylori isolates.

The following in vitro data are available, but their clinical significance is unknown . Clarithromycin exhibits in vitro activity against most isolates of the following bacteria; however, the safety and effectiveness of clarithromycin in treating clinical infections due to these bacteria have not been established in adequate and well-controlled clinical trials.

Triazolobenziodidiazepines (such As Triazolam and Alprazolam) and Related Benzodiazepines (such As Midazolam)

Erythromycin has been reported to decrease the clearance of triazolam and midazolam, and thus, may increase the pharmacologic effect of these benzodiazepines. There have been post-marketing reports of drug interactions and CNS effects (e.g., somnolence and confusion) with the concomitant use of clarithromycin and triazolam.


Structured Label Content

Adults

Pharyngitis/Tonsillitis due to Streptococcus pyogenes (The usual drug of choice in the treatment and prevention of streptococcal infections and the prophylaxis of rheumatic fever is penicillin administered by either the intramuscular or the oral route. Clarithromycin is generally effective in the eradication of S. pyogenes from the nasopharynx; however, data establishing the efficacy of clarithromycin in the subsequent prevention of rheumatic fever are not available at present).

Acute maxillary sinusitis due to Haemophilus influenzae, Moraxella catarrhalis, or Streptococcus pneumoniae.

Acute bacterial exacerbation of chronic bronchitis due to Haemophilus influenzae , Haemophilus parainfluenzae, Moraxella catarrhalis, or Streptococcus pneumoniae.

Community-Acquired Pneumonia due to Haemophilus influenzae, Mycoplasma pneumoniae, Streptococcus pneumoniae, or Chlamydophila pneumoniae (TWAR).

Uncomplicated skin and skin structure infections due to Staphylococcus aureus , or Streptococcus pyogenes (Abscesses usually require surgical drainage).

Disseminated mycobacterial infections due to Mycobacterium avium, or Mycobacterium intracellulare.

Clarithromycin tablets, USP in combination with amoxicillin and PREVACID (lansoprazole) or PRILOSEC (omeprazole) Delayed-Release Capsules, as triple therapy, are indicated for the treatment of patients with Helicobacter pylori infection and duodenal ulcer disease (active or five-year history of duodenal ulcer) to eradicate H. pylori.

Clarithromycin tablets, USP in combination with PRILOSEC (omeprazole) capsules or TRITEC (ranitidine bismuth citrate) tablets are also indicated for the treatment of patients with an active duodenal ulcer associated with H. pylori infection. However, regimens which contain clarithromycin as the single antimicrobial agent are more likely to be associated with the development of clarithromycin resistance among patients who fail therapy. Clarithromycin-containing regimens should not be used in patients with known or suspected clarithromycin resistant isolates because the efficacy of treatment is reduced in this setting.

In patients who fail therapy, susceptibility testing should be done if possible. If resistance to clarithromycin is demonstrated, a non-clarithromycin-containing therapy is recommended. (For information on development of resistance see Microbiology section.) The eradication of H. pylori has been demonstrated to reduce the risk of duodenal ulcer recurrence.

Safety

The adverse event profiles showed that both the 500 and 1000 mg b.i.d. doses were well tolerated. The 2000 mg b.i.d. dose was poorly tolerated and resulted in a higher proportion of premature discontinuations.

In AIDS patients and other immunocompromised patients treated with the higher doses of clarithromycin over long periods of time for mycobacterial infections, it was often difficult to distinguish adverse events possibly associated with clarithromycin administration from underlying signs of HIV disease or intercurrent illness.

The following analyses summarize experience during the first 12 weeks of therapy with clarithromycin. Data are reported separately for Study 500 (randomized, double-blind) and Study 577 (open-label, compassionate use) and also combined. Adverse events were reported less frequently in Study 577, which may be due in part to differences in monitoring between the two studies. In adult patients receiving clarithromycin 500 mg b.i.d., the most frequently reported adverse events, considered possibly or probably related to study drug, with an incidence of 5% or greater, are listed below. Most of these events were mild to moderate in severity, although 5% (Study 500: 8%; Study 577: 4%) of patients receiving 500 mg b.i.d. and 5% (Study 500: 4%; Study 577: 6%) of patients receiving 1000 mg b.i.d. reported severe adverse events. Excluding those patients who discontinued therapy or died due to complications of their underlying non-mycobacterial disease, approximately 8% (Study 500: 15%; Study 577: 7%) of the patients who received 500 mg b.i.d. and 12% (Study 500: 14%; Study 577: 12%) of the patients who received 1000 mg b.i.d. discontinued therapy due to drug-related events during the first 12 weeks of therapy. Overall, the 500 and 1000 mg b.i.d. doses had similar adverse event profiles.

Treatment-related* Adverse Event Incidence Rates (%) in Immunocompromised Adult Patients During the First 12 Weeks of Therapy with 500 mg b.i.d. Clarithromycin Dose

Adverse Event

Study 500

(n = 53)

Study 577

(n = 255)

Combined

(n = 308)

Abdominal Pain

7.5

2.4

3.2

Diarrhea

9.4

1.6

2.9

Flatulence

7.5

0.0

1.3

Headache

7.5

0.4

1.6

Nausea

28.3

9.0

12.3

Rash

9.4

2.0

3.2

Taste Perversion

18.9

0.4

3.6

Vomiting

24.5

3.9

7.5

*   Includes those events possibly or probably related to study drug and excludes concurrent conditions.

A limited number of pediatric AIDS patients have been treated with clarithromycin suspension for mycobacterial infections. The most frequently reported adverse events, excluding those due to the patient's concurrent condition, were consistent with those observed in adult patients.

Section 42229-5 (42229-5)

To reduce the development of drug-resistant bacteria and maintain the effectiveness of clarithromycin tablets and other antibacterial drugs, clarithromycin tablets should be used only to treat or prevent infections that are proven or strongly suspected to be caused by bacteria.

Section 51945-4 (51945-4)

NDC 63187-376-20

20 Tablets

Clarithromycin Tablets, USP

500 mg

Rx Only

General

Prescribing clarithromycin in the absence of a proven or strongly suspected bacterial infection or a prophylactic indication is unlikely to provide benefit to the patient and increases the risk of the development of drug-resistant bacteria.

Clarithromycin is principally excreted via the liver and kidney. Clarithromycin may be administered without dosage adjustment to patients with hepatic impairment and normal renal function. However, in the presence of severe renal impairment with or without coexisting hepatic impairment, decreased dosage or prolonged dosing intervals may be appropriate.

Clarithromycin in combination with ranitidine bismuth citrate therapy is not recommended in patients with creatinine clearance less than 25 mL/min (see DOSAGE AND ADMINISTRATION ).

Clarithromycin in combination with ranitidine bismuth citrate should not be used in patients with a history of acute porphyria.

Exacerbation of symptoms of myasthenia gravis and new onset of symptoms of myasthenic syndrome has been reported in patients receiving clarithromycin therapy.

For information about precautions of other drugs indicated in combination with clarithromycin, refer to the PRECAUTIONS section of their package inserts.

Children

Pharyngitis/Tonsillitis due to Streptococcus pyogenes.

Community-Acquired Pneumonia due to Mycoplasma pneumoniae, Streptococcus pneumoniae, or Chlamydophila pneumoniae (TWAR)

Acute maxillary sinusitis due to Haemophilus influenzae, Moraxella catarrhalis, or Streptococcus pneumoniae

Acute otitis media due to Haemophilus influenzae, Moraxella catarrhalis, or Streptococcus pneumoniae

NOTE: For information on otitis media, see CLINICAL STUDIES - Otitis Media .

Uncomplicated skin and skin structure infections due to Staphylococcus aureus, or Streptococcus pyogenes (Abscesses usually require surgical drainage.)

Disseminated mycobacterial infections due to Mycobacterium avium, or Mycobacterium intracellulare

In Vitro (In vitro)

Clarithromycin has demonstrated in vitro activity against Mycobacterium avium complex (MAC) microorganisms isolated from both AIDS and non-AIDS patients. While gene probe techniques may be used to distinguish M. avium species from M. intracellulare, many studies only reported results on M. avium complex (MAC) isolates.

Various in vitro methodologies employing broth or solid media at different pH's, with and without oleic acid-albumin-dextrose-catalase (OADC), have been used to determine clarithromycin MIC values for mycobacterial species. In general, MIC values decrease more than 16-fold as the pH of Middlebrook 7H12 broth media increases from 5.0 to 7.4. At pH 7.4, MIC values determined with Mueller-Hinton agar were 4- to 8-fold higher than those observed with Middlebrook 7H12 media. Utilization of oleic acid-albumin-dextrose-catalase (OADC) in these assays has been shown to further alter MIC values.

Clarithromycin activity against 80 MAC isolates from AIDS patients and 211 MAC isolates from non-AIDS patients was evaluated using a microdilution method with Middlebrook 7H9 broth. Results showed an MIC value of ≤ 4.0 mcg/mL in 81% and 89% of the AIDS and non-AIDS MAC isolates, respectively. Twelve percent of the non-AIDS isolates had an MIC value ≤ 0.5 mcg/mL. Clarithromycin was also shown to be active against phagocytized M. avium complex (MAC) in mouse and human macrophage cell cultures as well as in the beige mouse infection model.

Clarithromycin activity was evaluated against Mycobacterium tuberculosis microorganisms. In one study utilizing the agar dilution method with Middlebrook 7H10 media, 3 of 30 clinical isolates had an MIC of 2.5 mcg/mL. Clarithromycin inhibited all isolates at > 10.0 mcg/mL.

Survival

A statistically significant survival benefit was observed.

Survival All Randomized Patients

 

Mortality

Reduction in

 

Placebo

Clarithromycin

Mortality on Clarithromycin

6 month

9.4%

6.5%

31%

12 month

29.7%

20.5%

31%

18 month

46.4%

37.5%

20%

Since the analysis at 18 months includes patients no longer receiving prophylaxis the survival benefit of clarithromycin may be underestimated.

Ritonavir

Concomitant administration of clarithromycin and ritonavir (n = 22) resulted in a 77% increase in clarithromycin AUC and a 100% decrease in the AUC of 14-OH clarithromycin. Clarithromycin may be administered without dosage adjustment to patients with normal renal function taking ritonavir. Since concentrations of 14-OH clarithromycin are significantly reduced when clarithromycin is co-administered with ritonavir, alternative antibacterial therapy should be considered for indications other than infections due to Mycobacterium avium complex (see PRECAUTIONS – Drug Interactions ). Doses of clarithromycin greater than 1000 mg per day should not be co-administered with protease inhibitors.

Spontaneous reports in the post-marketing period suggest that concomitant administration of clarithromycin and oral anticoagulants may potentiate the effects of the oral anticoagulants. Prothrombin times should be carefully monitored while patients are receiving clarithromycin and oral anticoagulants simultaneously.

Digoxin is a substrate for P-glycoprotein (Pgp) and clarithromycin is known to inhibit Pgp. When clarithromycin and digoxin are co-administered, inhibition of Pgp by clarithromycin may lead to increased exposure of digoxin. Elevated digoxin serum concentrations in patients receiving clarithromycin and digoxin concomitantly have been reported in post-marketing surveillance. Some patients have shown clinical signs consistent with digoxin toxicity, including potentially fatal arrhythmias. Monitoring of serum digoxin concentrations should be considered, especially for patients with digoxin concentrations in the upper therapeutic range.

Co-administration of clarithromycin, known to inhibit CYP3A, and a drug primarily metabolized by CYP3A may be associated with elevations in drug concentrations that could increase or prolong both therapeutic and adverse effects of the concomitant drug.

Clarithromycin should be used with caution in patients receiving treatment with other drugs known to be CYP3A enzyme substrates, especially if the CYP3A substrate has a narrow safety margin (e.g., carbamazepine) and/or the substrate is extensively metabolized by this enzyme. Dosage adjustments may be considered, and when possible, serum concentrations of drugs primarily metabolized by CYP3A should be monitored closely in patients concurrently receiving clarithromycin.

The following are examples of some clinically significant CYP3A based drug interactions. Interactions with other drugs metabolized by the CYP3A isoform are also possible.

Treatment

Clarithromycin is recommended as the primary agent for the treatment of disseminated infection due to Mycobacterium avium complex. Clarithromycin should be used in combination with other antimycobacterial drugs that have shown in vitro activity against MAC or clinical benefit in MAC treatment (see CLINICAL STUDIES ). The recommended dose for mycobacterial infections in adults is 500 mg b.i.d. In children, the recommended dose is 7.5 mg/kg b.i.d. up to 500 mg b.i.d. Dosing recommendations for children are in the table above.

Clarithromycin therapy should continue if clinical response is observed. Clarithromycin can be discontinued when the patient is considered at low risk of disseminated infection.

Atazanavir

Both clarithromycin and atazanavir are substrates and inhibitors of CYP3A, and there is evidence of a bi-directional drug interaction. Following administration of clarithromycin (500 mg twice daily) with atazanavir (400 mg once daily), the clarithromycin AUC increased 94%, the 14-OH clarithromycin AUC decreased 70% and the atazanavir AUC increased 28%. When clarithromycin is co-administered with atazanavir, the dose of clarithromycin should be decreased by 50%. Since concentrations of 14-OH clarithromycin are significantly reduced when clarithromycin is co-administered with atazanavir, alternative antibacterial therapy should be considered for indications other than infections due to Mycobacterium avium complex (see PRECAUTIONS – Drug Interactions ). Doses of clarithromycin greater than 1000 mg per day should not be co-administered with protease inhibitors.

Colchicine

Colchicine is a substrate for both CYP3A and the efflux transporter, P-glycoprotein (Pgp). Clarithromycin and other macrolides are known to inhibit CYP3A and Pgp. When a single dose of colchicine 0.6 mg was administered with clarithromycin 250 mg BID for 7 days, the colchicine Cmax increased 197% and the AUC0-∞ increased 239% compared to administration of colchicine alone. The dose of colchicine should be reduced when co-administered with clarithromycin in patients with normal renal and hepatic function. Concomitant use of clarithromycin and colchicine is contraindicated in patients with renal or hepatic impairment (see WARNINGS ).

Etravirine

Clarithromycin exposure was decreased by etravirine; however, concentrations of the active metabolite, 14-OH-clarithromycin, were increased. Because 14-OH-clarithromycin has reduced activity against Mycobacterium avium complex (MAC), overall activity against this pathogen may be altered; therefore alternatives to clarithromycin should be considered for the treatment of MAC.

Overdosage (OVERDOSAGE)

Overdosage of clarithromycin can cause gastrointestinal symptoms such as abdominal pain, vomiting, nausea, and diarrhea.

Adverse reactions accompanying overdosage should be treated by the prompt elimination of unabsorbed drug and supportive measures. As with other macrolides, clarithromycin serum concentrations are not expected to be appreciably affected by hemodialysis or peritoneal dialysis.

Quetiapine

Quetiapine is a substrate for CYP3A4, which is inhibited by clarithromycin. Co‑administration with clarithromycin could result in increased quetiapine exposure and possible quetiapine related toxicities. There have been post-marketing reports of somnolence, orthostatic hypotension, altered state of consciousness, neuroleptic malignant syndrome, and QT prolongation during concomitant administration. Refer to quetiapine prescribing information for recommendations on dose reduction if co-administered with CYP3A4 inhibitors such as clarithromycin.

References (REFERENCES)
  • 1.
    Clinical and Laboratory Standards Institute (CLSI). Methods for Dilution Antimicrobial Susceptibility Tests for Bacteria that Grow Aerobically - 9th edition. Approved Standard. CLSI Document M07-A9, CLSI. 950 West Valley Rd, Suite 2500, Wayne, PA 19087, 2012.
  • 2.
    CLSI. Performance Standards for Antimicrobial Susceptibility Testing, 23rd Informational Supplement, CLSI Document M100-S23, 2013.
  • 3.
    CLSI. Performance Standards for Antimicrobial Disk Susceptibility Tests, 11th edition. Approved Standard CLSI Document M02-A11, 2012.
  • 4.
    CLSI. Methods for Antimicrobial Dilution and Disk Diffusion Susceptibility Testing of Infrequently Isolated or Fastidious Bacteria - 2nd edition. CLSI document M45-A2, 2010.
  • 5.
    Chaisson RE, et al. Clarithromycin and Ethambutol with or without Clofazimine for the Treatment of Bacteremic Mycobacterium avium Complex Disease in Patients with HIV Infection. AIDS. 1997;11:311-317.
  • 6.
    Kemper CA, et al. Treatment of Mycobacterium avium Complex Bacteremia in AIDS with a Four-Drug Oral Regimen. Ann Intern Med. 1992;116:466-472.
Saquinavir

Both clarithromycin and saquinavir are substrates and inhibitors of CYP3A and there is evidence of a bi-directional drug interaction. Following administration of clarithromycin (500 mg bid) and saquinavir (soft gelatin capsules, 1200 mg tid) to 12 healthy volunteers, the steady-state saquinavir AUC and Cmax increased 177% and 187% respectively compared to administration of saquinavir alone. Clarithromycin AUC and Cmax increased 45% and 39% respectively, whereas the 14–OH clarithromycin AUC and Cmax decreased 24% and 34% respectively, compared to administration with clarithromycin alone. No dose adjustment of clarithromycin is necessary when clarithromycin is co-administered with saquinavir in patients with normal renal function. When saquinavir is co-administered with ritonavir, consideration should be given to the potential effects of ritonavir on clarithromycin (refer to interaction between clarithromycin and ritonavir) (see PRECAUTIONS — Drug Interactions ).

The following CYP3A based drug interactions have been observed with erythromycin products and/or with clarithromycin in post-marketing experience:

Description (DESCRIPTION)

Clarithromycin is a semi-synthetic macrolide antibiotic. Chemically, it is 6-0-methylerythromycin. The molecular formula is C38H69NO13, and the molecular weight is 747.96. The structural formula is:

Clarithromycin is a white to off-white crystalline powder. It is soluble in acetone, slightly soluble in methanol, ethanol, and acetonitrile, and practically insoluble in water.

Each white to off-white oval film-coated immediate-release clarithromycin tablet, USP contains 250 mg or 500 mg of clarithromycin and the following inactive ingredients: croscarmellose sodium, magnesium stearate, microcrystalline cellulose, povidone, silicon dioxide, hypromellose, titanium dioxide and polyethylene glycol.

Prophylaxis

Clarithromycin tablets, USP are indicated for the prevention of disseminated Mycobacterium avium complex (MAC) disease in patients with advanced HIV infection.

To reduce the development of drug-resistant bacteria and maintain the effectiveness of clarithromycin and other antibacterial drugs, clarithromycin tablets, USP should be used only to treat or prevent infections that are proven or strongly suspected to be caused by susceptible bacteria. When culture and susceptibility information are available, they should be considered in selecting or modifying antibacterial therapy. In the absence of such data, local epidemiology and susceptibility patterns may contribute to the empiric selection of therapy.

Tolterodine

The primary route of metabolism for tolterodine is via CYP2D6. However, in a subset of the population devoid of CYP2D6, the identified pathway of metabolism is via CYP3A. In this population subset, inhibition of CYP3A results in significantly higher serum concentrations of tolterodine. Tolterodine 1 mg twice daily is recommended in patients deficient in CYP2D6 activity (poor metabolizers) when co-administered with clarithromycin.

How Supplied (HOW SUPPLIED)

Clarithromycin Tablets, USP are supplied as white to off-white oval film-coated tablets in the following package sizes:

500 mg tablets: (debossed with "S 4" on one side)

Bottles of 14 (NDC 63187-376-14)

Bottles of 20 (NDC 63187-376-20)

Bottles of 28 (NDC 63187-376-28)

Bottles of 30 (NDC 63187-376-30)

Bottles of 60 (NDC 63187-376-60)

Bottles of 90 (NDC 63187-376-90)

Store in a well closed container at 20º to 25ºC (68º to 77ºF). [See USP Controlled Room Temperature].

Dispense in a tight container as defined in the USP with a child-resistant closure.

Helicobacter

Helicobacter pylori

Itraconazole

Both clarithromycin and itraconazole are substrates and inhibitors of CYP3A, potentially leading to a bi-directional drug interaction when administered concomitantly. Clarithromycin may increase the plasma concentrations of itraconazole, while itraconazole may increase the plasma concentrations of clarithromycin. Patients taking itraconazole and clarithromycin concomitantly should be monitored closely for signs or symptoms of increased or prolonged adverse reactions.

Microbiology

Clarithromycin exerts its antibacterial action by binding to the 50S ribosomal subunit of susceptible bacteria resulting in inhibition of protein synthesis.

Clarithromycin is active in vitro against a variety of aerobic and anaerobic Gram-positive and Gram-negative bacteria as well as most Mycobacterium avium complex (MAC) bacteria.

Additionally, the 14-OH clarithromycin metabolite also has clinically significant antimicrobial activity. The 14-OH clarithromycin is twice as active against Haemophilus influenzae microorganisms as the parent compound. However, for Mycobacterium avium complex (MAC) isolates the 14-OH metabolite is 4 to 7 times less active than clarithromycin. The clinical significance of this activity against Mycobacterium avium complex is unknown.

Clarithromycin has been shown to be active against most strains of the following microorganisms both in vitro and in clinical infections as described in the INDICATIONS AND USAGE section:

Mycobacteria

Mycobacterium avium complex (MAC) consisting of:

Mycobacterium avium

Mycobacterium intracellulare

Beta-lactamase production should have no effect on clarithromycin activity.

NOTE: Most isolates of methicillin-resistant and oxacillin-resistant staphylococci are resistant to clarithromycin.

Omeprazole/clarithromycin dual therapy; ranitidine bismuth citrate/clarithromycin dual therapy; omeprazole/clarithromycin/amoxicillin triple therapy; and lansoprazole/clarithromycin/amoxicillin triple therapy have been shown to be active against most strains of Helicobacter pylori in vitro and in clinical infections as described in the INDICATIONS AND USAGE section.

Otitis Media

In a controlled clinical study of acute otitis media performed in the United States, where significant rates of beta-lactamase producing organisms were found, clarithromycin was compared to an oral cephalosporin. In this study, very strict evaluability criteria were used to determine clinical response. For the 223 patients who were evaluated for clinical efficacy, the clinical success rate (i.e., cure plus improvement) at the post-therapy visit was 88% for clarithromycin and 91% for the cephalosporin.

In a smaller number of patients, microbiologic determinations were made at the pre-treatment visit. The following presumptive bacterial eradication/clinical cure outcomes (i.e., clinical success) were obtained:

U.S. Acute Otitis Media Study Clarithromycin vs. Oral Cephalosporin EFFICACY RESULTS

PATHOGEN

OUTCOME

S. pneumoniae

clarithromycin success rate, 13/15 (87%), control 4/5

H. influenzae*

clarithromycin success rate, 10/14 (71%), control 3/4

M. catarrhalis

clarithromycin success rate, 4/5,control 1/1

S. pyogenes

clarithromycin success rate, 3/3,control 0/1

Overall

clarithromycin success rate, 30/37 (81%), control 8/11 (73%)

*   None of the H. influenzae isolated pre-treatment was resistant to clarithromycin; 6% were resistant to the control agent.

Geriatric Use

In a steady-state study in which healthy elderly subjects (age 65 to 81 years old) were given 500 mg every 12 hours, the maximum serum concentrations and area under the curves of clarithromycin and 14-OH clarithromycin were increased compared to those achieved in healthy young adults. These changes in pharmacokinetics parallel known age-related decreases in renal function. In clinical trials, elderly patients did not have an increased incidence of adverse events when compared to younger patients. Dosage adjustment should be considered in elderly patients with severe renal impairment. Elderly patients may be more susceptible to development of torsades de pointes arrhythmias than younger patients (see WARNINGS and PRECAUTIONS ).

Most reports of acute kidney injury with calcium channel blockers metabolized by CYP3A4 (e.g., verapamil, amlodipine, diltiazem, nifedipine) involved elderly patients 65 years of age or older (see WARNINGS ).

Pediatric Use

Safety and effectiveness of clarithromycin in pediatric patients under 6 months of age have not been established. The safety of clarithromycin has not been studied in MAC patients under the age of 20 months. Neonatal and juvenile animals tolerated clarithromycin in a manner similar to adult animals. Young animals were slightly more intolerant to acute overdosage and to subtle reductions in erythrocytes, platelets and leukocytes but were less sensitive to toxicity in the liver, kidney, thymus, and genitalia.

Hepatotoxicity

Hepatic dysfunction, including increased liver enzymes, and hepatocellular and/or cholestatic hepatitis, with or without jaundice, has been reported with clarithromycin. This hepatic dysfunction may be severe and is usually reversible. In some instances, hepatic failure with fatal outcome has been reported and generally has been associated with serious underlying diseases and/or concomitant medications. Symptoms of hepatitis can include anorexia, jaundice, dark urine, pruritus, or tender abdomen. Discontinue clarithromycin immediately if signs and symptoms of hepatitis occur.

Mac Bacteremia (MAC Bacteremia)

In patients randomized to clarithromycin, the risk of MAC bacteremia was reduced by 69% compared to placebo. The difference between groups was statistically significant (p < 0.001). On an intent-to-treat basis, the one-year cumulative incidence of MAC bacteremia was 5.0% for patients randomized to clarithromycin and 19.4% for patients randomized to placebo. While only 19 of the 341 patients randomized to clarithromycin developed MAC, 11 of these cases were resistant to clarithromycin. The patients with resistant MAC bacteremia had a median baseline CD4 count of 10 cells/mm3 (range 2 to 25 cells/mm3). Information regarding the clinical course and response to treatment of the patients with resistant MAC bacteremia is limited. The 8 patients who received clarithromycin and developed susceptible MAC bacteremia had a median baseline CD4 count of 25 cells/mm3 (range 10 to 80 cells/mm3). Comparatively, 53 of the 341 placebo patients developed MAC; none of these isolates were resistant to clarithromycin. The median baseline CD4 count was 15 cells/mm3 (range 2 to 130 cells/mm3) for placebo patients that developed MAC.

Antiarrhythmics

There have been post-marketing reports of torsades de pointes occurring with concurrent use of clarithromycin and quinidine or disopyramide. Electrocardiograms should be monitored for QTc prolongation during coadministration of clarithromycin with these drugs. Serum concentrations of these medications should also be monitored.

There have been post marketing reports of hypoglycemia with the concomitant administration of clarithromycin and disopyramide. Therefore, blood glucose levels should be monitored during concomitant administration of clarithromycin and disopyramide.

Nursing Mothers

Clarithromycin and its active metabolite 14-hydroxy clarithromycin are excreted in human milk. Serum and milk samples were obtained after 3 days of treatment, at steady state, from one published study of 12 lactating women who were taking clarithromycin 250 mg orally twice daily. Based on the limited data from this study, and assuming milk consumption of 150 mL/kg/day, an exclusively human milk fed infant would receive an estimated average of 136 mcg/kg/day of clarithromycin and its active metabolite, with this maternal dosage regimen. This is less than 2% of the maternal weight-adjusted dose (7.8 mg/kg/day, based on the average maternal weight of 64 kg), and less than 1% of the pediatric dose (15 mg/kg/day) for children greater than 6 months of age.

A prospective observational study of 55 breastfed infants of mothers taking a macrolide antibiotic (6 were exposed to clarithromycin) were compared to 36 breastfed infants of mothers taking amoxicillin. Adverse reactions were comparable in both groups. Adverse reactions occurred in 12.7% of infants exposed to macrolides and included rash, diarrhea, loss of appetite, and somnolence.

Caution should be exercised when clarithromycin is administered to nursing women. The development and health benefits of human milk feeding should be considered along with the mother’s clinical need for clarithromycin and any potential adverse effects on the human milk fed child from the drug or from the underlying maternal condition.

Qt Prolongation (QT Prolongation)

Clarithromycin has been associated with prolongation of the QT interval and infrequent cases of arrhythmia. Cases of torsades de pointes have been spontaneously reported during postmarketing surveillance in patients receiving clarithromycin. Fatalities have been reported. Clarithromycin should be avoided in patients with ongoing proarrhythmic conditions such as uncorrected hypokalemia or hypomagnesemia, clinically significant bradycardia (see CONTRAINDICATIONS ) and in patients receiving Class IA (quinidine, procainamide) or Class III (dofetilide, amiodarone, sotalol) antiarrhythmic agents. Elderly patients may be more susceptible to drug-associated effects on the QT interval.

Quality Control

Standardized susceptibility test procedures require the use of laboratory control bacteria to monitor and ensure the accuracy and precision of supplies and reagents in the assay, and the techniques of the individual performing the test.1,2 Standard clarithromycin powder should provide the following MIC ranges.

QC Strain

MIC (mcg/mL)

S. aureus

ATCC® 29213c

0.12 to 0.5

S. pneumoniae d

ATCC 49619

0.03 to 0.12

Haemophilus influenzae e

ATCC 49247

4 to 16

c ATCC is a registered trademark of the American Type Culture Collection.

d This quality control range is applicable only to S. pneumoniae ATCC 49619 tested by a microdilution procedure using cation-adjusted Mueller-Hinton broth with 2-5% lysed horse blood.

e This quality control range is applicable only to H. influenzae ATCC 49247 tested by a microdilution procedure using HTM1.

Pharmacokinetics

Clarithromycin is rapidly absorbed from the gastrointestinal tract after oral administration. The absolute bioavailability of 250 mg clarithromycin tablets was approximately 50%. For a single 500 mg dose of clarithromycin, food slightly delays the onset of clarithromycin absorption, increasing the peak time from approximately 2 to 2.5 hours. Food also increases the clarithromycin peak plasma concentration by about 24%, but does not affect the extent of clarithromycin bioavailability. Food does not affect the onset of formation of the antimicrobially active metabolite, 14-OH clarithromycin or its peak plasma concentration but does slightly decrease the extent of metabolite formation, indicated by an 11% decrease in area under the plasma concentration-time curve (AUC). Therefore, clarithromycin tablets may be given without regard to food.

In nonfasting healthy human subjects (males and females), peak plasma concentrations were attained within 2 to 3 hours after oral dosing. Steady-state peak plasma clarithromycin concentrations were attained within 3 days and were approximately 1 to 2 mcg/mL with a 250 mg dose administered every 12 hours and 3 to 4 mcg/mL with a 500 mg dose administered every 8 to 12 hours. The elimination half-life of clarithromycin was about 3 to 4 hours with 250 mg administered every 12 hours but increased to 5 to 7 hours with 500 mg administered every 8 to 12 hours. The nonlinearity of clarithromycin pharmacokinetics is slight at the recommended doses of 250 mg and 500 mg administered every 8 to 12 hours. With a 250 mg every 12 hours dosing, the principal metabolite, 14-OH clarithromycin, attains a peak steady-state concentration of about 0.6 mcg/mL and has an elimination half-life of 5 to 6 hours. With a 500 mg every 8 to 12 hours dosing, the peak steady-state concentration of 14-OH clarithromycin is slightly higher (up to 1 mcg/mL), and its elimination half-life is about 7 to 9 hours. With any of these dosing regimens, the steady-state concentration of this metabolite is generally attained within 3 to 4 days.

After a 250 mg tablet every 12 hours, approximately 20% of the dose is excreted in the urine as clarithromycin, while after a 500 mg tablet every 12 hours, the urinary excretion of clarithromycin is somewhat greater, approximately 30%. In comparison, after an oral dose of 250 mg (125 mg/5 mL) suspension every 12 hours, approximately 40% is excreted in urine as clarithromycin. The renal clearance of clarithromycin is, however, relatively independent of the dose size and approximates the normal glomerular filtration rate. The major metabolite found in urine is 14-OH clarithromycin, which accounts for an additional 10% to 15% of the dose with either a 250 mg or a 500 mg tablet administered every 12 hours.

Steady-state concentrations of clarithromycin and 14-OH clarithromycin observed following administration of 500 mg doses of clarithromycin every 12 hours to adult patients with HIV infection were similar to those observed in healthy volunteers. In adult HIV-infected patients taking 500- or 1000-mg doses of clarithromycin every 12 hours, steady-state clarithromycin Cmax values ranged from 2 to 4 mcg/mL and 5 to 10 mcg/mL, respectively.

The steady-state concentrations of clarithromycin in subjects with impaired hepatic function did not differ from those in normal subjects; however, the 14-OH clarithromycin concentrations were lower in the hepatically impaired subjects. The decreased formation of 14-OH clarithromycin was at least partially offset by an increase in renal clearance of clarithromycin in the subjects with impaired hepatic function when compared to healthy subjects.

The pharmacokinetics of clarithromycin was also altered in subjects with impaired renal function (see PRECAUTIONS and DOSAGE AND ADMINISTRATION ).

Clarithromycin and the 14-OH clarithromycin metabolite distribute readily into body tissues and fluids. There are no data available on cerebrospinal fluid penetration. Because of high intracellular concentrations, tissue concentrations are higher than serum concentrations. Examples of tissue and serum concentrations are presented below.

CONCENTRATION (after 250 mg q12h)

Tissue Type

Tissue

(mcg/g)

Serum

(mcg/mL)

Tonsil

1.6

0.8

Lung

8.8

1.7

Clarithromycin 500 mg every 8 hours was given in combination with omeprazole 40 mg daily to healthy adult males. The plasma levels of clarithromycin and 14-hydroxy-clarithromycin were increased by the concomitant administration of omeprazole. For clarithromycin, the mean Cmax was 10% greater, the mean Cmin was 27% greater, and the mean AUC0-8 was 15% greater when clarithromycin was administered with omeprazole than when clarithromycin was administered alone. Similar results were seen for 14-hydroxy-clarithromycin, the mean Cmax was 45% greater, the mean Cmin was 57% greater, and the mean AUC0-8 was 45% greater. Clarithromycin concentrations in the gastric tissue and mucus were also increased by concomitant administration of omeprazole.

Clarithromycin Tissue Concentrations 2 hours after Dose (mcg/mL)/(mcg/g)

Treatment

N

antrum

fundus

N

mucus

Clarithromycin

5

10.48 ± 2.01

20.81 ± 7.64

4

4.15 ± 7.74

Clarithromycin + Omeprazole

5

19.96 ± 4.71

24.25 ± 6.37

4

39.29 ± 32.79

For information about other drugs indicated in combination with clarithromycin, refer to the CLINICAL PHARMACOLOGY section of their package inserts.

Use in Pregnancy (Use In Pregnancy)

CLARITHROMYCIN SHOULD NOT BE USED IN PREGNANT WOMEN EXCEPT IN CLINICAL CIRCUMSTANCES WHERE NO ALTERNATIVE THERAPY IS APPROPRIATE. IF PREGNANCY OCCURS WHILE TAKING THIS DRUG, THE PATIENT SHOULD BE APPRISED OF THE POTENTIAL HAZARD TO THE FETUS. CLARITHROMYCIN HAS DEMONSTRATED ADVERSE EFFECTS OF PREGNANCY OUTCOME AND/OR EMBRYO-FETAL DEVELOPMENT IN MONKEYS, RATS, MICE, AND RABBITS AT DOSES THAT PRODUCED PLASMA LEVELS 2 TO 17 TIMES THE SERUM LEVELS ACHIEVED IN HUMANS TREATED AT THE MAXIMUM RECOMMENDED HUMAN DOSES (see PRECAUTIONS - Pregnancy).

Adverse Reactions (ADVERSE REACTIONS)

The most frequent and common adverse reactions related to clarithromycin therapy for both adult and pediatric populations are abdominal pain, diarrhea, nausea, vomiting and dysgeusia. These adverse reactions are consistent with the known safety profile of macrolide antibiotics.

There was no significant difference in the incidence of these gastrointestinal adverse reactions during clinical trials between the patient population with or without preexisting mycobacterial infections.

Adverse Reactions Observed During Clinical Trials of Clarithromycin

The following adverse reactions were observed in clinical trials with clarithromycin at a rate greater than or equal to 1%:

Gastrointestinal Disorders

Diarrhea, vomiting, dyspepsia, nausea, abdominal pain

Hepatobiliary Disorders

Liver function test abnormal

Immune System Disorders

Anaphylactoid reaction

Infection and Infestations

Candidiasis

Nervous System Disorders

Dysgeusia, headache

Psychiatric Disorders

Insomnia

Skin and Subcutaneous Tissue Disorders

Rash

Other Adverse Reactions Observed During Clinical Trials of Clarithromycin

The following adverse reactions were observed in clinical trials with clarithromycin at a rate less than 1%:

Blood and Lymphatic System Disorders

Leukopenia, neutropenia, thrombocythemia, eosinophilia

Cardiac Disorders

Electrocardiogram QT prolonged, cardiac arrest, atrial fibrillation, extrasystoles, palpitations

Ear and Labyrinth Disorders

Vertigo, tinnitus, hearing impaired

Gastrointestinal Disorders

Stomatitis, glossitis, esophagitis, gastrooesophageal reflux disease, gastritis, proctalgia, abdominal distension, constipation, dry mouth, eructation, flatulence

General Disorders and Administration Site Conditions

Malaise, pyrexia, asthenia, chest pain, chills, fatigue

Hepatobiliary Disorders

Cholestasis, hepatitis

Immune System Disorders

Hypersensitivity

Infections and Infestations

Cellulitis, gastroenteritis, infection, vaginal infection

Investigations

Blood bilirubin increased, blood alkaline phosphatase increased, blood lactate dehydrogenase increased, albumin globulin ratio abnormal

Metabolism and Nutrition Disorders

Anorexia, decreased appetite

Musculoskeletal and Connective Tissue Disorders

Myalgia, muscle spasms, nuchal rigidity

Nervous System Disorders

Dizziness, tremor, loss of consciousness, dyskinesia, somnolence

Psychiatric Disorders

Anxiety, nervousness

Renal and Urinary Disorders

Blood creatinine increased, blood urea increased

Respiratory, Thoracic and Mediastinal Disorders

Asthma, epistaxis, pulmonary embolism

Skin and Subcutaneous Tissue Disorders

Urticaria, dermatitis bullous, pruritus, hyperhidrosis, rash maculo-papular

In the acute exacerbation of chronic bronchitis and acute maxillary sinusitis studies overall gastrointestinal adverse events were reported by a similar proportion of patients taking either clarithromycin tablets or clarithromycin extended-release tablets; however, patients taking clarithromycin extended-release tablets reported significantly less severe gastrointestinal symptoms compared to patients taking clarithromycin tablets. In addition, patients taking clarithromycin extended-release tablets had significantly fewer premature discontinuations for drug-related gastrointestinal or abnormal taste adverse events compared to clarithromycin tablets.

In community-acquired pneumonia studies conducted in adults comparing clarithromycin to erythromycin base or erythromycin stearate, there were fewer adverse events involving the digestive system in clarithromycin-treated patients compared to erythromycin-treated patients (13% vs 32%; p < 0.01). Twenty percent of erythromycin-treated patients discontinued therapy due to adverse events compared to 4% of clarithromycin-treated patients.

In two U.S. studies of acute otitis media comparing clarithromycin to amoxicillin/potassium clavulanate in pediatric patients, there were fewer adverse events involving the digestive system in clarithromycin-treated patients compared to amoxicillin/potassium clavulanate-treated patients (21% vs. 40%, p < 0.001). One-third as many clarithromycin-treated patients reported diarrhea as did amoxicillin/potassium clavulanate-treated patients.

Contraindications (CONTRAINDICATIONS)

Clarithromycin is contraindicated in patients with a known hypersensitivity to clarithromycin or any of its excipients, erythromycin, or any of the macrolide antibiotics.

Clarithromycin is contraindicated in patients with a history of cholestatic jaundice/hepatic dysfunction associated with prior use of clarithromycin.

Concomitant administration of clarithromycin and any of the following drugs is contraindicated: cisapride, pimozide, astemizole, terfenadine, and ergotamine or dihydroergotamine (see Drug Interactions ). There have been post-marketing reports of drug interactions when clarithromycin and/or erythromycin are coadministered with cisapride, pimozide, astemizole, or terfenadine resulting in cardiac arrhythmias (QT prolongation, ventricular tachycardia, ventricular fibrillation, and torsades de pointes) most likely due to inhibition of metabolism of these drugs by erythromycin and clarithromycin. Fatalities have been reported.

Concomitant administration of clarithromycin and colchicine is contraindicated in patients with renal or hepatic impairment.

Clarithromycin should not be given to patients with history of QT prolongation or ventricular cardiac arrhythmia, including torsades de pointes.

Clarithromycin should not be used concomitantly with HMG-CoA reductase inhibitors (statins) that are extensively metabolized by CYP3A4 (lovastatin or simvastatin), due to the increased risk of myopathy, including rhabdomyolysis (see WARNINGS ).

For information about contraindications of other drugs indicated in combination with clarithromycin, refer to the CONTRAINDICATIONS section of their package inserts.

Drug Interactions

Serious adverse reactions have been reported in patients taking clarithromycin concomitantly with CYP3A4 substrates. These include colchicine toxicity with colchicine; rhabdomyolysis with simvastatin, lovastatin, and atorvastatin; hypoglycemia with disopyramide; and hypotension and acute kidney injury with calcium channel blockers metabolized by CYP3A4 (e.g., verapamil, amlodipine, diltiazem, nifedipine). Most reports of acute kidney injury with calcium channel blockers metabolized by CYP3A4 involved elderly patients 65 years of age or older (see CONTRAINDICATIONS and PRECAUTIONS – Drug Interactions ). Clarithromycin should be used with caution when administered concurrently with medications that induce the cytochrome CYP3A4 enzyme (see PRECAUTIONS - Drug Interactions ).

Colchicine

Life-threatening and fatal drug interactions have been reported in patients treated with clarithromycin and colchicine. Clarithromycin is a strong CYP3A4 inhibitor and this interaction may occur while using both drugs at their recommended doses. If co-administration of clarithromycin and colchicine is necessary in patients with normal renal and hepatic function, the dose of colchicine should be reduced. Patients should be monitored for clinical symptoms of colchicine toxicity. Concomitant administration of clarithromycin and colchicine is contraindicated in patients with renal or hepatic impairment (see CONTRAINDICATIONS and PRECAUTIONS – Drug Interactions ).

Benzodiazepines

Increased sedation and prolongation of sedation have been reported with concomitant administration of clarithromycin and triazolobenzodiazepines, such as triazolam, and midazolam.

Dilution Techniques

Quantitative methods are used to determine antimicrobial minimum inhibitory concentrations (MICs). These MICs provide estimates of the susceptibility of bacteria to antimicrobial compounds. The MICs should be determined using a standardized procedure. Standardized procedures are based on a dilution method1 (broth or agar) or equivalent with standardized inoculum concentrations and standardized concentrations of clarithromycin powder. The MIC values should be interpreted according to the following criteria2:

Susceptibility Test Interpretive Criteria for Staphylococcus aureus

MIC (mcg/mL)

Interpretation

≤ 2.0

Susceptible (S)

4.0

Intermediate (I)

≥ 8.0

Resistant (R)

Susceptibility Test Interpretive Criteria for Streptococcus pyogenes and Streptococcus pneumoniae a

MIC (mcg/mL)

Interpretation

≤ 0.25

Susceptible (S)

0.5

Intermediate (I)

≥ 1.0

Resistant (R)

a   These interpretive standards are applicable only to broth microdilution susceptibility tests using cation-adjusted Mueller-Hinton broth with 2-5% lysed horse blood.

For testing Haemophilus spp. b

MIC (mcg/mL)

Interpretation

≤ 8.0

Susceptible (S)

16.0

Intermediate (I)

≥ 32.0

Resistant (R)

b   These interpretive standards are applicable only to broth microdilution susceptibility tests with Haemophilus spp. using Haemophilus Testing Medium (HTM).1

Note: When testing Streptococcus pyogenes and Streptococcus pneumoniae, susceptibility and resistance to clarithromycin can be predicted using erythromycin.

A report of "Susceptible" indicates that the pathogen is likely to be inhibited if the antimicrobial compound in the blood reaches the concentrations usually achievable. A report of "Intermediate" indicates that the result should be considered equivocal, and, if the microorganism is not fully susceptible to alternative, clinically feasible drugs, the test should be repeated. This category implies possible clinical applicability in body sites where the drug is physiologically concentrated or in situations where high dosage of drug can be used. This category also provides a buffer zone which prevents small uncontrolled technical factors from causing major discrepancies in interpretation. A report of "Resistant" indicates that the pathogen is not likely to be inhibited if the antimicrobial compound in the blood reaches the concentrations usually achievable; other therapy should be selected.

Sildenafil (viagra) (Sildenafil (Viagra))

Erythromycin has been reported to increase the systemic exposure (AUC) of sildenafil. A similar interaction may occur with clarithromycin; reduction of sildenafil dosage should be considered (see Viagra package insert).

There have been spontaneous or published reports of CYP3A based interactions of erythromycin and/or clarithromycin with cyclosporine, carbamazepine, tacrolimus, alfentanil, disopyramide, rifabutin, quinidine, methylprednisolone, cilostazol, bromocriptine, vinblastine, phenobarbital and St. John’s Wort.

Concomitant administration of clarithromycin with cisapride, pimozide, astemizole, or terfenadine is contraindicated (see CONTRAINDICATIONS ).

In addition, there have been reports of interactions of erythromycin or clarithromycin with drugs not thought to be metabolized by CYP3A, including hexobarbital, phenytoin, and valproate.

Other Microorganisms

Mycoplasma pneumoniae

Chlamydophila pneumoniae (TWAR) [previously Chlamydia pneumoniae]

Pregnancy Category C

Four teratogenicity studies in rats (three with oral doses and one with intravenous doses up to 160 mg/kg/day administered during the period of major organogenesis) and two in rabbits at oral doses up to 125 mg/kg/day (approximately 2 times the recommended maximum human dose based on mg/m2) or intravenous doses of 30 mg/kg/day administered during gestation days 6 to 18 failed to demonstrate any teratogenicity from clarithromycin. Two additional oral studies in a different rat strain at similar doses and similar conditions demonstrated a low incidence of cardiovascular anomalies at doses of 150 mg/kg/day administered during gestation days 6 to 15. Plasma levels after 150 mg/kg/day were 2 times the human serum levels. Four studies in mice revealed a variable incidence of cleft palate following oral doses of 1000 mg/kg/day (2 and 4 times the recommended maximum human dose based on mg/m2, respectively) during gestation days 6 to 15. Cleft palate was also seen at 500 mg/kg/day. The 1000 mg/kg/day exposure resulted in plasma levels 17 times the human serum levels. In monkeys, an oral dose of 70 mg/kg/day (an approximate equidose of the recommended maximum human dose based on mg/m2) produced fetal growth retardation at plasma levels that were 2 times the human serum levels.

There are no adequate and well-controlled studies in pregnant women. Clarithromycin should be used during pregnancy only if the potential benefit justifies the potential risk to the fetus (see WARNINGS ).

Clostridium Difficile (Clostridium difficile)

Clostridium difficile associated diarrhea (CDAD) has been reported with use of nearly all antibacterial agents, including clarithromycin, and may range in severity from mild diarrhea to fatal colitis. Treatment with antibacterial agents alters the normal flora of the colon leading to overgrowth of C. difficile.

C. difficile produces toxins A and B which contribute to the development of CDAD. Hypertoxin producing strains of C. difficile cause increased morbidity and mortality, as these infections can be refractory to antimicrobial therapy and may require colectomy. CDAD must be considered in all patients who present with diarrhea following antibiotic use. Careful medical history is necessary since CDAD has been reported to occur over two months after the administration of antibacterial agents.

If CDAD is suspected or confirmed, ongoing antibiotic use not directed against C. difficile may need to be discontinued. Appropriate fluid and electrolyte management, protein supplementation, antibiotic treatment of C. difficile, and surgical evaluation should be instituted as clinically indicated.

Indications and Usage (INDICATIONS AND USAGE)

Clarithromycin tablets, USP are indicated for the treatment of mild to moderate infections caused by susceptible isolates of the designated bacteria in the conditions as listed below:

Duodenal Ulcer Healing

The combination of clarithromycin and omeprazole was as effective as omeprazole alone for healing duodenal ulcer.

End-of-Treatment Ulcer Healing Rates Percent of Patients Healed (n/N)

Study

Clarithromycin + Omeprazole

Omeprazole

Clarithromycin

U.S. Studies

     Study 100

94% (58/62)

88% (60/68)

71% (49/69)

  •  
         Study 067

88% (56/64)

85% (55/65)

64% (44/69)

Non-U.S. Studies

  •  
         Study 058

99% (84/85)

95% (82/86)

N/A

     Study 812b1

100% (64/64)

99% (71/72)

N/A

†   p < 0.05 for clarithromycin + omeprazole versus clarithromycin monotherapy.

1   In Study 812b patients received omeprazole 40 mg daily for days 15 to 28.

Gram Negative Bacteria (Gram-Negative Bacteria)

Bordetella pertussis

Legionella pneumophila

Pasteurella multocida

Gram Positive Bacteria (Gram-Positive Bacteria)

Streptococcus agalactiae

Streptococci (Groups C, F, G)

Viridans group streptococci

Information to Patients

Patients should be counseled that antibacterial drugs including clarithromycin should only be used to treat bacterial infections. They do not treat viral infections (e.g., the common cold). When clarithromycin is prescribed to treat a bacterial infection, patients should be told that although it is common to feel better early in the course of therapy, the medication should be taken exactly as directed. Skipping doses or not completing the full course of therapy may (1) decrease the effectiveness of the immediate treatment and (2) increase the likelihood that bacteria will develop resistance and will not be treatable by clarithromycin or other antibacterial drugs in the future.

Diarrhea is a common problem caused by antibiotics which usually ends when the antibiotic is discontinued. Sometimes after starting treatment with antibiotics, patients can develop watery and bloody stools (with or without stomach cramps and fever) even as late as two or more months after having taken the last dose of the antibiotic. If this occurs, patients should contact their physician as soon as possible.

Clarithromycin may interact with some drugs; therefore patients should be advised to report to their doctor the use of any other medications.

Clarithromycin tablets can be taken with or without food and can be taken with milk.

Pretreatment Resistance

Clarithromycin pretreatment resistance rates were 3.5% (4/113) in the omeprazole/clarithromycin dual therapy studies (M93-067, M93-100) and 9.3% (41/439) in the omeprazole/clarithromycin/amoxicillin triple therapy studies (126, 127, M96-446). Clarithromycin pretreatment resistance was 12.6% (44/348) in the ranitidine bismuth citrate/clarithromycin b.i.d. versus t.i.d. clinical study (H2BA3001). Clarithromycin pretreatment resistance rates were 9.5% (91/960) by E-test and 11.3% (12/106) by agar dilution in the lansoprazole/clarithromycin/amoxicillin triple therapy clinical trials (M93-125, M93-130, M93-131, M95-392, and M95-399).

Amoxicillin pretreatment susceptible isolates (< 0.25 mcg/mL) were found in 99.3% (436/439) of the patients in the omeprazole/clarithromycin/amoxicillin clinical studies (126, 127, M96-446). Amoxicillin pretreatment minimum inhibitory concentrations (MICs) > 0.25 mcg/mL occurred in 0.7% (3/439) of the patients, all of whom were in the clarithromycin/amoxicillin study arm. Amoxicillin pretreatment susceptible isolates (< 0.25 mcg/mL) occurred in 97.8% (936/957) and 98.0% (98/100) of the patients in the lansoprazole/clarithromycin/amoxicillin triple-therapy clinical trials by E-test and agar dilution, respectively. Twenty-one of the 957 patients (2.2%) by E-test and 2 of 100 patients (2.0%) by agar dilution had amoxicillin pretreatment MICs of > 0.25 mcg/mL. Two patients had an unconfirmed pretreatment amoxicillin minimum inhibitory concentration (MIC) of > 256 mcg/mL by E-test.

Clarithromycin Susceptibility Test Results and Clinical/Bacteriological Outcomesa

Clarithromycin Pretreatment Results

 

Clarithromycin Post-treatment Results

 

 

H. pylori negative - eradicated

H. pylori positive - not eradicated

Post-treatment susceptibility results

 

 

 

Sb

Ib

Rb

No MIC

Omeprazole 40 mg q.d./clarithromycin 500 mg t.i.d. for 14 days followed by omeprazole 20 mg q.d. for another 14 days (M93-067, M93-100)

Susceptibleb

108

72

1

 

26

9

Intermediateb

1

 

 

 

1

 

Resistantb

4

 

 

 

4

 

Ranitidine bismuth citrate 400 mg b.i.d./clarithromycin 500 mg t.i.d. for 14 days followed by ranitidine bismuth citrate 400 mg b.i.d. for another 14 days (H2BA3001)

Susceptibleb

124

98

4

 

14

8

Intermediateb

3

2

 

 

 

1

Resistantb

17

1

 

 

15

1

Ranitidine bismuth citrate 400 mg b.i.d./clarithromycin 500 mg b.i.d. for 14 days followed by ranitidine bismuth citrate 400 mg b.i.d. for another 14 days (H2BA3001)

Susceptibleb

125

106

1

1

12

5

Intermediateb

2

2

 

 

 

 

Resistantb

20

1

 

 

19

 

Omeprazole 20 mg b.i.d./clarithromycin 500 mg b.i.d./amoxicillin 1 g b.i.d. for 10 days (126, 127, M96-446)

Susceptibleb

171

153

7

 

3

8

Intermediateb

 

 

 

 

 

 

Resistantb

14

4

1

 

6

3

Lansoprazole 30 mg b.i.d./clarithromycin 500 mg b.i.d./amoxicillin 1 g b.i.d. for 14 days (M95-399, M93-131, M95-392)

Susceptibleb

112

105

 

 

 

7

Intermediateb

3

3

 

 

 

 

Resistantb

17

6

 

 

7

4

Lansoprazole 30 mg b.i.d./clarithromycin 500 mg b.i.d./amoxicillin 1 g b.i.d. for 10 days (M95-399)

Susceptibleb

42

40

1

 

1

 

Intermediateb

 

 

 

 

 

 

Resistantb

4

1

 

 

3

 

a   Includes only patients with pretreatment clarithromycin susceptibility tests

b   Breakpoints for antimicrobial susceptibility testing at the time of studies were: Susceptible (S) MIC < 0.25 mcg/mL, Intermediate (I) MIC 0.5-1.0 mcg/mL, Resistant (R) MIC > 2 mcg/mL. For current antimicrobial susceptibility testing guidelines see reference 4. For current susceptibility test interpretive criteria, see Susceptibility Test for Helicobacter pylori below.

Patients not eradicated of H. pylori following omeprazole/clarithromycin, ranitidine bismuth citrate/clarithromycin, omeprazole/clarithromycin/amoxicillin, or lansoprazole/clarithromycin/amoxicillin therapy would likely have clarithromycin resistant H. pylori isolates. Therefore, for patients who fail therapy, clarithromycin susceptibility testing should be done, if possible. Patients with clarithromycin resistant H. pylori should not be treated with any of the following: omeprazole/clarithromycin dual therapy; ranitidine bismuth citrate/clarithromycin dual therapy; omeprazole/clarithromycin/amoxicillin triple therapy; lansoprazole/clarithromycin/amoxicillin triple therapy; or other regimens which include clarithromycin as the sole antimicrobial agent.

Dosage and Administration (DOSAGE AND ADMINISTRATION)

Clarithromycin tablets may be given with or without food.

Clarithromycin may be administered without dosage adjustment in the presence of hepatic impairment if there is normal renal function. In patients with severe renal impairment (CLCR < 30 mL/min), the dose of clarithromycin should be reduced by 50%. However, when patients with moderate or severe renal impairment are taking clarithromycin concomitantly with atazanavir or ritonavir, the dose of clarithromycin should be reduced by 50% or 75% for patients with CLCR of 30 to 60 mL/min or < 30 mL/min, respectively.

ADULT DOSAGE GUIDELINES

 

Clarithromycin Tablets

Infection

Dosage

(q12h)

Duration

(days)

Pharyngitis/Tonsillitis due to

 

 

     S. pyogenes

250 mg

10

Acute maxillary sinusitis due to

500 mg

14

     H. influenzae

 

 

     M. catarrhalis

 

 

     S. pneumoniae

 

 

Acute exacerbation of chronic bronchitis due to

 

 

     H. influenzae

500 mg

7-14

     H. parainfluenzae

500 mg

7

     M. catarrhalis

250 mg

7-14

     S. pneumoniae

250 mg

7-14

Community-Acquired Pneumonia due to

 

 

     H. influenzae

250 mg

7

     H. parainfluenzae

-

-

     M. catarrhalis

-

-

     S. pneumoniae

250 mg

7-14

     C. pneumoniae

250 mg

7-14

     M. pneumoniae

250 mg

7-14

Uncomplicated skin and skin structure

250 mg

7-14

     S. aureus

 

 

S. pyogenes

 

 

Post Marketing Experience (Post-Marketing Experience)

The following adverse reactions have been identified during post approval use of clarithromycin. Because these reactions are reported voluntarily from a population of uncertain size, it is not always possible to reliably estimate their frequency or establish a causal relationship to drug exposure.

Blood and Lymphatic System Disorders

Thrombocytopenia, agranulocytosis

Cardiac Disorders

Torsades de pointes, ventricular tachycardia, ventricular arrhythmia

Ear and Labyrinth Disorders

Deafness was reported chiefly in elderly women and was usually reversible.

Gastrointestinal Disorders

Pancreatitis acute, tongue discoloration, tooth discoloration was reported and was usually reversible with professional cleaning upon discontinuation of the drug. There have been reports of clarithromycin extended-release tablets in the stool, many of which have occurred in patients with anatomic (including ileostomy or colostomy) or functional gastrointestinal disorders with shortened GI transit times. In several reports, tablet residues have occurred in the context of diarrhea. It is recommended that patients who experience tablet residue in the stool and no improvement in their condition should be switched to a different clarithromycin formulation (e.g., suspension) or another antibacterial drug.

Hepatobiliary Disorders

Hepatic failure, jaundice hepatocellular. Adverse reactions related to hepatic dysfunction have been reported with clarithromycin (see WARNINGS - Hepatotoxicity ).

Immune System Disorders

Anaphylactic reaction, angioedema

Infections and Infestations

Pseudomembranous colitis

Investigations

Prothrombin time prolonged, white blood cell count decreased, international normalized ratio increased. Abnormal urine color has been reported, associated with hepatic failure.

Metabolism and Nutrition Disorders

Hypoglycemia has been reported in patients taking oral hypoglycemic agents or insulin.

Musculoskeletal and Connective Tissue Disorders

Myopathy, rhabdomyolysis was reported and in some of the reports, clarithromycin was administered concomitantly with statins, fibrates, colchicine or allopurinol (see CONTRAINDICATIONS and WARNINGS ).

Nervous System Disorders

Convulsion, ageusia, parosmia, anosmia, paraesthesia

Psychiatric Disorders

Psychotic disorder, confusional state, depersonalization, depression, disorientation, manic behavior, hallucination, abnormal behavior, abnormal dreams. These disorders usually resolve upon discontinuation of the drug.

There are no data on the effect of clarithromycin on the ability to drive or use machines. The potential for dizziness, vertigo, confusion and disorientation, which may occur with the medication, should be taken into account before patients drive or use machines.

Renal and Urinary Disorders

Nephritis interstitial, renal failure

Skin and Subcutaneous Tissue Disorders

Stevens-Johnson syndrome, toxic epidermal necrolysis, drug rash with eosinophilia and systemic symptoms (DRESS), Henoch-Schonlein purpura, acne

Vascular Disorders

Hemorrhage

There have been reports of colchicine toxicity with concomitant use of clarithromycin and colchicine, especially in the elderly, some of which occurred in patients with renal insufficiency. Deaths have been reported in some such patients (see WARNINGS and PRECAUTIONS ).

Changes in Laboratory Values

In immunocompromised patients treated with clarithromycin for mycobacterial infections, evaluations of laboratory values were made by analyzing those values outside the seriously abnormal level (i.e., the extreme high or low limit) for the specified test.

Percentage of Patients(a) Exceeding Extreme Laboratory Value Limits During First 12 Weeks of Treatment 500 mg b.i.d. Dose(b)

 

 

Study 500

Study 577

Combined

BUN

> 50 mg/dL

0%

< 1%

< 1%

Platelet Count

< 50 x 109/L

0%

< 1%

< 1%

SGOT

> 5 x ULN(c)

0%

3%

2%

SGPT

> 5 x ULN(c)

0%

2%

1%

WBC

< 1 x 109/L

0%

1%

1%

(a)   Includes only patients with baseline values within the normal range or borderline high (hematology variables) and within the normal range or borderline low (chemistry variables)

(b)   Includes all values within the first 12 weeks for patients who start on 500 mg b.i.d.

(c)   ULN = Upper Limit of Normal

Ergotamine/dihydroergotamine (Ergotamine/Dihydroergotamine)

Post-marketing reports indicate that coadministration of clarithromycin with ergotamine or dihydroergotamine has been associated with acute ergot toxicity characterized by vasospasm and ischemia of the extremities and other tissues including the central nervous system. Concomitant administration of clarithromycin with ergotamine or dihydroergotamine is contraindicated (see CONTRAINDICATIONS ).

Gram Negative Microorganisms (Gram-Negative Microorganisms)

Haemophilus influenzae

Haemophilus parainfluenzae

Moraxella catarrhalis

Gram Positive Microorganisms (Gram-Positive Microorganisms)

Staphylococcus aureus

Streptococcus pneumoniae

Streptococcus pyogenes

Carbamazepine and Terfenadine

Increased serum concentrations of carbamazepine and the active acid metabolite of terfenadine were observed in clinical trials with clarithromycin.

Gram Negative Anaerobic Bacteria (Gram-Negative Anaerobic Bacteria)

Prevotella melaninogenica (formerly Bacteriodes melaninogenicus)

Animal Pharmacology and Toxicology (ANIMAL PHARMACOLOGY AND TOXICOLOGY)

Clarithromycin is rapidly and well-absorbed with dose-linear kinetics, low protein binding, and a high volume of distribution. Plasma half-life ranged from 1 to 6 hours and was species dependent. High tissue concentrations were achieved, but negligible accumulation was observed. Fecal clearance predominated. Hepatotoxicity occurred in all species tested (i.e., in rats and monkeys at doses 2 times greater than and in dogs at doses comparable to the maximum human daily dose, based on mg/m2). Renal tubular degeneration (calculated on a mg/m2 basis) occurred in rats at doses 2 times, in monkeys at doses 8 times, and in dogs at doses 12 times greater than the maximum human daily dose. Testicular atrophy (on a mg/m2 basis) occurred in rats at doses 7 times, in dogs at doses 3 times, and in monkeys at doses 8 times greater than the maximum human daily dose. Corneal opacity (on a mg/m2 basis) occurred in dogs at doses 12 times and in monkeys at doses 8 times greater than the maximum human daily dose. Lymphoid depletion (on a mg/m2 basis) occurred in dogs at doses 3 times greater than and in monkeys at doses 2 times greater than the maximum human daily dose. These adverse events were absent during clinical trials.

Clarithromycin + Omeprazole Therapy

Four randomized, double-blind, multi-center studies (067, 100, 812b, and 058) evaluated clarithromycin 500 mg t.i.d. plus omeprazole 40 mg q.d. for 14 days, followed by omeprazole 20 mg q.d. (067, 100, and 058) or by omeprazole 40 mg q.d. (812b) for an additional 14 days in patients with active duodenal ulcer associated with H. pylori . Studies 067 and 100 were conducted in the U.S. and Canada and enrolled 242 and 256 patients, respectively. H. pylori infection and duodenal ulcer were confirmed in 219 patients in Study 067 and 228 patients in Study 100. These studies compared the combination regimen to omeprazole and clarithromycin monotherapies. Studies 812b and 058 were conducted in Europe and enrolled 154 and 215 patients, respectively. H. pylori infection and duodenal ulcer were confirmed in 148 patients in Study 812b and 208 patients in Study 058. These studies compared the combination regimen to omeprazole monotherapy. The results for the efficacy analyses for these studies are described below.

Sildenafil, Tadalafil, and Vardenafil

Each of these phosphodiesterase inhibitors is primarily metabolized by CYP3A, and CYP3A will be inhibited by concomitant administration of clarithromycin. Co-administration of clarithromycin with sildenafil, tadalafil, or vardenafil will result in increased exposure of these phosphodiesterase inhibitors. Co-administration of these phosphodiesterase inhibitors with clarithromycin is not recommended.

Dual Therapy: Clarithromycin/omeprazole (Dual therapy: clarithromycin/omeprazole)

The recommended adult dose is 500 mg clarithromycin given three times daily (q8h) and 40 mg omeprazole given once daily (qAM) for 14 days (see INDICATIONS AND USAGE and CLINICAL STUDIES sections). An additional 14 days of omeprazole 20 mg once daily is recommended for ulcer healing and symptom relief.

Susceptibility Test for Helicobacter Pylori (Susceptibility Test for Helicobacter pylori)

The reference methodology for susceptibility testing of H. pylori is agar dilution MICs.4 One to three microliters of an inoculum equivalent to a No. 2 McFarland standard (1 x 107-1 x 108 CFU/mL for H. pylori) are inoculated directly onto freshly prepared antimicrobial containing Mueller-Hinton agar plates with 5% aged defibrinated sheep blood (> 2-weeks old). The agar dilution plates are incubated at 35°C in a microaerobic environment produced by a gas generating system suitable for Campylobacter species. After 3 days of incubation, the MICs are recorded as the lowest concentration of antimicrobial agent required to inhibit growth of the organism. The clarithromycin and amoxicillin MIC values should be interpreted according to the following criteria:

Susceptibility Test Interpretive Criteria H. pylorii

Clarithromycin MIC (mcg/mL) j

Interpretation

≤ 0.25

Susceptible (S)

0.5

Intermediate (I)

≥ 1.0

Resistant (R)

Susceptibility Test Interpretive Criteria for H. pylori

Amoxicillin MIC (mcg/mL) j,k

Interpretation

< 0.25

Susceptible (S)

j  These are tentative breakpoints for the agar dilution methodology, and should not be used to interpret results obtained using alternative methods.

k  There were not enough organisms with MICs > 0.25 mcg/mL to determine a resistance breakpoint.

Standardized susceptibility test procedures require the use of laboratory control bacteria to monitor and ensure the accuracy and precision of supplies and reagents in the assay, and the techniques of the individual performing the test. Standard clarithromycin or amoxicillin powder should provide the following MIC ranges.

Acceptable Quality Control Ranges

Antimicrobial Agent

MIC (mcg/mL)l

H. pylori

ATCC 43504

Clarithromycin

0.015-0.12 mcg/mL

H. pylori

ATCC 43504

Amoxicillin

0.015-0.12 mcg/mL

l  These are quality control ranges for the agar dilution methodology and should not be used to control test results obtained using alternative methods.

Susceptibility Testing for Mycobacterium Avium (Susceptibility Testing for Mycobacterium avium)

The disk diffusion and dilution techniques for susceptibility testing against gram-positive and gram-negative bacteria should not be used for determining clarithromycin MIC values against mycobacteria. In vitro susceptibility testing methods and diagnostic products currently available for determining minimum inhibitory concentration (MIC) values against Mycobacterium avium complex (MAC) organisms have not been standardized or validated. Clarithromycin MIC values will vary depending on the susceptibility testing method employed, composition and pH of the media, and the utilization of nutritional supplements. Breakpoints to determine whether clinical isolates of M. avium or M. intracellulare are susceptible or resistant to clarithromycin have not been established.

Clinically Significant Disseminated Mac Disease (Clinically Significant Disseminated MAC Disease)

In association with the decreased incidence of bacteremia, patients in the group randomized to clarithromycin showed reductions in the signs and symptoms of disseminated MAC disease, including fever, night sweats, weight loss, and anemia.

Carcinogenesis, Mutagenesis, Impairment of Fertility

The following in vitro mutagenicity tests have been conducted with clarithromycin:

Salmonella/Mammalian Microsomes Test

Bacterial Induced Mutation Frequency Test

In Vitro Chromosome Aberration Test

Rat Hepatocyte DNA Synthesis Assay

Mouse Lymphoma Assay

Mouse Dominant Lethal Study

Mouse Micronucleus Test

All tests had negative results except the In Vitro Chromosome Aberration Test which was weakly positive in one test and negative in another.

In addition, a Bacterial Reverse-Mutation Test (Ames Test) has been performed on clarithromycin metabolites with negative results.

Fertility and reproduction studies have shown that daily doses of up to 160 mg/kg/day (1.3 times the recommended maximum human dose based on mg/m2) to male and female rats caused no adverse effects on the estrous cycle, fertility, parturition, or number and viability of offspring. Plasma levels in rats after 150 mg/kg/day were 2 times the human serum levels.

In the 150 mg/kg/day monkey studies, plasma levels were 3 times the human serum levels. When given orally at 150 mg/kg/day (2.4 times the recommended maximum human dose based on mg/m2), clarithromycin was shown to produce embryonic loss in monkeys. This effect has been attributed to marked maternal toxicity of the drug at this high dose.

In rabbits, in utero fetal loss occurred at an intravenous dose of 33 mg/m2, which is 17 times less than the maximum proposed human oral daily dose of 618 mg/m2.

Long-term studies in animals have not been performed to evaluate the carcinogenic potential of clarithromycin.

Triple Therapy: Clarithromycin/omeprazole/amoxicillin (Triple therapy: clarithromycin/omeprazole/amoxicillin)

The recommended adult dose is 500 mg clarithromycin, 20 mg omeprazole, and 1 gram amoxicillin, all given twice daily (q12h) for 10 days (see INDICATIONS AND USAGE and CLINICAL STUDIES sections). In patients with an ulcer present at the time of initiation of therapy, an additional 18 days of omeprazole 20 mg once daily is recommended for ulcer healing and symptom relief.

Dual Therapy: Clarithromycin/ranitidine Bismuth Citrate (Dual therapy: clarithromycin/ranitidine bismuth citrate)

The recommended adult dose is 500 mg clarithromycin given twice daily (q12h) or three times daily (q8h) and 400 mg ranitidine bismuth citrate given twice daily (q12h) for 14 days. An additional 14 days of 400 mg twice daily is recommended for ulcer healing and symptom relief. Clarithromycin and ranitidine bismuth citrate combination therapy is not recommended in patients with creatinine clearance less than 25 mL/min (see  INDICATIONS AND USAGE and CLINICAL STUDIES sections).

Triple Therapy: Clarithromycin/lansoprazole/amoxicillin (Triple therapy: clarithromycin/lansoprazole/amoxicillin)

The recommended adult dose is 500 mg clarithromycin, 30 mg lansoprazole, and 1 gram amoxicillin, all given twice daily (q12h) for 10 or 14 days (see INDICATIONS AND USAGE and CLINICAL STUDIES sections).

Efavirenz, Nevirapine, Rifampicin, Rifabutin, and Rifapentine

Inducers of CYP3A enzymes, such as efavirenz, nevirapine, rifampicin, rifabutin, and rifapentine will increase the metabolism of clarithromycin, thus decreasing plasma concentrations of clarithromycin, while increasing those of 14-OH-clarithromycin. Since the microbiological activities of clarithromycin and 14-OH-clarithromycin are different for different bacteria, the intended therapeutic effect could be impaired during concomitant administration of clarithromycin and enzyme inducers. Alternative antibacterial treatment should be considered when treating patients receiving inducers of CYP3A. Concomitant administration of rifabutin and clarithromycin resulted in an increase in rifabutin, and decrease in clarithromycin serum levels together with an increased risk of uveitis.

Triazolobenzodiazepines (e.g., Alprazolam, Midazolam, Triazolam) (Triazolobenzodiazepines (e.g., alprazolam, midazolam, triazolam))

When a single dose of midazolam was co-administered with clarithromycin tablets (500 mg twice daily for 7 days), midazolam AUC increased 174% after intravenous administration of midazolam and 600% after oral administration. When oral midazolam is co-administered with clarithromycin, dose adjustments may be necessary and possible prolongation and intensity of effect should be anticipated. Caution and appropriate dose adjustments should be considered when triazolam or alprazolam is co-administered with clarithromycin. For benzodiazepines which are not metabolized by CYP3A (e.g., temazepam, nitrazepam, lorazepam), a clinically important interaction with clarithromycin is unlikely.

There have been post-marketing reports of drug interactions and central nervous system (CNS) effects (e.g., somnolence and confusion) with the concomitant use of clarithromycin and triazolam. Monitoring the patient for increased CNS pharmacological effects is suggested.

Amoxicillin Susceptibility Test Results and Clinical/bacteriological Outcomes (Amoxicillin Susceptibility Test Results and Clinical/Bacteriological Outcomes)

In the omeprazole/clarithromycin/amoxicillin triple-therapy clinical trials, 84.9% (157/185) of the patients who had pretreatment amoxicillin susceptible MICs (< 0.25 mcg/mL) were eradicated of H. pylori and 15.1% (28/185) failed therapy. Of the 28 patients who failed triple therapy, 11 had no post-treatment susceptibility test results, and 17 had post-treatment H. pylori isolates with amoxicillin susceptible MICs. Eleven of the patients who failed triple therapy also had post-treatment H. pylori isolates with clarithromycin resistant MICs.

In the lansoprazole/clarithromycin/amoxicillin triple-therapy clinical trials, 82.6% (195/236) of the patients that had pretreatment amoxicillin susceptible MICs (< 0.25 mcg/mL) were eradicated of H. pylori. Of those with pretreatment amoxicillin MICs of > 0.25 mcg/mL, three of six had the H. pylori eradicated. A total of 12.8% (22/172) of the patients failed the 10- and 14-day triple-therapy regimens. Post-treatment susceptibility results were not obtained on 11 of the patients who failed therapy. Nine of the 11 patients with amoxicillin post-treatment MICs that failed the triple-therapy regimen also had clarithromycin resistant H. pylori isolates.

The following in vitro data are available, but their clinical significance is unknown . Clarithromycin exhibits in vitro activity against most isolates of the following bacteria; however, the safety and effectiveness of clarithromycin in treating clinical infections due to these bacteria have not been established in adequate and well-controlled clinical trials.

Triazolobenziodidiazepines (such As Triazolam and Alprazolam) and Related Benzodiazepines (such As Midazolam) (Triazolobenziodidiazepines (Such as Triazolam and Alprazolam) and Related Benzodiazepines (Such as Midazolam))

Erythromycin has been reported to decrease the clearance of triazolam and midazolam, and thus, may increase the pharmacologic effect of these benzodiazepines. There have been post-marketing reports of drug interactions and CNS effects (e.g., somnolence and confusion) with the concomitant use of clarithromycin and triazolam.


Advanced Ingredient Data


Raw Label Data

All Sections (JSON)