clindamycin injection, usp

clindamycin injection, usp
SPL v2
SPL
SPL Set ID 9e500a08-0339-eb6b-e053-2a95a90a130c
Routes
intravenous intramuscular
Published
Effective Date 2023-05-10
Document Type 34391-3 HUMAN PRESCRIPTION DRUG LABEL

Drug Facts

Composition & Product

Active Ingredients
clindamycin (150 mg)
Inactive Ingredients
edetate disodium benzyl alcohol sodium hydroxide hydrochloric acid

Identifiers & Packaging

Marketing Status
anda active Since 2012-05-15

Indications and Usage

Clindamycin Injection, USP is indicated in the treatment of serious infections caused by susceptible anaerobic bacteria. Clindamycin Injection, USP is also indicated in the treatment of serious infections due to susceptible strains of streptococci, pneumococci, and staphylococci. Its use should be reserved for penicillin-allergic patients or other patients for whom, in the judgment of the physician, a penicillin is inappropriate. Because of the risk of antibiotic-associated pseudomembranous colitis, as described in the BOXED WARNING , before selecting clindamycin the physician should consider the nature of the infection and the suitability of less toxic alternatives (e.g., erythromycin). Bacteriologic studies should be performed to determine the causative organisms and their susceptibility to clindamycin. Indicated surgical procedures should be performed in conjunction with antibiotic therapy. Clindamycin Injection, USP is indicated in the treatment of serious infections caused by susceptible strains of the designated organisms in the conditions listed below: Lower respiratory tract infections including pneumonia, empyema, and lung abscess caused by anaerobes, Streptococcus pneumoniae, other streptococci (except E. faecalis ), and Staphylococcus aureus. Skin and skin structure infections caused by Streptococcus pyogenes, Staphylococcus aureus , and anaerobes. Gynecological infections including endometritis, nongonococcal tubo-ovarian abscess, pelvic cellulitis, and postsurgical vaginal cuff infection caused by susceptible anaerobes. Intra-abdominal infections including peritonitis and intra-abdominal abscess caused by susceptible anaerobic organisms. Septicemia caused by Staphylococcus aureus , streptococci (except Enterococcus faecalis ), and susceptible anaerobes. Bone and joint infections including acute hematogenous osteomyelitis caused by Staphylococcus aureus and as adjunctive therapy in the surgical treatment of chronic bone and joint infections due to susceptible organisms. To reduce the development of drug-resistant bacteria and maintain the effectiveness of Clindamycin Injection, USP and other antibacterial drugs, Clindamycin Injection, USP should be used only to treat or prevent infections that are proven or strongly suspected to be caused by susceptible bacteria. When culture and susceptibility information are available, they should be considered in selecting or modifying antibacterial therapy. In the absence of such data, local epidemiology and susceptibility patterns may contribute to the empiric selection of therapy.

Dosage and Administration

If diarrhea occurs during therapy, this antibiotic should be discontinued (see WARNING box). Clindamycin injection IM administration should be used undiluted . Clindamycin injection IV administration should be diluted (see Dilution for IV use and IV Infusion Rates below).

Contraindications

This drug is contraindicated in individuals with a history of hypersensitivity to preparations containing clindamycin or lincomycin.

Adverse Reactions

The following reactions have been reported with the use of clindamycin. Infections and Infestations: Clostridium difficile colitis.

Drug Interactions

Clindamycin has been shown to have neuromuscular blocking properties that may enhance the action of other neuromuscular blocking agents. Therefore, it should be used with caution in patients receiving such agents. Clindamycin is metabolized predominantly by CYP3A4, and to a lesser extent by CYP3A5, to the major metabolite clindamycin sulfoxide and minor metabolite N-desmethylclindamycin. Therefore, inhibitors of CYP3A4 and CYP3A5 may increase plasma concentrations of clindamycin and inducers of these isoenzymes may reduce plasma concentrations of clindamycin. In the presence of strong CYP3A4 inhibitors, monitor for adverse reactions. In the presence of strong CYP3A4 inducers such as rifampicin, monitor for loss of effectiveness. In vitro studies indicate that clindamycin does not inhibit CYP1A2, CYP2C9, CYP2C19, CYP2E1 or CYP2D6 and only moderately inhibits CYP3A4.

How Supplied

Each mL of Clindamycin Injection, USP contains clindamycin phosphate equivalent to 150 mg of clindamycin. Also contains 0.5 mg disodium edetate; and 9.45 mg benzyl alcohol as a preservative. Sodium hydroxide and/or hydrochloric acid may be added to adjust pH. Clindamycin Injection, USP is supplied as follows: NDC Clindamycin Injection, USP (150 mg per mL) Package Factor 25021-115-02 300 mg per 2 mL Single-Dose Vial 25 vials per carton 25021-115-04 600 mg per 4 mL Single-Dose Vial 25 vials per carton 25021-115-06 900 mg per 6 mL Single-Dose Vial 25 vials per carton   Clindamycin Injection, USP Pharmacy Bulk Package is also available as follows: NDC Clindamycin Injection, USP (150 mg per mL) Package Factor 25021-115-51 9,000 mg per 60 mL Pharmacy Bulk Package Bottle 1 bottle per carton

Description

SAGENT ® Rx only To reduce the development of drug-resistant bacteria and maintain the effectiveness of Clindamycin Injection, USP and other antibacterial drugs, Clindamycin Injection, USP should be used only to treat or prevent infections that are proven or strongly suspected to be caused by bacteria. Sterile Solution is for Intramuscular and Intravenous Use


Medication Information

Warnings
Indications and Usage

Clindamycin Injection, USP is indicated in the treatment of serious infections caused by susceptible anaerobic bacteria.

Clindamycin Injection, USP is also indicated in the treatment of serious infections due to susceptible strains of streptococci, pneumococci, and staphylococci. Its use should be reserved for penicillin-allergic patients or other patients for whom, in the judgment of the physician, a penicillin is inappropriate. Because of the risk of antibiotic-associated pseudomembranous colitis, as described in the BOXED WARNING , before selecting clindamycin the physician should consider the nature of the infection and the suitability of less toxic alternatives (e.g., erythromycin).

Bacteriologic studies should be performed to determine the causative organisms and their susceptibility to clindamycin.

Indicated surgical procedures should be performed in conjunction with antibiotic therapy.

Clindamycin Injection, USP is indicated in the treatment of serious infections caused by susceptible strains of the designated organisms in the conditions listed below:

Lower respiratory tract infections including pneumonia, empyema, and lung abscess caused by anaerobes, Streptococcus pneumoniae, other streptococci (except E. faecalis), and Staphylococcus aureus.

Skin and skin structure infections caused by Streptococcus pyogenes, Staphylococcus aureus, and anaerobes.

Gynecological infections including endometritis, nongonococcal tubo-ovarian abscess, pelvic cellulitis, and postsurgical vaginal cuff infection caused by susceptible anaerobes.

Intra-abdominal infections including peritonitis and intra-abdominal abscess caused by susceptible anaerobic organisms.

Septicemia caused by Staphylococcus aureus, streptococci (except Enterococcus faecalis), and susceptible anaerobes.

Bone and joint infections including acute hematogenous osteomyelitis caused by Staphylococcus aureus and as adjunctive therapy in the surgical treatment of chronic bone and joint infections due to susceptible organisms.

To reduce the development of drug-resistant bacteria and maintain the effectiveness of Clindamycin Injection, USP and other antibacterial drugs, Clindamycin Injection, USP should be used only to treat or prevent infections that are proven or strongly suspected to be caused by susceptible bacteria. When culture and susceptibility information are available, they should be considered in selecting or modifying antibacterial therapy. In the absence of such data, local epidemiology and susceptibility patterns may contribute to the empiric selection of therapy.

Dosage and Administration

If diarrhea occurs during therapy, this antibiotic should be discontinued (see WARNING box).

Clindamycin injection IM administration should be used undiluted.

Clindamycin injection IV administration should be diluted (see Dilution for IV use and IV Infusion Rates below).

Contraindications

This drug is contraindicated in individuals with a history of hypersensitivity to preparations containing clindamycin or lincomycin.

Adverse Reactions

The following reactions have been reported with the use of clindamycin.

Infections and Infestations: Clostridium difficile colitis.

Drug Interactions

Clindamycin has been shown to have neuromuscular blocking properties that may enhance the action of other neuromuscular blocking agents. Therefore, it should be used with caution in patients receiving such agents.

Clindamycin is metabolized predominantly by CYP3A4, and to a lesser extent by CYP3A5, to the major metabolite clindamycin sulfoxide and minor metabolite N-desmethylclindamycin. Therefore, inhibitors of CYP3A4 and CYP3A5 may increase plasma concentrations of clindamycin and inducers of these isoenzymes may reduce plasma concentrations of clindamycin. In the presence of strong CYP3A4 inhibitors, monitor for adverse reactions. In the presence of strong CYP3A4 inducers such as rifampicin, monitor for loss of effectiveness.

In vitro studies indicate that clindamycin does not inhibit CYP1A2, CYP2C9, CYP2C19, CYP2E1 or CYP2D6 and only moderately inhibits CYP3A4.

How Supplied

Each mL of Clindamycin Injection, USP contains clindamycin phosphate equivalent to 150 mg of clindamycin. Also contains 0.5 mg disodium edetate; and 9.45 mg benzyl alcohol as a preservative. Sodium hydroxide and/or hydrochloric acid may be added to adjust pH.

Clindamycin Injection, USP is supplied as follows:
NDC Clindamycin Injection, USP (150 mg per mL) Package Factor
25021-115-02 300 mg per 2 mL Single-Dose Vial 25 vials per carton
25021-115-04 600 mg per 4 mL Single-Dose Vial 25 vials per carton
25021-115-06 900 mg per 6 mL Single-Dose Vial 25 vials per carton
 
Clindamycin Injection, USP Pharmacy Bulk Package is also available as follows:
NDC Clindamycin Injection, USP (150 mg per mL) Package Factor
25021-115-51 9,000 mg per 60 mL Pharmacy Bulk Package Bottle 1 bottle per carton
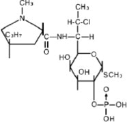
Description

Clindamycin Injection, USP, a clear colorless to pale yellow sterile solution, contains clindamycin phosphate, a water soluble ester of clindamycin and phosphoric acid. Each mL contains the equivalent of 150 mg clindamycin, 0.5 mg disodium edetate and 9.45 mg benzyl alcohol added as preservative in each mL. Sodium hydroxide and/or hydrochloric acid may be added to adjust pH. Clindamycin is a semisynthetic antibiotic produced by a 7(S)-chloro-substitution of the 7(R)-hydroxyl group of the parent compound lincomycin.

The chemical name of clindamycin phosphate is L- threo-α-D- galacto-Octopyranoside, methyl-7-chloro-6,7,8-trideoxy-6-[[(1-methyl-4-propyl-2-pyrrolidinyl)carbonyl]amino]-1-thio-,2-(dihydrogen phosphate), (2 S-trans)-.

The molecular formula is C 18H 34ClN 2O 8PS and the molecular weight is 504.96.

The structural formula is represented below:

Section 42228-7

Pregnancy: Teratogenic effects

In clinical trials with pregnant women, the systemic administration of clindamycin during the second and third trimesters, has not been associated with an increased frequency of congenital abnormalities.

Clindamycin should be used during the first trimester of pregnancy only if clearly needed. There are no adequate and well-controlled studies in pregnant women during the first trimester of pregnancy. Because animal reproduction studies are not always predictive of the human response, this drug should be used during pregnancy only if clearly needed.

Reproduction studies performed in rats and mice using oral doses of clindamycin up to 600 mg/kg/day (2.1 and 1.1 times the highest recommended adult human dose based on mg/m 2, respectively) or subcutaneous doses of clindamycin up to 250 mg/kg/day (0.9 and 0.5 times the highest recommended adult human dose based on mg/m 2, respectively) revealed no evidence of teratogenicity.

Clindamycin injection contains benzyl alcohol. Benzyl alcohol can cross the placenta. See WARNINGS .

Section 42229-5

SAGENT ®

Rx only

To reduce the development of drug-resistant bacteria and maintain the effectiveness of Clindamycin Injection, USP and other antibacterial drugs, Clindamycin Injection, USP should be used only to treat or prevent infections that are proven or strongly suspected to be caused by bacteria.

Sterile Solution is for Intramuscular and Intravenous Use

General

Review of experience to date suggests that a subgroup of older patients with associated severe illness may tolerate diarrhea less well. When clindamycin is indicated in these patients, they should be carefully monitored for change in bowel frequency.

Clindamycin injection products should be prescribed with caution in individuals with a history of gastrointestinal disease, particularly colitis.

Clindamycin injection should be prescribed with caution in atopic individuals.

Certain infections may require incision and drainage or other indicated surgical procedures in addition to antibiotic therapy.

The use of clindamycin injection may result in overgrowth of nonsusceptible organisms-particularly yeasts. Should superinfections occur, appropriate measures should be taken as indicated by the clinical situation.

Clindamycin injection should not be injected intravenously undiluted as a bolus, but should be infused over at least 10 to 60 minutes as directed in the DOSAGE AND ADMINISTRATION section.

Clindamycin dosage modification may not be necessary in patients with renal disease. In patients with moderate to severe liver disease, prolongation of clindamycin half-life has been found. However, it was postulated from studies that when given every eight hours, accumulation should rarely occur. Therefore, dosage modification in patients with liver disease may not be necessary. However, periodic liver enzyme determinations should be made when treating patients with severe liver disease.

Prescribing clindamycin injection in the absence of a proven or strongly suspected bacterial infection or a prophylactic indication is unlikely to provide benefit to the patient and increases the risk of the development of drug-resistant bacteria.

Warning

Clostridium difficile-associated diarrhea (CDAD) has been reported with use of nearly all antibacterial agents, including clindamycin and may range in severity from mild diarrhea to fatal colitis. Treatment with antibacterial agents alters the normal flora of the colon leading to overgrowth of C. difficile.

Because clindamycin therapy has been associated with severe colitis which may end fatally, it should be reserved for serious infections where less toxic antimicrobial agents are inappropriate, as described in the INDICATIONS AND USAGE section. It should not be used in patients with nonbacterial infections such as most upper respiratory tract infections. C. difficile produces toxins A and B which contribute to the development of CDAD. Hypertoxin producing strains of C. difficile cause increased morbidity and mortality, as these infections can be refractory to antimicrobial therapy and may require colectomy. CDAD must be considered in all patients who present with diarrhea following antibiotic use. Careful medical history is necessary since CDAD has been reported to occur over two months after the administration of antibacterial agents.

If CDAD is suspected or confirmed, ongoing antibiotic use not directed against C. difficile may need to be discontinued. Appropriate fluid and electrolyte management, protein supplementation, antibiotic treatment of C. difficile, and surgical evaluation should be instituted as clinically indicated.

Excretion

Biologically inactive clindamycin phosphate disappears from the serum with 6 minutes of the average elimination half-life; however, the average serum elimination half-life of active clindamycin is about 3 hours in adults and 2½ hours in pediatric patients.

Metabolism

In vitro studies in human liver and intestinal microsomes indicated that clindamycin is predominantly metabolized by Cytochrome P450 3A4 (CYP3A4), with minor contribution from CYP3A5, to form clindamycin sulfoxide and a minor metabolite, N-desmethylclindamycin.

Overdosage

Significant mortality was observed in mice at an intravenous dose of 855 mg/kg and in rats at an oral or subcutaneous dose of approximately 2618 mg/kg. In the mice, convulsions and depression were observed.

Hemodialysis and peritoneal dialysis are not effective in removing clindamycin from the serum.

References
  • Smith RB, Phillips JP: Evaluation of CLEOCIN HCl and CLEOCIN Phosphate in an Aged Population. Upjohn TR 8147-82-9122-021, December 1982.

Brands listed are the trademarks of their respective owners.

SAGENT ®

Mfd. for SAGENT Pharmaceuticals

Schaumburg, IL 60195 (USA)

Made in India

©2019 Sagent Pharmaceuticals, Inc.

Revised: June 2019

SAGENT Pharmaceuticals ®

Distribution

Biologically inactive clindamycin phosphate is converted to active clindamycin. By the end of short-term intravenous infusion, peak serum concentrations of active clindamycin are reached.

After intramuscular injection of clindamycin phosphate, peak concentrations of active clindamycin are reached within 3 hours in adults and 1 hour in pediatric patients. Serum concentration-time curves may be constructed from IV peak serum concentrations as given in Table 1 by application of elimination half-lives (see Excretion ).

Serum concentrations of clindamycin can be maintained above the in vitro minimum inhibitory concentrations for most indicated organisms by administration of clindamycin phosphate every 8 to 12 hours in adults and every 6 to 8 hours in pediatric patients, or by continuous intravenous infusion. An equilibrium state is reached by the third dose.

No significant concentrations of clindamycin are attained in the cerebrospinal fluid even in the presence of inflamed meninges.

Microbiology

Mechanism of Action

Clindamycin inhibits bacterial protein synthesis by binding to the 23S RNA of the 50S subunit of the ribosome. Clindamycin is bacteriostatic.

Resistance

Resistance to clindamycin is most often caused by modification of specific bases of the 23S ribosomal RNA. Cross-resistance between clindamycin and lincomycin is complete. Because the binding sites for these antibacterial drugs overlap, cross-resistance is sometimes observed among lincosamides, macrolides and streptogramin B. Macrolide-inducible resistance to clindamycin occurs in some isolates of macrolide-resistant bacteria. Macrolide-resistant isolates of staphylococci and beta-hemolytic streptococci should be screened for induction of clindamycin resistance using the D-zone test.

Antimicrobial Activity

Clindamycin has been shown to be active against most of the isolates of the following microorganisms, both in vitro and in clinical infections (see INDICATIONS AND USAGE) :

Gram-positive bacteria

  • Staphylococcus aureus (methicillin-susceptible strains)
  • Streptococcus pneumoniae (penicillin-susceptible strains)
  • Streptococcus pyogenes

Anaerobic bacteria

  • Clostridium perfringens
  • Fusobacterium necrophorum
  • Fusobacterium nucleatum
  • Peptostreptococcus anaerobius
  • Prevotella melaninogenica

The following in vitro data are available, but their clinical significance is unknown. At least 90 percent of the following bacteria exhibit an in vitro minimum inhibitory concentration (MIC) less than or equal to the susceptible breakpoint for clindamycin against isolates of a similar genus or organism group. However, the efficacy of clindamycin in treating clinical infections due to these bacteria has not been established in adequate and well-controlled clinical trials.

Gram-positive bacteria

  • Staphylococcus epidermidis (methicillin-susceptible strains)
  • Streptococcus agalactiae
  • Streptococcus anginosus
  • Streptococcus mitis
  • Streptococcus oralis

Anaerobic bacteria

  • Actinomyces israelii
  • Clostridium clostridioforme
  • Eggerthella lenta
  • Finegoldia (Peptostreptococcus) magna
  • Micromonas (Peptostreptococcus) micros
  • Prevotella bivia
  • Prevotella intermedia
  • Propionibacterium acnes
Geriatric Use

Clinical studies of clindamycin did not include sufficient numbers of patients age 65 and over to determine whether they respond differently from younger patients. However, other reported clinical experience indicates that antibiotic-associated colitis and diarrhea (due to Clostridium difficile) seen in association with most antibiotics occur more frequently in the elderly (>60 years) and may be more severe. These patients should be carefully monitored for the development of diarrhea.

Pharmacokinetic studies with clindamycin have shown no clinically important differences between young and elderly subjects with normal hepatic function and normal (age-adjusted) renal function after oral or intravenous administration.

Pediatric Use

When clindamycin injection is administered to the pediatric population (birth to 16 years) appropriate monitoring of organ system functions is desirable.

Nursing Mothers

Limited published data based on breast milk sampling reports that clindamycin appears in human breast milk in the range of less than 0.5 to 3.8 mcg/mL at dosages of 150 mg orally to 600 mg intravenously. Clindamycin has the potential to cause adverse effects on the breastfed infant's gastrointestinal flora. If oral or intravenous clindamycin is required by a nursing mother, it is not a reason to discontinue breastfeeding, but an alternate drug may be preferred. Monitor the breastfed infant for possible adverse effects on the gastrointestinal flora, such as diarrhea, candidiasis (thrush, diaper rash) or rarely, blood in the stool indicating possible antibiotic-associated colitis.

The developmental and health benefits of breastfeeding should be considered along with the mother's clinical need for clindamycin and any potential adverse effects on the breastfed child from clindamycin or from the underlying maternal condition.

Elderly Patients

Pharmacokinetic studies in elderly volunteers (61 to 79 years) and younger adults (18 to 39 years) indicate that age alone does not alter clindamycin pharmacokinetics (clearance, elimination half-life, volume of distribution, and area under the serum concentration-time curve) after IV administration of clindamycin phosphate. After oral administration of clindamycin hydrochloride, the average elimination half-life is increased to approximately 4 hours (range 3.4 to 5.1 h) in the elderly, compared to 3.2 hours (range 2.1 to 4.2 h) in younger adults. The extent of absorption, however, is not different between age groups and no dosage alteration is necessary for the elderly with normal hepatic function and normal (age-adjusted) renal function 1.

Table 1. Average Peak and Trough Serum Concentrations of Active Clindamycin After Dosing with Clindamycin Phosphate

*Data in this group from patients being treated for infection.

Dosage Regimen Peak

mcg/mL
Trough

mcg/mL
Healthy Adult Males (Post equilibrium)
      600 mg IV in 30 min q6h 10.9 2.0
      600 mg IV in 30 min q8h 10.8 1.1
      900 mg IV in 30 min q8h 14.1 1.7
      600 mg IM q12h* 9
Pediatric Patients (first dose)*
      5 to 7 mg/kg IV in 1 hour 10
      5 to 7 mg/kg IM 8
      3 to 5 mg/kg IM 4
Laboratory Tests

During prolonged therapy periodic liver and kidney function tests and blood counts should be performed.

Storage Conditions

Store at 20° to 25°C (68° to 77°F). [See USP Controlled Room Temperature.] Do not refrigerate.

Sterile, Nonpyrogenic.

The container closure is not made with natural rubber latex.

Clostridium Difficile

Clostridium difficile associated diarrhea (CDAD) has been reported with use of nearly all antibacterial agents, including clindamycin injection, and may range in severity from mild diarrhea to fatal colitis. Treatment with antibacterial agents alters the normal flora of the colon leading to overgrowth of C. difficile.

C. difficile produces toxins A and B which contribute to the development of CDAD. Hypertoxin producing strains of C. difficile cause increased morbidity and mortality, as these infections can be refractory to antimicrobial therapy and may require colectomy. CDAD must be considered in all patients who present with diarrhea following antibiotic use. Careful medical history is necessary since CDAD has been reported to occur over two months after the administration of antibacterial agents.

If CDAD is suspected or confirmed, ongoing antibiotic use not directed against C. difficile may need to be discontinued. Appropriate fluid and electrolyte management, protein supplementation, antibiotic treatment of C. difficile, and surgical evaluation should be instituted as clinically indicated.

Information for Patients

Patients should be counseled that antibacterial drugs including clindamycin injection should only be used to treat bacterial infections. They do not treat viral infections (e.g., the common cold). When clindamycin injection is prescribed to treat a bacterial infection, patients should be told that although it is common to feel better early in the course of therapy, the medication should be taken exactly as directed. Skipping doses or not completing the full course of therapy may (1) decrease the effectiveness of the immediate treatment and (2) increase the likelihood that bacteria will develop resistance and will not be treatable by clindamycin injection or other antibacterial drugs in the future.

Diarrhea is a common problem caused by antibiotics which usually ends when the antibiotic is discontinued. Sometimes after starting treatment with antibiotics, patients can develop watery and bloody stools (with or without stomach cramps and fever) even as late as two or more months after having taken the last dose of the antibiotic. If this occurs, patients should contact their physician as soon as possible.

Usage in Newborns and Infants

This product contains benzyl alcohol as a preservative. Benzyl alcohol has been associated with a fatal "Gasping Syndrome" in premature infants. See WARNINGS .

The potential for the toxic effect in the pediatric population from chemicals that may leach from the single dose premixed IV preparation in plastic has not been evaluated. See WARNINGS .

Patients With Renal/hepatic Impairment

The elimination half-life of clindamycin is increased slightly in patients with markedly reduced renal or hepatic function. Hemodialysis and peritoneal dialysis are not effective in removing clindamycin from the serum. Dosage schedules need not be modified in the presence of mild or moderate renal or hepatic disease.

Anaphylactic and Severe Hypersensitivity Reactions

Anaphylactic shock and anaphylactic reactions have been reported (see ADVERSE REACTIONS ).

Severe hypersensitivity reactions, including severe skin reactions such as toxic epidermal necrolysis (TEN), drug reaction with eosinophilia and systemic symptoms (DRESS), and Stevens-Johnson syndrome (SJS), some with fatal outcome, have been reported (see ADVERSE REACTIONS ).

In case of such an anaphylactic or severe hypersensitivity reaction, discontinue treatment permanently and institute appropriate therapy.

A careful inquiry should be made concerning previous sensitivities to drugs and other allergens.

Carcinogenesis, Mutagenesis, Impairment of Fertility

Long term studies in animals have not been performed with clindamycin to evaluate carcinogenic potential. Genotoxicity tests performed included a rat micronucleus test and an Ames Salmonella reversion test. Both tests were negative.

Fertility studies in rats treated orally with up to 300 mg/kg/day (approximately 1.1 times the highest recommended adult human dose based on mg/m 2) revealed no effects on fertility or mating ability.

Package Label – Principal Display Panel – Outer Package

NDC 71872-7192-1

Clindamycin Injection, USP

600 mg per 4 mL

(150 mg per mL)

Rx only

For IM or IV Use

Dilute Before IV Use

1 x 4 mL Single-Dose Vial

Benzyl Alcohol Toxicity in Pediatric Patients ("gasping Syndrome")

This product contains benzyl alcohol as a preservative. The preservative benzyl alcohol has been associated with serious adverse events, including the "gasping syndrome", and death in pediatric patients. Although normal therapeutic doses of this product ordinarily deliver amounts of benzyl alcohol that are substantially lower than those reported in association with the "gasping syndrome", the minimum amount of benzyl alcohol at which toxicity may occur is not known.

The risk of benzyl alcohol toxicity depends on the quantity administered and the liver and kidneys' capacity to detoxify the chemical. Premature and low birth weight infants may be more likely to develop toxicity.

Physico Chemical Stability of Diluted Solutions of Clindamycin Injection

Room Temperature: 6, 9 and 12 mg per mL (equivalent to clindamycin base) in dextrose injection 5%, sodium chloride injection 0.9%, or Lactated Ringers Injection in glass bottles or Mini-Bag containers, demonstrated physical and chemical stability for at least 16 days at 25°C. Also, 18 mg per mL (equivalent to clindamycin base) in dextrose injection 5%, in Mini-Bag containers, demonstrated physical and chemical stability for at least 16 days at 25°C.

Refrigeration: 6, 9 and 12 mg per mL (equivalent to clindamycin base) in dextrose injection 5%, sodium chloride injection 0.9%, or Lactated Ringers Injection in glass bottles or Mini-Bag containers, demonstrated physical and chemical stability for at least 32 days at 4°C.

IMPORTANT: This chemical stability information in no way indicates that it would be acceptable practice to use this product well after the preparation time. Good professional practice suggests that compounded admixtures should be administered as soon after preparation as is feasible.

Frozen: 6, 9 and 12 mg per mL (equivalent to clindamycin base) in dextrose injection 5%, sodium chloride injection 0.9%, or Lactated Ringers Injection in Mini-Bag containers demonstrated physical and chemical stability for at least eight weeks at -10°C.

Frozen solutions should be thawed at room temperature and not refrozen.


Structured Label Content

Warnings (WARNINGS)
Indications and Usage (INDICATIONS AND USAGE)

Clindamycin Injection, USP is indicated in the treatment of serious infections caused by susceptible anaerobic bacteria.

Clindamycin Injection, USP is also indicated in the treatment of serious infections due to susceptible strains of streptococci, pneumococci, and staphylococci. Its use should be reserved for penicillin-allergic patients or other patients for whom, in the judgment of the physician, a penicillin is inappropriate. Because of the risk of antibiotic-associated pseudomembranous colitis, as described in the BOXED WARNING , before selecting clindamycin the physician should consider the nature of the infection and the suitability of less toxic alternatives (e.g., erythromycin).

Bacteriologic studies should be performed to determine the causative organisms and their susceptibility to clindamycin.

Indicated surgical procedures should be performed in conjunction with antibiotic therapy.

Clindamycin Injection, USP is indicated in the treatment of serious infections caused by susceptible strains of the designated organisms in the conditions listed below:

Lower respiratory tract infections including pneumonia, empyema, and lung abscess caused by anaerobes, Streptococcus pneumoniae, other streptococci (except E. faecalis), and Staphylococcus aureus.

Skin and skin structure infections caused by Streptococcus pyogenes, Staphylococcus aureus, and anaerobes.

Gynecological infections including endometritis, nongonococcal tubo-ovarian abscess, pelvic cellulitis, and postsurgical vaginal cuff infection caused by susceptible anaerobes.

Intra-abdominal infections including peritonitis and intra-abdominal abscess caused by susceptible anaerobic organisms.

Septicemia caused by Staphylococcus aureus, streptococci (except Enterococcus faecalis), and susceptible anaerobes.

Bone and joint infections including acute hematogenous osteomyelitis caused by Staphylococcus aureus and as adjunctive therapy in the surgical treatment of chronic bone and joint infections due to susceptible organisms.

To reduce the development of drug-resistant bacteria and maintain the effectiveness of Clindamycin Injection, USP and other antibacterial drugs, Clindamycin Injection, USP should be used only to treat or prevent infections that are proven or strongly suspected to be caused by susceptible bacteria. When culture and susceptibility information are available, they should be considered in selecting or modifying antibacterial therapy. In the absence of such data, local epidemiology and susceptibility patterns may contribute to the empiric selection of therapy.

Dosage and Administration (DOSAGE AND ADMINISTRATION)

If diarrhea occurs during therapy, this antibiotic should be discontinued (see WARNING box).

Clindamycin injection IM administration should be used undiluted.

Clindamycin injection IV administration should be diluted (see Dilution for IV use and IV Infusion Rates below).

Contraindications (CONTRAINDICATIONS)

This drug is contraindicated in individuals with a history of hypersensitivity to preparations containing clindamycin or lincomycin.

Adverse Reactions (ADVERSE REACTIONS)

The following reactions have been reported with the use of clindamycin.

Infections and Infestations: Clostridium difficile colitis.

Drug Interactions

Clindamycin has been shown to have neuromuscular blocking properties that may enhance the action of other neuromuscular blocking agents. Therefore, it should be used with caution in patients receiving such agents.

Clindamycin is metabolized predominantly by CYP3A4, and to a lesser extent by CYP3A5, to the major metabolite clindamycin sulfoxide and minor metabolite N-desmethylclindamycin. Therefore, inhibitors of CYP3A4 and CYP3A5 may increase plasma concentrations of clindamycin and inducers of these isoenzymes may reduce plasma concentrations of clindamycin. In the presence of strong CYP3A4 inhibitors, monitor for adverse reactions. In the presence of strong CYP3A4 inducers such as rifampicin, monitor for loss of effectiveness.

In vitro studies indicate that clindamycin does not inhibit CYP1A2, CYP2C9, CYP2C19, CYP2E1 or CYP2D6 and only moderately inhibits CYP3A4.

How Supplied (HOW SUPPLIED)

Each mL of Clindamycin Injection, USP contains clindamycin phosphate equivalent to 150 mg of clindamycin. Also contains 0.5 mg disodium edetate; and 9.45 mg benzyl alcohol as a preservative. Sodium hydroxide and/or hydrochloric acid may be added to adjust pH.

Clindamycin Injection, USP is supplied as follows:
NDC Clindamycin Injection, USP (150 mg per mL) Package Factor
25021-115-02 300 mg per 2 mL Single-Dose Vial 25 vials per carton
25021-115-04 600 mg per 4 mL Single-Dose Vial 25 vials per carton
25021-115-06 900 mg per 6 mL Single-Dose Vial 25 vials per carton
 
Clindamycin Injection, USP Pharmacy Bulk Package is also available as follows:
NDC Clindamycin Injection, USP (150 mg per mL) Package Factor
25021-115-51 9,000 mg per 60 mL Pharmacy Bulk Package Bottle 1 bottle per carton
Description (DESCRIPTION)

Clindamycin Injection, USP, a clear colorless to pale yellow sterile solution, contains clindamycin phosphate, a water soluble ester of clindamycin and phosphoric acid. Each mL contains the equivalent of 150 mg clindamycin, 0.5 mg disodium edetate and 9.45 mg benzyl alcohol added as preservative in each mL. Sodium hydroxide and/or hydrochloric acid may be added to adjust pH. Clindamycin is a semisynthetic antibiotic produced by a 7(S)-chloro-substitution of the 7(R)-hydroxyl group of the parent compound lincomycin.

The chemical name of clindamycin phosphate is L- threo-α-D- galacto-Octopyranoside, methyl-7-chloro-6,7,8-trideoxy-6-[[(1-methyl-4-propyl-2-pyrrolidinyl)carbonyl]amino]-1-thio-,2-(dihydrogen phosphate), (2 S-trans)-.

The molecular formula is C 18H 34ClN 2O 8PS and the molecular weight is 504.96.

The structural formula is represented below:

Section 42228-7 (42228-7)

Pregnancy: Teratogenic effects

In clinical trials with pregnant women, the systemic administration of clindamycin during the second and third trimesters, has not been associated with an increased frequency of congenital abnormalities.

Clindamycin should be used during the first trimester of pregnancy only if clearly needed. There are no adequate and well-controlled studies in pregnant women during the first trimester of pregnancy. Because animal reproduction studies are not always predictive of the human response, this drug should be used during pregnancy only if clearly needed.

Reproduction studies performed in rats and mice using oral doses of clindamycin up to 600 mg/kg/day (2.1 and 1.1 times the highest recommended adult human dose based on mg/m 2, respectively) or subcutaneous doses of clindamycin up to 250 mg/kg/day (0.9 and 0.5 times the highest recommended adult human dose based on mg/m 2, respectively) revealed no evidence of teratogenicity.

Clindamycin injection contains benzyl alcohol. Benzyl alcohol can cross the placenta. See WARNINGS .

Section 42229-5 (42229-5)

SAGENT ®

Rx only

To reduce the development of drug-resistant bacteria and maintain the effectiveness of Clindamycin Injection, USP and other antibacterial drugs, Clindamycin Injection, USP should be used only to treat or prevent infections that are proven or strongly suspected to be caused by bacteria.

Sterile Solution is for Intramuscular and Intravenous Use

General

Review of experience to date suggests that a subgroup of older patients with associated severe illness may tolerate diarrhea less well. When clindamycin is indicated in these patients, they should be carefully monitored for change in bowel frequency.

Clindamycin injection products should be prescribed with caution in individuals with a history of gastrointestinal disease, particularly colitis.

Clindamycin injection should be prescribed with caution in atopic individuals.

Certain infections may require incision and drainage or other indicated surgical procedures in addition to antibiotic therapy.

The use of clindamycin injection may result in overgrowth of nonsusceptible organisms-particularly yeasts. Should superinfections occur, appropriate measures should be taken as indicated by the clinical situation.

Clindamycin injection should not be injected intravenously undiluted as a bolus, but should be infused over at least 10 to 60 minutes as directed in the DOSAGE AND ADMINISTRATION section.

Clindamycin dosage modification may not be necessary in patients with renal disease. In patients with moderate to severe liver disease, prolongation of clindamycin half-life has been found. However, it was postulated from studies that when given every eight hours, accumulation should rarely occur. Therefore, dosage modification in patients with liver disease may not be necessary. However, periodic liver enzyme determinations should be made when treating patients with severe liver disease.

Prescribing clindamycin injection in the absence of a proven or strongly suspected bacterial infection or a prophylactic indication is unlikely to provide benefit to the patient and increases the risk of the development of drug-resistant bacteria.

Warning (WARNING)

Clostridium difficile-associated diarrhea (CDAD) has been reported with use of nearly all antibacterial agents, including clindamycin and may range in severity from mild diarrhea to fatal colitis. Treatment with antibacterial agents alters the normal flora of the colon leading to overgrowth of C. difficile.

Because clindamycin therapy has been associated with severe colitis which may end fatally, it should be reserved for serious infections where less toxic antimicrobial agents are inappropriate, as described in the INDICATIONS AND USAGE section. It should not be used in patients with nonbacterial infections such as most upper respiratory tract infections. C. difficile produces toxins A and B which contribute to the development of CDAD. Hypertoxin producing strains of C. difficile cause increased morbidity and mortality, as these infections can be refractory to antimicrobial therapy and may require colectomy. CDAD must be considered in all patients who present with diarrhea following antibiotic use. Careful medical history is necessary since CDAD has been reported to occur over two months after the administration of antibacterial agents.

If CDAD is suspected or confirmed, ongoing antibiotic use not directed against C. difficile may need to be discontinued. Appropriate fluid and electrolyte management, protein supplementation, antibiotic treatment of C. difficile, and surgical evaluation should be instituted as clinically indicated.

Excretion

Biologically inactive clindamycin phosphate disappears from the serum with 6 minutes of the average elimination half-life; however, the average serum elimination half-life of active clindamycin is about 3 hours in adults and 2½ hours in pediatric patients.

Metabolism

In vitro studies in human liver and intestinal microsomes indicated that clindamycin is predominantly metabolized by Cytochrome P450 3A4 (CYP3A4), with minor contribution from CYP3A5, to form clindamycin sulfoxide and a minor metabolite, N-desmethylclindamycin.

Overdosage (OVERDOSAGE)

Significant mortality was observed in mice at an intravenous dose of 855 mg/kg and in rats at an oral or subcutaneous dose of approximately 2618 mg/kg. In the mice, convulsions and depression were observed.

Hemodialysis and peritoneal dialysis are not effective in removing clindamycin from the serum.

References (REFERENCES)
  • Smith RB, Phillips JP: Evaluation of CLEOCIN HCl and CLEOCIN Phosphate in an Aged Population. Upjohn TR 8147-82-9122-021, December 1982.

Brands listed are the trademarks of their respective owners.

SAGENT ®

Mfd. for SAGENT Pharmaceuticals

Schaumburg, IL 60195 (USA)

Made in India

©2019 Sagent Pharmaceuticals, Inc.

Revised: June 2019

SAGENT Pharmaceuticals ®

Distribution

Biologically inactive clindamycin phosphate is converted to active clindamycin. By the end of short-term intravenous infusion, peak serum concentrations of active clindamycin are reached.

After intramuscular injection of clindamycin phosphate, peak concentrations of active clindamycin are reached within 3 hours in adults and 1 hour in pediatric patients. Serum concentration-time curves may be constructed from IV peak serum concentrations as given in Table 1 by application of elimination half-lives (see Excretion ).

Serum concentrations of clindamycin can be maintained above the in vitro minimum inhibitory concentrations for most indicated organisms by administration of clindamycin phosphate every 8 to 12 hours in adults and every 6 to 8 hours in pediatric patients, or by continuous intravenous infusion. An equilibrium state is reached by the third dose.

No significant concentrations of clindamycin are attained in the cerebrospinal fluid even in the presence of inflamed meninges.

Microbiology

Mechanism of Action

Clindamycin inhibits bacterial protein synthesis by binding to the 23S RNA of the 50S subunit of the ribosome. Clindamycin is bacteriostatic.

Resistance

Resistance to clindamycin is most often caused by modification of specific bases of the 23S ribosomal RNA. Cross-resistance between clindamycin and lincomycin is complete. Because the binding sites for these antibacterial drugs overlap, cross-resistance is sometimes observed among lincosamides, macrolides and streptogramin B. Macrolide-inducible resistance to clindamycin occurs in some isolates of macrolide-resistant bacteria. Macrolide-resistant isolates of staphylococci and beta-hemolytic streptococci should be screened for induction of clindamycin resistance using the D-zone test.

Antimicrobial Activity

Clindamycin has been shown to be active against most of the isolates of the following microorganisms, both in vitro and in clinical infections (see INDICATIONS AND USAGE) :

Gram-positive bacteria

  • Staphylococcus aureus (methicillin-susceptible strains)
  • Streptococcus pneumoniae (penicillin-susceptible strains)
  • Streptococcus pyogenes

Anaerobic bacteria

  • Clostridium perfringens
  • Fusobacterium necrophorum
  • Fusobacterium nucleatum
  • Peptostreptococcus anaerobius
  • Prevotella melaninogenica

The following in vitro data are available, but their clinical significance is unknown. At least 90 percent of the following bacteria exhibit an in vitro minimum inhibitory concentration (MIC) less than or equal to the susceptible breakpoint for clindamycin against isolates of a similar genus or organism group. However, the efficacy of clindamycin in treating clinical infections due to these bacteria has not been established in adequate and well-controlled clinical trials.

Gram-positive bacteria

  • Staphylococcus epidermidis (methicillin-susceptible strains)
  • Streptococcus agalactiae
  • Streptococcus anginosus
  • Streptococcus mitis
  • Streptococcus oralis

Anaerobic bacteria

  • Actinomyces israelii
  • Clostridium clostridioforme
  • Eggerthella lenta
  • Finegoldia (Peptostreptococcus) magna
  • Micromonas (Peptostreptococcus) micros
  • Prevotella bivia
  • Prevotella intermedia
  • Propionibacterium acnes
Geriatric Use

Clinical studies of clindamycin did not include sufficient numbers of patients age 65 and over to determine whether they respond differently from younger patients. However, other reported clinical experience indicates that antibiotic-associated colitis and diarrhea (due to Clostridium difficile) seen in association with most antibiotics occur more frequently in the elderly (>60 years) and may be more severe. These patients should be carefully monitored for the development of diarrhea.

Pharmacokinetic studies with clindamycin have shown no clinically important differences between young and elderly subjects with normal hepatic function and normal (age-adjusted) renal function after oral or intravenous administration.

Pediatric Use

When clindamycin injection is administered to the pediatric population (birth to 16 years) appropriate monitoring of organ system functions is desirable.

Nursing Mothers

Limited published data based on breast milk sampling reports that clindamycin appears in human breast milk in the range of less than 0.5 to 3.8 mcg/mL at dosages of 150 mg orally to 600 mg intravenously. Clindamycin has the potential to cause adverse effects on the breastfed infant's gastrointestinal flora. If oral or intravenous clindamycin is required by a nursing mother, it is not a reason to discontinue breastfeeding, but an alternate drug may be preferred. Monitor the breastfed infant for possible adverse effects on the gastrointestinal flora, such as diarrhea, candidiasis (thrush, diaper rash) or rarely, blood in the stool indicating possible antibiotic-associated colitis.

The developmental and health benefits of breastfeeding should be considered along with the mother's clinical need for clindamycin and any potential adverse effects on the breastfed child from clindamycin or from the underlying maternal condition.

Elderly Patients

Pharmacokinetic studies in elderly volunteers (61 to 79 years) and younger adults (18 to 39 years) indicate that age alone does not alter clindamycin pharmacokinetics (clearance, elimination half-life, volume of distribution, and area under the serum concentration-time curve) after IV administration of clindamycin phosphate. After oral administration of clindamycin hydrochloride, the average elimination half-life is increased to approximately 4 hours (range 3.4 to 5.1 h) in the elderly, compared to 3.2 hours (range 2.1 to 4.2 h) in younger adults. The extent of absorption, however, is not different between age groups and no dosage alteration is necessary for the elderly with normal hepatic function and normal (age-adjusted) renal function 1.

Table 1. Average Peak and Trough Serum Concentrations of Active Clindamycin After Dosing with Clindamycin Phosphate

*Data in this group from patients being treated for infection.

Dosage Regimen Peak

mcg/mL
Trough

mcg/mL
Healthy Adult Males (Post equilibrium)
      600 mg IV in 30 min q6h 10.9 2.0
      600 mg IV in 30 min q8h 10.8 1.1
      900 mg IV in 30 min q8h 14.1 1.7
      600 mg IM q12h* 9
Pediatric Patients (first dose)*
      5 to 7 mg/kg IV in 1 hour 10
      5 to 7 mg/kg IM 8
      3 to 5 mg/kg IM 4
Laboratory Tests

During prolonged therapy periodic liver and kidney function tests and blood counts should be performed.

Storage Conditions

Store at 20° to 25°C (68° to 77°F). [See USP Controlled Room Temperature.] Do not refrigerate.

Sterile, Nonpyrogenic.

The container closure is not made with natural rubber latex.

Clostridium Difficile (Clostridium difficile)

Clostridium difficile associated diarrhea (CDAD) has been reported with use of nearly all antibacterial agents, including clindamycin injection, and may range in severity from mild diarrhea to fatal colitis. Treatment with antibacterial agents alters the normal flora of the colon leading to overgrowth of C. difficile.

C. difficile produces toxins A and B which contribute to the development of CDAD. Hypertoxin producing strains of C. difficile cause increased morbidity and mortality, as these infections can be refractory to antimicrobial therapy and may require colectomy. CDAD must be considered in all patients who present with diarrhea following antibiotic use. Careful medical history is necessary since CDAD has been reported to occur over two months after the administration of antibacterial agents.

If CDAD is suspected or confirmed, ongoing antibiotic use not directed against C. difficile may need to be discontinued. Appropriate fluid and electrolyte management, protein supplementation, antibiotic treatment of C. difficile, and surgical evaluation should be instituted as clinically indicated.

Information for Patients

Patients should be counseled that antibacterial drugs including clindamycin injection should only be used to treat bacterial infections. They do not treat viral infections (e.g., the common cold). When clindamycin injection is prescribed to treat a bacterial infection, patients should be told that although it is common to feel better early in the course of therapy, the medication should be taken exactly as directed. Skipping doses or not completing the full course of therapy may (1) decrease the effectiveness of the immediate treatment and (2) increase the likelihood that bacteria will develop resistance and will not be treatable by clindamycin injection or other antibacterial drugs in the future.

Diarrhea is a common problem caused by antibiotics which usually ends when the antibiotic is discontinued. Sometimes after starting treatment with antibiotics, patients can develop watery and bloody stools (with or without stomach cramps and fever) even as late as two or more months after having taken the last dose of the antibiotic. If this occurs, patients should contact their physician as soon as possible.

Usage in Newborns and Infants

This product contains benzyl alcohol as a preservative. Benzyl alcohol has been associated with a fatal "Gasping Syndrome" in premature infants. See WARNINGS .

The potential for the toxic effect in the pediatric population from chemicals that may leach from the single dose premixed IV preparation in plastic has not been evaluated. See WARNINGS .

Patients With Renal/hepatic Impairment (Patients with Renal/Hepatic Impairment)

The elimination half-life of clindamycin is increased slightly in patients with markedly reduced renal or hepatic function. Hemodialysis and peritoneal dialysis are not effective in removing clindamycin from the serum. Dosage schedules need not be modified in the presence of mild or moderate renal or hepatic disease.

Anaphylactic and Severe Hypersensitivity Reactions

Anaphylactic shock and anaphylactic reactions have been reported (see ADVERSE REACTIONS ).

Severe hypersensitivity reactions, including severe skin reactions such as toxic epidermal necrolysis (TEN), drug reaction with eosinophilia and systemic symptoms (DRESS), and Stevens-Johnson syndrome (SJS), some with fatal outcome, have been reported (see ADVERSE REACTIONS ).

In case of such an anaphylactic or severe hypersensitivity reaction, discontinue treatment permanently and institute appropriate therapy.

A careful inquiry should be made concerning previous sensitivities to drugs and other allergens.

Carcinogenesis, Mutagenesis, Impairment of Fertility

Long term studies in animals have not been performed with clindamycin to evaluate carcinogenic potential. Genotoxicity tests performed included a rat micronucleus test and an Ames Salmonella reversion test. Both tests were negative.

Fertility studies in rats treated orally with up to 300 mg/kg/day (approximately 1.1 times the highest recommended adult human dose based on mg/m 2) revealed no effects on fertility or mating ability.

Package Label – Principal Display Panel – Outer Package (PACKAGE LABEL – PRINCIPAL DISPLAY PANEL – OUTER PACKAGE)

NDC 71872-7192-1

Clindamycin Injection, USP

600 mg per 4 mL

(150 mg per mL)

Rx only

For IM or IV Use

Dilute Before IV Use

1 x 4 mL Single-Dose Vial

Benzyl Alcohol Toxicity in Pediatric Patients ("gasping Syndrome") (Benzyl Alcohol Toxicity in Pediatric Patients ("Gasping Syndrome"))

This product contains benzyl alcohol as a preservative. The preservative benzyl alcohol has been associated with serious adverse events, including the "gasping syndrome", and death in pediatric patients. Although normal therapeutic doses of this product ordinarily deliver amounts of benzyl alcohol that are substantially lower than those reported in association with the "gasping syndrome", the minimum amount of benzyl alcohol at which toxicity may occur is not known.

The risk of benzyl alcohol toxicity depends on the quantity administered and the liver and kidneys' capacity to detoxify the chemical. Premature and low birth weight infants may be more likely to develop toxicity.

Physico Chemical Stability of Diluted Solutions of Clindamycin Injection (Physico-Chemical Stability of Diluted Solutions of Clindamycin Injection)

Room Temperature: 6, 9 and 12 mg per mL (equivalent to clindamycin base) in dextrose injection 5%, sodium chloride injection 0.9%, or Lactated Ringers Injection in glass bottles or Mini-Bag containers, demonstrated physical and chemical stability for at least 16 days at 25°C. Also, 18 mg per mL (equivalent to clindamycin base) in dextrose injection 5%, in Mini-Bag containers, demonstrated physical and chemical stability for at least 16 days at 25°C.

Refrigeration: 6, 9 and 12 mg per mL (equivalent to clindamycin base) in dextrose injection 5%, sodium chloride injection 0.9%, or Lactated Ringers Injection in glass bottles or Mini-Bag containers, demonstrated physical and chemical stability for at least 32 days at 4°C.

IMPORTANT: This chemical stability information in no way indicates that it would be acceptable practice to use this product well after the preparation time. Good professional practice suggests that compounded admixtures should be administered as soon after preparation as is feasible.

Frozen: 6, 9 and 12 mg per mL (equivalent to clindamycin base) in dextrose injection 5%, sodium chloride injection 0.9%, or Lactated Ringers Injection in Mini-Bag containers demonstrated physical and chemical stability for at least eight weeks at -10°C.

Frozen solutions should be thawed at room temperature and not refrozen.


Advanced Ingredient Data


Raw Label Data

All Sections (JSON)