These Highlights Do Not Include All The Information Needed To Use Remifentanil Hydrochloride For Injection Safely And Effectively. See Full Prescribing Information For Remifentanil Hydrochloride For Injection.
9d289052-1eb6-4ba2-a3ca-d2e542a052ae
34391-3
HUMAN PRESCRIPTION DRUG LABEL
Drug Facts
Composition & Product
Identifiers & Packaging
Description
WARNING: SERIOUS AND LIFE-THREATENING RISKS FROM USE OF REMIFENTANIL HYDROCHLORIDE FOR INJECTION Addiction, Abuse, and Misuse Because the use of Remifentanil Hydrochloride for injection exposes patients and other users to the risks of opioid addiction, abuse, and misuse, which can lead to overdose and death, assess each patient’s risk prior to prescribing and reassess all patients regularly for the development of these behaviors and conditions [see Warnings and Precautions ( 5.1 )] . Life-Threatening Respiratory Depression Serious, life-threatening, or fatal respiratory depression may occur with use of Remifentanil Hydrochloride for injection, especially during initiation or following a dosage increase. To reduce the risk of respiratory depression, proper dosing and titration of Remifentanil Hydrochloride for injection are essential [see Warnings and Precautions ( 5.2 )] . Risks From Concomitant Use With Benzodiazepines Or Other CNS Depressants Concomitant use of opioids with benzodiazepines or other central nervous system (CNS) depressants, including alcohol, may result in profound sedation, respiratory depression, coma, and death. Reserve concomitant prescribing of Remifentanil Hydrochloride for injection and benzodiazepines or other CNS depressants for use in patients for whom alternative treatment options are inadequate [see Warnings and Precautions ( 5.3 ), Drug Interactions ( 7 )] .
Indications and Usage
Remifentanil Hydrochloride for injection is indicated for intravenous (IV) administration: As an analgesic agent for use during the induction and maintenance of general anesthesia for inpatient and outpatient procedures. For continuation as an analgesic into the immediate postoperative period in adult patients under the direct supervision of an anesthesia practitioner in a postoperative anesthesia care unit or intensive care setting. As an analgesic component of monitored anesthesia care in adult patients.
Dosage and Administration
Monitor patients closely for respiratory depression when initiating therapy and following dosage increases with Remifentanil Hydrochloride for injection and adjust the dosage accordingly [see Warnings and Precautions (5.2) ]. Remifentanil Hydrochloride for injection is for IV use only. Continuous infusions of Remifentanil Hydrochloride for injection should be administered only by an infusion device. The injection site should be close to the venous cannula and all IV tubing should be cleared at the time of discontinuation of infusion. Remifentanil Hydrochloride for injection should not be administered without dilution. Consider an alternative to Remifentanil Hydrochloride for injection for patients taking mixed agonist/antagonist and partial agonist opioid analgesics due to reduced analgesic effect or potential withdrawal symptoms. If concomitant use is warranted, carefully observe the patient, particularly during treatment initiation and dose adjustment. Discontinue Remifentanil Hydrochloride for injection if patient is not responding appropriately to treatment. Discard unused portion.
Warnings and Precautions
Life-Threatening Respiratory Depression : Monitor closely, particularly during initiation and titration. ( 5.2 ) Risks from Use as Postoperative Analgesia with Concomitant Benzodiazepines or other CNS Depressants : Hypotension, profound sedation, respiratory depression, coma, and death may result from the concomitant use of Remifentanil Hydrochloride for injection with benzodiazepines or other CNS depressants ( 5.3 ) Opioid-Induced Hyperalgesia and Allodynia: Opioid-Induced Hyperalgesia (OIH) occurs when an opioid analgesic paradoxically causes an increase in pain, or an increase in sensitivity to pain. If OIH is suspected, carefully consider appropriately decreasing the dose of the current opioid analgesic or opioid rotation. ( 5.4 ) Serotonin Syndrome : Potentially life-threatening condition could result from concomitant serotonergic drug administration. Discontinue Remifentanil Hydrochloride for injection if serotonin syndrome is suspected. ( 5.5 ) Administration : Continuous infusions of Remifentanil Hydrochloride for injection should be administered only by an infusion device. ( 5.6 ) Skeletal Muscle Rigidity : is related to the dose and speed of administration. Muscle rigidity induced by Remifentanil Hydrochloride for injection should be managed in the context of the patient's clinical condition. ( 5.7 ) Potential Inactivation by Nonspecific Esterases in Blood Products : Remifentanil Hydrochloride for injection should not be administered into the same IV tubing with blood due to potential inactivation by nonspecific esterases in blood products. ( 5.8 ) Bradycardia : Monitor heart rate during dosage initiation and titration. It is responsive to ephedrine or anticholinergic drugs ( 5.9 ) Hypotension : Monitor blood pressure during dosage initiation and titration. It is responsive to decreases in the administration of Remifentanil Hydrochloride for injection or to IV fluids or catecholamine administration ( 5.10 ) Intraoperative Awareness : Inoperative awareness has been reported in patients under 55 years of age when Remifentanil Hydrochloride for injection has been administered with propofol infusion rates of ≤ 75 mcg/kg/min ( 5.11 ) Risks of Use in Spontaneously Breathing Patients with Increased Intracranial Pressure, Brain Tumors, Head Injury, or Impaired Consciousness : Monitor for sedation and respiratory depression. ( 5.12 ) Risks of Use in Patients with Biliary Tract Disease : Monitor patients with biliary tract disease, including acute pancreatitis, for worsening symptoms. ( 5.13 ) Increased Risk of Seizures in Patients with Seizure Disorders : Monitor patients with a history of seizure disorders for worsened seizure control during Remifentanil Hydrochloride for injection therapy. ( 5.14 ) Rapid Offset of Action : Standard monitoring should be maintained in the postoperative period to ensure adequate recovery without stimulation. ( 5.15 )
Contraindications
Remifentanil Hydrochloride for injection is contraindicated: For epidural or intrathecal administration due to the presence of glycine in the formulation [see Nonclinical Toxicology (13) ] . In patients with hypersensitivity to remifentanil (e.g., anaphylaxis) [see Adverse Reactions (6.2 )] .
Adverse Reactions
The following serious adverse reactions are described, or described in greater detail, in other sections: Addiction, Abuse, and Misuse [see Warnings and Precautions (5.1) ] Respiratory Depression in Spontaneously Breathing Patients [see Warnings and Precautions (5.2) ] Interactions with Benzodiazepines or other CNS Depressants [see Warnings and Precautions (5.3) ] Opioid-Induced Hyperalgesia and Allodynia [see Warnings and Precautions (5.4) ] Serotonin Syndrome [see Warnings and Precautions (5.5) ] Skeletal Muscle Rigidity [see Warnings and Precautions (5.7) ] Bradycardia [see Warnings and Precautions (5.9) ] Hypotension [see Warnings and Precautions (5.10) ] Biliary Tract Disease [see Warnings and Precautions (5.13) ] Seizures [see Warnings and Precautions (5.14) ]
Drug Interactions
Table 18 includes clinically significant drug interactions with remifentanil Hydrochloride for injection. Table 18: Clinically Significant Drug Interactions with Remifentanil Hydrochloride for Injection Benzodiazepines and other Central Nervous System (CNS) Depressants Clinical Impact: Due to additive pharmacologic effect, the concomitant use of benzodiazepines or other CNS depressants including alcohol, increases the risk of hypotension, respiratory depression, profound sedation, coma, and death. Intervention: Limit dosages and durations to the minimum required. Follow patients closely for signs of respiratory depression and sedation. Patients should be advised to avoid alcohol for 24 hours after surgery [see Warnings and Precautions (5.3) ] . Examples: Benzodiazepines and other sedatives/hypnotics, anxiolytics, tranquilizers, muscle relaxants, general anesthetics, antipsychotics, other opioids, alcohol. Serotonergic Drugs Clinical Impact: The concomitant use of opioids with other drugs that affect the serotonergic neurotransmitter system has resulted in serotonin syndrome [see Warnings and Precautions (5.5) ] . Intervention: If concomitant use is warranted, carefully observe the patient, particularly during treatment initiation and dose adjustment. Discontinue Remifentanil Hydrochloride for injection if serotonin syndrome is suspected. Examples: Selective serotonin reuptake inhibitors (SSRIs), serotonin and norepinephrine reuptake inhibitors (SNRIs), tricyclic antidepressants (TCAs), triptans, 5-HT3 receptor antagonists, drugs that effect the serotonin neurotransmitter system (e.g., mirtazapine, trazodone, tramadol), certain muscle relaxants (i.e., cyclobenzaprine, metaxalone), monoamine oxidase (MAO) inhibitors (those intended to treat psychiatric disorders and also others, such as linezolid and intravenous methylene blue). Monoamine Oxidase Inhibitors (MAOIs) Clinical Impact: MAOI interactions with opioids may manifest as serotonin syndrome [see Warnings and Precautions (5.5) ] or opioid toxicity (e.g., respiratory depression, coma) [see Warnings and Precautions (5.2) ]. If urgent use of Remifentanil Hydrochloride for injection is necessary, use test doses and frequent titration of small doses while closely monitoring blood pressure and signs and symptoms of CNS and respiratory depression. Intervention: The use of Remifentanil Hydrochloride for injection is not recommended for patients taking MAOIs or within 14 days of stopping such treatment. Mixed Agonist/Antagonist and Partial Agonist Opioid Analgesics Clinical Impact: May reduce the analgesic effect of Remifentanil Hydrochloride for injection and/or precipitate withdrawal symptoms. Intervention: If concomitant use is warranted, carefully observe the patient, particularly during treatment initiation and dose adjustment. Consider discontinuing Remifentanil Hydrochloride for injection if patient is not responding appropriately to treatment and institute alternative analgesic treatment. Examples: butorphanol, nalbuphine, pentazocine, buprenorphine
Storage and Handling
Remifentanil Hydrochloride for injection is a sterile, nonpyrogenic, preservative-free, white to off-white lyophilized powder for intravenous (IV) administration after reconstitution and dilution. Remifentanil Hydrochloride for injection, for intravenous use, is supplied as follows: NDC Number Strength Container Quantity 0143-9391-10 1 mg per vial 3 mL Vial Packaged in cartons of 10 0143-9392-10 2 mg per vial 5 mL Vial Packaged in cartons of 10 0143-9393-10 5 mg per vial 10 mL Vial Packaged in cartons of 10 Remifentanil Hydrochloride for injection should be stored at 2° to 25°C (36° to 77°F). Discard unused portion.
How Supplied
Remifentanil Hydrochloride for injection is a sterile, nonpyrogenic, preservative-free, white to off-white lyophilized powder for intravenous (IV) administration after reconstitution and dilution. Remifentanil Hydrochloride for injection, for intravenous use, is supplied as follows: NDC Number Strength Container Quantity 0143-9391-10 1 mg per vial 3 mL Vial Packaged in cartons of 10 0143-9392-10 2 mg per vial 5 mL Vial Packaged in cartons of 10 0143-9393-10 5 mg per vial 10 mL Vial Packaged in cartons of 10 Remifentanil Hydrochloride for injection should be stored at 2° to 25°C (36° to 77°F). Discard unused portion.
Medication Information
Warnings and Precautions
Life-Threatening Respiratory Depression : Monitor closely, particularly during initiation and titration. ( 5.2 ) Risks from Use as Postoperative Analgesia with Concomitant Benzodiazepines or other CNS Depressants : Hypotension, profound sedation, respiratory depression, coma, and death may result from the concomitant use of Remifentanil Hydrochloride for injection with benzodiazepines or other CNS depressants ( 5.3 ) Opioid-Induced Hyperalgesia and Allodynia: Opioid-Induced Hyperalgesia (OIH) occurs when an opioid analgesic paradoxically causes an increase in pain, or an increase in sensitivity to pain. If OIH is suspected, carefully consider appropriately decreasing the dose of the current opioid analgesic or opioid rotation. ( 5.4 ) Serotonin Syndrome : Potentially life-threatening condition could result from concomitant serotonergic drug administration. Discontinue Remifentanil Hydrochloride for injection if serotonin syndrome is suspected. ( 5.5 ) Administration : Continuous infusions of Remifentanil Hydrochloride for injection should be administered only by an infusion device. ( 5.6 ) Skeletal Muscle Rigidity : is related to the dose and speed of administration. Muscle rigidity induced by Remifentanil Hydrochloride for injection should be managed in the context of the patient's clinical condition. ( 5.7 ) Potential Inactivation by Nonspecific Esterases in Blood Products : Remifentanil Hydrochloride for injection should not be administered into the same IV tubing with blood due to potential inactivation by nonspecific esterases in blood products. ( 5.8 ) Bradycardia : Monitor heart rate during dosage initiation and titration. It is responsive to ephedrine or anticholinergic drugs ( 5.9 ) Hypotension : Monitor blood pressure during dosage initiation and titration. It is responsive to decreases in the administration of Remifentanil Hydrochloride for injection or to IV fluids or catecholamine administration ( 5.10 ) Intraoperative Awareness : Inoperative awareness has been reported in patients under 55 years of age when Remifentanil Hydrochloride for injection has been administered with propofol infusion rates of ≤ 75 mcg/kg/min ( 5.11 ) Risks of Use in Spontaneously Breathing Patients with Increased Intracranial Pressure, Brain Tumors, Head Injury, or Impaired Consciousness : Monitor for sedation and respiratory depression. ( 5.12 ) Risks of Use in Patients with Biliary Tract Disease : Monitor patients with biliary tract disease, including acute pancreatitis, for worsening symptoms. ( 5.13 ) Increased Risk of Seizures in Patients with Seizure Disorders : Monitor patients with a history of seizure disorders for worsened seizure control during Remifentanil Hydrochloride for injection therapy. ( 5.14 ) Rapid Offset of Action : Standard monitoring should be maintained in the postoperative period to ensure adequate recovery without stimulation. ( 5.15 )
Indications and Usage
Remifentanil Hydrochloride for injection is indicated for intravenous (IV) administration: As an analgesic agent for use during the induction and maintenance of general anesthesia for inpatient and outpatient procedures. For continuation as an analgesic into the immediate postoperative period in adult patients under the direct supervision of an anesthesia practitioner in a postoperative anesthesia care unit or intensive care setting. As an analgesic component of monitored anesthesia care in adult patients.
Dosage and Administration
Monitor patients closely for respiratory depression when initiating therapy and following dosage increases with Remifentanil Hydrochloride for injection and adjust the dosage accordingly [see Warnings and Precautions (5.2) ]. Remifentanil Hydrochloride for injection is for IV use only. Continuous infusions of Remifentanil Hydrochloride for injection should be administered only by an infusion device. The injection site should be close to the venous cannula and all IV tubing should be cleared at the time of discontinuation of infusion. Remifentanil Hydrochloride for injection should not be administered without dilution. Consider an alternative to Remifentanil Hydrochloride for injection for patients taking mixed agonist/antagonist and partial agonist opioid analgesics due to reduced analgesic effect or potential withdrawal symptoms. If concomitant use is warranted, carefully observe the patient, particularly during treatment initiation and dose adjustment. Discontinue Remifentanil Hydrochloride for injection if patient is not responding appropriately to treatment. Discard unused portion.
Contraindications
Remifentanil Hydrochloride for injection is contraindicated: For epidural or intrathecal administration due to the presence of glycine in the formulation [see Nonclinical Toxicology (13) ] . In patients with hypersensitivity to remifentanil (e.g., anaphylaxis) [see Adverse Reactions (6.2 )] .
Adverse Reactions
The following serious adverse reactions are described, or described in greater detail, in other sections: Addiction, Abuse, and Misuse [see Warnings and Precautions (5.1) ] Respiratory Depression in Spontaneously Breathing Patients [see Warnings and Precautions (5.2) ] Interactions with Benzodiazepines or other CNS Depressants [see Warnings and Precautions (5.3) ] Opioid-Induced Hyperalgesia and Allodynia [see Warnings and Precautions (5.4) ] Serotonin Syndrome [see Warnings and Precautions (5.5) ] Skeletal Muscle Rigidity [see Warnings and Precautions (5.7) ] Bradycardia [see Warnings and Precautions (5.9) ] Hypotension [see Warnings and Precautions (5.10) ] Biliary Tract Disease [see Warnings and Precautions (5.13) ] Seizures [see Warnings and Precautions (5.14) ]
Drug Interactions
Table 18 includes clinically significant drug interactions with remifentanil Hydrochloride for injection. Table 18: Clinically Significant Drug Interactions with Remifentanil Hydrochloride for Injection Benzodiazepines and other Central Nervous System (CNS) Depressants Clinical Impact: Due to additive pharmacologic effect, the concomitant use of benzodiazepines or other CNS depressants including alcohol, increases the risk of hypotension, respiratory depression, profound sedation, coma, and death. Intervention: Limit dosages and durations to the minimum required. Follow patients closely for signs of respiratory depression and sedation. Patients should be advised to avoid alcohol for 24 hours after surgery [see Warnings and Precautions (5.3) ] . Examples: Benzodiazepines and other sedatives/hypnotics, anxiolytics, tranquilizers, muscle relaxants, general anesthetics, antipsychotics, other opioids, alcohol. Serotonergic Drugs Clinical Impact: The concomitant use of opioids with other drugs that affect the serotonergic neurotransmitter system has resulted in serotonin syndrome [see Warnings and Precautions (5.5) ] . Intervention: If concomitant use is warranted, carefully observe the patient, particularly during treatment initiation and dose adjustment. Discontinue Remifentanil Hydrochloride for injection if serotonin syndrome is suspected. Examples: Selective serotonin reuptake inhibitors (SSRIs), serotonin and norepinephrine reuptake inhibitors (SNRIs), tricyclic antidepressants (TCAs), triptans, 5-HT3 receptor antagonists, drugs that effect the serotonin neurotransmitter system (e.g., mirtazapine, trazodone, tramadol), certain muscle relaxants (i.e., cyclobenzaprine, metaxalone), monoamine oxidase (MAO) inhibitors (those intended to treat psychiatric disorders and also others, such as linezolid and intravenous methylene blue). Monoamine Oxidase Inhibitors (MAOIs) Clinical Impact: MAOI interactions with opioids may manifest as serotonin syndrome [see Warnings and Precautions (5.5) ] or opioid toxicity (e.g., respiratory depression, coma) [see Warnings and Precautions (5.2) ]. If urgent use of Remifentanil Hydrochloride for injection is necessary, use test doses and frequent titration of small doses while closely monitoring blood pressure and signs and symptoms of CNS and respiratory depression. Intervention: The use of Remifentanil Hydrochloride for injection is not recommended for patients taking MAOIs or within 14 days of stopping such treatment. Mixed Agonist/Antagonist and Partial Agonist Opioid Analgesics Clinical Impact: May reduce the analgesic effect of Remifentanil Hydrochloride for injection and/or precipitate withdrawal symptoms. Intervention: If concomitant use is warranted, carefully observe the patient, particularly during treatment initiation and dose adjustment. Consider discontinuing Remifentanil Hydrochloride for injection if patient is not responding appropriately to treatment and institute alternative analgesic treatment. Examples: butorphanol, nalbuphine, pentazocine, buprenorphine
Storage and Handling
Remifentanil Hydrochloride for injection is a sterile, nonpyrogenic, preservative-free, white to off-white lyophilized powder for intravenous (IV) administration after reconstitution and dilution. Remifentanil Hydrochloride for injection, for intravenous use, is supplied as follows: NDC Number Strength Container Quantity 0143-9391-10 1 mg per vial 3 mL Vial Packaged in cartons of 10 0143-9392-10 2 mg per vial 5 mL Vial Packaged in cartons of 10 0143-9393-10 5 mg per vial 10 mL Vial Packaged in cartons of 10 Remifentanil Hydrochloride for injection should be stored at 2° to 25°C (36° to 77°F). Discard unused portion.
How Supplied
Remifentanil Hydrochloride for injection is a sterile, nonpyrogenic, preservative-free, white to off-white lyophilized powder for intravenous (IV) administration after reconstitution and dilution. Remifentanil Hydrochloride for injection, for intravenous use, is supplied as follows: NDC Number Strength Container Quantity 0143-9391-10 1 mg per vial 3 mL Vial Packaged in cartons of 10 0143-9392-10 2 mg per vial 5 mL Vial Packaged in cartons of 10 0143-9393-10 5 mg per vial 10 mL Vial Packaged in cartons of 10 Remifentanil Hydrochloride for injection should be stored at 2° to 25°C (36° to 77°F). Discard unused portion.
Description
WARNING: SERIOUS AND LIFE-THREATENING RISKS FROM USE OF REMIFENTANIL HYDROCHLORIDE FOR INJECTION Addiction, Abuse, and Misuse Because the use of Remifentanil Hydrochloride for injection exposes patients and other users to the risks of opioid addiction, abuse, and misuse, which can lead to overdose and death, assess each patient’s risk prior to prescribing and reassess all patients regularly for the development of these behaviors and conditions [see Warnings and Precautions ( 5.1 )] . Life-Threatening Respiratory Depression Serious, life-threatening, or fatal respiratory depression may occur with use of Remifentanil Hydrochloride for injection, especially during initiation or following a dosage increase. To reduce the risk of respiratory depression, proper dosing and titration of Remifentanil Hydrochloride for injection are essential [see Warnings and Precautions ( 5.2 )] . Risks From Concomitant Use With Benzodiazepines Or Other CNS Depressants Concomitant use of opioids with benzodiazepines or other central nervous system (CNS) depressants, including alcohol, may result in profound sedation, respiratory depression, coma, and death. Reserve concomitant prescribing of Remifentanil Hydrochloride for injection and benzodiazepines or other CNS depressants for use in patients for whom alternative treatment options are inadequate [see Warnings and Precautions ( 5.3 ), Drug Interactions ( 7 )] .
Section 34073-7
Drug Interactions
In animals the duration of muscle paralysis from succinylcholine is not prolonged by remifentanil.
Section 42229-5
Induction of Anesthesia
Remifentanil Hydrochloride for injection should be administered at an infusion rate of 0.5 to 1 mcg/kg/min with a hypnotic or volatile agent for the induction of anesthesia. If endotracheal intubation is to occur less than 8 minutes after the start of the infusion of Remifentanil Hydrochloride for injection, then an initial dose of 1 mcg/kg may be administered over 30 to 60 seconds.
Remifentanil Hydrochloride for injection should not be used as a sole agent for induction of anesthesia because loss of consciousness cannot be assured and because of a high incidence of apnea, muscle rigidity, and tachycardia.
Section 43683-2
Boxed Warning 01/2024
Warnings and Precautions (5.3, 5.4) 01/2024
9.2 Abuse
Remifentanil Hydrochloride for injection contains remifentanil, a substance with high potential for misuse and abuse, which can lead to the development of substance use disorder, including addiction [see Warnings and Precautions (5.1)].
Misuse is the intentional use, for therapeutic purposes, of a drug by an individual in a way other than prescribed by a healthcare provider or for whom it was not prescribed.
Abuse is the intentional, non-therapeutic use of a drug, even once, for its desirable psychological or physiological effects.
Drug addiction is a cluster of behavioral, cognitive, and physiological phenomena that may include a strong desire to take the drug, difficulties in controlling drug use (e.g., continuing drug use despite harmful consequences, giving a higher priority to drug use than other activities and obligations), and possible tolerance or physical dependence.
Misuse and abuse of Remifentanil Hydrochloride for injection increases risk of overdosage, which may lead to central nervous system and respiratory depression, hypotension, seizures, and death. The risk is increased with concurrent abuse of Remifentanil Hydrochloride for injection with alcohol and/or other CNS depressants. Abuse of and addiction to opioids in some individuals may not be accompanied by concurrent tolerance and symptoms of physical dependence. In addition, abuse of opioids can occur in the absence of addiction.
All patients treated with opioids require careful and frequent reevaluation for signs of misuse, abuse, and addiction, because use of opioid analgesic products carries the risk of addiction even under appropriate medical use. Patients at high risk of Remifentanil Hydrochloride for injection abuse include those with a history of prolonged use of any opioid, including products containing remifentanil, those with a history of drug or alcohol abuse, or those who use Remifentanil Hydrochloride for injection in combination with other abused drugs.
“Drug-seeking” behavior is very common in persons with substance use disorders. Drug-seeking tactics include emergency calls or visits near the end of office hours, refusal to undergo appropriate examination, testing, or referral, repeated “loss” of prescriptions, tampering with prescriptions, and reluctance to provide prior medical records or contact information for other treating healthcare provider(s). “Doctor shopping” (visiting multiple prescribers to obtain additional prescriptions) is common among people who abuse drugs and people with substance use disorder. Preoccupation with achieving adequate pain relief can be appropriate behavior in a patient with inadequate pain control.
Remifentanil Hydrochloride for injection, like other opioids, can be diverted for nonmedical use into illicit channels of distribution. Careful record-keeping of prescribing information, including quantity, frequency, and renewal requests, as required by state and federal law, is strongly advised.
Proper assessment of the patient, proper prescribing practices, periodic reevaluation of therapy, and proper dispensing and storage are appropriate measures that help to limit abuse of opioid drugs.
Risks Specific to Abuse of Remifentanil Hydrochloride for injection
Abuse of Remifentanil Hydrochloride for injection poses a risk of overdose and death. The risk is increased with concurrent use of Remifentanil Hydrochloride for injection with alcohol and/or other CNS depressants.
Parenteral drug abuse is commonly associated with transmission of infectious diseases such as hepatitis and HIV.
10 Overdosage
Clinical Presentation
Acute overdose with Remifentanil Hydrochloride for injection can be manifested by respiratory depression, somnolence progressing to stupor or coma, skeletal muscle flaccidity, cold and clammy skin, constricted pupils, and, in some cases, pulmonary edema, bradycardia, hypotension, partial or complete airway obstruction, atypical snoring, and death. Marked mydriasis rather than miosis may be seen with hypoxia in overdose situations [see Clinical Pharmacology (12.2)].
Treatment of Overdose
In case of overdose, priorities are the reestablishment of a patent and protected airway and institution of assisted or controlled ventilation, if needed. Employ other supportive measures (including oxygen and vasopressors) in the management of circulatory shock and pulmonary edema as indicated. Cardiac arrest or arrhythmias will require advanced life-support measures.
The opioid antagonists, naloxone or nalmefene, are specific antidotes to respiratory depression resulting from opioid overdose. For clinically significant respiratory or circulatory depression secondary to remifentanil overdose, stop the infusion or administer an opioid antagonist. Opioid antagonists should not be administered in the absence of clinically significant respiratory or circulatory depression secondary to remifentanil overdose.
In an individual physically dependent on opioids, administration of the recommended usual dosage of the antagonist will precipitate an acute withdrawal syndrome. The severity of the withdrawal symptoms experienced will depend on the degree of physical dependence and the dose of the antagonist administered. If a decision is made to treat serious respiratory depression in the physically dependent patient, administration of the antagonist should be begun with care and by titration with smaller than usual doses of the antagonist.
14.2 Recovery
In 2,169 patients receiving Remifentanil Hydrochloride for injection for periods up to 16 hours, recovery from anesthesia was rapid, predictable, and independent of the duration of the infusion of Remifentanil Hydrochloride for injection. In the seven controlled, general surgery studies, extubation occurred in a median of 5 minutes (range: -3 to 17 minutes in 95% of patients) in outpatient anesthesia and 10 minutes (range: 0 to 32 minutes in 95% of patients) in inpatient anesthesia. Recovery in studies using nitrous oxide or propofol was faster than in those using isoflurane as the concurrent anesthetic. There was no case of remifentanil-induced delayed respiratory depression occurring more than 30 minutes after discontinuation of remifentanil [see Warnings and Precautions (5.15)].
In a double-blind, randomized study, administration of morphine sulfate (0.15 mg/kg) intravenously 20 minutes before the anticipated end of surgery to 98 patients did not delay recovery of respiratory drive in patients undergoing major surgery with remifentanil-propofol total IV anesthesia.
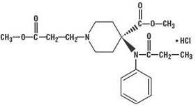
11 Description
Remifentanil Hydrochloride for injection is an opioid agonist. The chemical name is 3-[4-methoxycarbonyl-4-[(1-oxopropyl)phenylamino]-1-piperidine]propanoic acid methyl ester, hydrochloride salt. The molecular weight is 412.91. Its molecular formula is C20H28N2O5 •HCl, and it has the following chemical structure.
Remifentanil Hydrochloride for injection is a sterile, nonpyrogenic, preservative-free, white to off-white lyophilized powder for intravenous (IV) administration after reconstitution and dilution. Each vial contains 1 mg of remifentanil base and 3 mg of glycine, 2 mg of remifentanil base and 6 mg of glycine or 5 mg of remifentanil base and 15 mg of glycine; and hydrochloric acid to buffer the solutions to a nominal pH of 3 after reconstitution. When reconstituted as directed, solutions of Remifentanil Hydrochloride for injection are clear and colorless and contain remifentanil hydrochloride (HCl) equivalent to 1 mg/mL of remifentanil base. The pH of reconstituted solutions of Remifentanil Hydrochloride for injection ranges from 2.5 to 3.5. Remifentanil hydrochloride has a pKa of 7.07. Remifentanil hydrochloride has an n-octanol: water partition coefficient of 17.9 at pH 7.3.
9.3 Dependence
Both tolerance and physical dependence can develop during use of opioid therapy. Tolerance is a physiological state characterized by a reduced response to a drug after repeated administration (i.e., a higher dose of a drug is required to produce the same effect that was once obtained at a lower dose). Physical dependence is a state that develops as a result of a physiological adaptation in response to repeated drug use, manifested by withdrawal signs and symptoms after abrupt discontinuation or a significant dosage reduction of a drug.
Withdrawal may be precipitated through the administration of drugs with opioid antagonist activity (e.g., naloxone), mixed agonist/antagonist analgesics (e.g., pentazocine, butorphanol, nalbuphine), or partial agonists (e.g., buprenorphine). Physical dependence may not occur to a clinically significant degree until after several days to weeks of continued use.
Remifentanil Hydrochloride for injection should not be abruptly discontinued in a physically-dependent patient [see Dosage and Administration (2)]. If Remifentanil Hydrochloride for injection is abruptly discontinued in a physically-dependent patient, a withdrawal syndrome may occur, typically characterized by restlessness, lacrimation, rhinorrhea, perspiration, chills, myalgia, and mydriasis. Other signs and symptoms also may develop, including irritability, anxiety, backache, joint pain, weakness, abdominal cramps, insomnia, nausea, anorexia, vomiting, diarrhea, or increased blood pressure, respiratory rate, or heart rate.
Infants born to mothers physically dependent on opioids will also be physically dependent and may exhibit respiratory difficulties and withdrawal signs [see Use in Specific Populations (8.1)].
5.9 Bradycardia
Bradycardia has been reported with Remifentanil Hydrochloride for injection and is responsive to ephedrine or anticholinergic drugs, such as atropine and glycopyrrolate.
5.10 Hypotension
Hypotension has been reported with Remifentanil Hydrochloride for injection and is responsive to decreases in the administration of Remifentanil Hydrochloride for injection or to IV fluids or catecholamine (ephedrine, epinephrine, norepinephrine, etc.) administration.
14.6 Neurosurgery
Remifentanil Hydrochloride for injection was administered to 61 patients undergoing craniotomy for removal of a supratentorial mass lesion. In these studies, ventilation was controlled to maintain a predicted PaCO2 of approximately 28 mmHg. In one study (n = 30) with Remifentanil Hydrochloride for injection and 66% nitrous oxide, the median time to extubation and to patient response to verbal commands was 5 minutes (range -1 to 19 minutes). Intracranial pressure and cerebrovascular responsiveness to carbon dioxide were normal [see Clinical Pharmacology (12.2)].
A randomized, controlled study compared Remifentanil Hydrochloride for injection (n = 31) to fentanyl (n = 32). Remifentanil Hydrochloride for injection (1 mcg/kg/min) and fentanyl (2 mcg/kg/min) were administered after induction with thiopental and pancuronium. A similar number of patients (6%) receiving Remifentanil Hydrochloride for injection and fentanyl had hypotension during induction. Anesthesia was maintained with nitrous oxide and Remifentanil Hydrochloride for injection at a mean infusion rate of 0.23 mcg/kg/min (range 0.1 to 0.4) compared with a fentanyl mean infusion rate of 0.04 mcg/kg/min (range 0.02 to 0.07). Supplemental isoflurane was administered as needed. The patients receiving Remifentanil Hydrochloride for injection required a lower mean isoflurane dose (0.07 MAC-hours) compared with 0.64 MAC-hours for the fentanyl patients (P = 0.04). Remifentanil Hydrochloride for injection was discontinued at the end of anesthesia, whereas fentanyl was discontinued at the time of bone flap replacement (a median time of 44 minutes before the end of surgery). Median time to extubation was similar (5 and 3.5 minutes, respectively, with Remifentanil Hydrochloride for injection and fentanyl). None of the patients receiving Remifentanil Hydrochloride for injection required naloxone compared to seven of the fentanyl patients (P = 0.01). Eighty-one percent (81%) of patients receiving Remifentanil Hydrochloride for injection recovered (awake, alert, and oriented) within 30 minutes after surgery compared with 59% of fentanyl patients (P = 0.06). At 45 minutes, recovery rates were similar (81% and 69% respectively for Remifentanil Hydrochloride for injection and fentanyl, P = 0.27). Patients receiving Remifentanil Hydrochloride for injection required an analgesic for headache sooner than fentanyl patients (median of 35 minutes compared with 136 minutes, respectively [P = 0.04]). No adverse cerebrovascular effects were seen in this study [see Clinical Pharmacology (12.2)].
8.4 Pediatric Use
The efficacy and safety of Remifentanil Hydrochloride for injection as an analgesic agent for use in the maintenance of general anesthesia in outpatient and inpatient pediatric surgery have been established in controlled clinical studies in pediatric patients from birth to 12 years [see Clinical Studies (14.4)].
The initial maintenance infusion regimen of Remifentanil Hydrochloride for injection evaluated in pediatric patients from birth to 2 months of age was 0.4 mcg/kg/min, the approved adult regimen for use with N2O. The clearance rate observed in neonates was highly variable and on average was 2 times higher than in the young healthy adult population. Therefore, while a starting infusion rate of 0.4 mcg/kg/min may be appropriate for some neonates, an increased infusion rate may be necessary to maintain adequate surgical anesthesia, and additional bolus doses may be required. The individual dose for each patient should be carefully titrated. [See Clinical Pharmacology: Specific Populations: Pediatric Population (12.3) and Dosage and Administration, Table 2 and Maintenance of Anesthesia (2.2).]
Remifentanil Hydrochloride for injection has not been studied in pediatric patients for use as a postoperative analgesic or as an analgesic component of monitored anesthesia care.
8.5 Geriatric Use
Respiratory depression is the chief risk for elderly patients treated with opioids and has occurred after large initial doses were administered to patients who were not opioid-tolerant or when opioids were co-administered with other agents that depress respiration. Titrate the dosage of Remifentanil Hydrochloride for injection slowly in geriatric patients and frequently reevaluate the patient for signs of central nervous system and respiratory depression [see Warnings and Precautions (5.2)].
Of the total number of subjects in clinical studies of Remifentanil Hydrochloride for injection, 486 were 65 and over (age range 66 to 90 years). While the effective biological half-life of remifentanil is unchanged, elderly patients have been shown to be twice as sensitive as the younger population to the pharmacodynamic effects of remifentanil. The recommended starting dose of Remifentanil Hydrochloride for injection should be decreased by 50% in patients over 65 years of age [see Clinical Pharmacology (12.3) and Dosage and Administration (2.2)]. Titrate the dosage of Remifentanil Hydrochloride for injection slowly in geriatric patients. [See Warnings and Precautions (5.5).]
The clearance of remifentanil is reduced (approximately 25%) in the elderly (> 65 years of age) compared to young adults (average 25 years of age). However, remifentanil blood concentrations fall as rapidly after termination of administration in the elderly as in young adults.
This drug is known to be substantially excreted by the kidney, and the risk of adverse reactions to this drug may be greater in patients with impaired renal function. Because elderly patients are more likely to have decreased renal function, care should be taken in dose selection, and it may be useful to monitor renal function.
5.6 Administration
Continuous infusions of Remifentanil Hydrochloride for injection should be administered only by an infusion device. IV bolus administration of Remifentanil Hydrochloride for injection should be used only during the maintenance of general anesthesia. In nonintubated patients, single doses of Remifentanil Hydrochloride for injection should be administered over 30 to 60 seconds.
Interruption of an infusion of Remifentanil Hydrochloride for injection will result in rapid offset of effect. Rapid clearance and lack of drug accumulation result in rapid dissipation of respiratory depressant and analgesic effects upon discontinuation of Remifentanil Hydrochloride for injection at recommended doses. Discontinuation of an infusion of Remifentanil Hydrochloride for injection should be preceded by the establishment of adequate postoperative analgesia.
Injections of Remifentanil Hydrochloride for injection should be made into IV tubing at or close to the venous cannula. Upon discontinuation of Remifentanil Hydrochloride for injection, the IV tubing should be cleared to prevent the inadvertent administration of Remifentanil Hydrochloride for injection at a later point in time. Failure to adequately clear the IV tubing to remove residual Remifentanil Hydrochloride for injection has been associated with the appearance of respiratory depression, apnea, and muscle rigidity upon the administration of additional fluids or medications through the same IV tubing.
14 Clinical Studies
Remifentanil Hydrochloride for injection was evaluated in 3,341 patients undergoing general anesthesia (n = 2,706) and monitored anesthesia care (n = 639). These patients were evaluated in the following settings: inpatient (n = 2,079) which included cardiovascular (n = 426), and neurosurgical (n = 61), and outpatient (n = 1,349). Four-hundred and eighty-six (486) elderly patients (age range 66 to 90 years) and 410 pediatric patients (age range birth to 12 years) received Remifentanil Hydrochloride for injection. Of the general anesthesia patients, 682 also received Remifentanil Hydrochloride for injection as an IV analgesic agent during the immediate postoperative period.
2.5 Discontinuation
Upon discontinuation of Remifentanil Hydrochloride for injection, the IV tubing should be cleared to prevent the inadvertent administration of Remifentanil Hydrochloride for injection at a later time.
For patients undergoing surgical procedures where postoperative pain is generally anticipated, alternative analgesics should be administered prior to discontinuation of Remifentanil Hydrochloride for injection. The choice of analgesic should be appropriate for the patient's surgical procedure and the level of follow-up care [see Clinical Studies (14)].
4 Contraindications
Remifentanil Hydrochloride for injection is contraindicated:
- For epidural or intrathecal administration due to the presence of glycine in the formulation [see Nonclinical Toxicology (13)] .
- In patients with hypersensitivity to remifentanil (e.g., anaphylaxis) [see Adverse Reactions (6.2)] .
6 Adverse Reactions
The following serious adverse reactions are described, or described in greater detail, in other sections:
- Addiction, Abuse, and Misuse [see Warnings and Precautions (5.1)]
- Respiratory Depression in Spontaneously Breathing Patients [see Warnings and Precautions (5.2)]
- Interactions with Benzodiazepines or other CNS Depressants [see Warnings and Precautions (5.3)]
- Opioid-Induced Hyperalgesia and Allodynia [see Warnings and Precautions (5.4)]
- Serotonin Syndrome [see Warnings and Precautions (5.5)]
- Skeletal Muscle Rigidity [see Warnings and Precautions (5.7)]
- Bradycardia [see Warnings and Precautions (5.9)]
- Hypotension [see Warnings and Precautions (5.10)]
- Biliary Tract Disease [see Warnings and Precautions (5.13)]
- Seizures [see Warnings and Precautions (5.14)]
7 Drug Interactions
Table 18 includes clinically significant drug interactions with remifentanil Hydrochloride for injection.
|
Benzodiazepines and other Central Nervous System (CNS) Depressants
|
|
|
Clinical Impact:
|
Due to additive pharmacologic effect, the concomitant use of benzodiazepines or other CNS depressants including alcohol, increases the risk of hypotension, respiratory depression, profound sedation, coma, and death. |
|
Intervention:
|
Limit dosages and durations to the minimum required. Follow patients closely for signs of respiratory depression and sedation. Patients should be advised to avoid alcohol for 24 hours after surgery [see Warnings and Precautions (5.3)] . |
|
Examples:
|
Benzodiazepines and other sedatives/hypnotics, anxiolytics, tranquilizers, muscle relaxants, general anesthetics, antipsychotics, other opioids, alcohol. |
|
Serotonergic Drugs
|
|
|
Clinical Impact:
|
The concomitant use of opioids with other drugs that affect the serotonergic neurotransmitter system has resulted in serotonin syndrome [see Warnings and Precautions (5.5)] . |
|
Intervention:
|
If concomitant use is warranted, carefully observe the patient, particularly during treatment initiation and dose adjustment. Discontinue Remifentanil Hydrochloride for injection if serotonin syndrome is suspected. |
|
Examples:
|
Selective serotonin reuptake inhibitors (SSRIs), serotonin and norepinephrine reuptake inhibitors (SNRIs), tricyclic antidepressants (TCAs), triptans, 5-HT3 receptor antagonists, drugs that effect the serotonin neurotransmitter system (e.g., mirtazapine, trazodone, tramadol), certain muscle relaxants (i.e., cyclobenzaprine, metaxalone), monoamine oxidase (MAO) inhibitors (those intended to treat psychiatric disorders and also others, such as linezolid and intravenous methylene blue). |
|
Monoamine Oxidase Inhibitors (MAOIs)
|
|
|
Clinical Impact:
|
MAOI interactions with opioids may manifest as serotonin syndrome [see Warnings and Precautions (5.5)] or opioid toxicity (e.g., respiratory depression, coma) [see Warnings and Precautions (5.2)].
If urgent use of Remifentanil Hydrochloride for injection is necessary, use test doses and frequent titration of small doses while closely monitoring blood pressure and signs and symptoms of CNS and respiratory depression. |
|
Intervention:
|
The use of Remifentanil Hydrochloride for injection is not recommended for patients taking MAOIs or within 14 days of stopping such treatment. |
|
Mixed Agonist/Antagonist and Partial Agonist Opioid Analgesics
|
|
|
Clinical Impact:
|
May reduce the analgesic effect of Remifentanil Hydrochloride for injection and/or precipitate withdrawal symptoms. |
|
Intervention:
|
If concomitant use is warranted, carefully observe the patient, particularly during treatment initiation and dose adjustment. Consider discontinuing Remifentanil Hydrochloride for injection if patient is not responding appropriately to treatment and institute alternative analgesic treatment. |
|
Examples:
|
butorphanol, nalbuphine, pentazocine, buprenorphine |
12.2 Pharmacodynamics
The analgesic effects of Remifentanil Hydrochloride for injection are rapid in onset and offset. Its effects and side effects are dose dependent and similar to other μ-opioids. Remifentanil Hydrochloride for injection in humans has a rapid blood-brain equilibration halftime of 1 ± 1 minutes (mean ± SD) and a rapid onset of action. The pharmacodynamic effects of Remifentanil Hydrochloride for injection closely follow the measured blood concentrations, allowing direct correlation between dose, blood levels, and response. Blood concentration decreases 50% in 3 to 6 minutes after a 1-minute infusion or after prolonged continuous infusion due to rapid distribution and elimination processes and is independent of duration of drug administration. Recovery from the effects of Remifentanil Hydrochloride for injection occurs rapidly (within 5 to 10 minutes). New steady-state concentrations occur within 5 to 10 minutes after changes in infusion rate. When used as a component of an anesthetic technique, Remifentanil Hydrochloride for injection can be rapidly titrated to the desired depth of anesthesia/analgesia (e.g., as required by varying levels of intraoperative stress) by changing the continuous infusion rate or by administering an IV bolus injection.
12.3 Pharmacokinetics
After IV doses administered over 60 seconds, the pharmacokinetics of remifentanil fit a three compartment model with a rapid distribution half-life of one minute, a slower distribution half-life of 6 minutes, and a terminal elimination half-life of 10 to 20 minutes. Since the terminal elimination component contributes less than 10% of the overall area under the concentration versus time curve (AUC), the effective biological half-life of Remifentanil Hydrochloride for injection is 3 to 10 minutes. This is similar to the 3- to 10- minute half-life measured after termination of prolonged infusions (up to 4 hours; see Figure 2) and correlates with recovery times observed in the clinical setting after infusions up to 12 hours.
Concentrations of remifentanil are proportional to the dose administered throughout the recommended dose range. The pharmacokinetics of remifentanil are unaffected by the presence of renal or hepatic impairment.
2.2 General Anesthesia
Remifentanil Hydrochloride for injection is not recommended as the sole agent in general anesthesia because loss of consciousness cannot be assured and because of a high incidence of apnea, muscle rigidity, and tachycardia. Remifentanil Hydrochloride for injection is synergistic with other anesthetics; therefore, clinicians may need to reduce doses of thiopental, propofol, isoflurane, and midazolam by up to 75% with the coadministration of Remifentanil Hydrochloride for injection. The administration of Remifentanil Hydrochloride for injection must be individualized based on the patient's response.
1 Indications and Usage
Remifentanil Hydrochloride for injection is indicated for intravenous (IV) administration:
- As an analgesic agent for use during the induction and maintenance of general anesthesia for inpatient and outpatient procedures.
- For continuation as an analgesic into the immediate postoperative period in adult patients under the direct supervision of an anesthesia practitioner in a postoperative anesthesia care unit or intensive care setting.
- As an analgesic component of monitored anesthesia care in adult patients.
12.1 Mechanism of Action
Remifentanil Hydrochloride for injection is a μ-opioid agonist with rapid onset and peak effect, and short duration of action. The μ- opioid activity of Remifentanil Hydrochloride for injection is antagonized by opioid antagonists such as naloxone.
Unlike other opioids, Remifentanil Hydrochloride for injection is rapidly metabolized by hydrolysis of the propanoic acid-methyl ester linkage by nonspecific blood and tissue esterases. Remifentanil Hydrochloride for injection is not a substrate for plasma cholinesterase (pseudocholinesterase) and, therefore, patients with atypical cholinesterase are expected to have a normal duration of action.
9.1 Controlled Substance
Remifentanil Hydrochloride for injection contains remifentanil, a Schedule II controlled substance.
14.4 Pediatric Anesthesia
Remifentanil Hydrochloride for injection has been evaluated for maintenance of general anesthesia in 410 pediatric patients from birth to 12 years undergoing inpatient and outpatient procedures. Four clinical studies have been performed.
Study 1, an open-label, randomized, controlled clinical trial (n = 129), compared Remifentanil Hydrochloride for injection (n = 68) with alfentanil (n = 19), isoflurane (n = 22), or propofol (n = 20) in children 2 to 12 years of age undergoing strabismus surgery. After induction of anesthesia which included the administration of atropine, Remifentanil Hydrochloride for injection was administered as an initial infusion of 1 mcg/kg/min with 70% nitrous oxide. The infusion rate required during maintenance of anesthesia was 0.73 to 1.95 mcg/kg/min. Time to extubation and to purposeful movement was a median of 10 minutes (range 1 to 24 minutes).
Study 2, a double-blind, randomized, controlled trial (n = 222), compared Remifentanil Hydrochloride for injection (n = 119) to fentanyl (n = 103) in children 2 to 12 years of age undergoing tonsillectomy with or without adenoidectomy. After induction of anesthesia, patients received a 0.25 mcg/kg/min infusion of Remifentanil Hydrochloride for injection or fentanyl by IV bolus with nitrous oxide/oxygen (2:1) and either halothane or sevoflurane for maintenance of anesthesia. The mean infusion rate required during maintenance of anesthesia was 0.3 mcg/kg/min (range 0.2 to 1.3 mcg/kg/min). The continuous infusion rate was decreased to 0.05 mcg/kg/min approximately 10 minutes prior to the end of surgery. Time to spontaneous purposeful movement was a median of 8 minutes (range 1 to 19 minutes). Time to extubation was a median of 9 minutes (range 2 to 19 minutes).
Study 3, an open-label, randomized, controlled trial (n = 271), compared Remifentanil Hydrochloride for injection(n = 185) with a regional anesthetic technique (n = 86) in children 1 to 12 years of age undergoing major abdominal, urological, or orthopedic surgery. Patients received a 0.25 mcg/kg/min infusion of Remifentanil Hydrochloride for injection following a 1.0 mcg/kg bolus or bupivacaine by epidural infusion, along with isoflurane and nitrous oxide after the induction of anesthesia. The mean infusion rate required during maintenance of anesthesia was 0.25 mcg/kg/min (range 0 to 0.75 mcg/kg/min). Both treatments were effective in attenuating responses to skin incision during surgery. The hemodynamic profile of the Remifentanil Hydrochloride for injection group was consistent with an opioid-based general anesthetic technique. Time to spontaneous purposeful movement was a median of 15 minutes (range, 2 to 75 minutes) in the remifentanil group. Time to extubation was a median of 13 minutes (range, 4 to 31 minutes) in the remifentanil group.
Study 4, an open-label, randomized, controlled trial (n = 60), compared Remifentanil Hydrochloride for injection(n = 38) with halothane (n = 22) in ASA 1 or 2, full term neonates and infants ≤ 8 weeks of age weighing at least 2500 grams who were undergoing pyloromyotomy. After induction of anesthesia, which included the administration of atropine, patients received 0.4 mcg/kg/min of Remifentanil Hydrochloride for injection or 0.4% halothane with 70% nitrous oxide for initial maintenance of anesthesia and then both agents were adjusted according to clinical response. Bolus doses of 1 mcg/kg administered over 30 to 60 seconds were used to treat brief episodes of hypertension and tachycardia, and infusion rates were increased by 50% to treat sustained hypertension and tachycardia. The range of infusion rates of Remifentanil Hydrochloride for injection required during maintenance of anesthesia was 0.4 to 1 mcg/kg/min.
Seventy-one percent (71%) of Remifentanil Hydrochloride for injection patients required supplementary boluses or rate increases from the starting dose of 0.4 mcg/kg/min to treat hypertension, tachycardia, movement or somatic signs of light anesthesia. Twenty-four percent of the patients required an increase from the initial rate of 0.4 mcg/kg/min prior to incision and 26% of patients required an infusion rate between 0.8 and 1.0 mcg/kg/min, most often during gastric manipulation. The continuous infusion rate was decreased to 0.05 mcg/kg/min approximately 10 minutes before the end of surgery.
In the Remifentanil Hydrochloride for injection group, median time from discontinuation of anesthesia to spontaneous purposeful movement was 6.5 minutes (range, 1 to 13 minutes) and median time to extubation was 8.5 minutes (range, 1 to 14 minutes).
The initial maintenance infusion regimen of Remifentanil Hydrochloride for injection evaluated in pediatric patients from birth to 2 months of age was 0.4 mcg/kg/min, the approved adult regimen for use with N2O. The clearance rate observed in the neonatal population was highly variable and on average was two times higher than in the young healthy adult population. [See Clinical Pharmacology: Specific Populations: Pediatric Population (12.3) and Dosage and Administration, Table 2 (2.2).]
No pediatric patients receiving Remifentanil Hydrochloride for injection required naloxone during the immediate postoperative recovery period.
5 Warnings and Precautions
- Life-Threatening Respiratory Depression: Monitor closely, particularly during initiation and titration. (5.2)
- Risks from Use as Postoperative Analgesia with Concomitant Benzodiazepines or other CNS Depressants: Hypotension, profound sedation, respiratory depression, coma, and death may result from the concomitant use of Remifentanil Hydrochloride for injection with benzodiazepines or other CNS depressants (5.3)
- Opioid-Induced Hyperalgesia and Allodynia: Opioid-Induced Hyperalgesia (OIH) occurs when an opioid analgesic paradoxically causes an increase in pain, or an increase in sensitivity to pain. If OIH is suspected, carefully consider appropriately decreasing the dose of the current opioid analgesic or opioid rotation. (5.4)
- Serotonin Syndrome: Potentially life-threatening condition could result from concomitant serotonergic drug administration. Discontinue Remifentanil Hydrochloride for injection if serotonin syndrome is suspected. (5.5)
- Administration: Continuous infusions of Remifentanil Hydrochloride for injection should be administered only by an infusion device. (5.6)
- Skeletal Muscle Rigidity: is related to the dose and speed of administration. Muscle rigidity induced by Remifentanil Hydrochloride for injection should be managed in the context of the patient's clinical condition. (5.7)
- Potential Inactivation by Nonspecific Esterases in Blood Products: Remifentanil Hydrochloride for injection should not be administered into the same IV tubing with blood due to potential inactivation by nonspecific esterases in blood products. (5.8)
- Bradycardia: Monitor heart rate during dosage initiation and titration. It is responsive to ephedrine or anticholinergic drugs (5.9)
- Hypotension: Monitor blood pressure during dosage initiation and titration. It is responsive to decreases in the administration of Remifentanil Hydrochloride for injection or to IV fluids or catecholamine administration (5.10)
- Intraoperative Awareness: Inoperative awareness has been reported in patients under 55 years of age when Remifentanil Hydrochloride for injection has been administered with propofol infusion rates of ≤ 75 mcg/kg/min (5.11)
- Risks of Use in Spontaneously Breathing Patients with Increased Intracranial Pressure, Brain Tumors, Head Injury, or Impaired Consciousness: Monitor for sedation and respiratory depression. (5.12)
- Risks of Use in Patients with Biliary Tract Disease: Monitor patients with biliary tract disease, including acute pancreatitis, for worsening symptoms. (5.13)
- Increased Risk of Seizures in Patients with Seizure Disorders: Monitor patients with a history of seizure disorders for worsened seizure control during Remifentanil Hydrochloride for injection therapy. (5.14)
- Rapid Offset of Action: Standard monitoring should be maintained in the postoperative period to ensure adequate recovery without stimulation. (5.15)
2 Dosage and Administration
- Monitor patients closely for respiratory depression when initiating therapy and following dosage increases and adjust the dosage accordingly. (2.1)
- Initial Dosage in Adults : See full prescribing information for recommended doses in adult patients. (2.2,2.3)
- Initial Dosage in Pediatric Patients : See full prescribing information for recommended doses in pediatric patients. (2.2)
- Geriatric Patients : The starting doses should be decreased by 50% in elderly patients (> 65 years). (2.6)
5.15 Rapid Offset of Action
Analgesic activity will subside within 5 to 10 minutes after discontinuation of administration of Remifentanil Hydrochloride for injection. However, respiratory depression may continue in some patients for up to 30 minutes after termination of infusion due to residual effects of concomitant anesthetics. Standard monitoring should be maintained in the postoperative period to ensure adequate recovery without stimulation. For patients undergoing surgical procedures where postoperative pain is generally anticipated, other analgesics should be administered prior to the discontinuation of Remifentanil Hydrochloride for injection.
3 Dosage Forms and Strengths
For injection: 1 mg, 2 mg, and 5 mg:
| 3 mL Vial |
1 mg lyophilized powder |
| 5 mL Vial |
2 mg lyophilized powder |
| 10 mL Vial |
5 mg lyophilized powder |
5.7 Skeletal Muscle Rigidity
Skeletal muscle rigidity can be caused by Remifentanil Hydrochloride for injection and is related to the dose and speed of administration. Remifentanil Hydrochloride for injection may cause chest wall rigidity (inability to ventilate) after single doses of > 1 mcg/kg administered over 30 to 60 seconds, or after infusion rates > 0.1 mcg/kg/min. Single doses < 1 mcg/kg may cause chest wall rigidity when given concurrently with a continuous infusion of Remifentanil Hydrochloride for injection.
Muscle rigidity induced by Remifentanil Hydrochloride for injection should be managed in the context of the patient's clinical condition. Muscle rigidity occurring during the induction of anesthesia should be treated by the administration of a neuromuscular blocking agent and the concurrent induction medications and can be treated by decreasing the rate or discontinuing the infusion of Remifentanil Hydrochloride for injection or by administering a neuromuscular blocking agent. The neuromuscular blocking agents used should be compatible with the patient's cardiovascular status.
Muscle rigidity seen during the use of Remifentanil Hydrochloride for injection in spontaneously breathing patients may be treated by stopping or decreasing the rate of administration of Remifentanil Hydrochloride for injection. Resolution of muscle rigidity after discontinuing the infusion of Remifentanil Hydrochloride for injection occurs within minutes. In the case of life-threatening muscle rigidity, a rapid onset neuromuscular blocker or naloxone may be administered.
6.2 Postmarketing Experience
The following adverse reactions have been identified during post approval use of remifentanil. Because these reactions are reported voluntarily from a population of uncertain size, it is not always possible to reliably estimate their frequency or establish a causal relationship to drug exposure.
Cardiovascular: Asystole
Serotonin syndrome: Cases of serotonin syndrome, a potentially life-threatening condition, have been reported during concomitant use of opioids with serotonergic drugs.
Anaphylaxis: Anaphylaxis has been reported with ingredients contained in Remifentanil Hydrochloride for injection.
Hyperalgesia and Allodynia: Cases of hyperalgesia and allodynia have been reported with opioid therapy of any duration [see Warnings and Precautions (5.4)].
Hypoglycemia: Cases of hypoglycemia have been reported in patients taking opioids. Most reports were in patients with at least one predisposing risk factor (e.g., diabetes).
8.7 Long Term Use in the Icu
No data are available on the long-term (longer than 16 hours) use of Remifentanil Hydrochloride for injection as an analgesic in ICU patients.
5.11 Intraoperative Awareness
Intraoperative awareness has been reported in patients under 55 years of age when Remifentanil Hydrochloride for injection has been administered with propofol infusion rates of ≤ 75 mcg/kg/min.
8 Use in Specific Populations
- Pregnancy: May cause fetal harm. (8.1)
- Labor or Delivery: Respiratory depression and other opioid effects may occur in newborns whose mothers are given Remifentanil Hydrochloride for injection, shortly before delivery. (8.1)
- Lactation: Infants exposed to Remifentanil Hydrochloride for injection through breast milk should be monitored for excess sedation and respiratory depression. (8.2)
- Pediatric Use: Remifentanil Hydrochloride for injection has not been studied in pediatric patients for use as a postoperative analgesic or as an analgesic component of monitored anesthesia care. (8.4)
14.8 Monitored Anesthesia Care
Remifentanil Hydrochloride for injection has been studied in the monitored anesthesia care setting in 609 patients in eight clinical studies. Nearly all patients received supplemental oxygen in these studies. Two early dose-finding studies demonstrated that use of sedation as an endpoint for titration of Remifentanil Hydrochloride for injection led to a high incidence of muscle rigidity (69%) and respiratory depression. Subsequent trials titrated Remifentanil Hydrochloride for injection to specific clinical endpoints of patient comfort, analgesia, and adequate respiration (respiratory rate > 8 breaths/min) with a corresponding lower incidence of muscle rigidity (3%) and respiratory depression. With doses of midazolam > 2 mg (4 to 8 mg), the dose of Remifentanil Hydrochloride for injection could be decreased by 50%, but the incidence of respiratory depression rose to 32%.
The efficacy of a single dose of Remifentanil Hydrochloride for injection (1.0 mcg/kg over 30 seconds) was compared to alfentanil (7 mcg/kg over 30 seconds) in patients undergoing ophthalmic surgery. More patients receiving Remifentanil Hydrochloride for injection were pain free at the time of the nerve block (77% versus 44%, P = 0.02) and more experienced nausea (12% versus 4%) than those receiving alfentanil.
In a randomized, controlled study (n = 118), Remifentanil Hydrochloride for injection 0.5 mcg/kg over 30 to 60 seconds followed by a continuous infusion of 0.1 mcg/kg/min, was compared to a propofol bolus (500 mcg/kg) followed by a continuous infusion (50 mcg/kg/min) in patients who received a local or regional anesthetic nerve block 5 minutes later. The incidence of moderate or severe pain during placement of the block was similar between groups (2% with Remifentanil Hydrochloride for injection and 8% with propofol, P = 0.2) and more patients receiving Remifentanil Hydrochloride for injection experienced nausea (26% versus 2%, P < 0.001). The final mean infusion rate of Remifentanil Hydrochloride for injection was 0.08 mcg/kg/min.
In a randomized, double-blind study, Remifentanil Hydrochloride for injection with or without midazolam was evaluated in 159 patients undergoing superficial surgical procedures under local anesthesia. Remifentanil Hydrochloride for injection was administered without midazolam as a 1 mcg/kg dose over 30 seconds followed by a continuous infusion of 0.1 mcg/kg/min. In the group of patients that received midazolam, Remifentanil Hydrochloride for injection was administered as a 0.5 mcg/kg dose over 30 seconds followed by a continuous infusion of 0.05 mcg/kg/min and midazolam 2 mg was administered 5 minutes later. The occurrence of moderate or severe pain during the local anesthetic injection was similar between groups (16% and 20%). Other effects for Remifentanil Hydrochloride for injection alone and Remifentanil Hydrochloride for injection /midazolam were: respiratory depression with oxygen desaturation (SPO2 < 90%), 5% and 2%; nausea, 8% and 2%; and pruritus, 23% and 12%. Titration of Remifentanil Hydrochloride for injection resulted in prompt resolution of respiratory depression (median 3 minutes, range 0 to 6 minutes). The final mean infusion rate of Remifentanil Hydrochloride for injection was 0.12 mcg/kg/min (range 0.03 to 0.3) for the group receiving Remifentanil Hydrochloride for injection alone and 0.07 mcg/kg/min (range 0.02 to 0.2) for the group receiving Remifentanil Hydrochloride for injection /midazolam.
6.1 Clinical Trials Experience
Because clinical trials are conducted under widely varying conditions, adverse reaction rates observed in the clinical trials of a drug cannot be directly compared to rates in the clinical trials of another drug and may not reflect the rates observed in practice.
Adverse event information is derived from controlled clinical studies that were conducted in a variety of surgical procedures of varying duration, using a variety of premedications and other anesthetics, and in patient populations with diverse characteristics including underlying disease.
5.1 Addiction, Abuse, and Misuse
Remifentanil Hydrochloride for injection contains remifentanil, a Schedule II controlled substance. As an opioid, Remifentanil Hydrochloride for injection exposes users to the risks of addiction, abuse, and misuse [see Drug Abuse and Dependence (9)].
Opioids are sought for nonmedical use and are subject to diversion from legitimate prescribed use. Consider these risks when handling Remifentanil Hydrochloride for injection. Strategies to reduce these risks include proper product storage and control practices for a C-II drug. Contact local state professional licensing board or state controlled substances authority for information on how to prevent and detect abuse or diversion of this product.
17 Patient Counseling Information
Addiction, Abuse, and Misuse
Inform patients that the use of Remifentanil Hydrochloride for injection, even when taken as recommended, can result in addiction, abuse, and misuse, which can lead to overdose and death [see Warnings and Precautions (5.1)].
Life-Threatening Respiratory Depression
Inform patients of the risk of life-threatening respiratory depression, including information that the risk is greatest when starting Remifentanil Hydrochloride for injection or when the dosage is increased, and that it can occur even at recommended dosages.
Hyperalgesia and Allodynia
Advise patients to inform their healthcare provider if they experience symptoms of hyperalgesia, including worsening pain, increased sensitivity to pain, or new pain [see Warnings and Precautions (5.4), Adverse Reactions (6)].
Serotonin Syndrome
Inform patients that opioids could cause a rare but potentially life-threatening condition called serotonin syndrome resulting from concomitant administration of serotonergic drugs. Warn patients of the symptoms of serotonin syndrome and to seek medical attention right away if symptoms develop after discharge from the hospital. Instruct patients to inform their healthcare provider if they are taking, or plan to take serotonergic medications [see Warnings and Precautions (5.5), Drug Interactions (7)].
Constipation
Advise patients of the potential for severe constipation, including management instructions and when to seek medical attention [see Adverse Reactions (6), Clinical Pharmacology (12.2)].
Diprivan® is a registered trademark of Fresenius Kabi USA, LLC.
Distributed by:
Hikma Pharmaceuticals USA Inc.
Berkeley Heights, NJ 07922
Revised:1/2024
462-901-01
8.6 Use in Morbidly Obese Patients
As for all potent opioids, caution is required with use in morbidly obese patients because of alterations in cardiovascular and respiratory physiology [see Dosage and Administration (2.2)].
14.5 Coronary Artery Bypass Surgery
Remifentanil Hydrochloride for injection was originally administered to 225 subjects undergoing elective CABG surgery in two dose-ranging studies without active comparators. Subsequently, two double-blind, double-dummy clinical studies (N = 426) evaluated Remifentanil Hydrochloride for injection (n = 236) at recommended doses versus active comparators (n = 190).
The first comparator study, a multi-center, randomized, double-blind, double-dummy, parallel-group study (N = 369), compared Remifentanil Hydrochloride for injection (n = 201) with fentanyl (n = 168) in adult patients undergoing elective CABG surgery. Subjects received 1 to 3 mg midazolam and 0.05 mg/kg morphine IV as premedication. Anesthesia was induced with propofol 0.5 mg/kg (higher doses administered with Remifentanil Hydrochloride for injection were associated with excessive hypotension) over one minute plus 10-mg boluses every 10 seconds until loss of consciousness followed by either cisatracurium 0.2 mg/kg or vecuronium 0.15 mg/kg. Patients randomized to Remifentanil Hydrochloride for injection received a 1 mcg/kg/min infusion of Remifentanil Hydrochloride for injection followed by a placebo bolus administered over 3 minutes. In the active control group, a placebo IV infusion was started and a fentanyl bolus 10 mcg/kg was administered over 3 minutes. All subjects received isoflurane titrated initially to end tidal concentration of 0.5%. During maintenance, the group randomized to Remifentanil Hydrochloride for injection received as needed 0.5-1 mcg/kg/min IV rate increases (to a maximum of 4 mcg/kg/min) of Remifentanil Hydrochloride for injection and 1 mcg/kg IV boluses of Remifentanil Hydrochloride for injection. The active control group received 2 mcg/kg IV boluses of fentanyl and increases in placebo IV infusion rate.
The second comparator study, a multi-center, double-blind, randomized, parallel group study (N = 57), compared Remifentanil Hydrochloride for injection (n = 35) to fentanyl (n = 22) in adult patients undergoing elective CABG surgery with poor left ventricular function (ejection fraction < 0.35). Subjects received oral lorazepam 40 mcg/kg as premedication. Anesthesia was induced using etomidate until loss of consciousness, followed by a low-dose propofol infusion (3 mg/kg/hr) and pancuronium 0.15 mg/kg. Subjects in the group administered Remifentanil Hydrochloride for injection received a placebo bolus dose and a continuous infusion of Remifentanil Hydrochloride for injection1 mcg/kg/min and subjects in the fentanyl group received a bolus loading dose of 15 mcg/kg and placebo continuous infusion. During maintenance, supplemental bolus doses of Remifentanil Hydrochloride for injection (0.5 mcg/kg) and infusion rate increases of 0.5 to 1 mcg/kg/min (maximum rate allowed was 4 mcg/kg/min) of Remifentanil Hydrochloride for injection were administered to one group; while the fentanyl group was given intermittent maintenance bolus doses of 2 mcg/kg and increases in the placebo infusion rate.
In these two studies, using a high dose opioid technique with Remifentanil Hydrochloride for injection as a component of a balanced or total intravenous anesthetic regimen, the remifentanil regimen effectively attenuated response to maximal sternal spread generally better than the dose and regimen studied for the active control (fentanyl). While this provides evidence for the efficacy of remifentanil as an analgesic in this setting, caution must be exercised in interpreting these results as evidence of superiority of remifentanil over the active control, since these studies did not make any attempt to evaluate and compare the optimal analgesic doses of either drug in this setting.
2.11 Preparation for Administration
To reconstitute solution, add 1 mL of diluent per mg of remifentanil. Shake well to dissolve. When reconstituted as directed, the solution contains approximately 1 mg of remifentanil activity per 1 mL.
- Remifentanil Hydrochloride for injection should be diluted to a recommended final concentration of 20, 25, 50, or 250 mcg/mL prior to administration (see Table 5). Remifentanil Hydrochloride for injection should not be administered without dilution.
|
Final Concentration
|
Amount of Remifentanil Hydrochloride for injection in Each Vial
|
Final Volume After
Reconstitution and Dilution |
| 20 mcg/mL |
1 mg |
50 mL |
| 2 mg |
100 mL |
|
| 5 mg |
250 mL |
|
| 25 mcg/mL |
1 mg |
40 mL |
| 2 mg |
80 mL |
|
| 5 mg |
200 mL |
|
| 50 mcg/mL |
1 mg |
20 mL |
| 2 mg |
40 mL |
|
| 5 mg |
100 mL |
|
| 250 mcg/mL |
5 mg |
20 mL |
Continuous IV infusions of Remifentanil Hydrochloride for injection should be administered only by an infusion device. Infusion rates of Remifentanil Hydrochloride for injection can be individualized for each patient using Table 6:
|
Drug Delivery Rate
(mcg/kg/min) |
Infusion Delivery Rate (mL/kg/h)
|
|||
|
20 mcg/mL
|
25 mcg/mL
|
50 mcg/mL
|
250 mcg/mL
|
|
| 0.0125 |
0.038 |
0.03 |
0.015 |
not recommended |
| 0.025 |
0.075 |
0.06 |
0.03 |
not recommended |
| 0.05 |
0.15 |
0.12 |
0.06 |
0.012 |
| 0.075 |
0.23 |
0.18 |
0.09 |
0.018 |
| 0.1 |
0.3 |
0.24 |
0.12 |
0.024 |
| 0.15 |
0.45 |
0.36 |
0.18 |
0.036 |
| 02 |
0.6 |
0.48 |
0.24 |
0.048 |
| 0.25 |
0.75 |
0.6 |
0.3 |
0.06 |
| 0.5 |
1.5 |
1.2 |
0.6 |
0.12 |
| 0.75 |
2.25 |
1.8 |
0.9 |
0.18 |
| 1.0 |
3.0 |
2.4 |
1.2 |
0.24 |
| 1.25 |
3.75 |
3.0 |
1.5 |
0.3 |
| 1.5 |
4.5 |
3.6 |
1.8 |
0.36 |
| 1.75 |
5.25 |
4.2 |
2.1 |
0.42 |
| 2.0 |
6.0 |
4.8 |
2.4 |
0.48 |
When Remifentanil Hydrochloride for injection is used as an analgesic component of monitored analgesia care, a final concentration of 25 mcg/mL is recommended. When Remifentanil Hydrochloride for injection is used for pediatric patients 1 year of age and older, a final concentration of 20 or 25 mcg/mL is recommended. Table 7 is a guideline for milliliter-per-hour delivery for a solution of 20 mcg/mL with an infusion device.
|
Infusion Rate
(mcg/kg/min) |
Patient Weight (kg)
|
||||||
|
5
|
10
|
20
|
30
|
40
|
50
|
60
|
|
| 0.0125 |
0.188 |
0.375 |
0.75 |
1.125 |
1.5 |
1.875 |
2.25 |
| 0.025 |
0.375 |
0.75 |
1.5 |
2.25 |
3.0 |
3.75 |
4.5 |
| 0.05 |
0.75 |
1.5 |
3.0 |
4.5 |
6.0 |
7.5 |
9.0 |
| 0.075 |
1.125 |
2.25 |
4.5 |
6.75 |
9.0 |
11.25 |
13.5 |
| 0.1 |
1.5 |
3.0 |
6.0 |
9.0 |
12.0 |
15.0 |
18.0 |
| 0.15 |
2.25 |
4.5 |
9.0 |
13.5 |
18.0 |
22.5 |
27.0 |
| 0.2 |
3.0 |
6.0 |
12.0 |
18.0 |
24.0 |
30.0 |
36.0 |
| 0.25 |
3.75 |
7.5 |
15.0 |
22.5 |
30.0 |
37.5 |
45.0 |
| 0.3 |
4.5 |
9.0 |
18.0 |
27.0 |
36.0 |
45.0 |
54.0 |
| 0.35 |
5.25 |
10.5 |
21.0 |
31.5 |
42.0 |
52.5 |
63.0 |
| 0.4 |
6.0 |
12.0 |
24.0 |
36.0 |
48.0 |
60.0 |
72.0 |
Table 8 is a guideline for milliliter-per-hour delivery for a solution of 25 mcg/mL with an infusion device.
|
Infusion Rate
(mcg/kg/min) |
Patient Weight (kg)
|
|||||||||
|
10
|
20
|
30
|
40
|
50
|
60
|
70
|
80
|
90
|
100
|
|
| 0.0125 |
0.3 |
0.6 |
0.9 |
1.2 |
1.5 |
1.8 |
2.1 |
2.4 |
2.7 |
3.0 |
| 0.025 |
0.6 |
1.2 |
1.8 |
2.4 |
3.0 |
3.6 |
4.2 |
4.8 |
5.4 |
6.0 |
| 0.05 |
1.2 |
2.4 |
3.6 |
4.8 |
6.0 |
7.2 |
8.4 |
9.6 |
10.8 |
12.0 |
| 0.075 |
1.8 |
3.6 |
5.4 |
7.2 |
9.0 |
10.8 |
12.6 |
14.4 |
16.2 |
18.0 |
| 0.1 |
2.4 |
4.8 |
7.2 |
9.6 |
12.0 |
14.4 |
16.8 |
19.2 |
21.6 |
24.0 |
| 0.15 |
3.6 |
7.2 |
10.8 |
14.4 |
18.0 |
21.6 |
25.2 |
28.8 |
32.4 |
36.0 |
| 0.2 |
4.8 |
9.6 |
14.4 |
19.2 |
24.0 |
28.8 |
33.6 |
38.4 |
43.2 |
48.0 |
Table 9 is a guideline for milliliter-per-hour delivery for a solution of 50 mcg/mL with an infusion device.
|
Infusion Rate
(mcg/kg/min) |
Patient Weight (kg)
|
|||||||
|
30
|
40
|
50
|
60
|
70
|
80
|
90
|
100
|
|
| 0.025 |
2.1 |
2.4 |
2.7 |
3.0 |
||||
| 0.05 |
2.4 |
3.0 |
3.6 |
4.2 |
4.8 |
5.4 |
6.0 |
|
| 0.075 |
2.7 |
3.6 |
4.5 |
5.4 |
6.3 |
7.2 |
8.1 |
9.0 |
| 0.1 |
3.6 |
4.8 |
6.0 |
7.2 |
8.4 |
9.6 |
10.8 |
12.0 |
| 0.15 |
5.4 |
7.2 |
9.0 |
10.8 |
12.6 |
14.4 |
16.2 |
18.0 |
| 0.2 |
7.2 |
9.6 |
12.0 |
14.4 |
16.8 |
19.2 |
21.6 |
24.0 |
| 0.25 |
9.0 |
12.0 |
15.0 |
18.0 |
21.0 |
24.0 |
27.0 |
30.0 |
| 0.5 |
18.0 |
24.0 |
30.0 |
36.0 |
42.0 |
48.0 |
54.0 |
60.0 |
| 0.75 |
27.0 |
36.0 |
45.0 |
54.0 |
63.0 |
72.0 |
81.0 |
90.0 |
| 1.0 |
36.0 |
48.0 |
60.0 |
72.0 |
84.0 |
96.0 |
108.0 |
120.0 |
| 1.25 |
45.0 |
60.0 |
75.0 |
90.0 |
105.0 |
120.0 |
135.0 |
150.0 |
| 1.5 |
54.0 |
72.0 |
90.0 |
108.0 |
126.0 |
144.0 |
162.0 |
180.0 |
| 1.75 |
63.0 |
84.0 |
105.0 |
126.0 |
147.0 |
168.0 |
189.0 |
210.0 |
| 2.0 |
72.0 |
96.0 |
120.0 |
144.0 |
168.0 |
192.0 |
216.0 |
240.0 |
Table 10 is a guideline for milliliter-per-hour delivery for a solution of 250 mcg/mL with an infusion device.
|
Infusion Rate
(mcg/kg/min) |
Patient Weight (kg)
|
|||||||
|
30
|
40
|
50
|
60
|
70
|
80
|
90
|
100
|
|
| 0.1 |
0.72 |
0.96 |
1.20 |
1.44 |
1.68 |
1.92 |
2.16 |
2.40 |
| 0.15 |
1.08 |
1.44 |
1.80 |
2.16 |
2.52 |
2.88 |
3.24 |
3.60 |
| 0.2 |
1.44 |
1.92 |
2.40 |
2.88 |
3.36 |
3.84 |
4.32 |
4.80 |
| 0.25 |
1.80 |
2.40 |
3.00 |
3.60 |
4.20 |
4.80 |
5.40 |
6.00 |
| 0.5 |
3.60 |
4.80 |
6.00 |
7.20 |
8.40 |
9.60 |
10.80 |
12.00 |
| 0.75 |
5.40 |
7.20 |
9.00 |
10.80 |
12.60 |
14.40 |
16.20 |
18.00 |
| 1.0 |
7.20 |
9.60 |
12.00 |
14.40 |
16.80 |
19.20 |
21.60 |
24.00 |
| 1.25 |
9.00 |
12.00 |
15.00 |
18.00 |
21.00 |
24.00 |
27.00 |
30.00 |
| 1.5 |
10.80 |
14.40 |
18.00 |
21.60 |
25.20 |
28.80 |
32.40 |
36.00 |
| 1.75 |
12.60 |
16.80 |
21.00 |
25.20 |
29.40 |
33.60 |
37.80 |
42.00 |
| 2.0 |
14.40 |
19.20 |
24.00 |
28.80 |
33.60 |
38.40 |
43.20 |
48.00 |
16 How Supplied/storage and Handling
Remifentanil Hydrochloride for injection is a sterile, nonpyrogenic, preservative-free, white to off-white lyophilized powder for intravenous (IV) administration after reconstitution and dilution.
Remifentanil Hydrochloride for injection, for intravenous use, is supplied as follows:
|
NDC Number
|
Strength
|
Container
|
Quantity
|
| 0143-9391-10 |
1 mg per vial |
3 mL Vial |
Packaged in cartons of 10 |
| 0143-9392-10 |
2 mg per vial |
5 mL Vial |
Packaged in cartons of 10 |
| 0143-9393-10 |
5 mg per vial |
10 mL Vial |
Packaged in cartons of 10 |
Remifentanil Hydrochloride for injection should be stored at 2° to 25°C (36° to 77°F).
Discard unused portion.
Package Label.principal Display Panel
NDC 0143-9391-01
Rx only
Remifentanil Hydrochloride for Injection CII
1 mg
For Intravenous use ONLY
Single Dose Vial
Discard Unused Portion
NDC 0143-9392-01
Rx only
Remifentanil Hydrochloride for Injection CII
2 mg
For Intravenous use ONLY
Single Dose Vial
Discard Unused Portion
NDC 0143-9393-01
Rx only
Remifentanil Hydrochloride for Injection CII
5 mg
For Intravenous use ONLY
Single Dose Vial
Discard Unused Portion
NDC 0143-9391-10
Rx only
Remifentanil Hydrochloride for Injection CII
1 mg
Equivalent to 1 mg of remifentanil
For Intravenous use ONLY
Single Dose Vial
Discard Unused Portion
10 x 1 mg Single Dose Vials
NDC 0143-9392-10
Rx only
Remifentanil Hydrochloride for Injection CII
2 mg
Equivalent to 2 mg of remifentanil
For Intravenous use ONLY
Single Dose Vial
Discard Unused Portion
10 x 2 mg Single Dose Vials
NDC 0143-9393-10
Rx only
Remifentanil Hydrochloride for Injection CII
5 mg
Equivalent to 5 mg of remifentanil
For Intravenous use ONLY
Single Dose Vial
Discard Unused Portion
10 x 5 mg Single Dose Vials
SERIALIZATION IMAGE
Warning: Addiction, Abuse, and Misuse
WARNING: SERIOUS AND LIFE-THREATENING RISKS FROM USE OF REMIFENTANIL HYDROCHLORIDE FOR INJECTION
Addiction, Abuse, and Misuse
Because the use of Remifentanil Hydrochloride for injection exposes patients and other users to the risks of opioid addiction, abuse, and misuse, which can lead to overdose and death, assess each patient’s risk prior to prescribing and reassess all patients regularly for the development of these behaviors and conditions [see Warnings and Precautions (5.1)].
Life-Threatening Respiratory Depression
Serious, life-threatening, or fatal respiratory depression may occur with use of Remifentanil Hydrochloride for injection, especially during initiation or following a dosage increase. To reduce the risk of respiratory depression, proper dosing and titration of Remifentanil Hydrochloride for injection are essential [see Warnings and Precautions (5.2)].
Risks From Concomitant Use With Benzodiazepines Or Other CNS Depressants
Concomitant use of opioids with benzodiazepines or other central nervous system (CNS) depressants, including alcohol, may result in profound sedation, respiratory depression, coma, and death. Reserve concomitant prescribing of Remifentanil Hydrochloride for injection and benzodiazepines or other CNS depressants for use in patients for whom alternative treatment options are inadequate [see Warnings and Precautions (5.3), Drug Interactions (7)].
14.3 Spontaneous Ventilation Anesthesia
Two randomized, dose-ranging studies (n = 127) examined the administration of Remifentanil Hydrochloride for injection to outpatients undergoing general anesthesia with a laryngeal mask. Starting infusion rates of Remifentanil Hydrochloride for injection of ≤ 0.05 mcg/kg/min provided supplemental analgesia while allowing spontaneous ventilation with propofol or isoflurane. Bolus doses of Remifentanil Hydrochloride for injection during spontaneous ventilation lead to transient periods of apnea, respiratory depression, and muscle rigidity.
2.9 Dosage Modifications in Obese Patients
The starting doses of Remifentanil Hydrochloride for injection should be based on ideal body weight (IBW) in obese patients (greater than 30% over their IBW) [see Use in Specific Populations (8.6)].
5.2 Life Threatening Respiratory Depression
Serious, life-threatening, or fatal respiratory depression has been reported with the use of opioids, even when used as recommended. Respiratory depression, if not immediately recognized and treated, may lead to respiratory arrest and death.
Remifentanil Hydrochloride for injection should be administered only by persons specifically trained in the use of anesthetic drugs and the management of the respiratory effects of potent opioids, including respiration and cardiac resuscitation of patients in the age group being treated. Such training must include the establishment and maintenance of a patent airway and assisted ventilation. Resuscitative and intubation equipment, oxygen, and opioid antagonists must be readily available.
Respiratory depression in spontaneously breathing patients is generally managed by decreasing the rate of the infusion of Remifentanil Hydrochloride for injection by 50% or by temporarily discontinuing the infusion [see Overdosage (10)].
Carbon dioxide (CO2) retention from opioid-induced respiratory depression can exacerbate the sedating effects of opioids. While serious, life-threatening, or fatal respiratory depression can occur at any time during the use of Remifentanil Hydrochloride for injection, the risk is greatest during the initiation of therapy or following a dosage increase. Monitor patients closely for respiratory depression, especially when initiating therapy with and following dosage increases of Remifentanil Hydrochloride for injection.
Remifentanil Hydrochloride for injection should not be used in diagnostic or therapeutic procedures outside the monitored anesthesia care setting. Patients receiving monitored anesthesia care should be continuously monitored by persons not involved in the conduct of the surgical or diagnostic procedure. Oxygen saturation should be monitored on a continuous basis.
Patients with significant chronic obstructive pulmonary disease or cor pulmonale, and those with a substantially decreased respiratory reserve, hypoxia, hypercapnia, or pre-existing respiratory depression are at increased risk of decreased respiratory drive including apnea, even at recommended dosages of Remifentanil Hydrochloride for injection. Elderly, cachectic, or debilitated patients may have altered pharmacokinetics or altered clearance compared to younger, healthier patients resulting in greater risk for respiratory depression. Monitor such patients closely including vital signs, particularly when initiating and titrating Remifentanil Hydrochloride for injection and when Remifentanil Hydrochloride for injection is given concomitantly with other drugs that depress respiration. To reduce the risk of respiratory depression, proper dosing and titration of Remifentanil Hydrochloride for injection are essential [see Dosage and Administration (2.11) ].
5.4 Opioid Induced Hyperalgesia and Allodynia
Opioid-Induced Hyperalgesia (OIH) occurs when an opioid analgesic paradoxically causes an increase in pain, or an increase in sensitivity to pain. This condition differs from tolerance, which is the need for increasing doses of opioids to maintain a defined effect [see Dependence (9.3)]. Symptoms of OIH include (but may not be limited to) increased levels of pain upon opioid dosage increase, decreased levels of pain upon opioid dosage decrease, or pain from ordinarily non-painful stimuli (allodynia). These symptoms may suggest OIH only if there is no evidence of underlying disease progression, opioid tolerance, opioid withdrawal, or addictive behavior.
Cases of OIH have been reported, both with short-term and longer-term use of opioid analgesics. Though the mechanism of OIH is not fully understood, multiple biochemical pathways have been implicated. Medical literature suggests a strong biologic plausibility between opioid analgesics and OIH and allodynia. If a patient is suspected to be experiencing OIH, carefully consider appropriately decreasing the dose of the current opioid analgesic or opioid rotation (safely switching the patient to a different opioid moiety) [see Dosage and Administration (2), Warnings and Precautions (5.2)].
2.6 Dosage Modifications in Geriatric Patients
The starting doses of Remifentanil Hydrochloride for injection should be decreased by 50% in elderly patients (> 65 years). Remifentanil Hydrochloride for injection should then be cautiously titrated to effect [see Use in Specific Populations (8.5)].
2.7 Dosage Modifications in Pediatric Patients
See Table 2 for dosing recommendations for use of Remifentanil Hydrochloride for injection in pediatric patients from birth to 12 years of age for maintenance of anesthesia. [See Clinical Pharmacology: Specific Populations: Pediatric Population (12.3) and Dosage and Administration, Table 2 and Maintenance of Anesthesia (2.2).]
Remifentanil Hydrochloride for injection has not been studied in pediatric patients for use in the immediate postoperative period or for use as a component of monitored anesthesia care.
2.1 Important Dosage and Administration Instructions
Monitor patients closely for respiratory depression when initiating therapy and following dosage increases with Remifentanil Hydrochloride for injection and adjust the dosage accordingly [see Warnings and Precautions (5.2)].
Remifentanil Hydrochloride for injection is for IV use only. Continuous infusions of Remifentanil Hydrochloride for injection should be administered only by an infusion device. The injection site should be close to the venous cannula and all IV tubing should be cleared at the time of discontinuation of infusion.
Remifentanil Hydrochloride for injection should not be administered without dilution.
Consider an alternative to Remifentanil Hydrochloride for injection for patients taking mixed agonist/antagonist and partial agonist opioid analgesics due to reduced analgesic effect or potential withdrawal symptoms. If concomitant use is warranted, carefully observe the patient, particularly during treatment initiation and dose adjustment. Discontinue Remifentanil Hydrochloride for injection if patient is not responding appropriately to treatment.
Discard unused portion.
2.4 Analgesic Component of Monitored Anesthesia Care
It is strongly recommended that supplemental oxygen be supplied to the patient whenever Remifentanil Hydrochloride for injection is administered.
- Remifentanil Hydrochloride for injection has not been studied for use in children in monitored anesthesia care.
2.10 Dosage Modifications in Preanesthetic Medication
The need for premedication and the choice of anesthetic agents must be individualized. In clinical studies, patients who received Remifentanil Hydrochloride for injection frequently received a benzodiazepine premedication.
5.13 Risks of Use in Patients With Biliary Tract Disease
The remifentanil in Remifentanil Hydrochloride for injection may cause spasm of the sphincter of Oddi. Opioids may cause increases in serum amylase. Monitor patients with biliary tract disease, including acute pancreatitis, for worsening symptoms.
2.8 Dosage Modifications in Coronary Artery Bypass Surgery
Table 4 summarizes the recommended doses for induction, maintenance, and continuation as an analgesic into the ICU in adult patients, predominantly ASA physical status III or IV. To avoid hypotension during the induction phase, it is important to consider the concomitant medication regimens. [See Clinical Studies: Coronary Artery Bypass Surgery (14.5).]
|
Phase
|
Continuous IV Infusion of Remifentanil Hydrochloride for injection
(mcg/kg/min) |
Range of
Infusion Dose Remifentanil Hydrochloride for injection (mcg/kg/min) |
Supplemental IV Bolus Dose of Remifentanil Hydrochloride for injection
(mcg/kg) |
|
Induction of Anesthesia
(through intubation) |
1 |
||
|
Maintenance of Anesthesia
|
1 |
0.125 to 4 |
0.5 to 1 |
|
Continuation as an analgesic
into ICU |
1 |
0.05 to 1 |
5.5 Serotonin Syndrome With Concomitant Use of Serotonergic Drugs
Cases of serotonin syndrome, a potentially life-threatening condition, have been reported during concomitant use of Remifentanil Hydrochloride for injection with serotonergic drugs. Serotonergic drugs include selective serotonin reuptake inhibitors (SSRIs), serotonin and norepinephrine reuptake inhibitors (SNRIs), tricyclic antidepressants (TCAs), triptans, 5-HT3 receptor antagonists, drugs that affect the serotonergic neurotransmitter system (e.g., mirtazapine, trazodone, tramadol), certain muscle relaxants (i.e., cyclobenzaprine, metaxalone), and drugs that impair metabolism of serotonin (including MAO inhibitors, both those intended to treat psychiatric disorders and also others, such as linezolid and intravenous methylene blue) [see Drug Interactions (7) ]. This may occur within the recommended dosage range.
Serotonin syndrome symptoms may include mental status changes (e.g., agitation, hallucinations, coma), autonomic instability (e.g., tachycardia, labile blood pressure, hyperthermia), neuromuscular aberrations (e.g., hyperreflexia, incoordination, rigidity), and/or gastrointestinal symptoms (e.g., nausea, vomiting, diarrhea). The onset of symptoms generally occurs within several hours to a few days of concomitant use, but may occur later than that. Discontinue Remifentanil Hydrochloride for injection if serotonin syndrome is suspected.
5.14 Increased Risk of Seizures in Patients With Seizure Disorders
The remifentanil in Remifentanil Hydrochloride for injection may increase the frequency of seizures in patients with seizure disorders, and may increase the risk of seizures occurring in other clinical settings associated with seizures. Monitor patients with a history of seizure disorders for worsened seizure control during Remifentanil Hydrochloride for injection therapy.
5.8 Potential Inactivation By Nonspecific Esterases in Blood Products
Remifentanil Hydrochloride for injection should not be administered into the same IV tubing with blood due to potential inactivation by nonspecific esterases in blood products.
14.7 Continuation of Analgesic Use Into the Immediate Postoperative Period
Analgesia with Remifentanil Hydrochloride for injection in the immediate postoperative period (until approximately 30 minutes after extubation) was studied in 401 patients in four dose-finding studies and in 281 patients in two efficacy studies. In the dose-finding studies, the use of bolus doses of Remifentanil Hydrochloride for injection and incremental infusion rate increases ≥ 0.05 mcg/kg/min led to respiratory depression and muscle rigidity.
In two efficacy studies, Remifentanil Hydrochloride for injection0.1 mcg/kg/min was started immediately after discontinuing anesthesia. Incremental infusion rate increases of 0.025 mcg/kg/min every 5 minutes were given to treat moderate to severe postoperative pain. In Study 1, 50% decreases in infusion rate were made if respiratory rate decreased below 12 breaths/min and in Study 2, the same decreases were made if respiratory rate was below 8 breaths/min. With this difference in criteria for infusion rate decrease, the incidence of respiratory depression was lower in Study 1 (4%) than in Study 2 (12%). In both studies, Remifentanil Hydrochloride for injection provided effective analgesia (no or mild pain with respiratory rate ≥ 8 breaths/min) in approximately 60% of patients at mean final infusion rates of 0.1 to 0.125 mcg/kg/min.
Study 2 was a double-blind, randomized, controlled study in which patients received either morphine sulfate (0.15 mg/kg administered 20 minutes before the anticipated end of surgery plus 2 mg bolus doses for supplemental analgesia) or Remifentanil Hydrochloride for injection(as described above). Emergence from anesthesia was similar between groups; median time to extubation was 5 to 6 minutes for both. Remifentanil Hydrochloride for injection provided effective analgesia in 58% of patients compared to 33% of patients who received morphine. Respiratory depression occurred in 12% of patients receiving Remifentanil Hydrochloride for injection compared to 4% of morphine patients. For patients who received Remifentanil Hydrochloride for injection morphine sulfate (0.15 mg/kg) was administered in divided doses 5 and 10 minutes before discontinuing Remifentanil Hydrochloride for injection. Within 30 minutes after discontinuation of Remifentanil Hydrochloride for injection the percentage of patients with effective analgesia decreased to 34%.
14.1 Induction and Maintenance of General Anesthesia Inpatient/outpatient
The efficacy of Remifentanil Hydrochloride for injection was investigated in 1,562 patients in 15 randomized, controlled trials as the analgesic component for the induction and maintenance of general anesthesia. Eight of these studies compared Remifentanil Hydrochloride for injection to alfentanil and two studies compared Remifentanil Hydrochloride for injection to fentanyl. In these studies, doses of Remifentanil Hydrochloride for injection up to the ED90 were compared to recommended doses (approximately ED50) of alfentanil or fentanyl.
5.3 Risks From Use As Postoperative Analgesia With Concomitant Benzodiazepines Or Other Cns Depressants
When benzodiazepines or other CNS depressants are used with Remifentanil Hydrochloride for injection, pulmonary arterial pressure may be decreased. This fact should be considered by those who conduct diagnostic and surgical procedures where interpretation of pulmonary arterial pressure measurements might determine final management of the patient. When high dose or anesthetic dosages of Remifentanil Hydrochloride for injection are employed, even relatively small dosages of diazepam may cause cardiovascular depression.
When Remifentanil Hydrochloride for injection is used with CNS depressants, hypotension can occur. If it occurs, consider the possibility of hypovolemia and manage with appropriate parenteral fluid therapy. When operative conditions permit, consider repositioning the patient to improve venous return to the heart. Exercise care in moving and repositioning of patients because of the possibility of orthostatic hypotension. If volume expansion with fluids plus other countermeasures do not correct hypotension, consider administration of pressor agents other than epinephrine. Epinephrine may paradoxically decrease blood pressure in patients treated with a neuroleptic that blocks alpha adrenergic activity.
Hypotension, profound sedation, respiratory depression, coma, and death may result from the concomitant use of Remifentanil Hydrochloride for injection with benzodiazepines and/or other CNS depressants, including alcohol (e.g., non-benzodiazepine sedatives/hypnotics, anxiolytics, tranquilizers, muscle relaxants, general anesthetics, antipsychotics, other opioids). Patients should be advised to avoid alcohol for 24 hours after surgery [see Drug Interactions (7)].
Observational studies have demonstrated that concomitant use of opioid analgesics and benzodiazepines increases the risk of drug-related mortality compared to use of opioid analgesics alone. Because of similar pharmacological properties, it is reasonable to expect similar risk with the concomitant use of other CNS depressant drugs with opioid analgesics [see Drug Interactions (7)].
If the decision is made to manage postoperative pain with Remifentanil Hydrochloride for injection concomitantly with a benzodiazepine or other CNS depressant, start dosing with the lowest effective dosage and titrate based on clinical response. Monitor patients closely for signs and symptoms of respiratory depression, sedation, and hypotension. Fluids or other measures to counter hypotension should be available [see Drug Interactions (7)].
2.3 Continuation As An Analgesic Into the Immediate Postoperative Period Under the Direct Supervision of An Anesthesia Practitioner
Infusions of Remifentanil Hydrochloride for injection may be continued into the immediate postoperative period for select patients for whom later transition to longer acting analgesics may be desired.
- Remifentanil Hydrochloride for injection has not been studied in pediatric patients for use in the immediate postoperative period.
- The use of bolus injections of Remifentanil Hydrochloride for injection to treat pain during the postoperative period is not recommended.
- When used as an IV analgesic in the immediate postoperative period, Remifentanil Hydrochloride for injection should be initially administered by continuous infusion at a rate of 0.1 mcg/kg/min.
- The infusion rate may be adjusted every 5 minutes in 0.025 mcg/kg/min increments to balance the patient's level of analgesia and respiratory rate.
- Infusion rates greater than 0.2 mcg/kg/min are associated with respiratory depression (respiratory rate less than 8 breaths/min).
Due to the rapid offset of action of Remifentanil Hydrochloride for injection, no residual analgesic activity will be present within 5 to 10 minutes after discontinuation. For patients undergoing surgical procedures where postoperative pain is generally anticipated, alternative analgesics should be administered prior to discontinuation of Remifentanil Hydrochloride for injection. The choice of analgesic should be appropriate for the patient's surgical procedure and the level of follow-up care [see Clinical Studies (14)].
5.12 Risks of Use in Spontaneously Breathing Patients With Increased Intracranial Pressure, Brain Tumors, Head Injury, Or Impaired Consciousness
In patients who may be susceptible to the intracranial effects of CO2 retention (e.g., those with evidence of increased intracranial pressure or brain tumors), Remifentanil Hydrochloride for injection may reduce respiratory drive, and the resultant CO2 retention can further increase intracranial pressure in spontaneously breathing patients. Monitor such patients for signs of sedation and respiratory depression, particularly when initiating therapy with Remifentanil Hydrochloride for injection.
Opioids may also obscure the clinical course in a patient with a head injury.
Structured Label Content
Section 34073-7 (34073-7)
Drug Interactions
In animals the duration of muscle paralysis from succinylcholine is not prolonged by remifentanil.
Section 42229-5 (42229-5)
Induction of Anesthesia
Remifentanil Hydrochloride for injection should be administered at an infusion rate of 0.5 to 1 mcg/kg/min with a hypnotic or volatile agent for the induction of anesthesia. If endotracheal intubation is to occur less than 8 minutes after the start of the infusion of Remifentanil Hydrochloride for injection, then an initial dose of 1 mcg/kg may be administered over 30 to 60 seconds.
Remifentanil Hydrochloride for injection should not be used as a sole agent for induction of anesthesia because loss of consciousness cannot be assured and because of a high incidence of apnea, muscle rigidity, and tachycardia.
Section 43683-2 (43683-2)
Boxed Warning 01/2024
Warnings and Precautions (5.3, 5.4) 01/2024
9.2 Abuse
Remifentanil Hydrochloride for injection contains remifentanil, a substance with high potential for misuse and abuse, which can lead to the development of substance use disorder, including addiction [see Warnings and Precautions (5.1)].
Misuse is the intentional use, for therapeutic purposes, of a drug by an individual in a way other than prescribed by a healthcare provider or for whom it was not prescribed.
Abuse is the intentional, non-therapeutic use of a drug, even once, for its desirable psychological or physiological effects.
Drug addiction is a cluster of behavioral, cognitive, and physiological phenomena that may include a strong desire to take the drug, difficulties in controlling drug use (e.g., continuing drug use despite harmful consequences, giving a higher priority to drug use than other activities and obligations), and possible tolerance or physical dependence.
Misuse and abuse of Remifentanil Hydrochloride for injection increases risk of overdosage, which may lead to central nervous system and respiratory depression, hypotension, seizures, and death. The risk is increased with concurrent abuse of Remifentanil Hydrochloride for injection with alcohol and/or other CNS depressants. Abuse of and addiction to opioids in some individuals may not be accompanied by concurrent tolerance and symptoms of physical dependence. In addition, abuse of opioids can occur in the absence of addiction.
All patients treated with opioids require careful and frequent reevaluation for signs of misuse, abuse, and addiction, because use of opioid analgesic products carries the risk of addiction even under appropriate medical use. Patients at high risk of Remifentanil Hydrochloride for injection abuse include those with a history of prolonged use of any opioid, including products containing remifentanil, those with a history of drug or alcohol abuse, or those who use Remifentanil Hydrochloride for injection in combination with other abused drugs.
“Drug-seeking” behavior is very common in persons with substance use disorders. Drug-seeking tactics include emergency calls or visits near the end of office hours, refusal to undergo appropriate examination, testing, or referral, repeated “loss” of prescriptions, tampering with prescriptions, and reluctance to provide prior medical records or contact information for other treating healthcare provider(s). “Doctor shopping” (visiting multiple prescribers to obtain additional prescriptions) is common among people who abuse drugs and people with substance use disorder. Preoccupation with achieving adequate pain relief can be appropriate behavior in a patient with inadequate pain control.
Remifentanil Hydrochloride for injection, like other opioids, can be diverted for nonmedical use into illicit channels of distribution. Careful record-keeping of prescribing information, including quantity, frequency, and renewal requests, as required by state and federal law, is strongly advised.
Proper assessment of the patient, proper prescribing practices, periodic reevaluation of therapy, and proper dispensing and storage are appropriate measures that help to limit abuse of opioid drugs.
Risks Specific to Abuse of Remifentanil Hydrochloride for injection
Abuse of Remifentanil Hydrochloride for injection poses a risk of overdose and death. The risk is increased with concurrent use of Remifentanil Hydrochloride for injection with alcohol and/or other CNS depressants.
Parenteral drug abuse is commonly associated with transmission of infectious diseases such as hepatitis and HIV.
10 Overdosage (10 OVERDOSAGE)
Clinical Presentation
Acute overdose with Remifentanil Hydrochloride for injection can be manifested by respiratory depression, somnolence progressing to stupor or coma, skeletal muscle flaccidity, cold and clammy skin, constricted pupils, and, in some cases, pulmonary edema, bradycardia, hypotension, partial or complete airway obstruction, atypical snoring, and death. Marked mydriasis rather than miosis may be seen with hypoxia in overdose situations [see Clinical Pharmacology (12.2)].
Treatment of Overdose
In case of overdose, priorities are the reestablishment of a patent and protected airway and institution of assisted or controlled ventilation, if needed. Employ other supportive measures (including oxygen and vasopressors) in the management of circulatory shock and pulmonary edema as indicated. Cardiac arrest or arrhythmias will require advanced life-support measures.
The opioid antagonists, naloxone or nalmefene, are specific antidotes to respiratory depression resulting from opioid overdose. For clinically significant respiratory or circulatory depression secondary to remifentanil overdose, stop the infusion or administer an opioid antagonist. Opioid antagonists should not be administered in the absence of clinically significant respiratory or circulatory depression secondary to remifentanil overdose.
In an individual physically dependent on opioids, administration of the recommended usual dosage of the antagonist will precipitate an acute withdrawal syndrome. The severity of the withdrawal symptoms experienced will depend on the degree of physical dependence and the dose of the antagonist administered. If a decision is made to treat serious respiratory depression in the physically dependent patient, administration of the antagonist should be begun with care and by titration with smaller than usual doses of the antagonist.
14.2 Recovery
In 2,169 patients receiving Remifentanil Hydrochloride for injection for periods up to 16 hours, recovery from anesthesia was rapid, predictable, and independent of the duration of the infusion of Remifentanil Hydrochloride for injection. In the seven controlled, general surgery studies, extubation occurred in a median of 5 minutes (range: -3 to 17 minutes in 95% of patients) in outpatient anesthesia and 10 minutes (range: 0 to 32 minutes in 95% of patients) in inpatient anesthesia. Recovery in studies using nitrous oxide or propofol was faster than in those using isoflurane as the concurrent anesthetic. There was no case of remifentanil-induced delayed respiratory depression occurring more than 30 minutes after discontinuation of remifentanil [see Warnings and Precautions (5.15)].
In a double-blind, randomized study, administration of morphine sulfate (0.15 mg/kg) intravenously 20 minutes before the anticipated end of surgery to 98 patients did not delay recovery of respiratory drive in patients undergoing major surgery with remifentanil-propofol total IV anesthesia.
11 Description (11 DESCRIPTION)
Remifentanil Hydrochloride for injection is an opioid agonist. The chemical name is 3-[4-methoxycarbonyl-4-[(1-oxopropyl)phenylamino]-1-piperidine]propanoic acid methyl ester, hydrochloride salt. The molecular weight is 412.91. Its molecular formula is C20H28N2O5 •HCl, and it has the following chemical structure.
Remifentanil Hydrochloride for injection is a sterile, nonpyrogenic, preservative-free, white to off-white lyophilized powder for intravenous (IV) administration after reconstitution and dilution. Each vial contains 1 mg of remifentanil base and 3 mg of glycine, 2 mg of remifentanil base and 6 mg of glycine or 5 mg of remifentanil base and 15 mg of glycine; and hydrochloric acid to buffer the solutions to a nominal pH of 3 after reconstitution. When reconstituted as directed, solutions of Remifentanil Hydrochloride for injection are clear and colorless and contain remifentanil hydrochloride (HCl) equivalent to 1 mg/mL of remifentanil base. The pH of reconstituted solutions of Remifentanil Hydrochloride for injection ranges from 2.5 to 3.5. Remifentanil hydrochloride has a pKa of 7.07. Remifentanil hydrochloride has an n-octanol: water partition coefficient of 17.9 at pH 7.3.
9.3 Dependence
Both tolerance and physical dependence can develop during use of opioid therapy. Tolerance is a physiological state characterized by a reduced response to a drug after repeated administration (i.e., a higher dose of a drug is required to produce the same effect that was once obtained at a lower dose). Physical dependence is a state that develops as a result of a physiological adaptation in response to repeated drug use, manifested by withdrawal signs and symptoms after abrupt discontinuation or a significant dosage reduction of a drug.
Withdrawal may be precipitated through the administration of drugs with opioid antagonist activity (e.g., naloxone), mixed agonist/antagonist analgesics (e.g., pentazocine, butorphanol, nalbuphine), or partial agonists (e.g., buprenorphine). Physical dependence may not occur to a clinically significant degree until after several days to weeks of continued use.
Remifentanil Hydrochloride for injection should not be abruptly discontinued in a physically-dependent patient [see Dosage and Administration (2)]. If Remifentanil Hydrochloride for injection is abruptly discontinued in a physically-dependent patient, a withdrawal syndrome may occur, typically characterized by restlessness, lacrimation, rhinorrhea, perspiration, chills, myalgia, and mydriasis. Other signs and symptoms also may develop, including irritability, anxiety, backache, joint pain, weakness, abdominal cramps, insomnia, nausea, anorexia, vomiting, diarrhea, or increased blood pressure, respiratory rate, or heart rate.
Infants born to mothers physically dependent on opioids will also be physically dependent and may exhibit respiratory difficulties and withdrawal signs [see Use in Specific Populations (8.1)].
5.9 Bradycardia
Bradycardia has been reported with Remifentanil Hydrochloride for injection and is responsive to ephedrine or anticholinergic drugs, such as atropine and glycopyrrolate.
5.10 Hypotension
Hypotension has been reported with Remifentanil Hydrochloride for injection and is responsive to decreases in the administration of Remifentanil Hydrochloride for injection or to IV fluids or catecholamine (ephedrine, epinephrine, norepinephrine, etc.) administration.
14.6 Neurosurgery
Remifentanil Hydrochloride for injection was administered to 61 patients undergoing craniotomy for removal of a supratentorial mass lesion. In these studies, ventilation was controlled to maintain a predicted PaCO2 of approximately 28 mmHg. In one study (n = 30) with Remifentanil Hydrochloride for injection and 66% nitrous oxide, the median time to extubation and to patient response to verbal commands was 5 minutes (range -1 to 19 minutes). Intracranial pressure and cerebrovascular responsiveness to carbon dioxide were normal [see Clinical Pharmacology (12.2)].
A randomized, controlled study compared Remifentanil Hydrochloride for injection (n = 31) to fentanyl (n = 32). Remifentanil Hydrochloride for injection (1 mcg/kg/min) and fentanyl (2 mcg/kg/min) were administered after induction with thiopental and pancuronium. A similar number of patients (6%) receiving Remifentanil Hydrochloride for injection and fentanyl had hypotension during induction. Anesthesia was maintained with nitrous oxide and Remifentanil Hydrochloride for injection at a mean infusion rate of 0.23 mcg/kg/min (range 0.1 to 0.4) compared with a fentanyl mean infusion rate of 0.04 mcg/kg/min (range 0.02 to 0.07). Supplemental isoflurane was administered as needed. The patients receiving Remifentanil Hydrochloride for injection required a lower mean isoflurane dose (0.07 MAC-hours) compared with 0.64 MAC-hours for the fentanyl patients (P = 0.04). Remifentanil Hydrochloride for injection was discontinued at the end of anesthesia, whereas fentanyl was discontinued at the time of bone flap replacement (a median time of 44 minutes before the end of surgery). Median time to extubation was similar (5 and 3.5 minutes, respectively, with Remifentanil Hydrochloride for injection and fentanyl). None of the patients receiving Remifentanil Hydrochloride for injection required naloxone compared to seven of the fentanyl patients (P = 0.01). Eighty-one percent (81%) of patients receiving Remifentanil Hydrochloride for injection recovered (awake, alert, and oriented) within 30 minutes after surgery compared with 59% of fentanyl patients (P = 0.06). At 45 minutes, recovery rates were similar (81% and 69% respectively for Remifentanil Hydrochloride for injection and fentanyl, P = 0.27). Patients receiving Remifentanil Hydrochloride for injection required an analgesic for headache sooner than fentanyl patients (median of 35 minutes compared with 136 minutes, respectively [P = 0.04]). No adverse cerebrovascular effects were seen in this study [see Clinical Pharmacology (12.2)].
8.4 Pediatric Use
The efficacy and safety of Remifentanil Hydrochloride for injection as an analgesic agent for use in the maintenance of general anesthesia in outpatient and inpatient pediatric surgery have been established in controlled clinical studies in pediatric patients from birth to 12 years [see Clinical Studies (14.4)].
The initial maintenance infusion regimen of Remifentanil Hydrochloride for injection evaluated in pediatric patients from birth to 2 months of age was 0.4 mcg/kg/min, the approved adult regimen for use with N2O. The clearance rate observed in neonates was highly variable and on average was 2 times higher than in the young healthy adult population. Therefore, while a starting infusion rate of 0.4 mcg/kg/min may be appropriate for some neonates, an increased infusion rate may be necessary to maintain adequate surgical anesthesia, and additional bolus doses may be required. The individual dose for each patient should be carefully titrated. [See Clinical Pharmacology: Specific Populations: Pediatric Population (12.3) and Dosage and Administration, Table 2 and Maintenance of Anesthesia (2.2).]
Remifentanil Hydrochloride for injection has not been studied in pediatric patients for use as a postoperative analgesic or as an analgesic component of monitored anesthesia care.
8.5 Geriatric Use
Respiratory depression is the chief risk for elderly patients treated with opioids and has occurred after large initial doses were administered to patients who were not opioid-tolerant or when opioids were co-administered with other agents that depress respiration. Titrate the dosage of Remifentanil Hydrochloride for injection slowly in geriatric patients and frequently reevaluate the patient for signs of central nervous system and respiratory depression [see Warnings and Precautions (5.2)].
Of the total number of subjects in clinical studies of Remifentanil Hydrochloride for injection, 486 were 65 and over (age range 66 to 90 years). While the effective biological half-life of remifentanil is unchanged, elderly patients have been shown to be twice as sensitive as the younger population to the pharmacodynamic effects of remifentanil. The recommended starting dose of Remifentanil Hydrochloride for injection should be decreased by 50% in patients over 65 years of age [see Clinical Pharmacology (12.3) and Dosage and Administration (2.2)]. Titrate the dosage of Remifentanil Hydrochloride for injection slowly in geriatric patients. [See Warnings and Precautions (5.5).]
The clearance of remifentanil is reduced (approximately 25%) in the elderly (> 65 years of age) compared to young adults (average 25 years of age). However, remifentanil blood concentrations fall as rapidly after termination of administration in the elderly as in young adults.
This drug is known to be substantially excreted by the kidney, and the risk of adverse reactions to this drug may be greater in patients with impaired renal function. Because elderly patients are more likely to have decreased renal function, care should be taken in dose selection, and it may be useful to monitor renal function.
5.6 Administration
Continuous infusions of Remifentanil Hydrochloride for injection should be administered only by an infusion device. IV bolus administration of Remifentanil Hydrochloride for injection should be used only during the maintenance of general anesthesia. In nonintubated patients, single doses of Remifentanil Hydrochloride for injection should be administered over 30 to 60 seconds.
Interruption of an infusion of Remifentanil Hydrochloride for injection will result in rapid offset of effect. Rapid clearance and lack of drug accumulation result in rapid dissipation of respiratory depressant and analgesic effects upon discontinuation of Remifentanil Hydrochloride for injection at recommended doses. Discontinuation of an infusion of Remifentanil Hydrochloride for injection should be preceded by the establishment of adequate postoperative analgesia.
Injections of Remifentanil Hydrochloride for injection should be made into IV tubing at or close to the venous cannula. Upon discontinuation of Remifentanil Hydrochloride for injection, the IV tubing should be cleared to prevent the inadvertent administration of Remifentanil Hydrochloride for injection at a later point in time. Failure to adequately clear the IV tubing to remove residual Remifentanil Hydrochloride for injection has been associated with the appearance of respiratory depression, apnea, and muscle rigidity upon the administration of additional fluids or medications through the same IV tubing.
14 Clinical Studies (14 CLINICAL STUDIES)
Remifentanil Hydrochloride for injection was evaluated in 3,341 patients undergoing general anesthesia (n = 2,706) and monitored anesthesia care (n = 639). These patients were evaluated in the following settings: inpatient (n = 2,079) which included cardiovascular (n = 426), and neurosurgical (n = 61), and outpatient (n = 1,349). Four-hundred and eighty-six (486) elderly patients (age range 66 to 90 years) and 410 pediatric patients (age range birth to 12 years) received Remifentanil Hydrochloride for injection. Of the general anesthesia patients, 682 also received Remifentanil Hydrochloride for injection as an IV analgesic agent during the immediate postoperative period.
2.5 Discontinuation
Upon discontinuation of Remifentanil Hydrochloride for injection, the IV tubing should be cleared to prevent the inadvertent administration of Remifentanil Hydrochloride for injection at a later time.
For patients undergoing surgical procedures where postoperative pain is generally anticipated, alternative analgesics should be administered prior to discontinuation of Remifentanil Hydrochloride for injection. The choice of analgesic should be appropriate for the patient's surgical procedure and the level of follow-up care [see Clinical Studies (14)].
4 Contraindications (4 CONTRAINDICATIONS)
Remifentanil Hydrochloride for injection is contraindicated:
- For epidural or intrathecal administration due to the presence of glycine in the formulation [see Nonclinical Toxicology (13)] .
- In patients with hypersensitivity to remifentanil (e.g., anaphylaxis) [see Adverse Reactions (6.2)] .
6 Adverse Reactions (6 ADVERSE REACTIONS)
The following serious adverse reactions are described, or described in greater detail, in other sections:
- Addiction, Abuse, and Misuse [see Warnings and Precautions (5.1)]
- Respiratory Depression in Spontaneously Breathing Patients [see Warnings and Precautions (5.2)]
- Interactions with Benzodiazepines or other CNS Depressants [see Warnings and Precautions (5.3)]
- Opioid-Induced Hyperalgesia and Allodynia [see Warnings and Precautions (5.4)]
- Serotonin Syndrome [see Warnings and Precautions (5.5)]
- Skeletal Muscle Rigidity [see Warnings and Precautions (5.7)]
- Bradycardia [see Warnings and Precautions (5.9)]
- Hypotension [see Warnings and Precautions (5.10)]
- Biliary Tract Disease [see Warnings and Precautions (5.13)]
- Seizures [see Warnings and Precautions (5.14)]
7 Drug Interactions (7 DRUG INTERACTIONS)
Table 18 includes clinically significant drug interactions with remifentanil Hydrochloride for injection.
|
Benzodiazepines and other Central Nervous System (CNS) Depressants
|
|
|
Clinical Impact:
|
Due to additive pharmacologic effect, the concomitant use of benzodiazepines or other CNS depressants including alcohol, increases the risk of hypotension, respiratory depression, profound sedation, coma, and death. |
|
Intervention:
|
Limit dosages and durations to the minimum required. Follow patients closely for signs of respiratory depression and sedation. Patients should be advised to avoid alcohol for 24 hours after surgery [see Warnings and Precautions (5.3)] . |
|
Examples:
|
Benzodiazepines and other sedatives/hypnotics, anxiolytics, tranquilizers, muscle relaxants, general anesthetics, antipsychotics, other opioids, alcohol. |
|
Serotonergic Drugs
|
|
|
Clinical Impact:
|
The concomitant use of opioids with other drugs that affect the serotonergic neurotransmitter system has resulted in serotonin syndrome [see Warnings and Precautions (5.5)] . |
|
Intervention:
|
If concomitant use is warranted, carefully observe the patient, particularly during treatment initiation and dose adjustment. Discontinue Remifentanil Hydrochloride for injection if serotonin syndrome is suspected. |
|
Examples:
|
Selective serotonin reuptake inhibitors (SSRIs), serotonin and norepinephrine reuptake inhibitors (SNRIs), tricyclic antidepressants (TCAs), triptans, 5-HT3 receptor antagonists, drugs that effect the serotonin neurotransmitter system (e.g., mirtazapine, trazodone, tramadol), certain muscle relaxants (i.e., cyclobenzaprine, metaxalone), monoamine oxidase (MAO) inhibitors (those intended to treat psychiatric disorders and also others, such as linezolid and intravenous methylene blue). |
|
Monoamine Oxidase Inhibitors (MAOIs)
|
|
|
Clinical Impact:
|
MAOI interactions with opioids may manifest as serotonin syndrome [see Warnings and Precautions (5.5)] or opioid toxicity (e.g., respiratory depression, coma) [see Warnings and Precautions (5.2)].
If urgent use of Remifentanil Hydrochloride for injection is necessary, use test doses and frequent titration of small doses while closely monitoring blood pressure and signs and symptoms of CNS and respiratory depression. |
|
Intervention:
|
The use of Remifentanil Hydrochloride for injection is not recommended for patients taking MAOIs or within 14 days of stopping such treatment. |
|
Mixed Agonist/Antagonist and Partial Agonist Opioid Analgesics
|
|
|
Clinical Impact:
|
May reduce the analgesic effect of Remifentanil Hydrochloride for injection and/or precipitate withdrawal symptoms. |
|
Intervention:
|
If concomitant use is warranted, carefully observe the patient, particularly during treatment initiation and dose adjustment. Consider discontinuing Remifentanil Hydrochloride for injection if patient is not responding appropriately to treatment and institute alternative analgesic treatment. |
|
Examples:
|
butorphanol, nalbuphine, pentazocine, buprenorphine |
12.2 Pharmacodynamics
The analgesic effects of Remifentanil Hydrochloride for injection are rapid in onset and offset. Its effects and side effects are dose dependent and similar to other μ-opioids. Remifentanil Hydrochloride for injection in humans has a rapid blood-brain equilibration halftime of 1 ± 1 minutes (mean ± SD) and a rapid onset of action. The pharmacodynamic effects of Remifentanil Hydrochloride for injection closely follow the measured blood concentrations, allowing direct correlation between dose, blood levels, and response. Blood concentration decreases 50% in 3 to 6 minutes after a 1-minute infusion or after prolonged continuous infusion due to rapid distribution and elimination processes and is independent of duration of drug administration. Recovery from the effects of Remifentanil Hydrochloride for injection occurs rapidly (within 5 to 10 minutes). New steady-state concentrations occur within 5 to 10 minutes after changes in infusion rate. When used as a component of an anesthetic technique, Remifentanil Hydrochloride for injection can be rapidly titrated to the desired depth of anesthesia/analgesia (e.g., as required by varying levels of intraoperative stress) by changing the continuous infusion rate or by administering an IV bolus injection.
12.3 Pharmacokinetics
After IV doses administered over 60 seconds, the pharmacokinetics of remifentanil fit a three compartment model with a rapid distribution half-life of one minute, a slower distribution half-life of 6 minutes, and a terminal elimination half-life of 10 to 20 minutes. Since the terminal elimination component contributes less than 10% of the overall area under the concentration versus time curve (AUC), the effective biological half-life of Remifentanil Hydrochloride for injection is 3 to 10 minutes. This is similar to the 3- to 10- minute half-life measured after termination of prolonged infusions (up to 4 hours; see Figure 2) and correlates with recovery times observed in the clinical setting after infusions up to 12 hours.
Concentrations of remifentanil are proportional to the dose administered throughout the recommended dose range. The pharmacokinetics of remifentanil are unaffected by the presence of renal or hepatic impairment.
2.2 General Anesthesia
Remifentanil Hydrochloride for injection is not recommended as the sole agent in general anesthesia because loss of consciousness cannot be assured and because of a high incidence of apnea, muscle rigidity, and tachycardia. Remifentanil Hydrochloride for injection is synergistic with other anesthetics; therefore, clinicians may need to reduce doses of thiopental, propofol, isoflurane, and midazolam by up to 75% with the coadministration of Remifentanil Hydrochloride for injection. The administration of Remifentanil Hydrochloride for injection must be individualized based on the patient's response.
1 Indications and Usage (1 INDICATIONS AND USAGE)
Remifentanil Hydrochloride for injection is indicated for intravenous (IV) administration:
- As an analgesic agent for use during the induction and maintenance of general anesthesia for inpatient and outpatient procedures.
- For continuation as an analgesic into the immediate postoperative period in adult patients under the direct supervision of an anesthesia practitioner in a postoperative anesthesia care unit or intensive care setting.
- As an analgesic component of monitored anesthesia care in adult patients.
12.1 Mechanism of Action
Remifentanil Hydrochloride for injection is a μ-opioid agonist with rapid onset and peak effect, and short duration of action. The μ- opioid activity of Remifentanil Hydrochloride for injection is antagonized by opioid antagonists such as naloxone.
Unlike other opioids, Remifentanil Hydrochloride for injection is rapidly metabolized by hydrolysis of the propanoic acid-methyl ester linkage by nonspecific blood and tissue esterases. Remifentanil Hydrochloride for injection is not a substrate for plasma cholinesterase (pseudocholinesterase) and, therefore, patients with atypical cholinesterase are expected to have a normal duration of action.
9.1 Controlled Substance
Remifentanil Hydrochloride for injection contains remifentanil, a Schedule II controlled substance.
14.4 Pediatric Anesthesia
Remifentanil Hydrochloride for injection has been evaluated for maintenance of general anesthesia in 410 pediatric patients from birth to 12 years undergoing inpatient and outpatient procedures. Four clinical studies have been performed.
Study 1, an open-label, randomized, controlled clinical trial (n = 129), compared Remifentanil Hydrochloride for injection (n = 68) with alfentanil (n = 19), isoflurane (n = 22), or propofol (n = 20) in children 2 to 12 years of age undergoing strabismus surgery. After induction of anesthesia which included the administration of atropine, Remifentanil Hydrochloride for injection was administered as an initial infusion of 1 mcg/kg/min with 70% nitrous oxide. The infusion rate required during maintenance of anesthesia was 0.73 to 1.95 mcg/kg/min. Time to extubation and to purposeful movement was a median of 10 minutes (range 1 to 24 minutes).
Study 2, a double-blind, randomized, controlled trial (n = 222), compared Remifentanil Hydrochloride for injection (n = 119) to fentanyl (n = 103) in children 2 to 12 years of age undergoing tonsillectomy with or without adenoidectomy. After induction of anesthesia, patients received a 0.25 mcg/kg/min infusion of Remifentanil Hydrochloride for injection or fentanyl by IV bolus with nitrous oxide/oxygen (2:1) and either halothane or sevoflurane for maintenance of anesthesia. The mean infusion rate required during maintenance of anesthesia was 0.3 mcg/kg/min (range 0.2 to 1.3 mcg/kg/min). The continuous infusion rate was decreased to 0.05 mcg/kg/min approximately 10 minutes prior to the end of surgery. Time to spontaneous purposeful movement was a median of 8 minutes (range 1 to 19 minutes). Time to extubation was a median of 9 minutes (range 2 to 19 minutes).
Study 3, an open-label, randomized, controlled trial (n = 271), compared Remifentanil Hydrochloride for injection(n = 185) with a regional anesthetic technique (n = 86) in children 1 to 12 years of age undergoing major abdominal, urological, or orthopedic surgery. Patients received a 0.25 mcg/kg/min infusion of Remifentanil Hydrochloride for injection following a 1.0 mcg/kg bolus or bupivacaine by epidural infusion, along with isoflurane and nitrous oxide after the induction of anesthesia. The mean infusion rate required during maintenance of anesthesia was 0.25 mcg/kg/min (range 0 to 0.75 mcg/kg/min). Both treatments were effective in attenuating responses to skin incision during surgery. The hemodynamic profile of the Remifentanil Hydrochloride for injection group was consistent with an opioid-based general anesthetic technique. Time to spontaneous purposeful movement was a median of 15 minutes (range, 2 to 75 minutes) in the remifentanil group. Time to extubation was a median of 13 minutes (range, 4 to 31 minutes) in the remifentanil group.
Study 4, an open-label, randomized, controlled trial (n = 60), compared Remifentanil Hydrochloride for injection(n = 38) with halothane (n = 22) in ASA 1 or 2, full term neonates and infants ≤ 8 weeks of age weighing at least 2500 grams who were undergoing pyloromyotomy. After induction of anesthesia, which included the administration of atropine, patients received 0.4 mcg/kg/min of Remifentanil Hydrochloride for injection or 0.4% halothane with 70% nitrous oxide for initial maintenance of anesthesia and then both agents were adjusted according to clinical response. Bolus doses of 1 mcg/kg administered over 30 to 60 seconds were used to treat brief episodes of hypertension and tachycardia, and infusion rates were increased by 50% to treat sustained hypertension and tachycardia. The range of infusion rates of Remifentanil Hydrochloride for injection required during maintenance of anesthesia was 0.4 to 1 mcg/kg/min.
Seventy-one percent (71%) of Remifentanil Hydrochloride for injection patients required supplementary boluses or rate increases from the starting dose of 0.4 mcg/kg/min to treat hypertension, tachycardia, movement or somatic signs of light anesthesia. Twenty-four percent of the patients required an increase from the initial rate of 0.4 mcg/kg/min prior to incision and 26% of patients required an infusion rate between 0.8 and 1.0 mcg/kg/min, most often during gastric manipulation. The continuous infusion rate was decreased to 0.05 mcg/kg/min approximately 10 minutes before the end of surgery.
In the Remifentanil Hydrochloride for injection group, median time from discontinuation of anesthesia to spontaneous purposeful movement was 6.5 minutes (range, 1 to 13 minutes) and median time to extubation was 8.5 minutes (range, 1 to 14 minutes).
The initial maintenance infusion regimen of Remifentanil Hydrochloride for injection evaluated in pediatric patients from birth to 2 months of age was 0.4 mcg/kg/min, the approved adult regimen for use with N2O. The clearance rate observed in the neonatal population was highly variable and on average was two times higher than in the young healthy adult population. [See Clinical Pharmacology: Specific Populations: Pediatric Population (12.3) and Dosage and Administration, Table 2 (2.2).]
No pediatric patients receiving Remifentanil Hydrochloride for injection required naloxone during the immediate postoperative recovery period.
5 Warnings and Precautions (5 WARNINGS AND PRECAUTIONS)
- Life-Threatening Respiratory Depression: Monitor closely, particularly during initiation and titration. (5.2)
- Risks from Use as Postoperative Analgesia with Concomitant Benzodiazepines or other CNS Depressants: Hypotension, profound sedation, respiratory depression, coma, and death may result from the concomitant use of Remifentanil Hydrochloride for injection with benzodiazepines or other CNS depressants (5.3)
- Opioid-Induced Hyperalgesia and Allodynia: Opioid-Induced Hyperalgesia (OIH) occurs when an opioid analgesic paradoxically causes an increase in pain, or an increase in sensitivity to pain. If OIH is suspected, carefully consider appropriately decreasing the dose of the current opioid analgesic or opioid rotation. (5.4)
- Serotonin Syndrome: Potentially life-threatening condition could result from concomitant serotonergic drug administration. Discontinue Remifentanil Hydrochloride for injection if serotonin syndrome is suspected. (5.5)
- Administration: Continuous infusions of Remifentanil Hydrochloride for injection should be administered only by an infusion device. (5.6)
- Skeletal Muscle Rigidity: is related to the dose and speed of administration. Muscle rigidity induced by Remifentanil Hydrochloride for injection should be managed in the context of the patient's clinical condition. (5.7)
- Potential Inactivation by Nonspecific Esterases in Blood Products: Remifentanil Hydrochloride for injection should not be administered into the same IV tubing with blood due to potential inactivation by nonspecific esterases in blood products. (5.8)
- Bradycardia: Monitor heart rate during dosage initiation and titration. It is responsive to ephedrine or anticholinergic drugs (5.9)
- Hypotension: Monitor blood pressure during dosage initiation and titration. It is responsive to decreases in the administration of Remifentanil Hydrochloride for injection or to IV fluids or catecholamine administration (5.10)
- Intraoperative Awareness: Inoperative awareness has been reported in patients under 55 years of age when Remifentanil Hydrochloride for injection has been administered with propofol infusion rates of ≤ 75 mcg/kg/min (5.11)
- Risks of Use in Spontaneously Breathing Patients with Increased Intracranial Pressure, Brain Tumors, Head Injury, or Impaired Consciousness: Monitor for sedation and respiratory depression. (5.12)
- Risks of Use in Patients with Biliary Tract Disease: Monitor patients with biliary tract disease, including acute pancreatitis, for worsening symptoms. (5.13)
- Increased Risk of Seizures in Patients with Seizure Disorders: Monitor patients with a history of seizure disorders for worsened seizure control during Remifentanil Hydrochloride for injection therapy. (5.14)
- Rapid Offset of Action: Standard monitoring should be maintained in the postoperative period to ensure adequate recovery without stimulation. (5.15)
2 Dosage and Administration (2 DOSAGE AND ADMINISTRATION)
- Monitor patients closely for respiratory depression when initiating therapy and following dosage increases and adjust the dosage accordingly. (2.1)
- Initial Dosage in Adults : See full prescribing information for recommended doses in adult patients. (2.2,2.3)
- Initial Dosage in Pediatric Patients : See full prescribing information for recommended doses in pediatric patients. (2.2)
- Geriatric Patients : The starting doses should be decreased by 50% in elderly patients (> 65 years). (2.6)
5.15 Rapid Offset of Action
Analgesic activity will subside within 5 to 10 minutes after discontinuation of administration of Remifentanil Hydrochloride for injection. However, respiratory depression may continue in some patients for up to 30 minutes after termination of infusion due to residual effects of concomitant anesthetics. Standard monitoring should be maintained in the postoperative period to ensure adequate recovery without stimulation. For patients undergoing surgical procedures where postoperative pain is generally anticipated, other analgesics should be administered prior to the discontinuation of Remifentanil Hydrochloride for injection.
3 Dosage Forms and Strengths (3 DOSAGE FORMS AND STRENGTHS)
For injection: 1 mg, 2 mg, and 5 mg:
| 3 mL Vial |
1 mg lyophilized powder |
| 5 mL Vial |
2 mg lyophilized powder |
| 10 mL Vial |
5 mg lyophilized powder |
5.7 Skeletal Muscle Rigidity
Skeletal muscle rigidity can be caused by Remifentanil Hydrochloride for injection and is related to the dose and speed of administration. Remifentanil Hydrochloride for injection may cause chest wall rigidity (inability to ventilate) after single doses of > 1 mcg/kg administered over 30 to 60 seconds, or after infusion rates > 0.1 mcg/kg/min. Single doses < 1 mcg/kg may cause chest wall rigidity when given concurrently with a continuous infusion of Remifentanil Hydrochloride for injection.
Muscle rigidity induced by Remifentanil Hydrochloride for injection should be managed in the context of the patient's clinical condition. Muscle rigidity occurring during the induction of anesthesia should be treated by the administration of a neuromuscular blocking agent and the concurrent induction medications and can be treated by decreasing the rate or discontinuing the infusion of Remifentanil Hydrochloride for injection or by administering a neuromuscular blocking agent. The neuromuscular blocking agents used should be compatible with the patient's cardiovascular status.
Muscle rigidity seen during the use of Remifentanil Hydrochloride for injection in spontaneously breathing patients may be treated by stopping or decreasing the rate of administration of Remifentanil Hydrochloride for injection. Resolution of muscle rigidity after discontinuing the infusion of Remifentanil Hydrochloride for injection occurs within minutes. In the case of life-threatening muscle rigidity, a rapid onset neuromuscular blocker or naloxone may be administered.
6.2 Postmarketing Experience
The following adverse reactions have been identified during post approval use of remifentanil. Because these reactions are reported voluntarily from a population of uncertain size, it is not always possible to reliably estimate their frequency or establish a causal relationship to drug exposure.
Cardiovascular: Asystole
Serotonin syndrome: Cases of serotonin syndrome, a potentially life-threatening condition, have been reported during concomitant use of opioids with serotonergic drugs.
Anaphylaxis: Anaphylaxis has been reported with ingredients contained in Remifentanil Hydrochloride for injection.
Hyperalgesia and Allodynia: Cases of hyperalgesia and allodynia have been reported with opioid therapy of any duration [see Warnings and Precautions (5.4)].
Hypoglycemia: Cases of hypoglycemia have been reported in patients taking opioids. Most reports were in patients with at least one predisposing risk factor (e.g., diabetes).
8.7 Long Term Use in the Icu (8.7 Long-Term Use in the ICU)
No data are available on the long-term (longer than 16 hours) use of Remifentanil Hydrochloride for injection as an analgesic in ICU patients.
5.11 Intraoperative Awareness
Intraoperative awareness has been reported in patients under 55 years of age when Remifentanil Hydrochloride for injection has been administered with propofol infusion rates of ≤ 75 mcg/kg/min.
8 Use in Specific Populations (8 USE IN SPECIFIC POPULATIONS)
- Pregnancy: May cause fetal harm. (8.1)
- Labor or Delivery: Respiratory depression and other opioid effects may occur in newborns whose mothers are given Remifentanil Hydrochloride for injection, shortly before delivery. (8.1)
- Lactation: Infants exposed to Remifentanil Hydrochloride for injection through breast milk should be monitored for excess sedation and respiratory depression. (8.2)
- Pediatric Use: Remifentanil Hydrochloride for injection has not been studied in pediatric patients for use as a postoperative analgesic or as an analgesic component of monitored anesthesia care. (8.4)
14.8 Monitored Anesthesia Care
Remifentanil Hydrochloride for injection has been studied in the monitored anesthesia care setting in 609 patients in eight clinical studies. Nearly all patients received supplemental oxygen in these studies. Two early dose-finding studies demonstrated that use of sedation as an endpoint for titration of Remifentanil Hydrochloride for injection led to a high incidence of muscle rigidity (69%) and respiratory depression. Subsequent trials titrated Remifentanil Hydrochloride for injection to specific clinical endpoints of patient comfort, analgesia, and adequate respiration (respiratory rate > 8 breaths/min) with a corresponding lower incidence of muscle rigidity (3%) and respiratory depression. With doses of midazolam > 2 mg (4 to 8 mg), the dose of Remifentanil Hydrochloride for injection could be decreased by 50%, but the incidence of respiratory depression rose to 32%.
The efficacy of a single dose of Remifentanil Hydrochloride for injection (1.0 mcg/kg over 30 seconds) was compared to alfentanil (7 mcg/kg over 30 seconds) in patients undergoing ophthalmic surgery. More patients receiving Remifentanil Hydrochloride for injection were pain free at the time of the nerve block (77% versus 44%, P = 0.02) and more experienced nausea (12% versus 4%) than those receiving alfentanil.
In a randomized, controlled study (n = 118), Remifentanil Hydrochloride for injection 0.5 mcg/kg over 30 to 60 seconds followed by a continuous infusion of 0.1 mcg/kg/min, was compared to a propofol bolus (500 mcg/kg) followed by a continuous infusion (50 mcg/kg/min) in patients who received a local or regional anesthetic nerve block 5 minutes later. The incidence of moderate or severe pain during placement of the block was similar between groups (2% with Remifentanil Hydrochloride for injection and 8% with propofol, P = 0.2) and more patients receiving Remifentanil Hydrochloride for injection experienced nausea (26% versus 2%, P < 0.001). The final mean infusion rate of Remifentanil Hydrochloride for injection was 0.08 mcg/kg/min.
In a randomized, double-blind study, Remifentanil Hydrochloride for injection with or without midazolam was evaluated in 159 patients undergoing superficial surgical procedures under local anesthesia. Remifentanil Hydrochloride for injection was administered without midazolam as a 1 mcg/kg dose over 30 seconds followed by a continuous infusion of 0.1 mcg/kg/min. In the group of patients that received midazolam, Remifentanil Hydrochloride for injection was administered as a 0.5 mcg/kg dose over 30 seconds followed by a continuous infusion of 0.05 mcg/kg/min and midazolam 2 mg was administered 5 minutes later. The occurrence of moderate or severe pain during the local anesthetic injection was similar between groups (16% and 20%). Other effects for Remifentanil Hydrochloride for injection alone and Remifentanil Hydrochloride for injection /midazolam were: respiratory depression with oxygen desaturation (SPO2 < 90%), 5% and 2%; nausea, 8% and 2%; and pruritus, 23% and 12%. Titration of Remifentanil Hydrochloride for injection resulted in prompt resolution of respiratory depression (median 3 minutes, range 0 to 6 minutes). The final mean infusion rate of Remifentanil Hydrochloride for injection was 0.12 mcg/kg/min (range 0.03 to 0.3) for the group receiving Remifentanil Hydrochloride for injection alone and 0.07 mcg/kg/min (range 0.02 to 0.2) for the group receiving Remifentanil Hydrochloride for injection /midazolam.
6.1 Clinical Trials Experience
Because clinical trials are conducted under widely varying conditions, adverse reaction rates observed in the clinical trials of a drug cannot be directly compared to rates in the clinical trials of another drug and may not reflect the rates observed in practice.
Adverse event information is derived from controlled clinical studies that were conducted in a variety of surgical procedures of varying duration, using a variety of premedications and other anesthetics, and in patient populations with diverse characteristics including underlying disease.
5.1 Addiction, Abuse, and Misuse
Remifentanil Hydrochloride for injection contains remifentanil, a Schedule II controlled substance. As an opioid, Remifentanil Hydrochloride for injection exposes users to the risks of addiction, abuse, and misuse [see Drug Abuse and Dependence (9)].
Opioids are sought for nonmedical use and are subject to diversion from legitimate prescribed use. Consider these risks when handling Remifentanil Hydrochloride for injection. Strategies to reduce these risks include proper product storage and control practices for a C-II drug. Contact local state professional licensing board or state controlled substances authority for information on how to prevent and detect abuse or diversion of this product.
17 Patient Counseling Information (17 PATIENT COUNSELING INFORMATION)
Addiction, Abuse, and Misuse
Inform patients that the use of Remifentanil Hydrochloride for injection, even when taken as recommended, can result in addiction, abuse, and misuse, which can lead to overdose and death [see Warnings and Precautions (5.1)].
Life-Threatening Respiratory Depression
Inform patients of the risk of life-threatening respiratory depression, including information that the risk is greatest when starting Remifentanil Hydrochloride for injection or when the dosage is increased, and that it can occur even at recommended dosages.
Hyperalgesia and Allodynia
Advise patients to inform their healthcare provider if they experience symptoms of hyperalgesia, including worsening pain, increased sensitivity to pain, or new pain [see Warnings and Precautions (5.4), Adverse Reactions (6)].
Serotonin Syndrome
Inform patients that opioids could cause a rare but potentially life-threatening condition called serotonin syndrome resulting from concomitant administration of serotonergic drugs. Warn patients of the symptoms of serotonin syndrome and to seek medical attention right away if symptoms develop after discharge from the hospital. Instruct patients to inform their healthcare provider if they are taking, or plan to take serotonergic medications [see Warnings and Precautions (5.5), Drug Interactions (7)].
Constipation
Advise patients of the potential for severe constipation, including management instructions and when to seek medical attention [see Adverse Reactions (6), Clinical Pharmacology (12.2)].
Diprivan® is a registered trademark of Fresenius Kabi USA, LLC.
Distributed by:
Hikma Pharmaceuticals USA Inc.
Berkeley Heights, NJ 07922
Revised:1/2024
462-901-01
8.6 Use in Morbidly Obese Patients
As for all potent opioids, caution is required with use in morbidly obese patients because of alterations in cardiovascular and respiratory physiology [see Dosage and Administration (2.2)].
14.5 Coronary Artery Bypass Surgery
Remifentanil Hydrochloride for injection was originally administered to 225 subjects undergoing elective CABG surgery in two dose-ranging studies without active comparators. Subsequently, two double-blind, double-dummy clinical studies (N = 426) evaluated Remifentanil Hydrochloride for injection (n = 236) at recommended doses versus active comparators (n = 190).
The first comparator study, a multi-center, randomized, double-blind, double-dummy, parallel-group study (N = 369), compared Remifentanil Hydrochloride for injection (n = 201) with fentanyl (n = 168) in adult patients undergoing elective CABG surgery. Subjects received 1 to 3 mg midazolam and 0.05 mg/kg morphine IV as premedication. Anesthesia was induced with propofol 0.5 mg/kg (higher doses administered with Remifentanil Hydrochloride for injection were associated with excessive hypotension) over one minute plus 10-mg boluses every 10 seconds until loss of consciousness followed by either cisatracurium 0.2 mg/kg or vecuronium 0.15 mg/kg. Patients randomized to Remifentanil Hydrochloride for injection received a 1 mcg/kg/min infusion of Remifentanil Hydrochloride for injection followed by a placebo bolus administered over 3 minutes. In the active control group, a placebo IV infusion was started and a fentanyl bolus 10 mcg/kg was administered over 3 minutes. All subjects received isoflurane titrated initially to end tidal concentration of 0.5%. During maintenance, the group randomized to Remifentanil Hydrochloride for injection received as needed 0.5-1 mcg/kg/min IV rate increases (to a maximum of 4 mcg/kg/min) of Remifentanil Hydrochloride for injection and 1 mcg/kg IV boluses of Remifentanil Hydrochloride for injection. The active control group received 2 mcg/kg IV boluses of fentanyl and increases in placebo IV infusion rate.
The second comparator study, a multi-center, double-blind, randomized, parallel group study (N = 57), compared Remifentanil Hydrochloride for injection (n = 35) to fentanyl (n = 22) in adult patients undergoing elective CABG surgery with poor left ventricular function (ejection fraction < 0.35). Subjects received oral lorazepam 40 mcg/kg as premedication. Anesthesia was induced using etomidate until loss of consciousness, followed by a low-dose propofol infusion (3 mg/kg/hr) and pancuronium 0.15 mg/kg. Subjects in the group administered Remifentanil Hydrochloride for injection received a placebo bolus dose and a continuous infusion of Remifentanil Hydrochloride for injection1 mcg/kg/min and subjects in the fentanyl group received a bolus loading dose of 15 mcg/kg and placebo continuous infusion. During maintenance, supplemental bolus doses of Remifentanil Hydrochloride for injection (0.5 mcg/kg) and infusion rate increases of 0.5 to 1 mcg/kg/min (maximum rate allowed was 4 mcg/kg/min) of Remifentanil Hydrochloride for injection were administered to one group; while the fentanyl group was given intermittent maintenance bolus doses of 2 mcg/kg and increases in the placebo infusion rate.
In these two studies, using a high dose opioid technique with Remifentanil Hydrochloride for injection as a component of a balanced or total intravenous anesthetic regimen, the remifentanil regimen effectively attenuated response to maximal sternal spread generally better than the dose and regimen studied for the active control (fentanyl). While this provides evidence for the efficacy of remifentanil as an analgesic in this setting, caution must be exercised in interpreting these results as evidence of superiority of remifentanil over the active control, since these studies did not make any attempt to evaluate and compare the optimal analgesic doses of either drug in this setting.
2.11 Preparation for Administration
To reconstitute solution, add 1 mL of diluent per mg of remifentanil. Shake well to dissolve. When reconstituted as directed, the solution contains approximately 1 mg of remifentanil activity per 1 mL.
- Remifentanil Hydrochloride for injection should be diluted to a recommended final concentration of 20, 25, 50, or 250 mcg/mL prior to administration (see Table 5). Remifentanil Hydrochloride for injection should not be administered without dilution.
|
Final Concentration
|
Amount of Remifentanil Hydrochloride for injection in Each Vial
|
Final Volume After
Reconstitution and Dilution |
| 20 mcg/mL |
1 mg |
50 mL |
| 2 mg |
100 mL |
|
| 5 mg |
250 mL |
|
| 25 mcg/mL |
1 mg |
40 mL |
| 2 mg |
80 mL |
|
| 5 mg |
200 mL |
|
| 50 mcg/mL |
1 mg |
20 mL |
| 2 mg |
40 mL |
|
| 5 mg |
100 mL |
|
| 250 mcg/mL |
5 mg |
20 mL |
Continuous IV infusions of Remifentanil Hydrochloride for injection should be administered only by an infusion device. Infusion rates of Remifentanil Hydrochloride for injection can be individualized for each patient using Table 6:
|
Drug Delivery Rate
(mcg/kg/min) |
Infusion Delivery Rate (mL/kg/h)
|
|||
|
20 mcg/mL
|
25 mcg/mL
|
50 mcg/mL
|
250 mcg/mL
|
|
| 0.0125 |
0.038 |
0.03 |
0.015 |
not recommended |
| 0.025 |
0.075 |
0.06 |
0.03 |
not recommended |
| 0.05 |
0.15 |
0.12 |
0.06 |
0.012 |
| 0.075 |
0.23 |
0.18 |
0.09 |
0.018 |
| 0.1 |
0.3 |
0.24 |
0.12 |
0.024 |
| 0.15 |
0.45 |
0.36 |
0.18 |
0.036 |
| 02 |
0.6 |
0.48 |
0.24 |
0.048 |
| 0.25 |
0.75 |
0.6 |
0.3 |
0.06 |
| 0.5 |
1.5 |
1.2 |
0.6 |
0.12 |
| 0.75 |
2.25 |
1.8 |
0.9 |
0.18 |
| 1.0 |
3.0 |
2.4 |
1.2 |
0.24 |
| 1.25 |
3.75 |
3.0 |
1.5 |
0.3 |
| 1.5 |
4.5 |
3.6 |
1.8 |
0.36 |
| 1.75 |
5.25 |
4.2 |
2.1 |
0.42 |
| 2.0 |
6.0 |
4.8 |
2.4 |
0.48 |
When Remifentanil Hydrochloride for injection is used as an analgesic component of monitored analgesia care, a final concentration of 25 mcg/mL is recommended. When Remifentanil Hydrochloride for injection is used for pediatric patients 1 year of age and older, a final concentration of 20 or 25 mcg/mL is recommended. Table 7 is a guideline for milliliter-per-hour delivery for a solution of 20 mcg/mL with an infusion device.
|
Infusion Rate
(mcg/kg/min) |
Patient Weight (kg)
|
||||||
|
5
|
10
|
20
|
30
|
40
|
50
|
60
|
|
| 0.0125 |
0.188 |
0.375 |
0.75 |
1.125 |
1.5 |
1.875 |
2.25 |
| 0.025 |
0.375 |
0.75 |
1.5 |
2.25 |
3.0 |
3.75 |
4.5 |
| 0.05 |
0.75 |
1.5 |
3.0 |
4.5 |
6.0 |
7.5 |
9.0 |
| 0.075 |
1.125 |
2.25 |
4.5 |
6.75 |
9.0 |
11.25 |
13.5 |
| 0.1 |
1.5 |
3.0 |
6.0 |
9.0 |
12.0 |
15.0 |
18.0 |
| 0.15 |
2.25 |
4.5 |
9.0 |
13.5 |
18.0 |
22.5 |
27.0 |
| 0.2 |
3.0 |
6.0 |
12.0 |
18.0 |
24.0 |
30.0 |
36.0 |
| 0.25 |
3.75 |
7.5 |
15.0 |
22.5 |
30.0 |
37.5 |
45.0 |
| 0.3 |
4.5 |
9.0 |
18.0 |
27.0 |
36.0 |
45.0 |
54.0 |
| 0.35 |
5.25 |
10.5 |
21.0 |
31.5 |
42.0 |
52.5 |
63.0 |
| 0.4 |
6.0 |
12.0 |
24.0 |
36.0 |
48.0 |
60.0 |
72.0 |
Table 8 is a guideline for milliliter-per-hour delivery for a solution of 25 mcg/mL with an infusion device.
|
Infusion Rate
(mcg/kg/min) |
Patient Weight (kg)
|
|||||||||
|
10
|
20
|
30
|
40
|
50
|
60
|
70
|
80
|
90
|
100
|
|
| 0.0125 |
0.3 |
0.6 |
0.9 |
1.2 |
1.5 |
1.8 |
2.1 |
2.4 |
2.7 |
3.0 |
| 0.025 |
0.6 |
1.2 |
1.8 |
2.4 |
3.0 |
3.6 |
4.2 |
4.8 |
5.4 |
6.0 |
| 0.05 |
1.2 |
2.4 |
3.6 |
4.8 |
6.0 |
7.2 |
8.4 |
9.6 |
10.8 |
12.0 |
| 0.075 |
1.8 |
3.6 |
5.4 |
7.2 |
9.0 |
10.8 |
12.6 |
14.4 |
16.2 |
18.0 |
| 0.1 |
2.4 |
4.8 |
7.2 |
9.6 |
12.0 |
14.4 |
16.8 |
19.2 |
21.6 |
24.0 |
| 0.15 |
3.6 |
7.2 |
10.8 |
14.4 |
18.0 |
21.6 |
25.2 |
28.8 |
32.4 |
36.0 |
| 0.2 |
4.8 |
9.6 |
14.4 |
19.2 |
24.0 |
28.8 |
33.6 |
38.4 |
43.2 |
48.0 |
Table 9 is a guideline for milliliter-per-hour delivery for a solution of 50 mcg/mL with an infusion device.
|
Infusion Rate
(mcg/kg/min) |
Patient Weight (kg)
|
|||||||
|
30
|
40
|
50
|
60
|
70
|
80
|
90
|
100
|
|
| 0.025 |
2.1 |
2.4 |
2.7 |
3.0 |
||||
| 0.05 |
2.4 |
3.0 |
3.6 |
4.2 |
4.8 |
5.4 |
6.0 |
|
| 0.075 |
2.7 |
3.6 |
4.5 |
5.4 |
6.3 |
7.2 |
8.1 |
9.0 |
| 0.1 |
3.6 |
4.8 |
6.0 |
7.2 |
8.4 |
9.6 |
10.8 |
12.0 |
| 0.15 |
5.4 |
7.2 |
9.0 |
10.8 |
12.6 |
14.4 |
16.2 |
18.0 |
| 0.2 |
7.2 |
9.6 |
12.0 |
14.4 |
16.8 |
19.2 |
21.6 |
24.0 |
| 0.25 |
9.0 |
12.0 |
15.0 |
18.0 |
21.0 |
24.0 |
27.0 |
30.0 |
| 0.5 |
18.0 |
24.0 |
30.0 |
36.0 |
42.0 |
48.0 |
54.0 |
60.0 |
| 0.75 |
27.0 |
36.0 |
45.0 |
54.0 |
63.0 |
72.0 |
81.0 |
90.0 |
| 1.0 |
36.0 |
48.0 |
60.0 |
72.0 |
84.0 |
96.0 |
108.0 |
120.0 |
| 1.25 |
45.0 |
60.0 |
75.0 |
90.0 |
105.0 |
120.0 |
135.0 |
150.0 |
| 1.5 |
54.0 |
72.0 |
90.0 |
108.0 |
126.0 |
144.0 |
162.0 |
180.0 |
| 1.75 |
63.0 |
84.0 |
105.0 |
126.0 |
147.0 |
168.0 |
189.0 |
210.0 |
| 2.0 |
72.0 |
96.0 |
120.0 |
144.0 |
168.0 |
192.0 |
216.0 |
240.0 |
Table 10 is a guideline for milliliter-per-hour delivery for a solution of 250 mcg/mL with an infusion device.
|
Infusion Rate
(mcg/kg/min) |
Patient Weight (kg)
|
|||||||
|
30
|
40
|
50
|
60
|
70
|
80
|
90
|
100
|
|
| 0.1 |
0.72 |
0.96 |
1.20 |
1.44 |
1.68 |
1.92 |
2.16 |
2.40 |
| 0.15 |
1.08 |
1.44 |
1.80 |
2.16 |
2.52 |
2.88 |
3.24 |
3.60 |
| 0.2 |
1.44 |
1.92 |
2.40 |
2.88 |
3.36 |
3.84 |
4.32 |
4.80 |
| 0.25 |
1.80 |
2.40 |
3.00 |
3.60 |
4.20 |
4.80 |
5.40 |
6.00 |
| 0.5 |
3.60 |
4.80 |
6.00 |
7.20 |
8.40 |
9.60 |
10.80 |
12.00 |
| 0.75 |
5.40 |
7.20 |
9.00 |
10.80 |
12.60 |
14.40 |
16.20 |
18.00 |
| 1.0 |
7.20 |
9.60 |
12.00 |
14.40 |
16.80 |
19.20 |
21.60 |
24.00 |
| 1.25 |
9.00 |
12.00 |
15.00 |
18.00 |
21.00 |
24.00 |
27.00 |
30.00 |
| 1.5 |
10.80 |
14.40 |
18.00 |
21.60 |
25.20 |
28.80 |
32.40 |
36.00 |
| 1.75 |
12.60 |
16.80 |
21.00 |
25.20 |
29.40 |
33.60 |
37.80 |
42.00 |
| 2.0 |
14.40 |
19.20 |
24.00 |
28.80 |
33.60 |
38.40 |
43.20 |
48.00 |
16 How Supplied/storage and Handling (16 HOW SUPPLIED/STORAGE AND HANDLING)
Remifentanil Hydrochloride for injection is a sterile, nonpyrogenic, preservative-free, white to off-white lyophilized powder for intravenous (IV) administration after reconstitution and dilution.
Remifentanil Hydrochloride for injection, for intravenous use, is supplied as follows:
|
NDC Number
|
Strength
|
Container
|
Quantity
|
| 0143-9391-10 |
1 mg per vial |
3 mL Vial |
Packaged in cartons of 10 |
| 0143-9392-10 |
2 mg per vial |
5 mL Vial |
Packaged in cartons of 10 |
| 0143-9393-10 |
5 mg per vial |
10 mL Vial |
Packaged in cartons of 10 |
Remifentanil Hydrochloride for injection should be stored at 2° to 25°C (36° to 77°F).
Discard unused portion.
Package Label.principal Display Panel (PACKAGE LABEL.PRINCIPAL DISPLAY PANEL)
NDC 0143-9391-01
Rx only
Remifentanil Hydrochloride for Injection CII
1 mg
For Intravenous use ONLY
Single Dose Vial
Discard Unused Portion
NDC 0143-9392-01
Rx only
Remifentanil Hydrochloride for Injection CII
2 mg
For Intravenous use ONLY
Single Dose Vial
Discard Unused Portion
NDC 0143-9393-01
Rx only
Remifentanil Hydrochloride for Injection CII
5 mg
For Intravenous use ONLY
Single Dose Vial
Discard Unused Portion
NDC 0143-9391-10
Rx only
Remifentanil Hydrochloride for Injection CII
1 mg
Equivalent to 1 mg of remifentanil
For Intravenous use ONLY
Single Dose Vial
Discard Unused Portion
10 x 1 mg Single Dose Vials
NDC 0143-9392-10
Rx only
Remifentanil Hydrochloride for Injection CII
2 mg
Equivalent to 2 mg of remifentanil
For Intravenous use ONLY
Single Dose Vial
Discard Unused Portion
10 x 2 mg Single Dose Vials
NDC 0143-9393-10
Rx only
Remifentanil Hydrochloride for Injection CII
5 mg
Equivalent to 5 mg of remifentanil
For Intravenous use ONLY
Single Dose Vial
Discard Unused Portion
10 x 5 mg Single Dose Vials
SERIALIZATION IMAGE
Warning: Addiction, Abuse, and Misuse (WARNING: ADDICTION, ABUSE, AND MISUSE)
WARNING: SERIOUS AND LIFE-THREATENING RISKS FROM USE OF REMIFENTANIL HYDROCHLORIDE FOR INJECTION
Addiction, Abuse, and Misuse
Because the use of Remifentanil Hydrochloride for injection exposes patients and other users to the risks of opioid addiction, abuse, and misuse, which can lead to overdose and death, assess each patient’s risk prior to prescribing and reassess all patients regularly for the development of these behaviors and conditions [see Warnings and Precautions (5.1)].
Life-Threatening Respiratory Depression
Serious, life-threatening, or fatal respiratory depression may occur with use of Remifentanil Hydrochloride for injection, especially during initiation or following a dosage increase. To reduce the risk of respiratory depression, proper dosing and titration of Remifentanil Hydrochloride for injection are essential [see Warnings and Precautions (5.2)].
Risks From Concomitant Use With Benzodiazepines Or Other CNS Depressants
Concomitant use of opioids with benzodiazepines or other central nervous system (CNS) depressants, including alcohol, may result in profound sedation, respiratory depression, coma, and death. Reserve concomitant prescribing of Remifentanil Hydrochloride for injection and benzodiazepines or other CNS depressants for use in patients for whom alternative treatment options are inadequate [see Warnings and Precautions (5.3), Drug Interactions (7)].
14.3 Spontaneous Ventilation Anesthesia
Two randomized, dose-ranging studies (n = 127) examined the administration of Remifentanil Hydrochloride for injection to outpatients undergoing general anesthesia with a laryngeal mask. Starting infusion rates of Remifentanil Hydrochloride for injection of ≤ 0.05 mcg/kg/min provided supplemental analgesia while allowing spontaneous ventilation with propofol or isoflurane. Bolus doses of Remifentanil Hydrochloride for injection during spontaneous ventilation lead to transient periods of apnea, respiratory depression, and muscle rigidity.
2.9 Dosage Modifications in Obese Patients
The starting doses of Remifentanil Hydrochloride for injection should be based on ideal body weight (IBW) in obese patients (greater than 30% over their IBW) [see Use in Specific Populations (8.6)].
5.2 Life Threatening Respiratory Depression (5.2 Life-Threatening Respiratory Depression)
Serious, life-threatening, or fatal respiratory depression has been reported with the use of opioids, even when used as recommended. Respiratory depression, if not immediately recognized and treated, may lead to respiratory arrest and death.
Remifentanil Hydrochloride for injection should be administered only by persons specifically trained in the use of anesthetic drugs and the management of the respiratory effects of potent opioids, including respiration and cardiac resuscitation of patients in the age group being treated. Such training must include the establishment and maintenance of a patent airway and assisted ventilation. Resuscitative and intubation equipment, oxygen, and opioid antagonists must be readily available.
Respiratory depression in spontaneously breathing patients is generally managed by decreasing the rate of the infusion of Remifentanil Hydrochloride for injection by 50% or by temporarily discontinuing the infusion [see Overdosage (10)].
Carbon dioxide (CO2) retention from opioid-induced respiratory depression can exacerbate the sedating effects of opioids. While serious, life-threatening, or fatal respiratory depression can occur at any time during the use of Remifentanil Hydrochloride for injection, the risk is greatest during the initiation of therapy or following a dosage increase. Monitor patients closely for respiratory depression, especially when initiating therapy with and following dosage increases of Remifentanil Hydrochloride for injection.
Remifentanil Hydrochloride for injection should not be used in diagnostic or therapeutic procedures outside the monitored anesthesia care setting. Patients receiving monitored anesthesia care should be continuously monitored by persons not involved in the conduct of the surgical or diagnostic procedure. Oxygen saturation should be monitored on a continuous basis.
Patients with significant chronic obstructive pulmonary disease or cor pulmonale, and those with a substantially decreased respiratory reserve, hypoxia, hypercapnia, or pre-existing respiratory depression are at increased risk of decreased respiratory drive including apnea, even at recommended dosages of Remifentanil Hydrochloride for injection. Elderly, cachectic, or debilitated patients may have altered pharmacokinetics or altered clearance compared to younger, healthier patients resulting in greater risk for respiratory depression. Monitor such patients closely including vital signs, particularly when initiating and titrating Remifentanil Hydrochloride for injection and when Remifentanil Hydrochloride for injection is given concomitantly with other drugs that depress respiration. To reduce the risk of respiratory depression, proper dosing and titration of Remifentanil Hydrochloride for injection are essential [see Dosage and Administration (2.11) ].
5.4 Opioid Induced Hyperalgesia and Allodynia (5.4 Opioid-Induced Hyperalgesia and Allodynia)
Opioid-Induced Hyperalgesia (OIH) occurs when an opioid analgesic paradoxically causes an increase in pain, or an increase in sensitivity to pain. This condition differs from tolerance, which is the need for increasing doses of opioids to maintain a defined effect [see Dependence (9.3)]. Symptoms of OIH include (but may not be limited to) increased levels of pain upon opioid dosage increase, decreased levels of pain upon opioid dosage decrease, or pain from ordinarily non-painful stimuli (allodynia). These symptoms may suggest OIH only if there is no evidence of underlying disease progression, opioid tolerance, opioid withdrawal, or addictive behavior.
Cases of OIH have been reported, both with short-term and longer-term use of opioid analgesics. Though the mechanism of OIH is not fully understood, multiple biochemical pathways have been implicated. Medical literature suggests a strong biologic plausibility between opioid analgesics and OIH and allodynia. If a patient is suspected to be experiencing OIH, carefully consider appropriately decreasing the dose of the current opioid analgesic or opioid rotation (safely switching the patient to a different opioid moiety) [see Dosage and Administration (2), Warnings and Precautions (5.2)].
2.6 Dosage Modifications in Geriatric Patients
The starting doses of Remifentanil Hydrochloride for injection should be decreased by 50% in elderly patients (> 65 years). Remifentanil Hydrochloride for injection should then be cautiously titrated to effect [see Use in Specific Populations (8.5)].
2.7 Dosage Modifications in Pediatric Patients
See Table 2 for dosing recommendations for use of Remifentanil Hydrochloride for injection in pediatric patients from birth to 12 years of age for maintenance of anesthesia. [See Clinical Pharmacology: Specific Populations: Pediatric Population (12.3) and Dosage and Administration, Table 2 and Maintenance of Anesthesia (2.2).]
Remifentanil Hydrochloride for injection has not been studied in pediatric patients for use in the immediate postoperative period or for use as a component of monitored anesthesia care.
2.1 Important Dosage and Administration Instructions
Monitor patients closely for respiratory depression when initiating therapy and following dosage increases with Remifentanil Hydrochloride for injection and adjust the dosage accordingly [see Warnings and Precautions (5.2)].
Remifentanil Hydrochloride for injection is for IV use only. Continuous infusions of Remifentanil Hydrochloride for injection should be administered only by an infusion device. The injection site should be close to the venous cannula and all IV tubing should be cleared at the time of discontinuation of infusion.
Remifentanil Hydrochloride for injection should not be administered without dilution.
Consider an alternative to Remifentanil Hydrochloride for injection for patients taking mixed agonist/antagonist and partial agonist opioid analgesics due to reduced analgesic effect or potential withdrawal symptoms. If concomitant use is warranted, carefully observe the patient, particularly during treatment initiation and dose adjustment. Discontinue Remifentanil Hydrochloride for injection if patient is not responding appropriately to treatment.
Discard unused portion.
2.4 Analgesic Component of Monitored Anesthesia Care
It is strongly recommended that supplemental oxygen be supplied to the patient whenever Remifentanil Hydrochloride for injection is administered.
- Remifentanil Hydrochloride for injection has not been studied for use in children in monitored anesthesia care.
2.10 Dosage Modifications in Preanesthetic Medication
The need for premedication and the choice of anesthetic agents must be individualized. In clinical studies, patients who received Remifentanil Hydrochloride for injection frequently received a benzodiazepine premedication.
5.13 Risks of Use in Patients With Biliary Tract Disease (5.13 Risks of Use in Patients with Biliary Tract Disease)
The remifentanil in Remifentanil Hydrochloride for injection may cause spasm of the sphincter of Oddi. Opioids may cause increases in serum amylase. Monitor patients with biliary tract disease, including acute pancreatitis, for worsening symptoms.
2.8 Dosage Modifications in Coronary Artery Bypass Surgery
Table 4 summarizes the recommended doses for induction, maintenance, and continuation as an analgesic into the ICU in adult patients, predominantly ASA physical status III or IV. To avoid hypotension during the induction phase, it is important to consider the concomitant medication regimens. [See Clinical Studies: Coronary Artery Bypass Surgery (14.5).]
|
Phase
|
Continuous IV Infusion of Remifentanil Hydrochloride for injection
(mcg/kg/min) |
Range of
Infusion Dose Remifentanil Hydrochloride for injection (mcg/kg/min) |
Supplemental IV Bolus Dose of Remifentanil Hydrochloride for injection
(mcg/kg) |
|
Induction of Anesthesia
(through intubation) |
1 |
||
|
Maintenance of Anesthesia
|
1 |
0.125 to 4 |
0.5 to 1 |
|
Continuation as an analgesic
into ICU |
1 |
0.05 to 1 |
5.5 Serotonin Syndrome With Concomitant Use of Serotonergic Drugs (5.5 Serotonin Syndrome with Concomitant Use of Serotonergic Drugs)
Cases of serotonin syndrome, a potentially life-threatening condition, have been reported during concomitant use of Remifentanil Hydrochloride for injection with serotonergic drugs. Serotonergic drugs include selective serotonin reuptake inhibitors (SSRIs), serotonin and norepinephrine reuptake inhibitors (SNRIs), tricyclic antidepressants (TCAs), triptans, 5-HT3 receptor antagonists, drugs that affect the serotonergic neurotransmitter system (e.g., mirtazapine, trazodone, tramadol), certain muscle relaxants (i.e., cyclobenzaprine, metaxalone), and drugs that impair metabolism of serotonin (including MAO inhibitors, both those intended to treat psychiatric disorders and also others, such as linezolid and intravenous methylene blue) [see Drug Interactions (7) ]. This may occur within the recommended dosage range.
Serotonin syndrome symptoms may include mental status changes (e.g., agitation, hallucinations, coma), autonomic instability (e.g., tachycardia, labile blood pressure, hyperthermia), neuromuscular aberrations (e.g., hyperreflexia, incoordination, rigidity), and/or gastrointestinal symptoms (e.g., nausea, vomiting, diarrhea). The onset of symptoms generally occurs within several hours to a few days of concomitant use, but may occur later than that. Discontinue Remifentanil Hydrochloride for injection if serotonin syndrome is suspected.
5.14 Increased Risk of Seizures in Patients With Seizure Disorders (5.14 Increased Risk of Seizures in Patients with Seizure Disorders)
The remifentanil in Remifentanil Hydrochloride for injection may increase the frequency of seizures in patients with seizure disorders, and may increase the risk of seizures occurring in other clinical settings associated with seizures. Monitor patients with a history of seizure disorders for worsened seizure control during Remifentanil Hydrochloride for injection therapy.
5.8 Potential Inactivation By Nonspecific Esterases in Blood Products (5.8 Potential Inactivation by Nonspecific Esterases in Blood Products)
Remifentanil Hydrochloride for injection should not be administered into the same IV tubing with blood due to potential inactivation by nonspecific esterases in blood products.
14.7 Continuation of Analgesic Use Into the Immediate Postoperative Period (14.7 Continuation of Analgesic Use into the Immediate Postoperative Period)
Analgesia with Remifentanil Hydrochloride for injection in the immediate postoperative period (until approximately 30 minutes after extubation) was studied in 401 patients in four dose-finding studies and in 281 patients in two efficacy studies. In the dose-finding studies, the use of bolus doses of Remifentanil Hydrochloride for injection and incremental infusion rate increases ≥ 0.05 mcg/kg/min led to respiratory depression and muscle rigidity.
In two efficacy studies, Remifentanil Hydrochloride for injection0.1 mcg/kg/min was started immediately after discontinuing anesthesia. Incremental infusion rate increases of 0.025 mcg/kg/min every 5 minutes were given to treat moderate to severe postoperative pain. In Study 1, 50% decreases in infusion rate were made if respiratory rate decreased below 12 breaths/min and in Study 2, the same decreases were made if respiratory rate was below 8 breaths/min. With this difference in criteria for infusion rate decrease, the incidence of respiratory depression was lower in Study 1 (4%) than in Study 2 (12%). In both studies, Remifentanil Hydrochloride for injection provided effective analgesia (no or mild pain with respiratory rate ≥ 8 breaths/min) in approximately 60% of patients at mean final infusion rates of 0.1 to 0.125 mcg/kg/min.
Study 2 was a double-blind, randomized, controlled study in which patients received either morphine sulfate (0.15 mg/kg administered 20 minutes before the anticipated end of surgery plus 2 mg bolus doses for supplemental analgesia) or Remifentanil Hydrochloride for injection(as described above). Emergence from anesthesia was similar between groups; median time to extubation was 5 to 6 minutes for both. Remifentanil Hydrochloride for injection provided effective analgesia in 58% of patients compared to 33% of patients who received morphine. Respiratory depression occurred in 12% of patients receiving Remifentanil Hydrochloride for injection compared to 4% of morphine patients. For patients who received Remifentanil Hydrochloride for injection morphine sulfate (0.15 mg/kg) was administered in divided doses 5 and 10 minutes before discontinuing Remifentanil Hydrochloride for injection. Within 30 minutes after discontinuation of Remifentanil Hydrochloride for injection the percentage of patients with effective analgesia decreased to 34%.
14.1 Induction and Maintenance of General Anesthesia Inpatient/outpatient (14.1 Induction and Maintenance of General Anesthesia - Inpatient/Outpatient)
The efficacy of Remifentanil Hydrochloride for injection was investigated in 1,562 patients in 15 randomized, controlled trials as the analgesic component for the induction and maintenance of general anesthesia. Eight of these studies compared Remifentanil Hydrochloride for injection to alfentanil and two studies compared Remifentanil Hydrochloride for injection to fentanyl. In these studies, doses of Remifentanil Hydrochloride for injection up to the ED90 were compared to recommended doses (approximately ED50) of alfentanil or fentanyl.
5.3 Risks From Use As Postoperative Analgesia With Concomitant Benzodiazepines Or Other Cns Depressants (5.3 Risks from Use as Postoperative Analgesia with Concomitant Benzodiazepines or Other CNS Depressants)
When benzodiazepines or other CNS depressants are used with Remifentanil Hydrochloride for injection, pulmonary arterial pressure may be decreased. This fact should be considered by those who conduct diagnostic and surgical procedures where interpretation of pulmonary arterial pressure measurements might determine final management of the patient. When high dose or anesthetic dosages of Remifentanil Hydrochloride for injection are employed, even relatively small dosages of diazepam may cause cardiovascular depression.
When Remifentanil Hydrochloride for injection is used with CNS depressants, hypotension can occur. If it occurs, consider the possibility of hypovolemia and manage with appropriate parenteral fluid therapy. When operative conditions permit, consider repositioning the patient to improve venous return to the heart. Exercise care in moving and repositioning of patients because of the possibility of orthostatic hypotension. If volume expansion with fluids plus other countermeasures do not correct hypotension, consider administration of pressor agents other than epinephrine. Epinephrine may paradoxically decrease blood pressure in patients treated with a neuroleptic that blocks alpha adrenergic activity.
Hypotension, profound sedation, respiratory depression, coma, and death may result from the concomitant use of Remifentanil Hydrochloride for injection with benzodiazepines and/or other CNS depressants, including alcohol (e.g., non-benzodiazepine sedatives/hypnotics, anxiolytics, tranquilizers, muscle relaxants, general anesthetics, antipsychotics, other opioids). Patients should be advised to avoid alcohol for 24 hours after surgery [see Drug Interactions (7)].
Observational studies have demonstrated that concomitant use of opioid analgesics and benzodiazepines increases the risk of drug-related mortality compared to use of opioid analgesics alone. Because of similar pharmacological properties, it is reasonable to expect similar risk with the concomitant use of other CNS depressant drugs with opioid analgesics [see Drug Interactions (7)].
If the decision is made to manage postoperative pain with Remifentanil Hydrochloride for injection concomitantly with a benzodiazepine or other CNS depressant, start dosing with the lowest effective dosage and titrate based on clinical response. Monitor patients closely for signs and symptoms of respiratory depression, sedation, and hypotension. Fluids or other measures to counter hypotension should be available [see Drug Interactions (7)].
2.3 Continuation As An Analgesic Into the Immediate Postoperative Period Under the Direct Supervision of An Anesthesia Practitioner (2.3 Continuation as an Analgesic into the Immediate Postoperative Period Under the Direct Supervision of an Anesthesia Practitioner)
Infusions of Remifentanil Hydrochloride for injection may be continued into the immediate postoperative period for select patients for whom later transition to longer acting analgesics may be desired.
- Remifentanil Hydrochloride for injection has not been studied in pediatric patients for use in the immediate postoperative period.
- The use of bolus injections of Remifentanil Hydrochloride for injection to treat pain during the postoperative period is not recommended.
- When used as an IV analgesic in the immediate postoperative period, Remifentanil Hydrochloride for injection should be initially administered by continuous infusion at a rate of 0.1 mcg/kg/min.
- The infusion rate may be adjusted every 5 minutes in 0.025 mcg/kg/min increments to balance the patient's level of analgesia and respiratory rate.
- Infusion rates greater than 0.2 mcg/kg/min are associated with respiratory depression (respiratory rate less than 8 breaths/min).
Due to the rapid offset of action of Remifentanil Hydrochloride for injection, no residual analgesic activity will be present within 5 to 10 minutes after discontinuation. For patients undergoing surgical procedures where postoperative pain is generally anticipated, alternative analgesics should be administered prior to discontinuation of Remifentanil Hydrochloride for injection. The choice of analgesic should be appropriate for the patient's surgical procedure and the level of follow-up care [see Clinical Studies (14)].
5.12 Risks of Use in Spontaneously Breathing Patients With Increased Intracranial Pressure, Brain Tumors, Head Injury, Or Impaired Consciousness (5.12 Risks of Use in Spontaneously Breathing Patients with Increased Intracranial Pressure, Brain Tumors, Head Injury, or Impaired Consciousness)
In patients who may be susceptible to the intracranial effects of CO2 retention (e.g., those with evidence of increased intracranial pressure or brain tumors), Remifentanil Hydrochloride for injection may reduce respiratory drive, and the resultant CO2 retention can further increase intracranial pressure in spontaneously breathing patients. Monitor such patients for signs of sedation and respiratory depression, particularly when initiating therapy with Remifentanil Hydrochloride for injection.
Opioids may also obscure the clinical course in a patient with a head injury.
Advanced Ingredient Data
Raw Label Data
All Sections (JSON)
Additional Information
Back to search View SPL set listing Open on DailyMed ↗
Source: dailymed · Ingested: 2026-02-15T11:40:30.629681 · Updated: 2026-03-14T22:02:39.377822