These Highlights Do Not Include All The Information Needed To Use Piperacillin And Tazobactam For Injection Safely And Effectively. See Full Prescribing Information For Piperacillin And Tazobactam For Injection.

These Highlights Do Not Include All The Information Needed To Use Piperacillin And Tazobactam For Injection Safely And Effectively. See Full Prescribing Information For Piperacillin And Tazobactam For Injection.
SPL v31
SPL
SPL Set ID 9b682c66-61c6-4ade-baf4-9d68911a16b8
Routes
INTRAVENOUS PARENTERAL
Published
Effective Date 2024-10-30
Document Type 34391-3 HUMAN PRESCRIPTION DRUG LABEL

Drug Facts

Composition & Product

Active Ingredients
Piperacillin Anhydrous (2 g) Tazobactam (0.25 g)

Identifiers & Packaging

Marketing Status
ANDA Active Since 2010-10-21

Description

Warnings and Precautions, Rhabdomyolysis ( 5.4 ) 08/2024

Indications and Usage

Piperacillin and tazobactam for injection is a combination of piperacillin, a penicillin-class antibacterial and tazobactam, a beta-lactamase inhibitor, indicated for the treatment of: • Intra-abdominal infections in adult and pediatric patients 2 months of age and older ( 1.1 ) • Nosocomial pneumonia in adult and pediatric patients 2 months of age and older ( 1.2 ) • Skin and skin structure infections in adults ( 1.3 ) • Female pelvic infections in adults ( 1.4 ) • Community-acquired pneumonia in adults ( 1.5 ) To reduce the development of drug-resistant bacteria and maintain the effectiveness of piperacillin and tazobactam for injection and other antibacterial drugs, piperacillin and tazobactam for injection should be used only to treat or prevent infections that are proven or strongly suspected to be caused by bacteria. ( 1.6 )

Dosage and Administration

• Adult Patients with Indications Other Than Nosocomial Pneumonia: The usual daily dosage of piperacillin and tazobactam for injection for adults is 3.375 g every six hours totaling 13.5 g (12 g piperacillin and 1.5 g tazobactam). ( 2.1 ) • Adult Patients with Nosocomial Pneumonia: Initial presumptive treatment of patients with nosocomial pneumonia should start with piperacillin and tazobactam for injection at a dosage of 4.5 g every six hours plus an aminoglycoside, totaling 18 g (16 g piperacillin and 2 g tazobactam). ( 2.2 ) • Adult Patients with Renal Impairment: Dosage in patients with renal impairment (creatinine clearance ≤ 40 mL/min) and dialysis patients should be reduced, based on the degree of renal impairment. ( 2.3 ) • Pediatric Patients by Indication and Age: See Table below. ( 2.4 ) Recommended Dosage of Piperacillin and Tazobactam for Injection for Pediatric Patients 2 months of Age and Older, Weighing up to 40 kg and With Normal Renal Function Age Appendicitis and /or Peritonitis Nosocomial Pneumonia 2 months to 9 months 90 mg/kg (80 mg piperacillin and 10 mg tazobactam) every 8 ( eight ) hours 90 mg/kg (80 mg piperacillin and 10 mg tazobactam) every 6 ( six ) hours Older than 9 months 112.5 mg/kg (100 mg piperacillin and 12.5 mg tazobactam) every 8 ( eight ) hours 112.5 mg/kg (100 mg piperacillin and 12.5 mg tazobactam) every 6 ( six ) hours • Administer piperacillin and tazobactam for injection by intravenous infusion over 30 minutes to both adult and pediatric patients. ( 2.1 , 2.2 , 2.3 , 2.4 ) • Piperacillin and tazobactam for injection and aminoglycosides should be reconstituted, diluted, and administered separately. Co-administration via Y-site can be done under certain conditions. ( 2.6 ) • See the full prescribing information for the preparation and administration instructions for piperacillin and tazobactam for injection single-dose vials.

Warnings and Precautions

• Serious hypersensitivity reactions (anaphylactic/anaphylactoid) reactions have been reported in patients receiving piperacillin and tazobactam for injection. Discontinue piperacillin and tazobactam for injection if a reaction occurs. ( 5.1 ) • Piperacillin and tazobactam for injection may cause severe cutaneous adverse reactions, such as Stevens-Johnson syndrome, toxic epidermal necrolysis, drug reaction with eosinophilia and systemic symptoms, and acute generalized exanthematous pustulosis. Discontinue piperacillin and tazobactam for injection for progressive rashes. ( 5.2 ) • Hemophagocytic lymphohistiocytosis (HLH) has been reported with the use of piperacillin and tazobactam for injection. If HLH is suspected, discontinue piperacillin and tazobactam for injection immediately. ( 5.3 ) • Rhabdomyolysis: If signs or symptoms of rhabdomyolysis are observed, discontinue Piperacillin and tazobactam for injection and initiate appropriate therapy. ( 5.4 ) • Hematological effects (including bleeding, leukopenia and neutropenia) have occurred. Monitor hematologic tests during prolonged therapy. ( 5.5 ) • As with other penicillins, piperacillin and tazobactam for injection may cause neuromuscular excitability or seizures. Patients receiving higher doses, especially in the presence of renal impairment may be at greater risk. Closely monitor patients with renal impairment or seizure disorders for signs and symptoms of neuromuscular excitability or seizures. ( 5.6 ) • Nephrotoxicity in critically ill patients has been observed; the use of Piperacillin and tazobactam for injection was found to be an independent risk factor for renal failure and was associated with delayed recovery of renal function as compared to other beta-lactam antibacterial drugs in a randomized, multicenter, controlled trial in critically ill patients. Based on this study, alternative treatment options should be considered in the critically ill population. If alternative treatment options are inadequate or unavailable, monitor renal function during treatment with Piperacillin and tazobactam for injection. ( 5.7 ) • Clostridioides difficile - associated diarrhea: evaluate patients if diarrhea occurs. ( 5.9 )

Contraindications

Piperacillin and tazobactam for injection is contraindicated in patients with a history of allergic reactions to any of the penicillins, cephalosporins, or beta-lactamase inhibitors.

Adverse Reactions

As with other penicillins, piperacillin and tazobactam for injection may cause neuromuscular excitability or seizures. Patients receiving higher doses, especially patients with renal impairment may be at greater risk for central nervous system adverse reactions. Closely monitor patients with renal impairment or seizure disorders for signs and symptoms of neuromuscular excitability or seizures [ see Adverse Reactions ( 6.2 ) ].

Drug Interactions

• Piperacillin and tazobactam for injection administration can significantly reduce tobramycin concentrations in hemodialysis patients. Monitor tobramycin concentrations in these patients. ( 7.1 ) • Probenecid prolongs the half-lives of piperacillin and tazobactam and should not be co-administered with piperacillin and tazobactam for injection unless the benefit outweighs the risk. ( 7.2 ) • Co-administration of piperacillin and tazobactam with vancomycin may increase the incidence of acute kidney injury. Monitor kidney function in patients receiving piperacillin and tazobactam and vancomycin. ( 7.3 ) • Monitor coagulation parameters in patients receiving piperacillin and tazobactam for injection and heparin or oral anticoagulants. ( 7.4 ) • Piperacillin and tazobactam for injection may prolong the neuromuscular blockade of vecuronium and other non-depolarizing neuromuscular blockers. Monitor for adverse reactions related to neuromuscular blockade. ( 7.5 )

Storage and Handling

Piperacillin and tazobactam for injection, USP is supplied as single-dose vials in the following sizes: Each piperacillin and tazobactam for injection, USP 2.25 g vial provides piperacillin sodium equivalent to 2 grams of piperacillin and tazobactam sodium equivalent to 0.25 g of tazobactam. Each vial contains 4.69 mEq (108 mg) of sodium. Supplied 10 per box – NDC 0781-3110-95 Each piperacillin and tazobactam for injection, USP 3.375 g single-dose vial provides piperacillin sodium equivalent to 3 grams of piperacillin and tazobactam sodium equivalent to 0.375 g of tazobactam. Each vial contains 7.04 mEq (162 mg) of sodium. Supplied 10 per box – NDC 0781-3113-95 Each piperacillin and tazobactam for injection, USP 4.5 g single-dose vial provides piperacillin sodium equivalent to 4 grams of piperacillin and tazobactam sodium equivalent to 0.5 g of tazobactam. Each vial contains 9.39 mEq (216 mg) of sodium. Supplied 10 per box – NDC 0781-3114-95 Piperacillin and tazobactam for injection, USP vials should be stored at 20° to 25°C (68° to 77°F) [see USP Controlled Room Temperature] prior to reconstitution.

How Supplied

Piperacillin and tazobactam for injection, USP is supplied as single-dose vials in the following sizes: Each piperacillin and tazobactam for injection, USP 2.25 g vial provides piperacillin sodium equivalent to 2 grams of piperacillin and tazobactam sodium equivalent to 0.25 g of tazobactam. Each vial contains 4.69 mEq (108 mg) of sodium. Supplied 10 per box – NDC 0781-3110-95 Each piperacillin and tazobactam for injection, USP 3.375 g single-dose vial provides piperacillin sodium equivalent to 3 grams of piperacillin and tazobactam sodium equivalent to 0.375 g of tazobactam. Each vial contains 7.04 mEq (162 mg) of sodium. Supplied 10 per box – NDC 0781-3113-95 Each piperacillin and tazobactam for injection, USP 4.5 g single-dose vial provides piperacillin sodium equivalent to 4 grams of piperacillin and tazobactam sodium equivalent to 0.5 g of tazobactam. Each vial contains 9.39 mEq (216 mg) of sodium. Supplied 10 per box – NDC 0781-3114-95 Piperacillin and tazobactam for injection, USP vials should be stored at 20° to 25°C (68° to 77°F) [see USP Controlled Room Temperature] prior to reconstitution.


Medication Information

Warnings and Precautions

• Serious hypersensitivity reactions (anaphylactic/anaphylactoid) reactions have been reported in patients receiving piperacillin and tazobactam for injection. Discontinue piperacillin and tazobactam for injection if a reaction occurs. ( 5.1 ) • Piperacillin and tazobactam for injection may cause severe cutaneous adverse reactions, such as Stevens-Johnson syndrome, toxic epidermal necrolysis, drug reaction with eosinophilia and systemic symptoms, and acute generalized exanthematous pustulosis. Discontinue piperacillin and tazobactam for injection for progressive rashes. ( 5.2 ) • Hemophagocytic lymphohistiocytosis (HLH) has been reported with the use of piperacillin and tazobactam for injection. If HLH is suspected, discontinue piperacillin and tazobactam for injection immediately. ( 5.3 ) • Rhabdomyolysis: If signs or symptoms of rhabdomyolysis are observed, discontinue Piperacillin and tazobactam for injection and initiate appropriate therapy. ( 5.4 ) • Hematological effects (including bleeding, leukopenia and neutropenia) have occurred. Monitor hematologic tests during prolonged therapy. ( 5.5 ) • As with other penicillins, piperacillin and tazobactam for injection may cause neuromuscular excitability or seizures. Patients receiving higher doses, especially in the presence of renal impairment may be at greater risk. Closely monitor patients with renal impairment or seizure disorders for signs and symptoms of neuromuscular excitability or seizures. ( 5.6 ) • Nephrotoxicity in critically ill patients has been observed; the use of Piperacillin and tazobactam for injection was found to be an independent risk factor for renal failure and was associated with delayed recovery of renal function as compared to other beta-lactam antibacterial drugs in a randomized, multicenter, controlled trial in critically ill patients. Based on this study, alternative treatment options should be considered in the critically ill population. If alternative treatment options are inadequate or unavailable, monitor renal function during treatment with Piperacillin and tazobactam for injection. ( 5.7 ) • Clostridioides difficile - associated diarrhea: evaluate patients if diarrhea occurs. ( 5.9 )

Indications and Usage

Piperacillin and tazobactam for injection is a combination of piperacillin, a penicillin-class antibacterial and tazobactam, a beta-lactamase inhibitor, indicated for the treatment of: • Intra-abdominal infections in adult and pediatric patients 2 months of age and older ( 1.1 ) • Nosocomial pneumonia in adult and pediatric patients 2 months of age and older ( 1.2 ) • Skin and skin structure infections in adults ( 1.3 ) • Female pelvic infections in adults ( 1.4 ) • Community-acquired pneumonia in adults ( 1.5 ) To reduce the development of drug-resistant bacteria and maintain the effectiveness of piperacillin and tazobactam for injection and other antibacterial drugs, piperacillin and tazobactam for injection should be used only to treat or prevent infections that are proven or strongly suspected to be caused by bacteria. ( 1.6 )

Dosage and Administration

• Adult Patients with Indications Other Than Nosocomial Pneumonia: The usual daily dosage of piperacillin and tazobactam for injection for adults is 3.375 g every six hours totaling 13.5 g (12 g piperacillin and 1.5 g tazobactam). ( 2.1 ) • Adult Patients with Nosocomial Pneumonia: Initial presumptive treatment of patients with nosocomial pneumonia should start with piperacillin and tazobactam for injection at a dosage of 4.5 g every six hours plus an aminoglycoside, totaling 18 g (16 g piperacillin and 2 g tazobactam). ( 2.2 ) • Adult Patients with Renal Impairment: Dosage in patients with renal impairment (creatinine clearance ≤ 40 mL/min) and dialysis patients should be reduced, based on the degree of renal impairment. ( 2.3 ) • Pediatric Patients by Indication and Age: See Table below. ( 2.4 ) Recommended Dosage of Piperacillin and Tazobactam for Injection for Pediatric Patients 2 months of Age and Older, Weighing up to 40 kg and With Normal Renal Function Age Appendicitis and /or Peritonitis Nosocomial Pneumonia 2 months to 9 months 90 mg/kg (80 mg piperacillin and 10 mg tazobactam) every 8 ( eight ) hours 90 mg/kg (80 mg piperacillin and 10 mg tazobactam) every 6 ( six ) hours Older than 9 months 112.5 mg/kg (100 mg piperacillin and 12.5 mg tazobactam) every 8 ( eight ) hours 112.5 mg/kg (100 mg piperacillin and 12.5 mg tazobactam) every 6 ( six ) hours • Administer piperacillin and tazobactam for injection by intravenous infusion over 30 minutes to both adult and pediatric patients. ( 2.1 , 2.2 , 2.3 , 2.4 ) • Piperacillin and tazobactam for injection and aminoglycosides should be reconstituted, diluted, and administered separately. Co-administration via Y-site can be done under certain conditions. ( 2.6 ) • See the full prescribing information for the preparation and administration instructions for piperacillin and tazobactam for injection single-dose vials.

Contraindications

Piperacillin and tazobactam for injection is contraindicated in patients with a history of allergic reactions to any of the penicillins, cephalosporins, or beta-lactamase inhibitors.

Adverse Reactions

As with other penicillins, piperacillin and tazobactam for injection may cause neuromuscular excitability or seizures. Patients receiving higher doses, especially patients with renal impairment may be at greater risk for central nervous system adverse reactions. Closely monitor patients with renal impairment or seizure disorders for signs and symptoms of neuromuscular excitability or seizures [ see Adverse Reactions ( 6.2 ) ].

Drug Interactions

• Piperacillin and tazobactam for injection administration can significantly reduce tobramycin concentrations in hemodialysis patients. Monitor tobramycin concentrations in these patients. ( 7.1 ) • Probenecid prolongs the half-lives of piperacillin and tazobactam and should not be co-administered with piperacillin and tazobactam for injection unless the benefit outweighs the risk. ( 7.2 ) • Co-administration of piperacillin and tazobactam with vancomycin may increase the incidence of acute kidney injury. Monitor kidney function in patients receiving piperacillin and tazobactam and vancomycin. ( 7.3 ) • Monitor coagulation parameters in patients receiving piperacillin and tazobactam for injection and heparin or oral anticoagulants. ( 7.4 ) • Piperacillin and tazobactam for injection may prolong the neuromuscular blockade of vecuronium and other non-depolarizing neuromuscular blockers. Monitor for adverse reactions related to neuromuscular blockade. ( 7.5 )

Storage and Handling

Piperacillin and tazobactam for injection, USP is supplied as single-dose vials in the following sizes: Each piperacillin and tazobactam for injection, USP 2.25 g vial provides piperacillin sodium equivalent to 2 grams of piperacillin and tazobactam sodium equivalent to 0.25 g of tazobactam. Each vial contains 4.69 mEq (108 mg) of sodium. Supplied 10 per box – NDC 0781-3110-95 Each piperacillin and tazobactam for injection, USP 3.375 g single-dose vial provides piperacillin sodium equivalent to 3 grams of piperacillin and tazobactam sodium equivalent to 0.375 g of tazobactam. Each vial contains 7.04 mEq (162 mg) of sodium. Supplied 10 per box – NDC 0781-3113-95 Each piperacillin and tazobactam for injection, USP 4.5 g single-dose vial provides piperacillin sodium equivalent to 4 grams of piperacillin and tazobactam sodium equivalent to 0.5 g of tazobactam. Each vial contains 9.39 mEq (216 mg) of sodium. Supplied 10 per box – NDC 0781-3114-95 Piperacillin and tazobactam for injection, USP vials should be stored at 20° to 25°C (68° to 77°F) [see USP Controlled Room Temperature] prior to reconstitution.

How Supplied

Piperacillin and tazobactam for injection, USP is supplied as single-dose vials in the following sizes: Each piperacillin and tazobactam for injection, USP 2.25 g vial provides piperacillin sodium equivalent to 2 grams of piperacillin and tazobactam sodium equivalent to 0.25 g of tazobactam. Each vial contains 4.69 mEq (108 mg) of sodium. Supplied 10 per box – NDC 0781-3110-95 Each piperacillin and tazobactam for injection, USP 3.375 g single-dose vial provides piperacillin sodium equivalent to 3 grams of piperacillin and tazobactam sodium equivalent to 0.375 g of tazobactam. Each vial contains 7.04 mEq (162 mg) of sodium. Supplied 10 per box – NDC 0781-3113-95 Each piperacillin and tazobactam for injection, USP 4.5 g single-dose vial provides piperacillin sodium equivalent to 4 grams of piperacillin and tazobactam sodium equivalent to 0.5 g of tazobactam. Each vial contains 9.39 mEq (216 mg) of sodium. Supplied 10 per box – NDC 0781-3114-95 Piperacillin and tazobactam for injection, USP vials should be stored at 20° to 25°C (68° to 77°F) [see USP Controlled Room Temperature] prior to reconstitution.

Description

Warnings and Precautions, Rhabdomyolysis ( 5.4 ) 08/2024

Section 42229-5

The following clinically significant adverse reactions are described elsewhere in the labeling:

  • Hypersensitivity Adverse Reactions [see Warnings and Precautions (5.1)]
  • Severe Cutaneous Adverse Reactions [see Warnings and Precautions (5.2)]
  • Hemophagocytic Lymphohistiocytosis [see Warnings and Precautions (5.3)]
  • Rhabdomyolysis [see Warnings and Precautions (5.4)]
  • Hematologic Adverse Reactions [see Warnings and Precautions (5.5)]
  • Central Nervous System Adverse Reactions [see Warnings and Precautions (5.6)]
  • Nephrotoxicity in Critically ill Patients [see Warnings and Precautions (5.7)]
  • Clostridioides difficile-Associated Diarrhea [see Warnings and Precautions (5.9)]
Section 43683-2

Warnings and Precautions, Rhabdomyolysis (5.4) 08/2024

1.6 Usage

To reduce the development of drug-resistant bacteria and maintain the effectiveness of piperacillin and tazobactam for injection and other antibacterial drugs, piperacillin and tazobactam for injection should be used only to treat or prevent infections that are proven or strongly suspected to be caused by bacteria. When culture and susceptibility information are available, they should be considered in selecting or modifying antibacterial therapy. In the absence of such data, local epidemiology and susceptibility patterns may contribute to the empiric selection of therapy.

10 Overdosage

There have been post-marketing reports of overdose with piperacillin and tazobactam. The majority of those events experienced, including nausea, vomiting, and diarrhea, have also been reported with the usual recommended dosages. Patients may experience neuromuscular excitability or seizures if higher than recommended doses are given intravenously (particularly in the presence of renal failure) [see Warnings and Precautions (5.6)].

Treatment should be supportive and symptomatic according to the patient’s clinical presentation. Excessive serum concentrations of either piperacillin or tazobactam may be reduced by hemodialysis. Following a single 3.375 g dose of piperacillin and tazobactam, the percentage of the piperacillin and tazobactam dose removed by hemodialysis was approximately 31% and 39%, respectively [see Clinical Pharmacology (12)].

15 References
  • 1.
    Jensen J-US, Hein L, Lundgren B, et al. BMJ Open 2012; 2:e000635. doi:10.1136.
8.1 Pregnancy

Risk Summary

Piperacillin and tazobactam cross the placenta in humans. However, there are insufficient data with piperacillin and/or tazobactam in pregnant women to inform a drug-associated risk for major birth defects and miscarriage. No fetal structural abnormalities were observed in rats or mice when piperacillin and tazobactam was administered intravenously during organogenesis at doses 1 to 2 times and 2 to 3 times the human dose of piperacillin and tazobactam, respectively, based on body-surface area (mg/m2). However, fetotoxicity in the presence of maternal toxicity was observed in developmental toxicity and peri/postnatal studies conducted in rats (intraperitoneal administration prior to mating and throughout gestation or from gestation day 17 through lactation day 21) at doses less than the maximum recommended human daily dose based on body-surface area (mg/m2) [see Data].

The background risk of major birth defects and miscarriage for the indicated population is unknown. In the U.S. general population, the estimated background risk of major birth defects and miscarriage in clinically recognized pregnancies is 2 to 4% and 15 to 20%, respectively.

Data

Animal Data

In embryo-fetal development studies in mice and rats, pregnant animals received intravenous doses of piperacillin and tazobactam up to 3000/750 mg/kg/day during the period of organogenesis. There was no evidence of teratogenicity up to the highest dose evaluated, which is 1 to 2 times and 2 to 3 times the human dose of piperacillin and tazobactam, in mice and rats respectively, based on body-surface area (mg/m2). Fetal body weights were reduced in rats at maternally toxic doses at or above 500/62.5 mg/kg/day, minimally representing 0.4 times the human dose of both piperacillin and tazobactam based on body-surface area (mg/m2).

A fertility and general reproduction study in rats using intraperitoneal administration of tazobactam or the combination piperacillin and tazobactam prior to mating and through the end of gestation, reported a decrease in litter size in the presence of maternal toxicity at 640 mg/kg/day tazobactam (4 times the human dose of tazobactam based on body-surface area), and decreased litter size and an increase in fetuses with ossification delays and variations of ribs, concurrent with maternal toxicity at ≥640/160 mg/kg/day piperacillin and tazobactam (0.5 times and 1 times the human dose of piperacillin and tazobactam, respectively, based on body-surface area).

Peri/postnatal development in rats was impaired with reduced pup weights, increased stillbirths, and increased pup mortality concurrent with maternal toxicity after intraperitoneal administration of tazobactam alone at doses ≥320 mg/kg/day (2 times the human dose based on body surface area) or of the combination piperacillin and tazobactam at doses ≥640/160 mg/kg/day (0.5 times and 1 times the human dose of piperacillin and tazobactam, respectively, based on body-surface area) from gestation day 17 through lactation day 21.

8.2 Lactation

Risk Summary

Piperacillin is excreted in human milk; tazobactam concentrations in human milk have not been studied. No information is available on the effects of piperacillin and tazobactam on the breast-fed child or on milk production. The developmental and health benefits of breastfeeding should be considered along with the mother’s clinical need for piperacillin and tazobactam for injection and any potential adverse effects on the breastfed child from piperacillin and tazobactam for injection or from the underlying maternal condition.

11 Description

Piperacillin and tazobactam for injection, USP is an injectable antibacterial combination product consisting of the semisynthetic antibacterial piperacillin sodium and the beta-lactamase inhibitor tazobactam sodium for intravenous administration.

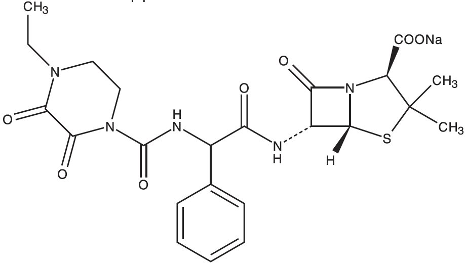
Piperacillin sodium is derived from D(-)-α-aminobenzyl-penicillin. The chemical name of piperacillin sodium is sodium (2S,5R,6R)-6-[(R)-2-(4-ethyl-2,3-dioxo-1-piperazine‑carboxamido)-2-phenylacetamido]-3,3-dimethyl-7-oxo-4-thia-1-azabicyclo[3.2.0]heptane-2‑carboxylate. The chemical formula is C23H26N5NaO7S and the molecular weight is 539.5. The chemical structure of piperacillin sodium is:

Tazobactam sodium, a derivative of the penicillin nucleus, is a penicillanic acid sulfone. Its chemical name is sodium (2S,3S,5R)-3-methyl-7-oxo-3-(1H-1,2,3-triazol-1-ylmethyl)-4-thia-1‑azabicyclo[3.2.0]heptane-2-carboxylate-4,4-dioxide. The chemical formula is C10H11N4NaO5S and the molecular weight is 322.3. The chemical structure of tazobactam sodium is:

Piperacillin and tazobactam for injection, USP, is a white to yellowish sterile, cryodesiccated powder consisting of piperacillin and tazobactam as their sodium salts packaged in glass vials. The product does not contain excipients or preservatives. Dilute solutions are colorless to yellowish.

Each piperacillin and tazobactam for injection, USP 2.25 g single-dose vial contains an amount of drug sufficient for withdrawal of piperacillin sodium equivalent to 2 grams of piperacillin and tazobactam sodium equivalent to 0.25 g of tazobactam. Each vial contains 4.69 mEq (108 mg) of sodium.

Each piperacillin and tazobactam for injection, USP 3.375 g single-dose vial contains an amount of drug sufficient for withdrawal of piperacillin sodium equivalent to 3 grams of piperacillin and tazobactam sodium equivalent to 0.375 g of tazobactam. Each vial contains 7.04 mEq (162 mg) of sodium.

Each piperacillin and tazobactam for injection, USP 4.5 g single-dose vial contains an amount of drug sufficient for withdrawal of piperacillin sodium equivalent to 4 grams of piperacillin and tazobactam sodium equivalent to 0.5 g of tazobactam. Each vial contains 9.39 mEq (216 mg) of sodium.

Piperacillin and tazobactam for injection, USP contains a total of 2.35 mEq (54 mg) of sodium (Na+) per gram of piperacillin in the combination product.

Meets USP Organic Impurities Procedure 3.

7.2 Probenecid

Probenecid administered concomitantly with piperacillin and tazobactam for injection prolongs the half-life of piperacillin by 21% and that of tazobactam by 71% because probenecid inhibits tubular renal secretion of both piperacillin and tazobactam. Probenecid should not be co-administered with piperacillin and tazobactam for injection unless the benefit outweighs the risk.

7.3 Vancomycin

Studies have detected an increased incidence of acute kidney injury in patients concomitantly administered piperacillin and tazobactam and vancomycin as compared to vancomycin alone [see Warnings and Precautions (5.7)]. Monitor kidney function in patients concomitantly administered with piperacillin and tazobactam and vancomycin.

No pharmacokinetic interactions have been noted between piperacillin and tazobactam and vancomycin.

7.5 Vecuronium

Piperacillin when used concomitantly with vecuronium has been implicated in the prolongation of the neuromuscular blockade of vecuronium. Piperacillin and tazobactam for injection could produce the same phenomenon if given along with vecuronium. Due to their similar mechanism of action, it is expected that the neuromuscular blockade produced by any of the non-depolarizing neuromuscular blockers could be prolonged in the presence of piperacillin. Monitor for adverse reactions related to neuromuscular blockade (see package insert for vecuronium bromide).

4.5 Grams Label

NDC 0781-3114-95

Piperacillin and Tazobactam

for Injection, USP

4.5 grams* per vial

Rx only

10 x 4.5 gram Single-Dose Vials

For Intravenous Use Only

SANDOZ

2.25 Grams Label

NDC 0781-3110-95

Piperacillin and Tazobactam

for Injection, USP

2.25 grams* per vial

Rx only

10 x 2.25 gram Single-Dose Vials

For Intravenous Use Only

SANDOZ

7.6 Methotrexate

Limited data suggests that co-administration of methotrexate and piperacillin may reduce the clearance of methotrexate due to competition for renal secretion. The impact of tazobactam on the elimination of methotrexate has not been evaluated. If concurrent therapy is necessary, serum concentrations of methotrexate as well as the signs and symptoms of methotrexate toxicity should be frequently monitored.

12.4 Microbiology

Mechanism of Action

Piperacillin sodium exerts bactericidal activity by inhibiting septum formation and cell wall synthesis of susceptible bacteria. In vitro, piperacillin is active against a variety of gram-positive and gram-negative aerobic and anaerobic bacteria. Tazobactam sodium has little clinically relevant in vitro activity against bacteria due to its reduced affinity to penicillin-binding proteins. It is, however, a beta-lactamase inhibitor of the Molecular class A enzymes, including Richmond-Sykes class III (Bush class 2b & 2b') penicillinases and cephalosporinases. It varies in its ability to inhibit class II and IV (2a & 4) penicillinases. Tazobactam does not induce chromosomally-mediated beta-lactamases at tazobactam concentrations achieved with the recommended dosage regimen.

Antimicrobial Activity

Piperacillin and tazobactam has been shown to be active against most isolates of the following microorganisms, both in vitro and in clinical infections [see Indications and Usage (1)].

Aerobic Bacteria

Gram-positive bacteria

Staphylococcus aureus (methicillin susceptible isolates only)

Gram-negative bacteria

Acinetobacter baumannii

Escherichia coli

Haemophilus influenzae (excluding beta-lactamase negative, ampicillin-resistant isolates)

Klebsiella pneumoniae

Pseudomonas aeruginosa (given in combination with an aminoglycoside to which the isolate is susceptible)

Anaerobic Bacteria

Bacteroides fragilis group (B. fragilis, B. ovatus, B. thetaiotaomicron, and B. vulgatus)

The following in vitro data are available, but their clinical significance is unknown. At least 90 percent of the following bacteria exhibit an in vitro minimum inhibitory concentration (MIC) less than or equal to the susceptible breakpoint for piperacillin and tazobactam against isolates of similar genus or organism group.

However, the efficacy of piperacillin and tazobactam in treating clinical infections caused by these bacteria has not been established in adequate and well-controlled clinical trials.

Aerobic Bacteria

Gram-positive bacteria

Enterococcus faecalis (ampicillin or penicillin-susceptible isolates only)

Staphylococcus epidermidis (methicillin susceptible isolates only)

Streptococcus agalactiae

Streptococcus pneumoniae (penicillin-susceptible isolates only)

Streptococcus pyogenes

Viridans group streptococci

Gram-negative bacteria

Citrobacter koseri

Moraxella catarrhalis

Morganella morganii

Neisseria gonorrhoeae

Proteus mirabilis

Proteus vulgaris

Serratia marcescens

Providencia stuartii

Providencia rettgeri

Salmonella enterica

Anaerobic Bacteria

Clostridium perfringens

Bacteroides distasonis

Prevotella melaninogenica

These are not beta-lactamase producing bacteria and, therefore, are susceptible to piperacillin alone.

Susceptibility Testing

For specific information regarding susceptibility test interpretive criteria, and associated test methods and quality control standards recognized by FDA for this drug, please see: https://www.fda.gov/STIC.

3.375 Grams Label

NDC 0781-3113-95

Piperacillin and Tazobactam

For Injection, USP

3.375 grams* per vial

Rx only

10 x 3.375 gram Single-Dose Vials

For Intravenous Use Only

SANDOZ

8.4 Pediatric Use

The safety and effectiveness of piperacillin and tazobactam for injection for intra-abdominal infections, and nosocomial pneumonia have been established in pediatric patients 2 months of age and older.

Use of piperacillin and tazobactam for injection in pediatric patients 2 months of age and older with intra-abdominal infections including appendicitis and/or peritonitis is supported by evidence from well-controlled studies and pharmacokinetic studies in adults and in pediatric patients. This includes a prospective, randomized, comparative, open-label clinical trial with 542 pediatric patients 2 to 12 years of age with intra-abdominal infections (including appendicitis and/or peritonitis), in which 273 pediatric patients received piperacillin and tazobactam [see Adverse Reactions (6.1) and Clinical Pharmacology (12.3)].

Use of piperacillin and tazobactam for injection in pediatric patients 2 months of age and older with nosocomial pneumonia is supported by evidence from well-controlled studies in adults with nosocomial pneumonia, a simulation study performed with a population pharmacokinetic model, and a retrospective, cohort study of pediatric patients with nosocomial pneumonia in which 140 pediatric patients were treated with piperacillin and tazobactam for injection and 267 patients treated with comparators (which included ticarcillin-clavulanate, carbapenems, ceftazidime, cefepime, or ciprofloxacin) [see Adverse Reactions (6.1) and Clinical Pharmacology (12.3)].

The safety and effectiveness of piperacillin and tazobactam for injection have not been established in pediatric patients less than 2 months of age [see Clinical Pharmacology (12) and Dosage and Administration (2)].

Dosage of piperacillin and tazobactam for injection in pediatric patients with renal impairment has not been determined.

8.5 Geriatric Use

Patients over 65 years are not at an increased risk of developing adverse effects solely because of age. However, dosage should be adjusted in the presence of renal impairment [see Dosage and Administration (2)].

In general, dose selection for an elderly patient should be cautious, usually starting at the low end of the dosing range, reflecting the greater frequency of decreased hepatic, renal, or cardiac function, and of concomitant disease or other drug therapy.

Piperacillin and tazobactam for injection contains 54 mg (2.35 mEq) of sodium per gram of piperacillin in the combination product. At the usual recommended doses, patients would receive between 648 and 864 mg/day (28.2 and 37.6 mEq) of sodium. The geriatric population may respond with a blunted natriuresis to salt loading. This may be clinically important with regard to such diseases as congestive heart failure.

This drug is known to be substantially excreted by the kidney, and the risk of toxic reactions to this drug may be greater in patients with impaired renal function. Because elderly patients are more likely to have decreased renal function, care should be taken in dose selection, and it may be useful to monitor renal function.

5.4 Rhabdomyolysis

Rhabdomyolysis has been reported with the use of Piperacillin and tazobactam for injection [see Adverse Reactions (6.2)]. If signs or symptoms of rhabdomyolysis such as muscle pain, tenderness or weakness, dark urine, or elevated creatine phosphokinase are observed, discontinue Piperacillin and tazobactam for injection and initiate appropriate therapy.

7.4 Anticoagulants

Coagulation parameters should be tested more frequently and monitored regularly during simultaneous administration of high doses of heparin, oral anticoagulants, or other drugs that may affect the blood coagulation system or the thrombocyte function [see Warnings and Precautions (5.5)].

4 Contraindications

Piperacillin and tazobactam for injection is contraindicated in patients with a history of allergic reactions to any of the penicillins, cephalosporins, or beta-lactamase inhibitors.

6 Adverse Reactions

The most common adverse reactions (incidence >5%) are diarrhea, constipation, nausea, headache, and insomnia. (6.1)

To report SUSPECTED ADVERSE REACTIONS, contact Sandoz Inc. at 1-800-525-8747 or FDA at 1-800-FDA-1088 or www.fda.gov/medwatch.

7 Drug Interactions
  • Piperacillin and tazobactam for injection administration can significantly reduce tobramycin concentrations in hemodialysis patients. Monitor tobramycin concentrations in these patients. (7.1)
  • Probenecid prolongs the half-lives of piperacillin and tazobactam and should not be co-administered with piperacillin and tazobactam for injection unless the benefit outweighs the risk. (7.2)
  • Co-administration of piperacillin and tazobactam with vancomycin may increase the incidence of acute kidney injury. Monitor kidney function in patients receiving piperacillin and tazobactam and vancomycin. (7.3)
  • Monitor coagulation parameters in patients receiving piperacillin and tazobactam for injection and heparin or oral anticoagulants. (7.4)
  • Piperacillin and tazobactam for injection may prolong the neuromuscular blockade of vecuronium and other non-depolarizing neuromuscular blockers. Monitor for adverse reactions related to neuromuscular blockade. (7.5)
7.1 Aminoglycosides

Piperacillin may inactivate aminoglycosides by converting them to microbiologically inert amides.

In vivo inactivation:

When aminoglycosides are administered in conjunction with piperacillin to patients with end-stage renal disease requiring hemodialysis, the concentrations of the aminoglycosides (especially tobramycin) may be significantly reduced and should be monitored.

Sequential administration of piperacillin and tazobactam for injection and tobramycin to patients with either normal renal function or mild to moderate renal impairment has been shown to modestly decrease serum concentrations of tobramycin but no dosage adjustment is considered necessary.

In vitro inactivation:

Due to the in vitro inactivation of aminoglycosides by piperacillin, piperacillin and tazobactam for injection and aminoglycosides are recommended for separate administration. Piperacillin and tazobactam for injection and aminoglycosides should be reconstituted, diluted, and administered separately when concomitant therapy with aminoglycosides is indicated. Piperacillin and tazobactam for injection is compatible with amikacin and gentamicin for simultaneous Y-site infusion in certain diluents and at specific concentrations. Piperacillin and tazobactam for injection is not compatible with tobramycin for simultaneous Y-site infusion [see Dosage and Administration (2.6)].

8.6 Renal Impairment

In patients with creatinine clearance ≤40 mL/min and dialysis patients (hemodialysis and CAPD), the intravenous dose of piperacillin and tazobactam for injection should be reduced to the degree of renal function impairment [see Dosage and Administration (2)].

12.2 Pharmacodynamics

The pharmacodynamic parameter for piperacillin and tazobactam that is most predictive of clinical and microbiological efficacy is time above MIC.

12.3 Pharmacokinetics

The mean and coefficients of variation (CV%) for the pharmacokinetic parameters of piperacillin and tazobactam after multiple intravenous doses are summarized in Table 8.

Table 8: Mean (CV%) Piperacillin and Tazobactam PK Parameters

Piperacillin

Piperacillin and

Tazobactam

Dose*



Cmax

(mcg/mL)



AUC

(mcg•h/mL)



CL

(mL/min)



V

(L)



T1/2

(h)



CLR

(mL/min)

2.25 g

134

131 [14]

257

17.4

0.79

-

3.375 g

242

242 [10]

207

15.1

0.84

140

4.5 g

298

322 [16]

210

15.4

0.84

-

Tazobactam

Piperacillin and Tazobactam

Dose*



Cmax

(mcg/mL)



AUC

(mcg•h/mL)



CL

(mL/min)



V

(L)



T1/2

(h)



CLR

(mL/min)

2.25 g

15

16 [21]

258

17

0.77

-

3.375 g

24

25 [8]

251

14.8

0.68

166

4.5 g

34

39.8 [15]

206

14.7

0.82

-

* Piperacillin and tazobactam were given in combination, infused over 30 minutes.

† Numbers in [ ] parentheses are coefficients of variation [CV%].

Cmax: maximum observed concentration, AUC: Area under the curve, CL=clearance, CLR= Renal clearance

V=volume of distribution, T1/2 = elimination half-life

Peak plasma concentrations of piperacillin and tazobactam are attained immediately after completion of an intravenous infusion of piperacillin and tazobactam for injection. Piperacillin plasma concentrations, following a 30-minute infusion of piperacillin and tazobactam for injection, were similar to those attained when equivalent doses of piperacillin were administered alone. Steady-state plasma concentrations of piperacillin and tazobactam were similar to those attained after the first dose due to the short half-lives of piperacillin and tazobactam.

Distribution

Both piperacillin and tazobactam are approximately 30% bound to plasma proteins. The protein binding of either piperacillin or tazobactam is unaffected by the presence of the other compound. Protein binding of the tazobactam metabolite is negligible.

Piperacillin and tazobactam are widely distributed into tissues and body fluids including intestinal mucosa, gallbladder, lung, female reproductive tissues (uterus, ovary, and fallopian tube), interstitial fluid, and bile. Mean tissue concentrations are generally 50% to 100% of those in plasma. Distribution of piperacillin and tazobactam into cerebrospinal fluid is low in subjects with non-inflamed meninges, as with other penicillins (see Table 9).

Table 9: Piperacillin and Tazobactam Concentrations in Selected Tissues and Fluids after Single 4 g/0.5 g 30-min IV Infusion of Piperacillin and Tazobactam for Injection




Tissue

or Fluid






N


Sampling

period

(h)
Mean PIP

Concentration

Range

(mg/L)


Tissue:

Plasma

Range
Tazo

Concentration

Range

(mg/L)
Tazo

Tissue:

Plasma

Range

Skin

35

0.5 – 4.5

34.8 – 94.2

0.6 – 1.1

4 – 7.7

0.49 – 0.93

Fatty Tissue

37

0.5 – 4.5

4 – 10.1

0.097 – 0.115

0.7 – 1.5

0.1 – 0.13

Muscle

36

0.5 – 4.5

9.4 – 23.3

0.29 – 0.18

1.4 – 2.7

0.18 – 0.3

Proximal Intestinal Mucosa

7

1.5 – 2.5

31.4

0.55

10.3

1.15

Distal Intestinal Mucosa

7

1.5 – 2.5

31.2

0.59

14.5

2.1

Appendix

22

0.5 – 2.5

26.5 – 64.1

0.43 – 0.53

9.1 – 18.6

0.8 – 1.35

* Each subject provided a single sample.

† Time from the start of the infusion.

Metabolism

Piperacillin is metabolized to a minor microbiologically active desethyl metabolite. Tazobactam is metabolized to a single metabolite that lacks pharmacological and antibacterial activities.

Excretion

Following single or multiple piperacillin and tazobactam for injection doses to healthy subjects, the plasma half-life of piperacillin and of tazobactam ranged from 0.7 to 1.2 hours and was unaffected by dose or duration of infusion.

Both piperacillin and tazobactam are eliminated via the kidney by glomerular filtration and tubular secretion. Piperacillin is excreted rapidly as unchanged drug with 68% of the administered dose excreted in the urine. Tazobactam and its metabolite are eliminated primarily by renal excretion with 80% of the administered dose excreted as unchanged drug and the remainder as the single metabolite. Piperacillin, tazobactam and desethyl piperacillin are also secreted into the bile.

Specific Populations

Renal Impairment

After the administration of single doses of piperacillin and tazobactam to subjects with renal impairment, the half-life of piperacillin and of tazobactam increases with decreasing creatinine clearance. At creatinine clearance below 20 mL/min, the increase in half-life is twofold for piperacillin and fourfold for tazobactam compared to subjects with normal renal function. Dosage adjustments for piperacillin and tazobactam for injection are recommended when creatinine clearance is below 40 mL/min in patients receiving the usual recommended daily dose of piperacillin and tazobactam for injection. See Dosage and Administration (2) for specific recommendations for the treatment of patients with renal-impairment.

Hemodialysis removes 30% to 40% of a piperacillin and tazobactam dose with an additional 5% of the tazobactam dose removed as the tazobactam metabolite. Peritoneal dialysis removes approximately 6% and 21% of the piperacillin and tazobactam doses, respectively, with up to 16% of the tazobactam dose removed as the tazobactam metabolite. For dosage recommendations for patients undergoing hemodialysis [see Dosage and Administration (2)].

Hepatic Impairment

The half-life of piperacillin and of tazobactam increases by approximately 25% and 18%, respectively, in patients with hepatic cirrhosis compared to healthy subjects. However, this difference does not warrant dosage adjustment of piperacillin and tazobactam for injection due to hepatic cirrhosis.

Pediatrics

Piperacillin and tazobactam pharmacokinetics were studied in pediatric patients 2 months of age and older. The clearance of both compounds is slower in the younger patients compared to older children and adults.

In a population PK analysis, estimated clearance for 9 month-old to 12 year-old patients was comparable to adults, with a population mean (SE) value of 5.64 (0.34) mL/min/kg. The piperacillin clearance estimate is 80% of this value for pediatric patients 2 to 9 months old. In patients younger than 2 months of age, clearance of piperacillin is slower compared to older children; however, it is not adequately characterized for dosing recommendations. The population mean (SE) for piperacillin volume of distribution is 0.243 (0.011) L/kg and is independent of age.

Geriatrics

The impact of age on the pharmacokinetics of piperacillin and tazobactam was evaluated in healthy male subjects, aged 18 to 35 years (n=6) and aged 65 to 80 years (n=12). Mean half-life for piperacillin and tazobactam was 32% and 55% higher, respectively, in the elderly compared to the younger subjects. This difference may be due to age-related changes in creatinine clearance.

Race

The effect of race on piperacillin and tazobactam was evaluated in healthy male volunteers. No difference in piperacillin or tazobactam pharmacokinetics was observed between Asian (n=9) and Caucasian (n=9) healthy volunteers who received single 4/0.5 g doses.

Drug Interactions

The potential for pharmacokinetic drug interactions between piperacillin and tazobactam for injection and aminoglycosides, probenecid, vancomycin, heparin, vecuronium, and methotrexate has been evaluated [see Drug Interactions (7)].

8.7 Hepatic Impairment

Dosage adjustment of piperacillin and tazobactam for injection is not warranted in patients with hepatic cirrhosis [see Clinical Pharmacology (12.3)].

1 Indications and Usage

Piperacillin and tazobactam for injection is a combination of piperacillin, a penicillin-class antibacterial and tazobactam, a beta-lactamase inhibitor, indicated for the treatment of:

  • Intra-abdominal infections in adult and pediatric patients 2 months of age and older (1.1)
  • Nosocomial pneumonia in adult and pediatric patients 2 months of age and older (1.2)
  • Skin and skin structure infections in adults (1.3)
  • Female pelvic infections in adults (1.4)
  • Community-acquired pneumonia in adults (1.5)

To reduce the development of drug-resistant bacteria and maintain the effectiveness of piperacillin and tazobactam for injection and other antibacterial drugs, piperacillin and tazobactam for injection should be used only to treat or prevent infections that are proven or strongly suspected to be caused by bacteria. (1.6)

5.8 Electrolyte Effects

Piperacillin and tazobactam for injection contains a total of 2.35 mEq (54 mg) of Na+ (sodium) per gram of piperacillin in the combination product. This should be considered when treating patients requiring restricted salt intake.

Periodic electrolyte determinations should be performed in patients with low potassium reserves, and the possibility of hypokalemia should be kept in mind with patients who have potentially low potassium reserves and who are receiving cytotoxic therapy or diuretics.

1.2 Nosocomial Pneumonia

Piperacillin and tazobactam for injection is indicated in adults and pediatric patients (2 months of age and older) for the treatment of nosocomial pneumonia (moderate to severe) caused by beta-lactamase producing isolates of Staphylococcus aureus and by piperacillin and tazobactam-susceptible Acinetobacter baumannii, Haemophilus influenzae, Klebsiella pneumoniae, and Pseudomonas aeruginosa (Nosocomial pneumonia caused by P. aeruginosa should be treated in combination with an aminoglycoside) [see Dosage and Administration (2)].

12.1 Mechanism of Action

Piperacillin and tazobactam for injection is an antibacterial drug [see Microbiology (12.4)].

5 Warnings and Precautions
  • Serious hypersensitivity reactions (anaphylactic/anaphylactoid) reactions have been reported in patients receiving piperacillin and tazobactam for injection. Discontinue piperacillin and tazobactam for injection if a reaction occurs. (5.1)
  • Piperacillin and tazobactam for injection may cause severe cutaneous adverse reactions, such as Stevens-Johnson syndrome, toxic epidermal necrolysis, drug reaction with eosinophilia and systemic symptoms, and acute generalized exanthematous pustulosis. Discontinue piperacillin and tazobactam for injection for progressive rashes. (5.2)
  • Hemophagocytic lymphohistiocytosis (HLH) has been reported with the use of piperacillin and tazobactam for injection. If HLH is suspected, discontinue piperacillin and tazobactam for injection immediately. (5.3)
  • Rhabdomyolysis: If signs or symptoms of rhabdomyolysis are observed, discontinue Piperacillin and tazobactam for injection and initiate appropriate therapy. (5.4)
  • Hematological effects (including bleeding, leukopenia and neutropenia) have occurred. Monitor hematologic tests during prolonged therapy. (5.5)
  • As with other penicillins, piperacillin and tazobactam for injection may cause neuromuscular excitability or seizures. Patients receiving higher doses, especially in the presence of renal impairment may be at greater risk. Closely monitor patients with renal impairment or seizure disorders for signs and symptoms of neuromuscular excitability or seizures. (5.6)
  • Nephrotoxicity in critically ill patients has been observed; the use of Piperacillin and tazobactam for injection was found to be an independent risk factor for renal failure and was associated with delayed recovery of renal function as compared to other beta-lactam antibacterial drugs in a randomized, multicenter, controlled trial in critically ill patients. Based on this study, alternative treatment options should be considered in the critically ill population. If alternative treatment options are inadequate or unavailable, monitor renal function during treatment with Piperacillin and tazobactam for injection. (5.7)
  • Clostridioides difficile - associated diarrhea: evaluate patients if diarrhea occurs. (5.9)
2 Dosage and Administration
  • Adult Patients with Indications Other Than Nosocomial Pneumonia: The usual daily dosage of piperacillin and tazobactam for injection for adults is 3.375 g every six hours totaling 13.5 g (12 g piperacillin and 1.5 g tazobactam). (2.1)
  • Adult Patients with Nosocomial Pneumonia: Initial presumptive treatment of patients with nosocomial pneumonia should start with piperacillin and tazobactam for injection at a dosage of 4.5 g every six hours plus an aminoglycoside, totaling 18 g (16 g piperacillin and 2 g tazobactam). (2.2)
  • Adult Patients with Renal Impairment: Dosage in patients with renal impairment (creatinine clearance ≤ 40 mL/min) and dialysis patients should be reduced, based on the degree of renal impairment. (2.3)
  • Pediatric Patients by Indication and Age: See Table below. (2.4)

Recommended Dosage of Piperacillin and Tazobactam for Injection for Pediatric Patients 2 months of Age and Older, Weighing up to 40 kg and With Normal Renal Function

Age

Appendicitis and /or Peritonitis

Nosocomial Pneumonia

2 months to 9 months

90 mg/kg (80 mg piperacillin and 10 mg tazobactam) every 8 (eight) hours

90 mg/kg (80 mg piperacillin and 10 mg tazobactam) every 6 (six) hours

Older than 9 months

112.5 mg/kg (100 mg piperacillin and 12.5 mg tazobactam) every 8 (eight) hours

112.5 mg/kg (100 mg piperacillin and 12.5 mg tazobactam) every 6 (six) hours

  • Administer piperacillin and tazobactam for injection by intravenous infusion over 30 minutes to both adult and pediatric patients. (2.1, 2.2, 2.3, 2.4)
  • Piperacillin and tazobactam for injection and aminoglycosides should be reconstituted, diluted, and administered separately. Co-administration via Y-site can be done under certain conditions. (2.6)
  • See the full prescribing information for the preparation and administration instructions for piperacillin and tazobactam for injection single-dose vials.
1.4 Female Pelvic Infections

Piperacillin and tazobactam for injection is indicated in adults for the treatment of postpartum endometritis or pelvic inflammatory disease caused by beta-lactamase producing isolates of Escherichia coli.

3 Dosage Forms and Strengths

Piperacillin and tazobactam for injection, USP is supplied as a white to yellowish powder in vials of the following sizes:

Each piperacillin and tazobactam for injection, USP 2.25 g vial provides piperacillin sodium equivalent to 2 grams of piperacillin and tazobactam sodium equivalent to 0.25 g of tazobactam.

Each piperacillin and tazobactam for injection, USP 3.375 g vial provides piperacillin sodium equivalent to 3 grams of piperacillin and tazobactam sodium equivalent to 0.375 g of tazobactam.

Each piperacillin and tazobactam for injection, USP 4.5 g vial provides piperacillin sodium equivalent to 4 grams of piperacillin and tazobactam sodium equivalent to 0.5 g of tazobactam.

6.2 Post Marketing Experience

In addition to the adverse drug reactions identified in clinical trials in Table 6 and Table 7, the following adverse reactions have been identified during post-approval use of piperacillin and tazobactam for injection. Because these reactions are reported voluntarily from a population of uncertain size, it is not always possible to reliably estimate their frequency or establish a causal relationship to drug exposure.

Hepatobiliary - hepatitis, jaundice

Hematologic - hemolytic anemia, agranulocytosis, pancytopenia

Immune - hypersensitivity reactions, anaphylactic/anaphylactoid reactions (including shock), hemophagocytic lymphohistiocytosis (HLH), acute myocardial ischemia with or without myocardial infarction may occur as part of an allergic reaction.

Renal - interstitial nephritis

Nervous system disorders - seizures

Psychiatric disorders - delirium

Respiratory - eosinophilic pneumonia

Skin and Appendages - erythema multiforme, Stevens-Johnson syndrome, toxic epidermal necrolysis, drug reaction with eosinophilia and systemic symptoms, (DRESS), acute generalized exanthematous pustulosis (AGEP), dermatitis exfoliative, and linear IgA bullous dermatosis.

Musculoskeletal - rhabdomyolysis

Post-marketing experience with piperacillin and tazobactam for injection in pediatric patients suggests a similar safety profile to that seen in adults.

8 Use in Specific Populations

Dosage in patients with renal impairment (creatinine clearance ≤ 40 mL/min) should be reduced based on the degree of renal impairment. (2.3, 8.6)

1.1 Intra Abdominal Infections

Piperacillin and tazobactam for injection is indicated in adults and pediatric patients (2 months of age and older) for the treatment of appendicitis (complicated by rupture or abscess) and peritonitis caused by beta-lactamase producing isolates of Escherichia coli or the following members of the Bacteroides fragilis group: B. fragilis, B. ovatus, B. thetaiotaomicron, or B. vulgatus.

5.9 Clostridioides Difficile

Clostridioides difficile - associated diarrhea (CDAD) has been reported with use of nearly all antibacterial agents, including piperacillin and tazobactam for injection, and may range in severity from mild diarrhea to fatal colitis. Treatment with antibacterial agents alters the normal flora of the colon leading to overgrowth of C. difficile.

C. difficile produces toxins A and B which contribute to the development of CDAD. Hypertoxin producing strains of C. difficile cause increased morbidity and mortality, as these infections can be refractory to antimicrobial therapy and may require colectomy. CDAD must be considered in all patients who present with diarrhea following antibacterial drug use. Careful medical history is necessary since CDAD has been reported to occur over two months after the administration of antibacterial agents.

If CDAD is suspected or confirmed, ongoing antibacterial drug use not directed against C. difficile may need to be discontinued. Appropriate fluid and electrolyte management, protein supplementation, antibacterial treatment of C. difficile, and surgical evaluation should be instituted as clinically indicated.

6.1 Clinical Trials Experience

Because clinical trials are conducted under widely varying conditions, adverse reaction rates observed in the clinical trials of a drug cannot be directly compared to rates in the clinical trials of another drug and may not reflect the rates observed in practice.

Clinical Trials in Adult Patients

During the initial clinical investigations, 2621 patients worldwide were treated with piperacillin and tazobactam for injection in phase 3 trials. In the key North American monotherapy clinical trials (n=830 patients), 90% of the adverse events reported were mild to moderate in severity and transient in nature. However, in 3.2% of the patients treated worldwide, piperacillin and tazobactam for injection was discontinued because of adverse events primarily involving the skin (1.3%), including rash and pruritus; the gastrointestinal system (0.9%), including diarrhea, nausea, and vomiting; and allergic reactions (0.5%).

Table 6: Adverse Reactions from Piperacillin and Tazobactam for Injection Monotherapy Clinical Trials
System Organ Class

  Adverse Reaction

Gastrointestinal disorders

Diarrhea (11.3%)

Constipation (7.7%)

Nausea (6.9%)

Vomiting (3.3%)

Dyspepsia (3.3%)

Abdominal pain (1.3%)

General disorders and administration site conditions

Fever (2.4%)

Injection site reaction (≤1%)

Rigors (≤1%)

Immune system disorders

Anaphylaxis (≤1%)

Infections and infestations

Candidiasis (1.6%)

Pseudomembranous colitis (≤1%)

Metabolism and nutrition disorders

Hypoglycemia (≤1%)

Musculoskeletal and connective tissue disorders

Myalgia (≤1%)

Arthralgia (≤1%)

Nervous system disorders

Headache (7.7%)

Psychiatric disorders

Insomnia (6.6%)

Skin and subcutaneous tissue disorders

Rash (4.2%, including maculopapular, bullous, and urticarial)

Pruritus (3.1%)

Purpura (≤1%)

Vascular disorders

Phlebitis (1.3%)

Thrombophlebitis (≤1%)

Hypotension (≤1%)

Flushing (≤1%)

Respiratory, thoracic and mediastinal disorders

Epistaxis (≤1%)

Nosocomial Pneumonia Trials

Two trials of nosocomial lower respiratory tract infections were conducted. In one study, 222 patients were treated with piperacillin and tazobactam for injection in a dosing regimen of 4.5 g every 6 hours in combination with an aminoglycoside and 215 patients were treated with imipenem/cilastatin (500 mg/500 mg every 6 hours) in combination with an aminoglycoside. In this trial, treatment-emergent adverse events were reported by 402 patients, 204 (91.9%) in the piperacillin and tazobactam group and 198 (92.1%) in the imipenem/cilastatin group. Twenty-five (11%) patients in the piperacillin and tazobactam group and 14 (6.5%) in the imipenem/cilastatin group (p >0.05) discontinued treatment due to an adverse event.

The second trial used a dosing regimen of 3.375 g given every 4 hours with an aminoglycoside.

Table 7: Adverse Reactions from Piperacillin and Tazobactam Injection Plus Aminoglycoside Clinical Trials*
System Organ Class

  Adverse Reaction

Blood and lymphatic system disorders

Thrombocythemia (1.4%)

Anemia (≤1%)

Thrombocytopenia (≤1%)

Eosinophilia (≤1%)

Gastrointestinal disorders

Diarrhea (20%)

Constipation (8.4%)

Nausea (5.8%)

Vomiting (2.7%)

Dyspepsia (1.9%)

Abdominal pain (1.8%)

Stomatitis (≤1%)

General disorders and administration site conditions

Fever (3.2%)

Injection site reaction (≤1%)

Infections and infestations

Oral candidiasis (3.9%)

Candidiasis (1.8%)

Investigations

BUN increased (1.8%)

Blood creatinine increased (1.8%)

Liver function test abnormal (1.4%)

Alkaline phosphatase increased (≤1%)

Aspartate aminotransferase increased (≤1%)

Alanine aminotransferase increased (≤1%)

Metabolism and nutrition disorders

Hypoglycemia (≤1%)

Hypokalemia (≤1%)

Nervous system disorders

Headache (4.5%)

Psychiatric disorders

Insomnia (4.5%)

Renal and urinary disorders

Renal failure (≤1%)

Skin and subcutaneous tissue disorders

Rash (3.9%)

Pruritus (3.2%)

Vascular disorders

Thrombophlebitis (1.3%)

Hypotension (1.3%)

* For adverse drug reactions that appeared in both studies the higher frequency is presented.

Other Trials: Nephrotoxicity

In a randomized, multicenter, controlled trial in 1200 adult critically ill patients, piperacillin and tazobactam was found to be a risk factor for renal failure (odds ratio 1.7, 95% CI 1.18 to 2.43), and associated with delayed recovery of renal function as compared to other beta-lactam antibacterial drugs.1 [see Warnings and Precautions (5.7)].

Adverse Laboratory Changes (Seen During Clinical Trials)

Of the trials reported, including that of nosocomial lower respiratory tract infections in which a higher dose of piperacillin and tazobactam for injection was used in combination with an aminoglycoside, changes in laboratory parameters include:

Hematologic–decreases in hemoglobin and hematocrit, thrombocytopenia, increases in platelet count, eosinophilia, leukopenia, neutropenia. These patients were withdrawn from therapy; some had accompanying systemic symptoms (e.g., fever, rigors, chills)

Coagulation–positive direct Coombs’ test, prolonged prothrombin time, prolonged partial thromboplastin time

Hepatic–transient elevations of AST (SGOT), ALT (SGPT), alkaline phosphatase, bilirubin

Renal–increases in serum creatinine, blood urea nitrogen

Additional laboratory events include abnormalities in electrolytes (i.e., increases and decreases in sodium, potassium, and calcium), hyperglycemia, decreases in total protein or albumin, blood glucose decreased, gamma-glutamyltransferase increased, hypokalemia, and bleeding time prolonged.

Clinical Trials in Pediatric Patients

Clinical studies of piperacillin and tazobactam in pediatric patients suggest a similar safety profile to that seen in adults.

In a prospective, randomized, comparative, open-label clinical trial of pediatric patients, 2 to 12 years of age, with intra-abdominal infections (including appendicitis and/or peritonitis), 273 patients were treated with piperacillin and tazobactam 112.5 mg/kg given IV every 8 hours and 269 patients were treated with cefotaxime (50 mg/kg) plus metronidazole (7.5 mg/kg) every 8 hours. In this trial, treatment-emergent adverse events were reported by 146 patients, 73 (26.7%) in the piperacillin and tazobactam group and 73 (27.1%) in the cefotaxime/metronidazole group. Six patients (2.2%) in the piperacillin and tazobactam group and 5 patients (1.9%) in the cefotaxime/metronidazole group discontinued due to an adverse event.

In a retrospective, cohort study, 140 pediatric patients 2 months to less than 18 years of age with nosocomial pneumonia were treated with piperacillin and tazobactam and 267 patients were treated with comparators (which included ticarcillin-clavulanate, carbapenems, ceftazidime, cefepime, or ciprofloxacin). The rates of serious adverse reactions were generally similar between the piperacillin and tazobactam and comparator groups, including patients aged 2 months to 9 months treated with piperacillin and tazobactam 90 mg/kg IV every 6 hours and patients older than 9 months and less than 18 years of age treated with piperacillin and tazobactam 112.5 mg/kg IV every 6 hours.

7.7 Effects On Laboratory Tests

There have been reports of positive test results using the Bio-Rad Laboratories Platelia Aspergillus EIA test in patients receiving piperacillin and tazobactam injection who were subsequently found to be free of Aspergillus infection. Cross-reactions with non-Aspergillus polysaccharides and polyfuranoses with the Bio-Rad Laboratories Platelia Aspergillus EIA test have been reported. Therefore, positive test results in patients receiving piperacillin and tazobactam should be interpreted cautiously and confirmed by other diagnostic methods.

As with other penicillins, the administration of piperacillin and tazobactam for injection may result in a false-positive reaction for glucose in the urine using a copper-reduction method (CLINITEST®). It is recommended that glucose tests based on enzymatic glucose oxidase reactions be used.

1.5 Community Acquired Pneumonia

Piperacillin and tazobactam for injection is indicated in adults for the treatment of community-acquired pneumonia (moderate severity only) caused by beta-lactamase producing isolates of Haemophilus influenzae.

17 Patient Counseling Information

Serious Hypersensitivity Reactions

Advise patients, their families, or caregivers that serious hypersensitivity reactions, including serious allergic cutaneous reactions, could occur with use of piperacillin and tazobactam for injection that require immediate treatment. Ask them about any previous hypersensitivity reactions to piperacillin and tazobactam for injection, other beta-lactams (including cephalosporins), or other allergens [see Warnings and Precautions (5.2)].

Hemophagocytic Lymphohistiocytosis

Prior to initiation of treatment with piperacillin and tazobactam for injection, inform patients that excessive immune activation may occur with piperacillin and tazobactam for injection and that they should report signs or symptoms such as fever, rash, or lymphadenopathy to a healthcare provider immediately [see Warnings and Precautions (5.3)].

Diarrhea

Advise patients, their families, or caregivers that diarrhea is a common problem caused by antibacterial drugs, including piperacillin and tazobactam which usually ends when the drug is discontinued. Sometimes after starting treatment with antibacterial drugs, patients can develop watery and bloody stools (with or without stomach cramps and fever) even as late as two or more months after having taken the last dose of the drug. If this occurs, patients should contact their physician as soon as possible [see Warnings and Precautions (5.9)].

Antibacterial Resistance

Patients should be counseled that antibacterial drugs including piperacillin and tazobactam for injection should only be used to treat bacterial infections. They do not treat viral infections (e.g., the common cold). When piperacillin and tazobactam for injection is prescribed to treat a bacterial infection, patients should be told that although it is common to feel better early in the course of therapy, the medication should be taken exactly as directed. Skipping doses or not completing the full course of therapy may (1) decrease the effectiveness of the immediate treatment and (2) increase the likelihood that bacteria will develop resistance and will not be treatable by piperacillin and tazobactam for injection or other antibacterial drugs in the future.

Pregnancy and Lactation

Patients should be counseled that piperacillin and tazobactam can cross the placenta in humans and is excreted in human milk [see Use in Specific Populations (8.1, 8.2)].

Manufactured by Sandoz GmbH for

Sandoz Inc., Princeton, NJ 08540

CLINITEST® is a registered trademark of Siemens Healthcare Diagnostics Inc.

5.5 Hematologic Adverse Reactions

Bleeding manifestations have occurred in some patients receiving beta-lactam drugs, including piperacillin. These reactions have sometimes been associated with abnormalities of coagulation tests such as clotting time, platelet aggregation and prothrombin time, and are more likely to occur in patients with renal failure. If bleeding manifestations occur, piperacillin and tazobactam for injection should be discontinued and appropriate therapy instituted.

The leukopenia/neutropenia associated with piperacillin and tazobactam for injection administration appears to be reversible and most frequently associated with prolonged administration.

Periodic assessment of hematopoietic function should be performed, especially with prolonged therapy, i.e., ≥21 days [see Adverse Reactions (6.1)].

8.8 Patients With Cystic Fibrosis

As with other semisynthetic penicillins, piperacillin therapy has been associated with an increased incidence of fever and rash in cystic fibrosis patients.

16 How Supplied/storage and Handling

Piperacillin and tazobactam for injection, USP is supplied as single-dose vials in the following sizes:

Each piperacillin and tazobactam for injection, USP 2.25 g vial provides piperacillin sodium equivalent to 2 grams of piperacillin and tazobactam sodium equivalent to 0.25 g of tazobactam. Each vial contains 4.69 mEq (108 mg) of sodium.

Supplied 10 per box – NDC 0781-3110-95

Each piperacillin and tazobactam for injection, USP 3.375 g single-dose vial provides piperacillin sodium equivalent to 3 grams of piperacillin and tazobactam sodium equivalent to 0.375 g of tazobactam. Each vial contains 7.04 mEq (162 mg) of sodium.

Supplied 10 per box – NDC 0781-3113-95

Each piperacillin and tazobactam for injection, USP 4.5 g single-dose vial provides piperacillin sodium equivalent to 4 grams of piperacillin and tazobactam sodium equivalent to 0.5 g of tazobactam. Each vial contains 9.39 mEq (216 mg) of sodium.

Supplied 10 per box – NDC 0781-3114-95

Piperacillin and tazobactam for injection, USP vials should be stored at 20° to 25°C (68° to 77°F) [see USP Controlled Room Temperature] prior to reconstitution.

1.3 Skin and Skin Structure Infections

Piperacillin and tazobactam for injection is indicated in adults for the treatment of uncomplicated and complicated skin and skin structure infections, including cellulitis, cutaneous abscesses and ischemic/diabetic foot infections caused by beta-lactamase producing isolates of Staphylococcus aureus.

2.6 Compatibility With Aminoglycosides

Due to the in vitro inactivation of aminoglycosides by piperacillin, piperacillin and tazobactam for injection and aminoglycosides are recommended for separate administration. Piperacillin and tazobactam for injection and aminoglycosides should be reconstituted, diluted, and administered separately when concomitant therapy with aminoglycosides is indicated [see Drug Interactions (7.1)].

In circumstances where co-administration via Y-site is necessary, piperacillin and tazobactam for injection is compatible for simultaneous co-administration via Y-site infusion only with the following aminoglycosides under the following conditions:

Table 5 : Compatibility with Aminoglycosides
Aminoglycoside Piperacillin and

Tazobactam for

Injection Dose

(grams)
Piperacillin and

Tazobactam for

Injection Diluent

Volume (mL)
Aminoglycoside

Concentration

Range

(mg/mL)
Acceptable

Diluents

Amikacin

2.25

3.375

4.5

50

100

150

1.75 – 7.5

0.9% sodium chloride or 5% dextrose

Gentamicin

2.25

3.375

4.5

50

100

150

0.7 – 3.32

0.9% sodium chloride or 5% dextrose

* Diluent volumes apply only to single vials and bulk pharmacy containers.

† The concentration ranges in Table 5 are based on administration of the aminoglycoside in divided doses (10 to 15 mg/kg/day in two daily doses for amikacin and 3 to 5 mg/kg/day in three daily doses for gentamicin). Administration of amikacin or gentamicin in a single daily dose or in doses exceeding those stated above via Y-site with piperacillin and tazobactam for injection has not been evaluated. See package insert for each aminoglycoside for complete Dosage and Administration instructions.

Only the concentration and diluents for amikacin or gentamicin with the dosages of piperacillin and tazobactam for injection listed above have been established as compatible for co-administration via Y-site infusion. Simultaneous co-administration via Y-site infusion in any manner other than listed above may result in inactivation of the aminoglycoside by piperacillin and tazobactam for injection.

Piperacillin and tazobactam for injection is not compatible with tobramycin for simultaneous co-administration via Y-site infusion. Compatibility of piperacillin and tazobactam for injection with other aminoglycosides has not been established.

Parenteral drug products should be inspected visually for particulate matter and discoloration prior to administration, whenever solution and container permit.

5.1 Hypersensitivity Adverse Reactions

Serious and occasionally fatal hypersensitivity (anaphylactic/anaphylactoid) reactions (including shock) have been reported in patients receiving therapy with piperacillin and tazobactam for injection. These reactions are more likely to occur in individuals with a history of penicillin, cephalosporin, or carbapenem hypersensitivity or a history of sensitivity to multiple allergens. Before initiating therapy with piperacillin and tazobactam for injection, careful inquiry should be made concerning previous hypersensitivity reactions. If an allergic reaction occurs, piperacillin and tazobactam for injection should be discontinued and appropriate therapy instituted.

5.2 Severe Cutaneous Adverse Reactions

Piperacillin and tazobactam for injection may cause severe cutaneous adverse reactions, such as Stevens-Johnson syndrome, toxic epidermal necrolysis, drug reaction with eosinophilia and systemic symptoms, and acute generalized exanthematous pustulosis. If patients develop a skin rash they should be monitored closely and piperacillin and tazobactam for injection discontinued if lesions progress.

5.3 Hemophagocytic Lymphohistiocytosis

Cases of hemophagocytic lymphohistiocytosis (HLH) have been reported in pediatric and adult patients treated with piperacillin and tazobactam for injection. Signs and symptoms of HLH may include fever, rash, lymphadenopathy, hepatosplenomegaly and cytopenia. If HLH is suspected, discontinue piperacillin and tazobactam for injection immediately and institute appropriate management.

5.10 Development of Drug Resistant Bacteria

Prescribing piperacillin and tazobactam for injection in the absence of a proven or strongly suspected bacterial infection or a prophylactic indication is unlikely to provide benefit to the patient and increases the risk of development of drug-resistant bacteria.

6.3 Additional Experience With Piperacillin

The following adverse reaction has also been reported for piperacillin for injection:

Skeletal–prolonged neuromuscular blockade [see Drug Interactions (7.5)].

5.6 Central Nervous System Adverse Reactions

As with other penicillins, piperacillin and tazobactam for injection may cause neuromuscular excitability or seizures. Patients receiving higher doses, especially patients with renal impairment may be at greater risk for central nervous system adverse reactions. Closely monitor patients with renal impairment or seizure disorders for signs and symptoms of neuromuscular excitability or seizures [see Adverse Reactions (6.2)].

5.7 Nephrotoxicity in Critically Ill Patients

The use of Piperacillin and tazobactam for injection was found to be an independent risk factor for renal failure and was associated with delayed recovery of renal function as compared to other beta-lactam antibacterial drugs in a randomized, multicenter, controlled trial in critically ill patients [see Adverse Reactions (6.1)]. Based on this study, alternative treatment options should be considered in the critically ill population. If alternative treatment options are inadequate or unavailable, monitor renal function during treatment with Piperacillin and tazobactam for injection [see Dosage and Administration (2.3)].

Combined use of piperacillin and tazobactam and vancomycin may be associated with an increased incidence of acute kidney injury [see Drug Interactions (7.3)].

2.3 Dosage in Adult Patients With Renal Impairment

In adult patients with renal impairment (creatinine clearance ≤ 40 mL/min) and dialysis patients (hemodialysis and CAPD), the intravenous dose of piperacillin and tazobactam for injection should be reduced based on the degree of renal impairment. The recommended daily dosage of piperacillin and tazobactam for injection for patients with renal impairment administered by intravenous infusion over 30 minutes is described in Table 1.

Table 1: Recommended Dosage of Piperacillin and Tazobactam for Injection in Patients with Normal Renal Function and Renal Impairment (As total grams piperacillin and tazobactam) *

Creatinine Clearance,

mL/min
All Indications

(except nosocomial

pneumonia)
Nosocomial

Pneumonia

Greater than 40 mL/min

3.375 every 6 hours

4.5 every 6 hours

20 to 40 mL/min

2.25 every 6 hours

3.375 every 6 hours

Less than 20 mL/min

2.25 every 8 hours

2.25 every 6 hours

Hemodialysis

2.25 every 12 hours

2.25 every 8 hours

CAPD

2.25 every 12 hours

2.25 every 8 hours

* Administer piperacillin and tazobactam for injection by intravenous infusion over 30 minutes.

† Creatinine clearance for patients not receiving hemodialysis

‡ 0.75 g (0.67 g piperacillin and 0.08 g tazobactam) should be administered following each hemodialysis session on hemodialysis days

For patients on hemodialysis, the maximum dose is 2.25 g every twelve hours for all indications other than nosocomial pneumonia and 2.25 g every eight hours for nosocomial pneumonia. Since hemodialysis removes 30% to 40% of the administered dose, an additional dose of 0.75 g piperacillin and tazobactam for injection (0.67 g piperacillin and 0.08 g tazobactam) should be administered following each dialysis period on hemodialysis days. No additional dosage of piperacillin and tazobactam for injection is necessary for CAPD patients.

2.2 Dosage in Adult Patients With Nosocomial Pneumonia

Initial presumptive treatment of adult patients with nosocomial pneumonia should start with piperacillin and tazobactam for injection at a dosage of 4.5 g every six hours plus an aminoglycoside, [totaling 18 g (16 g piperacillin and 2 g tazobactam)], administered by intravenous infusion over 30 minutes. The recommended duration of piperacillin and tazobactam for injection treatment for nosocomial pneumonia is 7 to 14 days. Treatment with the aminoglycoside should be continued in patients from whom P. aeruginosa is isolated.

13.1 Carcinogenesis, Mutagenesis, Impairment of Fertility

Carcinogenesis

Long-term carcinogenicity studies in animals have not been conducted with piperacillin and tazobactam, piperacillin, or tazobactam.

Mutagenesis

Piperacillin and tazobactam was negative in microbial mutagenicity assays, the unscheduled DNA synthesis (UDS) test, a mammalian point mutation (Chinese hamster ovary cell HPRT) assay, and a mammalian cell (BALB/c-3T3) transformation assay. In vivo, piperacillin and tazobactam did not induce chromosomal aberrations in rats.

Fertility

Reproduction studies have been performed in rats and have revealed no evidence of impaired fertility when piperacillin and tazobactam is administered intravenously up to a dose of 1280/320 mg/kg piperacillin and tazobactam, which is similar to the maximum recommended human daily dose based on body-surface area (mg/m2).

2.5 Reconstitution and Dilution of Piperacillin and Tazobactam for Injection

Reconstitution of Piperacillin and Tazobactam for Injection for Adult Patients and Pediatric Patients Weighing Over 40 kg

Single-Dose Vials

Reconstitute piperacillin and tazobactam for injection single-dose vials with a compatible reconstitution diluent from the list provided below.

2.25 g, 3.375 g, and 4.5 g piperacillin and tazobactam for injection should be reconstituted with 10 mL, 15 mL, and 20 mL, respectively. Swirl until dissolved. After reconstitution, the single-dose vials will have a concentration of 202.5 mg/mL (180 mg/mL of piperacillin and 22.5 mg/mL of tazobactam).

Compatible Reconstitution Diluents for Single-Dose Vials

0.9% sodium chloride for injection

Sterile water for injection

Dextrose 5%

Bacteriostatic saline/parabens

Bacteriostatic water/parabens

Bacteriostatic saline/benzyl alcohol

Bacteriostatic water/benzyl alcohol

Dilution of the Reconstituted Piperacillin and Tazobactam Solution for Adult Patients and Pediatric Patients Weighing Over 40 kg

Reconstituted piperacillin and tazobactam for injection solutions for single-dose vials should be further diluted (recommended volume per dose of 50 mL to 150 mL) in a compatible intravenous solution listed below. Administer by infusion over a period of at least 30 minutes. During the infusion it is desirable to discontinue the primary infusion solution.

Compatible Intravenous Solutions for Single-Dose Vials

0.9% sodium chloride for injection

Sterile water for injection (Maximum recommended volume per dose of sterile water for injection is 50 mL)

Dextran 6% in saline

Dextrose 5%

LACTATED RINGER’S SOLUTION IS NOT COMPATIBLE WITH PIPERACILLIN AND TAZOBACTAM FOR INJECTION.

Piperacillin and tazobactam for injection should not be mixed with other drugs in a syringe or infusion bottle since compatibility has not been established.

Piperacillin and tazobactam for injection is not chemically stable in solutions that contain only sodium bicarbonate and solutions that significantly alter the pH.

Piperacillin and tazobactam for injection should not be added to blood products or albumin hydrolysates. Parenteral drug products should be inspected visually for particulate matter or discoloration prior to administration, whenever solution and container permit.

Dilution of the Reconstituted Piperacillin and Tazobactam Solution for Pediatric Patients Weighing up to 40 kg

The volume of reconstituted solution required to deliver the dose of piperacillin and tazobactam is dependent on the weight of the child [see Dosage and Administration (2.4)]. Reconstituted piperacillin and tazobactam solutions for single-dose vials should be further diluted in a compatible intravenous solution listed above.

  • 1.
    Calculate patient dose as described in Table 2 above [see Dosage and Administration (2.4)].
  • 2.
    Reconstitute vial with a compatible reconstitution diluent, as listed above under the subheading “Compatible Reconstitution Diluents for Single-Dose Vials,” using the appropriate volume of diluent, as listed in Table 3 below. Following the addition of the diluent, swirl the single-dose vial until the powder is completely dissolved.
  •  
    Table 3 : Reconstitution of Single-Dose Vials and Resulting Concentration

Strength per Single-Dose Vial

Volume of Diluent to be Added to the Vial

Concentration of the Reconstituted Product

2.25 g (2 g piperacillin and 0.25 g tazobactam)

10 mL

202.5 mg/mL (180 mg/mL piperacillin and 22.5 mg/mL tazobactam)

3.375 g (3 g piperacillin and 0.375 g tazobactam)

15 mL

4.5 g (4 g piperacillin and 0.5 g tazobactam)

20 mL

  • 1.
    Calculate the required volume (mL) of reconstituted piperacillin and tazobactam solution based on the required dose.
  • 2.
    Aseptically withdraw the required volume of reconstituted piperacillin and tazobactam solution from single-dose vial. It should be further diluted to a final piperacillin concentration of between 20 mg/mL to 80 mg/mL (tazobactam between 2.5 mg/mL to 10 mg/mL) in a compatible intravenous solution (as listed above) in an appropriately sized syringe or IV bag.
  • 3.
    Administer the diluted piperacillin and tazobactam solution by infusion over a period of at least 30 minutes (a programmable syringe or infusion pump is recommended). During the infusion it is desirable to discontinue the primary infusion solution.

Stability of Piperacillin and Tazobactam for Injection Following Reconstitution and Dilution

Piperacillin and tazobactam for injection reconstituted from single-dose vials is stable in glass and plastic containers (plastic syringes, IV bags and tubing) when used with compatible diluents. The single-dose vials should NOT be frozen after reconstitution.

Single-dose vials should be used immediately after reconstitution. Discard any unused portion after storage for 24 hours at room temperature (20°C to 25°C [68°F to 77°F]), or after storage for 48 hours at refrigerated temperature (2°C to 8°C [36°F to 46°F]).

Stability studies in the IV bags have demonstrated chemical stability (potency, pH of reconstituted solution and clarity of solution) for up to 24 hours at room temperature and up to one week at refrigerated temperature. Piperacillin and tazobactam for injection contains no preservatives. Appropriate consideration of aseptic technique should be used.

Piperacillin and tazobactam for injection reconstituted from single-dose vials can be used in ambulatory intravenous infusion pumps. Stability of piperacillin and tazobactam for injection in an ambulatory intravenous infusion pump has been demonstrated for a period of 12 hours at room temperature. Each dose was reconstituted and diluted to a volume of 37.5 mL or 25 mL. One-day supply of dosing solution were aseptically transferred into the medication reservoir (IV bags or cartridge). The reservoir was fitted to a preprogrammed ambulatory intravenous infusion pump per the manufacturer's instructions. Stability of piperacillin and tazobactam for injection is not affected when administered using an ambulatory intravenous infusion pump.

2.1 Dosage in Adult Patients With Indications Other Than Nosocomial Pneumonia

The usual total daily dosage of piperacillin and tazobactam for injection for adult patients with indications other than nosocomial pneumonia is 3.375 g every six hours [totaling 13.5 g (12 g piperacillin and 1.5 g tazobactam)], to be administered by intravenous infusion over 30 minutes. The usual duration of piperacillin and tazobactam for injection treatment is from 7 to 10 days.

2.4 Dosage in Pediatric Patients With Appendicitis/peritonitis Or Nosocomial Pneumonia

The recommended dosage for pediatric patients with appendicitis and/or peritonitis or nosocomial pneumonia aged 2 months of age and older, weighing up to 40 kg, and with normal renal function, is described in Table 2 [see Use in Specific Populations (8.4) and Clinical Pharmacology (12.3)].

Table 2: Recommended Dosage of Piperacillin and Tazobactam for Injection in Pediatric Patients 2 Months of Age and Older, Weighing Up to 40 kg, and With Normal Renal Function*

Age

Appendicitis and/or Peritonitis

Nosocomial Pneumonia

2 months to 9 months

90 mg/kg (80 mg piperacillin and 10 mg tazobactam) every 8 (eight) hours

90 mg/kg (80 mg piperacillin and 10 mg tazobactam) every 6 (six) hours

Older than 9 months of age

112.5 mg/kg (100 mg piperacillin and 12.5 mg tazobactam) every 8 (eight) hours

112.5 mg/kg (100 mg piperacillin and 12.5 mg tazobactam) every 6 (six) hours

* Administer piperacillin and tazobactam for injection by intravenous infusion over 30 minutes.

Pediatric patients weighing over 40 kg and with normal renal function should receive the adult dose [see Dosage and Administration (2.1, 2.2)].

Dosage of piperacillin and tazobactam for injection in pediatric patients with renal impairment has not been determined.


Structured Label Content

Section 42229-5 (42229-5)

The following clinically significant adverse reactions are described elsewhere in the labeling:

  • Hypersensitivity Adverse Reactions [see Warnings and Precautions (5.1)]
  • Severe Cutaneous Adverse Reactions [see Warnings and Precautions (5.2)]
  • Hemophagocytic Lymphohistiocytosis [see Warnings and Precautions (5.3)]
  • Rhabdomyolysis [see Warnings and Precautions (5.4)]
  • Hematologic Adverse Reactions [see Warnings and Precautions (5.5)]
  • Central Nervous System Adverse Reactions [see Warnings and Precautions (5.6)]
  • Nephrotoxicity in Critically ill Patients [see Warnings and Precautions (5.7)]
  • Clostridioides difficile-Associated Diarrhea [see Warnings and Precautions (5.9)]
Section 43683-2 (43683-2)

Warnings and Precautions, Rhabdomyolysis (5.4) 08/2024

1.6 Usage

To reduce the development of drug-resistant bacteria and maintain the effectiveness of piperacillin and tazobactam for injection and other antibacterial drugs, piperacillin and tazobactam for injection should be used only to treat or prevent infections that are proven or strongly suspected to be caused by bacteria. When culture and susceptibility information are available, they should be considered in selecting or modifying antibacterial therapy. In the absence of such data, local epidemiology and susceptibility patterns may contribute to the empiric selection of therapy.

10 Overdosage (10 OVERDOSAGE)

There have been post-marketing reports of overdose with piperacillin and tazobactam. The majority of those events experienced, including nausea, vomiting, and diarrhea, have also been reported with the usual recommended dosages. Patients may experience neuromuscular excitability or seizures if higher than recommended doses are given intravenously (particularly in the presence of renal failure) [see Warnings and Precautions (5.6)].

Treatment should be supportive and symptomatic according to the patient’s clinical presentation. Excessive serum concentrations of either piperacillin or tazobactam may be reduced by hemodialysis. Following a single 3.375 g dose of piperacillin and tazobactam, the percentage of the piperacillin and tazobactam dose removed by hemodialysis was approximately 31% and 39%, respectively [see Clinical Pharmacology (12)].

15 References (15 REFERENCES)
  • 1.
    Jensen J-US, Hein L, Lundgren B, et al. BMJ Open 2012; 2:e000635. doi:10.1136.
8.1 Pregnancy

Risk Summary

Piperacillin and tazobactam cross the placenta in humans. However, there are insufficient data with piperacillin and/or tazobactam in pregnant women to inform a drug-associated risk for major birth defects and miscarriage. No fetal structural abnormalities were observed in rats or mice when piperacillin and tazobactam was administered intravenously during organogenesis at doses 1 to 2 times and 2 to 3 times the human dose of piperacillin and tazobactam, respectively, based on body-surface area (mg/m2). However, fetotoxicity in the presence of maternal toxicity was observed in developmental toxicity and peri/postnatal studies conducted in rats (intraperitoneal administration prior to mating and throughout gestation or from gestation day 17 through lactation day 21) at doses less than the maximum recommended human daily dose based on body-surface area (mg/m2) [see Data].

The background risk of major birth defects and miscarriage for the indicated population is unknown. In the U.S. general population, the estimated background risk of major birth defects and miscarriage in clinically recognized pregnancies is 2 to 4% and 15 to 20%, respectively.

Data

Animal Data

In embryo-fetal development studies in mice and rats, pregnant animals received intravenous doses of piperacillin and tazobactam up to 3000/750 mg/kg/day during the period of organogenesis. There was no evidence of teratogenicity up to the highest dose evaluated, which is 1 to 2 times and 2 to 3 times the human dose of piperacillin and tazobactam, in mice and rats respectively, based on body-surface area (mg/m2). Fetal body weights were reduced in rats at maternally toxic doses at or above 500/62.5 mg/kg/day, minimally representing 0.4 times the human dose of both piperacillin and tazobactam based on body-surface area (mg/m2).

A fertility and general reproduction study in rats using intraperitoneal administration of tazobactam or the combination piperacillin and tazobactam prior to mating and through the end of gestation, reported a decrease in litter size in the presence of maternal toxicity at 640 mg/kg/day tazobactam (4 times the human dose of tazobactam based on body-surface area), and decreased litter size and an increase in fetuses with ossification delays and variations of ribs, concurrent with maternal toxicity at ≥640/160 mg/kg/day piperacillin and tazobactam (0.5 times and 1 times the human dose of piperacillin and tazobactam, respectively, based on body-surface area).

Peri/postnatal development in rats was impaired with reduced pup weights, increased stillbirths, and increased pup mortality concurrent with maternal toxicity after intraperitoneal administration of tazobactam alone at doses ≥320 mg/kg/day (2 times the human dose based on body surface area) or of the combination piperacillin and tazobactam at doses ≥640/160 mg/kg/day (0.5 times and 1 times the human dose of piperacillin and tazobactam, respectively, based on body-surface area) from gestation day 17 through lactation day 21.

8.2 Lactation

Risk Summary

Piperacillin is excreted in human milk; tazobactam concentrations in human milk have not been studied. No information is available on the effects of piperacillin and tazobactam on the breast-fed child or on milk production. The developmental and health benefits of breastfeeding should be considered along with the mother’s clinical need for piperacillin and tazobactam for injection and any potential adverse effects on the breastfed child from piperacillin and tazobactam for injection or from the underlying maternal condition.

11 Description (11 DESCRIPTION)

Piperacillin and tazobactam for injection, USP is an injectable antibacterial combination product consisting of the semisynthetic antibacterial piperacillin sodium and the beta-lactamase inhibitor tazobactam sodium for intravenous administration.

Piperacillin sodium is derived from D(-)-α-aminobenzyl-penicillin. The chemical name of piperacillin sodium is sodium (2S,5R,6R)-6-[(R)-2-(4-ethyl-2,3-dioxo-1-piperazine‑carboxamido)-2-phenylacetamido]-3,3-dimethyl-7-oxo-4-thia-1-azabicyclo[3.2.0]heptane-2‑carboxylate. The chemical formula is C23H26N5NaO7S and the molecular weight is 539.5. The chemical structure of piperacillin sodium is:

Tazobactam sodium, a derivative of the penicillin nucleus, is a penicillanic acid sulfone. Its chemical name is sodium (2S,3S,5R)-3-methyl-7-oxo-3-(1H-1,2,3-triazol-1-ylmethyl)-4-thia-1‑azabicyclo[3.2.0]heptane-2-carboxylate-4,4-dioxide. The chemical formula is C10H11N4NaO5S and the molecular weight is 322.3. The chemical structure of tazobactam sodium is:

Piperacillin and tazobactam for injection, USP, is a white to yellowish sterile, cryodesiccated powder consisting of piperacillin and tazobactam as their sodium salts packaged in glass vials. The product does not contain excipients or preservatives. Dilute solutions are colorless to yellowish.

Each piperacillin and tazobactam for injection, USP 2.25 g single-dose vial contains an amount of drug sufficient for withdrawal of piperacillin sodium equivalent to 2 grams of piperacillin and tazobactam sodium equivalent to 0.25 g of tazobactam. Each vial contains 4.69 mEq (108 mg) of sodium.

Each piperacillin and tazobactam for injection, USP 3.375 g single-dose vial contains an amount of drug sufficient for withdrawal of piperacillin sodium equivalent to 3 grams of piperacillin and tazobactam sodium equivalent to 0.375 g of tazobactam. Each vial contains 7.04 mEq (162 mg) of sodium.

Each piperacillin and tazobactam for injection, USP 4.5 g single-dose vial contains an amount of drug sufficient for withdrawal of piperacillin sodium equivalent to 4 grams of piperacillin and tazobactam sodium equivalent to 0.5 g of tazobactam. Each vial contains 9.39 mEq (216 mg) of sodium.

Piperacillin and tazobactam for injection, USP contains a total of 2.35 mEq (54 mg) of sodium (Na+) per gram of piperacillin in the combination product.

Meets USP Organic Impurities Procedure 3.

7.2 Probenecid

Probenecid administered concomitantly with piperacillin and tazobactam for injection prolongs the half-life of piperacillin by 21% and that of tazobactam by 71% because probenecid inhibits tubular renal secretion of both piperacillin and tazobactam. Probenecid should not be co-administered with piperacillin and tazobactam for injection unless the benefit outweighs the risk.

7.3 Vancomycin

Studies have detected an increased incidence of acute kidney injury in patients concomitantly administered piperacillin and tazobactam and vancomycin as compared to vancomycin alone [see Warnings and Precautions (5.7)]. Monitor kidney function in patients concomitantly administered with piperacillin and tazobactam and vancomycin.

No pharmacokinetic interactions have been noted between piperacillin and tazobactam and vancomycin.

7.5 Vecuronium

Piperacillin when used concomitantly with vecuronium has been implicated in the prolongation of the neuromuscular blockade of vecuronium. Piperacillin and tazobactam for injection could produce the same phenomenon if given along with vecuronium. Due to their similar mechanism of action, it is expected that the neuromuscular blockade produced by any of the non-depolarizing neuromuscular blockers could be prolonged in the presence of piperacillin. Monitor for adverse reactions related to neuromuscular blockade (see package insert for vecuronium bromide).

4.5 Grams Label (4.5 grams Label)

NDC 0781-3114-95

Piperacillin and Tazobactam

for Injection, USP

4.5 grams* per vial

Rx only

10 x 4.5 gram Single-Dose Vials

For Intravenous Use Only

SANDOZ

2.25 Grams Label (2.25 grams Label)

NDC 0781-3110-95

Piperacillin and Tazobactam

for Injection, USP

2.25 grams* per vial

Rx only

10 x 2.25 gram Single-Dose Vials

For Intravenous Use Only

SANDOZ

7.6 Methotrexate

Limited data suggests that co-administration of methotrexate and piperacillin may reduce the clearance of methotrexate due to competition for renal secretion. The impact of tazobactam on the elimination of methotrexate has not been evaluated. If concurrent therapy is necessary, serum concentrations of methotrexate as well as the signs and symptoms of methotrexate toxicity should be frequently monitored.

12.4 Microbiology

Mechanism of Action

Piperacillin sodium exerts bactericidal activity by inhibiting septum formation and cell wall synthesis of susceptible bacteria. In vitro, piperacillin is active against a variety of gram-positive and gram-negative aerobic and anaerobic bacteria. Tazobactam sodium has little clinically relevant in vitro activity against bacteria due to its reduced affinity to penicillin-binding proteins. It is, however, a beta-lactamase inhibitor of the Molecular class A enzymes, including Richmond-Sykes class III (Bush class 2b & 2b') penicillinases and cephalosporinases. It varies in its ability to inhibit class II and IV (2a & 4) penicillinases. Tazobactam does not induce chromosomally-mediated beta-lactamases at tazobactam concentrations achieved with the recommended dosage regimen.

Antimicrobial Activity

Piperacillin and tazobactam has been shown to be active against most isolates of the following microorganisms, both in vitro and in clinical infections [see Indications and Usage (1)].

Aerobic Bacteria

Gram-positive bacteria

Staphylococcus aureus (methicillin susceptible isolates only)

Gram-negative bacteria

Acinetobacter baumannii

Escherichia coli

Haemophilus influenzae (excluding beta-lactamase negative, ampicillin-resistant isolates)

Klebsiella pneumoniae

Pseudomonas aeruginosa (given in combination with an aminoglycoside to which the isolate is susceptible)

Anaerobic Bacteria

Bacteroides fragilis group (B. fragilis, B. ovatus, B. thetaiotaomicron, and B. vulgatus)

The following in vitro data are available, but their clinical significance is unknown. At least 90 percent of the following bacteria exhibit an in vitro minimum inhibitory concentration (MIC) less than or equal to the susceptible breakpoint for piperacillin and tazobactam against isolates of similar genus or organism group.

However, the efficacy of piperacillin and tazobactam in treating clinical infections caused by these bacteria has not been established in adequate and well-controlled clinical trials.

Aerobic Bacteria

Gram-positive bacteria

Enterococcus faecalis (ampicillin or penicillin-susceptible isolates only)

Staphylococcus epidermidis (methicillin susceptible isolates only)

Streptococcus agalactiae

Streptococcus pneumoniae (penicillin-susceptible isolates only)

Streptococcus pyogenes

Viridans group streptococci

Gram-negative bacteria

Citrobacter koseri

Moraxella catarrhalis

Morganella morganii

Neisseria gonorrhoeae

Proteus mirabilis

Proteus vulgaris

Serratia marcescens

Providencia stuartii

Providencia rettgeri

Salmonella enterica

Anaerobic Bacteria

Clostridium perfringens

Bacteroides distasonis

Prevotella melaninogenica

These are not beta-lactamase producing bacteria and, therefore, are susceptible to piperacillin alone.

Susceptibility Testing

For specific information regarding susceptibility test interpretive criteria, and associated test methods and quality control standards recognized by FDA for this drug, please see: https://www.fda.gov/STIC.

3.375 Grams Label (3.375 grams Label)

NDC 0781-3113-95

Piperacillin and Tazobactam

For Injection, USP

3.375 grams* per vial

Rx only

10 x 3.375 gram Single-Dose Vials

For Intravenous Use Only

SANDOZ

8.4 Pediatric Use

The safety and effectiveness of piperacillin and tazobactam for injection for intra-abdominal infections, and nosocomial pneumonia have been established in pediatric patients 2 months of age and older.

Use of piperacillin and tazobactam for injection in pediatric patients 2 months of age and older with intra-abdominal infections including appendicitis and/or peritonitis is supported by evidence from well-controlled studies and pharmacokinetic studies in adults and in pediatric patients. This includes a prospective, randomized, comparative, open-label clinical trial with 542 pediatric patients 2 to 12 years of age with intra-abdominal infections (including appendicitis and/or peritonitis), in which 273 pediatric patients received piperacillin and tazobactam [see Adverse Reactions (6.1) and Clinical Pharmacology (12.3)].

Use of piperacillin and tazobactam for injection in pediatric patients 2 months of age and older with nosocomial pneumonia is supported by evidence from well-controlled studies in adults with nosocomial pneumonia, a simulation study performed with a population pharmacokinetic model, and a retrospective, cohort study of pediatric patients with nosocomial pneumonia in which 140 pediatric patients were treated with piperacillin and tazobactam for injection and 267 patients treated with comparators (which included ticarcillin-clavulanate, carbapenems, ceftazidime, cefepime, or ciprofloxacin) [see Adverse Reactions (6.1) and Clinical Pharmacology (12.3)].

The safety and effectiveness of piperacillin and tazobactam for injection have not been established in pediatric patients less than 2 months of age [see Clinical Pharmacology (12) and Dosage and Administration (2)].

Dosage of piperacillin and tazobactam for injection in pediatric patients with renal impairment has not been determined.

8.5 Geriatric Use

Patients over 65 years are not at an increased risk of developing adverse effects solely because of age. However, dosage should be adjusted in the presence of renal impairment [see Dosage and Administration (2)].

In general, dose selection for an elderly patient should be cautious, usually starting at the low end of the dosing range, reflecting the greater frequency of decreased hepatic, renal, or cardiac function, and of concomitant disease or other drug therapy.

Piperacillin and tazobactam for injection contains 54 mg (2.35 mEq) of sodium per gram of piperacillin in the combination product. At the usual recommended doses, patients would receive between 648 and 864 mg/day (28.2 and 37.6 mEq) of sodium. The geriatric population may respond with a blunted natriuresis to salt loading. This may be clinically important with regard to such diseases as congestive heart failure.

This drug is known to be substantially excreted by the kidney, and the risk of toxic reactions to this drug may be greater in patients with impaired renal function. Because elderly patients are more likely to have decreased renal function, care should be taken in dose selection, and it may be useful to monitor renal function.

5.4 Rhabdomyolysis

Rhabdomyolysis has been reported with the use of Piperacillin and tazobactam for injection [see Adverse Reactions (6.2)]. If signs or symptoms of rhabdomyolysis such as muscle pain, tenderness or weakness, dark urine, or elevated creatine phosphokinase are observed, discontinue Piperacillin and tazobactam for injection and initiate appropriate therapy.

7.4 Anticoagulants

Coagulation parameters should be tested more frequently and monitored regularly during simultaneous administration of high doses of heparin, oral anticoagulants, or other drugs that may affect the blood coagulation system or the thrombocyte function [see Warnings and Precautions (5.5)].

4 Contraindications (4 CONTRAINDICATIONS)

Piperacillin and tazobactam for injection is contraindicated in patients with a history of allergic reactions to any of the penicillins, cephalosporins, or beta-lactamase inhibitors.

6 Adverse Reactions (6 ADVERSE REACTIONS)

The most common adverse reactions (incidence >5%) are diarrhea, constipation, nausea, headache, and insomnia. (6.1)

To report SUSPECTED ADVERSE REACTIONS, contact Sandoz Inc. at 1-800-525-8747 or FDA at 1-800-FDA-1088 or www.fda.gov/medwatch.

7 Drug Interactions (7 DRUG INTERACTIONS)
  • Piperacillin and tazobactam for injection administration can significantly reduce tobramycin concentrations in hemodialysis patients. Monitor tobramycin concentrations in these patients. (7.1)
  • Probenecid prolongs the half-lives of piperacillin and tazobactam and should not be co-administered with piperacillin and tazobactam for injection unless the benefit outweighs the risk. (7.2)
  • Co-administration of piperacillin and tazobactam with vancomycin may increase the incidence of acute kidney injury. Monitor kidney function in patients receiving piperacillin and tazobactam and vancomycin. (7.3)
  • Monitor coagulation parameters in patients receiving piperacillin and tazobactam for injection and heparin or oral anticoagulants. (7.4)
  • Piperacillin and tazobactam for injection may prolong the neuromuscular blockade of vecuronium and other non-depolarizing neuromuscular blockers. Monitor for adverse reactions related to neuromuscular blockade. (7.5)
7.1 Aminoglycosides

Piperacillin may inactivate aminoglycosides by converting them to microbiologically inert amides.

In vivo inactivation:

When aminoglycosides are administered in conjunction with piperacillin to patients with end-stage renal disease requiring hemodialysis, the concentrations of the aminoglycosides (especially tobramycin) may be significantly reduced and should be monitored.

Sequential administration of piperacillin and tazobactam for injection and tobramycin to patients with either normal renal function or mild to moderate renal impairment has been shown to modestly decrease serum concentrations of tobramycin but no dosage adjustment is considered necessary.

In vitro inactivation:

Due to the in vitro inactivation of aminoglycosides by piperacillin, piperacillin and tazobactam for injection and aminoglycosides are recommended for separate administration. Piperacillin and tazobactam for injection and aminoglycosides should be reconstituted, diluted, and administered separately when concomitant therapy with aminoglycosides is indicated. Piperacillin and tazobactam for injection is compatible with amikacin and gentamicin for simultaneous Y-site infusion in certain diluents and at specific concentrations. Piperacillin and tazobactam for injection is not compatible with tobramycin for simultaneous Y-site infusion [see Dosage and Administration (2.6)].

8.6 Renal Impairment

In patients with creatinine clearance ≤40 mL/min and dialysis patients (hemodialysis and CAPD), the intravenous dose of piperacillin and tazobactam for injection should be reduced to the degree of renal function impairment [see Dosage and Administration (2)].

12.2 Pharmacodynamics

The pharmacodynamic parameter for piperacillin and tazobactam that is most predictive of clinical and microbiological efficacy is time above MIC.

12.3 Pharmacokinetics

The mean and coefficients of variation (CV%) for the pharmacokinetic parameters of piperacillin and tazobactam after multiple intravenous doses are summarized in Table 8.

Table 8: Mean (CV%) Piperacillin and Tazobactam PK Parameters

Piperacillin

Piperacillin and

Tazobactam

Dose*



Cmax

(mcg/mL)



AUC

(mcg•h/mL)



CL

(mL/min)



V

(L)



T1/2

(h)



CLR

(mL/min)

2.25 g

134

131 [14]

257

17.4

0.79

-

3.375 g

242

242 [10]

207

15.1

0.84

140

4.5 g

298

322 [16]

210

15.4

0.84

-

Tazobactam

Piperacillin and Tazobactam

Dose*



Cmax

(mcg/mL)



AUC

(mcg•h/mL)



CL

(mL/min)



V

(L)



T1/2

(h)



CLR

(mL/min)

2.25 g

15

16 [21]

258

17

0.77

-

3.375 g

24

25 [8]

251

14.8

0.68

166

4.5 g

34

39.8 [15]

206

14.7

0.82

-

* Piperacillin and tazobactam were given in combination, infused over 30 minutes.

† Numbers in [ ] parentheses are coefficients of variation [CV%].

Cmax: maximum observed concentration, AUC: Area under the curve, CL=clearance, CLR= Renal clearance

V=volume of distribution, T1/2 = elimination half-life

Peak plasma concentrations of piperacillin and tazobactam are attained immediately after completion of an intravenous infusion of piperacillin and tazobactam for injection. Piperacillin plasma concentrations, following a 30-minute infusion of piperacillin and tazobactam for injection, were similar to those attained when equivalent doses of piperacillin were administered alone. Steady-state plasma concentrations of piperacillin and tazobactam were similar to those attained after the first dose due to the short half-lives of piperacillin and tazobactam.

Distribution

Both piperacillin and tazobactam are approximately 30% bound to plasma proteins. The protein binding of either piperacillin or tazobactam is unaffected by the presence of the other compound. Protein binding of the tazobactam metabolite is negligible.

Piperacillin and tazobactam are widely distributed into tissues and body fluids including intestinal mucosa, gallbladder, lung, female reproductive tissues (uterus, ovary, and fallopian tube), interstitial fluid, and bile. Mean tissue concentrations are generally 50% to 100% of those in plasma. Distribution of piperacillin and tazobactam into cerebrospinal fluid is low in subjects with non-inflamed meninges, as with other penicillins (see Table 9).

Table 9: Piperacillin and Tazobactam Concentrations in Selected Tissues and Fluids after Single 4 g/0.5 g 30-min IV Infusion of Piperacillin and Tazobactam for Injection




Tissue

or Fluid






N


Sampling

period

(h)
Mean PIP

Concentration

Range

(mg/L)


Tissue:

Plasma

Range
Tazo

Concentration

Range

(mg/L)
Tazo

Tissue:

Plasma

Range

Skin

35

0.5 – 4.5

34.8 – 94.2

0.6 – 1.1

4 – 7.7

0.49 – 0.93

Fatty Tissue

37

0.5 – 4.5

4 – 10.1

0.097 – 0.115

0.7 – 1.5

0.1 – 0.13

Muscle

36

0.5 – 4.5

9.4 – 23.3

0.29 – 0.18

1.4 – 2.7

0.18 – 0.3

Proximal Intestinal Mucosa

7

1.5 – 2.5

31.4

0.55

10.3

1.15

Distal Intestinal Mucosa

7

1.5 – 2.5

31.2

0.59

14.5

2.1

Appendix

22

0.5 – 2.5

26.5 – 64.1

0.43 – 0.53

9.1 – 18.6

0.8 – 1.35

* Each subject provided a single sample.

† Time from the start of the infusion.

Metabolism

Piperacillin is metabolized to a minor microbiologically active desethyl metabolite. Tazobactam is metabolized to a single metabolite that lacks pharmacological and antibacterial activities.

Excretion

Following single or multiple piperacillin and tazobactam for injection doses to healthy subjects, the plasma half-life of piperacillin and of tazobactam ranged from 0.7 to 1.2 hours and was unaffected by dose or duration of infusion.

Both piperacillin and tazobactam are eliminated via the kidney by glomerular filtration and tubular secretion. Piperacillin is excreted rapidly as unchanged drug with 68% of the administered dose excreted in the urine. Tazobactam and its metabolite are eliminated primarily by renal excretion with 80% of the administered dose excreted as unchanged drug and the remainder as the single metabolite. Piperacillin, tazobactam and desethyl piperacillin are also secreted into the bile.

Specific Populations

Renal Impairment

After the administration of single doses of piperacillin and tazobactam to subjects with renal impairment, the half-life of piperacillin and of tazobactam increases with decreasing creatinine clearance. At creatinine clearance below 20 mL/min, the increase in half-life is twofold for piperacillin and fourfold for tazobactam compared to subjects with normal renal function. Dosage adjustments for piperacillin and tazobactam for injection are recommended when creatinine clearance is below 40 mL/min in patients receiving the usual recommended daily dose of piperacillin and tazobactam for injection. See Dosage and Administration (2) for specific recommendations for the treatment of patients with renal-impairment.

Hemodialysis removes 30% to 40% of a piperacillin and tazobactam dose with an additional 5% of the tazobactam dose removed as the tazobactam metabolite. Peritoneal dialysis removes approximately 6% and 21% of the piperacillin and tazobactam doses, respectively, with up to 16% of the tazobactam dose removed as the tazobactam metabolite. For dosage recommendations for patients undergoing hemodialysis [see Dosage and Administration (2)].

Hepatic Impairment

The half-life of piperacillin and of tazobactam increases by approximately 25% and 18%, respectively, in patients with hepatic cirrhosis compared to healthy subjects. However, this difference does not warrant dosage adjustment of piperacillin and tazobactam for injection due to hepatic cirrhosis.

Pediatrics

Piperacillin and tazobactam pharmacokinetics were studied in pediatric patients 2 months of age and older. The clearance of both compounds is slower in the younger patients compared to older children and adults.

In a population PK analysis, estimated clearance for 9 month-old to 12 year-old patients was comparable to adults, with a population mean (SE) value of 5.64 (0.34) mL/min/kg. The piperacillin clearance estimate is 80% of this value for pediatric patients 2 to 9 months old. In patients younger than 2 months of age, clearance of piperacillin is slower compared to older children; however, it is not adequately characterized for dosing recommendations. The population mean (SE) for piperacillin volume of distribution is 0.243 (0.011) L/kg and is independent of age.

Geriatrics

The impact of age on the pharmacokinetics of piperacillin and tazobactam was evaluated in healthy male subjects, aged 18 to 35 years (n=6) and aged 65 to 80 years (n=12). Mean half-life for piperacillin and tazobactam was 32% and 55% higher, respectively, in the elderly compared to the younger subjects. This difference may be due to age-related changes in creatinine clearance.

Race

The effect of race on piperacillin and tazobactam was evaluated in healthy male volunteers. No difference in piperacillin or tazobactam pharmacokinetics was observed between Asian (n=9) and Caucasian (n=9) healthy volunteers who received single 4/0.5 g doses.

Drug Interactions

The potential for pharmacokinetic drug interactions between piperacillin and tazobactam for injection and aminoglycosides, probenecid, vancomycin, heparin, vecuronium, and methotrexate has been evaluated [see Drug Interactions (7)].

8.7 Hepatic Impairment

Dosage adjustment of piperacillin and tazobactam for injection is not warranted in patients with hepatic cirrhosis [see Clinical Pharmacology (12.3)].

1 Indications and Usage (1 INDICATIONS AND USAGE)

Piperacillin and tazobactam for injection is a combination of piperacillin, a penicillin-class antibacterial and tazobactam, a beta-lactamase inhibitor, indicated for the treatment of:

  • Intra-abdominal infections in adult and pediatric patients 2 months of age and older (1.1)
  • Nosocomial pneumonia in adult and pediatric patients 2 months of age and older (1.2)
  • Skin and skin structure infections in adults (1.3)
  • Female pelvic infections in adults (1.4)
  • Community-acquired pneumonia in adults (1.5)

To reduce the development of drug-resistant bacteria and maintain the effectiveness of piperacillin and tazobactam for injection and other antibacterial drugs, piperacillin and tazobactam for injection should be used only to treat or prevent infections that are proven or strongly suspected to be caused by bacteria. (1.6)

5.8 Electrolyte Effects

Piperacillin and tazobactam for injection contains a total of 2.35 mEq (54 mg) of Na+ (sodium) per gram of piperacillin in the combination product. This should be considered when treating patients requiring restricted salt intake.

Periodic electrolyte determinations should be performed in patients with low potassium reserves, and the possibility of hypokalemia should be kept in mind with patients who have potentially low potassium reserves and who are receiving cytotoxic therapy or diuretics.

1.2 Nosocomial Pneumonia

Piperacillin and tazobactam for injection is indicated in adults and pediatric patients (2 months of age and older) for the treatment of nosocomial pneumonia (moderate to severe) caused by beta-lactamase producing isolates of Staphylococcus aureus and by piperacillin and tazobactam-susceptible Acinetobacter baumannii, Haemophilus influenzae, Klebsiella pneumoniae, and Pseudomonas aeruginosa (Nosocomial pneumonia caused by P. aeruginosa should be treated in combination with an aminoglycoside) [see Dosage and Administration (2)].

12.1 Mechanism of Action

Piperacillin and tazobactam for injection is an antibacterial drug [see Microbiology (12.4)].

5 Warnings and Precautions (5 WARNINGS AND PRECAUTIONS)
  • Serious hypersensitivity reactions (anaphylactic/anaphylactoid) reactions have been reported in patients receiving piperacillin and tazobactam for injection. Discontinue piperacillin and tazobactam for injection if a reaction occurs. (5.1)
  • Piperacillin and tazobactam for injection may cause severe cutaneous adverse reactions, such as Stevens-Johnson syndrome, toxic epidermal necrolysis, drug reaction with eosinophilia and systemic symptoms, and acute generalized exanthematous pustulosis. Discontinue piperacillin and tazobactam for injection for progressive rashes. (5.2)
  • Hemophagocytic lymphohistiocytosis (HLH) has been reported with the use of piperacillin and tazobactam for injection. If HLH is suspected, discontinue piperacillin and tazobactam for injection immediately. (5.3)
  • Rhabdomyolysis: If signs or symptoms of rhabdomyolysis are observed, discontinue Piperacillin and tazobactam for injection and initiate appropriate therapy. (5.4)
  • Hematological effects (including bleeding, leukopenia and neutropenia) have occurred. Monitor hematologic tests during prolonged therapy. (5.5)
  • As with other penicillins, piperacillin and tazobactam for injection may cause neuromuscular excitability or seizures. Patients receiving higher doses, especially in the presence of renal impairment may be at greater risk. Closely monitor patients with renal impairment or seizure disorders for signs and symptoms of neuromuscular excitability or seizures. (5.6)
  • Nephrotoxicity in critically ill patients has been observed; the use of Piperacillin and tazobactam for injection was found to be an independent risk factor for renal failure and was associated with delayed recovery of renal function as compared to other beta-lactam antibacterial drugs in a randomized, multicenter, controlled trial in critically ill patients. Based on this study, alternative treatment options should be considered in the critically ill population. If alternative treatment options are inadequate or unavailable, monitor renal function during treatment with Piperacillin and tazobactam for injection. (5.7)
  • Clostridioides difficile - associated diarrhea: evaluate patients if diarrhea occurs. (5.9)
2 Dosage and Administration (2 DOSAGE AND ADMINISTRATION)
  • Adult Patients with Indications Other Than Nosocomial Pneumonia: The usual daily dosage of piperacillin and tazobactam for injection for adults is 3.375 g every six hours totaling 13.5 g (12 g piperacillin and 1.5 g tazobactam). (2.1)
  • Adult Patients with Nosocomial Pneumonia: Initial presumptive treatment of patients with nosocomial pneumonia should start with piperacillin and tazobactam for injection at a dosage of 4.5 g every six hours plus an aminoglycoside, totaling 18 g (16 g piperacillin and 2 g tazobactam). (2.2)
  • Adult Patients with Renal Impairment: Dosage in patients with renal impairment (creatinine clearance ≤ 40 mL/min) and dialysis patients should be reduced, based on the degree of renal impairment. (2.3)
  • Pediatric Patients by Indication and Age: See Table below. (2.4)

Recommended Dosage of Piperacillin and Tazobactam for Injection for Pediatric Patients 2 months of Age and Older, Weighing up to 40 kg and With Normal Renal Function

Age

Appendicitis and /or Peritonitis

Nosocomial Pneumonia

2 months to 9 months

90 mg/kg (80 mg piperacillin and 10 mg tazobactam) every 8 (eight) hours

90 mg/kg (80 mg piperacillin and 10 mg tazobactam) every 6 (six) hours

Older than 9 months

112.5 mg/kg (100 mg piperacillin and 12.5 mg tazobactam) every 8 (eight) hours

112.5 mg/kg (100 mg piperacillin and 12.5 mg tazobactam) every 6 (six) hours

  • Administer piperacillin and tazobactam for injection by intravenous infusion over 30 minutes to both adult and pediatric patients. (2.1, 2.2, 2.3, 2.4)
  • Piperacillin and tazobactam for injection and aminoglycosides should be reconstituted, diluted, and administered separately. Co-administration via Y-site can be done under certain conditions. (2.6)
  • See the full prescribing information for the preparation and administration instructions for piperacillin and tazobactam for injection single-dose vials.
1.4 Female Pelvic Infections

Piperacillin and tazobactam for injection is indicated in adults for the treatment of postpartum endometritis or pelvic inflammatory disease caused by beta-lactamase producing isolates of Escherichia coli.

3 Dosage Forms and Strengths (3 DOSAGE FORMS AND STRENGTHS)

Piperacillin and tazobactam for injection, USP is supplied as a white to yellowish powder in vials of the following sizes:

Each piperacillin and tazobactam for injection, USP 2.25 g vial provides piperacillin sodium equivalent to 2 grams of piperacillin and tazobactam sodium equivalent to 0.25 g of tazobactam.

Each piperacillin and tazobactam for injection, USP 3.375 g vial provides piperacillin sodium equivalent to 3 grams of piperacillin and tazobactam sodium equivalent to 0.375 g of tazobactam.

Each piperacillin and tazobactam for injection, USP 4.5 g vial provides piperacillin sodium equivalent to 4 grams of piperacillin and tazobactam sodium equivalent to 0.5 g of tazobactam.

6.2 Post Marketing Experience (6.2 Post-Marketing Experience)

In addition to the adverse drug reactions identified in clinical trials in Table 6 and Table 7, the following adverse reactions have been identified during post-approval use of piperacillin and tazobactam for injection. Because these reactions are reported voluntarily from a population of uncertain size, it is not always possible to reliably estimate their frequency or establish a causal relationship to drug exposure.

Hepatobiliary - hepatitis, jaundice

Hematologic - hemolytic anemia, agranulocytosis, pancytopenia

Immune - hypersensitivity reactions, anaphylactic/anaphylactoid reactions (including shock), hemophagocytic lymphohistiocytosis (HLH), acute myocardial ischemia with or without myocardial infarction may occur as part of an allergic reaction.

Renal - interstitial nephritis

Nervous system disorders - seizures

Psychiatric disorders - delirium

Respiratory - eosinophilic pneumonia

Skin and Appendages - erythema multiforme, Stevens-Johnson syndrome, toxic epidermal necrolysis, drug reaction with eosinophilia and systemic symptoms, (DRESS), acute generalized exanthematous pustulosis (AGEP), dermatitis exfoliative, and linear IgA bullous dermatosis.

Musculoskeletal - rhabdomyolysis

Post-marketing experience with piperacillin and tazobactam for injection in pediatric patients suggests a similar safety profile to that seen in adults.

8 Use in Specific Populations (8 USE IN SPECIFIC POPULATIONS)

Dosage in patients with renal impairment (creatinine clearance ≤ 40 mL/min) should be reduced based on the degree of renal impairment. (2.3, 8.6)

1.1 Intra Abdominal Infections (1.1 Intra-abdominal Infections)

Piperacillin and tazobactam for injection is indicated in adults and pediatric patients (2 months of age and older) for the treatment of appendicitis (complicated by rupture or abscess) and peritonitis caused by beta-lactamase producing isolates of Escherichia coli or the following members of the Bacteroides fragilis group: B. fragilis, B. ovatus, B. thetaiotaomicron, or B. vulgatus.

5.9 Clostridioides Difficile (5.9 Clostridioides difficile -)

Clostridioides difficile - associated diarrhea (CDAD) has been reported with use of nearly all antibacterial agents, including piperacillin and tazobactam for injection, and may range in severity from mild diarrhea to fatal colitis. Treatment with antibacterial agents alters the normal flora of the colon leading to overgrowth of C. difficile.

C. difficile produces toxins A and B which contribute to the development of CDAD. Hypertoxin producing strains of C. difficile cause increased morbidity and mortality, as these infections can be refractory to antimicrobial therapy and may require colectomy. CDAD must be considered in all patients who present with diarrhea following antibacterial drug use. Careful medical history is necessary since CDAD has been reported to occur over two months after the administration of antibacterial agents.

If CDAD is suspected or confirmed, ongoing antibacterial drug use not directed against C. difficile may need to be discontinued. Appropriate fluid and electrolyte management, protein supplementation, antibacterial treatment of C. difficile, and surgical evaluation should be instituted as clinically indicated.

6.1 Clinical Trials Experience

Because clinical trials are conducted under widely varying conditions, adverse reaction rates observed in the clinical trials of a drug cannot be directly compared to rates in the clinical trials of another drug and may not reflect the rates observed in practice.

Clinical Trials in Adult Patients

During the initial clinical investigations, 2621 patients worldwide were treated with piperacillin and tazobactam for injection in phase 3 trials. In the key North American monotherapy clinical trials (n=830 patients), 90% of the adverse events reported were mild to moderate in severity and transient in nature. However, in 3.2% of the patients treated worldwide, piperacillin and tazobactam for injection was discontinued because of adverse events primarily involving the skin (1.3%), including rash and pruritus; the gastrointestinal system (0.9%), including diarrhea, nausea, and vomiting; and allergic reactions (0.5%).

Table 6: Adverse Reactions from Piperacillin and Tazobactam for Injection Monotherapy Clinical Trials
System Organ Class

  Adverse Reaction

Gastrointestinal disorders

Diarrhea (11.3%)

Constipation (7.7%)

Nausea (6.9%)

Vomiting (3.3%)

Dyspepsia (3.3%)

Abdominal pain (1.3%)

General disorders and administration site conditions

Fever (2.4%)

Injection site reaction (≤1%)

Rigors (≤1%)

Immune system disorders

Anaphylaxis (≤1%)

Infections and infestations

Candidiasis (1.6%)

Pseudomembranous colitis (≤1%)

Metabolism and nutrition disorders

Hypoglycemia (≤1%)

Musculoskeletal and connective tissue disorders

Myalgia (≤1%)

Arthralgia (≤1%)

Nervous system disorders

Headache (7.7%)

Psychiatric disorders

Insomnia (6.6%)

Skin and subcutaneous tissue disorders

Rash (4.2%, including maculopapular, bullous, and urticarial)

Pruritus (3.1%)

Purpura (≤1%)

Vascular disorders

Phlebitis (1.3%)

Thrombophlebitis (≤1%)

Hypotension (≤1%)

Flushing (≤1%)

Respiratory, thoracic and mediastinal disorders

Epistaxis (≤1%)

Nosocomial Pneumonia Trials

Two trials of nosocomial lower respiratory tract infections were conducted. In one study, 222 patients were treated with piperacillin and tazobactam for injection in a dosing regimen of 4.5 g every 6 hours in combination with an aminoglycoside and 215 patients were treated with imipenem/cilastatin (500 mg/500 mg every 6 hours) in combination with an aminoglycoside. In this trial, treatment-emergent adverse events were reported by 402 patients, 204 (91.9%) in the piperacillin and tazobactam group and 198 (92.1%) in the imipenem/cilastatin group. Twenty-five (11%) patients in the piperacillin and tazobactam group and 14 (6.5%) in the imipenem/cilastatin group (p >0.05) discontinued treatment due to an adverse event.

The second trial used a dosing regimen of 3.375 g given every 4 hours with an aminoglycoside.

Table 7: Adverse Reactions from Piperacillin and Tazobactam Injection Plus Aminoglycoside Clinical Trials*
System Organ Class

  Adverse Reaction

Blood and lymphatic system disorders

Thrombocythemia (1.4%)

Anemia (≤1%)

Thrombocytopenia (≤1%)

Eosinophilia (≤1%)

Gastrointestinal disorders

Diarrhea (20%)

Constipation (8.4%)

Nausea (5.8%)

Vomiting (2.7%)

Dyspepsia (1.9%)

Abdominal pain (1.8%)

Stomatitis (≤1%)

General disorders and administration site conditions

Fever (3.2%)

Injection site reaction (≤1%)

Infections and infestations

Oral candidiasis (3.9%)

Candidiasis (1.8%)

Investigations

BUN increased (1.8%)

Blood creatinine increased (1.8%)

Liver function test abnormal (1.4%)

Alkaline phosphatase increased (≤1%)

Aspartate aminotransferase increased (≤1%)

Alanine aminotransferase increased (≤1%)

Metabolism and nutrition disorders

Hypoglycemia (≤1%)

Hypokalemia (≤1%)

Nervous system disorders

Headache (4.5%)

Psychiatric disorders

Insomnia (4.5%)

Renal and urinary disorders

Renal failure (≤1%)

Skin and subcutaneous tissue disorders

Rash (3.9%)

Pruritus (3.2%)

Vascular disorders

Thrombophlebitis (1.3%)

Hypotension (1.3%)

* For adverse drug reactions that appeared in both studies the higher frequency is presented.

Other Trials: Nephrotoxicity

In a randomized, multicenter, controlled trial in 1200 adult critically ill patients, piperacillin and tazobactam was found to be a risk factor for renal failure (odds ratio 1.7, 95% CI 1.18 to 2.43), and associated with delayed recovery of renal function as compared to other beta-lactam antibacterial drugs.1 [see Warnings and Precautions (5.7)].

Adverse Laboratory Changes (Seen During Clinical Trials)

Of the trials reported, including that of nosocomial lower respiratory tract infections in which a higher dose of piperacillin and tazobactam for injection was used in combination with an aminoglycoside, changes in laboratory parameters include:

Hematologic–decreases in hemoglobin and hematocrit, thrombocytopenia, increases in platelet count, eosinophilia, leukopenia, neutropenia. These patients were withdrawn from therapy; some had accompanying systemic symptoms (e.g., fever, rigors, chills)

Coagulation–positive direct Coombs’ test, prolonged prothrombin time, prolonged partial thromboplastin time

Hepatic–transient elevations of AST (SGOT), ALT (SGPT), alkaline phosphatase, bilirubin

Renal–increases in serum creatinine, blood urea nitrogen

Additional laboratory events include abnormalities in electrolytes (i.e., increases and decreases in sodium, potassium, and calcium), hyperglycemia, decreases in total protein or albumin, blood glucose decreased, gamma-glutamyltransferase increased, hypokalemia, and bleeding time prolonged.

Clinical Trials in Pediatric Patients

Clinical studies of piperacillin and tazobactam in pediatric patients suggest a similar safety profile to that seen in adults.

In a prospective, randomized, comparative, open-label clinical trial of pediatric patients, 2 to 12 years of age, with intra-abdominal infections (including appendicitis and/or peritonitis), 273 patients were treated with piperacillin and tazobactam 112.5 mg/kg given IV every 8 hours and 269 patients were treated with cefotaxime (50 mg/kg) plus metronidazole (7.5 mg/kg) every 8 hours. In this trial, treatment-emergent adverse events were reported by 146 patients, 73 (26.7%) in the piperacillin and tazobactam group and 73 (27.1%) in the cefotaxime/metronidazole group. Six patients (2.2%) in the piperacillin and tazobactam group and 5 patients (1.9%) in the cefotaxime/metronidazole group discontinued due to an adverse event.

In a retrospective, cohort study, 140 pediatric patients 2 months to less than 18 years of age with nosocomial pneumonia were treated with piperacillin and tazobactam and 267 patients were treated with comparators (which included ticarcillin-clavulanate, carbapenems, ceftazidime, cefepime, or ciprofloxacin). The rates of serious adverse reactions were generally similar between the piperacillin and tazobactam and comparator groups, including patients aged 2 months to 9 months treated with piperacillin and tazobactam 90 mg/kg IV every 6 hours and patients older than 9 months and less than 18 years of age treated with piperacillin and tazobactam 112.5 mg/kg IV every 6 hours.

7.7 Effects On Laboratory Tests (7.7 Effects on Laboratory Tests)

There have been reports of positive test results using the Bio-Rad Laboratories Platelia Aspergillus EIA test in patients receiving piperacillin and tazobactam injection who were subsequently found to be free of Aspergillus infection. Cross-reactions with non-Aspergillus polysaccharides and polyfuranoses with the Bio-Rad Laboratories Platelia Aspergillus EIA test have been reported. Therefore, positive test results in patients receiving piperacillin and tazobactam should be interpreted cautiously and confirmed by other diagnostic methods.

As with other penicillins, the administration of piperacillin and tazobactam for injection may result in a false-positive reaction for glucose in the urine using a copper-reduction method (CLINITEST®). It is recommended that glucose tests based on enzymatic glucose oxidase reactions be used.

1.5 Community Acquired Pneumonia (1.5 Community-acquired Pneumonia)

Piperacillin and tazobactam for injection is indicated in adults for the treatment of community-acquired pneumonia (moderate severity only) caused by beta-lactamase producing isolates of Haemophilus influenzae.

17 Patient Counseling Information (17 PATIENT COUNSELING INFORMATION)

Serious Hypersensitivity Reactions

Advise patients, their families, or caregivers that serious hypersensitivity reactions, including serious allergic cutaneous reactions, could occur with use of piperacillin and tazobactam for injection that require immediate treatment. Ask them about any previous hypersensitivity reactions to piperacillin and tazobactam for injection, other beta-lactams (including cephalosporins), or other allergens [see Warnings and Precautions (5.2)].

Hemophagocytic Lymphohistiocytosis

Prior to initiation of treatment with piperacillin and tazobactam for injection, inform patients that excessive immune activation may occur with piperacillin and tazobactam for injection and that they should report signs or symptoms such as fever, rash, or lymphadenopathy to a healthcare provider immediately [see Warnings and Precautions (5.3)].

Diarrhea

Advise patients, their families, or caregivers that diarrhea is a common problem caused by antibacterial drugs, including piperacillin and tazobactam which usually ends when the drug is discontinued. Sometimes after starting treatment with antibacterial drugs, patients can develop watery and bloody stools (with or without stomach cramps and fever) even as late as two or more months after having taken the last dose of the drug. If this occurs, patients should contact their physician as soon as possible [see Warnings and Precautions (5.9)].

Antibacterial Resistance

Patients should be counseled that antibacterial drugs including piperacillin and tazobactam for injection should only be used to treat bacterial infections. They do not treat viral infections (e.g., the common cold). When piperacillin and tazobactam for injection is prescribed to treat a bacterial infection, patients should be told that although it is common to feel better early in the course of therapy, the medication should be taken exactly as directed. Skipping doses or not completing the full course of therapy may (1) decrease the effectiveness of the immediate treatment and (2) increase the likelihood that bacteria will develop resistance and will not be treatable by piperacillin and tazobactam for injection or other antibacterial drugs in the future.

Pregnancy and Lactation

Patients should be counseled that piperacillin and tazobactam can cross the placenta in humans and is excreted in human milk [see Use in Specific Populations (8.1, 8.2)].

Manufactured by Sandoz GmbH for

Sandoz Inc., Princeton, NJ 08540

CLINITEST® is a registered trademark of Siemens Healthcare Diagnostics Inc.

5.5 Hematologic Adverse Reactions

Bleeding manifestations have occurred in some patients receiving beta-lactam drugs, including piperacillin. These reactions have sometimes been associated with abnormalities of coagulation tests such as clotting time, platelet aggregation and prothrombin time, and are more likely to occur in patients with renal failure. If bleeding manifestations occur, piperacillin and tazobactam for injection should be discontinued and appropriate therapy instituted.

The leukopenia/neutropenia associated with piperacillin and tazobactam for injection administration appears to be reversible and most frequently associated with prolonged administration.

Periodic assessment of hematopoietic function should be performed, especially with prolonged therapy, i.e., ≥21 days [see Adverse Reactions (6.1)].

8.8 Patients With Cystic Fibrosis (8.8 Patients with Cystic Fibrosis)

As with other semisynthetic penicillins, piperacillin therapy has been associated with an increased incidence of fever and rash in cystic fibrosis patients.

16 How Supplied/storage and Handling (16 HOW SUPPLIED/STORAGE AND HANDLING)

Piperacillin and tazobactam for injection, USP is supplied as single-dose vials in the following sizes:

Each piperacillin and tazobactam for injection, USP 2.25 g vial provides piperacillin sodium equivalent to 2 grams of piperacillin and tazobactam sodium equivalent to 0.25 g of tazobactam. Each vial contains 4.69 mEq (108 mg) of sodium.

Supplied 10 per box – NDC 0781-3110-95

Each piperacillin and tazobactam for injection, USP 3.375 g single-dose vial provides piperacillin sodium equivalent to 3 grams of piperacillin and tazobactam sodium equivalent to 0.375 g of tazobactam. Each vial contains 7.04 mEq (162 mg) of sodium.

Supplied 10 per box – NDC 0781-3113-95

Each piperacillin and tazobactam for injection, USP 4.5 g single-dose vial provides piperacillin sodium equivalent to 4 grams of piperacillin and tazobactam sodium equivalent to 0.5 g of tazobactam. Each vial contains 9.39 mEq (216 mg) of sodium.

Supplied 10 per box – NDC 0781-3114-95

Piperacillin and tazobactam for injection, USP vials should be stored at 20° to 25°C (68° to 77°F) [see USP Controlled Room Temperature] prior to reconstitution.

1.3 Skin and Skin Structure Infections

Piperacillin and tazobactam for injection is indicated in adults for the treatment of uncomplicated and complicated skin and skin structure infections, including cellulitis, cutaneous abscesses and ischemic/diabetic foot infections caused by beta-lactamase producing isolates of Staphylococcus aureus.

2.6 Compatibility With Aminoglycosides (2.6 Compatibility with Aminoglycosides)

Due to the in vitro inactivation of aminoglycosides by piperacillin, piperacillin and tazobactam for injection and aminoglycosides are recommended for separate administration. Piperacillin and tazobactam for injection and aminoglycosides should be reconstituted, diluted, and administered separately when concomitant therapy with aminoglycosides is indicated [see Drug Interactions (7.1)].

In circumstances where co-administration via Y-site is necessary, piperacillin and tazobactam for injection is compatible for simultaneous co-administration via Y-site infusion only with the following aminoglycosides under the following conditions:

Table 5 : Compatibility with Aminoglycosides
Aminoglycoside Piperacillin and

Tazobactam for

Injection Dose

(grams)
Piperacillin and

Tazobactam for

Injection Diluent

Volume (mL)
Aminoglycoside

Concentration

Range

(mg/mL)
Acceptable

Diluents

Amikacin

2.25

3.375

4.5

50

100

150

1.75 – 7.5

0.9% sodium chloride or 5% dextrose

Gentamicin

2.25

3.375

4.5

50

100

150

0.7 – 3.32

0.9% sodium chloride or 5% dextrose

* Diluent volumes apply only to single vials and bulk pharmacy containers.

† The concentration ranges in Table 5 are based on administration of the aminoglycoside in divided doses (10 to 15 mg/kg/day in two daily doses for amikacin and 3 to 5 mg/kg/day in three daily doses for gentamicin). Administration of amikacin or gentamicin in a single daily dose or in doses exceeding those stated above via Y-site with piperacillin and tazobactam for injection has not been evaluated. See package insert for each aminoglycoside for complete Dosage and Administration instructions.

Only the concentration and diluents for amikacin or gentamicin with the dosages of piperacillin and tazobactam for injection listed above have been established as compatible for co-administration via Y-site infusion. Simultaneous co-administration via Y-site infusion in any manner other than listed above may result in inactivation of the aminoglycoside by piperacillin and tazobactam for injection.

Piperacillin and tazobactam for injection is not compatible with tobramycin for simultaneous co-administration via Y-site infusion. Compatibility of piperacillin and tazobactam for injection with other aminoglycosides has not been established.

Parenteral drug products should be inspected visually for particulate matter and discoloration prior to administration, whenever solution and container permit.

5.1 Hypersensitivity Adverse Reactions

Serious and occasionally fatal hypersensitivity (anaphylactic/anaphylactoid) reactions (including shock) have been reported in patients receiving therapy with piperacillin and tazobactam for injection. These reactions are more likely to occur in individuals with a history of penicillin, cephalosporin, or carbapenem hypersensitivity or a history of sensitivity to multiple allergens. Before initiating therapy with piperacillin and tazobactam for injection, careful inquiry should be made concerning previous hypersensitivity reactions. If an allergic reaction occurs, piperacillin and tazobactam for injection should be discontinued and appropriate therapy instituted.

5.2 Severe Cutaneous Adverse Reactions

Piperacillin and tazobactam for injection may cause severe cutaneous adverse reactions, such as Stevens-Johnson syndrome, toxic epidermal necrolysis, drug reaction with eosinophilia and systemic symptoms, and acute generalized exanthematous pustulosis. If patients develop a skin rash they should be monitored closely and piperacillin and tazobactam for injection discontinued if lesions progress.

5.3 Hemophagocytic Lymphohistiocytosis

Cases of hemophagocytic lymphohistiocytosis (HLH) have been reported in pediatric and adult patients treated with piperacillin and tazobactam for injection. Signs and symptoms of HLH may include fever, rash, lymphadenopathy, hepatosplenomegaly and cytopenia. If HLH is suspected, discontinue piperacillin and tazobactam for injection immediately and institute appropriate management.

5.10 Development of Drug Resistant Bacteria (5.10 Development of Drug-Resistant Bacteria)

Prescribing piperacillin and tazobactam for injection in the absence of a proven or strongly suspected bacterial infection or a prophylactic indication is unlikely to provide benefit to the patient and increases the risk of development of drug-resistant bacteria.

6.3 Additional Experience With Piperacillin (6.3 Additional Experience with Piperacillin)

The following adverse reaction has also been reported for piperacillin for injection:

Skeletal–prolonged neuromuscular blockade [see Drug Interactions (7.5)].

5.6 Central Nervous System Adverse Reactions

As with other penicillins, piperacillin and tazobactam for injection may cause neuromuscular excitability or seizures. Patients receiving higher doses, especially patients with renal impairment may be at greater risk for central nervous system adverse reactions. Closely monitor patients with renal impairment or seizure disorders for signs and symptoms of neuromuscular excitability or seizures [see Adverse Reactions (6.2)].

5.7 Nephrotoxicity in Critically Ill Patients (5.7 Nephrotoxicity in Critically ill Patients)

The use of Piperacillin and tazobactam for injection was found to be an independent risk factor for renal failure and was associated with delayed recovery of renal function as compared to other beta-lactam antibacterial drugs in a randomized, multicenter, controlled trial in critically ill patients [see Adverse Reactions (6.1)]. Based on this study, alternative treatment options should be considered in the critically ill population. If alternative treatment options are inadequate or unavailable, monitor renal function during treatment with Piperacillin and tazobactam for injection [see Dosage and Administration (2.3)].

Combined use of piperacillin and tazobactam and vancomycin may be associated with an increased incidence of acute kidney injury [see Drug Interactions (7.3)].

2.3 Dosage in Adult Patients With Renal Impairment (2.3 Dosage in Adult Patients with Renal Impairment)

In adult patients with renal impairment (creatinine clearance ≤ 40 mL/min) and dialysis patients (hemodialysis and CAPD), the intravenous dose of piperacillin and tazobactam for injection should be reduced based on the degree of renal impairment. The recommended daily dosage of piperacillin and tazobactam for injection for patients with renal impairment administered by intravenous infusion over 30 minutes is described in Table 1.

Table 1: Recommended Dosage of Piperacillin and Tazobactam for Injection in Patients with Normal Renal Function and Renal Impairment (As total grams piperacillin and tazobactam) *

Creatinine Clearance,

mL/min
All Indications

(except nosocomial

pneumonia)
Nosocomial

Pneumonia

Greater than 40 mL/min

3.375 every 6 hours

4.5 every 6 hours

20 to 40 mL/min

2.25 every 6 hours

3.375 every 6 hours

Less than 20 mL/min

2.25 every 8 hours

2.25 every 6 hours

Hemodialysis

2.25 every 12 hours

2.25 every 8 hours

CAPD

2.25 every 12 hours

2.25 every 8 hours

* Administer piperacillin and tazobactam for injection by intravenous infusion over 30 minutes.

† Creatinine clearance for patients not receiving hemodialysis

‡ 0.75 g (0.67 g piperacillin and 0.08 g tazobactam) should be administered following each hemodialysis session on hemodialysis days

For patients on hemodialysis, the maximum dose is 2.25 g every twelve hours for all indications other than nosocomial pneumonia and 2.25 g every eight hours for nosocomial pneumonia. Since hemodialysis removes 30% to 40% of the administered dose, an additional dose of 0.75 g piperacillin and tazobactam for injection (0.67 g piperacillin and 0.08 g tazobactam) should be administered following each dialysis period on hemodialysis days. No additional dosage of piperacillin and tazobactam for injection is necessary for CAPD patients.

2.2 Dosage in Adult Patients With Nosocomial Pneumonia (2.2 Dosage in Adult Patients with Nosocomial Pneumonia)

Initial presumptive treatment of adult patients with nosocomial pneumonia should start with piperacillin and tazobactam for injection at a dosage of 4.5 g every six hours plus an aminoglycoside, [totaling 18 g (16 g piperacillin and 2 g tazobactam)], administered by intravenous infusion over 30 minutes. The recommended duration of piperacillin and tazobactam for injection treatment for nosocomial pneumonia is 7 to 14 days. Treatment with the aminoglycoside should be continued in patients from whom P. aeruginosa is isolated.

13.1 Carcinogenesis, Mutagenesis, Impairment of Fertility

Carcinogenesis

Long-term carcinogenicity studies in animals have not been conducted with piperacillin and tazobactam, piperacillin, or tazobactam.

Mutagenesis

Piperacillin and tazobactam was negative in microbial mutagenicity assays, the unscheduled DNA synthesis (UDS) test, a mammalian point mutation (Chinese hamster ovary cell HPRT) assay, and a mammalian cell (BALB/c-3T3) transformation assay. In vivo, piperacillin and tazobactam did not induce chromosomal aberrations in rats.

Fertility

Reproduction studies have been performed in rats and have revealed no evidence of impaired fertility when piperacillin and tazobactam is administered intravenously up to a dose of 1280/320 mg/kg piperacillin and tazobactam, which is similar to the maximum recommended human daily dose based on body-surface area (mg/m2).

2.5 Reconstitution and Dilution of Piperacillin and Tazobactam for Injection

Reconstitution of Piperacillin and Tazobactam for Injection for Adult Patients and Pediatric Patients Weighing Over 40 kg

Single-Dose Vials

Reconstitute piperacillin and tazobactam for injection single-dose vials with a compatible reconstitution diluent from the list provided below.

2.25 g, 3.375 g, and 4.5 g piperacillin and tazobactam for injection should be reconstituted with 10 mL, 15 mL, and 20 mL, respectively. Swirl until dissolved. After reconstitution, the single-dose vials will have a concentration of 202.5 mg/mL (180 mg/mL of piperacillin and 22.5 mg/mL of tazobactam).

Compatible Reconstitution Diluents for Single-Dose Vials

0.9% sodium chloride for injection

Sterile water for injection

Dextrose 5%

Bacteriostatic saline/parabens

Bacteriostatic water/parabens

Bacteriostatic saline/benzyl alcohol

Bacteriostatic water/benzyl alcohol

Dilution of the Reconstituted Piperacillin and Tazobactam Solution for Adult Patients and Pediatric Patients Weighing Over 40 kg

Reconstituted piperacillin and tazobactam for injection solutions for single-dose vials should be further diluted (recommended volume per dose of 50 mL to 150 mL) in a compatible intravenous solution listed below. Administer by infusion over a period of at least 30 minutes. During the infusion it is desirable to discontinue the primary infusion solution.

Compatible Intravenous Solutions for Single-Dose Vials

0.9% sodium chloride for injection

Sterile water for injection (Maximum recommended volume per dose of sterile water for injection is 50 mL)

Dextran 6% in saline

Dextrose 5%

LACTATED RINGER’S SOLUTION IS NOT COMPATIBLE WITH PIPERACILLIN AND TAZOBACTAM FOR INJECTION.

Piperacillin and tazobactam for injection should not be mixed with other drugs in a syringe or infusion bottle since compatibility has not been established.

Piperacillin and tazobactam for injection is not chemically stable in solutions that contain only sodium bicarbonate and solutions that significantly alter the pH.

Piperacillin and tazobactam for injection should not be added to blood products or albumin hydrolysates. Parenteral drug products should be inspected visually for particulate matter or discoloration prior to administration, whenever solution and container permit.

Dilution of the Reconstituted Piperacillin and Tazobactam Solution for Pediatric Patients Weighing up to 40 kg

The volume of reconstituted solution required to deliver the dose of piperacillin and tazobactam is dependent on the weight of the child [see Dosage and Administration (2.4)]. Reconstituted piperacillin and tazobactam solutions for single-dose vials should be further diluted in a compatible intravenous solution listed above.

  • 1.
    Calculate patient dose as described in Table 2 above [see Dosage and Administration (2.4)].
  • 2.
    Reconstitute vial with a compatible reconstitution diluent, as listed above under the subheading “Compatible Reconstitution Diluents for Single-Dose Vials,” using the appropriate volume of diluent, as listed in Table 3 below. Following the addition of the diluent, swirl the single-dose vial until the powder is completely dissolved.
  •  
    Table 3 : Reconstitution of Single-Dose Vials and Resulting Concentration

Strength per Single-Dose Vial

Volume of Diluent to be Added to the Vial

Concentration of the Reconstituted Product

2.25 g (2 g piperacillin and 0.25 g tazobactam)

10 mL

202.5 mg/mL (180 mg/mL piperacillin and 22.5 mg/mL tazobactam)

3.375 g (3 g piperacillin and 0.375 g tazobactam)

15 mL

4.5 g (4 g piperacillin and 0.5 g tazobactam)

20 mL

  • 1.
    Calculate the required volume (mL) of reconstituted piperacillin and tazobactam solution based on the required dose.
  • 2.
    Aseptically withdraw the required volume of reconstituted piperacillin and tazobactam solution from single-dose vial. It should be further diluted to a final piperacillin concentration of between 20 mg/mL to 80 mg/mL (tazobactam between 2.5 mg/mL to 10 mg/mL) in a compatible intravenous solution (as listed above) in an appropriately sized syringe or IV bag.
  • 3.
    Administer the diluted piperacillin and tazobactam solution by infusion over a period of at least 30 minutes (a programmable syringe or infusion pump is recommended). During the infusion it is desirable to discontinue the primary infusion solution.

Stability of Piperacillin and Tazobactam for Injection Following Reconstitution and Dilution

Piperacillin and tazobactam for injection reconstituted from single-dose vials is stable in glass and plastic containers (plastic syringes, IV bags and tubing) when used with compatible diluents. The single-dose vials should NOT be frozen after reconstitution.

Single-dose vials should be used immediately after reconstitution. Discard any unused portion after storage for 24 hours at room temperature (20°C to 25°C [68°F to 77°F]), or after storage for 48 hours at refrigerated temperature (2°C to 8°C [36°F to 46°F]).

Stability studies in the IV bags have demonstrated chemical stability (potency, pH of reconstituted solution and clarity of solution) for up to 24 hours at room temperature and up to one week at refrigerated temperature. Piperacillin and tazobactam for injection contains no preservatives. Appropriate consideration of aseptic technique should be used.

Piperacillin and tazobactam for injection reconstituted from single-dose vials can be used in ambulatory intravenous infusion pumps. Stability of piperacillin and tazobactam for injection in an ambulatory intravenous infusion pump has been demonstrated for a period of 12 hours at room temperature. Each dose was reconstituted and diluted to a volume of 37.5 mL or 25 mL. One-day supply of dosing solution were aseptically transferred into the medication reservoir (IV bags or cartridge). The reservoir was fitted to a preprogrammed ambulatory intravenous infusion pump per the manufacturer's instructions. Stability of piperacillin and tazobactam for injection is not affected when administered using an ambulatory intravenous infusion pump.

2.1 Dosage in Adult Patients With Indications Other Than Nosocomial Pneumonia (2.1 Dosage in Adult Patients with Indications Other Than Nosocomial Pneumonia)

The usual total daily dosage of piperacillin and tazobactam for injection for adult patients with indications other than nosocomial pneumonia is 3.375 g every six hours [totaling 13.5 g (12 g piperacillin and 1.5 g tazobactam)], to be administered by intravenous infusion over 30 minutes. The usual duration of piperacillin and tazobactam for injection treatment is from 7 to 10 days.

2.4 Dosage in Pediatric Patients With Appendicitis/peritonitis Or Nosocomial Pneumonia (2.4 Dosage in Pediatric Patients with Appendicitis/Peritonitis or Nosocomial Pneumonia)

The recommended dosage for pediatric patients with appendicitis and/or peritonitis or nosocomial pneumonia aged 2 months of age and older, weighing up to 40 kg, and with normal renal function, is described in Table 2 [see Use in Specific Populations (8.4) and Clinical Pharmacology (12.3)].

Table 2: Recommended Dosage of Piperacillin and Tazobactam for Injection in Pediatric Patients 2 Months of Age and Older, Weighing Up to 40 kg, and With Normal Renal Function*

Age

Appendicitis and/or Peritonitis

Nosocomial Pneumonia

2 months to 9 months

90 mg/kg (80 mg piperacillin and 10 mg tazobactam) every 8 (eight) hours

90 mg/kg (80 mg piperacillin and 10 mg tazobactam) every 6 (six) hours

Older than 9 months of age

112.5 mg/kg (100 mg piperacillin and 12.5 mg tazobactam) every 8 (eight) hours

112.5 mg/kg (100 mg piperacillin and 12.5 mg tazobactam) every 6 (six) hours

* Administer piperacillin and tazobactam for injection by intravenous infusion over 30 minutes.

Pediatric patients weighing over 40 kg and with normal renal function should receive the adult dose [see Dosage and Administration (2.1, 2.2)].

Dosage of piperacillin and tazobactam for injection in pediatric patients with renal impairment has not been determined.


Advanced Ingredient Data


Raw Label Data

All Sections (JSON)