These Highlights Do Not Include All The Information Needed To Use Nikki Safely And Effectively. See Full Prescribing Information For Nikki.

These Highlights Do Not Include All The Information Needed To Use Nikki Safely And Effectively. See Full Prescribing Information For Nikki.
SPL v8
SPL
SPL Set ID 9aff6034-044c-466d-bf52-18a998d47f66
Route
ORAL
Published
Effective Date 2025-12-08
Document Type 34391-3 HUMAN PRESCRIPTION DRUG LABEL

Drug Facts

Composition & Product

Active Ingredients
Ethinyl Estradiol (0.02 mg) Drospirenone (3 mg)
Inactive Ingredients
Starch, Corn Polyethylene Glycol, Unspecified

Identifiers & Packaging

Pill Appearance
Imprint: LU;K33 Shape: round Color: pink Color: white Size: 6 mm Score: 1
Marketing Status
ANDA Active Since 2019-11-30

Description

WARNING: CIGARETTE SMOKING AND SERIOUS CARDIOVASCULAR EVENTS See full prescribing information for complete boxed warning. Women over 35 years old who smoke should not use Nikki ( 4 ). Cigarette smoking increases the risk of serious cardiovascular events from combination oral contraceptive (COC) use. ( 4 )

Indications and Usage

Nikki (drospirenone and ethinyl estradiol tablets USP) is a combination of drospirenone, a progestin, and ethinyl estradiol, an estrogen, indicated for use by females of reproductive potential to: Prevent pregnancy. ( 1.1 ) Treat symptoms of premenstrual dysphoric disorder (PMDD) for females of reproductive potential who choose to use an oral contraceptive for contraception. ( 1.2 ) Treat moderate acne for women at least 14 years old only if the patient desires an oral contraceptive for birth control. ( 1.3 )

Dosage and Administration

Take one tablet daily by mouth at the same time every day. ( 2.1 ) Tablets must be taken in the order directed on the blister pack. ( 2.1 )

Warnings and Precautions

Vascular risks : Stop Nikki if a thrombotic event occurs. Stop at least 4 weeks before and through 2 weeks after major surgery. Start no earlier than 4 weeks after delivery, in women who are not breastfeeding. ( 5.1 ) COCs containing DRSP may be associated with a higher risk of venous thromboembolism (VTE) than COCs containing levonorgestrel or some other progestins. Before initiating Nikki in a new COC user or a woman who is switching from a contraceptive that does not contain DRSP, consider the risks and benefits of a DRSP-containing COC in light of her risk of a VTE. ( 5.1 ) Hyperkalemia : DRSP has anti-mineralocorticoid activity. Do not use in patients predisposed to hyperkalemia. Check serum potassium concentration during the first treatment cycle in women on long-term treatment with medications that may increase serum potassium concentration. ( 5.2 , 7.1 , 7.2 ) Liver disease : Discontinue Nikki if jaundice occurs. ( 5.4 ) High blood pressure : Do not prescribe Nikki for women with uncontrolled hypertension or hypertension with vascular disease. ( 5.6 ) Carbohydrate and lipid metabolic effects : Monitor prediabetic and diabetic women taking Nikki. Consider an alternate contraceptive method for women with uncontrolled dyslipidemia. ( 5.8 ) Headache : Evaluate significant change in headaches and discontinue Nikki if indicated. ( 5.9 ) Uterine bleeding : Evaluate irregular bleeding or amenorrhea. ( 5.10 )

Contraindications

Renal impairment ( 4 ) Adrenal insufficiency ( 4 ) A high risk of arterial or venous thrombotic diseases ( 4 ) Undiagnosed abnormal uterine bleeding ( 4 ) Breast cancer ( 4 ) Liver tumors or liver disease ( 4 ) Co-administration with Hepatitis C drug combinations containing ombitasvir, paritaprevir/ritonavir, with or without dasabuvir ( 4 )

Adverse Reactions

The most frequent adverse reactions (≥ 2%) in contraception and acne clinical trials were: headache/migraine (6.7%), menstrual irregularities (4.7%), nausea/vomiting (4.2%), breast pain/tenderness (4.0%) and mood changes (2.2%). ( 6.1 ) The most frequent adverse reactions (≥ 2%) in PMDD clinical trials were: menstrual irregularities (24.9%), nausea (15.8%), headache (13.0%), breast tenderness (10.5%), fatigue (4.2%), irritability (2.8%), decreased libido (2.8%), increased weight (2.5%), and affect lability (2.1%). ( 6.1 ) To report SUSPECTED ADVERSE REACTIONS, contact Lupin Pharmaceuticals Inc. at 1-800-399-2561 or FDA at 1-800-FDA-1088 or www.fda.gov/medwatch

Drug Interactions

Drugs or herbal products that induce certain enzymes (for example, CYP3A4) may decrease the effectiveness of COCs or increase breakthrough bleeding. Counsel patients to use a back-up or alternative method of contraception when enzyme inducers are used with COCs. ( 7.1 )

How Supplied

Nikki (drospirenone and ethinyl estradiol tablets USP), 3 mg/0.02 mg is available in a blister (NDC 68180-886-71) packed in a pouch (NDC 68180-886-71). Such three pouches are packaged in a carton (NDC 68180-886-73). Each blister pack (28 film-coated tablets) contains in the following order: 24 active pink, round, biconvex, film-coated tablets, debossed with "LU" on one side and "K31" on the other side each containing 3 mg drospirenone and 0.02 mg ethinyl estradiol 4 inert white to off-white round, biconvex film-coated tablets debossed with "K33" on one side and "LU" on the other side.


Medication Information

Recent Major Changes

WARNING: CIGARETTE SMOKING AND SERIOUS CARDIOVASCULAR EVENTS

See full prescribing information for complete boxed warning.

  • Women over 35 years old who smoke should not use Nikki (4).
  • Cigarette smoking increases the risk of serious cardiovascular events from combination oral contraceptive (COC) use. (4)
Recent Major Changes

Dosage and Administration (2.3)                                                  5/2023

Contraindications, Pregnancy (4)                                Removed 5/2023

Warnings and Precautions (5.11)                                  Removed 5/2023

Warnings and Precautions

Vascular risks : Stop Nikki if a thrombotic event occurs. Stop at least 4 weeks before and through 2 weeks after major surgery. Start no earlier than 4 weeks after delivery, in women who are not breastfeeding. ( 5.1 ) COCs containing DRSP may be associated with a higher risk of venous thromboembolism (VTE) than COCs containing levonorgestrel or some other progestins. Before initiating Nikki in a new COC user or a woman who is switching from a contraceptive that does not contain DRSP, consider the risks and benefits of a DRSP-containing COC in light of her risk of a VTE. ( 5.1 ) Hyperkalemia : DRSP has anti-mineralocorticoid activity. Do not use in patients predisposed to hyperkalemia. Check serum potassium concentration during the first treatment cycle in women on long-term treatment with medications that may increase serum potassium concentration. ( 5.2 , 7.1 , 7.2 ) Liver disease : Discontinue Nikki if jaundice occurs. ( 5.4 ) High blood pressure : Do not prescribe Nikki for women with uncontrolled hypertension or hypertension with vascular disease. ( 5.6 ) Carbohydrate and lipid metabolic effects : Monitor prediabetic and diabetic women taking Nikki. Consider an alternate contraceptive method for women with uncontrolled dyslipidemia. ( 5.8 ) Headache : Evaluate significant change in headaches and discontinue Nikki if indicated. ( 5.9 ) Uterine bleeding : Evaluate irregular bleeding or amenorrhea. ( 5.10 )

Indications and Usage

Nikki (drospirenone and ethinyl estradiol tablets USP) is a combination of drospirenone, a progestin, and ethinyl estradiol, an estrogen, indicated for use by females of reproductive potential to: Prevent pregnancy. ( 1.1 ) Treat symptoms of premenstrual dysphoric disorder (PMDD) for females of reproductive potential who choose to use an oral contraceptive for contraception. ( 1.2 ) Treat moderate acne for women at least 14 years old only if the patient desires an oral contraceptive for birth control. ( 1.3 )

Dosage and Administration

Take one tablet daily by mouth at the same time every day. ( 2.1 ) Tablets must be taken in the order directed on the blister pack. ( 2.1 )

Contraindications

Renal impairment ( 4 ) Adrenal insufficiency ( 4 ) A high risk of arterial or venous thrombotic diseases ( 4 ) Undiagnosed abnormal uterine bleeding ( 4 ) Breast cancer ( 4 ) Liver tumors or liver disease ( 4 ) Co-administration with Hepatitis C drug combinations containing ombitasvir, paritaprevir/ritonavir, with or without dasabuvir ( 4 )

Adverse Reactions

The most frequent adverse reactions (≥ 2%) in contraception and acne clinical trials were: headache/migraine (6.7%), menstrual irregularities (4.7%), nausea/vomiting (4.2%), breast pain/tenderness (4.0%) and mood changes (2.2%). ( 6.1 ) The most frequent adverse reactions (≥ 2%) in PMDD clinical trials were: menstrual irregularities (24.9%), nausea (15.8%), headache (13.0%), breast tenderness (10.5%), fatigue (4.2%), irritability (2.8%), decreased libido (2.8%), increased weight (2.5%), and affect lability (2.1%). ( 6.1 ) To report SUSPECTED ADVERSE REACTIONS, contact Lupin Pharmaceuticals Inc. at 1-800-399-2561 or FDA at 1-800-FDA-1088 or www.fda.gov/medwatch

Drug Interactions

Drugs or herbal products that induce certain enzymes (for example, CYP3A4) may decrease the effectiveness of COCs or increase breakthrough bleeding. Counsel patients to use a back-up or alternative method of contraception when enzyme inducers are used with COCs. ( 7.1 )

How Supplied

Nikki (drospirenone and ethinyl estradiol tablets USP), 3 mg/0.02 mg is available in a blister (NDC 68180-886-71) packed in a pouch (NDC 68180-886-71). Such three pouches are packaged in a carton (NDC 68180-886-73). Each blister pack (28 film-coated tablets) contains in the following order: 24 active pink, round, biconvex, film-coated tablets, debossed with "LU" on one side and "K31" on the other side each containing 3 mg drospirenone and 0.02 mg ethinyl estradiol 4 inert white to off-white round, biconvex film-coated tablets debossed with "K33" on one side and "LU" on the other side.

Description

WARNING: CIGARETTE SMOKING AND SERIOUS CARDIOVASCULAR EVENTS See full prescribing information for complete boxed warning. Women over 35 years old who smoke should not use Nikki ( 4 ). Cigarette smoking increases the risk of serious cardiovascular events from combination oral contraceptive (COC) use. ( 4 )

Section 42229-5

WARNING: CIGARETTE SMOKING AND SERIOUS CARDIOVASCULAR EVENTS

Cigarette smoking increases the risk of serious cardiovascular events from combination oral contraceptives (COC) use. This risk increases with age, particularly in women over 35 years of age, and with the number of cigarettes smoked. For this reason, COCs should not be used by women who are over 35 years of age and smoke. [see CONTRAINDICATIONS (4) ].

Section 51945-4

Nikki (Drospirenone and Ethinyl Estradiol Tablets USP), 3 mg/0.02 mg

Rx Only

NDC 68180-886-71

Blister Label: 28 Tablets

Nikki (Drospirenone and Ethinyl Estradiol Tablets USP), 3 mg/0.02 mg

Rx Only

NDC 68180-886-71

Pouch: 1 Blister of 28 Tablets

Nikki (Drospirenone and Ethinyl Estradiol Tablets USP), 3 mg/0.02 mg

Rx Only

NDC 68180-886-73

Carton Label: 3 Blisters of 28 Tablets Each

1.3 Acne

Nikki (drospirenone and ethinyl estradiol tablets USP), 3 mg/0.02 mg is indicated for the treatment of moderate acne vulgaris in women at least 14 years of age, who have no known contraindications to oral contraceptive therapy and have achieved menarche. Nikki (drospirenone and ethinyl estradiol tablets USP), 3 mg/0.02 mg should be used for the treatment of acne only if the patient desires an oral contraceptive for birth control.

8.8 Race

No clinically significant difference was observed between the pharmacokinetics of DRSP or EE in Japanese versus Caucasian women [see Clinical Pharmacology (12.3)].

16.2 Storage

Store at 25°C (77°F); excursions permitted to 15 to 30°C (59 to 86°F) [See USP Controlled Room Temperature].

5.9 Headache

If a woman taking Nikki develops new headaches that are recurrent, persistent, or severe, evaluate the cause and discontinue Nikki if indicated.

An increase in frequency or severity of migraine during COC use (which may be prodromal of a cerebrovascular event) may be a reason for immediate discontinuation of the COC.

10 Overdosage

There have been no reports of serious ill effects from overdose, including ingestion by children. Overdosage may cause withdrawal bleeding in females and nausea.

DRSP is a spironolactone analogue which has anti-mineralocorticoid properties. Serum concentration of potassium and sodium, and evidence of metabolic acidosis, should be monitored in cases of overdose.

15 References
  • Seeger, J.D., Loughlin, J., Eng, P.M., Clifford, C.R., Cutone, J., and Walker, A.M. (2007). Risk of thromboembolism in women taking ethinylestradiol/drospirenone and other oral contraceptives. Obstet Gynecol 110, 587-593.
  • Dinger, J.C., Heinemann, L.A., and Kuhl-Habich, D. (2007). The safety of a drospirenone-containing oral contraceptive: final results from the European Active Surveillance Study on oral contraceptives based on 142,475 women-years of observation. Contraception 75, 344-354.
  • Combined hormonal contraceptives (CHCs) and the risk of cardiovascular endpoints. Sidney, S. (primary author) http://www.fda.gov/downloads/Drugs/DrugSafety/UCM277384.pdf, accessed Oct 27, 2011.
  • Lidegaard, O., Lokkegaard, E., Svendsen, A.L., and Agger, C. (2009). Hormonal contraception and risk of venous thromboembolism: national follow-up study. BMJ 339, b2890.
  • Lidegaard, O., Nielsen, L.H., Skovlund, C.W., Skjeldestad, F.E., and Lokkegaard, E. (2011). Risk of venous thromboembolism from use of oral contraceptives containing different progestogens and oestrogen doses: Danish cohort study, 2001-9. BMJ 343, d6423.
  • van Hylckama Vlieg, A., Helmerhorst, F.M., Vandenbroucke, J.P., Doggen, C.J., and Rosendaal, F.R. (2009). The venous thrombotic risk of oral contraceptives, effects of oestrogen dose and progestogen type: results of the MEGA case-control study. BMJ 339, b2921.
  • Dinger, J., Assmann, A., Mohner, S., and Minh, T.D. (2010). Risk of venous thromboembolism and the use of dienogest- and drospirenone-containing oral contraceptives: results from a German case-control study. J Fam Plann Reprod Health Care 36, 123 to 129.
  • Jick, S.S., and Hernandez, R.K. (2011). Risk of non-fatal venous thromboembolism in women using oral contraceptives containing drospirenone compared with women using oral contraceptives containing levonorgestrel: case-control study using United States claims data. BMJ 342, d2151.
  • Parkin, L., Sharples, K., Hernandez, R.K., and Jick, S.S. (2011). Risk of venous thromboembolism in users of oral contraceptives containing drospirenone or levonorgestrel: nested case-control study based on UK General Practice Research Database. BMJ 342, d2139.
8.1 Pregnancy

Risk Summary

There is no use for contraception in pregnancy; therefore, Nikki should be discontinued during pregnancy. Epidemiologic studies and meta-analyses have not found an increased risk of genital or non-genital birth defects (including cardiac anomalies and limb-reduction defects) following exposure to CHCs before conception or during early pregnancy. In the U.S. general population, the estimated background risk of major birth defects and miscarriage in clinically recognized pregnancies is 2 to 4 percent and 15 to 20 percent, respectively.

Data

Human Data

A retrospective database study of women in Norway, that included 44,734 pregnancies of which 368 were women who inadvertently took DRSP/EE during the first trimester of a pregnancy, found there were no adverse effects on pre-term birth, small for gestational age, or birth weight Z-scores.

Post-marketing adverse event data on the use of Nikki in pregnant women suggest that frequencies of miscarriage and congenital anomalies were not higher than the estimated background risk in the general population.

8.2 Lactation

Risk Summary

DRSP is present in human milk. After a single oral administration of 3 mg DRSP/0.03 mg EE tablets, DRSP concentration in breast milk over the 24-h period ranged from 1.4 to 7.0 ng/mL, with a mean ± standard deviation value of 3.7 ± 1.9 ng/mL. The estimated mean infant dose was 0.003 mg/day, which is about 0.1% of maternal dose (see Data). There is limited information on the effects of Nikki on the breast-fed infant. CHCs can reduce milk production in breast-feeding females. This reduction can occur at any time but is less likely to occur once breast-feeding is well-established. When possible, advise the nursing female to use other methods of contraception until she discontinues breast-feeding [see also Dosage and Administration (2.2)].

The developmental and health benefits of breast-feeding should be considered along with the mother's clinical need for Nikki and any potential adverse effects on the breast-fed child from Nikki or from the underlying maternal condition.

Data

Human   Data

An open-label study evaluated the degree of DRSP transfer into milk within 72 hours following a single oral administration of 3 mg DRSP/0.03 mg EE tablets to 6 healthy lactating women who were 1 week to 3 months post-partum. DRSP was present in breast milk with a mean Cmax of 13.5 ng/mL, while the mean Cmax in serum of lactating women was 30.8 ng/mL. The DRSP concentration in breast milk over the 24-hour period following dosing ranged from 1.4 to 7.0 ng/mL, with a mean ± standard deviation value of 3.7 ± 1.9 ng/mL. Based on single dose data, the maximal daily infant dose of DRSP was calculated to be 0.003 mg/day, which represented a mean of 0.1% of the maternal dose.

11 Description

Nikki (drospirenone and ethinyl estradiol tablets USP), 3 mg/0.02 mg provides an oral contraceptive regimen consisting of 24 pink, round, biconvex active film-coated tablets each containing 3 mg of drospirenone and 0.02 mg of ethinyl estradiol and 4 white to off-white inert film-coated tablets.

The inactive ingredients in the pink film-coated tablets are corn starch, hypromellose, iron oxide red, lactose monohydrate, magnesium stearate, pregelatinised starch, talc and titanium dioxide. The white to off-white inert film-coated tablets contain corn starch, hypromellose, lactose monohydrate, magnesium stearate, polyethylene glycol, pregelatinized starch and titanium dioxide.

Drospirenone (6R, 7R, 8R, 9S, 10R, 13S, 14S, 15S, 16S, 17S) - 1, 3', 4', 6, 6a, 7, 8, 9, 10, 11, 12,13,14,15,15a,16-hexadecahydro-10,13-dimethylspiro-[17H-dicyclopropa- [6,7:15,16] cyclopenta [a] phenanthrene- 17, 2' (5H)- furan]-3, 5'(2H)-dione) is a synthetic progestational compound and has a molecular weight of 366.5 and a molecular formula of C24H30O3. Ethinyl estradiol (19-nor-17a-pregna 1, 3, 5(10)-triene-20-yne-3, 17-diol) is a synthetic estrogenic compound and has a molecular weight of 296.4 and a molecular formula of C20H24O2.

The structural formulas are as follows:

FDA approved dissolution test specifications differ from USP.

5.11 Depression

Women with a history of depression should be carefully observed and Nikki discontinued if depression recurs to a serious degree.

5.13 Monitoring

A woman who is taking COCs should have a yearly visit with her healthcare provider for a blood pressure check and for other indicated healthcare.

2.3 Missed Doses
Table 1: Instructions for Nikki Missed Doses
If one light pink active tablet is missed

Take the missed active tablet as soon as possible. Take the next tablet at the regular time. This means two tablets may be taken in one day. A back-up birth control method is not required if the patient has sex.

If two light pink active tablets in a row are missed in Week 1 or Week 2

Take two active tablets as soon as possible and two tablets the next day. Then take one tablet a day until the pack is finished. Additional nonhormonal contraception (such as condoms and spermicide) should be used as back-up if the patient has sex within 7 days after missing tablets.

If two light pink active tablets in a row are missed in Week 3 or Week 4

Day 1 Start : Throw out the rest of the tablet pack and start a new pack that same day.

Sunday Start : Keep taking one tablet every day until Sunday. On Sunday, throw out the rest of the pack and start a new pack of tablets that same day. Additional nonhormonal contraception (such as condoms and spermicide) should be used as back-up if the patient has sex within 7 days after missing tablets. The patient may not have their period this month but this is expected. However, if they miss their period two months in a row, they should call their healthcare provider because they might be pregnant.

If three or more light pink active tablets in a row are missed during any week

Day 1 Start : Throw out the rest of the tablet pack and start a new pack that same day.

Sunday Start : Keep taking one tablet every day until Sunday. On Sunday, throw out the rest of the pack and start a new pack of tablets that same day. The patient could become pregnant if they have sex in the 7 days after they restart their tablets. They must use another birth control method (such as condoms and spermicides) as a back-up for those 7 days. They should call their healthcare provider if they miss their period, because they might be pregnant.

If any of the four white inactive tablets are missed in Week 4

Throw away the tablets that were missed.

Keep taking one tablet each day until the pack is empty. They do not need a back-up method.

Finally, if they are still not sure what to do about the tablets they have missed:

Use nonhormonal contraception (such as condoms and spermicides) anytime they have sex. Contact their healthcare provider and continue taking one active light pink tablet each day until otherwise directed.

5.2 Hyperkalemia

Nikki contains 3 mg of the progestin DRSP which has anti-mineralocorticoid activity, including the potential for hyperkalemia in high-risk patients, comparable to a 25 mg dose of spironolactone. Nikki is contraindicated in patients with conditions that predispose to hyperkalemia (that is, renal impairment, hepatic impairment and adrenal insufficiency). Women receiving daily, long-term treatment for chronic conditions or diseases with medications that may increase serum potassium concentration should have their serum potassium concentration checked during the first treatment cycle. Medications that may increase serum potassium concentration include ACE inhibitors, angiotensin-II receptor antagonists, potassium-sparing diuretics, potassium supplementation, heparin, aldosterone antagonists, and NSAIDS.

Consider monitoring serum potassium concentration in high-risk patients who take a strong CYP3A4 inhibitor long-term and concomitantly. Strong CYP3A4 inhibitors include azole antifungals (e.g. ketoconazole, itraconazole, voriconazole), HIV/HCV protease inhibitors (e.g., indinavir, boceprevir), and clarithromycin [see Clinical Pharmacology (12.3)].

16.1 How Supplied

Nikki (drospirenone and ethinyl estradiol tablets USP), 3 mg/0.02 mg is available in a blister (NDC 68180-886-71) packed in a pouch (NDC 68180-886-71). Such three pouches are packaged in a carton (NDC 68180-886-73).

Each blister pack (28 film-coated tablets) contains in the following order:

  • 24 active pink, round, biconvex, film-coated tablets, debossed with "LU" on one side and "K31" on the other side each containing 3 mg drospirenone and 0.02 mg ethinyl estradiol
  • 4 inert white to off-white round, biconvex film-coated tablets debossed with "K33" on one side and "LU" on the other side.
5.4 Liver Disease

Discontinue Nikki if jaundice develops. Steroid hormones may be poorly metabolized in patients with impaired liver function. Acute or chronic disturbances of liver function may necessitate the discontinuation of COC use until markers of liver function return to normal and COC causation has been excluded.

Hepatic adenomas are associated with COC use. An estimate of the attributable risk is 3.3 cases/100,000 COC users. Rupture of hepatic adenomas may cause death through intra-abdominal hemorrhage.

Studies have shown an increased risk of developing hepatocellular carcinoma in long-term (>8 years) COC users. However, the attributable risk of liver cancers in COC users is less than one case per million users.

Oral contraceptive-related cholestasis may occur in women with a history of pregnancy-related cholestasis. Women with a history of COC-related cholestasis may have the condition recur with subsequent COC use.

8.4 Pediatric Use

Safety and efficacy of Nikki have been established in women of reproductive age. Efficacy is expected to be the same for postpubertal adolescents under the age of 18 and for users 18 years and older. Use of this product before menarche is not indicated.

8.5 Geriatric Use

Nikki has not been studied in postmenopausal women and is not indicated in this population.

4 Contraindications
  • Renal impairment (4)
  • Adrenal insufficiency (4)
  • A high risk of arterial or venous thrombotic diseases (4)
  • Undiagnosed abnormal uterine bleeding (4)
  • Breast cancer (4)
  • Liver tumors or liver disease (4)
  • Co-administration with Hepatitis C drug combinations containing ombitasvir, paritaprevir/ritonavir, with or without dasabuvir (4)
6 Adverse Reactions
  • The most frequent adverse reactions (≥ 2%) in contraception and acne clinical trials were: headache/migraine (6.7%), menstrual irregularities (4.7%), nausea/vomiting (4.2%), breast pain/tenderness (4.0%) and mood changes (2.2%). (6.1)
  • The most frequent adverse reactions (≥ 2%) in PMDD clinical trials were: menstrual irregularities (24.9%), nausea (15.8%), headache (13.0%), breast tenderness (10.5%), fatigue (4.2%), irritability (2.8%), decreased libido (2.8%), increased weight (2.5%), and affect lability (2.1%). (6.1)

To report SUSPECTED ADVERSE REACTIONS, contact Lupin Pharmaceuticals Inc. at 1-800-399-2561 or FDA at 1-800-FDA-1088 or www.fda.gov/medwatch

7 Drug Interactions

Drugs or herbal products that induce certain enzymes (for example, CYP3A4) may decrease the effectiveness of COCs or increase breakthrough bleeding.

Counsel patients to use a back-up or alternative method of contraception when enzyme inducers are used with COCs. (7.1)

12.2 Pharmacodynamics

Drospirenone is a spironolactone analogue with anti-mineralocorticoid and antiandrogenic activity. The estrogen in Nikki is ethinyl estradiol.

Contraception

Two studies evaluated the effect of 3 mg DRSP / 0.02 mg EE combinations on the suppression of ovarian activity as assessed by measurement of follicle size via transvaginal ultrasound and serum hormone (progesterone and estradiol) analyses during two treatment cycles (21-day active tablet period plus 7-day pill-free period). More than 90% of subjects in these studies demonstrated ovulation inhibition. One study compared the effect of 3 mg DRSP/0.02 mg EE combinations with two different regimens (24-day active tablet period plus 4-day pill-free period vs. 21-day active tablet period plus 7-day pill-free period) on the suppression of ovarian activity during two treatment cycles. During the first treatment cycle, there were no subjects (0/49, 0%) taking the 24-day regimen who ovulated compared to 1 subject (1/50, 2%) using the 21-day regimen. After intentionally introduced dosing errors (3 missed active tablets on Days 1 to 3) during the second treatment cycle, there was 1 subject (1/49, 2%) taking the 24-day regimen who ovulated compared to 4 subjects (4/50, 8%) using the 21-day regimen.

Acne

Acne vulgaris is a skin condition with a multifactorial etiology including androgen stimulation of sebum production. While the combination of EE and DRSP increases sex hormone binding globulin (SHBG) and decreases free testosterone, the relationship between these changes and a decrease in the severity of facial acne in otherwise healthy women with this skin condition has not been established. The impact of the antiandrogenic activity of DRSP on acne is not known.

12.3 Pharmacokinetics

Absorption

The absolute bioavailability of DRSP from a single entity tablet is about 76%. The absolute bioavailability of EE is approximately 40% as a result of presystemic conjugation and first-pass metabolism. The absolute bioavailability of Nikki, which is a combination tablet of DRSP and EE, has not been evaluated. Serum concentrations of DRSP and EE reached peak levels within 1 to 2 hours after administration of Nikki.

The pharmacokinetics of DRSP are dose proportional following single doses ranging from 1 to 10 mg. Following daily dosing of Nikki, steady state DRSP concentrations were observed after 8 days. There was about 2 to 3 fold accumulation in serum Cmax and AUC (0-24h) values of DRSP following multiple dose administration of Nikki (see Table 3).

For EE, steady-state conditions are reported during the second half of a treatment cycle. Following daily administration of Nikki, serum Cmax and AUC (0-24h) values of EE accumulate by a factor of about 1.5 to 2 (see Table 3).

DRSP

Cycle / Day

No. of Subjects

Cmax a (ng/mL)

Tmax
median (range)
(h)

AUC(0-24h)a (ng•h/mL)

t 1/2 a (h)

1/1

23

38.4 (25)

1.5 (1 to 2)

268 (19)

NA
NA = Not available


1/21

23

70.3 (15)

1.5 (1 to 2)

763 (17)

30.8 (22)

EE

Cycle / Day

No. of Subjects

Cmax a (pg/mL)

Tmax
(h)

AUC(0-24h)a (pg•h/mL)

t 1/2 a (h)

1/1

23

32.8 (45)

1.5 (1 to 2)

108 (52)

NA


1/21

23

45.1 (35)

1.5 (1 to 2)

220 (57)

NA


Food Effect:

The rate of absorption of DRSP and EE following single administration of a formulation similar to Nikki was slower under fed (high fat meal) conditions with the serum Cmax being reduced about 40% for both components. The extent of absorption of DRSP, however, remained unchanged. In contrast, the extent of absorption of EE was reduced by about 20% under fed conditions.

Distribution

DRSP and EE serum concentrations decline in two phases. The apparent volume of distribution of DRSP is approximately 4 L/kg and that of EE is reported to be approximately 4 to 5 L/kg.

DRSP does not bind to SHBG or corticosteroid binding globulin (CBG) but binds about 97% to other serum proteins. Multiple dosing over 3 cycles resulted in no change in the free fraction (as measured at trough concentrations). EE is reported to be highly but non-specifically bound to serum albumin (approximately 98.5%) and induces an increase in the serum concentrations of both SHBG and CBG. EE induced effects on SHBG and CBG were not affected by variation of the DRSP dosage in the range of 2 to 3 mg.

Metabolism

The two main metabolites of DRSP found in human plasma were identified to be the acid form of DRSP generated by opening of the lactone ring and the 4, 5-dihydrodrospirenone-3-sulfate, formed by reduction and subsequent sulfation. These metabolites were shown not to be pharmacologically active. Drospirenone is also subject to oxidative metabolism catalyzed by CYP3A4.

EE has been reported to be subject to significant gut and hepatic first-pass metabolism. Metabolism of EE and its oxidative metabolites occur primarily by conjugation with glucuronide or sulfate. CYP3A4 in the liver is responsible for the 2-hydroxylation which is the major oxidative reaction. The 2-hydroxy metabolite is further transformed by methylation and glucuronidation prior to urinary and fecal excretion.

Excretion

DRSP serum concentrations are characterized by a terminal disposition phase half-life of approximately 30 hours after both single and multiple dose regimens. Excretion of DRSP was nearly complete after ten days and amounts excreted were slightly higher in feces compared to urine. DRSP was extensively metabolized and only trace amounts of unchanged DRSP were excreted in urine and feces. At least 20 different metabolites were observed in urine and feces. About 38 to 47% of the metabolites in urine were glucuronide and sulfate conjugates. In feces, about 17 to 20% of the metabolites were excreted as glucuronides and sulfates.

For EE the terminal disposition phase half-life has been reported to be approximately 24 hours. EE is not excreted unchanged. EE is excreted in the urine and feces as glucuronide and sulfate conjugates and undergoes enterohepatic circulation.

Use in Specific Populations

Pediatric Use:

Safety and efficacy of Nikki has been established in women of reproductive age. Efficacy is expected to be the same for postpubertal adolescents under the age of 18 and for users 18 years and older. Use of this product before menarche is not indicated.

Geriatric Use:

Nikki has not been studied in postmenopausal women and is not indicated in this population.

Race:

No clinically significant difference was observed between the pharmacokinetics of DRSP or EE in Japanese versus Caucasian women (age 25 to 35) when 3 mg DRSP/0.02 mg EE was administered daily for 21 days. Other ethnic groups have not been specifically studied.

Renal Impairment:

Nikki is contraindicated in patients with renal impairment.

The effect of renal impairment on the pharmacokinetics of DRSP (3 mg daily for 14 days) and the effect of DRSP on serum potassium concentrations were investigated in three separate groups of female subjects (n=28, age 30 to 65). All subjects were on a low potassium diet. During the study, 7 subjects continued the use of potassium-sparing drugs for the treatment of their underlying illness. On the 14th day (steady-state) of DRSP treatment, the serum DRSP concentrations in the group with CLcr of 50 to 79 mL/min were comparable to those in the control group with CLcr ≥ 80 mL/min. The serum DRSP concentrations were on average 37% higher in the group with CLcr of 30 to 49 mL/min compared to those in the control group. DRSP treatment did not show any clinically significant effect on serum potassium concentration. Although hyperkalemia was not observed in the study, in five of the seven subjects who continued use of potassium-sparing drugs during the study, mean serum potassium concentrations increased by up to 0.33 mEq/L. [see Contraindications (4) and Warnings and Precautions (5.2).]

Hepatic Impairment:

Nikki is contraindicated in patients with hepatic disease.

The mean exposure to DRSP in women with moderate liver impairment is approximately three times higher than the exposure in women with normal liver function. Nikki has not been studied in women with severe hepatic impairment. [see Contraindications (4) and Warnings and Precautions (5.4)]

Drug Interactions

Consult the labeling of all concurrently used drugs to obtain further information about interactions with oral contraceptives or the potential for enzyme alterations.

Effects of Other Drugs on Combined Oral Contraceptives:

Substances Diminishing the Efficacy of CoCs: Drugs or herbal products that induce certain enzymes, including CYP3A4, may decrease the effectiveness of COCs or increase breakthrough bleeding.

Substances increasing the plasma concentrations of COCs: Co-administration of atorvastatin and certain COCs containing EE increase AUC values for EE by approximately 20%. Ascorbic acid and acetaminophen may increase plasma EE concentrations, possibly by inhibition of conjugation. In a clinical drug-drug interaction study conducted in 20 premenopausal women, co-administration of a DRSP (3 mg)/EE (0.02 mg) COC with the strong CYP3A4 inhibitor ketoconazole (200 mg twice daily) for 10 days increased the AUC(0-24h) of DRSP and EE by 2.68-fold (90% CI: 2.44, 2.95) and 1.40-fold (90% CI: 1.31, 1.49), respectively. The increases in Cmax were 1.97-fold (90% CI: 1.79, 2.17) and 1.39-fold (90% CI: 1.28, 1.52) for DRSP and EE, respectively. Although no clinically relevant effects on safety or laboratory parameters including serum potassium were observed, this study only assessed subjects for 10 days. The clinical impact for a patient taking a DRSP-containing COC concomitantly with chronic use of a CYP3A4/5 inhibitor is unknown [see Warnings and Precautions (5.2)].

HIV/HCV Protease Inhibitors and Non-nucleoside Reverse Transcriptase Inhibitors: Significant changes (increase or decrease) in the plasma concentrations of estrogen and progestin have been noted in some cases of co-administration with HIV/HCV protease inhibitors or with non-nucleoside reverse transcriptase inhibitors.

Antibiotics: There have been reports of pregnancy while taking hormonal contraceptives and antibiotics, but clinical pharmacokinetic studies have not shown consistent effects of antibiotics on plasma concentrations of synthetic steroids.

Effects of Combined Oral Contraceptives on Other Drugs:

COCs containing EE may inhibit the metabolism of other compounds. COCs have been shown to significantly decrease plasma concentrations of lamotrigine, likely due to induction of lamotrigine glucuronidation. This may reduce seizure control; therefore, dosage adjustments of lamotrigine may be necessary. Consult the labeling of the concurrently-used drug to obtain further information about interactions with COCs or the potential for enzyme alterations.

In vitro, EE is a reversible inhibitor of CYP2C19, CYP1A1 and CYP1A2 as well as a mechanism-based inhibitor of CYP3A4/5, CYP2C8, and CYP2J2. Metabolism of DRSP and potential effects of DRSP on hepatic CYP enzymes have been investigated in in vitro and in vivo studies. In in vitro studies DRSP did not affect turnover of model substrates of CYP1A2 and CYP2D6, but had an inhibitory influence on the turnover of model substrates of CYP1A1, CYP2C9, CYP2C19 and CYP3A4, with CYP2C19 being the most sensitive enzyme. The potential effect of DRSP on CYP2C19 activity was investigated in a clinical pharmacokinetic study using omeprazole as a marker substrate. In the study with 24 postmenopausal women [including 12 women with homozygous (wild type) CYP2C19 genotype and 12 women with heterozygous CYP2C19 genotype] the daily oral administration of 3 mg DRSP for 14 days did not affect the oral clearance of omeprazole (40 mg, single oral dose) and the CYP2C19 product 5-hydroxy omeprazole. Furthermore, no significant effect of DRSP on the systemic clearance of the CYP3A4 product omeprazole sulfone was found. These results demonstrate that DRSP did not inhibit CYP2C19 and CYP3A4 in vivo.

Two additional clinical drug-drug interaction studies using simvastatin and midazolam as marker substrates for CYP3A4 were each performed in 24 healthy postmenopausal women. The results of these studies demonstrated that pharmacokinetics of the CYP3A4 substrates were not influenced by steady state DRSP concentrations achieved after administration of 3 mg DRSP/day.

Women on thyroid hormone replacement therapy may need increased doses of thyroid hormone because serum concentration of thyroid-binding globulin increases with use of COCs.

Interactions With Drugs That Have the Potential to Increase Serum Potassium Concentration:

There is a potential for an increase in serum potassium concentration in women taking Nikki with other drugs that may increase serum potassium concentration [see Warnings and Precautions (5.2)].

A drug-drug interaction study of DRSP 3 mg/estradiol (E2) 1 mg versus placebo was performed in 24 mildly hypertensive postmenopausal women taking enalapril maleate 10 mg twice daily. Potassium concentrations were obtained every other day for a total of 2 weeks in all subjects. Mean serum potassium concentrations in the DRSP/E2 treatment group relative to baseline were 0.22 mEq/L higher than those in the placebo group. Serum potassium concentrations also were measured at multiple time points over 24 hours at baseline and on Day 14. On Day 14, the ratios for serum potassium Cmax and AUC in the DRSP/E2 group to those in the placebo group were 0.955 (90% CI: 0.914, 0.999) and 1.010 (90% CI: 0.944, 1.08), respectively. No patient in either treatment group developed hyperkalemia (serum potassium concentrations > 5.5 mEq/L).

2.1 How to Take Nikki

Take one tablet by mouth at the same time every day. The failure rate may increase when pills are missed or taken incorrectly.

To achieve maximum contraceptive and PMDD effectiveness, Nikki must be taken exactly as directed, in the order directed on the blister pack. Single missed pills should be taken as soon as remembered.

5.14 Other Conditions

In women with hereditary angioedema, exogenous estrogens may induce or exacerbate symptoms of angioedema. Chloasma may occasionally occur, especially in women with a history of chloasma gravidarum. Women with a tendency to chloasma should avoid exposure to the sun or ultraviolet radiation while taking COCs.

1.1 Oral Contraceptive

Nikki™ (drospirenone and ethinyl estradiol tablets USP), 3 mg/0.02 mg is indicated for use by females of reproductive potential  to prevent pregnancy.

2.2 How to Start Nikki

Instruct the patient to begin taking Nikki either on the first day of her menstrual period (Day 1 Start) or on the first Sunday after the onset of her menstrual period (Sunday Start).

Day 1 Start

During the first cycle of Nikki use, instruct the patient to take one pink Nikki daily, beginning on Day 1 of her menstrual cycle. (The first day of menstruation is Day 1.) She should take one pink Nikki daily for 24 consecutive days, followed by one white inert tablet daily on Days 25 through 28. Nikki should be taken in the order directed on the package at the same time each day, preferably after the evening meal or at bedtime with some liquid, as needed. Nikki can be taken without regard to meals. If Nikki is first taken later than the first day of the menstrual cycle, Nikki should not be considered effective as a contraceptive until after the first 7 consecutive days of product administration. Instruct the patient to use a non-hormonal contraceptive as back-up during the first 7 days. The possibility of ovulation and conception prior to initiation of medication should be considered.

Sunday Start

During the first cycle of Nikki use, instruct the patient to take one pink Nikki daily, beginning on the first Sunday after the onset of her menstrual period. She should take one pink Nikki daily for 24 consecutive days, followed by one white inert tablet daily on Days 25 through 28. Nikki should be taken in the order directed on the package at the same time each day, preferably after the evening meal or at bedtime with some liquid, as needed. Nikki can be taken without regard to meals. Nikki should not be considered effective as a contraceptive until after the first 7 consecutive days of product administration. Instruct the patient to use a non-hormonal contraceptive as back-up during the first 7 days. The possibility of ovulation and conception prior to initiation of medication should be considered.

The patient should begin her next and all subsequent 28-day regimens of Nikki on the same day of the week that she began her first regimen, following the same schedule. She should begin taking her pink tablets on the next day after ingestion of the last white tablet, regardless of whether or not a menstrual period has occurred or is still in progress. Anytime a subsequent cycle of Nikki is started later than the day following administration of the last white tablet, the patient should use another method of contraception until she has taken a pink Nikki daily for seven consecutive days.

When switching from a different birth control pill

When switching from another birth control pill, Nikki should be started on the same day that a new pack of the previous oral contraceptive would have been started.

When switching from a method other than a birth control pill

When switching from a transdermal patch or vaginal ring, Nikki should be started when the next application would have been due. When switching from an injection, Nikki should be started when the next dose would have been due. When switching from an intrauterine contraceptive or an implant, Nikki should be started on the day of removal.

Withdrawal bleeding usually occurs within 3 days following the last pink tablet. If spotting or breakthrough bleeding occurs while taking Nikki, instruct the patient to continue taking Nikki by the regimen described above. Counsel her that this type of bleeding is usually transient and without significance; however, advise her that if the bleeding is persistent or prolonged, she should consult her healthcare provider.

Although the occurrence of pregnancy is low if Nikki is taken according to directions, if withdrawal bleeding does not occur, consider the possibility of pregnancy. If the patient has not adhered to the prescribed dosing schedule (missed one or more active tablets or started taking them on a day later than she should have), consider the possibility of pregnancy at the time of the first missed period and take appropriate diagnostic measures. If the patient has adhered to the prescribed regimen and misses two consecutive periods, rule out pregnancy. Discontinue Nikki if pregnancy is confirmed.

The risk of pregnancy increases with each active pink tablet missed. If breakthrough bleeding occurs following missed tablets, it will usually be transient and of no consequence. If the patient misses one or more white tablets, she should still be protected against pregnancy provided she begins taking a new cycle of pink tablets on the proper day.

For postpartum women who do not breastfeed or after a second trimester abortion, start Nikki no earlier than 4 weeks postpartum due to the increased risk of thromboembolism. If the patient starts on Nikki postpartum and has not yet had a period, evaluate for possible pregnancy, and instruct her to use an additional method of contraception until she has taken Nikki for 7 consecutive days.

1 Indications and Usage

Nikki (drospirenone and ethinyl estradiol tablets USP) is a combination of drospirenone, a progestin, and ethinyl estradiol, an estrogen, indicated for use by females of reproductive potential to:

  • Prevent pregnancy. (1.1)
  • Treat symptoms of premenstrual dysphoric disorder (PMDD) for females of reproductive potential who choose to use an oral contraceptive for contraception. (1.2)
  • Treat moderate acne for women at least 14 years old only if the patient desires an oral contraceptive for birth control. (1.3)
5.3 Malignant Neoplasms

Breast Cancer

Nikki is contraindicated in females who currently have or have had breast cancer because breast cancer may be hormonally sensitive [see Contraindications (4)] .

Epidemiology studies have not found a consistent association between use of combined oral contraceptives (COCs) and breast cancer risk. Studies do not show an association between ever (current or past) use of COCs and risk of breast cancer. However, some studies report a small increase in the risk of breast cancer among current or recent users (<6 months since last use) and current users with longer duration of COC use [see Adverse Reactions (6.2)].

Cervical Cancer

Some studies suggest that COCs are associated with an increase in the risk of cervical cancer or intraepithelial neoplasia. However, there is controversy about the extent to which these findings may be due to differences in sexual behavior and other factors.

5.6 High Blood Pressure

For women with well-controlled hypertension, monitor blood pressure and stop Nikki if blood pressure rises significantly. Women with uncontrolled hypertension or hypertension with vascular disease should not use COCs.

An increase in blood pressure has been reported in women taking COCs, and this increase is more likely in older women and with extended duration of use. The incidence of hypertension increases with increasing concentration of progestin.

5.7 Gallbladder Disease

Studies suggest a small increased relative risk of developing gallbladder disease among COC users.

12.1 Mechanism of Action

COCs lower the risk of becoming pregnant primarily by suppressing ovulation.

14.3 Acne Clinical Trials

In two multicenter, double-blind, randomized, placebo-controlled studies, 889 subjects, ages 14 to 45 years, with moderate acne received Nikki or placebo for six 28-day cycles. The primary efficacy endpoints were the percent change in inflammatory lesions, non-inflammatory lesions, total lesions, and the percentage of subjects with a "clear" or "almost clear" rating on the Investigator's Static Global Assessment (ISGA) scale on day 15 of cycle 6, as presented in Table 4:



Study 1

Study 2

Nikki

Placebo

Nikki

Placebo

N=228

N=230

N=218

N=213

ISGA Success Rate

35 (15%)

10 (4%)

46 (21%)

19 (9%)

Inflammatory Lesions

Mean Baseline Count

33

33

32

32

Mean Absolute (%) Reduction

15 (48%)

11 (32%)

16 (51%)

11 (34%)

Non-inflammatory Lesions

Mean Baseline Count

47

47

44

44

Mean Absolute (%) Reduction

18 (39%)

10 (18%)

17 (42%)

11 (26%)

Total Lesions

Mean Baseline Count

80

80

76

76

Mean Absolute (%) Reduction

33 (42%)

21 (25%)

33 (46%)

22 (31%)

5 Warnings and Precautions
  • Vascular risks: Stop Nikki if a thrombotic event occurs. Stop at least 4 weeks before and through 2 weeks after major surgery. Start no earlier than 4 weeks after delivery, in women who are not breastfeeding. (5.1)
  • COCs containing DRSP may be associated with a higher risk of venous thromboembolism (VTE) than COCs containing levonorgestrel or some other progestins. Before initiating Nikki in a new COC user or a woman who is switching from a contraceptive that does not contain DRSP, consider the risks and benefits of a DRSP-containing COC in light of her risk of a VTE. (5.1)
  • Hyperkalemia: DRSP has anti-mineralocorticoid activity. Do not use in patients predisposed to hyperkalemia. Check serum potassium concentration during the first treatment cycle in women on long-term treatment with medications that may increase serum potassium concentration. (5.2, 7.1,7.2)
  • Liver disease: Discontinue Nikki if jaundice occurs. (5.4)
  • High blood pressure: Do not prescribe Nikki for women with uncontrolled hypertension or hypertension with vascular disease. (5.6)
  • Carbohydrate and lipid metabolic effects: Monitor prediabetic and diabetic women taking Nikki. Consider an alternate contraceptive method for women with uncontrolled dyslipidemia. (5.8)
  • Headache: Evaluate significant change in headaches and discontinue Nikki if indicated. (5.9)
  • Uterine bleeding: Evaluate irregular bleeding or amenorrhea. (5.10)
2 Dosage and Administration
  • Take one tablet daily by mouth at the same time every day. (2.1)
  • Tablets must be taken in the order directed on the blister pack. (2.1)
3 Dosage Forms and Strengths

Nikki (drospirenone and ethinyl estradiol tablets USP), 3 mg/0.02 mg consists of 28 film-coated, biconvex tablets in the following order (3):

  • 24 pink tablets, each containing 3 mg drospirenone (DRSP) and 0.02 mg ethinyl estradiol (EE) as betadex clathrate
  • 4 white inert tablets
5.10 Bleeding Irregularities

Unscheduled (breakthrough or intracyclic) bleeding and spotting sometimes occur in patients on COCs, especially during the first three months of use. If bleeding persists or occurs after previously regular cycles, check for causes such as pregnancy or malignancy. If pathology and pregnancy are excluded, bleeding irregularities may resolve over time or with a change to a different COC.

Based on patient diaries from two contraceptive clinical trials of Nikki, 8 to 25% of women experienced unscheduled bleeding per 28-day cycle. A total of 12 subjects out of 1,056 (1.1%) discontinued due to menstrual disorders including intermenstrual bleeding, menorrhagia, and metrorrhagia.

Women who use Nikki may experience absence of withdrawal bleeding, even if they are not pregnant. Based on subject diaries from contraception trials for up to 13 cycles, 6 to 10% of women experienced cycles with no withdrawal bleeding. Some women may encounter post-pill amenorrhea or oligomenorrhea, especially when such a condition was pre-existent.

If withdrawal bleeding does not occur, consider the possibility of pregnancy. If the patient has not adhered to the prescribed dosing schedule (missed one or more active tablets or started taking them on a day later than she should have), consider the possibility of pregnancy at the time of the first missed period and take appropriate diagnostic measures. If the patient has adhered to the prescribed regimen and misses two consecutive periods, rule out pregnancy.

6.2 Postmarketing Experience

Five studies that compared breast cancer risk between ever-users (current or past use) of COCs and never-users of COCs reported no association between ever use of COCs and breast cancer risk, with effect estimates ranging from 0.90 - 1.12 (Figure 3).

Three studies compared breast cancer risk between current or recent COC users (<6 months since last use) and never users of COCs (Figure 3). One of these studies reported no association between breast cancer risk and COC use. The other two studies found an increased relative risk of 1.19 - 1.33 with current or recent use. Both of these studies found an increased risk of breast cancer with current use of longer duration, with relative risks ranging from 1.03 with less than one year of COC use to approximately 1.4 with more than 8-10 years of COC use.

Figure 3: Relative Studies of Risk of Breast Cancer with Combined Oral Contraceptives

RR = relative risk; OR = odds ratio; HR = hazard ratio. "ever COC" are females with current or past COC use; "never COC use" are females that never used COCs.

The following adverse reactions have been identified during post approval use of Nikki. Because these reactions are reported voluntarily from a population of uncertain size, it is not always possible to reliably estimate their frequency or establish a causal relationship to drug exposure.

Adverse reactions are grouped into System Organ Classes, and ordered by frequency.

Vascular Disorders

Venous and arterial thromboembolic events (including pulmonary emboli, deep vein thrombosis, cerebral thrombosis, retinal thrombosis, myocardial infarction and stroke), hypertension (including hypertensive crisis)

Hepatobiliary Disorders

Gallbladder disease, liver function disturbances, liver tumors

Immune System Disorders

Hypersensitivity (including anaphylactic reaction)

Metabolism and Nutrition Disorders

Hyperkalemia, hypertriglyceridemia, changes in glucose tolerance or effect on peripheral insulin resistance (including diabetes mellitus)

Skin and Subcutaneous Tissue Disorders

Chloasma, angioedema, erythema nodosum, erythema multiforme.

Gastrointestinal Disorders

Inflammatory bowel disease

Musculoskeletal and Connective Tissue Disorders

Systemic lupus erythematosus

8 Use in Specific Populations

Lactation: Can reduce milk production in breast-feeding females. (8.2)

6.1 Clinical Trials Experience

Because clinical trials are conducted under widely varying conditions, adverse reaction rates observed in the clinical trials of a drug cannot be directly compared to rates in the clinical trials of another drug and may not reflect the rates observed in practice.

Contraception and Acne Clinical Trials

The data provided reflect the experience with the use of Nikki in the adequate and well-controlled studies for contraception (N=1,056) and for moderate acne vulgaris (N=536).

For contraception, a Phase 3, multicenter, multinational, open-label study was conducted to evaluate safety and efficacy up to one year in 1,027 women aged 17 to 36 who took at least one dose of Nikki. A second Phase 3 study was a single center, open-label, active-controlled study to evaluate the effect of 7 28-day cycles of Nikki on carbohydrate metabolism, lipids and hemostasis in 29 women aged 18 to 35. For acne, two multicenter, double-blind, randomized, placebo-controlled studies, in 536 women aged 14 to 45 with moderate acne vulgaris who took at least one dose of Nikki, evaluated the safety and efficacy during up to 6 cycles.

The adverse reactions seen across the 2 indications overlapped, and are reported using the frequencies from the pooled dataset. The most common adverse reactions ( 2% of users) were: headache/migraine (6.7%), menstrual irregularities (including vaginal hemorrhage [primarily spotting] and metrorrhagia (4.7%), nausea/vomiting (4.2%), breast pain/tenderness (4%) and mood changes (mood swings, depression, depressed mood and affect lability) (2.2%).

PMDD Clinical Trials

Safety data from trials for the indication of PMDD are reported separately due to differences in study design and setting in the Contraception and Acne studies as compared to the PMDD clinical program.

Two (one parallel and one crossover designed) multicenter, double-blind, randomized, placebo-controlled trials for the secondary indication of treating the symptoms of PMDD evaluated safety and efficacy of Nikki during up to 3 cycles among 285 women aged 18 to 42, diagnosed with PMDD and who took at least one dose of Nikki.

Common adverse reactions (≥ 2% of users) were: menstrual irregularities (including vaginal hemorrhage [primarily spotting] and metrorrhagia) (24.9%), nausea (15.8%), headache (13.0%), breast tenderness (10.5%), fatigue (4.2%), irritability (2.8%), decreased libido (2.8%), increased weight (2.5%), and affect lability (2.1%).

Adverse Reactions (≥1%) Leading to Study Discontinuation

Contraception Clinical Trials:

Of 1,056 women, 6.6% discontinued from the clinical trials due to an adverse reaction; the most frequent adverse reactions leading to discontinuation were headache/migraine (1.6%) and nausea/vomiting (1.0%).

Acne Clinical Trials:

Of 536 women, 5.4% discontinued from the clinical trials due to an adverse reaction; the most frequent adverse reaction leading to discontinuation was menstrual irregularities (including menometrorrhagia, menorrhagia, metrorrhagia and vaginal hemorrhage) (2.2%).

PMDD Clinical Trials:

Of 285 women, 11.6% discontinued from the clinical trials due to an adverse reaction; the most frequent adverse reactions leading to discontinuation were: nausea/vomiting (4.6%), menstrual irregularity (including vaginal hemorrhage, menorrhagia, menstrual disorder, menstruation irregular and metrorrhagia) (4.2%), fatigue (1.8%), breast tenderness (1.4%), depression (1.4%), headache (1.1%), and irritability (1.1%).

Serious Adverse Reactions

Contraception Clinical Trials: migraine and cervical dysplasia

Acne Clinical Trials: none reported in the clinical trials

PMDD Clinical Trials: cervical dysplasia

17 Patient Counseling Information

Advise the patient to read the FDA-approved patient labeling (Patient Information).

  • Counsel patients that cigarette smoking increases the risk of serious cardiovascular events from COC use, and that women who are over 35 years old and smoke should not use COCs.
  • Counsel patients that the increased risk of VTE compared to non-users of COCs is greatest after initially starting a COC or restarting (following a 4-week or greater pill-free interval) the same or a different COC.
  • Counsel patients about the information regarding the risk of VTE with DRSP-containing COCs compared to COCs that contain levonorgestrel or some other progestins.
  • Counsel patients that Nikki does not protect against HIV-infection (AIDS) and other sexually transmitted diseases.
  • Counsel patients on Warnings and Precautions associated with COCs.
  • Counsel patients that Nikki contains DRSP. Drospirenone may increase potassium. Patients should be advised to inform their healthcare provider if they have kidney, liver or adrenal disease because the use of Nikki in the presence of these conditions could cause serious heart and health problems. They should also inform their healthcare provider if they are currently on daily, long-term treatment (NSAIDs, potassium-sparing diuretics, potassium supplementation, ACE inhibitors, angiotensin-II receptor antagonists, heparin or aldosterone antagonists) for a chronic condition or taking strong CYP3A4 inhibitors.
  • Inform patients that Nikki is not indicated during pregnancy. If pregnancy occurs during treatment with Nikki, instruct the patient to stop further intake.
  • Counsel patients to take one tablet daily by mouth at the same time every day. Instruct patients what to do in the event pills are missed.
  • Counsel patients to use a back-up or alternative method of contraception when enzyme inducers are used with COCs.
  • Counsel patients who are breastfeeding or who desire to breastfeed that COCs may reduce breast milk production. This is less likely to occur if breastfeeding is well established.
  • Counsel any patient who starts COCs postpartum, and who has not yet had a period, to use an additional method of contraception until she has taken a pink tablet for 7 consecutive days.
  • Counsel patients that amenorrhea may occur. Rule out pregnancy in the event of amenorrhea in two or more consecutive cycles.
8.6 Patients With Renal Impairment

Nikki is contraindicated in patients with renal impairment [see Contraindications (4) and Warning and Precautions (5.2)].

In subjects with creatinine clearance (CLcr) of 50 to 79 mL/min, serum DRSP levels were comparable to those in a control group with CLcr ≥80 mL/min. In subjects with CLcr of 30 to 49 mL/min, serum DRSP concentrations were on average 37% higher than those in the control group. In addition, there is a potential to develop hyperkalemia in subjects with renal impairment whose serum potassium is in the upper reference range, and who are concomitantly using potassium sparing drugs [see Clinical Pharmacology (12.3)].

8.7 Patients With Hepatic Impairment

Nikki is contraindicated in patients with hepatic disease [see Contraindications (4) and Warning and Precautions (5.4)]. The mean exposure to DRSP in women with moderate liver impairment is approximately three times higher than the exposure in women with normal liver function. Nikki has not been studied in women with severe hepatic impairment.

14.1 Oral Contraceptive Clinical Trial

In the primary contraceptive efficacy study of Nikki (3 mg DRSP/0.02 mg EE) of up to 1 year duration, 1,027 subjects were enrolled and completed 11,480 28-day cycles of use. The age range was 17 to 36 years. The racial demographic was: 87.8% Caucasian, 4.6% Hispanic, 4.3% Black, 1.2% Asian, and 2.1% other. Women with a BMI greater than 35 were excluded from the trial. The pregnancy rate (Pearl Index) was 1.41 (95% CI [0.73, 2.47]) per 100 woman-years of use based on 12 pregnancies that occurred after the onset of treatment and within 14 days after the last dose of Nikki in women 35 years of age or younger during cycles in which no other form of contraception was used.

7.4 Interference With Laboratory Tests

The use of contraceptive steroids may influence the results of certain laboratory tests, such as coagulation factors, lipids, glucose tolerance, and binding proteins. DRSP causes an increase in plasma renin activity and plasma aldosterone induced by its mild anti-mineralocorticoid activity . [see Warnings and Precautions (5.12) and Drug Interactions (7.2).]

5.12 Interference With Laboratory Tests

The use of COCs may change the results of some laboratory tests, such as coagulation factors, lipids, glucose tolerance, and binding proteins. Women on thyroid hormone replacement therapy may need increased doses of thyroid hormone because serum concentrations of thyroid-binding globulin increase with use of COCs [see Drug Interactions (7.2)].

DRSP causes an increase in plasma renin activity and plasma aldosterone induced by its mild anti-mineralocorticoid activity.

1.2 Premenstrual Dysphoric Disorder (pmdd)

Nikki (drospirenone and ethinyl estradiol tablets USP), 3 mg/0.02 mg is also indicated for the treatment of symptoms of premenstrual dysphoric disorder (PMDD) in females of reproductive potential who choose to use an oral contraceptive as their method of contraception. The effectiveness of Nikki (drospirenone and ethinyl estradiol tablets USP), 3 mg/0.02 mg for PMDD when used for more than three menstrual cycles has not been evaluated.

The essential features of PMDD according to the Diagnostic and Statistical Manual-4th edition (DSM-IV) include markedly depressed mood, anxiety or tension, affective lability, and persistent anger or irritability. Other features include decreased interest in usual activities, difficulty concentrating, lack of energy, change in appetite or sleep, and feeling out of control. Physical symptoms associated with PMDD include breast tenderness, headache, joint and muscle pain, bloating and weight gain. In this disorder, these symptoms occur regularly during the luteal phase and remit within a few days following onset of menses; the disturbance markedly interferes with work or school, or with usual social activities and relationships with others. Diagnosis is made by healthcare providers according to DSM-IV criteria, with symptomatology assessed prospectively over at least two menstrual cycles. In making the diagnosis, care should be taken to rule out other cyclical mood disorders.

Nikki (drospirenone and ethinyl estradiol tablets USP), 3 mg/0.02 mg has not been evaluated for the treatment of premenstrual syndrome (PMS).

5.8 Carbohydrate and Lipid Metabolic Effects

Carefully monitor prediabetic and diabetic women who are taking Nikki. COCs may decrease glucose intolerance in a dose-related fashion.

Consider alternative contraception for women with uncontrolled dyslipidemias. A small proportion of women will have adverse lipid changes while on COC's.

Women with hypertriglyceridemia, or a family history thereof, may be at an increased risk of pancreatitis when using COCs.

2.4 Advice in Case of Gastrointestinal Disturbances

In case of severe vomiting or diarrhea, absorption may not be complete and additional contraceptive measures should be taken. If vomiting occurs within 3 to 4 hours after tablet-taking, this can be regarded as a missed tablet.

14.2 Premenstrual Dysphoric Disorder Clinical Trials

Two multicenter, double-blind, randomized, placebo-controlled studies were conducted to evaluate the effectiveness of Nikki in treating the symptoms of PMDD. Women aged 18 to 42 who met DSM-IV criteria for PMDD, confirmed by prospective daily ratings of their symptoms, were enrolled. Both studies measured the treatment effect of Nikki using the Daily Record of Severity of Problems scale, a patient-rated instrument that assesses the symptoms that constitute the DSM-IV diagnostic criteria. The primary study was a parallel group design that included 384 evaluable reproductive-aged women with PMDD who were randomly assigned to receive Nikki or placebo treatment for 3 menstrual cycles. The supportive study, a crossover design, was terminated prematurely prior to achieving recruitment goals due to enrollment difficulties. A total of 64 women of reproductive age with PMDD were treated initially with Nikki or placebo for up to 3 cycles followed by a washout cycle and then crossed over to the alternate medication for 3 cycles.

Efficacy was assessed in both studies by the change from baseline during treatment using a scoring system based on the first 21 items of the Daily Record of Severity of Problems. Each of the 21 items was rated on a scale from 1 (not at all) to 6 (extreme); thus a maximum score of 126 was possible. In both trials, women who received Nikki had statistically significantly greater improvement in their Daily Record of Severity of Problems scores. In the primary study, the average decrease (improvement) from baseline was 37.5 points in women taking Nikki, compared to 30.0 points in women taking placebo.

5.1 Thromboembolic Disorders and Other Vascular Problems

Stop Nikki if an arterial or venous thrombotic (VTE) event occurs.

Based on presently available information on DRSP-containing COCs with 0.03 mg ethinyl estradiol (that is, Yasmin), DRSP-containing COCs may be associated with a higher risk of venous thromboembolism (VTE) than COCs containing the progestin levonorgestrel or some other progestins. Epidemiologic studies that compared the risk of VTE reported that the risk ranged from no increase to a three-fold increase. Before initiating use of Nikki in a new COC user or a woman who is switching from a contraceptive that does not contain DRSP, consider the risks and benefits of a DRSP-containing COC in light of her risk of a VTE. Known risk factors for VTE include smoking, obesity, and family history of VTE, in addition to other factors that contraindicate use of COCs [see Contraindications (4)].

A number of studies have compared the risk of VTE for users of Yasmin (which contains 0.03 mg of EE and 3 mg of DRSP) to the risk for users of other COCs, including COCs containing levonorgestrel. Those that were required or sponsored by regulatory agencies are summarized in Table 2.

Table 2: Estimates (Hazard Ratios) of Venous Thromboembolism Risk in Current Users of Yasmin Compared to Users of Oral Contraceptives that Contain Other Progestins.

Epidemiologic Study

(Author, Year of Publication)

Population Studied

Comparator Product

(all are low-dose COCs; with ≤ 0.04 mg of EE)

Hazard Ratio (HR)

(95% CI)

i3 Ingenix

(Seeger 2007)

Initiators, including new users
"New users" - no use of combination hormonal contraception for at least the prior 6 months


All COCs available in the US during the conduct of the study
Includes low-dose COCs containing the following progestins: norgestimate, norethindrone, levonorgestrel, desogestrel, norgestrel, medroxyprogesterone, or ethynodiol diacetate


HR: 0.9

(0.5 to 1.6)

EURAS

(Dinger 2007)

All COCs available in Europe during

the conduct of the study
Includes low-dose COCs containing the following progestins: levonorgestrel, desogestrel, dienogest, chlormadinone acetate, gestodene, cyproterone acetate, norgestimate, or norethindrone


HR: 0.9

(0.6 to 1.4)

Initiators, including new users


Levonorgestrel/EE

HR: 1.0

(0.6 to 1.8)

"FDA-funded study" (2011)

New users


Other COCs available during the course of the study
Includes low-dose COCs containing the following progestins: norgestimate, norethindrone, or levonorgestrel


HR: 1.8

(1.3 to 2.4)

Levonorgestrel/0.03 mg EE

HR: 1.6

(1.1 to 2.2)

All users

(i.e., initiation and continuing

use of study combination hormonal contraception)

Other COCs available during the

course of the study


HR: 1.7

(1.4 to 2.1)

Levonorgestrel/0.03 mg EE

HR: 1.5

(1.2 to 1.8)

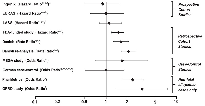
In addition to these "regulatory studies," other studies of various designs have been conducted. Overall, there are two prospective cohort studies (see Table 2): the US post-approval safety study Ingenix [Seeger 2007], the European post-approval safety study EURAS (European Active Surveillance Study) [Dinger 2007]. An extension of the EURAS study, the Long-Term Active Surveillance Study (LASS), did not enroll additional subjects, but continued to assess VTE risk. There are three retrospective cohort studies: one study in the US funded by the FDA (see Table 2), and two from Denmark [Lidegaard 2009, Lidegaard 2011]. There are two case-control studies: the Dutch MEGA study analysis [van Hylckama Vlieg 2009] and the German case-control study [Dinger 2010]. There are two nested case-control studies that evaluated the risk of non-fatal idiopathic VTE: the PharMetrics study [Jick 2011] and the GPRD study [Parkin 2011]. The results of all of these studies are presented in Figure 1

Figure 1: VTE Risk with Yasmin Relative to LNG-Containing COCs (adjusted risk#)

Risk ratios displayed on logarithmic scale; risk ratio < 1 indicates a lower risk of VTE for DRSP, > 1 indicates an increased risk of VTE for DRSP.

*Comparator "Other COCs", including LNG- containing COCs

† LASS is an extension of the EURAS study

#Some adjustment factors are indicated by superscript letters: a) Current heavy smoking, b) hypertension, c) obesity, d) family history, e) age, f) BMI, g) duration of use, h) VTE history, i) period of inclusion, j) calendar year, k) education, l) length of use, m) parity, n) chronic disease, o) concomitant medication, p) smoking, q) duration of exposure, r) site

(References: Ingenix [Seeger 2007]1, EURAS (European Active Surveillance Study) [Dinger 2007]2, LASS (Long-Term Active Surveillance Study) [Dinger, unpublished document on file], FDA-funded study [Sidney 2011]3, Danish [Lidegaard 2009]4, Danish re-analysis [ Lidegaard 2011]5, MEGA study [van Hylckama Vlieg 2009]6, German Case-Control study [Dinger 2010]7, PharMetrics [Jick 2011]8, GPRD study [Parkin 2011]9)

Although the absolute VTE rates are increased for users of hormonal contraceptives compared to non-users, the rates during pregnancy are even greater, especially during the post-partum period (see Figure 2). The risk of VTE in women using COCs has been estimated to be 3 to 9 per 10,000 woman-years. The risk of VTE is highest during the first year of use. Data from a large, prospective cohort safety study of various COCs suggest that this increased risk, as compared to that in non-COC users, is greatest during the first 6 months of COC use. Data from this safety study indicate that the greatest risk of VTE is present after initially starting a COC or restarting (following a 4 week or greater pill-free interval) the same or a different COC.

The risk of thromboembolic disease due to oral contraceptives gradually disappears after COC use is discontinued.

Figure 2 shows the risk of developing a VTE for women who are not pregnant and do not use oral contraceptives, for women who use oral contraceptives, for pregnant women, and for women in the postpartum period. To put the risk of developing a VTE into perspective: If 10,000 women who are not pregnant and do not use oral contraceptives are followed for one year, between 1 and 5 of these women will develop a VTE.

Figure 2: Likelihood of Developing a VTE

If feasible, stop Nikki at least 4 weeks before and through 2 weeks after major surgery or other surgeries known to have an elevated risk of thromboembolism.

Start Nikki no earlier than 4 weeks after delivery, in women who are not breastfeeding. The risk of postpartum thromboembolism decreases after the third postpartum week, whereas the risk of ovulation increases after the third postpartum week.

Use of COCs also increases the risk of arterial thromboses such as strokes and myocardial infarctions, especially in women with other risk factors for these events.

COCs have been shown to increase both the relative and attributable risks of cerebrovascular events (thrombotic and hemorrhagic strokes), although, in general, the risk is greatest among older (>35 years of age), hypertensive women who also smoke. COCs also increase the risk for stroke in women with other underlying risk factors.

Oral contraceptives must be used with caution in women with cardiovascular disease risk factors.

Stop Nikki if there is unexplained loss of vision, proptosis, diplopia, papilledema, or retinal vascular lesions. Evaluate for retinal vein thrombosis immediately. [see Adverse Reactions (6)]

13.1 Carcinogenesis, Mutagenesis, Impairment of Fertility

In a 24 month oral carcinogenicity study in mice dosed with 10 mg/kg/day DRSP alone or 1 + 0.01, 3 + 0.03 and 10 + 0.1 mg/kg/day of DRSP and EE, 0.1 to 2 times the exposure (AUC of DRSP) of women taking a contraceptive dose, there was an increase in carcinomas of the harderian gland in the group that received the high dose of DRSP alone. In a similar study in rats given 10 mg/kg/day DRSP alone or 0.3 + 0.003, 3 + 0.03 and 10 + 0.1 mg/kg/day DRSP and EE, 0.8 to 10 times the exposure of women taking a contraceptive dose, there was an increased incidence of benign and total (benign and malignant) adrenal gland pheochromocytomas in the group receiving the high dose of DRSP. Mutagenesis studies for DRSP were conducted in vivo and in vitro and no evidence of mutagenic activity was observed [see Warning and Precautions (5.3, 5.4)].

7.1 Effects of Other Drugs On Combined Oral Contraceptives

Substances Diminishing the Efficacy of COCs

Drugs or herbal products that induce certain enzymes, including cytochrome P450 3A4 (CYP3A4), may decrease the effectiveness of COCs or increase breakthrough bleeding. Some drugs or herbal products that may decrease the effectiveness of hormonal contraceptives include phenytoin, barbiturates, carbamazepine, bosentan, felbamate, griseofulvin, oxcarbazepine, rifampin, topiramate and products containing St. John's wort. Interactions between oral contraceptives and other drugs may lead to breakthrough bleeding and/or contraceptive failure. Counsel women to use an alternative method of contraception or a back-up method when enzyme inducers are used with COCs, and to continue back-up contraception for 28 days after discontinuing the enzyme inducer to ensure contraceptive reliability.

Substances Increasing the Plasma Concentrations of COCs

Co-administration of atorvastatin and certain COCs containing EE increase AUC values for EE by approximately 20%. Ascorbic acid and acetaminophen may increase plasma EE concentrations, possibly by inhibition of conjugation.

Concomitant administration of moderate or strong CYP3A4 inhibitors such as azole antifungals (e.g., ketoconazole, itraconazole, voriconazole, fluconazole), verapamil, macrolides (e.g., clarithromycin, erythromycin), diltiazem, and grapefruit juice can increase the plasma concentrations of the estrogen or the progestin or both. In a clinical drug-drug interaction study conducted in premenopausal women, once daily co-administration of DRSP 3 mg/EE 0.02 mg containing tablets with strong CYP3A4 inhibitor, ketoconazole 200 mg twice daily for 10 days resulted in a moderate increase of DRSP systemic exposure. The exposure of EE was increased mildly [see Warnings and Precautions (5.2) and Clinical Pharmacology (12.3)].

Human immunodeficiency Virus (HIV)/ Hepatitis C Virus (HCV) Protease Inhibitors and Non-nucleoside Reverse Transcriptase Inhibitors

Significant changes (increase or decrease) in the plasma concentrations of estrogen and progestin have been noted in some cases of co-administration with HIV/HCV protease inhibitors or with non-nucleoside reverse transcriptase inhibitors.

Antibiotics

There have been reports of pregnancy while taking hormonal contraceptives and antibiotics, but clinical pharmacokinetic studies have not shown consistent effects of antibiotics on plasma concentrations of synthetic steroids.

7.2 Effects of Combined Oral Contraceptives On Other Drugs

COCs containing EE may inhibit the metabolism of other compounds. COCs have been shown to significantly decrease plasma concentrations of lamotrigine, likely due to induction of lamotrigine glucuronidation. This may reduce seizure control; therefore, dosage adjustments of lamotrigine may be necessary. Consult the labeling of the concurrently-used drug to obtain further information about interactions with COCs or the potential for enzyme alterations.

COCs Increasing the Plasma Concentrations of CYP450 Enzymes: In clinical studies, administration of a hormonal contraceptive containing EE did not lead to any increase or only to a weak increase in plasma concentrations of CYP3A4 substrates (e.g., midazolam) while plasma concentrations of CYP2C19 substrates (e.g., omeprazole and voriconazole) and CYP1A2 substrates (e.g., theophylline and tizanidine) can have a weak or moderate increase.

Clinical studies did not indicate an inhibitory potential of DRSP towards human CYP enzymes at clinically relevant concentrations [see Clinical Pharmacology (12.3)].

Women on thyroid hormone replacement therapy may need increased doses of thyroid hormone because serum concentration of thyroid-binding globulin increases with use of COCs.

Potential to Increase Serum Potassium Concentration

There is a potential for an increase in serum potassium concentration in women taking Nikki with other drugs that may increase serum potassium concentration [see Warning and Precaution (5.2) and Clinical Pharmacology (12.3)].

7.3 Concomitant Use of Hcv Combination Therapy – Liver Enzyme Elevation

Do not co-administer Nikki with HCV drug combinations containing ombitasvir/paritaprevir/ritonavir, with or without dasabuvir, due to potential for ALT elevations [see Warnings and Precautions (5.5)] .

5.5 Risk of Liver Enzyme Elevations With Concomitant Hepatitis C Treatment

During clinical trials with the Hepatitis C combination drug regimen that contains ombitasvir/paritaprevir/ritonavir, with or without dasabuvir, ALT elevations greater than 5 times the upper limit of normal (ULN), including some cases greater than 20 times the ULN, were significantly more frequent in women using ethinyl estradiol-containing medications, such as COCs. Discontinue Nikki prior to starting therapy with the combination drug regimen ombitasvir/paritaprevir/ritonavir, with or without dasabuvir [see Contraindications (4)] . Nikki can be restarted approximately 2 weeks following completion of treatment with the Hepatitis C combination drug regimen.


Structured Label Content

Recent Major Changes (34066-1)

WARNING: CIGARETTE SMOKING AND SERIOUS CARDIOVASCULAR EVENTS

See full prescribing information for complete boxed warning.

  • Women over 35 years old who smoke should not use Nikki (4).
  • Cigarette smoking increases the risk of serious cardiovascular events from combination oral contraceptive (COC) use. (4)
Section 42229-5 (42229-5)

WARNING: CIGARETTE SMOKING AND SERIOUS CARDIOVASCULAR EVENTS

Cigarette smoking increases the risk of serious cardiovascular events from combination oral contraceptives (COC) use. This risk increases with age, particularly in women over 35 years of age, and with the number of cigarettes smoked. For this reason, COCs should not be used by women who are over 35 years of age and smoke. [see CONTRAINDICATIONS (4) ].

Section 51945-4 (51945-4)

Nikki (Drospirenone and Ethinyl Estradiol Tablets USP), 3 mg/0.02 mg

Rx Only

NDC 68180-886-71

Blister Label: 28 Tablets

Nikki (Drospirenone and Ethinyl Estradiol Tablets USP), 3 mg/0.02 mg

Rx Only

NDC 68180-886-71

Pouch: 1 Blister of 28 Tablets

Nikki (Drospirenone and Ethinyl Estradiol Tablets USP), 3 mg/0.02 mg

Rx Only

NDC 68180-886-73

Carton Label: 3 Blisters of 28 Tablets Each

1.3 Acne

Nikki (drospirenone and ethinyl estradiol tablets USP), 3 mg/0.02 mg is indicated for the treatment of moderate acne vulgaris in women at least 14 years of age, who have no known contraindications to oral contraceptive therapy and have achieved menarche. Nikki (drospirenone and ethinyl estradiol tablets USP), 3 mg/0.02 mg should be used for the treatment of acne only if the patient desires an oral contraceptive for birth control.

8.8 Race

No clinically significant difference was observed between the pharmacokinetics of DRSP or EE in Japanese versus Caucasian women [see Clinical Pharmacology (12.3)].

16.2 Storage

Store at 25°C (77°F); excursions permitted to 15 to 30°C (59 to 86°F) [See USP Controlled Room Temperature].

5.9 Headache

If a woman taking Nikki develops new headaches that are recurrent, persistent, or severe, evaluate the cause and discontinue Nikki if indicated.

An increase in frequency or severity of migraine during COC use (which may be prodromal of a cerebrovascular event) may be a reason for immediate discontinuation of the COC.

10 Overdosage (10 OVERDOSAGE)

There have been no reports of serious ill effects from overdose, including ingestion by children. Overdosage may cause withdrawal bleeding in females and nausea.

DRSP is a spironolactone analogue which has anti-mineralocorticoid properties. Serum concentration of potassium and sodium, and evidence of metabolic acidosis, should be monitored in cases of overdose.

15 References (15 REFERENCES)
  • Seeger, J.D., Loughlin, J., Eng, P.M., Clifford, C.R., Cutone, J., and Walker, A.M. (2007). Risk of thromboembolism in women taking ethinylestradiol/drospirenone and other oral contraceptives. Obstet Gynecol 110, 587-593.
  • Dinger, J.C., Heinemann, L.A., and Kuhl-Habich, D. (2007). The safety of a drospirenone-containing oral contraceptive: final results from the European Active Surveillance Study on oral contraceptives based on 142,475 women-years of observation. Contraception 75, 344-354.
  • Combined hormonal contraceptives (CHCs) and the risk of cardiovascular endpoints. Sidney, S. (primary author) http://www.fda.gov/downloads/Drugs/DrugSafety/UCM277384.pdf, accessed Oct 27, 2011.
  • Lidegaard, O., Lokkegaard, E., Svendsen, A.L., and Agger, C. (2009). Hormonal contraception and risk of venous thromboembolism: national follow-up study. BMJ 339, b2890.
  • Lidegaard, O., Nielsen, L.H., Skovlund, C.W., Skjeldestad, F.E., and Lokkegaard, E. (2011). Risk of venous thromboembolism from use of oral contraceptives containing different progestogens and oestrogen doses: Danish cohort study, 2001-9. BMJ 343, d6423.
  • van Hylckama Vlieg, A., Helmerhorst, F.M., Vandenbroucke, J.P., Doggen, C.J., and Rosendaal, F.R. (2009). The venous thrombotic risk of oral contraceptives, effects of oestrogen dose and progestogen type: results of the MEGA case-control study. BMJ 339, b2921.
  • Dinger, J., Assmann, A., Mohner, S., and Minh, T.D. (2010). Risk of venous thromboembolism and the use of dienogest- and drospirenone-containing oral contraceptives: results from a German case-control study. J Fam Plann Reprod Health Care 36, 123 to 129.
  • Jick, S.S., and Hernandez, R.K. (2011). Risk of non-fatal venous thromboembolism in women using oral contraceptives containing drospirenone compared with women using oral contraceptives containing levonorgestrel: case-control study using United States claims data. BMJ 342, d2151.
  • Parkin, L., Sharples, K., Hernandez, R.K., and Jick, S.S. (2011). Risk of venous thromboembolism in users of oral contraceptives containing drospirenone or levonorgestrel: nested case-control study based on UK General Practice Research Database. BMJ 342, d2139.
8.1 Pregnancy

Risk Summary

There is no use for contraception in pregnancy; therefore, Nikki should be discontinued during pregnancy. Epidemiologic studies and meta-analyses have not found an increased risk of genital or non-genital birth defects (including cardiac anomalies and limb-reduction defects) following exposure to CHCs before conception or during early pregnancy. In the U.S. general population, the estimated background risk of major birth defects and miscarriage in clinically recognized pregnancies is 2 to 4 percent and 15 to 20 percent, respectively.

Data

Human Data

A retrospective database study of women in Norway, that included 44,734 pregnancies of which 368 were women who inadvertently took DRSP/EE during the first trimester of a pregnancy, found there were no adverse effects on pre-term birth, small for gestational age, or birth weight Z-scores.

Post-marketing adverse event data on the use of Nikki in pregnant women suggest that frequencies of miscarriage and congenital anomalies were not higher than the estimated background risk in the general population.

8.2 Lactation

Risk Summary

DRSP is present in human milk. After a single oral administration of 3 mg DRSP/0.03 mg EE tablets, DRSP concentration in breast milk over the 24-h period ranged from 1.4 to 7.0 ng/mL, with a mean ± standard deviation value of 3.7 ± 1.9 ng/mL. The estimated mean infant dose was 0.003 mg/day, which is about 0.1% of maternal dose (see Data). There is limited information on the effects of Nikki on the breast-fed infant. CHCs can reduce milk production in breast-feeding females. This reduction can occur at any time but is less likely to occur once breast-feeding is well-established. When possible, advise the nursing female to use other methods of contraception until she discontinues breast-feeding [see also Dosage and Administration (2.2)].

The developmental and health benefits of breast-feeding should be considered along with the mother's clinical need for Nikki and any potential adverse effects on the breast-fed child from Nikki or from the underlying maternal condition.

Data

Human   Data

An open-label study evaluated the degree of DRSP transfer into milk within 72 hours following a single oral administration of 3 mg DRSP/0.03 mg EE tablets to 6 healthy lactating women who were 1 week to 3 months post-partum. DRSP was present in breast milk with a mean Cmax of 13.5 ng/mL, while the mean Cmax in serum of lactating women was 30.8 ng/mL. The DRSP concentration in breast milk over the 24-hour period following dosing ranged from 1.4 to 7.0 ng/mL, with a mean ± standard deviation value of 3.7 ± 1.9 ng/mL. Based on single dose data, the maximal daily infant dose of DRSP was calculated to be 0.003 mg/day, which represented a mean of 0.1% of the maternal dose.

11 Description (11 DESCRIPTION)

Nikki (drospirenone and ethinyl estradiol tablets USP), 3 mg/0.02 mg provides an oral contraceptive regimen consisting of 24 pink, round, biconvex active film-coated tablets each containing 3 mg of drospirenone and 0.02 mg of ethinyl estradiol and 4 white to off-white inert film-coated tablets.

The inactive ingredients in the pink film-coated tablets are corn starch, hypromellose, iron oxide red, lactose monohydrate, magnesium stearate, pregelatinised starch, talc and titanium dioxide. The white to off-white inert film-coated tablets contain corn starch, hypromellose, lactose monohydrate, magnesium stearate, polyethylene glycol, pregelatinized starch and titanium dioxide.

Drospirenone (6R, 7R, 8R, 9S, 10R, 13S, 14S, 15S, 16S, 17S) - 1, 3', 4', 6, 6a, 7, 8, 9, 10, 11, 12,13,14,15,15a,16-hexadecahydro-10,13-dimethylspiro-[17H-dicyclopropa- [6,7:15,16] cyclopenta [a] phenanthrene- 17, 2' (5H)- furan]-3, 5'(2H)-dione) is a synthetic progestational compound and has a molecular weight of 366.5 and a molecular formula of C24H30O3. Ethinyl estradiol (19-nor-17a-pregna 1, 3, 5(10)-triene-20-yne-3, 17-diol) is a synthetic estrogenic compound and has a molecular weight of 296.4 and a molecular formula of C20H24O2.

The structural formulas are as follows:

FDA approved dissolution test specifications differ from USP.

5.11 Depression

Women with a history of depression should be carefully observed and Nikki discontinued if depression recurs to a serious degree.

5.13 Monitoring

A woman who is taking COCs should have a yearly visit with her healthcare provider for a blood pressure check and for other indicated healthcare.

2.3 Missed Doses
Table 1: Instructions for Nikki Missed Doses
If one light pink active tablet is missed

Take the missed active tablet as soon as possible. Take the next tablet at the regular time. This means two tablets may be taken in one day. A back-up birth control method is not required if the patient has sex.

If two light pink active tablets in a row are missed in Week 1 or Week 2

Take two active tablets as soon as possible and two tablets the next day. Then take one tablet a day until the pack is finished. Additional nonhormonal contraception (such as condoms and spermicide) should be used as back-up if the patient has sex within 7 days after missing tablets.

If two light pink active tablets in a row are missed in Week 3 or Week 4

Day 1 Start : Throw out the rest of the tablet pack and start a new pack that same day.

Sunday Start : Keep taking one tablet every day until Sunday. On Sunday, throw out the rest of the pack and start a new pack of tablets that same day. Additional nonhormonal contraception (such as condoms and spermicide) should be used as back-up if the patient has sex within 7 days after missing tablets. The patient may not have their period this month but this is expected. However, if they miss their period two months in a row, they should call their healthcare provider because they might be pregnant.

If three or more light pink active tablets in a row are missed during any week

Day 1 Start : Throw out the rest of the tablet pack and start a new pack that same day.

Sunday Start : Keep taking one tablet every day until Sunday. On Sunday, throw out the rest of the pack and start a new pack of tablets that same day. The patient could become pregnant if they have sex in the 7 days after they restart their tablets. They must use another birth control method (such as condoms and spermicides) as a back-up for those 7 days. They should call their healthcare provider if they miss their period, because they might be pregnant.

If any of the four white inactive tablets are missed in Week 4

Throw away the tablets that were missed.

Keep taking one tablet each day until the pack is empty. They do not need a back-up method.

Finally, if they are still not sure what to do about the tablets they have missed:

Use nonhormonal contraception (such as condoms and spermicides) anytime they have sex. Contact their healthcare provider and continue taking one active light pink tablet each day until otherwise directed.

5.2 Hyperkalemia

Nikki contains 3 mg of the progestin DRSP which has anti-mineralocorticoid activity, including the potential for hyperkalemia in high-risk patients, comparable to a 25 mg dose of spironolactone. Nikki is contraindicated in patients with conditions that predispose to hyperkalemia (that is, renal impairment, hepatic impairment and adrenal insufficiency). Women receiving daily, long-term treatment for chronic conditions or diseases with medications that may increase serum potassium concentration should have their serum potassium concentration checked during the first treatment cycle. Medications that may increase serum potassium concentration include ACE inhibitors, angiotensin-II receptor antagonists, potassium-sparing diuretics, potassium supplementation, heparin, aldosterone antagonists, and NSAIDS.

Consider monitoring serum potassium concentration in high-risk patients who take a strong CYP3A4 inhibitor long-term and concomitantly. Strong CYP3A4 inhibitors include azole antifungals (e.g. ketoconazole, itraconazole, voriconazole), HIV/HCV protease inhibitors (e.g., indinavir, boceprevir), and clarithromycin [see Clinical Pharmacology (12.3)].

16.1 How Supplied

Nikki (drospirenone and ethinyl estradiol tablets USP), 3 mg/0.02 mg is available in a blister (NDC 68180-886-71) packed in a pouch (NDC 68180-886-71). Such three pouches are packaged in a carton (NDC 68180-886-73).

Each blister pack (28 film-coated tablets) contains in the following order:

  • 24 active pink, round, biconvex, film-coated tablets, debossed with "LU" on one side and "K31" on the other side each containing 3 mg drospirenone and 0.02 mg ethinyl estradiol
  • 4 inert white to off-white round, biconvex film-coated tablets debossed with "K33" on one side and "LU" on the other side.
5.4 Liver Disease

Discontinue Nikki if jaundice develops. Steroid hormones may be poorly metabolized in patients with impaired liver function. Acute or chronic disturbances of liver function may necessitate the discontinuation of COC use until markers of liver function return to normal and COC causation has been excluded.

Hepatic adenomas are associated with COC use. An estimate of the attributable risk is 3.3 cases/100,000 COC users. Rupture of hepatic adenomas may cause death through intra-abdominal hemorrhage.

Studies have shown an increased risk of developing hepatocellular carcinoma in long-term (>8 years) COC users. However, the attributable risk of liver cancers in COC users is less than one case per million users.

Oral contraceptive-related cholestasis may occur in women with a history of pregnancy-related cholestasis. Women with a history of COC-related cholestasis may have the condition recur with subsequent COC use.

8.4 Pediatric Use

Safety and efficacy of Nikki have been established in women of reproductive age. Efficacy is expected to be the same for postpubertal adolescents under the age of 18 and for users 18 years and older. Use of this product before menarche is not indicated.

8.5 Geriatric Use

Nikki has not been studied in postmenopausal women and is not indicated in this population.

4 Contraindications (4 CONTRAINDICATIONS)
  • Renal impairment (4)
  • Adrenal insufficiency (4)
  • A high risk of arterial or venous thrombotic diseases (4)
  • Undiagnosed abnormal uterine bleeding (4)
  • Breast cancer (4)
  • Liver tumors or liver disease (4)
  • Co-administration with Hepatitis C drug combinations containing ombitasvir, paritaprevir/ritonavir, with or without dasabuvir (4)
6 Adverse Reactions (6 ADVERSE REACTIONS)
  • The most frequent adverse reactions (≥ 2%) in contraception and acne clinical trials were: headache/migraine (6.7%), menstrual irregularities (4.7%), nausea/vomiting (4.2%), breast pain/tenderness (4.0%) and mood changes (2.2%). (6.1)
  • The most frequent adverse reactions (≥ 2%) in PMDD clinical trials were: menstrual irregularities (24.9%), nausea (15.8%), headache (13.0%), breast tenderness (10.5%), fatigue (4.2%), irritability (2.8%), decreased libido (2.8%), increased weight (2.5%), and affect lability (2.1%). (6.1)

To report SUSPECTED ADVERSE REACTIONS, contact Lupin Pharmaceuticals Inc. at 1-800-399-2561 or FDA at 1-800-FDA-1088 or www.fda.gov/medwatch

7 Drug Interactions (7 DRUG INTERACTIONS)

Drugs or herbal products that induce certain enzymes (for example, CYP3A4) may decrease the effectiveness of COCs or increase breakthrough bleeding.

Counsel patients to use a back-up or alternative method of contraception when enzyme inducers are used with COCs. (7.1)

Recent Major Changes (RECENT MAJOR CHANGES)

Dosage and Administration (2.3)                                                  5/2023

Contraindications, Pregnancy (4)                                Removed 5/2023

Warnings and Precautions (5.11)                                  Removed 5/2023

12.2 Pharmacodynamics

Drospirenone is a spironolactone analogue with anti-mineralocorticoid and antiandrogenic activity. The estrogen in Nikki is ethinyl estradiol.

Contraception

Two studies evaluated the effect of 3 mg DRSP / 0.02 mg EE combinations on the suppression of ovarian activity as assessed by measurement of follicle size via transvaginal ultrasound and serum hormone (progesterone and estradiol) analyses during two treatment cycles (21-day active tablet period plus 7-day pill-free period). More than 90% of subjects in these studies demonstrated ovulation inhibition. One study compared the effect of 3 mg DRSP/0.02 mg EE combinations with two different regimens (24-day active tablet period plus 4-day pill-free period vs. 21-day active tablet period plus 7-day pill-free period) on the suppression of ovarian activity during two treatment cycles. During the first treatment cycle, there were no subjects (0/49, 0%) taking the 24-day regimen who ovulated compared to 1 subject (1/50, 2%) using the 21-day regimen. After intentionally introduced dosing errors (3 missed active tablets on Days 1 to 3) during the second treatment cycle, there was 1 subject (1/49, 2%) taking the 24-day regimen who ovulated compared to 4 subjects (4/50, 8%) using the 21-day regimen.

Acne

Acne vulgaris is a skin condition with a multifactorial etiology including androgen stimulation of sebum production. While the combination of EE and DRSP increases sex hormone binding globulin (SHBG) and decreases free testosterone, the relationship between these changes and a decrease in the severity of facial acne in otherwise healthy women with this skin condition has not been established. The impact of the antiandrogenic activity of DRSP on acne is not known.

12.3 Pharmacokinetics

Absorption

The absolute bioavailability of DRSP from a single entity tablet is about 76%. The absolute bioavailability of EE is approximately 40% as a result of presystemic conjugation and first-pass metabolism. The absolute bioavailability of Nikki, which is a combination tablet of DRSP and EE, has not been evaluated. Serum concentrations of DRSP and EE reached peak levels within 1 to 2 hours after administration of Nikki.

The pharmacokinetics of DRSP are dose proportional following single doses ranging from 1 to 10 mg. Following daily dosing of Nikki, steady state DRSP concentrations were observed after 8 days. There was about 2 to 3 fold accumulation in serum Cmax and AUC (0-24h) values of DRSP following multiple dose administration of Nikki (see Table 3).

For EE, steady-state conditions are reported during the second half of a treatment cycle. Following daily administration of Nikki, serum Cmax and AUC (0-24h) values of EE accumulate by a factor of about 1.5 to 2 (see Table 3).

DRSP

Cycle / Day

No. of Subjects

Cmax a (ng/mL)

Tmax
median (range)
(h)

AUC(0-24h)a (ng•h/mL)

t 1/2 a (h)

1/1

23

38.4 (25)

1.5 (1 to 2)

268 (19)

NA
NA = Not available


1/21

23

70.3 (15)

1.5 (1 to 2)

763 (17)

30.8 (22)

EE

Cycle / Day

No. of Subjects

Cmax a (pg/mL)

Tmax
(h)

AUC(0-24h)a (pg•h/mL)

t 1/2 a (h)

1/1

23

32.8 (45)

1.5 (1 to 2)

108 (52)

NA


1/21

23

45.1 (35)

1.5 (1 to 2)

220 (57)

NA


Food Effect:

The rate of absorption of DRSP and EE following single administration of a formulation similar to Nikki was slower under fed (high fat meal) conditions with the serum Cmax being reduced about 40% for both components. The extent of absorption of DRSP, however, remained unchanged. In contrast, the extent of absorption of EE was reduced by about 20% under fed conditions.

Distribution

DRSP and EE serum concentrations decline in two phases. The apparent volume of distribution of DRSP is approximately 4 L/kg and that of EE is reported to be approximately 4 to 5 L/kg.

DRSP does not bind to SHBG or corticosteroid binding globulin (CBG) but binds about 97% to other serum proteins. Multiple dosing over 3 cycles resulted in no change in the free fraction (as measured at trough concentrations). EE is reported to be highly but non-specifically bound to serum albumin (approximately 98.5%) and induces an increase in the serum concentrations of both SHBG and CBG. EE induced effects on SHBG and CBG were not affected by variation of the DRSP dosage in the range of 2 to 3 mg.

Metabolism

The two main metabolites of DRSP found in human plasma were identified to be the acid form of DRSP generated by opening of the lactone ring and the 4, 5-dihydrodrospirenone-3-sulfate, formed by reduction and subsequent sulfation. These metabolites were shown not to be pharmacologically active. Drospirenone is also subject to oxidative metabolism catalyzed by CYP3A4.

EE has been reported to be subject to significant gut and hepatic first-pass metabolism. Metabolism of EE and its oxidative metabolites occur primarily by conjugation with glucuronide or sulfate. CYP3A4 in the liver is responsible for the 2-hydroxylation which is the major oxidative reaction. The 2-hydroxy metabolite is further transformed by methylation and glucuronidation prior to urinary and fecal excretion.

Excretion

DRSP serum concentrations are characterized by a terminal disposition phase half-life of approximately 30 hours after both single and multiple dose regimens. Excretion of DRSP was nearly complete after ten days and amounts excreted were slightly higher in feces compared to urine. DRSP was extensively metabolized and only trace amounts of unchanged DRSP were excreted in urine and feces. At least 20 different metabolites were observed in urine and feces. About 38 to 47% of the metabolites in urine were glucuronide and sulfate conjugates. In feces, about 17 to 20% of the metabolites were excreted as glucuronides and sulfates.

For EE the terminal disposition phase half-life has been reported to be approximately 24 hours. EE is not excreted unchanged. EE is excreted in the urine and feces as glucuronide and sulfate conjugates and undergoes enterohepatic circulation.

Use in Specific Populations

Pediatric Use:

Safety and efficacy of Nikki has been established in women of reproductive age. Efficacy is expected to be the same for postpubertal adolescents under the age of 18 and for users 18 years and older. Use of this product before menarche is not indicated.

Geriatric Use:

Nikki has not been studied in postmenopausal women and is not indicated in this population.

Race:

No clinically significant difference was observed between the pharmacokinetics of DRSP or EE in Japanese versus Caucasian women (age 25 to 35) when 3 mg DRSP/0.02 mg EE was administered daily for 21 days. Other ethnic groups have not been specifically studied.

Renal Impairment:

Nikki is contraindicated in patients with renal impairment.

The effect of renal impairment on the pharmacokinetics of DRSP (3 mg daily for 14 days) and the effect of DRSP on serum potassium concentrations were investigated in three separate groups of female subjects (n=28, age 30 to 65). All subjects were on a low potassium diet. During the study, 7 subjects continued the use of potassium-sparing drugs for the treatment of their underlying illness. On the 14th day (steady-state) of DRSP treatment, the serum DRSP concentrations in the group with CLcr of 50 to 79 mL/min were comparable to those in the control group with CLcr ≥ 80 mL/min. The serum DRSP concentrations were on average 37% higher in the group with CLcr of 30 to 49 mL/min compared to those in the control group. DRSP treatment did not show any clinically significant effect on serum potassium concentration. Although hyperkalemia was not observed in the study, in five of the seven subjects who continued use of potassium-sparing drugs during the study, mean serum potassium concentrations increased by up to 0.33 mEq/L. [see Contraindications (4) and Warnings and Precautions (5.2).]

Hepatic Impairment:

Nikki is contraindicated in patients with hepatic disease.

The mean exposure to DRSP in women with moderate liver impairment is approximately three times higher than the exposure in women with normal liver function. Nikki has not been studied in women with severe hepatic impairment. [see Contraindications (4) and Warnings and Precautions (5.4)]

Drug Interactions

Consult the labeling of all concurrently used drugs to obtain further information about interactions with oral contraceptives or the potential for enzyme alterations.

Effects of Other Drugs on Combined Oral Contraceptives:

Substances Diminishing the Efficacy of CoCs: Drugs or herbal products that induce certain enzymes, including CYP3A4, may decrease the effectiveness of COCs or increase breakthrough bleeding.

Substances increasing the plasma concentrations of COCs: Co-administration of atorvastatin and certain COCs containing EE increase AUC values for EE by approximately 20%. Ascorbic acid and acetaminophen may increase plasma EE concentrations, possibly by inhibition of conjugation. In a clinical drug-drug interaction study conducted in 20 premenopausal women, co-administration of a DRSP (3 mg)/EE (0.02 mg) COC with the strong CYP3A4 inhibitor ketoconazole (200 mg twice daily) for 10 days increased the AUC(0-24h) of DRSP and EE by 2.68-fold (90% CI: 2.44, 2.95) and 1.40-fold (90% CI: 1.31, 1.49), respectively. The increases in Cmax were 1.97-fold (90% CI: 1.79, 2.17) and 1.39-fold (90% CI: 1.28, 1.52) for DRSP and EE, respectively. Although no clinically relevant effects on safety or laboratory parameters including serum potassium were observed, this study only assessed subjects for 10 days. The clinical impact for a patient taking a DRSP-containing COC concomitantly with chronic use of a CYP3A4/5 inhibitor is unknown [see Warnings and Precautions (5.2)].

HIV/HCV Protease Inhibitors and Non-nucleoside Reverse Transcriptase Inhibitors: Significant changes (increase or decrease) in the plasma concentrations of estrogen and progestin have been noted in some cases of co-administration with HIV/HCV protease inhibitors or with non-nucleoside reverse transcriptase inhibitors.

Antibiotics: There have been reports of pregnancy while taking hormonal contraceptives and antibiotics, but clinical pharmacokinetic studies have not shown consistent effects of antibiotics on plasma concentrations of synthetic steroids.

Effects of Combined Oral Contraceptives on Other Drugs:

COCs containing EE may inhibit the metabolism of other compounds. COCs have been shown to significantly decrease plasma concentrations of lamotrigine, likely due to induction of lamotrigine glucuronidation. This may reduce seizure control; therefore, dosage adjustments of lamotrigine may be necessary. Consult the labeling of the concurrently-used drug to obtain further information about interactions with COCs or the potential for enzyme alterations.

In vitro, EE is a reversible inhibitor of CYP2C19, CYP1A1 and CYP1A2 as well as a mechanism-based inhibitor of CYP3A4/5, CYP2C8, and CYP2J2. Metabolism of DRSP and potential effects of DRSP on hepatic CYP enzymes have been investigated in in vitro and in vivo studies. In in vitro studies DRSP did not affect turnover of model substrates of CYP1A2 and CYP2D6, but had an inhibitory influence on the turnover of model substrates of CYP1A1, CYP2C9, CYP2C19 and CYP3A4, with CYP2C19 being the most sensitive enzyme. The potential effect of DRSP on CYP2C19 activity was investigated in a clinical pharmacokinetic study using omeprazole as a marker substrate. In the study with 24 postmenopausal women [including 12 women with homozygous (wild type) CYP2C19 genotype and 12 women with heterozygous CYP2C19 genotype] the daily oral administration of 3 mg DRSP for 14 days did not affect the oral clearance of omeprazole (40 mg, single oral dose) and the CYP2C19 product 5-hydroxy omeprazole. Furthermore, no significant effect of DRSP on the systemic clearance of the CYP3A4 product omeprazole sulfone was found. These results demonstrate that DRSP did not inhibit CYP2C19 and CYP3A4 in vivo.

Two additional clinical drug-drug interaction studies using simvastatin and midazolam as marker substrates for CYP3A4 were each performed in 24 healthy postmenopausal women. The results of these studies demonstrated that pharmacokinetics of the CYP3A4 substrates were not influenced by steady state DRSP concentrations achieved after administration of 3 mg DRSP/day.

Women on thyroid hormone replacement therapy may need increased doses of thyroid hormone because serum concentration of thyroid-binding globulin increases with use of COCs.

Interactions With Drugs That Have the Potential to Increase Serum Potassium Concentration:

There is a potential for an increase in serum potassium concentration in women taking Nikki with other drugs that may increase serum potassium concentration [see Warnings and Precautions (5.2)].

A drug-drug interaction study of DRSP 3 mg/estradiol (E2) 1 mg versus placebo was performed in 24 mildly hypertensive postmenopausal women taking enalapril maleate 10 mg twice daily. Potassium concentrations were obtained every other day for a total of 2 weeks in all subjects. Mean serum potassium concentrations in the DRSP/E2 treatment group relative to baseline were 0.22 mEq/L higher than those in the placebo group. Serum potassium concentrations also were measured at multiple time points over 24 hours at baseline and on Day 14. On Day 14, the ratios for serum potassium Cmax and AUC in the DRSP/E2 group to those in the placebo group were 0.955 (90% CI: 0.914, 0.999) and 1.010 (90% CI: 0.944, 1.08), respectively. No patient in either treatment group developed hyperkalemia (serum potassium concentrations > 5.5 mEq/L).

2.1 How to Take Nikki

Take one tablet by mouth at the same time every day. The failure rate may increase when pills are missed or taken incorrectly.

To achieve maximum contraceptive and PMDD effectiveness, Nikki must be taken exactly as directed, in the order directed on the blister pack. Single missed pills should be taken as soon as remembered.

5.14 Other Conditions

In women with hereditary angioedema, exogenous estrogens may induce or exacerbate symptoms of angioedema. Chloasma may occasionally occur, especially in women with a history of chloasma gravidarum. Women with a tendency to chloasma should avoid exposure to the sun or ultraviolet radiation while taking COCs.

1.1 Oral Contraceptive

Nikki™ (drospirenone and ethinyl estradiol tablets USP), 3 mg/0.02 mg is indicated for use by females of reproductive potential  to prevent pregnancy.

2.2 How to Start Nikki

Instruct the patient to begin taking Nikki either on the first day of her menstrual period (Day 1 Start) or on the first Sunday after the onset of her menstrual period (Sunday Start).

Day 1 Start

During the first cycle of Nikki use, instruct the patient to take one pink Nikki daily, beginning on Day 1 of her menstrual cycle. (The first day of menstruation is Day 1.) She should take one pink Nikki daily for 24 consecutive days, followed by one white inert tablet daily on Days 25 through 28. Nikki should be taken in the order directed on the package at the same time each day, preferably after the evening meal or at bedtime with some liquid, as needed. Nikki can be taken without regard to meals. If Nikki is first taken later than the first day of the menstrual cycle, Nikki should not be considered effective as a contraceptive until after the first 7 consecutive days of product administration. Instruct the patient to use a non-hormonal contraceptive as back-up during the first 7 days. The possibility of ovulation and conception prior to initiation of medication should be considered.

Sunday Start

During the first cycle of Nikki use, instruct the patient to take one pink Nikki daily, beginning on the first Sunday after the onset of her menstrual period. She should take one pink Nikki daily for 24 consecutive days, followed by one white inert tablet daily on Days 25 through 28. Nikki should be taken in the order directed on the package at the same time each day, preferably after the evening meal or at bedtime with some liquid, as needed. Nikki can be taken without regard to meals. Nikki should not be considered effective as a contraceptive until after the first 7 consecutive days of product administration. Instruct the patient to use a non-hormonal contraceptive as back-up during the first 7 days. The possibility of ovulation and conception prior to initiation of medication should be considered.

The patient should begin her next and all subsequent 28-day regimens of Nikki on the same day of the week that she began her first regimen, following the same schedule. She should begin taking her pink tablets on the next day after ingestion of the last white tablet, regardless of whether or not a menstrual period has occurred or is still in progress. Anytime a subsequent cycle of Nikki is started later than the day following administration of the last white tablet, the patient should use another method of contraception until she has taken a pink Nikki daily for seven consecutive days.

When switching from a different birth control pill

When switching from another birth control pill, Nikki should be started on the same day that a new pack of the previous oral contraceptive would have been started.

When switching from a method other than a birth control pill

When switching from a transdermal patch or vaginal ring, Nikki should be started when the next application would have been due. When switching from an injection, Nikki should be started when the next dose would have been due. When switching from an intrauterine contraceptive or an implant, Nikki should be started on the day of removal.

Withdrawal bleeding usually occurs within 3 days following the last pink tablet. If spotting or breakthrough bleeding occurs while taking Nikki, instruct the patient to continue taking Nikki by the regimen described above. Counsel her that this type of bleeding is usually transient and without significance; however, advise her that if the bleeding is persistent or prolonged, she should consult her healthcare provider.

Although the occurrence of pregnancy is low if Nikki is taken according to directions, if withdrawal bleeding does not occur, consider the possibility of pregnancy. If the patient has not adhered to the prescribed dosing schedule (missed one or more active tablets or started taking them on a day later than she should have), consider the possibility of pregnancy at the time of the first missed period and take appropriate diagnostic measures. If the patient has adhered to the prescribed regimen and misses two consecutive periods, rule out pregnancy. Discontinue Nikki if pregnancy is confirmed.

The risk of pregnancy increases with each active pink tablet missed. If breakthrough bleeding occurs following missed tablets, it will usually be transient and of no consequence. If the patient misses one or more white tablets, she should still be protected against pregnancy provided she begins taking a new cycle of pink tablets on the proper day.

For postpartum women who do not breastfeed or after a second trimester abortion, start Nikki no earlier than 4 weeks postpartum due to the increased risk of thromboembolism. If the patient starts on Nikki postpartum and has not yet had a period, evaluate for possible pregnancy, and instruct her to use an additional method of contraception until she has taken Nikki for 7 consecutive days.

1 Indications and Usage (1 INDICATIONS AND USAGE)

Nikki (drospirenone and ethinyl estradiol tablets USP) is a combination of drospirenone, a progestin, and ethinyl estradiol, an estrogen, indicated for use by females of reproductive potential to:

  • Prevent pregnancy. (1.1)
  • Treat symptoms of premenstrual dysphoric disorder (PMDD) for females of reproductive potential who choose to use an oral contraceptive for contraception. (1.2)
  • Treat moderate acne for women at least 14 years old only if the patient desires an oral contraceptive for birth control. (1.3)
5.3 Malignant Neoplasms

Breast Cancer

Nikki is contraindicated in females who currently have or have had breast cancer because breast cancer may be hormonally sensitive [see Contraindications (4)] .

Epidemiology studies have not found a consistent association between use of combined oral contraceptives (COCs) and breast cancer risk. Studies do not show an association between ever (current or past) use of COCs and risk of breast cancer. However, some studies report a small increase in the risk of breast cancer among current or recent users (<6 months since last use) and current users with longer duration of COC use [see Adverse Reactions (6.2)].

Cervical Cancer

Some studies suggest that COCs are associated with an increase in the risk of cervical cancer or intraepithelial neoplasia. However, there is controversy about the extent to which these findings may be due to differences in sexual behavior and other factors.

5.6 High Blood Pressure

For women with well-controlled hypertension, monitor blood pressure and stop Nikki if blood pressure rises significantly. Women with uncontrolled hypertension or hypertension with vascular disease should not use COCs.

An increase in blood pressure has been reported in women taking COCs, and this increase is more likely in older women and with extended duration of use. The incidence of hypertension increases with increasing concentration of progestin.

5.7 Gallbladder Disease

Studies suggest a small increased relative risk of developing gallbladder disease among COC users.

12.1 Mechanism of Action

COCs lower the risk of becoming pregnant primarily by suppressing ovulation.

14.3 Acne Clinical Trials

In two multicenter, double-blind, randomized, placebo-controlled studies, 889 subjects, ages 14 to 45 years, with moderate acne received Nikki or placebo for six 28-day cycles. The primary efficacy endpoints were the percent change in inflammatory lesions, non-inflammatory lesions, total lesions, and the percentage of subjects with a "clear" or "almost clear" rating on the Investigator's Static Global Assessment (ISGA) scale on day 15 of cycle 6, as presented in Table 4:



Study 1

Study 2

Nikki

Placebo

Nikki

Placebo

N=228

N=230

N=218

N=213

ISGA Success Rate

35 (15%)

10 (4%)

46 (21%)

19 (9%)

Inflammatory Lesions

Mean Baseline Count

33

33

32

32

Mean Absolute (%) Reduction

15 (48%)

11 (32%)

16 (51%)

11 (34%)

Non-inflammatory Lesions

Mean Baseline Count

47

47

44

44

Mean Absolute (%) Reduction

18 (39%)

10 (18%)

17 (42%)

11 (26%)

Total Lesions

Mean Baseline Count

80

80

76

76

Mean Absolute (%) Reduction

33 (42%)

21 (25%)

33 (46%)

22 (31%)

5 Warnings and Precautions (5 WARNINGS AND PRECAUTIONS)
  • Vascular risks: Stop Nikki if a thrombotic event occurs. Stop at least 4 weeks before and through 2 weeks after major surgery. Start no earlier than 4 weeks after delivery, in women who are not breastfeeding. (5.1)
  • COCs containing DRSP may be associated with a higher risk of venous thromboembolism (VTE) than COCs containing levonorgestrel or some other progestins. Before initiating Nikki in a new COC user or a woman who is switching from a contraceptive that does not contain DRSP, consider the risks and benefits of a DRSP-containing COC in light of her risk of a VTE. (5.1)
  • Hyperkalemia: DRSP has anti-mineralocorticoid activity. Do not use in patients predisposed to hyperkalemia. Check serum potassium concentration during the first treatment cycle in women on long-term treatment with medications that may increase serum potassium concentration. (5.2, 7.1,7.2)
  • Liver disease: Discontinue Nikki if jaundice occurs. (5.4)
  • High blood pressure: Do not prescribe Nikki for women with uncontrolled hypertension or hypertension with vascular disease. (5.6)
  • Carbohydrate and lipid metabolic effects: Monitor prediabetic and diabetic women taking Nikki. Consider an alternate contraceptive method for women with uncontrolled dyslipidemia. (5.8)
  • Headache: Evaluate significant change in headaches and discontinue Nikki if indicated. (5.9)
  • Uterine bleeding: Evaluate irregular bleeding or amenorrhea. (5.10)
2 Dosage and Administration (2 DOSAGE AND ADMINISTRATION)
  • Take one tablet daily by mouth at the same time every day. (2.1)
  • Tablets must be taken in the order directed on the blister pack. (2.1)
3 Dosage Forms and Strengths (3 DOSAGE FORMS AND STRENGTHS)

Nikki (drospirenone and ethinyl estradiol tablets USP), 3 mg/0.02 mg consists of 28 film-coated, biconvex tablets in the following order (3):

  • 24 pink tablets, each containing 3 mg drospirenone (DRSP) and 0.02 mg ethinyl estradiol (EE) as betadex clathrate
  • 4 white inert tablets
5.10 Bleeding Irregularities

Unscheduled (breakthrough or intracyclic) bleeding and spotting sometimes occur in patients on COCs, especially during the first three months of use. If bleeding persists or occurs after previously regular cycles, check for causes such as pregnancy or malignancy. If pathology and pregnancy are excluded, bleeding irregularities may resolve over time or with a change to a different COC.

Based on patient diaries from two contraceptive clinical trials of Nikki, 8 to 25% of women experienced unscheduled bleeding per 28-day cycle. A total of 12 subjects out of 1,056 (1.1%) discontinued due to menstrual disorders including intermenstrual bleeding, menorrhagia, and metrorrhagia.

Women who use Nikki may experience absence of withdrawal bleeding, even if they are not pregnant. Based on subject diaries from contraception trials for up to 13 cycles, 6 to 10% of women experienced cycles with no withdrawal bleeding. Some women may encounter post-pill amenorrhea or oligomenorrhea, especially when such a condition was pre-existent.

If withdrawal bleeding does not occur, consider the possibility of pregnancy. If the patient has not adhered to the prescribed dosing schedule (missed one or more active tablets or started taking them on a day later than she should have), consider the possibility of pregnancy at the time of the first missed period and take appropriate diagnostic measures. If the patient has adhered to the prescribed regimen and misses two consecutive periods, rule out pregnancy.

6.2 Postmarketing Experience

Five studies that compared breast cancer risk between ever-users (current or past use) of COCs and never-users of COCs reported no association between ever use of COCs and breast cancer risk, with effect estimates ranging from 0.90 - 1.12 (Figure 3).

Three studies compared breast cancer risk between current or recent COC users (<6 months since last use) and never users of COCs (Figure 3). One of these studies reported no association between breast cancer risk and COC use. The other two studies found an increased relative risk of 1.19 - 1.33 with current or recent use. Both of these studies found an increased risk of breast cancer with current use of longer duration, with relative risks ranging from 1.03 with less than one year of COC use to approximately 1.4 with more than 8-10 years of COC use.

Figure 3: Relative Studies of Risk of Breast Cancer with Combined Oral Contraceptives

RR = relative risk; OR = odds ratio; HR = hazard ratio. "ever COC" are females with current or past COC use; "never COC use" are females that never used COCs.

The following adverse reactions have been identified during post approval use of Nikki. Because these reactions are reported voluntarily from a population of uncertain size, it is not always possible to reliably estimate their frequency or establish a causal relationship to drug exposure.

Adverse reactions are grouped into System Organ Classes, and ordered by frequency.

Vascular Disorders

Venous and arterial thromboembolic events (including pulmonary emboli, deep vein thrombosis, cerebral thrombosis, retinal thrombosis, myocardial infarction and stroke), hypertension (including hypertensive crisis)

Hepatobiliary Disorders

Gallbladder disease, liver function disturbances, liver tumors

Immune System Disorders

Hypersensitivity (including anaphylactic reaction)

Metabolism and Nutrition Disorders

Hyperkalemia, hypertriglyceridemia, changes in glucose tolerance or effect on peripheral insulin resistance (including diabetes mellitus)

Skin and Subcutaneous Tissue Disorders

Chloasma, angioedema, erythema nodosum, erythema multiforme.

Gastrointestinal Disorders

Inflammatory bowel disease

Musculoskeletal and Connective Tissue Disorders

Systemic lupus erythematosus

8 Use in Specific Populations (8 USE IN SPECIFIC POPULATIONS)

Lactation: Can reduce milk production in breast-feeding females. (8.2)

6.1 Clinical Trials Experience

Because clinical trials are conducted under widely varying conditions, adverse reaction rates observed in the clinical trials of a drug cannot be directly compared to rates in the clinical trials of another drug and may not reflect the rates observed in practice.

Contraception and Acne Clinical Trials

The data provided reflect the experience with the use of Nikki in the adequate and well-controlled studies for contraception (N=1,056) and for moderate acne vulgaris (N=536).

For contraception, a Phase 3, multicenter, multinational, open-label study was conducted to evaluate safety and efficacy up to one year in 1,027 women aged 17 to 36 who took at least one dose of Nikki. A second Phase 3 study was a single center, open-label, active-controlled study to evaluate the effect of 7 28-day cycles of Nikki on carbohydrate metabolism, lipids and hemostasis in 29 women aged 18 to 35. For acne, two multicenter, double-blind, randomized, placebo-controlled studies, in 536 women aged 14 to 45 with moderate acne vulgaris who took at least one dose of Nikki, evaluated the safety and efficacy during up to 6 cycles.

The adverse reactions seen across the 2 indications overlapped, and are reported using the frequencies from the pooled dataset. The most common adverse reactions ( 2% of users) were: headache/migraine (6.7%), menstrual irregularities (including vaginal hemorrhage [primarily spotting] and metrorrhagia (4.7%), nausea/vomiting (4.2%), breast pain/tenderness (4%) and mood changes (mood swings, depression, depressed mood and affect lability) (2.2%).

PMDD Clinical Trials

Safety data from trials for the indication of PMDD are reported separately due to differences in study design and setting in the Contraception and Acne studies as compared to the PMDD clinical program.

Two (one parallel and one crossover designed) multicenter, double-blind, randomized, placebo-controlled trials for the secondary indication of treating the symptoms of PMDD evaluated safety and efficacy of Nikki during up to 3 cycles among 285 women aged 18 to 42, diagnosed with PMDD and who took at least one dose of Nikki.

Common adverse reactions (≥ 2% of users) were: menstrual irregularities (including vaginal hemorrhage [primarily spotting] and metrorrhagia) (24.9%), nausea (15.8%), headache (13.0%), breast tenderness (10.5%), fatigue (4.2%), irritability (2.8%), decreased libido (2.8%), increased weight (2.5%), and affect lability (2.1%).

Adverse Reactions (≥1%) Leading to Study Discontinuation

Contraception Clinical Trials:

Of 1,056 women, 6.6% discontinued from the clinical trials due to an adverse reaction; the most frequent adverse reactions leading to discontinuation were headache/migraine (1.6%) and nausea/vomiting (1.0%).

Acne Clinical Trials:

Of 536 women, 5.4% discontinued from the clinical trials due to an adverse reaction; the most frequent adverse reaction leading to discontinuation was menstrual irregularities (including menometrorrhagia, menorrhagia, metrorrhagia and vaginal hemorrhage) (2.2%).

PMDD Clinical Trials:

Of 285 women, 11.6% discontinued from the clinical trials due to an adverse reaction; the most frequent adverse reactions leading to discontinuation were: nausea/vomiting (4.6%), menstrual irregularity (including vaginal hemorrhage, menorrhagia, menstrual disorder, menstruation irregular and metrorrhagia) (4.2%), fatigue (1.8%), breast tenderness (1.4%), depression (1.4%), headache (1.1%), and irritability (1.1%).

Serious Adverse Reactions

Contraception Clinical Trials: migraine and cervical dysplasia

Acne Clinical Trials: none reported in the clinical trials

PMDD Clinical Trials: cervical dysplasia

17 Patient Counseling Information (17 PATIENT COUNSELING INFORMATION)

Advise the patient to read the FDA-approved patient labeling (Patient Information).

  • Counsel patients that cigarette smoking increases the risk of serious cardiovascular events from COC use, and that women who are over 35 years old and smoke should not use COCs.
  • Counsel patients that the increased risk of VTE compared to non-users of COCs is greatest after initially starting a COC or restarting (following a 4-week or greater pill-free interval) the same or a different COC.
  • Counsel patients about the information regarding the risk of VTE with DRSP-containing COCs compared to COCs that contain levonorgestrel or some other progestins.
  • Counsel patients that Nikki does not protect against HIV-infection (AIDS) and other sexually transmitted diseases.
  • Counsel patients on Warnings and Precautions associated with COCs.
  • Counsel patients that Nikki contains DRSP. Drospirenone may increase potassium. Patients should be advised to inform their healthcare provider if they have kidney, liver or adrenal disease because the use of Nikki in the presence of these conditions could cause serious heart and health problems. They should also inform their healthcare provider if they are currently on daily, long-term treatment (NSAIDs, potassium-sparing diuretics, potassium supplementation, ACE inhibitors, angiotensin-II receptor antagonists, heparin or aldosterone antagonists) for a chronic condition or taking strong CYP3A4 inhibitors.
  • Inform patients that Nikki is not indicated during pregnancy. If pregnancy occurs during treatment with Nikki, instruct the patient to stop further intake.
  • Counsel patients to take one tablet daily by mouth at the same time every day. Instruct patients what to do in the event pills are missed.
  • Counsel patients to use a back-up or alternative method of contraception when enzyme inducers are used with COCs.
  • Counsel patients who are breastfeeding or who desire to breastfeed that COCs may reduce breast milk production. This is less likely to occur if breastfeeding is well established.
  • Counsel any patient who starts COCs postpartum, and who has not yet had a period, to use an additional method of contraception until she has taken a pink tablet for 7 consecutive days.
  • Counsel patients that amenorrhea may occur. Rule out pregnancy in the event of amenorrhea in two or more consecutive cycles.
8.6 Patients With Renal Impairment (8.6 Patients with Renal Impairment)

Nikki is contraindicated in patients with renal impairment [see Contraindications (4) and Warning and Precautions (5.2)].

In subjects with creatinine clearance (CLcr) of 50 to 79 mL/min, serum DRSP levels were comparable to those in a control group with CLcr ≥80 mL/min. In subjects with CLcr of 30 to 49 mL/min, serum DRSP concentrations were on average 37% higher than those in the control group. In addition, there is a potential to develop hyperkalemia in subjects with renal impairment whose serum potassium is in the upper reference range, and who are concomitantly using potassium sparing drugs [see Clinical Pharmacology (12.3)].

8.7 Patients With Hepatic Impairment (8.7 Patients with Hepatic Impairment)

Nikki is contraindicated in patients with hepatic disease [see Contraindications (4) and Warning and Precautions (5.4)]. The mean exposure to DRSP in women with moderate liver impairment is approximately three times higher than the exposure in women with normal liver function. Nikki has not been studied in women with severe hepatic impairment.

14.1 Oral Contraceptive Clinical Trial

In the primary contraceptive efficacy study of Nikki (3 mg DRSP/0.02 mg EE) of up to 1 year duration, 1,027 subjects were enrolled and completed 11,480 28-day cycles of use. The age range was 17 to 36 years. The racial demographic was: 87.8% Caucasian, 4.6% Hispanic, 4.3% Black, 1.2% Asian, and 2.1% other. Women with a BMI greater than 35 were excluded from the trial. The pregnancy rate (Pearl Index) was 1.41 (95% CI [0.73, 2.47]) per 100 woman-years of use based on 12 pregnancies that occurred after the onset of treatment and within 14 days after the last dose of Nikki in women 35 years of age or younger during cycles in which no other form of contraception was used.

7.4 Interference With Laboratory Tests (7.4 Interference with Laboratory Tests)

The use of contraceptive steroids may influence the results of certain laboratory tests, such as coagulation factors, lipids, glucose tolerance, and binding proteins. DRSP causes an increase in plasma renin activity and plasma aldosterone induced by its mild anti-mineralocorticoid activity . [see Warnings and Precautions (5.12) and Drug Interactions (7.2).]

5.12 Interference With Laboratory Tests (5.12 Interference with Laboratory Tests)

The use of COCs may change the results of some laboratory tests, such as coagulation factors, lipids, glucose tolerance, and binding proteins. Women on thyroid hormone replacement therapy may need increased doses of thyroid hormone because serum concentrations of thyroid-binding globulin increase with use of COCs [see Drug Interactions (7.2)].

DRSP causes an increase in plasma renin activity and plasma aldosterone induced by its mild anti-mineralocorticoid activity.

1.2 Premenstrual Dysphoric Disorder (pmdd) (1.2 Premenstrual Dysphoric Disorder (PMDD))

Nikki (drospirenone and ethinyl estradiol tablets USP), 3 mg/0.02 mg is also indicated for the treatment of symptoms of premenstrual dysphoric disorder (PMDD) in females of reproductive potential who choose to use an oral contraceptive as their method of contraception. The effectiveness of Nikki (drospirenone and ethinyl estradiol tablets USP), 3 mg/0.02 mg for PMDD when used for more than three menstrual cycles has not been evaluated.

The essential features of PMDD according to the Diagnostic and Statistical Manual-4th edition (DSM-IV) include markedly depressed mood, anxiety or tension, affective lability, and persistent anger or irritability. Other features include decreased interest in usual activities, difficulty concentrating, lack of energy, change in appetite or sleep, and feeling out of control. Physical symptoms associated with PMDD include breast tenderness, headache, joint and muscle pain, bloating and weight gain. In this disorder, these symptoms occur regularly during the luteal phase and remit within a few days following onset of menses; the disturbance markedly interferes with work or school, or with usual social activities and relationships with others. Diagnosis is made by healthcare providers according to DSM-IV criteria, with symptomatology assessed prospectively over at least two menstrual cycles. In making the diagnosis, care should be taken to rule out other cyclical mood disorders.

Nikki (drospirenone and ethinyl estradiol tablets USP), 3 mg/0.02 mg has not been evaluated for the treatment of premenstrual syndrome (PMS).

5.8 Carbohydrate and Lipid Metabolic Effects

Carefully monitor prediabetic and diabetic women who are taking Nikki. COCs may decrease glucose intolerance in a dose-related fashion.

Consider alternative contraception for women with uncontrolled dyslipidemias. A small proportion of women will have adverse lipid changes while on COC's.

Women with hypertriglyceridemia, or a family history thereof, may be at an increased risk of pancreatitis when using COCs.

2.4 Advice in Case of Gastrointestinal Disturbances

In case of severe vomiting or diarrhea, absorption may not be complete and additional contraceptive measures should be taken. If vomiting occurs within 3 to 4 hours after tablet-taking, this can be regarded as a missed tablet.

14.2 Premenstrual Dysphoric Disorder Clinical Trials

Two multicenter, double-blind, randomized, placebo-controlled studies were conducted to evaluate the effectiveness of Nikki in treating the symptoms of PMDD. Women aged 18 to 42 who met DSM-IV criteria for PMDD, confirmed by prospective daily ratings of their symptoms, were enrolled. Both studies measured the treatment effect of Nikki using the Daily Record of Severity of Problems scale, a patient-rated instrument that assesses the symptoms that constitute the DSM-IV diagnostic criteria. The primary study was a parallel group design that included 384 evaluable reproductive-aged women with PMDD who were randomly assigned to receive Nikki or placebo treatment for 3 menstrual cycles. The supportive study, a crossover design, was terminated prematurely prior to achieving recruitment goals due to enrollment difficulties. A total of 64 women of reproductive age with PMDD were treated initially with Nikki or placebo for up to 3 cycles followed by a washout cycle and then crossed over to the alternate medication for 3 cycles.

Efficacy was assessed in both studies by the change from baseline during treatment using a scoring system based on the first 21 items of the Daily Record of Severity of Problems. Each of the 21 items was rated on a scale from 1 (not at all) to 6 (extreme); thus a maximum score of 126 was possible. In both trials, women who received Nikki had statistically significantly greater improvement in their Daily Record of Severity of Problems scores. In the primary study, the average decrease (improvement) from baseline was 37.5 points in women taking Nikki, compared to 30.0 points in women taking placebo.

5.1 Thromboembolic Disorders and Other Vascular Problems

Stop Nikki if an arterial or venous thrombotic (VTE) event occurs.

Based on presently available information on DRSP-containing COCs with 0.03 mg ethinyl estradiol (that is, Yasmin), DRSP-containing COCs may be associated with a higher risk of venous thromboembolism (VTE) than COCs containing the progestin levonorgestrel or some other progestins. Epidemiologic studies that compared the risk of VTE reported that the risk ranged from no increase to a three-fold increase. Before initiating use of Nikki in a new COC user or a woman who is switching from a contraceptive that does not contain DRSP, consider the risks and benefits of a DRSP-containing COC in light of her risk of a VTE. Known risk factors for VTE include smoking, obesity, and family history of VTE, in addition to other factors that contraindicate use of COCs [see Contraindications (4)].

A number of studies have compared the risk of VTE for users of Yasmin (which contains 0.03 mg of EE and 3 mg of DRSP) to the risk for users of other COCs, including COCs containing levonorgestrel. Those that were required or sponsored by regulatory agencies are summarized in Table 2.

Table 2: Estimates (Hazard Ratios) of Venous Thromboembolism Risk in Current Users of Yasmin Compared to Users of Oral Contraceptives that Contain Other Progestins.

Epidemiologic Study

(Author, Year of Publication)

Population Studied

Comparator Product

(all are low-dose COCs; with ≤ 0.04 mg of EE)

Hazard Ratio (HR)

(95% CI)

i3 Ingenix

(Seeger 2007)

Initiators, including new users
"New users" - no use of combination hormonal contraception for at least the prior 6 months


All COCs available in the US during the conduct of the study
Includes low-dose COCs containing the following progestins: norgestimate, norethindrone, levonorgestrel, desogestrel, norgestrel, medroxyprogesterone, or ethynodiol diacetate


HR: 0.9

(0.5 to 1.6)

EURAS

(Dinger 2007)

All COCs available in Europe during

the conduct of the study
Includes low-dose COCs containing the following progestins: levonorgestrel, desogestrel, dienogest, chlormadinone acetate, gestodene, cyproterone acetate, norgestimate, or norethindrone


HR: 0.9

(0.6 to 1.4)

Initiators, including new users


Levonorgestrel/EE

HR: 1.0

(0.6 to 1.8)

"FDA-funded study" (2011)

New users


Other COCs available during the course of the study
Includes low-dose COCs containing the following progestins: norgestimate, norethindrone, or levonorgestrel


HR: 1.8

(1.3 to 2.4)

Levonorgestrel/0.03 mg EE

HR: 1.6

(1.1 to 2.2)

All users

(i.e., initiation and continuing

use of study combination hormonal contraception)

Other COCs available during the

course of the study


HR: 1.7

(1.4 to 2.1)

Levonorgestrel/0.03 mg EE

HR: 1.5

(1.2 to 1.8)

In addition to these "regulatory studies," other studies of various designs have been conducted. Overall, there are two prospective cohort studies (see Table 2): the US post-approval safety study Ingenix [Seeger 2007], the European post-approval safety study EURAS (European Active Surveillance Study) [Dinger 2007]. An extension of the EURAS study, the Long-Term Active Surveillance Study (LASS), did not enroll additional subjects, but continued to assess VTE risk. There are three retrospective cohort studies: one study in the US funded by the FDA (see Table 2), and two from Denmark [Lidegaard 2009, Lidegaard 2011]. There are two case-control studies: the Dutch MEGA study analysis [van Hylckama Vlieg 2009] and the German case-control study [Dinger 2010]. There are two nested case-control studies that evaluated the risk of non-fatal idiopathic VTE: the PharMetrics study [Jick 2011] and the GPRD study [Parkin 2011]. The results of all of these studies are presented in Figure 1

Figure 1: VTE Risk with Yasmin Relative to LNG-Containing COCs (adjusted risk#)

Risk ratios displayed on logarithmic scale; risk ratio < 1 indicates a lower risk of VTE for DRSP, > 1 indicates an increased risk of VTE for DRSP.

*Comparator "Other COCs", including LNG- containing COCs

† LASS is an extension of the EURAS study

#Some adjustment factors are indicated by superscript letters: a) Current heavy smoking, b) hypertension, c) obesity, d) family history, e) age, f) BMI, g) duration of use, h) VTE history, i) period of inclusion, j) calendar year, k) education, l) length of use, m) parity, n) chronic disease, o) concomitant medication, p) smoking, q) duration of exposure, r) site

(References: Ingenix [Seeger 2007]1, EURAS (European Active Surveillance Study) [Dinger 2007]2, LASS (Long-Term Active Surveillance Study) [Dinger, unpublished document on file], FDA-funded study [Sidney 2011]3, Danish [Lidegaard 2009]4, Danish re-analysis [ Lidegaard 2011]5, MEGA study [van Hylckama Vlieg 2009]6, German Case-Control study [Dinger 2010]7, PharMetrics [Jick 2011]8, GPRD study [Parkin 2011]9)

Although the absolute VTE rates are increased for users of hormonal contraceptives compared to non-users, the rates during pregnancy are even greater, especially during the post-partum period (see Figure 2). The risk of VTE in women using COCs has been estimated to be 3 to 9 per 10,000 woman-years. The risk of VTE is highest during the first year of use. Data from a large, prospective cohort safety study of various COCs suggest that this increased risk, as compared to that in non-COC users, is greatest during the first 6 months of COC use. Data from this safety study indicate that the greatest risk of VTE is present after initially starting a COC or restarting (following a 4 week or greater pill-free interval) the same or a different COC.

The risk of thromboembolic disease due to oral contraceptives gradually disappears after COC use is discontinued.

Figure 2 shows the risk of developing a VTE for women who are not pregnant and do not use oral contraceptives, for women who use oral contraceptives, for pregnant women, and for women in the postpartum period. To put the risk of developing a VTE into perspective: If 10,000 women who are not pregnant and do not use oral contraceptives are followed for one year, between 1 and 5 of these women will develop a VTE.

Figure 2: Likelihood of Developing a VTE

If feasible, stop Nikki at least 4 weeks before and through 2 weeks after major surgery or other surgeries known to have an elevated risk of thromboembolism.

Start Nikki no earlier than 4 weeks after delivery, in women who are not breastfeeding. The risk of postpartum thromboembolism decreases after the third postpartum week, whereas the risk of ovulation increases after the third postpartum week.

Use of COCs also increases the risk of arterial thromboses such as strokes and myocardial infarctions, especially in women with other risk factors for these events.

COCs have been shown to increase both the relative and attributable risks of cerebrovascular events (thrombotic and hemorrhagic strokes), although, in general, the risk is greatest among older (>35 years of age), hypertensive women who also smoke. COCs also increase the risk for stroke in women with other underlying risk factors.

Oral contraceptives must be used with caution in women with cardiovascular disease risk factors.

Stop Nikki if there is unexplained loss of vision, proptosis, diplopia, papilledema, or retinal vascular lesions. Evaluate for retinal vein thrombosis immediately. [see Adverse Reactions (6)]

13.1 Carcinogenesis, Mutagenesis, Impairment of Fertility

In a 24 month oral carcinogenicity study in mice dosed with 10 mg/kg/day DRSP alone or 1 + 0.01, 3 + 0.03 and 10 + 0.1 mg/kg/day of DRSP and EE, 0.1 to 2 times the exposure (AUC of DRSP) of women taking a contraceptive dose, there was an increase in carcinomas of the harderian gland in the group that received the high dose of DRSP alone. In a similar study in rats given 10 mg/kg/day DRSP alone or 0.3 + 0.003, 3 + 0.03 and 10 + 0.1 mg/kg/day DRSP and EE, 0.8 to 10 times the exposure of women taking a contraceptive dose, there was an increased incidence of benign and total (benign and malignant) adrenal gland pheochromocytomas in the group receiving the high dose of DRSP. Mutagenesis studies for DRSP were conducted in vivo and in vitro and no evidence of mutagenic activity was observed [see Warning and Precautions (5.3, 5.4)].

7.1 Effects of Other Drugs On Combined Oral Contraceptives (7.1 Effects of Other Drugs on Combined Oral Contraceptives)

Substances Diminishing the Efficacy of COCs

Drugs or herbal products that induce certain enzymes, including cytochrome P450 3A4 (CYP3A4), may decrease the effectiveness of COCs or increase breakthrough bleeding. Some drugs or herbal products that may decrease the effectiveness of hormonal contraceptives include phenytoin, barbiturates, carbamazepine, bosentan, felbamate, griseofulvin, oxcarbazepine, rifampin, topiramate and products containing St. John's wort. Interactions between oral contraceptives and other drugs may lead to breakthrough bleeding and/or contraceptive failure. Counsel women to use an alternative method of contraception or a back-up method when enzyme inducers are used with COCs, and to continue back-up contraception for 28 days after discontinuing the enzyme inducer to ensure contraceptive reliability.

Substances Increasing the Plasma Concentrations of COCs

Co-administration of atorvastatin and certain COCs containing EE increase AUC values for EE by approximately 20%. Ascorbic acid and acetaminophen may increase plasma EE concentrations, possibly by inhibition of conjugation.

Concomitant administration of moderate or strong CYP3A4 inhibitors such as azole antifungals (e.g., ketoconazole, itraconazole, voriconazole, fluconazole), verapamil, macrolides (e.g., clarithromycin, erythromycin), diltiazem, and grapefruit juice can increase the plasma concentrations of the estrogen or the progestin or both. In a clinical drug-drug interaction study conducted in premenopausal women, once daily co-administration of DRSP 3 mg/EE 0.02 mg containing tablets with strong CYP3A4 inhibitor, ketoconazole 200 mg twice daily for 10 days resulted in a moderate increase of DRSP systemic exposure. The exposure of EE was increased mildly [see Warnings and Precautions (5.2) and Clinical Pharmacology (12.3)].

Human immunodeficiency Virus (HIV)/ Hepatitis C Virus (HCV) Protease Inhibitors and Non-nucleoside Reverse Transcriptase Inhibitors

Significant changes (increase or decrease) in the plasma concentrations of estrogen and progestin have been noted in some cases of co-administration with HIV/HCV protease inhibitors or with non-nucleoside reverse transcriptase inhibitors.

Antibiotics

There have been reports of pregnancy while taking hormonal contraceptives and antibiotics, but clinical pharmacokinetic studies have not shown consistent effects of antibiotics on plasma concentrations of synthetic steroids.

7.2 Effects of Combined Oral Contraceptives On Other Drugs (7.2 Effects of Combined Oral Contraceptives on Other Drugs)

COCs containing EE may inhibit the metabolism of other compounds. COCs have been shown to significantly decrease plasma concentrations of lamotrigine, likely due to induction of lamotrigine glucuronidation. This may reduce seizure control; therefore, dosage adjustments of lamotrigine may be necessary. Consult the labeling of the concurrently-used drug to obtain further information about interactions with COCs or the potential for enzyme alterations.

COCs Increasing the Plasma Concentrations of CYP450 Enzymes: In clinical studies, administration of a hormonal contraceptive containing EE did not lead to any increase or only to a weak increase in plasma concentrations of CYP3A4 substrates (e.g., midazolam) while plasma concentrations of CYP2C19 substrates (e.g., omeprazole and voriconazole) and CYP1A2 substrates (e.g., theophylline and tizanidine) can have a weak or moderate increase.

Clinical studies did not indicate an inhibitory potential of DRSP towards human CYP enzymes at clinically relevant concentrations [see Clinical Pharmacology (12.3)].

Women on thyroid hormone replacement therapy may need increased doses of thyroid hormone because serum concentration of thyroid-binding globulin increases with use of COCs.

Potential to Increase Serum Potassium Concentration

There is a potential for an increase in serum potassium concentration in women taking Nikki with other drugs that may increase serum potassium concentration [see Warning and Precaution (5.2) and Clinical Pharmacology (12.3)].

7.3 Concomitant Use of Hcv Combination Therapy – Liver Enzyme Elevation (7.3 Concomitant Use of HCV Combination Therapy – Liver Enzyme Elevation)

Do not co-administer Nikki with HCV drug combinations containing ombitasvir/paritaprevir/ritonavir, with or without dasabuvir, due to potential for ALT elevations [see Warnings and Precautions (5.5)] .

5.5 Risk of Liver Enzyme Elevations With Concomitant Hepatitis C Treatment (5.5 Risk of Liver Enzyme Elevations with Concomitant Hepatitis C Treatment)

During clinical trials with the Hepatitis C combination drug regimen that contains ombitasvir/paritaprevir/ritonavir, with or without dasabuvir, ALT elevations greater than 5 times the upper limit of normal (ULN), including some cases greater than 20 times the ULN, were significantly more frequent in women using ethinyl estradiol-containing medications, such as COCs. Discontinue Nikki prior to starting therapy with the combination drug regimen ombitasvir/paritaprevir/ritonavir, with or without dasabuvir [see Contraindications (4)] . Nikki can be restarted approximately 2 weeks following completion of treatment with the Hepatitis C combination drug regimen.


Advanced Ingredient Data


Raw Label Data

All Sections (JSON)