These Highlights Do Not Include All The Information Needed To Use Azacitidine For Injection Safely And Effectively. See Full Prescribing Information For Azacitidine For Injection.
9abb489d-ce54-4140-83f6-b756f00b0967
34391-3
HUMAN PRESCRIPTION DRUG LABEL
Drug Facts
Composition & Product
Identifiers & Packaging
Description
Azacitidine for injection is a nucleoside metabolic inhibitor indicated for the treatment of patients with the following FAB myelodysplastic syndrome (MDS) subtypes: Refractory anemia (RA) or refractory anemia with ringed sideroblasts (RARS) (if accompanied by neutropenia or thrombocytopenia or requiring transfusions), refractory anemia with excess blasts (RAEB), refractory anemia with excess blasts in transformation (RAEB-T), and chronic myelomonocytic leukemia (CMMoL). ( 1 )
Indications and Usage
Azacitidine for injection is a nucleoside metabolic inhibitor indicated for the treatment of patients with the following FAB myelodysplastic syndrome (MDS) subtypes: Refractory anemia (RA) or refractory anemia with ringed sideroblasts (RARS) (if accompanied by neutropenia or thrombocytopenia or requiring transfusions), refractory anemia with excess blasts (RAEB), refractory anemia with excess blasts in transformation (RAEB-T), and chronic myelomonocytic leukemia (CMMoL). ( 1 )
Dosage and Administration
The recommended starting dose for the first treatment cycle, for all patients regardless of baseline hematology values, is azacitidine for injection 75 mg/m 2 daily for 7 days to be administered by subcutaneous injection or intravenous infusion. Premedicate for nausea and vomiting. ( 2.1 ) Repeat cycles every 4 weeks ( 2.2 ). After 2 cycles, may increase dose to 100 mg/m 2 if no beneficial effect is seen and no toxicity other than nausea and vomiting has occurred ( 2.2 ). Patients should be treated for a minimum of 4 to 6 cycles. Complete or partial response may require additional treatment cycles ( 2.2 ). Continue treatment as long as the patient continues to benefit ( 2.2 ). Monitor patients for hematologic response and for renal toxicity; delay or reduce dosage as appropriate ( 2.3 , 2.4 , 2.5 ).
Warnings and Precautions
Anemia, Neutropenia and Thrombocytopenia: Monitor complete blood counts (CBC) frequently ( 5.1 ). Hepatotoxicity: Patients with severe preexisting hepatic impairment are at higher risk for toxicity ( 5.2 ). Renal Toxicity: Monitor patients with renal impairment for toxicity since azacitidine and its metabolites are primarily excreted by the kidneys ( 5.3 ). Tumor Lysis Syndrome: Azacitidine for injection may cause fatal or serious tumor lysis syndrome, including in patients with MDS. Assess baseline risk and monitor and treat as appropriate ( 5.4 ). Embryo-Fetal Risk: Azacitidine for injection can cause fetal harm. Advise females with reproductive potential of the potential risk to a fetus and to avoid pregnancy ( 5.5 ).
Contraindications
Advanced Malignant Hepatic Tumors ( 4.1 ). Hypersensitivity to Azacitidine or Mannitol ( 4.2 ).
Adverse Reactions
Because clinical trials are conducted under widely varying conditions, adverse reaction rates observed in the clinical trials of a drug cannot be directly compared to rates in the clinical trials of another drug and may not reflect the rates observed in practice. The data described below reflect exposure to azacitidine in 443 MDS patients from 4 clinical studies. Study 1 was a supportive-care controlled trial (subcutaneous administration), Studies 2 and 3 were single arm studies (one with subcutaneous administration and one with intravenous administration), and Study 4 was an international randomized trial (subcutaneous administration) [see Clinical Studies (14) ] . In Studies 1, 2 and 3, a total of 268 patients were exposed to azacitidine, including 116 exposed for 6 cycles (approximately 6 months) or more and 60 exposed for greater than 12 cycles (approximately one year). Azacitidine was studied primarily in supportive-care controlled and uncontrolled trials (n=150 and n=118, respectively). The population in the subcutaneous studies (n=220) was 23 to 92 years old (mean 66.4 years), 68% male, and 94% white, and had MDS or AML. The population in the intravenous study (n=48) was 35 to 81 years old (mean 63.1 years), 65% male, and 100% white. Most patients received average daily doses between 50 and 100 mg/m 2 . In Study 4, a total of 175 patients with higher-risk MDS (primarily RAEB and RAEB-T subtypes) were exposed to azacitidine. Of these patients, 119 were exposed for 6 or more cycles, and 63 for at least 12 cycles. The mean age of this population was 68.1 years (ranging from 42 to 83 years), 74% were male, and 99% were white. Most patients received daily azacitidine doses of 75 mg/m 2 . Table 1 presents adverse reactions occurring in at least 5% of patients treated with azacitidine (subcutaneous) in Studies 1 and 2. It is important to note that duration of exposure was longer for the azacitidine-treated group than for the observation group: patients received azacitidine for injection for a mean of 11.4 months while mean time in the observation arm was 6.1 months. Table 1: Most Frequently Observed Adverse Reactions (≥ 5.0% in All Subcutaneous Azacitidine Treated Patients; Studies 1 and 2) Number (%) of Patients System Organ Class Preferred Term Multiple terms of the same preferred terms for a patient are only counted once within each treatment group. All Azacitidine for Injection Includes adverse reactions from all patients exposed to azacitidine, including patients after crossing over from observations. (N=220) Observation Includes adverse reactions from observation period only; excludes any adverse events after crossover to azacitidine. (N=92) Blood and lymphatic system disorders Anemia 153 (70) 59 (64) Anemia aggravated 12 (6) 5 (5) Febrile neutropenia 36 (16) 4 (4) Leukopenia 106 (48) 27 (29) Neutropenia 71 (32) 10 (11) Thrombocytopenia 144 (66) 42 (46) Gastrointestinal disorders Abdominal tenderness 26 (12) 1 (1) Constipation 74 (34) 6 (7) Diarrhea 80 (36) 13 (14) Gingival bleeding 21 (10) 4 (4) Loose stools 12 (6) 0 Mouth hemorrhage 11 (5) 1 (1) Nausea 155 (71) 16 (17) Stomatitis 17 (8) 0 Vomiting 119 (54) 5 (5) General disorders and administration site conditions Chest pain 36 (16) 5 (5) Injection site bruising 31 (14) 0 Injection site erythema 77 (35) 0 Injection site granuloma 11 (5) 0 Injection site pain 50 (23) 0 Injection site pigmentation changes 11 (5) 0 Injection site pruritus 15 (7) 0 Injection site reaction 30 (14) 0 Injection site swelling 11 (5) 0 Lethargy 17 (8) 2 (2) Malaise 24 (11) 1 (1) Pyrexia 114 (52) 28 (30) Infections and infestations Nasopharyngitis 32 (15) 3 (3) Pneumonia 24 (11) 5 (5) Upper respiratory tract infection 28 (13) 4 (4) Injury, poisoning, and procedural complications Post procedural hemorrhage 13 (6) 1 (1) Metabolism and nutrition disorders Anorexia 45 (21) 6 (7) Musculoskeletal and connective tissue disorders Arthralgia 49 (22) 3 (3) Chest wall pain 11 (5) 0 Myalgia 35 (16) 2 (2) Nervous system disorders Dizziness 41 (19) 5 (5) Headache 48 (22) 10 (11) Psychiatric disorders Anxiety 29 (13) 3 (3) Insomnia 24 (11) 4 (4) Respiratory, thoracic and mediastinal disorders Dyspnea 64 (29) 11 (12) Skin and subcutaneous tissue disorders Dry skin 11 (5) 1 (1) Ecchymosis 67 (31) 14 (15) Erythema 37 (17) 4 (4) Rash 31 (14) 9 (10) Skin nodule 11 (5) 1 (1) Urticaria 13 (6) 1 (1) Vascular disorders Hematoma 19 (9) 0 Hypotension 15 (7) 2 (2) Petechiae 52 (24) 8 (9) Table 2 presents adverse reactions occurring in at least 5% of patients treated with azacitidine in Study 4. Similar to Studies 1 and 2 described above, duration of exposure to treatment with azacitidine was longer (mean 12.2 months) compared with best supportive care (mean 7.5 months). Table 2: Most Frequently Observed Adverse Reactions (≥ 5.0% in the Azacitidine Treated Patients and the Percentage with NCI CTC Grade 3/4 Reactions; Study 4) Number (%) of Patients Any Grade Grade 3/4 System Organ Class Preferred Term Multiple reports of the same preferred term from a patient were only counted once within each treatment. Azacitidine for Injection (N=175) Best Supportive Care Only (N=102) Azacitidine for Injection (N=175) Best Supportive Care Only (N=102) Blood and lymphatic system disorders Anemia 90 (51) 45 (44) 24 (14) 9 (9) Febrile neutropenia 24 (14) 10 (10) 22 (13) 7 (7) Leukopenia 32 (18) 2 (2) 26 (15) 1 (1) Neutropenia 115 (66) 29 (28) 107 (61) 22 (22) Thrombocytopenia 122 (70) 35 (34) 102 (58) 29 (28) Gastrointestinal disorders Abdominal pain 22 (13) 7 (7) 7 (4) 0 Constipation 88 (50) 8 (8) 2 (1) 0 Dyspepsia 10 (6) 2 (2) 0 0 Nausea 84 (48) 12 (12) 3 (2) 0 Vomiting 47 (27) 7 (7) 0 0 General disorders and administration site conditions Fatigue 42 (24) 12 (12) 6 (3) 2 (2) Injection site bruising 9 (5) 0 0 0 Injection site erythema 75 (43) 0 0 0 Injection site hematoma 11 (6) 0 0 0 Injection site induration 9 (5) 0 0 0 Injection site pain 33 (19) 0 0 0 Injection site rash 10 (6) 0 0 0 Injection site reaction 51 (29) 0 1 (1) 0 Pyrexia 53 (30) 18 (18) 8 (5) 1 (1) Infections and infestations Rhinitis 10 (6) 1 (1) 0 0 Upper respiratory tract infection 16 (9) 4 (4) 3 (2) 0 Urinary tract infection 15 (9) 3 (3) 3 (2) 0 Investigations Weight decreased 14 (8) 0 1 (1) 0 Metabolism and nutrition disorders Hypokalemia 11 (6) 3 (3) 3 (2) 3 (3) Nervous system disorders Lethargy 13 (7) 2 (2) 0 1 (1) Psychiatric disorders Anxiety 9 (5) 1 (1) 0 0 Insomnia 15 (9) 3 (3) 0 0 Renal and urinary disorders Hematuria 11 (6) 2 (2) 4 (2) 1 (1) Respiratory, thoracic and mediastinal disorders Dyspnea 26 (15) 5 (5) 6 (3) 2 (2) Dyspnea exertional 9 (5) 1 (1) 0 0 Pharyngolaryngeal pain 11 (6) 3 (3) 0 0 Skin and subcutaneous tissue disorders Erythema 13 (7) 3 (3) 0 0 Petechiae 20 (11) 4 (4) 2 (1) 0 Pruritus 21 (12) 2 (2) 0 0 Rash 18 (10) 1 (1) 0 0 Vascular disorders Hypertension 15 (9) 4 (4) 2 (1) 2 (2) In Studies 1, 2 and 4 with subcutaneous administration of azacitidine, adverse reactions of neutropenia, thrombocytopenia, anemia, nausea, vomiting, diarrhea, constipation, and injection site erythema/reaction tended to increase in incidence with higher doses of azacitidine for injection. Adverse reactions that tended to be more pronounced during the first 1 to 2 cycles of subcutaneous treatment compared with later cycles included thrombocytopenia, neutropenia, anemia, nausea, vomiting, injection site erythema/pain/bruising/reaction, constipation, petechiae, dizziness, anxiety, hypokalemia, and insomnia. There did not appear to be any adverse reactions that increased in frequency over the course of treatment. Overall, adverse reactions were qualitatively similar between the intravenous and subcutaneous studies. Adverse reactions that appeared to be specifically associated with the intravenous route of administration included infusion site reactions (e.g. erythema or pain) and catheter site reactions (e.g. infection, erythema, or hemorrhage). In clinical studies of either subcutaneous or intravenous azacitidine, the following serious adverse reactions occurring at a rate of < 5% (and not described in Tables 1 or 2) were reported: Blood and lymphatic system disorders: agranulocytosis, bone marrow failure, pancytopenia splenomegaly. Cardiac disorders: atrial fibrillation, cardiac failure, cardiac failure congestive, cardio-respiratory arrest, congestive cardiomyopathy. Eye disorders: eye hemorrhage Gastrointestinal disorders: diverticulitis, gastrointestinal hemorrhage, melena, perirectal abscess. General disorders and administration site conditions: catheter site hemorrhage, general physical health deterioration, systemic inflammatory response syndrome. Hepatobiliary disorders: cholecystitis. Immune system disorders: anaphylactic shock, hypersensitivity. Infections and infestations: abscess limb, bacterial infection, cellulitis, blastomycosis, injection site infection, Klebsiella sepsis, neutropenic sepsis, pharyngitis streptococcal, pneumonia Klebsiella, sepsis, septic shock, Staphylococcal bacteremia, Staphylococcal infection, toxoplasmosis. Metabolism and nutrition disorders: dehydration. Musculoskeletal and connective tissue disorders: bone pain aggravated, muscle weakness, neck pain. Neoplasms benign, malignant and unspecified: leukemia cutis. Nervous system disorders: cerebral hemorrhage, convulsions, intracranial hemorrhage. Renal and urinary disorders: loin pain, renal failure. Respiratory, thoracic and mediastinal disorders: hemoptysis, lung infiltration, pneumonitis, respiratory distress. Skin and subcutaneous tissue disorders: pyoderma gangrenosum, rash pruritic, skin induration. Surgical and medical procedures: cholecystectomy. Vascular disorders: orthostatic hypotension.
Medication Information
Warnings and Precautions
Anemia, Neutropenia and Thrombocytopenia: Monitor complete blood counts (CBC) frequently ( 5.1 ). Hepatotoxicity: Patients with severe preexisting hepatic impairment are at higher risk for toxicity ( 5.2 ). Renal Toxicity: Monitor patients with renal impairment for toxicity since azacitidine and its metabolites are primarily excreted by the kidneys ( 5.3 ). Tumor Lysis Syndrome: Azacitidine for injection may cause fatal or serious tumor lysis syndrome, including in patients with MDS. Assess baseline risk and monitor and treat as appropriate ( 5.4 ). Embryo-Fetal Risk: Azacitidine for injection can cause fetal harm. Advise females with reproductive potential of the potential risk to a fetus and to avoid pregnancy ( 5.5 ).
Indications and Usage
Azacitidine for injection is a nucleoside metabolic inhibitor indicated for the treatment of patients with the following FAB myelodysplastic syndrome (MDS) subtypes: Refractory anemia (RA) or refractory anemia with ringed sideroblasts (RARS) (if accompanied by neutropenia or thrombocytopenia or requiring transfusions), refractory anemia with excess blasts (RAEB), refractory anemia with excess blasts in transformation (RAEB-T), and chronic myelomonocytic leukemia (CMMoL). ( 1 )
Dosage and Administration
The recommended starting dose for the first treatment cycle, for all patients regardless of baseline hematology values, is azacitidine for injection 75 mg/m 2 daily for 7 days to be administered by subcutaneous injection or intravenous infusion. Premedicate for nausea and vomiting. ( 2.1 ) Repeat cycles every 4 weeks ( 2.2 ). After 2 cycles, may increase dose to 100 mg/m 2 if no beneficial effect is seen and no toxicity other than nausea and vomiting has occurred ( 2.2 ). Patients should be treated for a minimum of 4 to 6 cycles. Complete or partial response may require additional treatment cycles ( 2.2 ). Continue treatment as long as the patient continues to benefit ( 2.2 ). Monitor patients for hematologic response and for renal toxicity; delay or reduce dosage as appropriate ( 2.3 , 2.4 , 2.5 ).
Contraindications
Advanced Malignant Hepatic Tumors ( 4.1 ). Hypersensitivity to Azacitidine or Mannitol ( 4.2 ).
Adverse Reactions
Because clinical trials are conducted under widely varying conditions, adverse reaction rates observed in the clinical trials of a drug cannot be directly compared to rates in the clinical trials of another drug and may not reflect the rates observed in practice. The data described below reflect exposure to azacitidine in 443 MDS patients from 4 clinical studies. Study 1 was a supportive-care controlled trial (subcutaneous administration), Studies 2 and 3 were single arm studies (one with subcutaneous administration and one with intravenous administration), and Study 4 was an international randomized trial (subcutaneous administration) [see Clinical Studies (14) ] . In Studies 1, 2 and 3, a total of 268 patients were exposed to azacitidine, including 116 exposed for 6 cycles (approximately 6 months) or more and 60 exposed for greater than 12 cycles (approximately one year). Azacitidine was studied primarily in supportive-care controlled and uncontrolled trials (n=150 and n=118, respectively). The population in the subcutaneous studies (n=220) was 23 to 92 years old (mean 66.4 years), 68% male, and 94% white, and had MDS or AML. The population in the intravenous study (n=48) was 35 to 81 years old (mean 63.1 years), 65% male, and 100% white. Most patients received average daily doses between 50 and 100 mg/m 2 . In Study 4, a total of 175 patients with higher-risk MDS (primarily RAEB and RAEB-T subtypes) were exposed to azacitidine. Of these patients, 119 were exposed for 6 or more cycles, and 63 for at least 12 cycles. The mean age of this population was 68.1 years (ranging from 42 to 83 years), 74% were male, and 99% were white. Most patients received daily azacitidine doses of 75 mg/m 2 . Table 1 presents adverse reactions occurring in at least 5% of patients treated with azacitidine (subcutaneous) in Studies 1 and 2. It is important to note that duration of exposure was longer for the azacitidine-treated group than for the observation group: patients received azacitidine for injection for a mean of 11.4 months while mean time in the observation arm was 6.1 months. Table 1: Most Frequently Observed Adverse Reactions (≥ 5.0% in All Subcutaneous Azacitidine Treated Patients; Studies 1 and 2) Number (%) of Patients System Organ Class Preferred Term Multiple terms of the same preferred terms for a patient are only counted once within each treatment group. All Azacitidine for Injection Includes adverse reactions from all patients exposed to azacitidine, including patients after crossing over from observations. (N=220) Observation Includes adverse reactions from observation period only; excludes any adverse events after crossover to azacitidine. (N=92) Blood and lymphatic system disorders Anemia 153 (70) 59 (64) Anemia aggravated 12 (6) 5 (5) Febrile neutropenia 36 (16) 4 (4) Leukopenia 106 (48) 27 (29) Neutropenia 71 (32) 10 (11) Thrombocytopenia 144 (66) 42 (46) Gastrointestinal disorders Abdominal tenderness 26 (12) 1 (1) Constipation 74 (34) 6 (7) Diarrhea 80 (36) 13 (14) Gingival bleeding 21 (10) 4 (4) Loose stools 12 (6) 0 Mouth hemorrhage 11 (5) 1 (1) Nausea 155 (71) 16 (17) Stomatitis 17 (8) 0 Vomiting 119 (54) 5 (5) General disorders and administration site conditions Chest pain 36 (16) 5 (5) Injection site bruising 31 (14) 0 Injection site erythema 77 (35) 0 Injection site granuloma 11 (5) 0 Injection site pain 50 (23) 0 Injection site pigmentation changes 11 (5) 0 Injection site pruritus 15 (7) 0 Injection site reaction 30 (14) 0 Injection site swelling 11 (5) 0 Lethargy 17 (8) 2 (2) Malaise 24 (11) 1 (1) Pyrexia 114 (52) 28 (30) Infections and infestations Nasopharyngitis 32 (15) 3 (3) Pneumonia 24 (11) 5 (5) Upper respiratory tract infection 28 (13) 4 (4) Injury, poisoning, and procedural complications Post procedural hemorrhage 13 (6) 1 (1) Metabolism and nutrition disorders Anorexia 45 (21) 6 (7) Musculoskeletal and connective tissue disorders Arthralgia 49 (22) 3 (3) Chest wall pain 11 (5) 0 Myalgia 35 (16) 2 (2) Nervous system disorders Dizziness 41 (19) 5 (5) Headache 48 (22) 10 (11) Psychiatric disorders Anxiety 29 (13) 3 (3) Insomnia 24 (11) 4 (4) Respiratory, thoracic and mediastinal disorders Dyspnea 64 (29) 11 (12) Skin and subcutaneous tissue disorders Dry skin 11 (5) 1 (1) Ecchymosis 67 (31) 14 (15) Erythema 37 (17) 4 (4) Rash 31 (14) 9 (10) Skin nodule 11 (5) 1 (1) Urticaria 13 (6) 1 (1) Vascular disorders Hematoma 19 (9) 0 Hypotension 15 (7) 2 (2) Petechiae 52 (24) 8 (9) Table 2 presents adverse reactions occurring in at least 5% of patients treated with azacitidine in Study 4. Similar to Studies 1 and 2 described above, duration of exposure to treatment with azacitidine was longer (mean 12.2 months) compared with best supportive care (mean 7.5 months). Table 2: Most Frequently Observed Adverse Reactions (≥ 5.0% in the Azacitidine Treated Patients and the Percentage with NCI CTC Grade 3/4 Reactions; Study 4) Number (%) of Patients Any Grade Grade 3/4 System Organ Class Preferred Term Multiple reports of the same preferred term from a patient were only counted once within each treatment. Azacitidine for Injection (N=175) Best Supportive Care Only (N=102) Azacitidine for Injection (N=175) Best Supportive Care Only (N=102) Blood and lymphatic system disorders Anemia 90 (51) 45 (44) 24 (14) 9 (9) Febrile neutropenia 24 (14) 10 (10) 22 (13) 7 (7) Leukopenia 32 (18) 2 (2) 26 (15) 1 (1) Neutropenia 115 (66) 29 (28) 107 (61) 22 (22) Thrombocytopenia 122 (70) 35 (34) 102 (58) 29 (28) Gastrointestinal disorders Abdominal pain 22 (13) 7 (7) 7 (4) 0 Constipation 88 (50) 8 (8) 2 (1) 0 Dyspepsia 10 (6) 2 (2) 0 0 Nausea 84 (48) 12 (12) 3 (2) 0 Vomiting 47 (27) 7 (7) 0 0 General disorders and administration site conditions Fatigue 42 (24) 12 (12) 6 (3) 2 (2) Injection site bruising 9 (5) 0 0 0 Injection site erythema 75 (43) 0 0 0 Injection site hematoma 11 (6) 0 0 0 Injection site induration 9 (5) 0 0 0 Injection site pain 33 (19) 0 0 0 Injection site rash 10 (6) 0 0 0 Injection site reaction 51 (29) 0 1 (1) 0 Pyrexia 53 (30) 18 (18) 8 (5) 1 (1) Infections and infestations Rhinitis 10 (6) 1 (1) 0 0 Upper respiratory tract infection 16 (9) 4 (4) 3 (2) 0 Urinary tract infection 15 (9) 3 (3) 3 (2) 0 Investigations Weight decreased 14 (8) 0 1 (1) 0 Metabolism and nutrition disorders Hypokalemia 11 (6) 3 (3) 3 (2) 3 (3) Nervous system disorders Lethargy 13 (7) 2 (2) 0 1 (1) Psychiatric disorders Anxiety 9 (5) 1 (1) 0 0 Insomnia 15 (9) 3 (3) 0 0 Renal and urinary disorders Hematuria 11 (6) 2 (2) 4 (2) 1 (1) Respiratory, thoracic and mediastinal disorders Dyspnea 26 (15) 5 (5) 6 (3) 2 (2) Dyspnea exertional 9 (5) 1 (1) 0 0 Pharyngolaryngeal pain 11 (6) 3 (3) 0 0 Skin and subcutaneous tissue disorders Erythema 13 (7) 3 (3) 0 0 Petechiae 20 (11) 4 (4) 2 (1) 0 Pruritus 21 (12) 2 (2) 0 0 Rash 18 (10) 1 (1) 0 0 Vascular disorders Hypertension 15 (9) 4 (4) 2 (1) 2 (2) In Studies 1, 2 and 4 with subcutaneous administration of azacitidine, adverse reactions of neutropenia, thrombocytopenia, anemia, nausea, vomiting, diarrhea, constipation, and injection site erythema/reaction tended to increase in incidence with higher doses of azacitidine for injection. Adverse reactions that tended to be more pronounced during the first 1 to 2 cycles of subcutaneous treatment compared with later cycles included thrombocytopenia, neutropenia, anemia, nausea, vomiting, injection site erythema/pain/bruising/reaction, constipation, petechiae, dizziness, anxiety, hypokalemia, and insomnia. There did not appear to be any adverse reactions that increased in frequency over the course of treatment. Overall, adverse reactions were qualitatively similar between the intravenous and subcutaneous studies. Adverse reactions that appeared to be specifically associated with the intravenous route of administration included infusion site reactions (e.g. erythema or pain) and catheter site reactions (e.g. infection, erythema, or hemorrhage). In clinical studies of either subcutaneous or intravenous azacitidine, the following serious adverse reactions occurring at a rate of < 5% (and not described in Tables 1 or 2) were reported: Blood and lymphatic system disorders: agranulocytosis, bone marrow failure, pancytopenia splenomegaly. Cardiac disorders: atrial fibrillation, cardiac failure, cardiac failure congestive, cardio-respiratory arrest, congestive cardiomyopathy. Eye disorders: eye hemorrhage Gastrointestinal disorders: diverticulitis, gastrointestinal hemorrhage, melena, perirectal abscess. General disorders and administration site conditions: catheter site hemorrhage, general physical health deterioration, systemic inflammatory response syndrome. Hepatobiliary disorders: cholecystitis. Immune system disorders: anaphylactic shock, hypersensitivity. Infections and infestations: abscess limb, bacterial infection, cellulitis, blastomycosis, injection site infection, Klebsiella sepsis, neutropenic sepsis, pharyngitis streptococcal, pneumonia Klebsiella, sepsis, septic shock, Staphylococcal bacteremia, Staphylococcal infection, toxoplasmosis. Metabolism and nutrition disorders: dehydration. Musculoskeletal and connective tissue disorders: bone pain aggravated, muscle weakness, neck pain. Neoplasms benign, malignant and unspecified: leukemia cutis. Nervous system disorders: cerebral hemorrhage, convulsions, intracranial hemorrhage. Renal and urinary disorders: loin pain, renal failure. Respiratory, thoracic and mediastinal disorders: hemoptysis, lung infiltration, pneumonitis, respiratory distress. Skin and subcutaneous tissue disorders: pyoderma gangrenosum, rash pruritic, skin induration. Surgical and medical procedures: cholecystectomy. Vascular disorders: orthostatic hypotension.
Description
Azacitidine for injection is a nucleoside metabolic inhibitor indicated for the treatment of patients with the following FAB myelodysplastic syndrome (MDS) subtypes: Refractory anemia (RA) or refractory anemia with ringed sideroblasts (RARS) (if accompanied by neutropenia or thrombocytopenia or requiring transfusions), refractory anemia with excess blasts (RAEB), refractory anemia with excess blasts in transformation (RAEB-T), and chronic myelomonocytic leukemia (CMMoL). ( 1 )
Section 42229-5
Preparation for Immediate Subcutaneous Administration: For doses requiring more than 1 vial, divide the dose equally between the syringes (e.g., dose 150 mg = 6 mL, 2 syringes with 3 mL in each syringe) and inject into two separate sites. Due to retention in the vial and needle, it may not be feasible to withdraw all of the suspension from the vial. The product may be held at room temperature for up to 1 hour, but must be administered within 1 hour after reconstitution.
Section 44425-7
Storage
Store unreconstituted vials at 25° C (77° F); excursions permitted to 15°-30° C (59°-86° F) (See USP Controlled Room Temperature).
10 Overdosage
One case of overdose with azacitidine was reported during clinical trials. A patient experienced diarrhea, nausea, and vomiting after receiving a single intravenous dose of approximately 290 mg/m2, almost 4 times the recommended starting dose. The events resolved without sequelae, and the correct dose was resumed the following day. In the event of overdosage, the patient should be monitored with appropriate blood counts and should receive supportive treatment, as necessary. There is no known specific antidote for azacitidine overdosage.
15 References
- "OSHA Hazardous Drugs." OSHA. http://www.osha.gov/SLTC/hazardousdrugs/index.html
11 Description
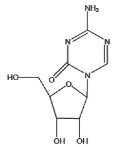
Azacitidine for injection contains azacitidine, which is a pyrimidine nucleoside analog of cytidine. Azacitidine is 4-amino-1-β-D-ribofuranosyl-s-triazin-2(1H)-one. The structural formula is as follows:
The empirical formula is C8H12N4O5. The molecular weight is 244. Azacitidine is a white to off-white solid. Azacitidine was found to be insoluble in acetone, ethanol, and methyl ethyl ketone; slightly soluble in ethanol/water (50/50), propylene glycol, and polyethylene glycol; sparingly soluble in water, water saturated octanol, 5% dextrose in water, N-methyl-2-pyrrolidone, normal saline and 5% Tween 80 in water; and soluble in dimethylsulfoxide (DMSO).
The finished product is supplied in a sterile form for reconstitution as a suspension for subcutaneous injection or reconstitution as a solution with further dilution for intravenous infusion. Vials of azacitidine for injection contain 100 mg of azacitidine and 100 mg mannitol as a sterile lyophilized powder.
8.4 Pediatric Use
Safety and effectiveness in pediatric patients have not been established.
8.5 Geriatric Use
Of the total number of patients in Studies 1, 2 and 3, 62% were 65 years and older and 21% were 75 years and older. No overall differences in effectiveness were observed between these patients and younger patients. In addition there were no relevant differences in the frequency of adverse reactions observed in patients 65 years and older compared to younger patients.
Of the 179 patients randomized to azacitidine in Study 4, 68% were 65 years and older and 21% were 75 years and older. Survival data for patients 65 years and older were consistent with overall survival results. The majority of adverse reactions occurred at similar frequencies in patients < 65 years of age and patients 65 years of age and older.
Elderly patients are more likely to have decreased renal function. Monitor renal function in these patients [see Dosage and Administration (2.5) and Warnings and Precautions (5.3)].
5.3 Renal Toxicity
Renal toxicity ranging from elevated serum creatinine to renal failure and death have been reported in patients treated with intravenous azacitidine in combination with other chemotherapeutic agents for nonMDS conditions. In addition, renal tubular acidosis, defined as a fall in serum bicarbonate to <20 mEq/L in association with an alkaline urine and hypokalemia (serum potassium <3 mEq/L) developed in 5 patients with CML treated with azacitidine and etoposide. Monitor serum creatinine and electrolytes prior to initiation of therapy and with each cycle. If unexplained reductions in serum bicarbonate <20 mEq/L or elevations of BUN or serum creatinine occur, reduce or hold the dose [see Dosage and Administration (2.4)].
Patients with renal impairment may be at increased risk for renal toxicity. Also, azacitidine and its metabolites are primarily excreted by the kidney. Therefore, monitor these patients closely for toxicity [see Dosage and Administration (2.4, 2.5)]. Patients with MDS and renal impairment were excluded from the clinical studies.
4 Contraindications
6 Adverse Reactions
The following adverse reactions are described in other labeling sections:
- Anemia, Neutropenia and Thrombocytopenia [see Warnings and Precautions (5.1)]
- Hepatotoxicity in Patients with Severe Pre-existing Hepatic Impairment [see Warnings and Precautions (5.2)]
- Renal Toxicity [see Warnings and Precautions (5.3)]
- Tumor Lysis Syndrome [see Warnings and Precautions (5.4)]
- Embryo-Fetal Risk [see Warnings and Precautions (5.5)]
Most Commonly Occurring Adverse Reactions (Subcutaneous or Intravenous Route): nausea, anemia, thrombocytopenia, vomiting, pyrexia, leukopenia, diarrhea, injection site erythema, constipation, neutropenia, ecchymosis. The most common adverse reactions by intravenous route also included petechiae, rigors, weakness and hypokalemia.
Adverse Reactions Most Frequently (>2%) Resulting in Clinical Intervention (Subcutaneous or Intravenous Route):
Discontinuation: leukopenia, thrombocytopenia, neutropenia.
Dose Held: leukopenia, neutropenia, thrombocytopenia, pyrexia, pneumonia, febrile neutropenia.
Dose Reduced: leukopenia, neutropenia, thrombocytopenia.
12.3 Pharmacokinetics
The pharmacokinetics of azacitidine were studied in 6 MDS patients following a single 75 mg/m2 subcutaneous dose and a single 75 mg/m2 intravenous dose.
5.5 Embryo Fetal Risk
Based on the mechanism of action and findings in animals, azacitidine for injection can cause fetal harm when administered to a pregnant woman. Azacitidine administered to pregnant rats via a single intraperitoneal (IP) dose approximating 8% of the recommended human daily dose caused fetal death and anomalies [see Use in Specific Populations (8.1)].
Advise females with reproductive potential to avoid pregnancy during treatment with azacitidine for injection [see Use in Specific Populations (8.3)]. Men should be advised to not father a child while receiving treatment with azacitidine for injection.
1 Indications and Usage
Azacitidine for injection is a nucleoside metabolic inhibitor indicated for the treatment of patients with the following FAB myelodysplastic syndrome (MDS) subtypes: Refractory anemia (RA) or refractory anemia with ringed sideroblasts (RARS) (if accompanied by neutropenia or thrombocytopenia or requiring transfusions), refractory anemia with excess blasts (RAEB), refractory anemia with excess blasts in transformation (RAEB-T), and chronic myelomonocytic leukemia (CMMoL). (1)
12.1 Mechanism of Action
Azacitidine for injection is a pyrimidine nucleoside analog of cytidine. Azacitidine for injection is believed to exert its antineoplastic effects by causing hypomethylation of DNA and direct cytotoxicity on abnormal hematopoietic cells in the bone marrow. The concentration of azacitidine required for maximum inhibition of DNA methylation in vitro does not cause major suppression of DNA synthesis. Hypomethylation may restore normal function to genes that are critical for differentiation and proliferation. The cytotoxic effects of azacitidine cause the death of rapidly dividing cells, including cancer cells that are no longer responsive to normal growth control mechanisms. Non-proliferating cells are relatively insensitive to azacitidine.
5.4 Tumor Lysis Syndrome
Azacitidine for injection may cause fatal or serious tumor lysis syndrome, including in patients with MDS. Tumor lysis syndrome may occur despite concomitant use of allopurinol. Assess baseline risk and monitor and treat as appropriate.
2.1 First Treatment Cycle
The recommended starting dose for the first treatment cycle, for all patients regardless of baseline hematology laboratory values, is 75 mg/m2 subcutaneously or intravenously, daily for 7 days. Premedicate patients for nausea and vomiting.
Obtain complete blood counts, liver chemistries and serum creatinine prior to the first dose.
5 Warnings and Precautions
- Anemia, Neutropenia and Thrombocytopenia: Monitor complete blood counts (CBC) frequently (5.1).
- Hepatotoxicity: Patients with severe preexisting hepatic impairment are at higher risk for toxicity (5.2).
- Renal Toxicity: Monitor patients with renal impairment for toxicity since azacitidine and its metabolites are primarily excreted by the kidneys (5.3).
- Tumor Lysis Syndrome: Azacitidine for injection may cause fatal or serious tumor lysis syndrome, including in patients with MDS. Assess baseline risk and monitor and treat as appropriate (5.4).
- Embryo-Fetal Risk: Azacitidine for injection can cause fetal harm. Advise females with reproductive potential of the potential risk to a fetus and to avoid pregnancy (5.5).
2 Dosage and Administration
- The recommended starting dose for the first treatment cycle, for all patients regardless of baseline hematology values, is azacitidine for injection 75 mg/m2 daily for 7 days to be administered by subcutaneous injection or intravenous infusion. Premedicate for nausea and vomiting. (2.1)
- Repeat cycles every 4 weeks (2.2). After 2 cycles, may increase dose to 100 mg/m2 if no beneficial effect is seen and no toxicity other than nausea and vomiting has occurred (2.2). Patients should be treated for a minimum of 4 to 6 cycles. Complete or partial response may require additional treatment cycles (2.2).
- Continue treatment as long as the patient continues to benefit (2.2).
- Monitor patients for hematologic response and for renal toxicity; delay or reduce dosage as appropriate (2.3, 2.4, 2.5).
3 Dosage Forms and Strengths
Azacitidine for injection is supplied as lyophilized powder in 100 mg single-dose vials.
6.2 Postmarketing Experience
The following adverse reactions have been identified during postmarketing use of azacitidine. Because these reactions are reported voluntarily from a population of uncertain size, it is not always possible to reliably estimate their frequency or establish a causal relationship to drug exposure.
-
-Interstitial lung disease
-
-Tumor lysis syndrome
-
-Injection site necrosis
-
-Sweet's syndrome (acute febrile neutrophilic dermatosis)
-
-Necrotizing fasciitis (including fatal cases)
-
-Differentiation syndrome
2.5 Use in Geriatric Patients
Azacitidine and its metabolites are known to be substantially excreted by the kidney, and the risk of toxic reactions to this drug may be greater in patients with impaired renal function. Because elderly patients are more likely to have decreased renal function, select the dose carefully and monitor renal function [see Warnings and Precautions (5.3) and Use in Specific Populations (8.5)].
8 Use in Specific Populations
- Lactation: Discontinue nursing taking into consideration the importance of drug to mother (8.2).
2.2 Subsequent Treatment Cycles
Repeat cycles every 4 weeks. The dose may be increased to 100 mg/m2 if no beneficial effect is seen after 2 treatment cycles and if no toxicity other than nausea and vomiting has occurred. It is recommended that patients be treated for a minimum of 4 to 6 cycles. However, complete or partial response may require additional treatment cycles. Treatment may be continued as long as the patient continues to benefit.
Monitor patients for hematologic response and renal toxicities [see Warnings and Precautions (5.3)], and delay or reduce dosage if necessary as described below.
1.1 Myelodysplastic Syndromes (mds)
Azacitidine for injection is indicated for treatment of patients with the following French-American-British (FAB) myelodysplastic syndrome subtypes: refractory anemia (RA) or refractory anemia with ringed sideroblasts (if accompanied by neutropenia or thrombocytopenia or requiring transfusions), refractory anemia with excess blasts (RAEB), refractory anemia with excess blasts in transformation (RAEB-T), and chronic myelomonocytic leukemia (CMMoL).
4.1 Advanced Malignant Hepatic Tumors
Azacitidine for injection is contraindicated in patients with advanced malignant hepatic tumors [see Warnings and Precautions (5.2)].
6.1 Adverse Reactions in Clinical Trials
Because clinical trials are conducted under widely varying conditions, adverse reaction rates observed in the clinical trials of a drug cannot be directly compared to rates in the clinical trials of another drug and may not reflect the rates observed in practice.
The data described below reflect exposure to azacitidine in 443 MDS patients from 4 clinical studies. Study 1 was a supportive-care controlled trial (subcutaneous administration), Studies 2 and 3 were single arm studies (one with subcutaneous administration and one with intravenous administration), and Study 4 was an international randomized trial (subcutaneous administration) [see Clinical Studies (14)].
In Studies 1, 2 and 3, a total of 268 patients were exposed to azacitidine, including 116 exposed for 6 cycles (approximately 6 months) or more and 60 exposed for greater than 12 cycles (approximately one year). Azacitidine was studied primarily in supportive-care controlled and uncontrolled trials (n=150 and n=118, respectively). The population in the subcutaneous studies (n=220) was 23 to 92 years old (mean 66.4 years), 68% male, and 94% white, and had MDS or AML. The population in the intravenous study (n=48) was 35 to 81 years old (mean 63.1 years), 65% male, and 100% white. Most patients received average daily doses between 50 and 100 mg/m2.
In Study 4, a total of 175 patients with higher-risk MDS (primarily RAEB and RAEB-T subtypes) were exposed to azacitidine. Of these patients, 119 were exposed for 6 or more cycles, and 63 for at least 12 cycles. The mean age of this population was 68.1 years (ranging from 42 to 83 years), 74% were male, and 99% were white. Most patients received daily azacitidine doses of 75 mg/m2.
Table 1 presents adverse reactions occurring in at least 5% of patients treated with azacitidine (subcutaneous) in Studies 1 and 2. It is important to note that duration of exposure was longer for the azacitidine-treated group than for the observation group: patients received azacitidine for injection for a mean of 11.4 months while mean time in the observation arm was 6.1 months.
| Number (%) of Patients | ||
|---|---|---|
| System Organ Class Preferred Term Multiple terms of the same preferred terms for a patient are only counted once within each treatment group.
|
All Azacitidine for Injection Includes adverse reactions from all patients exposed to azacitidine, including patients after crossing over from observations.
(N=220) |
Observation Includes adverse reactions from observation period only; excludes any adverse events after crossover to azacitidine.
(N=92) |
| Blood and lymphatic system disorders | ||
| Anemia | 153 (70) | 59 (64) |
| Anemia aggravated | 12 (6) | 5 (5) |
| Febrile neutropenia | 36 (16) | 4 (4) |
| Leukopenia | 106 (48) | 27 (29) |
| Neutropenia | 71 (32) | 10 (11) |
| Thrombocytopenia | 144 (66) | 42 (46) |
| Gastrointestinal disorders | ||
| Abdominal tenderness | 26 (12) | 1 (1) |
| Constipation | 74 (34) | 6 (7) |
| Diarrhea | 80 (36) | 13 (14) |
| Gingival bleeding | 21 (10) | 4 (4) |
| Loose stools | 12 (6) | 0 |
| Mouth hemorrhage | 11 (5) | 1 (1) |
| Nausea | 155 (71) | 16 (17) |
| Stomatitis | 17 (8) | 0 |
| Vomiting | 119 (54) | 5 (5) |
| General disorders and administration site conditions | ||
| Chest pain | 36 (16) | 5 (5) |
| Injection site bruising | 31 (14) | 0 |
| Injection site erythema | 77 (35) | 0 |
| Injection site granuloma | 11 (5) | 0 |
| Injection site pain | 50 (23) | 0 |
| Injection site pigmentation changes | 11 (5) | 0 |
| Injection site pruritus | 15 (7) | 0 |
| Injection site reaction | 30 (14) | 0 |
| Injection site swelling | 11 (5) | 0 |
| Lethargy | 17 (8) | 2 (2) |
| Malaise | 24 (11) | 1 (1) |
| Pyrexia | 114 (52) | 28 (30) |
| Infections and infestations | ||
| Nasopharyngitis | 32 (15) | 3 (3) |
| Pneumonia | 24 (11) | 5 (5) |
| Upper respiratory tract infection | 28 (13) | 4 (4) |
| Injury, poisoning, and procedural complications | ||
| Post procedural hemorrhage | 13 (6) | 1 (1) |
| Metabolism and nutrition disorders | ||
| Anorexia | 45 (21) | 6 (7) |
| Musculoskeletal and connective tissue disorders | ||
| Arthralgia | 49 (22) | 3 (3) |
| Chest wall pain | 11 (5) | 0 |
| Myalgia | 35 (16) | 2 (2) |
| Nervous system disorders | ||
| Dizziness | 41 (19) | 5 (5) |
| Headache | 48 (22) | 10 (11) |
| Psychiatric disorders | ||
| Anxiety | 29 (13) | 3 (3) |
| Insomnia | 24 (11) | 4 (4) |
| Respiratory, thoracic and mediastinal disorders | ||
| Dyspnea | 64 (29) | 11 (12) |
| Skin and subcutaneous tissue disorders | ||
| Dry skin | 11 (5) | 1 (1) |
| Ecchymosis | 67 (31) | 14 (15) |
| Erythema | 37 (17) | 4 (4) |
| Rash | 31 (14) | 9 (10) |
| Skin nodule | 11 (5) | 1 (1) |
| Urticaria | 13 (6) | 1 (1) |
| Vascular disorders | ||
| Hematoma | 19 (9) | 0 |
| Hypotension | 15 (7) | 2 (2) |
| Petechiae | 52 (24) | 8 (9) |
Table 2 presents adverse reactions occurring in at least 5% of patients treated with azacitidine in Study 4. Similar to Studies 1 and 2 described above, duration of exposure to treatment with azacitidine was longer (mean 12.2 months) compared with best supportive care (mean 7.5 months).
| Number (%) of Patients | ||||
|---|---|---|---|---|
| Any Grade | Grade 3/4 | |||
| System Organ Class Preferred Term Multiple reports of the same preferred term from a patient were only counted once within each treatment.
|
Azacitidine for Injection (N=175) |
Best Supportive Care Only (N=102) |
Azacitidine for Injection (N=175) |
Best Supportive Care Only (N=102) |
| Blood and lymphatic system disorders | ||||
| Anemia | 90 (51) | 45 (44) | 24 (14) | 9 (9) |
| Febrile neutropenia | 24 (14) | 10 (10) | 22 (13) | 7 (7) |
| Leukopenia | 32 (18) | 2 (2) | 26 (15) | 1 (1) |
| Neutropenia | 115 (66) | 29 (28) | 107 (61) | 22 (22) |
| Thrombocytopenia | 122 (70) | 35 (34) | 102 (58) | 29 (28) |
| Gastrointestinal disorders | ||||
| Abdominal pain | 22 (13) | 7 (7) | 7 (4) | 0 |
| Constipation | 88 (50) | 8 (8) | 2 (1) | 0 |
| Dyspepsia | 10 (6) | 2 (2) | 0 | 0 |
| Nausea | 84 (48) | 12 (12) | 3 (2) | 0 |
| Vomiting | 47 (27) | 7 (7) | 0 | 0 |
| General disorders and administration site conditions | ||||
| Fatigue | 42 (24) | 12 (12) | 6 (3) | 2 (2) |
| Injection site bruising | 9 (5) | 0 | 0 | 0 |
| Injection site erythema | 75 (43) | 0 | 0 | 0 |
| Injection site hematoma | 11 (6) | 0 | 0 | 0 |
| Injection site induration | 9 (5) | 0 | 0 | 0 |
| Injection site pain | 33 (19) | 0 | 0 | 0 |
| Injection site rash | 10 (6) | 0 | 0 | 0 |
| Injection site reaction | 51 (29) | 0 | 1 (1) | 0 |
| Pyrexia | 53 (30) | 18 (18) | 8 (5) | 1 (1) |
| Infections and infestations | ||||
| Rhinitis | 10 (6) | 1 (1) | 0 | 0 |
| Upper respiratory tract infection | 16 (9) | 4 (4) | 3 (2) | 0 |
| Urinary tract infection | 15 (9) | 3 (3) | 3 (2) | 0 |
| Investigations | ||||
| Weight decreased | 14 (8) | 0 | 1 (1) | 0 |
| Metabolism and nutrition disorders | ||||
| Hypokalemia | 11 (6) | 3 (3) | 3 (2) | 3 (3) |
| Nervous system disorders | ||||
| Lethargy | 13 (7) | 2 (2) | 0 | 1 (1) |
| Psychiatric disorders | ||||
| Anxiety | 9 (5) | 1 (1) | 0 | 0 |
| Insomnia | 15 (9) | 3 (3) | 0 | 0 |
| Renal and urinary disorders | ||||
| Hematuria | 11 (6) | 2 (2) | 4 (2) | 1 (1) |
| Respiratory, thoracic and mediastinal disorders | ||||
| Dyspnea | 26 (15) | 5 (5) | 6 (3) | 2 (2) |
| Dyspnea exertional | 9 (5) | 1 (1) | 0 | 0 |
| Pharyngolaryngeal pain | 11 (6) | 3 (3) | 0 | 0 |
| Skin and subcutaneous tissue disorders | ||||
| Erythema | 13 (7) | 3 (3) | 0 | 0 |
| Petechiae | 20 (11) | 4 (4) | 2 (1) | 0 |
| Pruritus | 21 (12) | 2 (2) | 0 | 0 |
| Rash | 18 (10) | 1 (1) | 0 | 0 |
| Vascular disorders | ||||
| Hypertension | 15 (9) | 4 (4) | 2 (1) | 2 (2) |
In Studies 1, 2 and 4 with subcutaneous administration of azacitidine, adverse reactions of neutropenia, thrombocytopenia, anemia, nausea, vomiting, diarrhea, constipation, and injection site erythema/reaction tended to increase in incidence with higher doses of azacitidine for injection.
Adverse reactions that tended to be more pronounced during the first 1 to 2 cycles of subcutaneous treatment compared with later cycles included thrombocytopenia, neutropenia, anemia, nausea, vomiting, injection site erythema/pain/bruising/reaction, constipation, petechiae, dizziness, anxiety, hypokalemia, and insomnia. There did not appear to be any adverse reactions that increased in frequency over the course of treatment.
Overall, adverse reactions were qualitatively similar between the intravenous and subcutaneous studies. Adverse reactions that appeared to be specifically associated with the intravenous route of administration included infusion site reactions (e.g. erythema or pain) and catheter site reactions (e.g. infection, erythema, or hemorrhage).
In clinical studies of either subcutaneous or intravenous azacitidine, the following serious adverse reactions occurring at a rate of < 5% (and not described in Tables 1 or 2) were reported:
Blood and lymphatic system disorders: agranulocytosis, bone marrow failure, pancytopenia splenomegaly.
Cardiac disorders: atrial fibrillation, cardiac failure, cardiac failure congestive, cardio-respiratory arrest, congestive cardiomyopathy.
Eye disorders: eye hemorrhage
Gastrointestinal disorders: diverticulitis, gastrointestinal hemorrhage, melena, perirectal abscess.
General disorders and administration site conditions: catheter site hemorrhage, general physical health deterioration, systemic inflammatory response syndrome.
Hepatobiliary disorders: cholecystitis.
Immune system disorders: anaphylactic shock, hypersensitivity.
Infections and infestations: abscess limb, bacterial infection, cellulitis, blastomycosis, injection site infection, Klebsiella sepsis, neutropenic sepsis, pharyngitis streptococcal, pneumonia Klebsiella, sepsis, septic shock, Staphylococcal bacteremia, Staphylococcal infection, toxoplasmosis.
Metabolism and nutrition disorders: dehydration.
Musculoskeletal and connective tissue disorders: bone pain aggravated, muscle weakness, neck pain.
Neoplasms benign, malignant and unspecified: leukemia cutis.
Nervous system disorders: cerebral hemorrhage, convulsions, intracranial hemorrhage.
Renal and urinary disorders: loin pain, renal failure.
Respiratory, thoracic and mediastinal disorders: hemoptysis, lung infiltration, pneumonitis, respiratory distress.
Skin and subcutaneous tissue disorders: pyoderma gangrenosum, rash pruritic, skin induration.
Surgical and medical procedures: cholecystectomy.
Vascular disorders: orthostatic hypotension.
2.6 Preparation of Azacitidine for Injection
Azacitidine for injection is a cytotoxic drug. Follow applicable special handling and disposal procedures.1
The azacitidine for injection vial is single-dose and does not contain any preservatives. Discard unused portions of each vial properly [see How Supplied/Storage and Handling (16)]. Do not save any unused portions for later administration.
5.1 Anemia, Neutropenia and Thrombocytopenia
Azacitidine causes anemia, neutropenia and thrombocytopenia. Monitor complete blood counts frequently for response and/or toxicity, at a minimum, prior to each dosing cycle. After administration of the recommended dosage for the first cycle, adjust dosage for subsequent cycles based on nadir counts and hematologic response [see Dosage and Administration (2.3)].
Principal Display Panel 100 Mg Vial Carton
NDC 43817-906-01
Azacitidine
for Injection
100 mg/vial
For Subcutaneous And
Intravenous Use Only
Single-Dose Vial
breckenridge
A Towa
Company
Rx Only
2.8 Instructions for Intravenous Administration
Reconstitute the appropriate number of azacitidine for injection vials to achieve the desired dose. Reconstitute each vial with 10 mL sterile water for injection. Vigorously shake or roll the vial until all solids are dissolved. The resulting solution will contain azacitidine 10 mg/mL. The solution should be clear. Parenteral drug product should be inspected visually for particulate matter and discoloration prior to administration, whenever solution and container permit.
Withdraw the required amount of azacitidine for injection solution to deliver the desired dose and inject into a 50 -100 mL infusion bag of either 0.9% Sodium Chloride Injection or Lactated Ringer's Injection.
4.2 Hypersensitivity to Azacitidine Or Mannitol
Azacitidine for injection is contraindicated in patients with a known hypersensitivity to azacitidine or mannitol.
8.3 Females and Males of Reproductive Potential
Based on its mechanism of action and findings in animals, azacitidine for injection can cause fetal harm when administered to a pregnant woman [see Use in Specific Populations (8.1)].
2.7 Instructions for Subcutaneous Administration
Reconstitute azacitidine for injection aseptically with 4 mL sterile water for injection. Inject the diluent slowly into the vial. Vigorously shake or roll the vial until a uniform suspension is achieved. The suspension will be cloudy. The resulting suspension will contain azacitidine 25 mg/mL. Do not filter the suspension after reconstitution. Doing so could remove the active substance.
13.1 Carcinogenesis, Mutagenesis, Impairment of Fertility
The potential carcinogenicity of azacitidine was evaluated in mice and rats. Azacitidine induced tumors of the hematopoietic system in female mice at 2.2 mg/kg (6.6 mg/m2, approximately 8% the recommended human daily dose on a mg/m2 basis) administered IP three times per week for 52 weeks. An increased incidence of tumors in the lymphoreticular system, lung, mammary gland, and skin was seen in mice treated with azacitidine IP at 2.0 mg/kg (6.0 mg/m2, approximately 8% the recommended human daily dose on a mg/m2 basis) once a week for 50 weeks. A tumorigenicity study in rats dosed twice weekly at 15 or 60 mg/m2 (approximately 20%-80% the recommended human daily dose on a mg/m2 basis) revealed an increased incidence of testicular tumors compared with controls.
The mutagenic and clastogenic potential of azacitidine was tested in in vitro bacterial systems Salmonella typhimurium strains TA100 and several strains of trpE8, Escherichia coli strains WP14 Pro, WP3103P, WP3104P, and CC103; in in vitro forward gene mutation assay in mouse lymphoma cells and human lymphoblast cells; and in an in vitro micronucleus assay in mouse L5178Y lymphoma cells and Syrian hamster embryo cells. Azacitidine was mutagenic in bacterial and mammalian cell systems. The clastogenic effect of azacitidine was shown by the induction of micronuclei in L5178Y mouse cells and Syrian hamster embryo cells.
Administration of azacitidine to male mice at 9.9 mg/m2 (approximately 9% the recommended human daily dose on a mg/m2 basis) daily for 3 days prior to mating with untreated female mice resulted in decreased fertility and loss of offspring during subsequent embryonic and postnatal development. Treatment of male rats 3 times per week for 11 or 16 weeks at doses of 15-30 mg/m2 (approximately 20% - 40%, the recommended human daily dose on a mg/m2 basis) resulted in decreased weight of the testes and epididymides, and decreased sperm counts accompanied by decreased pregnancy rates and increased loss of embryos in mated females. In a related study, male rats treated for 16 weeks at 24 mg/m2 resulted in an increase in abnormal embryos in mated females when examined on day 2 of gestation.
2.3 Dosage Adjustment Based On Hematology Laboratory Values
- For patients with baseline (start of treatment) WBC greater than or equal to 3.0 ×109/L, ANC greater than or equal to 1.5 ×109/L, and platelets greater than or equal to 75.0 ×109/L, adjust the dose as follows, based on nadir counts for any given cycle:
| Nadir Counts | % Dose in the Next Course | |
|---|---|---|
| ANC (×109/L) | Platelets (×109/L) | |
| Less than 0.5 | Less than 25 | 50% |
| 0.5 –1.5 | 25-50 | 67% |
| Greater than 1.5 | Greater than 50 | 100% |
- For patients whose baseline counts are WBC less than 3.0 ×109/L, ANC less than 1.5 ×109/L, or platelets less than 75.0 ×109/L, base dose adjustments on nadir counts and bone marrow biopsy cellularity at the time of the nadir as noted below, unless there is clear improvement in differentiation (percentage of mature granulocytes is higher and ANC is higher than at onset of that course) at the time of the next cycle, in which case continue the current dose.
| WBC or Platelet Nadir % decrease in counts from baseline |
Bone Marrow Biopsy Cellularity at Time of Nadir (%) |
||
|---|---|---|---|
| 30-60 | 15-30 | Less than 15 | |
| % Dose in the Next Course | |||
| 50 - 75 | 100 | 50 | 33 |
| greater than 75 | 75 | 50 | 33 |
If a nadir as defined in the table above has occurred, give the next course 28 days after the start of the preceding course, provided that both the WBC and the platelet counts are greater than 25% above the nadir and rising. If a greater than 25% increase above the nadir is not seen by day 28, reassess counts every 7 days. If a 25% increase is not seen by day 42, reduce the scheduled dose by 50%.
2.4 Dosage Adjustment Based On Serum Electrolytes and Renal Toxicity
If unexplained reductions in serum bicarbonate levels to less than 20 mEq/L occur, reduce the dosage by 50% for the next course. Similarly, if unexplained elevations of BUN or serum creatinine occur, delay the next cycle until values return to normal or baseline and reduce the dose by 50% for the next course [see Warnings and Precautions (5.3)].
5.2 Hepatotoxicity in Patients With Severe Pre Existing Hepatic Impairment
Because azacitidine is potentially hepatotoxic in patients with severe pre-existing hepatic impairment, caution is needed in patients with liver disease. Patients with extensive tumor burden due to metastatic disease have been reported to experience progressive hepatic coma and death during azacitidine treatment, especially in such patients with baseline albumin <30 g/L. Azacitidine is contraindicated in patients with advanced malignant hepatic tumors [see Contraindications (4.1)].
Monitor liver chemistries prior to initiation of therapy and with each cycle.
Safety and effectiveness of azacitidine in patients with MDS and hepatic impairment have not been studied as these patients were excluded from the clinical trials.
Structured Label Content
Section 42229-5 (42229-5)
Preparation for Immediate Subcutaneous Administration: For doses requiring more than 1 vial, divide the dose equally between the syringes (e.g., dose 150 mg = 6 mL, 2 syringes with 3 mL in each syringe) and inject into two separate sites. Due to retention in the vial and needle, it may not be feasible to withdraw all of the suspension from the vial. The product may be held at room temperature for up to 1 hour, but must be administered within 1 hour after reconstitution.
Section 44425-7 (44425-7)
Storage
Store unreconstituted vials at 25° C (77° F); excursions permitted to 15°-30° C (59°-86° F) (See USP Controlled Room Temperature).
10 Overdosage (10 OVERDOSAGE)
One case of overdose with azacitidine was reported during clinical trials. A patient experienced diarrhea, nausea, and vomiting after receiving a single intravenous dose of approximately 290 mg/m2, almost 4 times the recommended starting dose. The events resolved without sequelae, and the correct dose was resumed the following day. In the event of overdosage, the patient should be monitored with appropriate blood counts and should receive supportive treatment, as necessary. There is no known specific antidote for azacitidine overdosage.
15 References (15 REFERENCES)
- "OSHA Hazardous Drugs." OSHA. http://www.osha.gov/SLTC/hazardousdrugs/index.html
11 Description (11 DESCRIPTION)
Azacitidine for injection contains azacitidine, which is a pyrimidine nucleoside analog of cytidine. Azacitidine is 4-amino-1-β-D-ribofuranosyl-s-triazin-2(1H)-one. The structural formula is as follows:
The empirical formula is C8H12N4O5. The molecular weight is 244. Azacitidine is a white to off-white solid. Azacitidine was found to be insoluble in acetone, ethanol, and methyl ethyl ketone; slightly soluble in ethanol/water (50/50), propylene glycol, and polyethylene glycol; sparingly soluble in water, water saturated octanol, 5% dextrose in water, N-methyl-2-pyrrolidone, normal saline and 5% Tween 80 in water; and soluble in dimethylsulfoxide (DMSO).
The finished product is supplied in a sterile form for reconstitution as a suspension for subcutaneous injection or reconstitution as a solution with further dilution for intravenous infusion. Vials of azacitidine for injection contain 100 mg of azacitidine and 100 mg mannitol as a sterile lyophilized powder.
8.4 Pediatric Use
Safety and effectiveness in pediatric patients have not been established.
8.5 Geriatric Use
Of the total number of patients in Studies 1, 2 and 3, 62% were 65 years and older and 21% were 75 years and older. No overall differences in effectiveness were observed between these patients and younger patients. In addition there were no relevant differences in the frequency of adverse reactions observed in patients 65 years and older compared to younger patients.
Of the 179 patients randomized to azacitidine in Study 4, 68% were 65 years and older and 21% were 75 years and older. Survival data for patients 65 years and older were consistent with overall survival results. The majority of adverse reactions occurred at similar frequencies in patients < 65 years of age and patients 65 years of age and older.
Elderly patients are more likely to have decreased renal function. Monitor renal function in these patients [see Dosage and Administration (2.5) and Warnings and Precautions (5.3)].
5.3 Renal Toxicity
Renal toxicity ranging from elevated serum creatinine to renal failure and death have been reported in patients treated with intravenous azacitidine in combination with other chemotherapeutic agents for nonMDS conditions. In addition, renal tubular acidosis, defined as a fall in serum bicarbonate to <20 mEq/L in association with an alkaline urine and hypokalemia (serum potassium <3 mEq/L) developed in 5 patients with CML treated with azacitidine and etoposide. Monitor serum creatinine and electrolytes prior to initiation of therapy and with each cycle. If unexplained reductions in serum bicarbonate <20 mEq/L or elevations of BUN or serum creatinine occur, reduce or hold the dose [see Dosage and Administration (2.4)].
Patients with renal impairment may be at increased risk for renal toxicity. Also, azacitidine and its metabolites are primarily excreted by the kidney. Therefore, monitor these patients closely for toxicity [see Dosage and Administration (2.4, 2.5)]. Patients with MDS and renal impairment were excluded from the clinical studies.
4 Contraindications (4 CONTRAINDICATIONS)
6 Adverse Reactions (6 ADVERSE REACTIONS)
The following adverse reactions are described in other labeling sections:
- Anemia, Neutropenia and Thrombocytopenia [see Warnings and Precautions (5.1)]
- Hepatotoxicity in Patients with Severe Pre-existing Hepatic Impairment [see Warnings and Precautions (5.2)]
- Renal Toxicity [see Warnings and Precautions (5.3)]
- Tumor Lysis Syndrome [see Warnings and Precautions (5.4)]
- Embryo-Fetal Risk [see Warnings and Precautions (5.5)]
Most Commonly Occurring Adverse Reactions (Subcutaneous or Intravenous Route): nausea, anemia, thrombocytopenia, vomiting, pyrexia, leukopenia, diarrhea, injection site erythema, constipation, neutropenia, ecchymosis. The most common adverse reactions by intravenous route also included petechiae, rigors, weakness and hypokalemia.
Adverse Reactions Most Frequently (>2%) Resulting in Clinical Intervention (Subcutaneous or Intravenous Route):
Discontinuation: leukopenia, thrombocytopenia, neutropenia.
Dose Held: leukopenia, neutropenia, thrombocytopenia, pyrexia, pneumonia, febrile neutropenia.
Dose Reduced: leukopenia, neutropenia, thrombocytopenia.
12.3 Pharmacokinetics
The pharmacokinetics of azacitidine were studied in 6 MDS patients following a single 75 mg/m2 subcutaneous dose and a single 75 mg/m2 intravenous dose.
5.5 Embryo Fetal Risk (5.5 Embryo-Fetal Risk)
Based on the mechanism of action and findings in animals, azacitidine for injection can cause fetal harm when administered to a pregnant woman. Azacitidine administered to pregnant rats via a single intraperitoneal (IP) dose approximating 8% of the recommended human daily dose caused fetal death and anomalies [see Use in Specific Populations (8.1)].
Advise females with reproductive potential to avoid pregnancy during treatment with azacitidine for injection [see Use in Specific Populations (8.3)]. Men should be advised to not father a child while receiving treatment with azacitidine for injection.
1 Indications and Usage (1 INDICATIONS AND USAGE)
Azacitidine for injection is a nucleoside metabolic inhibitor indicated for the treatment of patients with the following FAB myelodysplastic syndrome (MDS) subtypes: Refractory anemia (RA) or refractory anemia with ringed sideroblasts (RARS) (if accompanied by neutropenia or thrombocytopenia or requiring transfusions), refractory anemia with excess blasts (RAEB), refractory anemia with excess blasts in transformation (RAEB-T), and chronic myelomonocytic leukemia (CMMoL). (1)
12.1 Mechanism of Action
Azacitidine for injection is a pyrimidine nucleoside analog of cytidine. Azacitidine for injection is believed to exert its antineoplastic effects by causing hypomethylation of DNA and direct cytotoxicity on abnormal hematopoietic cells in the bone marrow. The concentration of azacitidine required for maximum inhibition of DNA methylation in vitro does not cause major suppression of DNA synthesis. Hypomethylation may restore normal function to genes that are critical for differentiation and proliferation. The cytotoxic effects of azacitidine cause the death of rapidly dividing cells, including cancer cells that are no longer responsive to normal growth control mechanisms. Non-proliferating cells are relatively insensitive to azacitidine.
5.4 Tumor Lysis Syndrome
Azacitidine for injection may cause fatal or serious tumor lysis syndrome, including in patients with MDS. Tumor lysis syndrome may occur despite concomitant use of allopurinol. Assess baseline risk and monitor and treat as appropriate.
2.1 First Treatment Cycle
The recommended starting dose for the first treatment cycle, for all patients regardless of baseline hematology laboratory values, is 75 mg/m2 subcutaneously or intravenously, daily for 7 days. Premedicate patients for nausea and vomiting.
Obtain complete blood counts, liver chemistries and serum creatinine prior to the first dose.
5 Warnings and Precautions (5 WARNINGS AND PRECAUTIONS)
- Anemia, Neutropenia and Thrombocytopenia: Monitor complete blood counts (CBC) frequently (5.1).
- Hepatotoxicity: Patients with severe preexisting hepatic impairment are at higher risk for toxicity (5.2).
- Renal Toxicity: Monitor patients with renal impairment for toxicity since azacitidine and its metabolites are primarily excreted by the kidneys (5.3).
- Tumor Lysis Syndrome: Azacitidine for injection may cause fatal or serious tumor lysis syndrome, including in patients with MDS. Assess baseline risk and monitor and treat as appropriate (5.4).
- Embryo-Fetal Risk: Azacitidine for injection can cause fetal harm. Advise females with reproductive potential of the potential risk to a fetus and to avoid pregnancy (5.5).
2 Dosage and Administration (2 DOSAGE AND ADMINISTRATION)
- The recommended starting dose for the first treatment cycle, for all patients regardless of baseline hematology values, is azacitidine for injection 75 mg/m2 daily for 7 days to be administered by subcutaneous injection or intravenous infusion. Premedicate for nausea and vomiting. (2.1)
- Repeat cycles every 4 weeks (2.2). After 2 cycles, may increase dose to 100 mg/m2 if no beneficial effect is seen and no toxicity other than nausea and vomiting has occurred (2.2). Patients should be treated for a minimum of 4 to 6 cycles. Complete or partial response may require additional treatment cycles (2.2).
- Continue treatment as long as the patient continues to benefit (2.2).
- Monitor patients for hematologic response and for renal toxicity; delay or reduce dosage as appropriate (2.3, 2.4, 2.5).
3 Dosage Forms and Strengths (3 DOSAGE FORMS AND STRENGTHS)
Azacitidine for injection is supplied as lyophilized powder in 100 mg single-dose vials.
6.2 Postmarketing Experience
The following adverse reactions have been identified during postmarketing use of azacitidine. Because these reactions are reported voluntarily from a population of uncertain size, it is not always possible to reliably estimate their frequency or establish a causal relationship to drug exposure.
-
-Interstitial lung disease
-
-Tumor lysis syndrome
-
-Injection site necrosis
-
-Sweet's syndrome (acute febrile neutrophilic dermatosis)
-
-Necrotizing fasciitis (including fatal cases)
-
-Differentiation syndrome
2.5 Use in Geriatric Patients
Azacitidine and its metabolites are known to be substantially excreted by the kidney, and the risk of toxic reactions to this drug may be greater in patients with impaired renal function. Because elderly patients are more likely to have decreased renal function, select the dose carefully and monitor renal function [see Warnings and Precautions (5.3) and Use in Specific Populations (8.5)].
8 Use in Specific Populations (8 USE IN SPECIFIC POPULATIONS)
- Lactation: Discontinue nursing taking into consideration the importance of drug to mother (8.2).
2.2 Subsequent Treatment Cycles
Repeat cycles every 4 weeks. The dose may be increased to 100 mg/m2 if no beneficial effect is seen after 2 treatment cycles and if no toxicity other than nausea and vomiting has occurred. It is recommended that patients be treated for a minimum of 4 to 6 cycles. However, complete or partial response may require additional treatment cycles. Treatment may be continued as long as the patient continues to benefit.
Monitor patients for hematologic response and renal toxicities [see Warnings and Precautions (5.3)], and delay or reduce dosage if necessary as described below.
1.1 Myelodysplastic Syndromes (mds) (1.1 Myelodysplastic Syndromes (MDS))
Azacitidine for injection is indicated for treatment of patients with the following French-American-British (FAB) myelodysplastic syndrome subtypes: refractory anemia (RA) or refractory anemia with ringed sideroblasts (if accompanied by neutropenia or thrombocytopenia or requiring transfusions), refractory anemia with excess blasts (RAEB), refractory anemia with excess blasts in transformation (RAEB-T), and chronic myelomonocytic leukemia (CMMoL).
4.1 Advanced Malignant Hepatic Tumors
Azacitidine for injection is contraindicated in patients with advanced malignant hepatic tumors [see Warnings and Precautions (5.2)].
6.1 Adverse Reactions in Clinical Trials
Because clinical trials are conducted under widely varying conditions, adverse reaction rates observed in the clinical trials of a drug cannot be directly compared to rates in the clinical trials of another drug and may not reflect the rates observed in practice.
The data described below reflect exposure to azacitidine in 443 MDS patients from 4 clinical studies. Study 1 was a supportive-care controlled trial (subcutaneous administration), Studies 2 and 3 were single arm studies (one with subcutaneous administration and one with intravenous administration), and Study 4 was an international randomized trial (subcutaneous administration) [see Clinical Studies (14)].
In Studies 1, 2 and 3, a total of 268 patients were exposed to azacitidine, including 116 exposed for 6 cycles (approximately 6 months) or more and 60 exposed for greater than 12 cycles (approximately one year). Azacitidine was studied primarily in supportive-care controlled and uncontrolled trials (n=150 and n=118, respectively). The population in the subcutaneous studies (n=220) was 23 to 92 years old (mean 66.4 years), 68% male, and 94% white, and had MDS or AML. The population in the intravenous study (n=48) was 35 to 81 years old (mean 63.1 years), 65% male, and 100% white. Most patients received average daily doses between 50 and 100 mg/m2.
In Study 4, a total of 175 patients with higher-risk MDS (primarily RAEB and RAEB-T subtypes) were exposed to azacitidine. Of these patients, 119 were exposed for 6 or more cycles, and 63 for at least 12 cycles. The mean age of this population was 68.1 years (ranging from 42 to 83 years), 74% were male, and 99% were white. Most patients received daily azacitidine doses of 75 mg/m2.
Table 1 presents adverse reactions occurring in at least 5% of patients treated with azacitidine (subcutaneous) in Studies 1 and 2. It is important to note that duration of exposure was longer for the azacitidine-treated group than for the observation group: patients received azacitidine for injection for a mean of 11.4 months while mean time in the observation arm was 6.1 months.
| Number (%) of Patients | ||
|---|---|---|
| System Organ Class Preferred Term Multiple terms of the same preferred terms for a patient are only counted once within each treatment group.
|
All Azacitidine for Injection Includes adverse reactions from all patients exposed to azacitidine, including patients after crossing over from observations.
(N=220) |
Observation Includes adverse reactions from observation period only; excludes any adverse events after crossover to azacitidine.
(N=92) |
| Blood and lymphatic system disorders | ||
| Anemia | 153 (70) | 59 (64) |
| Anemia aggravated | 12 (6) | 5 (5) |
| Febrile neutropenia | 36 (16) | 4 (4) |
| Leukopenia | 106 (48) | 27 (29) |
| Neutropenia | 71 (32) | 10 (11) |
| Thrombocytopenia | 144 (66) | 42 (46) |
| Gastrointestinal disorders | ||
| Abdominal tenderness | 26 (12) | 1 (1) |
| Constipation | 74 (34) | 6 (7) |
| Diarrhea | 80 (36) | 13 (14) |
| Gingival bleeding | 21 (10) | 4 (4) |
| Loose stools | 12 (6) | 0 |
| Mouth hemorrhage | 11 (5) | 1 (1) |
| Nausea | 155 (71) | 16 (17) |
| Stomatitis | 17 (8) | 0 |
| Vomiting | 119 (54) | 5 (5) |
| General disorders and administration site conditions | ||
| Chest pain | 36 (16) | 5 (5) |
| Injection site bruising | 31 (14) | 0 |
| Injection site erythema | 77 (35) | 0 |
| Injection site granuloma | 11 (5) | 0 |
| Injection site pain | 50 (23) | 0 |
| Injection site pigmentation changes | 11 (5) | 0 |
| Injection site pruritus | 15 (7) | 0 |
| Injection site reaction | 30 (14) | 0 |
| Injection site swelling | 11 (5) | 0 |
| Lethargy | 17 (8) | 2 (2) |
| Malaise | 24 (11) | 1 (1) |
| Pyrexia | 114 (52) | 28 (30) |
| Infections and infestations | ||
| Nasopharyngitis | 32 (15) | 3 (3) |
| Pneumonia | 24 (11) | 5 (5) |
| Upper respiratory tract infection | 28 (13) | 4 (4) |
| Injury, poisoning, and procedural complications | ||
| Post procedural hemorrhage | 13 (6) | 1 (1) |
| Metabolism and nutrition disorders | ||
| Anorexia | 45 (21) | 6 (7) |
| Musculoskeletal and connective tissue disorders | ||
| Arthralgia | 49 (22) | 3 (3) |
| Chest wall pain | 11 (5) | 0 |
| Myalgia | 35 (16) | 2 (2) |
| Nervous system disorders | ||
| Dizziness | 41 (19) | 5 (5) |
| Headache | 48 (22) | 10 (11) |
| Psychiatric disorders | ||
| Anxiety | 29 (13) | 3 (3) |
| Insomnia | 24 (11) | 4 (4) |
| Respiratory, thoracic and mediastinal disorders | ||
| Dyspnea | 64 (29) | 11 (12) |
| Skin and subcutaneous tissue disorders | ||
| Dry skin | 11 (5) | 1 (1) |
| Ecchymosis | 67 (31) | 14 (15) |
| Erythema | 37 (17) | 4 (4) |
| Rash | 31 (14) | 9 (10) |
| Skin nodule | 11 (5) | 1 (1) |
| Urticaria | 13 (6) | 1 (1) |
| Vascular disorders | ||
| Hematoma | 19 (9) | 0 |
| Hypotension | 15 (7) | 2 (2) |
| Petechiae | 52 (24) | 8 (9) |
Table 2 presents adverse reactions occurring in at least 5% of patients treated with azacitidine in Study 4. Similar to Studies 1 and 2 described above, duration of exposure to treatment with azacitidine was longer (mean 12.2 months) compared with best supportive care (mean 7.5 months).
| Number (%) of Patients | ||||
|---|---|---|---|---|
| Any Grade | Grade 3/4 | |||
| System Organ Class Preferred Term Multiple reports of the same preferred term from a patient were only counted once within each treatment.
|
Azacitidine for Injection (N=175) |
Best Supportive Care Only (N=102) |
Azacitidine for Injection (N=175) |
Best Supportive Care Only (N=102) |
| Blood and lymphatic system disorders | ||||
| Anemia | 90 (51) | 45 (44) | 24 (14) | 9 (9) |
| Febrile neutropenia | 24 (14) | 10 (10) | 22 (13) | 7 (7) |
| Leukopenia | 32 (18) | 2 (2) | 26 (15) | 1 (1) |
| Neutropenia | 115 (66) | 29 (28) | 107 (61) | 22 (22) |
| Thrombocytopenia | 122 (70) | 35 (34) | 102 (58) | 29 (28) |
| Gastrointestinal disorders | ||||
| Abdominal pain | 22 (13) | 7 (7) | 7 (4) | 0 |
| Constipation | 88 (50) | 8 (8) | 2 (1) | 0 |
| Dyspepsia | 10 (6) | 2 (2) | 0 | 0 |
| Nausea | 84 (48) | 12 (12) | 3 (2) | 0 |
| Vomiting | 47 (27) | 7 (7) | 0 | 0 |
| General disorders and administration site conditions | ||||
| Fatigue | 42 (24) | 12 (12) | 6 (3) | 2 (2) |
| Injection site bruising | 9 (5) | 0 | 0 | 0 |
| Injection site erythema | 75 (43) | 0 | 0 | 0 |
| Injection site hematoma | 11 (6) | 0 | 0 | 0 |
| Injection site induration | 9 (5) | 0 | 0 | 0 |
| Injection site pain | 33 (19) | 0 | 0 | 0 |
| Injection site rash | 10 (6) | 0 | 0 | 0 |
| Injection site reaction | 51 (29) | 0 | 1 (1) | 0 |
| Pyrexia | 53 (30) | 18 (18) | 8 (5) | 1 (1) |
| Infections and infestations | ||||
| Rhinitis | 10 (6) | 1 (1) | 0 | 0 |
| Upper respiratory tract infection | 16 (9) | 4 (4) | 3 (2) | 0 |
| Urinary tract infection | 15 (9) | 3 (3) | 3 (2) | 0 |
| Investigations | ||||
| Weight decreased | 14 (8) | 0 | 1 (1) | 0 |
| Metabolism and nutrition disorders | ||||
| Hypokalemia | 11 (6) | 3 (3) | 3 (2) | 3 (3) |
| Nervous system disorders | ||||
| Lethargy | 13 (7) | 2 (2) | 0 | 1 (1) |
| Psychiatric disorders | ||||
| Anxiety | 9 (5) | 1 (1) | 0 | 0 |
| Insomnia | 15 (9) | 3 (3) | 0 | 0 |
| Renal and urinary disorders | ||||
| Hematuria | 11 (6) | 2 (2) | 4 (2) | 1 (1) |
| Respiratory, thoracic and mediastinal disorders | ||||
| Dyspnea | 26 (15) | 5 (5) | 6 (3) | 2 (2) |
| Dyspnea exertional | 9 (5) | 1 (1) | 0 | 0 |
| Pharyngolaryngeal pain | 11 (6) | 3 (3) | 0 | 0 |
| Skin and subcutaneous tissue disorders | ||||
| Erythema | 13 (7) | 3 (3) | 0 | 0 |
| Petechiae | 20 (11) | 4 (4) | 2 (1) | 0 |
| Pruritus | 21 (12) | 2 (2) | 0 | 0 |
| Rash | 18 (10) | 1 (1) | 0 | 0 |
| Vascular disorders | ||||
| Hypertension | 15 (9) | 4 (4) | 2 (1) | 2 (2) |
In Studies 1, 2 and 4 with subcutaneous administration of azacitidine, adverse reactions of neutropenia, thrombocytopenia, anemia, nausea, vomiting, diarrhea, constipation, and injection site erythema/reaction tended to increase in incidence with higher doses of azacitidine for injection.
Adverse reactions that tended to be more pronounced during the first 1 to 2 cycles of subcutaneous treatment compared with later cycles included thrombocytopenia, neutropenia, anemia, nausea, vomiting, injection site erythema/pain/bruising/reaction, constipation, petechiae, dizziness, anxiety, hypokalemia, and insomnia. There did not appear to be any adverse reactions that increased in frequency over the course of treatment.
Overall, adverse reactions were qualitatively similar between the intravenous and subcutaneous studies. Adverse reactions that appeared to be specifically associated with the intravenous route of administration included infusion site reactions (e.g. erythema or pain) and catheter site reactions (e.g. infection, erythema, or hemorrhage).
In clinical studies of either subcutaneous or intravenous azacitidine, the following serious adverse reactions occurring at a rate of < 5% (and not described in Tables 1 or 2) were reported:
Blood and lymphatic system disorders: agranulocytosis, bone marrow failure, pancytopenia splenomegaly.
Cardiac disorders: atrial fibrillation, cardiac failure, cardiac failure congestive, cardio-respiratory arrest, congestive cardiomyopathy.
Eye disorders: eye hemorrhage
Gastrointestinal disorders: diverticulitis, gastrointestinal hemorrhage, melena, perirectal abscess.
General disorders and administration site conditions: catheter site hemorrhage, general physical health deterioration, systemic inflammatory response syndrome.
Hepatobiliary disorders: cholecystitis.
Immune system disorders: anaphylactic shock, hypersensitivity.
Infections and infestations: abscess limb, bacterial infection, cellulitis, blastomycosis, injection site infection, Klebsiella sepsis, neutropenic sepsis, pharyngitis streptococcal, pneumonia Klebsiella, sepsis, septic shock, Staphylococcal bacteremia, Staphylococcal infection, toxoplasmosis.
Metabolism and nutrition disorders: dehydration.
Musculoskeletal and connective tissue disorders: bone pain aggravated, muscle weakness, neck pain.
Neoplasms benign, malignant and unspecified: leukemia cutis.
Nervous system disorders: cerebral hemorrhage, convulsions, intracranial hemorrhage.
Renal and urinary disorders: loin pain, renal failure.
Respiratory, thoracic and mediastinal disorders: hemoptysis, lung infiltration, pneumonitis, respiratory distress.
Skin and subcutaneous tissue disorders: pyoderma gangrenosum, rash pruritic, skin induration.
Surgical and medical procedures: cholecystectomy.
Vascular disorders: orthostatic hypotension.
2.6 Preparation of Azacitidine for Injection
Azacitidine for injection is a cytotoxic drug. Follow applicable special handling and disposal procedures.1
The azacitidine for injection vial is single-dose and does not contain any preservatives. Discard unused portions of each vial properly [see How Supplied/Storage and Handling (16)]. Do not save any unused portions for later administration.
5.1 Anemia, Neutropenia and Thrombocytopenia
Azacitidine causes anemia, neutropenia and thrombocytopenia. Monitor complete blood counts frequently for response and/or toxicity, at a minimum, prior to each dosing cycle. After administration of the recommended dosage for the first cycle, adjust dosage for subsequent cycles based on nadir counts and hematologic response [see Dosage and Administration (2.3)].
Principal Display Panel 100 Mg Vial Carton (PRINCIPAL DISPLAY PANEL - 100 mg Vial Carton)
NDC 43817-906-01
Azacitidine
for Injection
100 mg/vial
For Subcutaneous And
Intravenous Use Only
Single-Dose Vial
breckenridge
A Towa
Company
Rx Only
2.8 Instructions for Intravenous Administration
Reconstitute the appropriate number of azacitidine for injection vials to achieve the desired dose. Reconstitute each vial with 10 mL sterile water for injection. Vigorously shake or roll the vial until all solids are dissolved. The resulting solution will contain azacitidine 10 mg/mL. The solution should be clear. Parenteral drug product should be inspected visually for particulate matter and discoloration prior to administration, whenever solution and container permit.
Withdraw the required amount of azacitidine for injection solution to deliver the desired dose and inject into a 50 -100 mL infusion bag of either 0.9% Sodium Chloride Injection or Lactated Ringer's Injection.
4.2 Hypersensitivity to Azacitidine Or Mannitol (4.2 Hypersensitivity to Azacitidine or Mannitol)
Azacitidine for injection is contraindicated in patients with a known hypersensitivity to azacitidine or mannitol.
8.3 Females and Males of Reproductive Potential
Based on its mechanism of action and findings in animals, azacitidine for injection can cause fetal harm when administered to a pregnant woman [see Use in Specific Populations (8.1)].
2.7 Instructions for Subcutaneous Administration
Reconstitute azacitidine for injection aseptically with 4 mL sterile water for injection. Inject the diluent slowly into the vial. Vigorously shake or roll the vial until a uniform suspension is achieved. The suspension will be cloudy. The resulting suspension will contain azacitidine 25 mg/mL. Do not filter the suspension after reconstitution. Doing so could remove the active substance.
13.1 Carcinogenesis, Mutagenesis, Impairment of Fertility
The potential carcinogenicity of azacitidine was evaluated in mice and rats. Azacitidine induced tumors of the hematopoietic system in female mice at 2.2 mg/kg (6.6 mg/m2, approximately 8% the recommended human daily dose on a mg/m2 basis) administered IP three times per week for 52 weeks. An increased incidence of tumors in the lymphoreticular system, lung, mammary gland, and skin was seen in mice treated with azacitidine IP at 2.0 mg/kg (6.0 mg/m2, approximately 8% the recommended human daily dose on a mg/m2 basis) once a week for 50 weeks. A tumorigenicity study in rats dosed twice weekly at 15 or 60 mg/m2 (approximately 20%-80% the recommended human daily dose on a mg/m2 basis) revealed an increased incidence of testicular tumors compared with controls.
The mutagenic and clastogenic potential of azacitidine was tested in in vitro bacterial systems Salmonella typhimurium strains TA100 and several strains of trpE8, Escherichia coli strains WP14 Pro, WP3103P, WP3104P, and CC103; in in vitro forward gene mutation assay in mouse lymphoma cells and human lymphoblast cells; and in an in vitro micronucleus assay in mouse L5178Y lymphoma cells and Syrian hamster embryo cells. Azacitidine was mutagenic in bacterial and mammalian cell systems. The clastogenic effect of azacitidine was shown by the induction of micronuclei in L5178Y mouse cells and Syrian hamster embryo cells.
Administration of azacitidine to male mice at 9.9 mg/m2 (approximately 9% the recommended human daily dose on a mg/m2 basis) daily for 3 days prior to mating with untreated female mice resulted in decreased fertility and loss of offspring during subsequent embryonic and postnatal development. Treatment of male rats 3 times per week for 11 or 16 weeks at doses of 15-30 mg/m2 (approximately 20% - 40%, the recommended human daily dose on a mg/m2 basis) resulted in decreased weight of the testes and epididymides, and decreased sperm counts accompanied by decreased pregnancy rates and increased loss of embryos in mated females. In a related study, male rats treated for 16 weeks at 24 mg/m2 resulted in an increase in abnormal embryos in mated females when examined on day 2 of gestation.
2.3 Dosage Adjustment Based On Hematology Laboratory Values (2.3 Dosage Adjustment Based on Hematology Laboratory Values)
- For patients with baseline (start of treatment) WBC greater than or equal to 3.0 ×109/L, ANC greater than or equal to 1.5 ×109/L, and platelets greater than or equal to 75.0 ×109/L, adjust the dose as follows, based on nadir counts for any given cycle:
| Nadir Counts | % Dose in the Next Course | |
|---|---|---|
| ANC (×109/L) | Platelets (×109/L) | |
| Less than 0.5 | Less than 25 | 50% |
| 0.5 –1.5 | 25-50 | 67% |
| Greater than 1.5 | Greater than 50 | 100% |
- For patients whose baseline counts are WBC less than 3.0 ×109/L, ANC less than 1.5 ×109/L, or platelets less than 75.0 ×109/L, base dose adjustments on nadir counts and bone marrow biopsy cellularity at the time of the nadir as noted below, unless there is clear improvement in differentiation (percentage of mature granulocytes is higher and ANC is higher than at onset of that course) at the time of the next cycle, in which case continue the current dose.
| WBC or Platelet Nadir % decrease in counts from baseline |
Bone Marrow Biopsy Cellularity at Time of Nadir (%) |
||
|---|---|---|---|
| 30-60 | 15-30 | Less than 15 | |
| % Dose in the Next Course | |||
| 50 - 75 | 100 | 50 | 33 |
| greater than 75 | 75 | 50 | 33 |
If a nadir as defined in the table above has occurred, give the next course 28 days after the start of the preceding course, provided that both the WBC and the platelet counts are greater than 25% above the nadir and rising. If a greater than 25% increase above the nadir is not seen by day 28, reassess counts every 7 days. If a 25% increase is not seen by day 42, reduce the scheduled dose by 50%.
2.4 Dosage Adjustment Based On Serum Electrolytes and Renal Toxicity (2.4 Dosage Adjustment Based on Serum Electrolytes and Renal Toxicity)
If unexplained reductions in serum bicarbonate levels to less than 20 mEq/L occur, reduce the dosage by 50% for the next course. Similarly, if unexplained elevations of BUN or serum creatinine occur, delay the next cycle until values return to normal or baseline and reduce the dose by 50% for the next course [see Warnings and Precautions (5.3)].
5.2 Hepatotoxicity in Patients With Severe Pre Existing Hepatic Impairment (5.2 Hepatotoxicity in Patients with Severe Pre-existing Hepatic Impairment)
Because azacitidine is potentially hepatotoxic in patients with severe pre-existing hepatic impairment, caution is needed in patients with liver disease. Patients with extensive tumor burden due to metastatic disease have been reported to experience progressive hepatic coma and death during azacitidine treatment, especially in such patients with baseline albumin <30 g/L. Azacitidine is contraindicated in patients with advanced malignant hepatic tumors [see Contraindications (4.1)].
Monitor liver chemistries prior to initiation of therapy and with each cycle.
Safety and effectiveness of azacitidine in patients with MDS and hepatic impairment have not been studied as these patients were excluded from the clinical trials.
Advanced Ingredient Data
Raw Label Data
All Sections (JSON)
Additional Information
Back to search View SPL set listing Open on DailyMed ↗
Source: dailymed · Ingested: 2026-02-15T11:35:37.703919 · Updated: 2026-03-14T21:43:58.672563