Albuterol Sulfate Syrup, 2 Mg/5 Ml

Albuterol Sulfate Syrup, 2 Mg/5 Ml
SPL v3
SPL
SPL Set ID 99a490cc-e41d-436b-9cf3-8facb7ac714f
Route
ORAL
Published
Effective Date 2025-07-03
Document Type 34391-3 HUMAN PRESCRIPTION DRUG LABEL

Drug Facts

Composition & Product

Active Ingredients
Albuterol (2 mg)
Inactive Ingredients
Anhydrous Citric Acid Fd&c Yellow No. 6 Hypromellose, Unspecified Water Sodium Benzoate Trisodium Citrate Dihydrate Sorbitol

Identifiers & Packaging

Marketing Status
ANDA Active Since 2019-09-06

Description

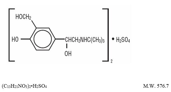
Albuterol Sulfate Syrup contains albuterol sulfate, USP, the racemic form of albuterol and a relatively selective beta 2 -adrenergic bronchodilator. Albuterol sulfate has the chemical name α 1 -[( tert -butylamino)methyl]-4-hydroxy- m -xylene-α,α'-diol sulfate (2:1) (salt) and the following chemical structure: Albuterol sulfate is a white or practically white powder freely soluble in water and slightly soluble in alcohol, in chloroform, and in ether per USP definition. The World Health Organization recommended name for albuterol base is salbutamol. Albuterol Sulfate Syrup for oral administration contains 2 mg of albuterol as 2.4 mg of albuterol sulfate in each teaspoonful (5 mL). Albuterol Sulfate Syrup also contains the inactive ingredients Citric Acid, FD&C Yellow No. 6, Hypromellose, Purified Water, Sodium Benzoate, Sodium Citrate, Sorbitol Solution and Strawberry Flavor. The pH of the syrup is 3.5 to 4.5.

Indications and Usage

Albuterol Sulfate Syrup is indicated for the relief of bronchospasm in adults and children 2 years of age and older with reversible obstructive airway disease.

Dosage and Administration

The following dosages of albuterol sulfate syrup are expressed in terms of albuterol base. Usual Dosage Adults and Children Over 14 Years of Age: The usual starting dosage for adults and children over 14 years of age is 2 mg (1 teaspoonful) or 4 mg (2 teaspoonfuls) three or four times a day. Children Over 6 Years to 14 Years of Age:  The usual starting dosage for children over 6 years to 14 years of age is 2 mg (1 teaspoonful) three or four times a day. Children 2 to 5 Years of Age: Dosing in children 2 to 5 years of age should be initiated at 0.1 mg/kg of body weight three times a day. This starting dosage should not exceed 2 mg (1 teaspoonful) three times a day. Dosage Adjustment Adults and Children Over 14 Years of Age: For adults and children over 14 years of age, a dosage above 4 mg four times a day should be used only when the patient fails to respond. If a favorable response does not occur with the 4-mg initial dosage, it should be cautiously increased stepwise up to a maximum of 8 mg four times a day as tolerated. Children Over 6 Years to 14 Years of Age Who Fail to Respond to the Initial Starting Dosage of 2 mg Four Times a Day: For children over 6 years to 14 years of age who fail to respond to the initial starting dosage of 2 mg four times a day, the dosage may be cautiously increased stepwise, but not to exceed 24 mg/day (given in divided doses). Children 2 to 5 Years of Age Who Do Not Respond Satisfactorily to the Initial Dosage: For children from 2 to 5 years of age who do not respond satisfactorily to the initial starting dosage, the dosage may be increased stepwise to 0.2 mg/kg of body weight three times a day, but not to exceed a maximum of 4 mg (2 teaspoonfuls) given three times a day. Elderly Patients and Those Sensitive to Beta-adrenergic Stimulators: The initial dosage should be restricted to 2 mg three or four times a day and individually adjusted thereafter.

Contraindications

Albuterol Sulfate Syrup is contraindicated in patients with a history of hypersensitivity to albuterol or any of its components.

Adverse Reactions

In clinical trials, the most frequent adverse reactions to albuterol sulfate syrup in adults and older children were: Percent Incidence of Adverse Reactions in Adults and Children (6-14 Years of Age) Reaction Percent Incidence Central nervous system Tremor 10% Nervousness 9% Shakiness 9% Headache 4% Dizziness 3% Hyperactivity 2% Excitement 2% Sleeplessness 1% Disturbed sleep <1% Irritable behavior <1% Dilated pupils <1% Weakness <1% Cardiovascular Tachycardia 1% Palpitations <1% Sweating <1% Chest pain <1% Ear, nose, and throat Epistaxis 1% Gastrointestinal Increased appetite 3% Epigastric pain <1% Stomachache <1% Musculoskeletal Muscle spasm <1% Respiratory Cough <1% In clinical trials, the following adverse reactions to albuterol sulfate syrup were noted more frequently in young children 2 to 6 years of age than in older children and adults: Percent Incidence of Adverse Reactions Noted More Frequently in Children 2 to 6 Years of Age Than in Older Children and Adults Reaction Percent Incidence Central nervous system Excitement 20% Nervousness 15% Hyperkinesia 4% Sleeplessness 2% Emotional lability 1% Fatigue 1% Cardiovascular Tachycardia 2% Pallor 1% Gastrointestinal Gastrointestinal symptoms 2% Loss of Appetite 1% Ophthalmologic Conjunctivitis 1% Cases of urticaria, angioedema, rash, bronchospasm, hoarseness, oropharyngeal edema, and arrhythmias (including atrial fibrillation, supraventricular tachycardia, extrasystoles) have been reported after the use of albuterol sulfate syrup. In addition, albuterol, like other sympathomimetic agents, can cause adverse reactions such as hypertension, angina, vomiting, vertigo, central nervous system stimulation, unusual taste, and drying or irritation of the oropharynx. The reactions are generally transient in nature, and it is usually not necessary to discontinue treatment with albuterol sulfate syrup. In selected cases, however, dosage may be reduced temporarily; after the reaction has subsided, dosage should be increased in small increments to the optimal dosage.

Drug Interactions

The concomitant use of albuterol sulfate syrup and other oral sympathomimetic agents is not recommended since such combined use may lead to deleterious cardiovascular effects. This recommendation does not preclude the judicious use of an aerosol bronchodilator of the adrenergic stimulant type in patients receiving albuterol sulfate syrup. Such concomitant use, however, should be individualized and not given on a routine basis. If regular coadministration is required, then alternative therapy should be considered. Monoamine Oxidase Inhibitors or Tricyclic Antidepressants: Albuterol should be administered with extreme caution to patients being treated with monoamine oxidase inhibitors or tricyclic antidepressants, or within 2 weeks of discontinuation of such agents, because the action of albuterol on the vascular system may be potentiated. Beta-Blockers: Beta-adrenergic receptor blocking agents not only block the pulmonary effect of beta-agonists, such as albuterol sulfate syrup, but may produce severe bronchospasm in asthmatic patients. Therefore, patients with asthma should not normally be treated with beta-blockers. However, under certain circumstances, e.g., as prophylaxis after myocardial infarction, there may be no acceptable alternatives to the use of beta-adrenergic blocking agents in patients with asthma. In this setting, cardioselective beta-blockers could be considered, although they should be administered with caution. Diuretics : The ECG changes and/or hypokalemia that may result from the administration of nonpotassium-sparing diuretics (such as loop or thiazide diuretics) can be acutely worsened by beta-agonists, especially when the recommended dose of the beta-agonist is exceeded. Although the clinical significance of these effects is not known, caution is advised in the coadministration of beta-agonists with nonpotassium-sparing diuretics. Digoxin: Mean decreases of 16% to 22% in serum digoxin levels were demonstrated after single-dose intravenous and oral administration of albuterol, respectively, to normal volunteers who had received digoxin for 10 days. The clinical significance of these findings for patients with obstructive airway disease who are receiving albuterol and digoxin on a chronic basis is unclear. Nevertheless, it would be prudent to carefully evaluate the serum digoxin levels in patients who are currently receiving digoxin and albuterol.

How Supplied

Albuterol Sulfate Syrup, 2 mg/5 mL, a clear, yellow liquid with a strawberry flavor, contains 2 mg of albuterol (present as the sulfate) per 5 mL in bottles of 16 fluid ounces (one pint) (NDC 70752-102-12). Store at 20° to 25°C (68° to 77°F) [See USP Controlled Room Temperature]. Dispense in a tight, light-resistant container as defined in the USP, with a child-resistant closure (as required).


Medication Information

Indications and Usage

Albuterol Sulfate Syrup is indicated for the relief of bronchospasm in adults and children 2 years of age and older with reversible obstructive airway disease.

Dosage and Administration

The following dosages of albuterol sulfate syrup are expressed in terms of albuterol base.

Usual Dosage

Adults and Children Over 14 Years of Age: The usual starting dosage for adults and children over 14 years of age is 2 mg (1 teaspoonful) or 4 mg (2 teaspoonfuls) three or four times a day.

Children Over 6 Years to 14 Years of Age:  The usual starting dosage for children over 6 years to 14 years of age is 2 mg (1 teaspoonful) three or four times a day.

Children 2 to 5 Years of Age: Dosing in children 2 to 5 years of age should be initiated at 0.1 mg/kg of body weight three times a day. This starting dosage should not exceed 2 mg (1 teaspoonful) three times a day.

Dosage Adjustment

Adults and Children Over 14 Years of Age: For adults and children over 14 years of age, a dosage above 4 mg four times a day should be used only when the patient fails to respond. If a favorable response does not occur with the 4-mg initial dosage, it should be cautiously increased stepwise up to a maximum of 8 mg four times a day as tolerated.

Children Over 6 Years to 14 Years of Age Who Fail to Respond to the Initial Starting Dosage of 2 mg Four Times a Day: For children over 6 years to 14 years of age who fail to respond to the initial starting dosage of 2 mg four times a day, the dosage may be cautiously increased stepwise, but not to exceed 24 mg/day (given in divided doses).

Children 2 to 5 Years of Age Who Do Not Respond Satisfactorily to the Initial Dosage: For children from 2 to 5 years of age who do not respond satisfactorily to the initial starting dosage, the dosage may be increased stepwise to 0.2 mg/kg of body weight three times a day, but not to exceed a maximum of 4 mg (2 teaspoonfuls) given three times a day.

Elderly Patients and Those Sensitive to Beta-adrenergic Stimulators: The initial dosage should be restricted to 2 mg three or four times a day and individually adjusted thereafter.

Contraindications

Albuterol Sulfate Syrup is contraindicated in patients with a history of hypersensitivity to albuterol or any of its components.

Adverse Reactions

In clinical trials, the most frequent adverse reactions to albuterol sulfate syrup in adults and older children were:

Percent Incidence of Adverse Reactions in Adults and

Children (6-14 Years of Age)

Reaction

Percent Incidence

Central nervous system

Tremor

10%

Nervousness

9%

Shakiness

9%

Headache

4%

Dizziness

3%

Hyperactivity

2%

Excitement

2%

Sleeplessness

1%

Disturbed sleep

<1%

Irritable behavior

<1%

Dilated pupils

<1%

Weakness

<1%

Cardiovascular

Tachycardia

1%

Palpitations

<1%

Sweating

<1%

Chest pain

<1%

Ear, nose, and throat

Epistaxis

1%

Gastrointestinal

Increased appetite

3%

Epigastric pain

<1%

Stomachache

<1%

Musculoskeletal

Muscle spasm

<1%

Respiratory

Cough

<1%

In clinical trials, the following adverse reactions to albuterol sulfate syrup were noted more frequently in young children 2 to 6 years of age than in older children and adults:

Percent Incidence of Adverse Reactions Noted More

Frequently in Children 2 to 6 Years of Age Than in Older

Children and Adults

Reaction

Percent Incidence

Central nervous system

Excitement

20%

Nervousness

15%

Hyperkinesia

4%

Sleeplessness

2%

Emotional lability

1%

Fatigue

1%

Cardiovascular

Tachycardia

2%

Pallor

1%

Gastrointestinal

Gastrointestinal symptoms

2%

Loss of Appetite

1%

Ophthalmologic

Conjunctivitis

1%

Cases of urticaria, angioedema, rash, bronchospasm, hoarseness, oropharyngeal edema, and arrhythmias (including atrial fibrillation, supraventricular tachycardia, extrasystoles) have been reported after the use of albuterol sulfate syrup.

In addition, albuterol, like other sympathomimetic agents, can cause adverse reactions such as hypertension, angina, vomiting, vertigo, central nervous system stimulation, unusual taste, and drying or irritation of the oropharynx.

The reactions are generally transient in nature, and it is usually not necessary to discontinue treatment with albuterol sulfate syrup. In selected cases, however, dosage may be reduced temporarily; after the reaction has subsided, dosage should be increased in small increments to the optimal dosage.

Drug Interactions

The concomitant use of albuterol sulfate syrup and other oral sympathomimetic agents is not recommended since such combined use may lead to deleterious cardiovascular effects. This recommendation does not preclude the judicious use of an aerosol bronchodilator of the adrenergic stimulant type in patients receiving albuterol sulfate syrup. Such concomitant use, however, should be individualized and not given on a routine basis. If regular coadministration is required, then alternative therapy should be considered.

Monoamine Oxidase Inhibitors or Tricyclic Antidepressants: Albuterol should be administered with extreme caution to patients being treated with monoamine oxidase inhibitors or tricyclic antidepressants, or within 2 weeks of discontinuation of such agents, because the action of albuterol on the vascular system may be potentiated.

Beta-Blockers: Beta-adrenergic receptor blocking agents not only block the pulmonary effect of beta-agonists, such as albuterol sulfate syrup, but may produce severe bronchospasm in asthmatic patients. Therefore, patients with asthma should not normally be treated with beta-blockers. However, under certain circumstances, e.g., as prophylaxis after myocardial infarction, there may be no acceptable alternatives to the use of beta-adrenergic blocking agents in patients with asthma. In this setting, cardioselective beta-blockers could be considered, although they should be administered with caution.

Diuretics: The ECG changes and/or hypokalemia that may result from the administration of nonpotassium-sparing diuretics (such as loop or thiazide diuretics) can be acutely worsened by beta-agonists, especially when the recommended dose of the beta-agonist is exceeded. Although the clinical significance of these effects is not known, caution is advised in the coadministration of beta-agonists with nonpotassium-sparing diuretics.

Digoxin: Mean decreases of 16% to 22% in serum digoxin levels were demonstrated after single-dose intravenous and oral administration of albuterol, respectively, to normal volunteers who had received digoxin for 10 days. The clinical significance of these findings for patients with obstructive airway disease who are receiving albuterol and digoxin on a chronic basis is unclear. Nevertheless, it would be prudent to carefully evaluate the serum digoxin levels in patients who are currently receiving digoxin and albuterol.

How Supplied

Albuterol Sulfate Syrup, 2 mg/5 mL, a clear, yellow liquid with a strawberry flavor, contains 2 mg of albuterol (present as the sulfate) per 5 mL in bottles of 16 fluid ounces (one pint) (NDC 70752-102-12).

Store at 20° to 25°C (68° to 77°F) [See USP Controlled Room Temperature].

Dispense in a tight, light-resistant container as defined in the USP, with a child-resistant closure (as required).

Description

Albuterol Sulfate Syrup contains albuterol sulfate, USP, the racemic form of albuterol and a relatively selective beta2-adrenergic bronchodilator. Albuterol sulfate has the chemical name α1-[(tert-butylamino)methyl]-4-hydroxy-m-xylene-α,α'-diol sulfate (2:1) (salt) and the following chemical structure:

Albuterol sulfate is a white or practically white powder freely soluble in water and slightly soluble in alcohol, in chloroform, and in ether per USP definition.

The World Health Organization recommended name for albuterol base is salbutamol.

Albuterol Sulfate Syrup for oral administration contains 2 mg of albuterol as 2.4 mg of albuterol sulfate in each teaspoonful (5 mL). Albuterol Sulfate Syrup also contains the inactive ingredients Citric Acid, FD&C Yellow No. 6, Hypromellose, Purified Water, Sodium Benzoate, Sodium Citrate, Sorbitol Solution and Strawberry Flavor. The pH of the syrup is 3.5 to 4.5.

Section 42229-5

Manufactured by:

Quagen Pharmaceuticals LLC

West Caldwell, NJ 07006

52004

Rev. 09/19

General

Albuterol, as with all sympathomimetic amines, should be used with caution in patients with cardiovascular disorders, especially coronary insufficiency, cardiac arrhythmias, and hypertension; in patients with convulsive disorders, hyperthyroidism, or diabetes mellitus; and in patients who are unusually responsive to sympathomimetic amines. Clinically significant changes in systolic and diastolic blood pressure have been seen in individual patients and could be expected to occur in some patients after use of any beta-adrenergic bronchodilator.

Large doses of intravenous albuterol have been reported to aggravate preexisting diabetes mellitus and ketoacidosis. As with other beta-agonists, albuterol may produce significant hypokalemia in some patients, possibly through intracellular shunting, which has the potential to produce adverse cardiovascular effects. The decrease is usually transient, not requiring supplementation.

Pregnancy

Teratogenic Effects

Pregnancy Category C

Albuterol has been shown to be teratogenic in mice. A study in CD-1 mice at subcutaneous (sc) doses of 0.025, 0.25, and 2.5 mg/kg (approximately 3/1000, 3/100, and 3/10, respectively, the maximum recommended daily oral dose for adults on a mg/m2 basis), showed cleft palate formation in 5 of 111 (4.5%) fetuses at 0.25 mg/kg and in 10 of 108 (9.3%) fetuses at 2.5 mg/kg. The drug did not induce cleft palate formation at the lowest dose, 0.025 mg/kg. Cleft palate also occurred in 22 of 72 (30.5%) fetuses from females treated with 2.5 mg/kg of isoproterenol (positive control) subcutaneously (approximately 3/10 times the maximum recommended daily oral dose for adults on a mg/m2 basis).

A reproduction study in Stride Dutch rabbits revealed cranioschisis in 7 of 19 (37%) fetuses when albuterol was administered orally at a 50 mg/kg dose (approximately 25 times the maximum recommended daily oral dose for adults on a mg/m 2 basis).

There are no adequate and well-controlled studies in pregnant women. Albuterol should be used during pregnancy only if the potential benefit justifies the potential risk to the fetus.

During worldwide marketing experience, various congenital anomalies, including cleft palate and limb defects, have been rarely reported in the offspring of patients being treated with albuterol. Some of the mothers were taking multiple medications during their pregnancies. No consistent pattern of defects can be discerned, and a relationship between albuterol use and congenital anomalies has not been established.

Overdosage

The expected symptoms with overdosage are those of excessive beta-adrenergic stimulation and/or occurrence or exaggeration of any of the symptoms listed under ADVERSE REACTIONS , e.g., seizures, angina, hypertension or hypotension, tachycardia with rates up to 200 beats per minute, arrhythmias, nervousness, headache, tremor, dry mouth, palpitation, nausea, dizziness, fatigue, malaise, and sleeplessness. Hypokalemia may also occur. As with all sympathomimetic medications, cardiac arrest and even death may be associated with abuse of albuterol sulfate syrup. Treatment consists of discontinuation of albuterol sulfate syrup together with appropriate symptomatic therapy. The judicious use of a cardioselective beta-receptor blocker may be considered, bearing in mind that such medication can produce bronchospasm. There is insufficient evidence to determine if dialysis is beneficial for overdosage of albuterol sulfate syrup.

The oral median lethal dose of albuterol sulfate in mice is greater than 2000 mg/kg (approximately 240 times the maximum recommended daily oral dose for adults and children on a mg/m2 basis). In mature rats the subcutaneous (sc) median lethal dose of albuterol sulfate is approximately 450 mg/kg (approximately 110 times the maximum recommended daily oral dose for adults and children on a mg/m2 basis). In small young rats the oral median lethal dose is approximately 2000 mg/kg (approximately 480 times the maximum recommended daily oral dose for adults and children on a mg/m2 basis).

Preclinical

Intravenous studies in rats with albuterol sulfate have demonstrated that albuterol crosses the blood brain barrier and reaches brain concentrations amounting to approximately 5.0% of the plasma concentrations. In structures outside the brain barrier (pineal and pituitary glands), albuterol concentrations were found to be 100 times those in the whole brain.

Studies in laboratory animals (minipigs, rodents, and dogs) have demonstrated the occurrence of cardiac arrhythmias and sudden death (with histologic evidence of myocardial necrosis) when beta-agonists and methylxanthines are administered concurrently. The clinical significance of these findings is unknown.

Pediatric Use

Safety and effectiveness in children below 2 years of age have not been established.

Clinical Trials

In controlled clinical trials in patients with asthma, the onset of improvement in pulmonary function, as measured by maximum midexpiratory flow rate (MMEF) and forced expiratory volume in 1 second (FEV1), was within 30 minutes after a dose of albuterol sulfate syrup, with peak improvement occurring between 2 and 3 hours. In a controlled clinical trial involving 55 children, clinically significant improvement (defined as maintaining a 15% or more increase in FEV1 and a 20% or more increase in MMEF over baseline values) continued to be recorded up to 6 hours. No decrease in the effectiveness was reported in one uncontrolled study of 32 children who took albuterol sulfate syrup for a 3-month period.

Nursing Mothers

It is not known whether this drug is excreted in human milk. Because of the potential for tumorigenicity shown for albuterol in some animal studies, a decision should be made whether to discontinue nursing or to discontinue the drug, taking into account the importance of the drug to the mother.

Pharmacokinetics

Albuterol is rapidly absorbed after oral administration of 10 mL of albuterol sulfate syrup (4 mg of albuterol) in normal volunteers. Maximum plasma concentrations of about 18 ng/mL of albuterol are achieved within 2 hours, and the drug is eliminated with a half-life of about 5 hours.

In other studies, the analysis of urine samples of patients given 8 mg of tritiated albuterol orally showed that 76% of the dose was excreted over three days, with the majority of the dose being excreted within the first 24 hours. Sixty percent of this radioactivity was shown to be the metabolite. Feces collected over this period contained 4% of the administered dose.

Clinical Pharmacology

In vitro studies and in vivo pharmacologic studies have demonstrated that albuterol has a preferential effect on beta2-adrenergic receptors compared with isoproterenol. While it is recognized that beta2-adrenergic receptors are the predominant receptors in bronchial smooth muscle, data indicate that there is a population of beta2-receptors in the human heart existing in a concentration between 10% and 50%. The precise function of these receptors has not been established (see WARNINGS ).

The pharmacologic effects of beta-adrenergic agonist drugs, including albuterol, are at least in part attributable to stimulation through beta-adrenergic receptors of intracellular adenyl cyclase, the enzyme that catalyzes the conversion of adenosine triphosphate (ATP) to cyclic-3', 5'-adenosine monophosphate (cyclic AMP). Increased cyclic AMP levels are associated with relaxation of bronchial smooth muscle and inhibition of release of mediators of immediate hypersensitivity from cells, especially from mast cells.

Albuterol has been shown in most controlled clinical trials to have more effect on the respiratory tract, in the form of bronchial smooth muscle relaxation, than isoproterenol at comparable doses while producing fewer cardiovascular effects.

Albuterol is longer acting than isoproterenol in most patients by any route of administration because it is not a substrate for the cellular uptake processes for catecholamines nor for catechol-O-methyl transferase.

Cardiovascular Effects

Albuterol Sulfate Syrup, like all other beta-adrenergic agonists, can produce a clinically significant cardiovascular effect in some patients as measured by pulse rate, blood pressure, and/or symptoms. Although such effects are uncommon after administration of albuterol sulfate syrup at recommended doses, if they occur, the drug may need to be discontinued. In addition, beta-agonists have been reported to produce electrocardiogram (ECG) changes, such as flattening of the T wave, prolongation of the QTc interval, and ST segment depression. The clinical significance of these findings is unknown. Therefore, Albuterol Sulfate Syrup, like all sympathomimetic amines, should be used with caution in patients with cardiovascular disorders, especially coronary insufficiency, cardiac arrhythmias, and hypertension.

Deterioration of Asthma

Asthma may deteriorate acutely over a period of hours or chronically over several days or longer. If the patient needs more doses of albuterol sulfate syrup than usual, this may be a marker of destabilization of asthma and requires reevaluation of the patient and treatment regimen, giving special consideration to the possible need for anti-inflammatory treatment, e.g., corticosteroids.

Principal Display Panel

NDC 70752-102-12

Albuterol

Sulfate Syrup

2 mg/5 mL


16 fl. oz. (473 mL)

Rx only

Information for Patients

The action of albuterol sulfate syrup may last up to 6 hours or longer. Albuterol Sulfate Syrup should not be taken more frequently than recommended. Do not increase the dose or frequency of albuterol sulfate syrup without consulting your physician. If you find that treatment with albuterol sulfate syrup becomes less effective for symptomatic relief, your symptoms get worse, and/or you need to take the product more frequently than usual, you should seek medical attention immediately. While you are taking albuterol sulfate syrup, other asthma medications and inhaled drugs should be taken only as directed by your physician. Common adverse effects include palpitations, chest pain, rapid heart rate, and tremor or nervousness. If you are pregnant or nursing, contact your physician about use of albuterol sulfate syrup. Effective and safe use of albuterol sulfate syrup includes an understanding of the way that it should be administered.

Paradoxical Bronchospasm

Albuterol Sulfate Syrup can produce paradoxical bronchospasm, which may be life threatening. If paradoxical bronchospasm occurs, albuterol sulfate syrup should be discontinued immediately and alternative therapy instituted.

Use in Labor and Delivery

Because of the potential for beta-agonist interference with uterine contractility, use of albuterol sulfate syrup for relief of bronchospasm during labor should be restricted to those patients in whom the benefits clearly outweigh the risk.

Tocolysis: Albuterol has not been approved for the management of preterm labor. The benefit:risk ratio when albuterol is administered for tocolysis has not been established. Serious adverse reactions, including maternal pulmonary edema, have been reported during or following treatment of premature labor with beta 2 -agonists, including albuterol.

Use of Anti Inflammatory Agents

The use of beta-adrenergic agonist bronchodilators alone may not be adequate to control asthma in many patients. Early consideration should be given to adding anti-inflammatory agents, e.g., corticosteroids.

Immediate Hypersensitivity Reactions

Immediate hypersensitivity reactions may occur after administration of albuterol, as demonstrated by rare cases of urticaria, angioedema, rash, bronchospasm, and oropharyngeal edema. Albuterol, like other beta-adrenergic agonists, can produce a significant cardiovascular effect in some patients, as measured by pulse rate, blood pressure, symptoms, and/or electrocardiographic changes.

Rarely, erythema multiforme and Stevens-Johnson syndrome have been associated with the administration of albuterol sulfate in children.

Carcinogenesis, Mutagenesis, Impairment of Fertility

In a 2-year study in Sprague-Dawley rats, albuterol sulfate caused a significant dose-related increase in the incidence of benign leiomyomas of the mesovarium at dietary doses of 2.0, 10, and 50 mg/kg (approximately 1/2, 2, and 10 times, respectively, the maximum recommended daily oral dose for adults and children, on a mg/m2 basis). In another study this effect was blocked by the coadministration of propranolol, a non-selective beta-adrenergic antagonist. In an 18-month study in CD-1 mice albuterol sulfate showed no evidence of tumorigenicity at dietary doses of up to 500 mg/kg (approximately 60 times the maximum recommended daily oral dose for adults and children on a mg/m2 basis). In a 22-month study in the Golden hamster albuterol sulfate showed no evidence of tumorigenicity at dietary doses of up to 50 mg/kg (approximately 8 times the maximum recommended daily oral dose for adults and children on a mg/m2 basis).

Albuterol sulfate was not mutagenic in the Ames test with or without metabolic activation using tester strains S. typhimurium TA1537, TA1538, and TA98 or E. coli WP2, WP2uvrA, and WP67. No forward mutation was seen in yeast strain S. cerevisiae S9 nor any mitotic gene conversion in yeast strain S. cerevisiae JD1 with or without metabolic activation. Fluctuation assays in S. typhimurium TA98 and E. coli WP2, both with metabolic activation, were negative. Albuterol sulfate was not clastogenic in a human peripheral lymphocyte assay or in an AH1 strain mouse micronucleus assay at intraperitoneal doses of up to 200 mg/kg.

Reproduction studies in rats demonstrated no evidence of impaired fertility at oral doses up to 50 mg/kg (approximately 15 times the maximum recommended daily oral dose for adults on a mg/m2 basis).


Structured Label Content

Section 42229-5 (42229-5)

Manufactured by:

Quagen Pharmaceuticals LLC

West Caldwell, NJ 07006

52004

Rev. 09/19

General

Albuterol, as with all sympathomimetic amines, should be used with caution in patients with cardiovascular disorders, especially coronary insufficiency, cardiac arrhythmias, and hypertension; in patients with convulsive disorders, hyperthyroidism, or diabetes mellitus; and in patients who are unusually responsive to sympathomimetic amines. Clinically significant changes in systolic and diastolic blood pressure have been seen in individual patients and could be expected to occur in some patients after use of any beta-adrenergic bronchodilator.

Large doses of intravenous albuterol have been reported to aggravate preexisting diabetes mellitus and ketoacidosis. As with other beta-agonists, albuterol may produce significant hypokalemia in some patients, possibly through intracellular shunting, which has the potential to produce adverse cardiovascular effects. The decrease is usually transient, not requiring supplementation.

Pregnancy

Teratogenic Effects

Pregnancy Category C

Albuterol has been shown to be teratogenic in mice. A study in CD-1 mice at subcutaneous (sc) doses of 0.025, 0.25, and 2.5 mg/kg (approximately 3/1000, 3/100, and 3/10, respectively, the maximum recommended daily oral dose for adults on a mg/m2 basis), showed cleft palate formation in 5 of 111 (4.5%) fetuses at 0.25 mg/kg and in 10 of 108 (9.3%) fetuses at 2.5 mg/kg. The drug did not induce cleft palate formation at the lowest dose, 0.025 mg/kg. Cleft palate also occurred in 22 of 72 (30.5%) fetuses from females treated with 2.5 mg/kg of isoproterenol (positive control) subcutaneously (approximately 3/10 times the maximum recommended daily oral dose for adults on a mg/m2 basis).

A reproduction study in Stride Dutch rabbits revealed cranioschisis in 7 of 19 (37%) fetuses when albuterol was administered orally at a 50 mg/kg dose (approximately 25 times the maximum recommended daily oral dose for adults on a mg/m 2 basis).

There are no adequate and well-controlled studies in pregnant women. Albuterol should be used during pregnancy only if the potential benefit justifies the potential risk to the fetus.

During worldwide marketing experience, various congenital anomalies, including cleft palate and limb defects, have been rarely reported in the offspring of patients being treated with albuterol. Some of the mothers were taking multiple medications during their pregnancies. No consistent pattern of defects can be discerned, and a relationship between albuterol use and congenital anomalies has not been established.

Overdosage (OVERDOSAGE)

The expected symptoms with overdosage are those of excessive beta-adrenergic stimulation and/or occurrence or exaggeration of any of the symptoms listed under ADVERSE REACTIONS , e.g., seizures, angina, hypertension or hypotension, tachycardia with rates up to 200 beats per minute, arrhythmias, nervousness, headache, tremor, dry mouth, palpitation, nausea, dizziness, fatigue, malaise, and sleeplessness. Hypokalemia may also occur. As with all sympathomimetic medications, cardiac arrest and even death may be associated with abuse of albuterol sulfate syrup. Treatment consists of discontinuation of albuterol sulfate syrup together with appropriate symptomatic therapy. The judicious use of a cardioselective beta-receptor blocker may be considered, bearing in mind that such medication can produce bronchospasm. There is insufficient evidence to determine if dialysis is beneficial for overdosage of albuterol sulfate syrup.

The oral median lethal dose of albuterol sulfate in mice is greater than 2000 mg/kg (approximately 240 times the maximum recommended daily oral dose for adults and children on a mg/m2 basis). In mature rats the subcutaneous (sc) median lethal dose of albuterol sulfate is approximately 450 mg/kg (approximately 110 times the maximum recommended daily oral dose for adults and children on a mg/m2 basis). In small young rats the oral median lethal dose is approximately 2000 mg/kg (approximately 480 times the maximum recommended daily oral dose for adults and children on a mg/m2 basis).

Description (DESCRIPTION)

Albuterol Sulfate Syrup contains albuterol sulfate, USP, the racemic form of albuterol and a relatively selective beta2-adrenergic bronchodilator. Albuterol sulfate has the chemical name α1-[(tert-butylamino)methyl]-4-hydroxy-m-xylene-α,α'-diol sulfate (2:1) (salt) and the following chemical structure:

Albuterol sulfate is a white or practically white powder freely soluble in water and slightly soluble in alcohol, in chloroform, and in ether per USP definition.

The World Health Organization recommended name for albuterol base is salbutamol.

Albuterol Sulfate Syrup for oral administration contains 2 mg of albuterol as 2.4 mg of albuterol sulfate in each teaspoonful (5 mL). Albuterol Sulfate Syrup also contains the inactive ingredients Citric Acid, FD&C Yellow No. 6, Hypromellose, Purified Water, Sodium Benzoate, Sodium Citrate, Sorbitol Solution and Strawberry Flavor. The pH of the syrup is 3.5 to 4.5.

Preclinical

Intravenous studies in rats with albuterol sulfate have demonstrated that albuterol crosses the blood brain barrier and reaches brain concentrations amounting to approximately 5.0% of the plasma concentrations. In structures outside the brain barrier (pineal and pituitary glands), albuterol concentrations were found to be 100 times those in the whole brain.

Studies in laboratory animals (minipigs, rodents, and dogs) have demonstrated the occurrence of cardiac arrhythmias and sudden death (with histologic evidence of myocardial necrosis) when beta-agonists and methylxanthines are administered concurrently. The clinical significance of these findings is unknown.

How Supplied (HOW SUPPLIED)

Albuterol Sulfate Syrup, 2 mg/5 mL, a clear, yellow liquid with a strawberry flavor, contains 2 mg of albuterol (present as the sulfate) per 5 mL in bottles of 16 fluid ounces (one pint) (NDC 70752-102-12).

Store at 20° to 25°C (68° to 77°F) [See USP Controlled Room Temperature].

Dispense in a tight, light-resistant container as defined in the USP, with a child-resistant closure (as required).

Pediatric Use

Safety and effectiveness in children below 2 years of age have not been established.

Clinical Trials

In controlled clinical trials in patients with asthma, the onset of improvement in pulmonary function, as measured by maximum midexpiratory flow rate (MMEF) and forced expiratory volume in 1 second (FEV1), was within 30 minutes after a dose of albuterol sulfate syrup, with peak improvement occurring between 2 and 3 hours. In a controlled clinical trial involving 55 children, clinically significant improvement (defined as maintaining a 15% or more increase in FEV1 and a 20% or more increase in MMEF over baseline values) continued to be recorded up to 6 hours. No decrease in the effectiveness was reported in one uncontrolled study of 32 children who took albuterol sulfate syrup for a 3-month period.

Nursing Mothers

It is not known whether this drug is excreted in human milk. Because of the potential for tumorigenicity shown for albuterol in some animal studies, a decision should be made whether to discontinue nursing or to discontinue the drug, taking into account the importance of the drug to the mother.

Pharmacokinetics

Albuterol is rapidly absorbed after oral administration of 10 mL of albuterol sulfate syrup (4 mg of albuterol) in normal volunteers. Maximum plasma concentrations of about 18 ng/mL of albuterol are achieved within 2 hours, and the drug is eliminated with a half-life of about 5 hours.

In other studies, the analysis of urine samples of patients given 8 mg of tritiated albuterol orally showed that 76% of the dose was excreted over three days, with the majority of the dose being excreted within the first 24 hours. Sixty percent of this radioactivity was shown to be the metabolite. Feces collected over this period contained 4% of the administered dose.

Adverse Reactions (ADVERSE REACTIONS)

In clinical trials, the most frequent adverse reactions to albuterol sulfate syrup in adults and older children were:

Percent Incidence of Adverse Reactions in Adults and

Children (6-14 Years of Age)

Reaction

Percent Incidence

Central nervous system

Tremor

10%

Nervousness

9%

Shakiness

9%

Headache

4%

Dizziness

3%

Hyperactivity

2%

Excitement

2%

Sleeplessness

1%

Disturbed sleep

<1%

Irritable behavior

<1%

Dilated pupils

<1%

Weakness

<1%

Cardiovascular

Tachycardia

1%

Palpitations

<1%

Sweating

<1%

Chest pain

<1%

Ear, nose, and throat

Epistaxis

1%

Gastrointestinal

Increased appetite

3%

Epigastric pain

<1%

Stomachache

<1%

Musculoskeletal

Muscle spasm

<1%

Respiratory

Cough

<1%

In clinical trials, the following adverse reactions to albuterol sulfate syrup were noted more frequently in young children 2 to 6 years of age than in older children and adults:

Percent Incidence of Adverse Reactions Noted More

Frequently in Children 2 to 6 Years of Age Than in Older

Children and Adults

Reaction

Percent Incidence

Central nervous system

Excitement

20%

Nervousness

15%

Hyperkinesia

4%

Sleeplessness

2%

Emotional lability

1%

Fatigue

1%

Cardiovascular

Tachycardia

2%

Pallor

1%

Gastrointestinal

Gastrointestinal symptoms

2%

Loss of Appetite

1%

Ophthalmologic

Conjunctivitis

1%

Cases of urticaria, angioedema, rash, bronchospasm, hoarseness, oropharyngeal edema, and arrhythmias (including atrial fibrillation, supraventricular tachycardia, extrasystoles) have been reported after the use of albuterol sulfate syrup.

In addition, albuterol, like other sympathomimetic agents, can cause adverse reactions such as hypertension, angina, vomiting, vertigo, central nervous system stimulation, unusual taste, and drying or irritation of the oropharynx.

The reactions are generally transient in nature, and it is usually not necessary to discontinue treatment with albuterol sulfate syrup. In selected cases, however, dosage may be reduced temporarily; after the reaction has subsided, dosage should be increased in small increments to the optimal dosage.

Contraindications (CONTRAINDICATIONS)

Albuterol Sulfate Syrup is contraindicated in patients with a history of hypersensitivity to albuterol or any of its components.

Drug Interactions

The concomitant use of albuterol sulfate syrup and other oral sympathomimetic agents is not recommended since such combined use may lead to deleterious cardiovascular effects. This recommendation does not preclude the judicious use of an aerosol bronchodilator of the adrenergic stimulant type in patients receiving albuterol sulfate syrup. Such concomitant use, however, should be individualized and not given on a routine basis. If regular coadministration is required, then alternative therapy should be considered.

Monoamine Oxidase Inhibitors or Tricyclic Antidepressants: Albuterol should be administered with extreme caution to patients being treated with monoamine oxidase inhibitors or tricyclic antidepressants, or within 2 weeks of discontinuation of such agents, because the action of albuterol on the vascular system may be potentiated.

Beta-Blockers: Beta-adrenergic receptor blocking agents not only block the pulmonary effect of beta-agonists, such as albuterol sulfate syrup, but may produce severe bronchospasm in asthmatic patients. Therefore, patients with asthma should not normally be treated with beta-blockers. However, under certain circumstances, e.g., as prophylaxis after myocardial infarction, there may be no acceptable alternatives to the use of beta-adrenergic blocking agents in patients with asthma. In this setting, cardioselective beta-blockers could be considered, although they should be administered with caution.

Diuretics: The ECG changes and/or hypokalemia that may result from the administration of nonpotassium-sparing diuretics (such as loop or thiazide diuretics) can be acutely worsened by beta-agonists, especially when the recommended dose of the beta-agonist is exceeded. Although the clinical significance of these effects is not known, caution is advised in the coadministration of beta-agonists with nonpotassium-sparing diuretics.

Digoxin: Mean decreases of 16% to 22% in serum digoxin levels were demonstrated after single-dose intravenous and oral administration of albuterol, respectively, to normal volunteers who had received digoxin for 10 days. The clinical significance of these findings for patients with obstructive airway disease who are receiving albuterol and digoxin on a chronic basis is unclear. Nevertheless, it would be prudent to carefully evaluate the serum digoxin levels in patients who are currently receiving digoxin and albuterol.

Clinical Pharmacology (CLINICAL PHARMACOLOGY)

In vitro studies and in vivo pharmacologic studies have demonstrated that albuterol has a preferential effect on beta2-adrenergic receptors compared with isoproterenol. While it is recognized that beta2-adrenergic receptors are the predominant receptors in bronchial smooth muscle, data indicate that there is a population of beta2-receptors in the human heart existing in a concentration between 10% and 50%. The precise function of these receptors has not been established (see WARNINGS ).

The pharmacologic effects of beta-adrenergic agonist drugs, including albuterol, are at least in part attributable to stimulation through beta-adrenergic receptors of intracellular adenyl cyclase, the enzyme that catalyzes the conversion of adenosine triphosphate (ATP) to cyclic-3', 5'-adenosine monophosphate (cyclic AMP). Increased cyclic AMP levels are associated with relaxation of bronchial smooth muscle and inhibition of release of mediators of immediate hypersensitivity from cells, especially from mast cells.

Albuterol has been shown in most controlled clinical trials to have more effect on the respiratory tract, in the form of bronchial smooth muscle relaxation, than isoproterenol at comparable doses while producing fewer cardiovascular effects.

Albuterol is longer acting than isoproterenol in most patients by any route of administration because it is not a substrate for the cellular uptake processes for catecholamines nor for catechol-O-methyl transferase.

Indications and Usage (INDICATIONS AND USAGE)

Albuterol Sulfate Syrup is indicated for the relief of bronchospasm in adults and children 2 years of age and older with reversible obstructive airway disease.

Cardiovascular Effects

Albuterol Sulfate Syrup, like all other beta-adrenergic agonists, can produce a clinically significant cardiovascular effect in some patients as measured by pulse rate, blood pressure, and/or symptoms. Although such effects are uncommon after administration of albuterol sulfate syrup at recommended doses, if they occur, the drug may need to be discontinued. In addition, beta-agonists have been reported to produce electrocardiogram (ECG) changes, such as flattening of the T wave, prolongation of the QTc interval, and ST segment depression. The clinical significance of these findings is unknown. Therefore, Albuterol Sulfate Syrup, like all sympathomimetic amines, should be used with caution in patients with cardiovascular disorders, especially coronary insufficiency, cardiac arrhythmias, and hypertension.

Deterioration of Asthma

Asthma may deteriorate acutely over a period of hours or chronically over several days or longer. If the patient needs more doses of albuterol sulfate syrup than usual, this may be a marker of destabilization of asthma and requires reevaluation of the patient and treatment regimen, giving special consideration to the possible need for anti-inflammatory treatment, e.g., corticosteroids.

Principal Display Panel (PRINCIPAL DISPLAY PANEL)

NDC 70752-102-12

Albuterol

Sulfate Syrup

2 mg/5 mL


16 fl. oz. (473 mL)

Rx only

Information for Patients

The action of albuterol sulfate syrup may last up to 6 hours or longer. Albuterol Sulfate Syrup should not be taken more frequently than recommended. Do not increase the dose or frequency of albuterol sulfate syrup without consulting your physician. If you find that treatment with albuterol sulfate syrup becomes less effective for symptomatic relief, your symptoms get worse, and/or you need to take the product more frequently than usual, you should seek medical attention immediately. While you are taking albuterol sulfate syrup, other asthma medications and inhaled drugs should be taken only as directed by your physician. Common adverse effects include palpitations, chest pain, rapid heart rate, and tremor or nervousness. If you are pregnant or nursing, contact your physician about use of albuterol sulfate syrup. Effective and safe use of albuterol sulfate syrup includes an understanding of the way that it should be administered.

Paradoxical Bronchospasm

Albuterol Sulfate Syrup can produce paradoxical bronchospasm, which may be life threatening. If paradoxical bronchospasm occurs, albuterol sulfate syrup should be discontinued immediately and alternative therapy instituted.

Dosage and Administration (DOSAGE AND ADMINISTRATION)

The following dosages of albuterol sulfate syrup are expressed in terms of albuterol base.

Usual Dosage

Adults and Children Over 14 Years of Age: The usual starting dosage for adults and children over 14 years of age is 2 mg (1 teaspoonful) or 4 mg (2 teaspoonfuls) three or four times a day.

Children Over 6 Years to 14 Years of Age:  The usual starting dosage for children over 6 years to 14 years of age is 2 mg (1 teaspoonful) three or four times a day.

Children 2 to 5 Years of Age: Dosing in children 2 to 5 years of age should be initiated at 0.1 mg/kg of body weight three times a day. This starting dosage should not exceed 2 mg (1 teaspoonful) three times a day.

Dosage Adjustment

Adults and Children Over 14 Years of Age: For adults and children over 14 years of age, a dosage above 4 mg four times a day should be used only when the patient fails to respond. If a favorable response does not occur with the 4-mg initial dosage, it should be cautiously increased stepwise up to a maximum of 8 mg four times a day as tolerated.

Children Over 6 Years to 14 Years of Age Who Fail to Respond to the Initial Starting Dosage of 2 mg Four Times a Day: For children over 6 years to 14 years of age who fail to respond to the initial starting dosage of 2 mg four times a day, the dosage may be cautiously increased stepwise, but not to exceed 24 mg/day (given in divided doses).

Children 2 to 5 Years of Age Who Do Not Respond Satisfactorily to the Initial Dosage: For children from 2 to 5 years of age who do not respond satisfactorily to the initial starting dosage, the dosage may be increased stepwise to 0.2 mg/kg of body weight three times a day, but not to exceed a maximum of 4 mg (2 teaspoonfuls) given three times a day.

Elderly Patients and Those Sensitive to Beta-adrenergic Stimulators: The initial dosage should be restricted to 2 mg three or four times a day and individually adjusted thereafter.

Use in Labor and Delivery

Because of the potential for beta-agonist interference with uterine contractility, use of albuterol sulfate syrup for relief of bronchospasm during labor should be restricted to those patients in whom the benefits clearly outweigh the risk.

Tocolysis: Albuterol has not been approved for the management of preterm labor. The benefit:risk ratio when albuterol is administered for tocolysis has not been established. Serious adverse reactions, including maternal pulmonary edema, have been reported during or following treatment of premature labor with beta 2 -agonists, including albuterol.

Use of Anti Inflammatory Agents (Use of Anti-Inflammatory Agents)

The use of beta-adrenergic agonist bronchodilators alone may not be adequate to control asthma in many patients. Early consideration should be given to adding anti-inflammatory agents, e.g., corticosteroids.

Immediate Hypersensitivity Reactions

Immediate hypersensitivity reactions may occur after administration of albuterol, as demonstrated by rare cases of urticaria, angioedema, rash, bronchospasm, and oropharyngeal edema. Albuterol, like other beta-adrenergic agonists, can produce a significant cardiovascular effect in some patients, as measured by pulse rate, blood pressure, symptoms, and/or electrocardiographic changes.

Rarely, erythema multiforme and Stevens-Johnson syndrome have been associated with the administration of albuterol sulfate in children.

Carcinogenesis, Mutagenesis, Impairment of Fertility

In a 2-year study in Sprague-Dawley rats, albuterol sulfate caused a significant dose-related increase in the incidence of benign leiomyomas of the mesovarium at dietary doses of 2.0, 10, and 50 mg/kg (approximately 1/2, 2, and 10 times, respectively, the maximum recommended daily oral dose for adults and children, on a mg/m2 basis). In another study this effect was blocked by the coadministration of propranolol, a non-selective beta-adrenergic antagonist. In an 18-month study in CD-1 mice albuterol sulfate showed no evidence of tumorigenicity at dietary doses of up to 500 mg/kg (approximately 60 times the maximum recommended daily oral dose for adults and children on a mg/m2 basis). In a 22-month study in the Golden hamster albuterol sulfate showed no evidence of tumorigenicity at dietary doses of up to 50 mg/kg (approximately 8 times the maximum recommended daily oral dose for adults and children on a mg/m2 basis).

Albuterol sulfate was not mutagenic in the Ames test with or without metabolic activation using tester strains S. typhimurium TA1537, TA1538, and TA98 or E. coli WP2, WP2uvrA, and WP67. No forward mutation was seen in yeast strain S. cerevisiae S9 nor any mitotic gene conversion in yeast strain S. cerevisiae JD1 with or without metabolic activation. Fluctuation assays in S. typhimurium TA98 and E. coli WP2, both with metabolic activation, were negative. Albuterol sulfate was not clastogenic in a human peripheral lymphocyte assay or in an AH1 strain mouse micronucleus assay at intraperitoneal doses of up to 200 mg/kg.

Reproduction studies in rats demonstrated no evidence of impaired fertility at oral doses up to 50 mg/kg (approximately 15 times the maximum recommended daily oral dose for adults on a mg/m2 basis).


Advanced Ingredient Data


Raw Label Data

All Sections (JSON)