Nortrel®

Nortrel®
SPL v18
SPL
SPL Set ID 992dcc56-90ab-4691-8114-16d47a8b9982
Route
ORAL
Published
Effective Date 2021-12-01
Document Type 34391-3 HUMAN PRESCRIPTION DRUG LABEL

Drug Facts

Composition & Product

Active Ingredients
Norethindrone (0.5 mg) Ethinyl Estradiol (0.035 mg)
Inactive Ingredients
D&c Yellow No. 10 Lactose Monohydrate Magnesium Stearate Starch, Corn Fd&c Blue No. 1 Fd&c Yellow No. 6

Identifiers & Packaging

Pill Appearance
Imprint: b;944 Shape: round Color: yellow Color: blue Color: orange Color: white Size: 6 mm Score: 1
Marketing Status
ANDA Active Since 2003-01-02

Description

WARNING: CARDIOVASCULAR RISK ASSOCIATED WITH SMOKING Cigarette smoking increases the risk of serious cardiovascular events from combination oral contraceptive use. This risk increases with age, particularly in women over 35 years of age, and with the number of cigarettes smoked. For this reason, combination oral contraceptives, including Nortrel ® 7/7/7, should not be used by women who are over 35 years of age and smoke.

Indications and Usage

Nortrel ® 7/7/7 (norethindrone and ethinyl estradiol tablets USP, 0.5/0.035 mg, 0.75/0.035 mg, and 1/0.035 mg) is indicated for the prevention of pregnancy in women who elect to use this product as a method of contraception. Oral contraceptives are highly effective. Table 1 lists the typical accidental pregnancy rates for users of combined oral contraceptives and other methods of contraception. The efficacy of these contraceptive methods, except sterilization, the IUD, and the NORPLANT ® System depends upon the reliability with which they are used. Correct and consistent use of methods can result in lower failure rates. Table 1: Percentage of Women Experiencing an Unintended Pregnancy During the First Year of Typical Use and the First Year of Perfect Use of Contraception and the Percentage Continuing Use at the End of the First Year. United States. % of Women Experiencing an Unintended Pregnancy within the First Year of Use % of Women Continuing Use at One Year 1 Method (1) Typical Use 2 (2) Perfect Use 3 (3) (4) Chance 4 85 85 Spermicides 5 26 6 40 Periodic abstinence 25 63 Calendar 9 Ovulation Method 3 Sympto-Thermal 6 2 Post-Ovulation 1 Cap 7 Parous Women 40 26 42 Nulliparous Women 20 9 56 Sponge Parous Women 40 20 42 Nulliparous Women 20 9 56 Diaphragm 7 20 6 56 Withdrawal 19 4 Condom 8 Female (Reality ® ) 21 5 56 Male 14 3 61 Pill 5 71 Progestin Only 0.5 Combined 0.1 IUD Progesterone T 2.0 1.5 81 Copper T380A 0.8 0.6 78 LNg 20 0.1 0.1 81 Depo-Provera ® 0.3 0.3 70 Norplant ® and Norplant-2 ® 0.05 0.05 88 Female Sterilization 0.5 0.5 100 Male Sterilization 0.15 0.10 100 Adapted from Hatcher et al., 1998, Ref. #1. Emergency Contraceptive Pills: Treatment initiated within 72 hours after unprotected intercourse reduces the risk of pregnancy by at least 75%. 9 Lactational Amenorrhea Method: LAM is a highly effective, temporary method of contraception. 10 Source: Trussell J, Contraceptive efficacy. In Hatcher RA, Trussell J, Stewart F, Cates W, Stewart GK, Kowal D, Guest F, Contraceptive Technology: Seventeenth Revised Edition. New York, NY: Irvington Publishers, 1998. 1. Among couples attempting to avoid pregnancy, the percentage who continue to use a method for one year. 2. Among typical couples who initiate use of a method (not necessarily for the first time), the percentage who experience an accidental pregnancy during the first year if they do not stop use for any other reason. 3. Among couples who initiate use of a method (not necessarily for the first time), and who use it perfectly (both consistently and correctly), the percentage who experience an accidental pregnancy during the first year if they do not stop use for any other reason. 4. The percents becoming pregnant in columns (2) and (3) are based on data from populations where contraception is not used and from women who cease using contraception in order to become pregnant. Among such populations, about 89% become pregnant within one year. This estimate was lowered slightly (to 85%) to represent the percent who would become pregnant within one year among women now relying on reversible methods of contraception if they abandoned contraception altogether. 5. Foams, creams, gels, vaginal suppositories, and vaginal film. 6. Cervical mucus (ovulation) method supplemented by calendar in the pre-ovulatory and basal body temperature in the post-ovulatory phases. 7. With spermicidal cream or jelly. 8. Without spermicides. 9. The treatment schedule is one dose within 72 hours after unprotected intercourse, and a second dose 12 hours after the first dose. The Food and Drug Administration has declared the following brands of oral contraceptives to be safe and effective for emergency contraception: Ovral ® (1 dose is 2 white pills), Alesse ® (1 dose is 5 pink pills), Nordette ® or Levlen ® (1 dose is 2 light-orange pills), Lo/Ovral ® (1 dose is 4 white pills), Triphasil ® or Tri-Levlen ® (1 dose is 4 yellow pills). 10. However, to maintain effective protection against pregnancy, another method of contraception must be used as soon as menstruation resumes, the frequency or duration of breastfeeds is reduced, bottle feeds are introduced, or the baby reaches six months of age. Nortrel 7/7/7 has not been studied for and is not indicated for use in emergency contraception .

Dosage and Administration

To achieve maximum contraceptive effectiveness, Nortrel 7/7/7 tablets must be taken exactly as directed and at intervals not exceeding 24 hours. Nortrel 7/7/7 tablets are available with the blister pack tablet dispenser which is preset for a Sunday Start. Day 1 Start is also available.

Contraindications

Oral contraceptives should not be used in women who currently have the following conditions: Thrombophlebitis or thromboembolic disorders A past history of deep vein thrombophlebitis or thromboembolic disorders Known thrombophilic conditions Cerebral vascular or coronary artery disease (current or history) Valvular heart disease with complications Persistent blood pressure values of ≥ 160 mm Hg systolic or ≥ 100 mg Hg diastolic 96 Diabetes with vascular involvement Headaches with focal neurological symptoms Major surgery with prolonged immobilization Current diagnosis of, or history of, breast cancer, which may be hormone-sensitive Carcinoma of the endometrium or other known or suspected estrogen-dependent neoplasia Undiagnosed abnormal genital bleeding Cholestatic jaundice of pregnancy or jaundice with prior pill use Acute or chronic hepatocellular disease with abnormal liver function Hepatic adenomas or carcinomas Known or suspected pregnancy Hypersensitivity to any component of this product Are receiving Hepatitis C drug combinations containing ombitasvir/paritaprevir/ritonavir, with or without dasabuvir, due to the potential for ALT elevations (see WARNINGS, Risk of Liver Enzyme Elevations with Concomitant Hepatitis C Treatment).

Adverse Reactions

Post Marketing Experience Five studies that compared breast cancer risk between ever-users (current or past use) of COCs and never-users of COCs reported no association between ever use of COCs and breast cancer risk, with effect estimates ranging from 0.90 - 1.12 (Figure 2). Three studies compared breast cancer risk between current or recent COC users (<6 months since last use) and never users of COCs (Figure 2). One of these studies reported no association between breast cancer risk and COC use. The other two studies found an increased relative risk of 1.19 - 1.33 with current or recent use. Both of these studies found an increased risk of breast cancer with current use of longer duration, with relative risks ranging from 1.03 with less than one year of COC use to approximately 1.4 with more than 8-10 years of COC use. Figure 2: Risk of Breast Cancer with Combined Oral Contraceptive Use RR = relative risk; OR = odds ratio; HR = hazard ratio. “ever COC” are females with current or past COC use; “never COC use” are females that never used COCs. An increased risk of the following serious adverse reactions has been associated with the use of oral contraceptives (See WARNINGS ). Thrombophlebitis and venous thrombosis with or without embolism Arterial thromboembolism Pulmonary embolism Myocardial infarction Cerebral hemorrhage Cerebral thrombosis Hypertension Gallbladder disease Hepatic adenomas or benign liver tumors There is evidence of an association between the following conditions and the use of oral contraceptives: Mesenteric thrombosis Retinal thrombosis The following adverse reactions have been reported in patients receiving oral contraceptives and are believed to be drug-related: Nausea Vomiting Gastrointestinal symptoms (such as abdominal cramps and bloating) Breakthrough bleeding Spotting Change in menstrual flow Amenorrhea Temporary infertility after discontinuation of treatment Edema Melasma which may persist Breast changes: tenderness, enlargement, secretion Change in weight (increase or decrease) Change in cervical erosion and secretion Diminution in lactation when given immediately postpartum Cholestatic jaundice Migraine Allergic reaction, including rash, urticaria, angioedema Mental depression Reduced tolerance to carbohydrates Vaginal candidiasis Change in corneal curvature (steepening) Intolerance to contact lenses The following adverse reactions have been reported in users of oral contraceptives and a causal association has been neither confirmed nor refuted: Pre-menstrual syndrome Cataracts Changes in appetite Cystitis-like syndrome Headache Nervousness Dizziness Hirsutism Loss of scalp hair Erythema multiforme Erythema nodosum Hemorrhagic eruption Vaginitis Porphyria Impaired renal function Hemolytic uremic syndrome Acne Changes in libido Colitis Budd-Chiari Syndrome The following adverse reactions were also reported in clinical trials or during post-marketing experience: Gastrointestinal Disorders: diarrhea, pancreatitis; Musculoskeletal and Connective Tissue Disorders: muscle spasms, back pain; Reproductive System and Breast Disorders vulvovaginal pruritus , pelvic pain, dysmenorrhea, vulvovaginal dryness; Psychiatric Disorders: anxiety, mood swings, mood altered; Skin and Subcutaneous Tissue Disorders: pruritus, photosensitivity reaction; General Disorders and Administration Site Conditions: edema peripheral, fatigue, irritability, asthenia, malaise; Neoplasms Benign, Malignant, and Unspecified (Including Cysts and Polyps): breast cancer, breast mass, breast neoplasm, cervix carcinoma; Immune System Disorders: anaphylactic/anaphylactoid reaction ; Hepatobiliary Disorders: hepatitis, cholelithiasis.

Drug Interactions

Consult the labeling of concurrently-used drugs to obtain further information about interactions with hormonal contraceptives or the potential for enzyme alterations. Effects of Other Drugs on Combined Hormonal Contraceptives Substances decreasing the plasma concentrations of COCs and potentially diminishing the efficacy of COCs: Drugs or herbal products that induce certain enzymes, including cytochrome P450 3A4 (CYP3A4), may decrease the plasma concentrations of COCs and potentially diminish the effectiveness of CHCs or increase breakthrough bleeding. Some drugs or herbal products that may decrease the effectiveness of hormonal contraceptives include phenytoin, barbiturates, carbamazepine, bosentan, felbamate, griseofulvin, oxcarbazepine, rifampicin, topiramate, rifabutin, rufinamide, aprepitant, and products containing St. John’s wort. Interactions between hormonal contraceptives and other drugs may lead to breakthrough bleeding and/or contraceptive failure. Counsel women to use an alternative method of contraception or a back-up method when enzyme inducers are used with CHCs, and to continue back-up contraception for 28 days after discontinuing the enzyme inducer to ensure contraceptive reliability. Substances increasing the plasma concentrations of COCs: Co-administration of atorvastatin or rosuvastatin and certain COCs containing EE increase AUC values for EE by approximately 20 to 25%. Ascorbic acid and acetaminophen may increase plasma EE concentrations, possibly by inhibition of conjugation. CYP3A4 inhibitors such as itraconazole, voriconazole, fluconazole, grapefruit juice, or ketoconazole may increase plasma hormone concentrations. Human immunodeficiency virus (HIV)/Hepatitis C virus (HCV) protease inhibitors and non-nucleoside reverse transcriptase inhibitors: Significant changes (increase or decrease) in the plasma concentrations of estrogen and/or progestin have been noted in some cases of co-administration with HIV protease inhibitors (decrease [e.g., nelfinavir, ritonavir, darunavir/ritonavir, (fos) amprenavir/ritonavir, lopinavir/ritonavir, and tipranavir/ritonavir] or increase [e.g., indinavir and atazanavir/ritonavir]) /HCV protease inhibitors (decrease [e.g., boceprevir and telaprevir]) or with non-nucleoside reverse transcriptase inhibitors (decrease [e.g., nevirapine] or increase [e.g., etravirine]). Colesevelam : Colesevelam, a bile acid sequestrant, given together with a combination oral hormonal contraceptive, has been shown to significantly decrease the AUC of EE. A drug interaction between the contraceptive and colesevelam was decreased when the two drug products were given 4 hours apart. Effects of Combined Hormonal Contraceptives on Other Drugs COCs containing EE may inhibit the metabolism of other compounds (e.g., cyclosporine, prednisolone, theophylline, tizanidine, and voriconazole) and increase their plasma concentrations. COCs have been shown to decrease plasma concentrations of acetaminophen, clofibric acid, morphine, salicylic acid, temazepam and lamotrigine. Significant decrease in plasma concentration of lamotrigine has been shown, likely due to induction of lamotrigine glucuronidation. This may reduce seizure control; therefore, dosage adjustments of lamotrigine may be necessary. Women on thyroid hormone replacement therapy may need increased doses of thyroid hormone because serum concentrations of thyroid-binding globulin increases with use of COCs.

How Supplied

Nortrel ® 7/7/7 (norethindrone and ethinyl estradiol tablets USP, 0.5/0.035 mg, 0.75/0.035 mg, and 1/0.035 mg) is packaged in cartons of six blister cards (NDC 0555-9012-58). Each card contains 28 tablets, as follows: 7 light yellow, round, flat-faced, beveled-edge, unscored tablets, debossed with stylized b on one side and 951 on the other side (0.5 mg norethindrone, USP and 0.035 mg ethinyl estradiol, USP); 7 blue, round, flat-faced, beveled-edge, unscored tablets, debossed with stylized b on one side and 942 on the other side (0.75 mg norethindrone, USP and 0.035 mg ethinyl estradiol, USP); 7 peach, round, flat-faced, beveled-edge, unscored tablets, debossed with stylized b on one side and 943 on the other side (1 mg norethindrone, USP and 0.035 mg ethinyl estradiol, USP), and 7 white, round, flat-faced, beveled-edge, unscored, inert tablets, debossed with stylized b on one side and 944 on the other side. Store at 20° to 25°C (68° to 77°F) [See USP Controlled Room Temperature]. KEEP THIS AND ALL MEDICATIONS OUT OF THE REACH OF CHILDREN.


Medication Information

Recent Major Changes

WARNING: CARDIOVASCULAR RISK ASSOCIATED WITH SMOKING

Cigarette smoking increases the risk of serious cardiovascular events from combination oral contraceptive use. This risk increases with age, particularly in women over 35 years of age, and with the number of cigarettes smoked. For this reason, combination oral contraceptives, including Nortrel® 7/7/7, should not be used by women who are over 35 years of age and smoke.

Indications and Usage

Nortrel® 7/7/7 (norethindrone and ethinyl estradiol tablets USP, 0.5/0.035 mg, 0.75/0.035 mg, and 1/0.035 mg) is indicated for the prevention of pregnancy in women who elect to use this product as a method of contraception.

Oral contraceptives are highly effective. Table 1 lists the typical accidental pregnancy rates for users of combined oral contraceptives and other methods of contraception. The efficacy of these contraceptive methods, except sterilization, the IUD, and the NORPLANT® System depends upon the reliability with which they are used. Correct and consistent use of methods can result in lower failure rates.

Table 1: Percentage of Women Experiencing an Unintended Pregnancy During the First Year of Typical Use and the First Year of Perfect Use of Contraception and the Percentage Continuing Use at the End of the First Year. United States.

% of Women Experiencing an

Unintended Pregnancy

within the First Year of Use

% of Women Continuing Use at One Year 1

Method

(1)

Typical Use 2

(2)

Perfect Use 3

(3)

(4)

Chance 4

85

85

Spermicides 5

26

6

40

Periodic abstinence

25

63

Calendar

9

Ovulation Method

3

Sympto-Thermal 6

2

Post-Ovulation

1

Cap 7

Parous Women

40

26

42

Nulliparous Women

20

9

56

Sponge

Parous Women

40

20

42

Nulliparous Women

20

9

56

Diaphragm 7

20

6

56

Withdrawal

19

4

Condom 8

Female (Reality®)

21

5

56

Male

14

3

61

Pill

5

71

Progestin Only

0.5

Combined

0.1

IUD

Progesterone T

2.0

1.5

81

Copper T380A

0.8

0.6

78

LNg 20

0.1

0.1

81

Depo-Provera®

0.3

0.3

70

Norplant® and Norplant-2®

0.05

0.05

88

Female Sterilization

0.5

0.5

100

Male Sterilization

0.15

0.10

100

Adapted from Hatcher et al., 1998, Ref. #1.

Emergency Contraceptive Pills: Treatment initiated within 72 hours after unprotected intercourse reduces the risk of pregnancy by at least 75%. 9

Lactational Amenorrhea Method: LAM is a highly effective, temporary method of contraception. 10

Source: Trussell J, Contraceptive efficacy. In Hatcher RA, Trussell J, Stewart F, Cates W, Stewart GK, Kowal D, Guest F, Contraceptive Technology: Seventeenth Revised Edition. New York, NY: Irvington Publishers, 1998.

1. Among couples attempting to avoid pregnancy, the percentage who continue to use a method for one year.

2. Among typical couples who initiate use of a method (not necessarily for the first time), the percentage who experience an accidental pregnancy during the first year if they do not stop use for any other reason.

3. Among couples who initiate use of a method (not necessarily for the first time), and who use it perfectly (both consistently and correctly), the percentage who experience an accidental pregnancy during the first year if they do not stop use for any other reason.

4. The percents becoming pregnant in columns (2) and (3) are based on data from populations where contraception is not used and from women who cease using contraception in order to become pregnant. Among such populations, about 89% become pregnant within one year. This estimate was lowered slightly (to 85%) to represent the percent who would become pregnant within one year among women now relying on reversible methods of contraception if they abandoned contraception altogether.

5. Foams, creams, gels, vaginal suppositories, and vaginal film.

6. Cervical mucus (ovulation) method supplemented by calendar in the pre-ovulatory and basal body temperature in the post-ovulatory phases.

7. With spermicidal cream or jelly.

8. Without spermicides.

9. The treatment schedule is one dose within 72 hours after unprotected intercourse, and a second dose 12 hours after the first dose. The Food and Drug Administration has declared the following brands of oral contraceptives to be safe and effective for emergency contraception: Ovral® (1 dose is 2 white pills), Alesse® (1 dose is 5 pink pills), Nordette® or Levlen® (1 dose is 2 light-orange pills), Lo/Ovral® (1 dose is 4 white pills), Triphasil® or Tri-Levlen® (1 dose is 4 yellow pills).

10.However, to maintain effective protection against pregnancy, another method of contraception must be used as soon as menstruation resumes, the frequency or duration of breastfeeds is reduced, bottle feeds are introduced, or the baby reaches six months of age.

Nortrel 7/7/7 has not been studied for and is not indicated for use in emergency contraception.

Dosage and Administration

To achieve maximum contraceptive effectiveness, Nortrel 7/7/7 tablets must be taken exactly as directed and at intervals not exceeding 24 hours. Nortrel 7/7/7 tablets are available with the blister pack tablet dispenser which is preset for a Sunday Start. Day 1 Start is also available.

Contraindications

Oral contraceptives should not be used in women who currently have the following conditions:

  • Thrombophlebitis or thromboembolic disorders
  • A past history of deep vein thrombophlebitis or thromboembolic disorders
  • Known thrombophilic conditions
  • Cerebral vascular or coronary artery disease (current or history)
  • Valvular heart disease with complications
  • Persistent blood pressure values of ≥ 160 mm Hg systolic or ≥ 100 mg Hg diastolic96
  • Diabetes with vascular involvement
  • Headaches with focal neurological symptoms
  • Major surgery with prolonged immobilization
  • Current diagnosis of, or history of, breast cancer, which may be hormone-sensitive
  • Carcinoma of the endometrium or other known or suspected estrogen-dependent neoplasia
  • Undiagnosed abnormal genital bleeding
  • Cholestatic jaundice of pregnancy or jaundice with prior pill use
  • Acute or chronic hepatocellular disease with abnormal liver function
  • Hepatic adenomas or carcinomas
  • Known or suspected pregnancy
  • Hypersensitivity to any component of this product
  • Are receiving Hepatitis C drug combinations containing ombitasvir/paritaprevir/ritonavir, with or without dasabuvir, due to the potential for ALT elevations (see WARNINGS, Risk of Liver Enzyme Elevations with Concomitant Hepatitis C Treatment).
Adverse Reactions

Post Marketing Experience

Five studies that compared breast cancer risk between ever-users (current or past use) of COCs and never-users of COCs reported no association between ever use of COCs and breast cancer risk, with effect estimates ranging from 0.90 - 1.12 (Figure 2).

Three studies compared breast cancer risk between current or recent COC users (<6 months since last use) and never users of COCs (Figure 2). One of these studies reported no association between breast cancer risk and COC use. The other two studies found an increased relative risk of 1.19 - 1.33 with current or recent use. Both of these studies found an increased risk of breast cancer with current use of longer duration, with relative risks ranging from 1.03 with less than one year of COC use to approximately 1.4 with more than 8-10 years of COC use.

Figure 2: Risk of Breast Cancer with Combined Oral Contraceptive Use

RR = relative risk; OR = odds ratio; HR = hazard ratio. “ever COC” are females with current or past COC use; “never COC use” are females that never used COCs.

An increased risk of the following serious adverse reactions has been associated with the use of oral contraceptives (See WARNINGS).

  • Thrombophlebitis and venous thrombosis with or without embolism
  • Arterial thromboembolism
  • Pulmonary embolism
  • Myocardial infarction
  • Cerebral hemorrhage
  • Cerebral thrombosis
  • Hypertension
  • Gallbladder disease
  • Hepatic adenomas or benign liver tumors

There is evidence of an association between the following conditions and the use of oral contraceptives:

  • Mesenteric thrombosis
  • Retinal thrombosis

The following adverse reactions have been reported in patients receiving oral contraceptives and are believed to be drug-related:

  • Nausea
  • Vomiting
  • Gastrointestinal symptoms (such as abdominal cramps and bloating)
  • Breakthrough bleeding
  • Spotting
  • Change in menstrual flow
  • Amenorrhea
  • Temporary infertility after discontinuation of treatment
  • Edema
  • Melasma which may persist
  • Breast changes: tenderness, enlargement, secretion
  • Change in weight (increase or decrease)
  • Change in cervical erosion and secretion
  • Diminution in lactation when given immediately postpartum
  • Cholestatic jaundice
  • Migraine
  • Allergic reaction, including rash, urticaria, angioedema
  • Mental depression
  • Reduced tolerance to carbohydrates
  • Vaginal candidiasis
  • Change in corneal curvature (steepening)
  • Intolerance to contact lenses

The following adverse reactions have been reported in users of oral contraceptives and a causal association has been neither confirmed nor refuted:

  • Pre-menstrual syndrome
  • Cataracts
  • Changes in appetite
  • Cystitis-like syndrome
  • Headache
  • Nervousness
  • Dizziness
  • Hirsutism
  • Loss of scalp hair
  • Erythema multiforme
  • Erythema nodosum
  • Hemorrhagic eruption
  • Vaginitis
  • Porphyria
  • Impaired renal function
  • Hemolytic uremic syndrome
  • Acne
  • Changes in libido
  • Colitis
  • Budd-Chiari Syndrome

The following adverse reactions were also reported in clinical trials or during post-marketing experience: Gastrointestinal Disorders: diarrhea, pancreatitis; Musculoskeletal and Connective Tissue Disorders: muscle spasms, back pain; Reproductive System and Breast Disorders vulvovaginal pruritus, pelvic pain, dysmenorrhea, vulvovaginal dryness; Psychiatric Disorders: anxiety, mood swings, mood altered; Skin and Subcutaneous Tissue Disorders: pruritus, photosensitivity reaction; General Disorders and Administration Site Conditions: edema peripheral, fatigue, irritability, asthenia, malaise; Neoplasms Benign, Malignant, and Unspecified (Including Cysts and Polyps): breast cancer, breast mass, breast neoplasm, cervix carcinoma; Immune System Disorders: anaphylactic/anaphylactoid reaction; Hepatobiliary Disorders: hepatitis, cholelithiasis.

Drug Interactions

Consult the labeling of concurrently-used drugs to obtain further information about interactions with hormonal contraceptives or the potential for enzyme alterations. Effects of Other Drugs on Combined Hormonal Contraceptives Substances decreasing the plasma concentrations of COCs and potentially diminishing the efficacy of COCs: Drugs or herbal products that induce certain enzymes, including cytochrome P450 3A4 (CYP3A4), may decrease the plasma concentrations of COCs and potentially diminish the effectiveness of CHCs or increase breakthrough bleeding. Some drugs or herbal products that may decrease the effectiveness of hormonal contraceptives include phenytoin, barbiturates, carbamazepine, bosentan, felbamate, griseofulvin, oxcarbazepine, rifampicin, topiramate, rifabutin, rufinamide, aprepitant, and products containing St. John’s wort. Interactions between hormonal contraceptives and other drugs may lead to breakthrough bleeding and/or contraceptive failure. Counsel women to use an alternative method of contraception or a back-up method when enzyme inducers are used with CHCs, and to continue back-up contraception for 28 days after discontinuing the enzyme inducer to ensure contraceptive reliability. Substances increasing the plasma concentrations of COCs: Co-administration of atorvastatin or rosuvastatin and certain COCs containing EE increase AUC values for EE by approximately 20 to 25%. Ascorbic acid and acetaminophen may increase plasma EE concentrations, possibly by inhibition of conjugation. CYP3A4 inhibitors such as itraconazole, voriconazole, fluconazole, grapefruit juice, or ketoconazole may increase plasma hormone concentrations. Human immunodeficiency virus (HIV)/Hepatitis C virus (HCV) protease inhibitors and non-nucleoside reverse transcriptase inhibitors: Significant changes (increase or decrease) in the plasma concentrations of estrogen and/or progestin have been noted in some cases of co-administration with HIV protease inhibitors (decrease [e.g., nelfinavir, ritonavir, darunavir/ritonavir, (fos) amprenavir/ritonavir, lopinavir/ritonavir, and tipranavir/ritonavir] or increase [e.g., indinavir and atazanavir/ritonavir]) /HCV protease inhibitors (decrease [e.g., boceprevir and telaprevir]) or with non-nucleoside reverse transcriptase inhibitors (decrease [e.g., nevirapine] or increase [e.g., etravirine]). Colesevelam : Colesevelam, a bile acid sequestrant, given together with a combination oral hormonal contraceptive, has been shown to significantly decrease the AUC of EE. A drug interaction between the contraceptive and colesevelam was decreased when the two drug products were given 4 hours apart. Effects of Combined Hormonal Contraceptives on Other Drugs COCs containing EE may inhibit the metabolism of other compounds (e.g., cyclosporine, prednisolone, theophylline, tizanidine, and voriconazole) and increase their plasma concentrations. COCs have been shown to decrease plasma concentrations of acetaminophen, clofibric acid, morphine, salicylic acid, temazepam and lamotrigine. Significant decrease in plasma concentration of lamotrigine has been shown, likely due to induction of lamotrigine glucuronidation. This may reduce seizure control; therefore, dosage adjustments of lamotrigine may be necessary. Women on thyroid hormone replacement therapy may need increased doses of thyroid hormone because serum concentrations of thyroid-binding globulin increases with use of COCs.

How Supplied

Nortrel® 7/7/7 (norethindrone and ethinyl estradiol tablets USP, 0.5/0.035 mg, 0.75/0.035 mg, and 1/0.035 mg) is packaged in cartons of six blister cards (NDC 0555-9012-58). Each card contains 28 tablets, as follows: 7 light yellow, round, flat-faced, beveled-edge, unscored tablets, debossed with stylized b on one side and 951 on the other side (0.5 mg norethindrone, USP and 0.035 mg ethinyl estradiol, USP); 7 blue, round, flat-faced, beveled-edge, unscored tablets, debossed with stylized b on one side and 942 on the other side (0.75 mg norethindrone, USP and 0.035 mg ethinyl estradiol, USP); 7 peach, round, flat-faced, beveled-edge, unscored tablets, debossed with stylized b on one side and 943 on the other side (1 mg norethindrone, USP and 0.035 mg ethinyl estradiol, USP), and 7 white, round, flat-faced, beveled-edge, unscored, inert tablets, debossed with stylized b on one side and 944 on the other side.

Store at 20° to 25°C (68° to 77°F) [See USP Controlled Room Temperature].

KEEP THIS AND ALL MEDICATIONS OUT OF THE REACH OF CHILDREN.

Description

Nortrel® 7/7/7 (norethindrone and ethinyl estradiol tablets USP, 0.5/0.035 mg, 0.75/0.035 mg, and 1/0.035 mg):

Each light yellow tablet contains 0.5 mg of norethindrone, USP and 0.035 mg of ethinyl estradiol, USP and the inactive ingredients include D&C yellow no. 10 aluminum lake, lactose monohydrate, magnesium stearate and pregelatinized corn starch. Each blue tablet contains 0.75 mg of norethindrone, USP and 0.035 mg of ethinyl estradiol, USP and the inactive ingredients include FD&C blue no. 1 aluminum lake, lactose monohydrate, magnesium stearate and pregelatinized corn starch. Each peach tablet contains 1 mg of norethindrone, USP and 0.035 mg of ethinyl estradiol, USP and the inactive ingredients include FD&C yellow no. 6 aluminum lake, lactose monohydrate, magnesium stearate and pregelatinized corn starch. Each white tablet contains only inert ingredients as follows: lactose monohydrate, magnesium stearate, and pregelatinized corn starch.

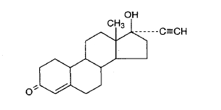
The chemical name for norethindrone, USP is 17-Hydroxy-19-nor-17α-pregn-4-en-20-yn-3-one, and for ethinyl estradiol, USP is 19-Nor-17α -pregna-1,3,5(10)-trien-20-yne-3,17-diol.

Their structural formulas are as follows:

Norethindrone, USP

C20H26O2 M. W. 298.42

Ethinyl Estradiol, USP

C20H24O2 M.W. 296.40

Section 42229-5

Patients should be counseled that this product does not protect against HIV infection (AIDS) and other sexually transmitted diseases.

COMBINED ORAL CONTRACEPTIVES

The following product is a combined oral contraceptive containing the progestational compound norethindrone and the estrogenic compound ethinyl estradiol.

Warnings

Cigarette smoking increases the risk of serious cardiovascular events from combination oral contraceptive use. This risk increases with age, particularly in women over 35 years of age, and with the number of cigarettes smoked. For this reason, combination oral contraceptives, including Nortrel 7/7/7, should not be used by women who are over 35 years of age and smoke.

The use of oral contraceptives is associated with increased risks of several serious conditions including myocardial infarction, thromboembolism, stroke, hepatic neoplasia, and gallbladder disease, although the risk of serious morbidity or mortality is very small in healthy women without underlying risk factors. The risk of morbidity and mortality increases significantly in the presence of other underlying risk factors such as hypertension, hyperlipidemias, obesity and diabetes.

Practitioners prescribing oral contraceptives should be familiar with the following information relating to these risks.

The information contained in this package insert is principally based on studies carried out in patients who used oral contraceptives with higher formulations of estrogens and progestogens than those in common use today. The effect of long-term use of the oral contraceptives with lower formulations of both estrogens and progestogens remains to be determined.

Throughout this labeling, epidemiological studies reported are of two types: retrospective or case control studies and prospective or cohort studies. Case control studies provide a measure of the relative risk of a disease, namely, a ratio of the incidence of a disease among oral contraceptive users to that among nonusers. The relative risk does not provide information on the actual clinical occurrence of a disease. Cohort studies provide a measure of attributable risk, which is the difference in the incidence of disease between oral contraceptive users and nonusers. The attributable risk does provide information about the actual occurrence of a disease in the population (adapted from refs. 2 and 3 with the author's permission). For further information, the reader is referred to a text on epidemiological methods.

1. General

Patients should be counseled that this product does not protect against HIV infection (AIDS) and other sexually transmitted diseases.

Overdosage

Serious ill effects have not been reported following acute ingestion of large doses of oral contraceptives by young children. Overdosage may cause nausea, and withdrawal bleeding may occur in females.

References
  • Trussell J. Contraceptive efficacy. In Hatcher RA, Trussell J, Stewart F, Cates W, Stewart GK, Kowal D, Guest F, Contraceptive Technology: Seventeenth Revised Edition. New York, NY: Irvington Publishers, 1998.
  • Stadel BV, Oral contraceptives and cardiovascular disease. (Pt. 1). N Engl J Med 1981; 305:612-618.
  • Stadel BV, Oral contraceptives and cardiovascular disease. (Pt. 2). N Engl J Med 1981; 305:672-677.
  • Adam SA, Thorogood M. Oral contraception and myocardial infarction revisited: the effects of new preparations and prescribing patterns. Br J Obstet Gynecol 1981; 88:838-845.
  • Mann JI, Inman WH. Oral contraceptives and death from myocardial infarction. Br Med J 1975; 2(5965):245-248.
  • Mann JI, Vessey MP, Thorogood M, Doll R. Myocardial infarction in young women with special reference to oral contraceptive practice. Br Med J 1975; 2(5956):241-245.
  • Royal College of General Practitioners’ Oral Contraception Study: further analyses of mortality in oral contraceptive users. Lancet 1981; 1:541-546.
  • Slone D, Shapiro S, Kaufman DW, Rosenberg L, Miettinen OS, Stolley PD. Risk of myocardial infarction in relation to current and discontinued use of oral contraceptives. N Engl J Med 1981; 305:420-424.
  • Vessey MP. Female hormones and vascular disease-an epidemiological overview. Br J Fam Plann 1980; 6 (Supplement): 1-12.
  • Russell-Briefel RG, Ezzati TM, Fulwood R, Perlman JA, Murphy RS. Cardiovascular risk status and oral contraceptive use, United States, 1976-80. Prevent Med 1986; 15:352-362.
  • Goldbaum GM, Kendrick JS, Hogelin GC, Gentry EM. The relative impact of smoking and oral contraceptive use on women in the United States. JAMA 1987; 258:1339-1342.
  • Layde PM, Beral V. Further analyses of mortality in oral contraceptive users; Royal College of General Practitioners’ Oral Contraception Study. (Table 5) Lancet 1981; 1:541-546.
  • Knopp RH. Arteriosclerosis risk: the roles of oral contraceptives and postmenopausal estrogens. J Reprod Med 1986; 31(9) (Supplement): 913-921.
  • Krauss RM, Roy S, Mishell DR, Casagrande J, Pike MC. Effects of two low-dose oral contraceptives on serum lipids and lipoproteins: Differential changes in high-density lipoproteins subclasses. Am J Obstet 1983; 145:446-452.
  • Wahl P, Walden C, Knopp R, Hoover J, Wallace R, Heiss G, Rifkind B. Effect of estrogen/progestin potency on lipid/lipoprotein cholesterol. N Engl J Med 1983; 308:862-867.
  • Wynn V, Niththyananthan R. The effect of progestin in combined oral contraceptives on serum lipids with special reference to high density lipoproteins. Am J Obstet Gynecol 1982; 142:766-771.
  • Wynn V, Godsland I. Effects of oral contraceptives on carbohydrate metabolism. J Reprod Med 1986; 31(9)(Supplement):892-897.
  • LaRosa JC. Atherosclerotic risk factors in cardiovascular disease. J Reprod Med 1986; 31(9)(Supplement):906-912.
  • Inman WH, Vessey MP. Investigation of death from pulmonary, coronary, and cerebral thrombosis and embolism in women of child-bearing age. Br Med J 1968; 2(5599):193-199.
  • Maguire MG, Tonascia J, Sartwell PE, Stolley PD, Tockman MS. Increased risk of thrombosis due to oral contraceptives: a further report. Am J Epidemiol 1979; 110(2):188-195.
  • Petitti DB, Wingerd J, Pellegrin F, Ramacharan S. Risk of vascular disease in women: smoking, oral contraceptives, noncontraceptive estrogens, and other factors. JAMA 1979; 242:1150-1154.
  • Vessey MP, Doll R. Investigation of relation between use of oral contraceptives and thromboembolic disease. Br Med J 1968; 2(5599):199-205.
  • Vessey MP, Doll R. Investigation of relation between use of oral contraceptives and thromboembolic disease. A further report. Br Med J 1969; 2(5658):651-657.
  • Porter JB, Hunter JR, Danielson DA, Jick H, Stergachis A. Oral contraceptives and non-fatal vascular disease - recent experience. Obstet Gynecol 1982; 59(3):299-302.
  • Vessey M, Doll R, Peto R, Johnson B, Wiggins P. A long-term follow-up study of women using different methods of contraception: an interim report. J Biosocial Sci 1976; 8:375-427.
  • Royal College of General Practitioners: Oral Contraceptives, venous thrombosis, and varicose veins. J Royal Coll Gen Pract 1978; 28:393-399.
  • Collaborative Group for the Study of Stroke in Young Women: Oral contraception and increased risk of cerebral ischemia or thrombosis. N Engl J Med 1973; 288:871-878.
  • Petitti DB, Wingerd J. Use of oral contraceptives, cigarette smoking, and risk of subarachnoid hemorrhage. Lancet 1978; 2:234-236.
  • Inman WH. Oral contraceptives and fatal subarachnoid hemorrhage. Br Med J 1979; 2(6203):1468-1470.
  • Collaborative Group for the Study of Stroke in Young Women: Oral Contraceptives and stroke in young women: associated risk factors. JAMA 1975; 231:718-722.
  • Inman WH, Vessey MP, Westerholm B, Engelund A. Thromboembolic disease and the steroidal content of oral contraceptives. A report to the Committee on Safety of Drugs. Br Med J 1970; 2:203-209.
  • Meade TW, Greenberg G, Thompson SG. Progestogens and cardiovascular reactions associated with oral contraceptives and a comparison of the safety of 50- and 35-mcg estrogen preparations. Br Med J 1980; 280(6224):1157-1161.
  • Kay CR. Progestogens and arterial disease-evidence from the Royal College of General Practitioners’ Study. Am J Obstet Gynecol 1982; 142:762-765.
  • Royal College of General Practitioners: Incidence of arterial disease among oral contraceptive users. J Royal Coll Gen Pract 1983; 33:75-82.
  • Ory HW. Mortality associated with fertility and fertility control: 1983. Family Planning Perspectives 1983; 15:50-56.
  • The Cancer and Steroid Hormone Study of the Centers for Disease Control and the National Institute of Child Health and Human Development: Oral contraceptive use and the risk of breast cancer. N Engl J Med 1986; 315:405-411.
  • Pike MC, Henderson BE, Krailo MD, Duke A, Roy S. Breast cancer in young women and use of oral contraceptives: possible modifying effect of formulation and age at use. Lancet 1983; 2:926-929.
  • Paul C, Skegg DG, Spears GFS, Kaldor JM. Oral contraceptives and breast cancer: A national study. Br Med J 1986; 293:723-725.
  • Miller DR, Rosenberg L, Kaufman DW, Schottenfeld D, Stolley PD, Shapiro S. Breast cancer risk in relation to early oral contraceptive use. Obstet Gynecol 1986; 68:863-868.
  • Olsson H, Olsson ML, Moller TR, Ranstam J, Holm P. Oral contraceptive use and breast cancer in young women in Sweden (letter). Lancet 1985; 1(8431):748-749.
  • McPherson K, Vessey M, Neil A, Doll R, Jones L, Roberts M. Early contraceptive use and breast cancer: Results of another case-control study. Br J Cancer 1987; 56:653-660.
  • Huggins GR, Zucker PF. Oral contraceptives and neoplasia: 1987 update. Fertil Steril 1987; 47:733-761.
  • McPherson K, Drife JO. The pill and breast cancer: why the uncertainty? Br Med J 1986; 293:709-710.
  • Shapiro S. Oral contraceptives-time to take stock. N Engl J Med 1987; 315:450-451.
  • Ory H, Naib Z, Conger SB, Hatcher RA, Tyler CW. Contraceptive choice and prevalence of cervical dysplasia and carcinoma in situ. Am J Obstet Gynecol 1976; 124:573-577.
  • Vessey MP, Lawless M, McPherson K, Yeates D. Neoplasia of the cervix uteri and contraception: a possible adverse effect of the pill. Lancet 1983; 2:930.
  • Brinton LA, Huggins GR, Lehman HF, Malli K, Savitz DA, Trapido E, Rosenthal J, Hoover R. Long term use of oral contraceptives and risk of invasive cervical cancer. Int J Cancer 1986; 38:339-344.
  • WHO Collaborative Study of Neoplasia and Steroid Contraceptives: Invasive cervical cancer and combined oral contraceptives. Br Med J 1985; 290:961-965.
  • Rooks JB, Ory HW, Ishak KG, Strauss LT, Greenspan JR, Hill AP, Tyler CW. Epidemiology of hepatocellular adenoma: the role of oral contraceptive use. JAMA 1979; 242:644-648.
  • Bein NN, Goldsmith HS. Recurrent massive hemorrhage from benign hepatic tumors secondary to oral contraceptives. Br J Surg 1977; 64:433-435.
  • Klatskin G. Hepatic tumors: possible relationship to use of oral contraceptives. Gastroenterology 1977; 73:386-394.
  • Henderson BE, Preston-Martin S, Edmondson HA, Peters RL, Pike MC. Hepatocellular carcinoma and oral contraceptives. Br J Cancer 1983; 48:437-440.
  • Neuberger J, Forman D, Doll R, Williams R. Oral contraceptives and hepatocellular carcinoma. Br Med J 1986; 292:1355-1357.
  • Forman D, Vincent TJ, Doll R. Cancer of the liver and oral contraceptives. Br Med J 1986; 292:1357-1361.
  • Harlap S, Eldor J. Births following oral contraceptive failures. Obstet Gynecol 1980; 55:447-452.
  • Savolainen E, Saksela E, Saxen L. Teratogenic hazards of oral contraceptives analyzed in a national malformation register. Am J Obstet Gynecol 1981; 140:521-524.
  • Janerich DT, Piper JM, Glebatis DM. Oral contraceptives and birth defects. Am J Epidemiol 1980; 112:73-79.
  • Ferencz C, Matanoski GM, Wilson PD, Rubin JD, Neill CA, Gutberlet R. Maternal hormone therapy and congenital heart disease. Teratology 1980; 21:225-239.
  • Rothman KJ, Fyler DC, Goldblatt A, Kreidberg MB. Exogenous hormones and other drug exposures of children with congenital heart disease. Am J Epidemiol 1979; 109:433-439.
  • Boston Collaborative Drug Surveillance Program: Oral contraceptives and venous thromboembolic disease, surgically confirmed gallbladder disease, and breast tumors. Lancet 1973; 1:1399-1404.
  • Royal College of General Practitioners: Oral contraceptives and health. New York, Pittman 1974.
  • Layde PM, Vessey MP, Yeates D. Risk of gallbladder disease: a cohort study of young women attending family planning clinics. J Epidemiol Community Health 1982; 36:274-278.
  • Rome Group for Epidemiology and Prevention of Cholelithiasis (GREPCO): Prevalence of gallstone disease in an Italian adult female population. Am J Epidemiol 1984; 119:796-805.
  • Storm BL, Tamragouri RT, Morse ML, Lazar EL, West SL, Stolley PD, Jones JK. Oral contraceptives and other risk factors for gallbladder disease. Clin Pharmacol Ther 1986; 39:335-341.
  • Wynn V, Adams PW, Godsland IF, Melrose J, Niththyananthan R, Oakley NW, Seedj A. Comparison of effects of different combined oral contraceptive formulations on carbohydrate and lipid metabolism. Lancet 1979; 1:1045-1049.
  • Wynn V. Effect of progesterone and progestins on carbohydrate metabolism. In: Progesterone and Progestin. Bardin CW, Milgrom E, Mauvis-Jarvis P. eds. New York, Raven Press, 1983; pp. 395-410.
  • Perlman JA, Roussell-Briefel RG, Ezzati TM, Lieberknecht G. Oral glucose tolerance and the potency of oral contraceptive progestogens. J Chronic Dis 1985; 38:857-864.
  • Royal College of General Practitioners’ Oral Contraception Study: Effect on hypertension and benign breast disease of progestogen component in combined oral contraceptives. Lancet 1977; 1:624.
  • Fisch IR, Frank J. Oral contraceptives and blood pressure. JAMA 1977; 237:2499-2503.
  • Laragh AJ. Oral contraceptive induced hypertension-nine years later. Am J Obstet Gynecol 1976; 126:141-147.
  • Ramcharan S, Peritz E, Pellegrin FA, Williams WT. Incidence of hypertension in the Walnut Creek Contraceptive Drug Study cohort: In: Pharmacology of steroid contraceptive drugs. Garattini S, Berendes HW. Eds. New York, Raven Press, 1977; pp. 277-288, (Monographs of the Mario Negri Institute for Pharmacological Research Milan.)
  • Stockley I. Interactions with oral contraceptives. J Pharm 1976; 216:140-143.
  • The Cancer and Steroid Hormone Study of the Centers for Disease Control and the National Institute of Child Health and Human Development: Oral contraceptive use and the risk of ovarian cancer. JAMA 1983; 249:1596-1599.
  • The Cancer and Steroid Hormone Study of the Centers for Disease Control and the National Institute of Child Health and Human Development: Combination oral contraceptive use and the risk of endometrial cancer. JAMA 1987; 257:796-800.
  • Ory HW. Functional ovarian cysts and oral contraceptives: negative association confirmed surgically. JAMA 1974; 228:68-69.
  • Ory HW, Cole P, MacMahon B, Hoover R. Oral contraceptives and reduced risk of benign breast disease. N Engl J Med 1976; 294:419-422.
  • Ory HW. The noncontraceptive health benefits from oral contraceptive use. Fam Plann Perspect 1982; 14:182-184.
  • Ory HW, Forrest JD, Lincoln R. Making choices: Evaluating the health risks and benefits of birth control methods. New York, The Alan Guttmacher Institute, 1983; p. 1.
  • Schlesselman J, Stadel BV, Murray P, Lai S. Breast cancer in relation to early use of oral contraceptives. JAMA 1988; 259:1828-1833.
  • Hennekens CH, Speizer FE, Lipnick RJ, Rosner B, Bain C, Belanger C, Stampfer MJ, Willett W, Peto R. A case-control study of oral contraceptive use and breast cancer. JNCI 1984; 72:39-42.
  • LaVecchia C, Decarli A, Fasoli M, Franceschi S, Gentile A, Negri E, Parazzini F, Tognoni G. Oral contraceptives and cancers of the breast and of the female genital tract. Interim results from a case-control study. Br J Cancer 1986; 54:311-317.
  • Meirik O, Lund E, Adami H, Bergstrom R, Christoffersen T, Bergsjo P. Oral contraceptive use and breast cancer in young women. A Joint National Case-control study in Sweden and Norway. Lancet 1986; 11:650-654.
  • Kay CR, Hannaford PC. Breast cancer and the pill-A further report from the Royal College of General Practitioners’ oral contraception study. Br J Cancer 1988; 58:675-680.
  • Stadel BV, Lai S, Schlesselman JJ, Murray P. Oral contraceptives and premenopausal breast cancer in nulliparous women. Contraception 1988; 38:287-299.
  • Miller DR, Rosenberg L, Kaufman DW, Stolley P, Warshauer ME, Shapiro S. Breast cancer before age 45 and oral contraceptive use: New Findings. Am J Epidemiol 1989; 129:269-280.
  • The UK National Case-Control Study Group, Oral contraceptive use and breast cancer risk in young women. Lancet 1989; 1:973-982.
  • Schlesselman JJ. Cancer of the breast and reproductive tract in relation to use of oral contraceptives. Contraception 1989; 40:1-38.
  • Vessey MP, McPherson K, Villard-Mackintosh L, Yeates D. Oral contraceptives and breast cancer: latest findings in a large cohort study. Br J Cancer 1989; 59:613-617.
  • Jick SS, Walker AM, Stergachis A, Jick H. Oral contraceptives and breast cancer. Br J Cancer 1989; 59:618-621.
  • Collaborative Group on Hormonal Factors in Breast Cancer. Breast cancer and hormonal contraceptives: collaborative reanalysis of individual data on 53,297 women with breast cancer and 100,239 women without breast cancer from 54 epidemiological studies. Lancet 1996; 347:1713-1727.
  • Palmer JR, Rosenberg L, Kaufman DW, Warshauer ME, Stolley P, Shapiro S. Oral Contraceptive Use and Liver Cancer. Am J Epidemiol 1989; 130:878-882.
  • Improving access to quality care in family planning: Medical eligibility criteria for contraceptive use. Geneva, WHO, Family and Reproductive Health, 1996.
  • Bork K, Fischer B, DeWald G. Recurrent episodes of skin angioedema and severe attacks of abdominal pain induced by oral contraceptives or hormone replacement therapy. Am J Med 2003;114:294-298.
  • Van Giersbergen PLM, Halabi A, Dingemanse J. Pharmacokinetic interaction between bosentan and the oral contraceptives norethisterone and ethinyl estradiol. Int J Clin Pharmacol Ther 2006;44(3):113-118.
  • Christensen J, Petrenaite V, Atterman J, et al. Oral contraceptives induce lamotrigine metabolism: evidence from a double-blind, placebo-controlled trial. Epilepsia 2007;48(3):484-489.
  • Chobanian et al. Seventh report of the joint national committee on prevention, detection, evaluation, and treatment of high blood pressure. Hypertension 2003;42;1206–1252.
  • Brown KS, Armstrong IC, Wang A, Walker JR, Noveck RJ, Swearingen D, Allison M, Kissling JC, Kisicki J, Salazar D. Effect of the bile acid sequestrant colesevelam on the pharmacokinetics of pioglitazone, repaglinide, estrogen estradiol, norethindrone, levothyroxine, and glyburide. J Clin Pharmacol 2010;50:554–565.

Teva Pharmaceuticals USA, Inc.

North Wales, PA 19454

Rev. D 12/2021

Day 1 Start

The dosage of Nortrel 7/7/7, for the initial cycle of therapy, is one “active” tablet administered daily from the 1st through the 21st day of the menstrual cycle, counting the first day of menstrual flow as “Day 1” followed by one white “reminder” tablet daily for 7 days. Tablets are taken without interruption for 28 days. After 28 tablets have been taken, a new course is started the next day.

If the patient misses one (1) “active” tablet in Weeks 1, 2, or 3, the tablet should be taken as soon as she remembers. If the patient misses two (2) “active” tablets in Week 1 or Week 2, the patient should take two (2) tablets the day she remembers and two (2) tablets the next day; and then continue taking one (1) tablet a day until she finishes the pack. The patient should be instructed to use a back-up method of birth control such as a condom or spermicide if she has sex in the seven (7) days after missing pills. If the patient misses two (2) “active” tablets in the third week or misses three (3) or more “active” tablets in a row, the patient should throw out the rest of the pack and start a new pack that same day. The patient should be instructed to use a back-up method of birth control if she has sex in the seven (7) days after missing pills.

Complete instructions to facilitate patient counseling on proper pill usage may be found in the Detailed Patient Labeling (“How to Take the Pill” section).

The use of Nortrel 7/7/7 for contraception may be initiated 4 weeks postpartum in women who elect not to breastfeed. When the tablets are administered during the postpartum period, the increased risk of thromboembolic disease associated with the postpartum period must be considered. (See CONTRAINDICATIONS and WARNINGS concerning thromboembolic disease. See also PRECAUTIONS, Nursing Mothers.) The possibility of ovulation and conception prior to initiation of medication should be considered.

(See Discussion of Dose Related Risk of Vascular Disease from Oral Contraceptives.)

11. Headache

The onset or exacerbation of migraine or development of headache with a new pattern which is recurrent, persistent or severe requires discontinuation of oral contraceptives and evaluation of the cause.

Sunday Start

When taking Nortrel 7/7/7, the first “active” tablet should be taken on the first Sunday after menstruation begins. If the period begins on Sunday, the first “active” tablet should be taken that day. Take one active tablet daily for 21 days followed by one white “reminder” tablet daily for 7 days. After 28 tablets have been taken, a new course is started the next day (Sunday). For the first cycle of a Sunday Start regimen, another method of contraception such as a condom or spermicide should be used until after the first 7 consecutive days of administration.

If the patient misses one (1) “active” tablet in Weeks 1, 2, or 3, the tablet should be taken as soon as she remembers. If the patient misses two (2) “active” tablets in Week 1 or Week 2, the patient should take two (2) tablets the day she remembers and two (2) tablets the next day; and then continue taking one (1) tablet a day until she finishes the pack. The patient should be instructed to use a back-up method of birth control such as a condom or spermicide if she has sex in the seven (7) days after missing pills. If the patient misses two (2) “active” tablets in the third week or misses three (3) or more “active” tablets in a row, the patient should continue taking one tablet every day until Sunday. On Sunday the patient should throw out the rest of the pack and start a new pack that same day. The patient should be instructed to use a back-up method of birth control if she has sex in the seven (7) days after missing pills.

Complete instructions to facilitate patient counseling on proper pill usage may be found in the Detailed Patient Labeling (“How to Take the Pill” section).

13. Pediatric Use

Safety and efficacy of Nortrel 7/7/7 tablets have been established in women of reproductive age. Safety and efficacy are expected to be the same for postpubertal adolescents under the age of 16 and for users 16 years and older. Use of this product before menarche is not indicated.

14. Geriatric Use

This product has not been studied in women over 65 years of age and is not indicated in this population.

4. Liver Function

If jaundice develops in any woman receiving such drugs, the medication should be discontinued. Steroid hormones may be poorly metabolized in patients with impaired liver function.

6. Ocular Lesions

There have been clinical case reports of retinal thrombosis associated with the use of oral contraceptives. Oral contraceptives should be discontinued if there is unexplained partial or complete loss of vision; onset of proptosis or diplopia; papilledema; or retinal vascular lesions. Appropriate diagnostic and therapeutic measures should be undertaken immediately.

7. Contact Lenses

Contact lens wearers who develop visual changes or changes in lens tolerance should be assessed by an ophthalmologist.

10. Carcinogenesis

See WARNINGS.

3. Lipid Disorders

Women who are being treated for hyperlipidemias should be followed closely if they elect to use oral contraceptives. Some progestogens may elevate LDL levels and may render the control of hyperlipidemias more difficult.

5. Fluid Retention

Oral contraceptives may cause some degree of fluid retention. They should be prescribed with caution, and only with careful monitoring, in patients with conditions which might be aggravated by fluid retention.

B. Thromboembolism

An increased risk of thromboembolic and thrombotic disease associated with the use of oral contraceptives is well established. Case control studies have found the relative risk of users compared to nonusers to be 3 for the first episode of superficial venous thrombosis, 4 to 11 for deep vein thrombosis or pulmonary embolism, and 1.5 to 6 for women with predisposing conditions for venous thromboembolic disease.2, 3, 19-24 Cohort studies have shown the relative risk to be somewhat lower, about 3 for new cases and about 4.5 for new cases requiring hospitalization.25 The risk of thromboembolic disease associated with oral contraceptives gradually disappears after combined oral contraceptive (COC) use is stopped.2 VTE risk is highest in the first year of use and when restarting hormonal contraception after a break of four weeks or longer.

A two- to four-fold increase in relative risk of post-operative thromboembolic complications has been reported with the use of oral contraceptives.9 The relative risk of venous thrombosis in women who have predisposing conditions is twice that of women without such medical conditions.26 If feasible, oral contraceptives should be discontinued at least four weeks prior to and for two weeks after elective surgery of a type associated with an increase in risk of thromboembolism and during and following prolonged immobilization. Since the immediate postpartum period is also associated with an increased risk of thromboembolism, oral contraceptives should be started no earlier than four weeks after delivery in women who elect not to breastfeed.

12. Nursing Mothers

Small amounts of oral contraceptive steroids have been identified in the milk of nursing mothers and a few adverse effects on the child have been reported, including jaundice and breast enlargement. In addition, combined oral contraceptives given in the postpartum period may interfere with lactation by decreasing the quantity and quality of breast milk. If possible, the nursing mother should be advised not to use combined oral contraceptives but to use other forms of contraception until she has completely weaned her child.

4. Hepatic Neoplasia

Benign hepatic adenomas are associated with oral contraceptive use, although the incidence of benign tumors is rare in the United States. Indirect calculations have estimated the attributable risk to be in the range of 3.3 cases/100,000 for users, a risk that increases after four or more years of use especially with oral contraceptives of higher dose.49 Rupture of benign, hepatic adenomas may cause death through intra-abdominal hemorrhage.50, 51

Studies from Britain have shown an increased risk of developing hepatocellular carcinoma in long-term (>8 years) oral contraceptive users. However, these cancers are extremely rare in the U.S. and the attributable risk (the excess incidence) of liver cancers in oral contraceptive users approaches less than one per million users.

8. Drug Interactions

Consult the labeling of concurrently-used drugs to obtain further information about interactions with hormonal contraceptives or the potential for enzyme alterations.

Effects of Other Drugs on Combined Hormonal Contraceptives

Substances decreasing the plasma concentrations of COCs and potentially diminishing the efficacy of COCs:

Drugs or herbal products that induce certain enzymes, including cytochrome P450 3A4 (CYP3A4), may decrease the plasma concentrations of COCs and potentially diminish the effectiveness of CHCs or increase breakthrough bleeding. Some drugs or herbal products that may decrease the effectiveness of hormonal contraceptives include phenytoin, barbiturates, carbamazepine, bosentan, felbamate, griseofulvin, oxcarbazepine, rifampicin, topiramate, rifabutin, rufinamide, aprepitant, and products containing St. John’s wort. Interactions between hormonal contraceptives and other drugs may lead to breakthrough bleeding and/or contraceptive failure. Counsel women to use an alternative method of contraception or a back-up method when enzyme inducers are used with CHCs, and to continue back-up contraception for 28 days after discontinuing the enzyme inducer to ensure contraceptive reliability.

Substances increasing the plasma concentrations of COCs:

Co-administration of atorvastatin or rosuvastatin and certain COCs containing EE increase AUC values for EE by approximately 20 to 25%. Ascorbic acid and acetaminophen may increase plasma EE concentrations, possibly by inhibition of conjugation. CYP3A4 inhibitors such as itraconazole, voriconazole, fluconazole, grapefruit juice, or ketoconazole may increase plasma hormone concentrations.

Human immunodeficiency virus (HIV)/Hepatitis C virus (HCV) protease inhibitors and non-nucleoside reverse transcriptase inhibitors:

Significant changes (increase or decrease) in the plasma concentrations of estrogen and/or progestin have been noted in some cases of co-administration with HIV protease inhibitors (decrease [e.g., nelfinavir, ritonavir, darunavir/ritonavir, (fos) amprenavir/ritonavir, lopinavir/ritonavir, and tipranavir/ritonavir] or increase [e.g., indinavir and atazanavir/ritonavir]) /HCV protease inhibitors (decrease [e.g., boceprevir and telaprevir]) or with non-nucleoside reverse transcriptase inhibitors (decrease [e.g., nevirapine] or increase [e.g., etravirine]).

Colesevelam : Colesevelam, a bile acid sequestrant, given together with a combination oral hormonal contraceptive, has been shown to significantly decrease the AUC of EE. A drug interaction between the contraceptive and colesevelam was decreased when the two drug products were given 4 hours apart.

Effects of Combined Hormonal Contraceptives on Other Drugs

COCs containing EE may inhibit the metabolism of other compounds (e.g., cyclosporine, prednisolone, theophylline, tizanidine, and voriconazole) and increase their plasma concentrations. COCs have been shown to decrease plasma concentrations of acetaminophen, clofibric acid, morphine, salicylic acid, temazepam and lamotrigine. Significant decrease in plasma concentration of lamotrigine has been shown, likely due to induction of lamotrigine glucuronidation. This may reduce seizure control; therefore, dosage adjustments of lamotrigine may be necessary.

Women on thyroid hormone replacement therapy may need increased doses of thyroid hormone because serum concentrations of thyroid-binding globulin increases with use of COCs.

13. Ectopic Pregnancy

Ectopic as well as intrauterine pregnancy may occur in contraceptive failures.

Clinical Pharmacology

Combined Oral Contraceptives

Combined oral contraceptives act by suppression of gonadotropins. Although the primary mechanism of this action is inhibition of ovulation, other alterations include changes in the cervical mucus (which increase the difficulty of sperm entry into the uterus) and the endometrium (which reduce the likelihood of implantation).

Pregnancy Category X.
3. Malignant Neoplasms

Breast Cancer

Nortrel 7/7/7 is contraindicated in females who currently have or have had breast cancer because breast cancer may be hormonally sensitive [see CONTRAINDICATIONS].

Epidemiology studies have not found a consistent association between use of combined oral contraceptives (COCs) and breast cancer risk. Studies do not show an association between ever (current or past) use of COCs and risk of breast cancer. However, some studies report a small increase in the risk of breast cancer among current or recent users (<6 months since last use) and current users with longer duration of COC use [see Postmarketing Experience].

Cervical Cancer

Some studies suggest that oral contraceptive use has been associated with an increase in the risk of cervical intraepithelial neoplasia in some populations of women.45-48 However, there continues to be controversy about the extent to which such findings may be due to differences in sexual behavior and other factors.

In spite of many studies of the relationship between oral contraceptive use and breast and cervical cancers, a cause-and-effect relationship has not been established.

6. Emotional Disorders

Women with a history of depression should be carefully observed and the drug discontinued if depression recurs to a serious degree.

8. Gallbladder Disease

Earlier studies have reported an increased lifetime relative risk of gallbladder surgery in users of oral contraceptives and estrogens.60, 61 More recent studies, however, have shown that the relative risk of developing gallbladder disease among oral contraceptive users may be minimal.62-64 The recent findings of minimal risk may be related to the use of oral contraceptive formulations containing lower hormonal doses of estrogens and progestogens.

Additional Instructions

Breakthrough bleeding, spotting, and amenorrhea are frequent reasons for patients discontinuing oral contraceptives. In breakthrough bleeding, as in all cases of irregular bleeding from the vagina, nonfunctional causes should be borne in mind. In undiagnosed persistent or recurrent abnormal bleeding from the vagina, adequate diagnostic measures are indicated to rule out pregnancy or malignancy. If pathology has been excluded, time or a change to another formulation may solve the problem. Changing to an oral contraceptive with a higher estrogen content, while potentially useful in minimizing menstrual irregularity, should be done only if necessary since this may increase the risk of thromboembolic disease.

Use of oral contraceptives in the event of a missed menstrual period:

  • If the patient has not adhered to the prescribed schedule, the possibility of pregnancy should be considered at the time of the first missed period and oral contraceptive use should be discontinued if pregnancy is confirmed.
  • If the patient has adhered to the prescribed regimen and misses two consecutive periods, pregnancy should be ruled out.
A. Myocardial Infarction

An increased risk of myocardial infarction has been attributed to oral contraceptive use. This risk is primarily in smokers or women with other underlying risk factors for coronary artery disease such as hypertension, hypercholesterolemia, morbid obesity, and diabetes. The relative risk of heart attack for current oral contraceptive users has been estimated to be two to six.4-10 The risk is very low under the age of 30.

Smoking in combination with oral contraceptive use has been shown to contribute substantially to the incidence of myocardial infarctions in women in their mid-thirties or older with smoking accounting for the majority of excess cases.11 Mortality rates associated with circulatory disease have been shown to increase substantially in smokers, especially in those 35 years of age and older, and in nonsmokers over the age of 40 among women who use oral contraceptives (see Figure 1).

Figure 1: Circulatory Disease Mortality Rates per 100,000 Woman-Years by Age,

Smoking Status and Oral Contraceptive Use

(Adapted from P.M. Layde and V. Beral, ref. #12.)

Oral contraceptives may compound the effects of well-known risk factors, such as hypertension, diabetes, hyperlipidemias, age and obesity.13 In particular, some progestogens are known to decrease HDL cholesterol and cause glucose intolerance, while estrogens may create a state of hyperinsulinism.14-18 Oral contraceptives have been shown to increase blood pressure among users (see Section 10 in WARNINGS). Similar effects on risk factors have been associated with an increased risk of heart disease. Oral contraceptives must be used with caution in women with cardiovascular disease risk factors.

10. Elevated Blood Pressure

Women with significant hypertension should not be started on hormonal contraception.92 An increase in blood pressure has been reported in women taking oral contraceptives68 and this increase is more likely in older oral contraceptive users69 and with extended duration of use.61 Data from the Royal College of General Practitioners12 and subsequent randomized trials have shown that the incidence of hypertension increases with increasing progestational activity.

Women with a history of hypertension or hypertension-related diseases, or renal disease70 should be encouraged to use another method of contraception. If these women elect to use oral contraceptives, they should be monitored closely and if a clinically significant persistent elevation of blood pressure (BP) occurs (≥ 160 mm Hg systolic or ≥ 100 mm Hg diastolic) and cannot be adequately controlled, oral contraceptives should be discontinued. In general, women who develop hypertension during hormonal contraceptive therapy should be switched to a non-hormonal contraceptive. If other contraceptive methods are not suitable, hormonal contraceptive therapy may continue combined with antihypertensive therapy. Regular monitoring of BP throughout hormonal contraceptive therapy is recommended.96 For most women, elevated blood pressure will return to normal after stopping oral contraceptives, and there is no difference in the occurrence of hypertension between former and never users.68-71

12. Bleeding Irregularities

Breakthrough bleeding and spotting are sometimes encountered in patients on oral contraceptives, especially during the first three months of use. Nonhormonal causes should be considered and adequate diagnostic measures taken to rule out malignancy or pregnancy in the event of breakthrough bleeding, as in the case of any abnormal vaginal bleeding. If pathology has been excluded, time or a change to another formulation may solve the problem. In the event of amenorrhea, pregnancy should be ruled out.

Some women may encounter post-pill amenorrhea or oligomenorrhea, especially when such a condition was preexistent.

Information for the Patient

See Patient Labeling printed below.

C. Cerebrovascular Diseases

Oral contraceptives have been shown to increase both the relative and attributable risks of cerebrovascular events (thrombotic and hemorrhagic strokes), although, in general, the risk is greatest among older (>35 years), hypertensive women who also smoke. Hypertension was found to be a risk factor for both users and nonusers, for both types of strokes, and smoking interacted to increase the risk of stroke.27-29

In a large study, the relative risk of thrombotic strokes has been shown to range from 3 for normotensive users to 14 for users with severe hypertension.30 The relative risk of hemorrhagic stroke is reported to be 1.2 for non-smokers who used oral contraceptives, 2.6 for smokers who did not use oral contraceptives, 7.6 for smokers who used oral contraceptives, 1.8 for normotensive users and 25.7 for users with severe hypertension.30 The attributable risk is also greater in older women.3

Non Contraceptive Health Benefits

The following non-contraceptive health benefits related to the use of combined oral contraceptives are supported by epidemiological studies which largely utilized oral contraceptive formulations containing estrogen doses exceeding 0.035 mg of ethinyl estradiol or 0.05 mg mestranol.73-78

Brief Summary Patient Package Insert

Oral contraceptives, also known as “birth control pills” or “the pill,” are taken to prevent pregnancy and when taken correctly without missing any pills, have a failure rate of approximately 1% per year. The typical failure rate is approximately 5% per year when women who miss pills are included. For most women oral contraceptives are also free of serious or unpleasant side effects. However, forgetting to take pills considerably increases the chances of pregnancy.

For the majority of women, oral contraceptives can be taken safely. But there are some women who are at high risk of developing certain serious diseases that can be fatal or may cause temporary or permanent disability. The risks associated with taking oral contraceptives increase significantly if you:

  • smoke
  • have high blood pressure, diabetes, high cholesterol
  • have or have had clotting disorders, heart attack, stroke, angina pectoris, cancer of the breast or sex organs, jaundice or malignant or benign liver tumors.

Although cardiovascular disease risks may be increased with oral contraceptive use after age 40 in healthy, non-smoking women (even with the newer low-dose formulations), there are also greater potential health risks associated with pregnancy in older women.

You should not take the pill if you suspect you are pregnant or have unexplained vaginal bleeding.

2. Physical Examination and Follow Up

It is good medical practice for all women to have annual history and physical examinations, including women using oral contraceptives. The physical examination, however, may be deferred until after initiation of oral contraceptives if requested by the woman and judged appropriate by the clinician. The physical examination should include special reference to blood pressure, breasts, abdomen and pelvic organs, including cervical cytology, and relevant laboratory tests. In case of undiagnosed, persistent or recurrent abnormal vaginal bleeding, appropriate measures should be conducted to rule out malignancy. Women with a strong family history of breast cancer or who have breast nodules should be monitored with particular care.

9. Interactions With Laboratory Tests

Certain endocrine and liver function tests and blood components may be affected by oral contraceptives:

  • Increased prothrombin and factors VII, VIII, IX, and X; decreased antithrombin 3; increased norepinephrine-induced platelet aggregability.
  • Increased thyroid binding globulin (TBG) leading to increased circulating total thyroid hormone, as measured by protein-bound iodine (PBI), T4 by column or by radioimmunoassay. Free T3 resin uptake is decreased, reflecting the elevated TBG, free T4 concentration is unaltered.
  • Other binding proteins may be elevated in serum.
  • Sex-binding globulins are increased and result in elevated levels of total circulating sex steroids and corticoids; however, free or biologically active levels remain unchanged.
  • Triglycerides may be increased and levels of various other lipids and lipoproteins may be affected.
  • Glucose tolerance may be decreased.
  • Serum folate levels may be depressed by oral contraceptive therapy. This may be of clinical significance if a woman becomes pregnant shortly after discontinuing oral contraceptives.
Package/label Display Panel, Part 1 of 2

NDC 0555-9012-58

6 Blister Cards, 28 Tablets Each

Nortrel® 7/7/7

(norethindrone and ethinyl

estradiol tablets, USP-

triphasic regimen)

Usual Dosage: One tablet daily as recommended in enclosed detailed

product information.

See enclosed package insert for full prescribing information.

To the Dispenser: This carton contains one combination labeling

piece of information intended for the patient. Informational pieces are

to be provided to the patient with each prescription.

Rx only

SHAPING

WOMEN'S HEALTH®

Package/label Display Panel, Part 2 of 2
E. Persistence of Risk of Vascular Disease

There are two studies which have shown persistence of risk of vascular disease for ever-users of oral contraceptives. In a study in the United States, the risk of developing myocardial infarction after discontinuing oral contraceptives persists for at least 9 years for women 40 to 49 years who had used oral contraceptives for five or more years, but this increased risk was not demonstrated in other age groups.8 In another study in Great Britain, the risk of developing cerebrovascular disease persisted for at least 6 years after discontinuation of oral contraceptives, although excess risk was very small.34 However, both studies were performed with oral contraceptive formulations containing 50 micrograms or higher of estrogens.

9. Carbohydrate and Lipid Metabolic Effects

Oral contraceptives have been shown to cause a decrease in glucose tolerance in a significant percentage of users.17 This effect has been shown to be directly related to estrogen dose.65 Progestogens increase insulin secretion and create insulin resistance, this effect varying with different progestational agents.17,66 However, in the non-diabetic woman, oral contraceptives appear to have no effect on fasting blood glucose.67 Because of these demonstrated effects, prediabetic and diabetic women in particular should be carefully monitored while taking oral contraceptives.

A small proportion of women will have persistent hypertriglyceridemia while on the pill. As discussed earlier (see WARNINGS 1a and 1d), changes in serum triglycerides and lipoprotein levels have been reported in oral contraceptive users.

2. Estimates of Mortality From Contraceptive Use

One study gathered data from a variety of sources which have estimated the mortality rate associated with different methods of contraception at different ages (Table 2). These estimates include the combined risk of death associated with contraceptive methods plus the risk attributable to pregnancy in the event of method failure. Each method of contraception has its specific benefits and risks. The study concluded that with the exception of oral contraceptive users 35 and older who smoke, and 40 and older who do not smoke, mortality associated with all methods of birth control is low and below that associated with childbirth. The observation of an increase in risk of mortality with age for oral contraceptive users is based on data gathered in the 1970's.35 Current clinical recommendation involves the use of lower estrogen dose formulations and a careful consideration of risk factors. In 1989, the Fertility and Maternal Health Drugs Advisory Committee was asked to review the use of oral contraceptives in women 40 years of age and over. The Committee concluded that although cardiovascular disease risks may be increased with oral contraceptive use after age 40 in healthy non-smoking women (even with the newer low-dose formulations), there are also greater potential health risks associated with pregnancy in older women and with the alternative surgical and medical procedures which may be necessary if such women do not have access to effective and acceptable means of contraception. The Committee recommended that the benefits of low-dose oral contraceptive use by healthy non-smoking women over 40 may outweigh the possible risks.

Of course, older women, as all women who take oral contraceptives, should take an oral contraceptive which contains the least amount of estrogen and progestogen that is compatible with a low failure rate and individual patient needs.

Table 2: ANNUAL NUMBER OF BIRTH-RELATED OR METHOD-RELATED DEATHS ASSOCIATED WITH CONTROL OF FERTILITY PER 100,000 NONSTERILE WOMEN, BY FERTILITY CONTROL METHOD ACCORDING TO AGE

Method of control and outcome

15 to 19

20 to 24

25 to 29

30 to 34

35 to 39

40 to 44

No fertility control methods 1

7.0

7.4

9.1

14.8

25.7

28.2

Oral contraceptives non-smoker 2

0.3

0.5

0.9

1.9

13.8

31.6

Oral contraceptives smoker 2

2.2

3.4

6.6

13.5

51.1

117.2

IUD 2

0.8

0.8

1.0

1.0

1.4

1.4

Condom 1

1.1

1.6

0.7

0.2

0.3

0.4

Diaphragm/spermicide 1

1.9

1.2

1.2

1.3

2.2

2.8

Periodic abstinence 1

2.5

1.6

1.6

1.7

2.9

3.6

Adapted from H.W. Ory, ref. #35.

1. Deaths are birth-related

2. Deaths are method-related

7. Oral Contraceptive Use Before Or During Early Pregnancy

Extensive epidemiological studies have revealed no increased risk of birth defects in women who have used oral contraceptives prior to pregnancy.56, 57 The majority of recent studies also do not indicate a teratogenic effect, particularly in so far as cardiac anomalies and limb reduction defects are concerned,55, 56, 58, 59 when taken inadvertently during early pregnancy.

The administration of oral contraceptives to induce withdrawal bleeding should not be used as a test for pregnancy. Oral contraceptives should not be used during pregnancy to treat threatened or habitual abortion.

It is recommended that for any patient who has missed two consecutive periods, pregnancy should be ruled out. If the patient has not adhered to the prescribed schedule, the possibility of pregnancy should be considered at the time of the first missed period. Oral contraceptive use should be discontinued if pregnancy is confirmed.

D. Dose Related Risk of Vascular Disease From Oral Contraceptives

A positive association has been observed between the amount of estrogen and progestogen in oral contraceptives and the risk of vascular disease.31-33 A decline in serum high density lipoproteins (HDL) has been reported with many progestational agents.14-16 A decline in serum high density lipoproteins has been associated with an increased incidence of ischemic heart disease. Because estrogens increase HDL cholesterol, the net effect of an oral contraceptive depends on a balance achieved between doses of estrogen and progestogen and the activity of the progestogen used in the contraceptives. The activity and amount of both hormones should be considered in the choice of an oral contraceptive.

Minimizing exposure to estrogen and progestogen is in keeping with good principles of therapeutics. For any particular estrogen/progestogen combination, the dosage regimen prescribed should be one which contains the least amount of estrogen and progestogen that is compatible with a low failure rate and the needs of the individual patient. New acceptors of oral contraceptive agents should be started on preparations containing the lowest estrogen content which is judged appropriate for the individual patient.

5. Risk of Liver Enzyme Elevations With Concomitant Hepatitis C Treatment

During clinical trials with the Hepatitis C combination drug regimen that contains ombitasvir/paritaprevir/ritonavir, with or without dasabuvir, ALT elevations greater than 5 times the upper limit of normal (ULN), including some cases greater than 20 times the ULN, were significantly more frequent in women using ethinyl estradiol-containing medications such as COCs. Discontinue Nortrel 7/7/7 prior to starting therapy with the combination drug regimen ombitasvir/paritaprevir/ritonavir, with or without dasabuvir (see CONTRAINDICATIONS). Nortrel 7/7/7 can be restarted approximately 2 weeks following completion of treatment with the combination drug regimen.


Structured Label Content

Recent Major Changes (34066-1)

WARNING: CARDIOVASCULAR RISK ASSOCIATED WITH SMOKING

Cigarette smoking increases the risk of serious cardiovascular events from combination oral contraceptive use. This risk increases with age, particularly in women over 35 years of age, and with the number of cigarettes smoked. For this reason, combination oral contraceptives, including Nortrel® 7/7/7, should not be used by women who are over 35 years of age and smoke.

Description (34089-3)

Nortrel® 7/7/7 (norethindrone and ethinyl estradiol tablets USP, 0.5/0.035 mg, 0.75/0.035 mg, and 1/0.035 mg):

Each light yellow tablet contains 0.5 mg of norethindrone, USP and 0.035 mg of ethinyl estradiol, USP and the inactive ingredients include D&C yellow no. 10 aluminum lake, lactose monohydrate, magnesium stearate and pregelatinized corn starch. Each blue tablet contains 0.75 mg of norethindrone, USP and 0.035 mg of ethinyl estradiol, USP and the inactive ingredients include FD&C blue no. 1 aluminum lake, lactose monohydrate, magnesium stearate and pregelatinized corn starch. Each peach tablet contains 1 mg of norethindrone, USP and 0.035 mg of ethinyl estradiol, USP and the inactive ingredients include FD&C yellow no. 6 aluminum lake, lactose monohydrate, magnesium stearate and pregelatinized corn starch. Each white tablet contains only inert ingredients as follows: lactose monohydrate, magnesium stearate, and pregelatinized corn starch.

The chemical name for norethindrone, USP is 17-Hydroxy-19-nor-17α-pregn-4-en-20-yn-3-one, and for ethinyl estradiol, USP is 19-Nor-17α -pregna-1,3,5(10)-trien-20-yne-3,17-diol.

Their structural formulas are as follows:

Norethindrone, USP

C20H26O2 M. W. 298.42

Ethinyl Estradiol, USP

C20H24O2 M.W. 296.40

Section 42229-5 (42229-5)

Patients should be counseled that this product does not protect against HIV infection (AIDS) and other sexually transmitted diseases.

COMBINED ORAL CONTRACEPTIVES

The following product is a combined oral contraceptive containing the progestational compound norethindrone and the estrogenic compound ethinyl estradiol.

Warnings (WARNINGS)

Cigarette smoking increases the risk of serious cardiovascular events from combination oral contraceptive use. This risk increases with age, particularly in women over 35 years of age, and with the number of cigarettes smoked. For this reason, combination oral contraceptives, including Nortrel 7/7/7, should not be used by women who are over 35 years of age and smoke.

The use of oral contraceptives is associated with increased risks of several serious conditions including myocardial infarction, thromboembolism, stroke, hepatic neoplasia, and gallbladder disease, although the risk of serious morbidity or mortality is very small in healthy women without underlying risk factors. The risk of morbidity and mortality increases significantly in the presence of other underlying risk factors such as hypertension, hyperlipidemias, obesity and diabetes.

Practitioners prescribing oral contraceptives should be familiar with the following information relating to these risks.

The information contained in this package insert is principally based on studies carried out in patients who used oral contraceptives with higher formulations of estrogens and progestogens than those in common use today. The effect of long-term use of the oral contraceptives with lower formulations of both estrogens and progestogens remains to be determined.

Throughout this labeling, epidemiological studies reported are of two types: retrospective or case control studies and prospective or cohort studies. Case control studies provide a measure of the relative risk of a disease, namely, a ratio of the incidence of a disease among oral contraceptive users to that among nonusers. The relative risk does not provide information on the actual clinical occurrence of a disease. Cohort studies provide a measure of attributable risk, which is the difference in the incidence of disease between oral contraceptive users and nonusers. The attributable risk does provide information about the actual occurrence of a disease in the population (adapted from refs. 2 and 3 with the author's permission). For further information, the reader is referred to a text on epidemiological methods.

1. General

Patients should be counseled that this product does not protect against HIV infection (AIDS) and other sexually transmitted diseases.

Overdosage (OVERDOSAGE)

Serious ill effects have not been reported following acute ingestion of large doses of oral contraceptives by young children. Overdosage may cause nausea, and withdrawal bleeding may occur in females.

References (REFERENCES)
  • Trussell J. Contraceptive efficacy. In Hatcher RA, Trussell J, Stewart F, Cates W, Stewart GK, Kowal D, Guest F, Contraceptive Technology: Seventeenth Revised Edition. New York, NY: Irvington Publishers, 1998.
  • Stadel BV, Oral contraceptives and cardiovascular disease. (Pt. 1). N Engl J Med 1981; 305:612-618.
  • Stadel BV, Oral contraceptives and cardiovascular disease. (Pt. 2). N Engl J Med 1981; 305:672-677.
  • Adam SA, Thorogood M. Oral contraception and myocardial infarction revisited: the effects of new preparations and prescribing patterns. Br J Obstet Gynecol 1981; 88:838-845.
  • Mann JI, Inman WH. Oral contraceptives and death from myocardial infarction. Br Med J 1975; 2(5965):245-248.
  • Mann JI, Vessey MP, Thorogood M, Doll R. Myocardial infarction in young women with special reference to oral contraceptive practice. Br Med J 1975; 2(5956):241-245.
  • Royal College of General Practitioners’ Oral Contraception Study: further analyses of mortality in oral contraceptive users. Lancet 1981; 1:541-546.
  • Slone D, Shapiro S, Kaufman DW, Rosenberg L, Miettinen OS, Stolley PD. Risk of myocardial infarction in relation to current and discontinued use of oral contraceptives. N Engl J Med 1981; 305:420-424.
  • Vessey MP. Female hormones and vascular disease-an epidemiological overview. Br J Fam Plann 1980; 6 (Supplement): 1-12.
  • Russell-Briefel RG, Ezzati TM, Fulwood R, Perlman JA, Murphy RS. Cardiovascular risk status and oral contraceptive use, United States, 1976-80. Prevent Med 1986; 15:352-362.
  • Goldbaum GM, Kendrick JS, Hogelin GC, Gentry EM. The relative impact of smoking and oral contraceptive use on women in the United States. JAMA 1987; 258:1339-1342.
  • Layde PM, Beral V. Further analyses of mortality in oral contraceptive users; Royal College of General Practitioners’ Oral Contraception Study. (Table 5) Lancet 1981; 1:541-546.
  • Knopp RH. Arteriosclerosis risk: the roles of oral contraceptives and postmenopausal estrogens. J Reprod Med 1986; 31(9) (Supplement): 913-921.
  • Krauss RM, Roy S, Mishell DR, Casagrande J, Pike MC. Effects of two low-dose oral contraceptives on serum lipids and lipoproteins: Differential changes in high-density lipoproteins subclasses. Am J Obstet 1983; 145:446-452.
  • Wahl P, Walden C, Knopp R, Hoover J, Wallace R, Heiss G, Rifkind B. Effect of estrogen/progestin potency on lipid/lipoprotein cholesterol. N Engl J Med 1983; 308:862-867.
  • Wynn V, Niththyananthan R. The effect of progestin in combined oral contraceptives on serum lipids with special reference to high density lipoproteins. Am J Obstet Gynecol 1982; 142:766-771.
  • Wynn V, Godsland I. Effects of oral contraceptives on carbohydrate metabolism. J Reprod Med 1986; 31(9)(Supplement):892-897.
  • LaRosa JC. Atherosclerotic risk factors in cardiovascular disease. J Reprod Med 1986; 31(9)(Supplement):906-912.
  • Inman WH, Vessey MP. Investigation of death from pulmonary, coronary, and cerebral thrombosis and embolism in women of child-bearing age. Br Med J 1968; 2(5599):193-199.
  • Maguire MG, Tonascia J, Sartwell PE, Stolley PD, Tockman MS. Increased risk of thrombosis due to oral contraceptives: a further report. Am J Epidemiol 1979; 110(2):188-195.
  • Petitti DB, Wingerd J, Pellegrin F, Ramacharan S. Risk of vascular disease in women: smoking, oral contraceptives, noncontraceptive estrogens, and other factors. JAMA 1979; 242:1150-1154.
  • Vessey MP, Doll R. Investigation of relation between use of oral contraceptives and thromboembolic disease. Br Med J 1968; 2(5599):199-205.
  • Vessey MP, Doll R. Investigation of relation between use of oral contraceptives and thromboembolic disease. A further report. Br Med J 1969; 2(5658):651-657.
  • Porter JB, Hunter JR, Danielson DA, Jick H, Stergachis A. Oral contraceptives and non-fatal vascular disease - recent experience. Obstet Gynecol 1982; 59(3):299-302.
  • Vessey M, Doll R, Peto R, Johnson B, Wiggins P. A long-term follow-up study of women using different methods of contraception: an interim report. J Biosocial Sci 1976; 8:375-427.
  • Royal College of General Practitioners: Oral Contraceptives, venous thrombosis, and varicose veins. J Royal Coll Gen Pract 1978; 28:393-399.
  • Collaborative Group for the Study of Stroke in Young Women: Oral contraception and increased risk of cerebral ischemia or thrombosis. N Engl J Med 1973; 288:871-878.
  • Petitti DB, Wingerd J. Use of oral contraceptives, cigarette smoking, and risk of subarachnoid hemorrhage. Lancet 1978; 2:234-236.
  • Inman WH. Oral contraceptives and fatal subarachnoid hemorrhage. Br Med J 1979; 2(6203):1468-1470.
  • Collaborative Group for the Study of Stroke in Young Women: Oral Contraceptives and stroke in young women: associated risk factors. JAMA 1975; 231:718-722.
  • Inman WH, Vessey MP, Westerholm B, Engelund A. Thromboembolic disease and the steroidal content of oral contraceptives. A report to the Committee on Safety of Drugs. Br Med J 1970; 2:203-209.
  • Meade TW, Greenberg G, Thompson SG. Progestogens and cardiovascular reactions associated with oral contraceptives and a comparison of the safety of 50- and 35-mcg estrogen preparations. Br Med J 1980; 280(6224):1157-1161.
  • Kay CR. Progestogens and arterial disease-evidence from the Royal College of General Practitioners’ Study. Am J Obstet Gynecol 1982; 142:762-765.
  • Royal College of General Practitioners: Incidence of arterial disease among oral contraceptive users. J Royal Coll Gen Pract 1983; 33:75-82.
  • Ory HW. Mortality associated with fertility and fertility control: 1983. Family Planning Perspectives 1983; 15:50-56.
  • The Cancer and Steroid Hormone Study of the Centers for Disease Control and the National Institute of Child Health and Human Development: Oral contraceptive use and the risk of breast cancer. N Engl J Med 1986; 315:405-411.
  • Pike MC, Henderson BE, Krailo MD, Duke A, Roy S. Breast cancer in young women and use of oral contraceptives: possible modifying effect of formulation and age at use. Lancet 1983; 2:926-929.
  • Paul C, Skegg DG, Spears GFS, Kaldor JM. Oral contraceptives and breast cancer: A national study. Br Med J 1986; 293:723-725.
  • Miller DR, Rosenberg L, Kaufman DW, Schottenfeld D, Stolley PD, Shapiro S. Breast cancer risk in relation to early oral contraceptive use. Obstet Gynecol 1986; 68:863-868.
  • Olsson H, Olsson ML, Moller TR, Ranstam J, Holm P. Oral contraceptive use and breast cancer in young women in Sweden (letter). Lancet 1985; 1(8431):748-749.
  • McPherson K, Vessey M, Neil A, Doll R, Jones L, Roberts M. Early contraceptive use and breast cancer: Results of another case-control study. Br J Cancer 1987; 56:653-660.
  • Huggins GR, Zucker PF. Oral contraceptives and neoplasia: 1987 update. Fertil Steril 1987; 47:733-761.
  • McPherson K, Drife JO. The pill and breast cancer: why the uncertainty? Br Med J 1986; 293:709-710.
  • Shapiro S. Oral contraceptives-time to take stock. N Engl J Med 1987; 315:450-451.
  • Ory H, Naib Z, Conger SB, Hatcher RA, Tyler CW. Contraceptive choice and prevalence of cervical dysplasia and carcinoma in situ. Am J Obstet Gynecol 1976; 124:573-577.
  • Vessey MP, Lawless M, McPherson K, Yeates D. Neoplasia of the cervix uteri and contraception: a possible adverse effect of the pill. Lancet 1983; 2:930.
  • Brinton LA, Huggins GR, Lehman HF, Malli K, Savitz DA, Trapido E, Rosenthal J, Hoover R. Long term use of oral contraceptives and risk of invasive cervical cancer. Int J Cancer 1986; 38:339-344.
  • WHO Collaborative Study of Neoplasia and Steroid Contraceptives: Invasive cervical cancer and combined oral contraceptives. Br Med J 1985; 290:961-965.
  • Rooks JB, Ory HW, Ishak KG, Strauss LT, Greenspan JR, Hill AP, Tyler CW. Epidemiology of hepatocellular adenoma: the role of oral contraceptive use. JAMA 1979; 242:644-648.
  • Bein NN, Goldsmith HS. Recurrent massive hemorrhage from benign hepatic tumors secondary to oral contraceptives. Br J Surg 1977; 64:433-435.
  • Klatskin G. Hepatic tumors: possible relationship to use of oral contraceptives. Gastroenterology 1977; 73:386-394.
  • Henderson BE, Preston-Martin S, Edmondson HA, Peters RL, Pike MC. Hepatocellular carcinoma and oral contraceptives. Br J Cancer 1983; 48:437-440.
  • Neuberger J, Forman D, Doll R, Williams R. Oral contraceptives and hepatocellular carcinoma. Br Med J 1986; 292:1355-1357.
  • Forman D, Vincent TJ, Doll R. Cancer of the liver and oral contraceptives. Br Med J 1986; 292:1357-1361.
  • Harlap S, Eldor J. Births following oral contraceptive failures. Obstet Gynecol 1980; 55:447-452.
  • Savolainen E, Saksela E, Saxen L. Teratogenic hazards of oral contraceptives analyzed in a national malformation register. Am J Obstet Gynecol 1981; 140:521-524.
  • Janerich DT, Piper JM, Glebatis DM. Oral contraceptives and birth defects. Am J Epidemiol 1980; 112:73-79.
  • Ferencz C, Matanoski GM, Wilson PD, Rubin JD, Neill CA, Gutberlet R. Maternal hormone therapy and congenital heart disease. Teratology 1980; 21:225-239.
  • Rothman KJ, Fyler DC, Goldblatt A, Kreidberg MB. Exogenous hormones and other drug exposures of children with congenital heart disease. Am J Epidemiol 1979; 109:433-439.
  • Boston Collaborative Drug Surveillance Program: Oral contraceptives and venous thromboembolic disease, surgically confirmed gallbladder disease, and breast tumors. Lancet 1973; 1:1399-1404.
  • Royal College of General Practitioners: Oral contraceptives and health. New York, Pittman 1974.
  • Layde PM, Vessey MP, Yeates D. Risk of gallbladder disease: a cohort study of young women attending family planning clinics. J Epidemiol Community Health 1982; 36:274-278.
  • Rome Group for Epidemiology and Prevention of Cholelithiasis (GREPCO): Prevalence of gallstone disease in an Italian adult female population. Am J Epidemiol 1984; 119:796-805.
  • Storm BL, Tamragouri RT, Morse ML, Lazar EL, West SL, Stolley PD, Jones JK. Oral contraceptives and other risk factors for gallbladder disease. Clin Pharmacol Ther 1986; 39:335-341.
  • Wynn V, Adams PW, Godsland IF, Melrose J, Niththyananthan R, Oakley NW, Seedj A. Comparison of effects of different combined oral contraceptive formulations on carbohydrate and lipid metabolism. Lancet 1979; 1:1045-1049.
  • Wynn V. Effect of progesterone and progestins on carbohydrate metabolism. In: Progesterone and Progestin. Bardin CW, Milgrom E, Mauvis-Jarvis P. eds. New York, Raven Press, 1983; pp. 395-410.
  • Perlman JA, Roussell-Briefel RG, Ezzati TM, Lieberknecht G. Oral glucose tolerance and the potency of oral contraceptive progestogens. J Chronic Dis 1985; 38:857-864.
  • Royal College of General Practitioners’ Oral Contraception Study: Effect on hypertension and benign breast disease of progestogen component in combined oral contraceptives. Lancet 1977; 1:624.
  • Fisch IR, Frank J. Oral contraceptives and blood pressure. JAMA 1977; 237:2499-2503.
  • Laragh AJ. Oral contraceptive induced hypertension-nine years later. Am J Obstet Gynecol 1976; 126:141-147.
  • Ramcharan S, Peritz E, Pellegrin FA, Williams WT. Incidence of hypertension in the Walnut Creek Contraceptive Drug Study cohort: In: Pharmacology of steroid contraceptive drugs. Garattini S, Berendes HW. Eds. New York, Raven Press, 1977; pp. 277-288, (Monographs of the Mario Negri Institute for Pharmacological Research Milan.)
  • Stockley I. Interactions with oral contraceptives. J Pharm 1976; 216:140-143.
  • The Cancer and Steroid Hormone Study of the Centers for Disease Control and the National Institute of Child Health and Human Development: Oral contraceptive use and the risk of ovarian cancer. JAMA 1983; 249:1596-1599.
  • The Cancer and Steroid Hormone Study of the Centers for Disease Control and the National Institute of Child Health and Human Development: Combination oral contraceptive use and the risk of endometrial cancer. JAMA 1987; 257:796-800.
  • Ory HW. Functional ovarian cysts and oral contraceptives: negative association confirmed surgically. JAMA 1974; 228:68-69.
  • Ory HW, Cole P, MacMahon B, Hoover R. Oral contraceptives and reduced risk of benign breast disease. N Engl J Med 1976; 294:419-422.
  • Ory HW. The noncontraceptive health benefits from oral contraceptive use. Fam Plann Perspect 1982; 14:182-184.
  • Ory HW, Forrest JD, Lincoln R. Making choices: Evaluating the health risks and benefits of birth control methods. New York, The Alan Guttmacher Institute, 1983; p. 1.
  • Schlesselman J, Stadel BV, Murray P, Lai S. Breast cancer in relation to early use of oral contraceptives. JAMA 1988; 259:1828-1833.
  • Hennekens CH, Speizer FE, Lipnick RJ, Rosner B, Bain C, Belanger C, Stampfer MJ, Willett W, Peto R. A case-control study of oral contraceptive use and breast cancer. JNCI 1984; 72:39-42.
  • LaVecchia C, Decarli A, Fasoli M, Franceschi S, Gentile A, Negri E, Parazzini F, Tognoni G. Oral contraceptives and cancers of the breast and of the female genital tract. Interim results from a case-control study. Br J Cancer 1986; 54:311-317.
  • Meirik O, Lund E, Adami H, Bergstrom R, Christoffersen T, Bergsjo P. Oral contraceptive use and breast cancer in young women. A Joint National Case-control study in Sweden and Norway. Lancet 1986; 11:650-654.
  • Kay CR, Hannaford PC. Breast cancer and the pill-A further report from the Royal College of General Practitioners’ oral contraception study. Br J Cancer 1988; 58:675-680.
  • Stadel BV, Lai S, Schlesselman JJ, Murray P. Oral contraceptives and premenopausal breast cancer in nulliparous women. Contraception 1988; 38:287-299.
  • Miller DR, Rosenberg L, Kaufman DW, Stolley P, Warshauer ME, Shapiro S. Breast cancer before age 45 and oral contraceptive use: New Findings. Am J Epidemiol 1989; 129:269-280.
  • The UK National Case-Control Study Group, Oral contraceptive use and breast cancer risk in young women. Lancet 1989; 1:973-982.
  • Schlesselman JJ. Cancer of the breast and reproductive tract in relation to use of oral contraceptives. Contraception 1989; 40:1-38.
  • Vessey MP, McPherson K, Villard-Mackintosh L, Yeates D. Oral contraceptives and breast cancer: latest findings in a large cohort study. Br J Cancer 1989; 59:613-617.
  • Jick SS, Walker AM, Stergachis A, Jick H. Oral contraceptives and breast cancer. Br J Cancer 1989; 59:618-621.
  • Collaborative Group on Hormonal Factors in Breast Cancer. Breast cancer and hormonal contraceptives: collaborative reanalysis of individual data on 53,297 women with breast cancer and 100,239 women without breast cancer from 54 epidemiological studies. Lancet 1996; 347:1713-1727.
  • Palmer JR, Rosenberg L, Kaufman DW, Warshauer ME, Stolley P, Shapiro S. Oral Contraceptive Use and Liver Cancer. Am J Epidemiol 1989; 130:878-882.
  • Improving access to quality care in family planning: Medical eligibility criteria for contraceptive use. Geneva, WHO, Family and Reproductive Health, 1996.
  • Bork K, Fischer B, DeWald G. Recurrent episodes of skin angioedema and severe attacks of abdominal pain induced by oral contraceptives or hormone replacement therapy. Am J Med 2003;114:294-298.
  • Van Giersbergen PLM, Halabi A, Dingemanse J. Pharmacokinetic interaction between bosentan and the oral contraceptives norethisterone and ethinyl estradiol. Int J Clin Pharmacol Ther 2006;44(3):113-118.
  • Christensen J, Petrenaite V, Atterman J, et al. Oral contraceptives induce lamotrigine metabolism: evidence from a double-blind, placebo-controlled trial. Epilepsia 2007;48(3):484-489.
  • Chobanian et al. Seventh report of the joint national committee on prevention, detection, evaluation, and treatment of high blood pressure. Hypertension 2003;42;1206–1252.
  • Brown KS, Armstrong IC, Wang A, Walker JR, Noveck RJ, Swearingen D, Allison M, Kissling JC, Kisicki J, Salazar D. Effect of the bile acid sequestrant colesevelam on the pharmacokinetics of pioglitazone, repaglinide, estrogen estradiol, norethindrone, levothyroxine, and glyburide. J Clin Pharmacol 2010;50:554–565.

Teva Pharmaceuticals USA, Inc.

North Wales, PA 19454

Rev. D 12/2021

Day 1 Start

The dosage of Nortrel 7/7/7, for the initial cycle of therapy, is one “active” tablet administered daily from the 1st through the 21st day of the menstrual cycle, counting the first day of menstrual flow as “Day 1” followed by one white “reminder” tablet daily for 7 days. Tablets are taken without interruption for 28 days. After 28 tablets have been taken, a new course is started the next day.

If the patient misses one (1) “active” tablet in Weeks 1, 2, or 3, the tablet should be taken as soon as she remembers. If the patient misses two (2) “active” tablets in Week 1 or Week 2, the patient should take two (2) tablets the day she remembers and two (2) tablets the next day; and then continue taking one (1) tablet a day until she finishes the pack. The patient should be instructed to use a back-up method of birth control such as a condom or spermicide if she has sex in the seven (7) days after missing pills. If the patient misses two (2) “active” tablets in the third week or misses three (3) or more “active” tablets in a row, the patient should throw out the rest of the pack and start a new pack that same day. The patient should be instructed to use a back-up method of birth control if she has sex in the seven (7) days after missing pills.

Complete instructions to facilitate patient counseling on proper pill usage may be found in the Detailed Patient Labeling (“How to Take the Pill” section).

The use of Nortrel 7/7/7 for contraception may be initiated 4 weeks postpartum in women who elect not to breastfeed. When the tablets are administered during the postpartum period, the increased risk of thromboembolic disease associated with the postpartum period must be considered. (See CONTRAINDICATIONS and WARNINGS concerning thromboembolic disease. See also PRECAUTIONS, Nursing Mothers.) The possibility of ovulation and conception prior to initiation of medication should be considered.

(See Discussion of Dose Related Risk of Vascular Disease from Oral Contraceptives.)

11. Headache

The onset or exacerbation of migraine or development of headache with a new pattern which is recurrent, persistent or severe requires discontinuation of oral contraceptives and evaluation of the cause.

How Supplied (HOW SUPPLIED)

Nortrel® 7/7/7 (norethindrone and ethinyl estradiol tablets USP, 0.5/0.035 mg, 0.75/0.035 mg, and 1/0.035 mg) is packaged in cartons of six blister cards (NDC 0555-9012-58). Each card contains 28 tablets, as follows: 7 light yellow, round, flat-faced, beveled-edge, unscored tablets, debossed with stylized b on one side and 951 on the other side (0.5 mg norethindrone, USP and 0.035 mg ethinyl estradiol, USP); 7 blue, round, flat-faced, beveled-edge, unscored tablets, debossed with stylized b on one side and 942 on the other side (0.75 mg norethindrone, USP and 0.035 mg ethinyl estradiol, USP); 7 peach, round, flat-faced, beveled-edge, unscored tablets, debossed with stylized b on one side and 943 on the other side (1 mg norethindrone, USP and 0.035 mg ethinyl estradiol, USP), and 7 white, round, flat-faced, beveled-edge, unscored, inert tablets, debossed with stylized b on one side and 944 on the other side.

Store at 20° to 25°C (68° to 77°F) [See USP Controlled Room Temperature].

KEEP THIS AND ALL MEDICATIONS OUT OF THE REACH OF CHILDREN.

Sunday Start

When taking Nortrel 7/7/7, the first “active” tablet should be taken on the first Sunday after menstruation begins. If the period begins on Sunday, the first “active” tablet should be taken that day. Take one active tablet daily for 21 days followed by one white “reminder” tablet daily for 7 days. After 28 tablets have been taken, a new course is started the next day (Sunday). For the first cycle of a Sunday Start regimen, another method of contraception such as a condom or spermicide should be used until after the first 7 consecutive days of administration.

If the patient misses one (1) “active” tablet in Weeks 1, 2, or 3, the tablet should be taken as soon as she remembers. If the patient misses two (2) “active” tablets in Week 1 or Week 2, the patient should take two (2) tablets the day she remembers and two (2) tablets the next day; and then continue taking one (1) tablet a day until she finishes the pack. The patient should be instructed to use a back-up method of birth control such as a condom or spermicide if she has sex in the seven (7) days after missing pills. If the patient misses two (2) “active” tablets in the third week or misses three (3) or more “active” tablets in a row, the patient should continue taking one tablet every day until Sunday. On Sunday the patient should throw out the rest of the pack and start a new pack that same day. The patient should be instructed to use a back-up method of birth control if she has sex in the seven (7) days after missing pills.

Complete instructions to facilitate patient counseling on proper pill usage may be found in the Detailed Patient Labeling (“How to Take the Pill” section).

13. Pediatric Use

Safety and efficacy of Nortrel 7/7/7 tablets have been established in women of reproductive age. Safety and efficacy are expected to be the same for postpubertal adolescents under the age of 16 and for users 16 years and older. Use of this product before menarche is not indicated.

14. Geriatric Use

This product has not been studied in women over 65 years of age and is not indicated in this population.

4. Liver Function

If jaundice develops in any woman receiving such drugs, the medication should be discontinued. Steroid hormones may be poorly metabolized in patients with impaired liver function.

6. Ocular Lesions

There have been clinical case reports of retinal thrombosis associated with the use of oral contraceptives. Oral contraceptives should be discontinued if there is unexplained partial or complete loss of vision; onset of proptosis or diplopia; papilledema; or retinal vascular lesions. Appropriate diagnostic and therapeutic measures should be undertaken immediately.

7. Contact Lenses

Contact lens wearers who develop visual changes or changes in lens tolerance should be assessed by an ophthalmologist.

Adverse Reactions (ADVERSE REACTIONS)

Post Marketing Experience

Five studies that compared breast cancer risk between ever-users (current or past use) of COCs and never-users of COCs reported no association between ever use of COCs and breast cancer risk, with effect estimates ranging from 0.90 - 1.12 (Figure 2).

Three studies compared breast cancer risk between current or recent COC users (<6 months since last use) and never users of COCs (Figure 2). One of these studies reported no association between breast cancer risk and COC use. The other two studies found an increased relative risk of 1.19 - 1.33 with current or recent use. Both of these studies found an increased risk of breast cancer with current use of longer duration, with relative risks ranging from 1.03 with less than one year of COC use to approximately 1.4 with more than 8-10 years of COC use.

Figure 2: Risk of Breast Cancer with Combined Oral Contraceptive Use

RR = relative risk; OR = odds ratio; HR = hazard ratio. “ever COC” are females with current or past COC use; “never COC use” are females that never used COCs.

An increased risk of the following serious adverse reactions has been associated with the use of oral contraceptives (See WARNINGS).

  • Thrombophlebitis and venous thrombosis with or without embolism
  • Arterial thromboembolism
  • Pulmonary embolism
  • Myocardial infarction
  • Cerebral hemorrhage
  • Cerebral thrombosis
  • Hypertension
  • Gallbladder disease
  • Hepatic adenomas or benign liver tumors

There is evidence of an association between the following conditions and the use of oral contraceptives:

  • Mesenteric thrombosis
  • Retinal thrombosis

The following adverse reactions have been reported in patients receiving oral contraceptives and are believed to be drug-related:

  • Nausea
  • Vomiting
  • Gastrointestinal symptoms (such as abdominal cramps and bloating)
  • Breakthrough bleeding
  • Spotting
  • Change in menstrual flow
  • Amenorrhea
  • Temporary infertility after discontinuation of treatment
  • Edema
  • Melasma which may persist
  • Breast changes: tenderness, enlargement, secretion
  • Change in weight (increase or decrease)
  • Change in cervical erosion and secretion
  • Diminution in lactation when given immediately postpartum
  • Cholestatic jaundice
  • Migraine
  • Allergic reaction, including rash, urticaria, angioedema
  • Mental depression
  • Reduced tolerance to carbohydrates
  • Vaginal candidiasis
  • Change in corneal curvature (steepening)
  • Intolerance to contact lenses

The following adverse reactions have been reported in users of oral contraceptives and a causal association has been neither confirmed nor refuted:

  • Pre-menstrual syndrome
  • Cataracts
  • Changes in appetite
  • Cystitis-like syndrome
  • Headache
  • Nervousness
  • Dizziness
  • Hirsutism
  • Loss of scalp hair
  • Erythema multiforme
  • Erythema nodosum
  • Hemorrhagic eruption
  • Vaginitis
  • Porphyria
  • Impaired renal function
  • Hemolytic uremic syndrome
  • Acne
  • Changes in libido
  • Colitis
  • Budd-Chiari Syndrome

The following adverse reactions were also reported in clinical trials or during post-marketing experience: Gastrointestinal Disorders: diarrhea, pancreatitis; Musculoskeletal and Connective Tissue Disorders: muscle spasms, back pain; Reproductive System and Breast Disorders vulvovaginal pruritus, pelvic pain, dysmenorrhea, vulvovaginal dryness; Psychiatric Disorders: anxiety, mood swings, mood altered; Skin and Subcutaneous Tissue Disorders: pruritus, photosensitivity reaction; General Disorders and Administration Site Conditions: edema peripheral, fatigue, irritability, asthenia, malaise; Neoplasms Benign, Malignant, and Unspecified (Including Cysts and Polyps): breast cancer, breast mass, breast neoplasm, cervix carcinoma; Immune System Disorders: anaphylactic/anaphylactoid reaction; Hepatobiliary Disorders: hepatitis, cholelithiasis.

Contraindications (CONTRAINDICATIONS)

Oral contraceptives should not be used in women who currently have the following conditions:

  • Thrombophlebitis or thromboembolic disorders
  • A past history of deep vein thrombophlebitis or thromboembolic disorders
  • Known thrombophilic conditions
  • Cerebral vascular or coronary artery disease (current or history)
  • Valvular heart disease with complications
  • Persistent blood pressure values of ≥ 160 mm Hg systolic or ≥ 100 mg Hg diastolic96
  • Diabetes with vascular involvement
  • Headaches with focal neurological symptoms
  • Major surgery with prolonged immobilization
  • Current diagnosis of, or history of, breast cancer, which may be hormone-sensitive
  • Carcinoma of the endometrium or other known or suspected estrogen-dependent neoplasia
  • Undiagnosed abnormal genital bleeding
  • Cholestatic jaundice of pregnancy or jaundice with prior pill use
  • Acute or chronic hepatocellular disease with abnormal liver function
  • Hepatic adenomas or carcinomas
  • Known or suspected pregnancy
  • Hypersensitivity to any component of this product
  • Are receiving Hepatitis C drug combinations containing ombitasvir/paritaprevir/ritonavir, with or without dasabuvir, due to the potential for ALT elevations (see WARNINGS, Risk of Liver Enzyme Elevations with Concomitant Hepatitis C Treatment).
10. Carcinogenesis

See WARNINGS.

3. Lipid Disorders

Women who are being treated for hyperlipidemias should be followed closely if they elect to use oral contraceptives. Some progestogens may elevate LDL levels and may render the control of hyperlipidemias more difficult.

5. Fluid Retention

Oral contraceptives may cause some degree of fluid retention. They should be prescribed with caution, and only with careful monitoring, in patients with conditions which might be aggravated by fluid retention.

B. Thromboembolism (b. Thromboembolism)

An increased risk of thromboembolic and thrombotic disease associated with the use of oral contraceptives is well established. Case control studies have found the relative risk of users compared to nonusers to be 3 for the first episode of superficial venous thrombosis, 4 to 11 for deep vein thrombosis or pulmonary embolism, and 1.5 to 6 for women with predisposing conditions for venous thromboembolic disease.2, 3, 19-24 Cohort studies have shown the relative risk to be somewhat lower, about 3 for new cases and about 4.5 for new cases requiring hospitalization.25 The risk of thromboembolic disease associated with oral contraceptives gradually disappears after combined oral contraceptive (COC) use is stopped.2 VTE risk is highest in the first year of use and when restarting hormonal contraception after a break of four weeks or longer.

A two- to four-fold increase in relative risk of post-operative thromboembolic complications has been reported with the use of oral contraceptives.9 The relative risk of venous thrombosis in women who have predisposing conditions is twice that of women without such medical conditions.26 If feasible, oral contraceptives should be discontinued at least four weeks prior to and for two weeks after elective surgery of a type associated with an increase in risk of thromboembolism and during and following prolonged immobilization. Since the immediate postpartum period is also associated with an increased risk of thromboembolism, oral contraceptives should be started no earlier than four weeks after delivery in women who elect not to breastfeed.

12. Nursing Mothers

Small amounts of oral contraceptive steroids have been identified in the milk of nursing mothers and a few adverse effects on the child have been reported, including jaundice and breast enlargement. In addition, combined oral contraceptives given in the postpartum period may interfere with lactation by decreasing the quantity and quality of breast milk. If possible, the nursing mother should be advised not to use combined oral contraceptives but to use other forms of contraception until she has completely weaned her child.

4. Hepatic Neoplasia

Benign hepatic adenomas are associated with oral contraceptive use, although the incidence of benign tumors is rare in the United States. Indirect calculations have estimated the attributable risk to be in the range of 3.3 cases/100,000 for users, a risk that increases after four or more years of use especially with oral contraceptives of higher dose.49 Rupture of benign, hepatic adenomas may cause death through intra-abdominal hemorrhage.50, 51

Studies from Britain have shown an increased risk of developing hepatocellular carcinoma in long-term (>8 years) oral contraceptive users. However, these cancers are extremely rare in the U.S. and the attributable risk (the excess incidence) of liver cancers in oral contraceptive users approaches less than one per million users.

8. Drug Interactions

Consult the labeling of concurrently-used drugs to obtain further information about interactions with hormonal contraceptives or the potential for enzyme alterations.

Effects of Other Drugs on Combined Hormonal Contraceptives

Substances decreasing the plasma concentrations of COCs and potentially diminishing the efficacy of COCs:

Drugs or herbal products that induce certain enzymes, including cytochrome P450 3A4 (CYP3A4), may decrease the plasma concentrations of COCs and potentially diminish the effectiveness of CHCs or increase breakthrough bleeding. Some drugs or herbal products that may decrease the effectiveness of hormonal contraceptives include phenytoin, barbiturates, carbamazepine, bosentan, felbamate, griseofulvin, oxcarbazepine, rifampicin, topiramate, rifabutin, rufinamide, aprepitant, and products containing St. John’s wort. Interactions between hormonal contraceptives and other drugs may lead to breakthrough bleeding and/or contraceptive failure. Counsel women to use an alternative method of contraception or a back-up method when enzyme inducers are used with CHCs, and to continue back-up contraception for 28 days after discontinuing the enzyme inducer to ensure contraceptive reliability.

Substances increasing the plasma concentrations of COCs:

Co-administration of atorvastatin or rosuvastatin and certain COCs containing EE increase AUC values for EE by approximately 20 to 25%. Ascorbic acid and acetaminophen may increase plasma EE concentrations, possibly by inhibition of conjugation. CYP3A4 inhibitors such as itraconazole, voriconazole, fluconazole, grapefruit juice, or ketoconazole may increase plasma hormone concentrations.

Human immunodeficiency virus (HIV)/Hepatitis C virus (HCV) protease inhibitors and non-nucleoside reverse transcriptase inhibitors:

Significant changes (increase or decrease) in the plasma concentrations of estrogen and/or progestin have been noted in some cases of co-administration with HIV protease inhibitors (decrease [e.g., nelfinavir, ritonavir, darunavir/ritonavir, (fos) amprenavir/ritonavir, lopinavir/ritonavir, and tipranavir/ritonavir] or increase [e.g., indinavir and atazanavir/ritonavir]) /HCV protease inhibitors (decrease [e.g., boceprevir and telaprevir]) or with non-nucleoside reverse transcriptase inhibitors (decrease [e.g., nevirapine] or increase [e.g., etravirine]).

Colesevelam : Colesevelam, a bile acid sequestrant, given together with a combination oral hormonal contraceptive, has been shown to significantly decrease the AUC of EE. A drug interaction between the contraceptive and colesevelam was decreased when the two drug products were given 4 hours apart.

Effects of Combined Hormonal Contraceptives on Other Drugs

COCs containing EE may inhibit the metabolism of other compounds (e.g., cyclosporine, prednisolone, theophylline, tizanidine, and voriconazole) and increase their plasma concentrations. COCs have been shown to decrease plasma concentrations of acetaminophen, clofibric acid, morphine, salicylic acid, temazepam and lamotrigine. Significant decrease in plasma concentration of lamotrigine has been shown, likely due to induction of lamotrigine glucuronidation. This may reduce seizure control; therefore, dosage adjustments of lamotrigine may be necessary.

Women on thyroid hormone replacement therapy may need increased doses of thyroid hormone because serum concentrations of thyroid-binding globulin increases with use of COCs.

13. Ectopic Pregnancy

Ectopic as well as intrauterine pregnancy may occur in contraceptive failures.

Clinical Pharmacology (CLINICAL PHARMACOLOGY)

Combined Oral Contraceptives

Combined oral contraceptives act by suppression of gonadotropins. Although the primary mechanism of this action is inhibition of ovulation, other alterations include changes in the cervical mucus (which increase the difficulty of sperm entry into the uterus) and the endometrium (which reduce the likelihood of implantation).

Indications and Usage (INDICATIONS AND USAGE)

Nortrel® 7/7/7 (norethindrone and ethinyl estradiol tablets USP, 0.5/0.035 mg, 0.75/0.035 mg, and 1/0.035 mg) is indicated for the prevention of pregnancy in women who elect to use this product as a method of contraception.

Oral contraceptives are highly effective. Table 1 lists the typical accidental pregnancy rates for users of combined oral contraceptives and other methods of contraception. The efficacy of these contraceptive methods, except sterilization, the IUD, and the NORPLANT® System depends upon the reliability with which they are used. Correct and consistent use of methods can result in lower failure rates.

Table 1: Percentage of Women Experiencing an Unintended Pregnancy During the First Year of Typical Use and the First Year of Perfect Use of Contraception and the Percentage Continuing Use at the End of the First Year. United States.

% of Women Experiencing an

Unintended Pregnancy

within the First Year of Use

% of Women Continuing Use at One Year 1

Method

(1)

Typical Use 2

(2)

Perfect Use 3

(3)

(4)

Chance 4

85

85

Spermicides 5

26

6

40

Periodic abstinence

25

63

Calendar

9

Ovulation Method

3

Sympto-Thermal 6

2

Post-Ovulation

1

Cap 7

Parous Women

40

26

42

Nulliparous Women

20

9

56

Sponge

Parous Women

40

20

42

Nulliparous Women

20

9

56

Diaphragm 7

20

6

56

Withdrawal

19

4

Condom 8

Female (Reality®)

21

5

56

Male

14

3

61

Pill

5

71

Progestin Only

0.5

Combined

0.1

IUD

Progesterone T

2.0

1.5

81

Copper T380A

0.8

0.6

78

LNg 20

0.1

0.1

81

Depo-Provera®

0.3

0.3

70

Norplant® and Norplant-2®

0.05

0.05

88

Female Sterilization

0.5

0.5

100

Male Sterilization

0.15

0.10

100

Adapted from Hatcher et al., 1998, Ref. #1.

Emergency Contraceptive Pills: Treatment initiated within 72 hours after unprotected intercourse reduces the risk of pregnancy by at least 75%. 9

Lactational Amenorrhea Method: LAM is a highly effective, temporary method of contraception. 10

Source: Trussell J, Contraceptive efficacy. In Hatcher RA, Trussell J, Stewart F, Cates W, Stewart GK, Kowal D, Guest F, Contraceptive Technology: Seventeenth Revised Edition. New York, NY: Irvington Publishers, 1998.

1. Among couples attempting to avoid pregnancy, the percentage who continue to use a method for one year.

2. Among typical couples who initiate use of a method (not necessarily for the first time), the percentage who experience an accidental pregnancy during the first year if they do not stop use for any other reason.

3. Among couples who initiate use of a method (not necessarily for the first time), and who use it perfectly (both consistently and correctly), the percentage who experience an accidental pregnancy during the first year if they do not stop use for any other reason.

4. The percents becoming pregnant in columns (2) and (3) are based on data from populations where contraception is not used and from women who cease using contraception in order to become pregnant. Among such populations, about 89% become pregnant within one year. This estimate was lowered slightly (to 85%) to represent the percent who would become pregnant within one year among women now relying on reversible methods of contraception if they abandoned contraception altogether.

5. Foams, creams, gels, vaginal suppositories, and vaginal film.

6. Cervical mucus (ovulation) method supplemented by calendar in the pre-ovulatory and basal body temperature in the post-ovulatory phases.

7. With spermicidal cream or jelly.

8. Without spermicides.

9. The treatment schedule is one dose within 72 hours after unprotected intercourse, and a second dose 12 hours after the first dose. The Food and Drug Administration has declared the following brands of oral contraceptives to be safe and effective for emergency contraception: Ovral® (1 dose is 2 white pills), Alesse® (1 dose is 5 pink pills), Nordette® or Levlen® (1 dose is 2 light-orange pills), Lo/Ovral® (1 dose is 4 white pills), Triphasil® or Tri-Levlen® (1 dose is 4 yellow pills).

10.However, to maintain effective protection against pregnancy, another method of contraception must be used as soon as menstruation resumes, the frequency or duration of breastfeeds is reduced, bottle feeds are introduced, or the baby reaches six months of age.

Nortrel 7/7/7 has not been studied for and is not indicated for use in emergency contraception.

Pregnancy Category X.
3. Malignant Neoplasms

Breast Cancer

Nortrel 7/7/7 is contraindicated in females who currently have or have had breast cancer because breast cancer may be hormonally sensitive [see CONTRAINDICATIONS].

Epidemiology studies have not found a consistent association between use of combined oral contraceptives (COCs) and breast cancer risk. Studies do not show an association between ever (current or past) use of COCs and risk of breast cancer. However, some studies report a small increase in the risk of breast cancer among current or recent users (<6 months since last use) and current users with longer duration of COC use [see Postmarketing Experience].

Cervical Cancer

Some studies suggest that oral contraceptive use has been associated with an increase in the risk of cervical intraepithelial neoplasia in some populations of women.45-48 However, there continues to be controversy about the extent to which such findings may be due to differences in sexual behavior and other factors.

In spite of many studies of the relationship between oral contraceptive use and breast and cervical cancers, a cause-and-effect relationship has not been established.

6. Emotional Disorders

Women with a history of depression should be carefully observed and the drug discontinued if depression recurs to a serious degree.

8. Gallbladder Disease

Earlier studies have reported an increased lifetime relative risk of gallbladder surgery in users of oral contraceptives and estrogens.60, 61 More recent studies, however, have shown that the relative risk of developing gallbladder disease among oral contraceptive users may be minimal.62-64 The recent findings of minimal risk may be related to the use of oral contraceptive formulations containing lower hormonal doses of estrogens and progestogens.

Additional Instructions (ADDITIONAL INSTRUCTIONS)

Breakthrough bleeding, spotting, and amenorrhea are frequent reasons for patients discontinuing oral contraceptives. In breakthrough bleeding, as in all cases of irregular bleeding from the vagina, nonfunctional causes should be borne in mind. In undiagnosed persistent or recurrent abnormal bleeding from the vagina, adequate diagnostic measures are indicated to rule out pregnancy or malignancy. If pathology has been excluded, time or a change to another formulation may solve the problem. Changing to an oral contraceptive with a higher estrogen content, while potentially useful in minimizing menstrual irregularity, should be done only if necessary since this may increase the risk of thromboembolic disease.

Use of oral contraceptives in the event of a missed menstrual period:

  • If the patient has not adhered to the prescribed schedule, the possibility of pregnancy should be considered at the time of the first missed period and oral contraceptive use should be discontinued if pregnancy is confirmed.
  • If the patient has adhered to the prescribed regimen and misses two consecutive periods, pregnancy should be ruled out.
A. Myocardial Infarction (a. Myocardial Infarction)

An increased risk of myocardial infarction has been attributed to oral contraceptive use. This risk is primarily in smokers or women with other underlying risk factors for coronary artery disease such as hypertension, hypercholesterolemia, morbid obesity, and diabetes. The relative risk of heart attack for current oral contraceptive users has been estimated to be two to six.4-10 The risk is very low under the age of 30.

Smoking in combination with oral contraceptive use has been shown to contribute substantially to the incidence of myocardial infarctions in women in their mid-thirties or older with smoking accounting for the majority of excess cases.11 Mortality rates associated with circulatory disease have been shown to increase substantially in smokers, especially in those 35 years of age and older, and in nonsmokers over the age of 40 among women who use oral contraceptives (see Figure 1).

Figure 1: Circulatory Disease Mortality Rates per 100,000 Woman-Years by Age,

Smoking Status and Oral Contraceptive Use

(Adapted from P.M. Layde and V. Beral, ref. #12.)

Oral contraceptives may compound the effects of well-known risk factors, such as hypertension, diabetes, hyperlipidemias, age and obesity.13 In particular, some progestogens are known to decrease HDL cholesterol and cause glucose intolerance, while estrogens may create a state of hyperinsulinism.14-18 Oral contraceptives have been shown to increase blood pressure among users (see Section 10 in WARNINGS). Similar effects on risk factors have been associated with an increased risk of heart disease. Oral contraceptives must be used with caution in women with cardiovascular disease risk factors.

Dosage and Administration (DOSAGE AND ADMINISTRATION)

To achieve maximum contraceptive effectiveness, Nortrel 7/7/7 tablets must be taken exactly as directed and at intervals not exceeding 24 hours. Nortrel 7/7/7 tablets are available with the blister pack tablet dispenser which is preset for a Sunday Start. Day 1 Start is also available.

10. Elevated Blood Pressure

Women with significant hypertension should not be started on hormonal contraception.92 An increase in blood pressure has been reported in women taking oral contraceptives68 and this increase is more likely in older oral contraceptive users69 and with extended duration of use.61 Data from the Royal College of General Practitioners12 and subsequent randomized trials have shown that the incidence of hypertension increases with increasing progestational activity.

Women with a history of hypertension or hypertension-related diseases, or renal disease70 should be encouraged to use another method of contraception. If these women elect to use oral contraceptives, they should be monitored closely and if a clinically significant persistent elevation of blood pressure (BP) occurs (≥ 160 mm Hg systolic or ≥ 100 mm Hg diastolic) and cannot be adequately controlled, oral contraceptives should be discontinued. In general, women who develop hypertension during hormonal contraceptive therapy should be switched to a non-hormonal contraceptive. If other contraceptive methods are not suitable, hormonal contraceptive therapy may continue combined with antihypertensive therapy. Regular monitoring of BP throughout hormonal contraceptive therapy is recommended.96 For most women, elevated blood pressure will return to normal after stopping oral contraceptives, and there is no difference in the occurrence of hypertension between former and never users.68-71

12. Bleeding Irregularities

Breakthrough bleeding and spotting are sometimes encountered in patients on oral contraceptives, especially during the first three months of use. Nonhormonal causes should be considered and adequate diagnostic measures taken to rule out malignancy or pregnancy in the event of breakthrough bleeding, as in the case of any abnormal vaginal bleeding. If pathology has been excluded, time or a change to another formulation may solve the problem. In the event of amenorrhea, pregnancy should be ruled out.

Some women may encounter post-pill amenorrhea or oligomenorrhea, especially when such a condition was preexistent.

Information for the Patient (INFORMATION FOR THE PATIENT)

See Patient Labeling printed below.

C. Cerebrovascular Diseases (c. Cerebrovascular diseases)

Oral contraceptives have been shown to increase both the relative and attributable risks of cerebrovascular events (thrombotic and hemorrhagic strokes), although, in general, the risk is greatest among older (>35 years), hypertensive women who also smoke. Hypertension was found to be a risk factor for both users and nonusers, for both types of strokes, and smoking interacted to increase the risk of stroke.27-29

In a large study, the relative risk of thrombotic strokes has been shown to range from 3 for normotensive users to 14 for users with severe hypertension.30 The relative risk of hemorrhagic stroke is reported to be 1.2 for non-smokers who used oral contraceptives, 2.6 for smokers who did not use oral contraceptives, 7.6 for smokers who used oral contraceptives, 1.8 for normotensive users and 25.7 for users with severe hypertension.30 The attributable risk is also greater in older women.3

Non Contraceptive Health Benefits (NON-CONTRACEPTIVE HEALTH BENEFITS)

The following non-contraceptive health benefits related to the use of combined oral contraceptives are supported by epidemiological studies which largely utilized oral contraceptive formulations containing estrogen doses exceeding 0.035 mg of ethinyl estradiol or 0.05 mg mestranol.73-78

Brief Summary Patient Package Insert (BRIEF SUMMARY PATIENT PACKAGE INSERT)

Oral contraceptives, also known as “birth control pills” or “the pill,” are taken to prevent pregnancy and when taken correctly without missing any pills, have a failure rate of approximately 1% per year. The typical failure rate is approximately 5% per year when women who miss pills are included. For most women oral contraceptives are also free of serious or unpleasant side effects. However, forgetting to take pills considerably increases the chances of pregnancy.

For the majority of women, oral contraceptives can be taken safely. But there are some women who are at high risk of developing certain serious diseases that can be fatal or may cause temporary or permanent disability. The risks associated with taking oral contraceptives increase significantly if you:

  • smoke
  • have high blood pressure, diabetes, high cholesterol
  • have or have had clotting disorders, heart attack, stroke, angina pectoris, cancer of the breast or sex organs, jaundice or malignant or benign liver tumors.

Although cardiovascular disease risks may be increased with oral contraceptive use after age 40 in healthy, non-smoking women (even with the newer low-dose formulations), there are also greater potential health risks associated with pregnancy in older women.

You should not take the pill if you suspect you are pregnant or have unexplained vaginal bleeding.

2. Physical Examination and Follow Up (2. Physical Examination and Follow-Up)

It is good medical practice for all women to have annual history and physical examinations, including women using oral contraceptives. The physical examination, however, may be deferred until after initiation of oral contraceptives if requested by the woman and judged appropriate by the clinician. The physical examination should include special reference to blood pressure, breasts, abdomen and pelvic organs, including cervical cytology, and relevant laboratory tests. In case of undiagnosed, persistent or recurrent abnormal vaginal bleeding, appropriate measures should be conducted to rule out malignancy. Women with a strong family history of breast cancer or who have breast nodules should be monitored with particular care.

9. Interactions With Laboratory Tests (9. Interactions with Laboratory Tests)

Certain endocrine and liver function tests and blood components may be affected by oral contraceptives:

  • Increased prothrombin and factors VII, VIII, IX, and X; decreased antithrombin 3; increased norepinephrine-induced platelet aggregability.
  • Increased thyroid binding globulin (TBG) leading to increased circulating total thyroid hormone, as measured by protein-bound iodine (PBI), T4 by column or by radioimmunoassay. Free T3 resin uptake is decreased, reflecting the elevated TBG, free T4 concentration is unaltered.
  • Other binding proteins may be elevated in serum.
  • Sex-binding globulins are increased and result in elevated levels of total circulating sex steroids and corticoids; however, free or biologically active levels remain unchanged.
  • Triglycerides may be increased and levels of various other lipids and lipoproteins may be affected.
  • Glucose tolerance may be decreased.
  • Serum folate levels may be depressed by oral contraceptive therapy. This may be of clinical significance if a woman becomes pregnant shortly after discontinuing oral contraceptives.
Package/label Display Panel, Part 1 of 2 (Package/Label Display Panel, Part 1 of 2)

NDC 0555-9012-58

6 Blister Cards, 28 Tablets Each

Nortrel® 7/7/7

(norethindrone and ethinyl

estradiol tablets, USP-

triphasic regimen)

Usual Dosage: One tablet daily as recommended in enclosed detailed

product information.

See enclosed package insert for full prescribing information.

To the Dispenser: This carton contains one combination labeling

piece of information intended for the patient. Informational pieces are

to be provided to the patient with each prescription.

Rx only

SHAPING

WOMEN'S HEALTH®

Package/label Display Panel, Part 2 of 2 (Package/Label Display Panel, Part 2 of 2)
E. Persistence of Risk of Vascular Disease (e. Persistence of risk of vascular disease)

There are two studies which have shown persistence of risk of vascular disease for ever-users of oral contraceptives. In a study in the United States, the risk of developing myocardial infarction after discontinuing oral contraceptives persists for at least 9 years for women 40 to 49 years who had used oral contraceptives for five or more years, but this increased risk was not demonstrated in other age groups.8 In another study in Great Britain, the risk of developing cerebrovascular disease persisted for at least 6 years after discontinuation of oral contraceptives, although excess risk was very small.34 However, both studies were performed with oral contraceptive formulations containing 50 micrograms or higher of estrogens.

9. Carbohydrate and Lipid Metabolic Effects

Oral contraceptives have been shown to cause a decrease in glucose tolerance in a significant percentage of users.17 This effect has been shown to be directly related to estrogen dose.65 Progestogens increase insulin secretion and create insulin resistance, this effect varying with different progestational agents.17,66 However, in the non-diabetic woman, oral contraceptives appear to have no effect on fasting blood glucose.67 Because of these demonstrated effects, prediabetic and diabetic women in particular should be carefully monitored while taking oral contraceptives.

A small proportion of women will have persistent hypertriglyceridemia while on the pill. As discussed earlier (see WARNINGS 1a and 1d), changes in serum triglycerides and lipoprotein levels have been reported in oral contraceptive users.

2. Estimates of Mortality From Contraceptive Use (2. Estimates of Mortality from Contraceptive Use)

One study gathered data from a variety of sources which have estimated the mortality rate associated with different methods of contraception at different ages (Table 2). These estimates include the combined risk of death associated with contraceptive methods plus the risk attributable to pregnancy in the event of method failure. Each method of contraception has its specific benefits and risks. The study concluded that with the exception of oral contraceptive users 35 and older who smoke, and 40 and older who do not smoke, mortality associated with all methods of birth control is low and below that associated with childbirth. The observation of an increase in risk of mortality with age for oral contraceptive users is based on data gathered in the 1970's.35 Current clinical recommendation involves the use of lower estrogen dose formulations and a careful consideration of risk factors. In 1989, the Fertility and Maternal Health Drugs Advisory Committee was asked to review the use of oral contraceptives in women 40 years of age and over. The Committee concluded that although cardiovascular disease risks may be increased with oral contraceptive use after age 40 in healthy non-smoking women (even with the newer low-dose formulations), there are also greater potential health risks associated with pregnancy in older women and with the alternative surgical and medical procedures which may be necessary if such women do not have access to effective and acceptable means of contraception. The Committee recommended that the benefits of low-dose oral contraceptive use by healthy non-smoking women over 40 may outweigh the possible risks.

Of course, older women, as all women who take oral contraceptives, should take an oral contraceptive which contains the least amount of estrogen and progestogen that is compatible with a low failure rate and individual patient needs.

Table 2: ANNUAL NUMBER OF BIRTH-RELATED OR METHOD-RELATED DEATHS ASSOCIATED WITH CONTROL OF FERTILITY PER 100,000 NONSTERILE WOMEN, BY FERTILITY CONTROL METHOD ACCORDING TO AGE

Method of control and outcome

15 to 19

20 to 24

25 to 29

30 to 34

35 to 39

40 to 44

No fertility control methods 1

7.0

7.4

9.1

14.8

25.7

28.2

Oral contraceptives non-smoker 2

0.3

0.5

0.9

1.9

13.8

31.6

Oral contraceptives smoker 2

2.2

3.4

6.6

13.5

51.1

117.2

IUD 2

0.8

0.8

1.0

1.0

1.4

1.4

Condom 1

1.1

1.6

0.7

0.2

0.3

0.4

Diaphragm/spermicide 1

1.9

1.2

1.2

1.3

2.2

2.8

Periodic abstinence 1

2.5

1.6

1.6

1.7

2.9

3.6

Adapted from H.W. Ory, ref. #35.

1. Deaths are birth-related

2. Deaths are method-related

7. Oral Contraceptive Use Before Or During Early Pregnancy (7. Oral Contraceptive Use Before or During Early Pregnancy)

Extensive epidemiological studies have revealed no increased risk of birth defects in women who have used oral contraceptives prior to pregnancy.56, 57 The majority of recent studies also do not indicate a teratogenic effect, particularly in so far as cardiac anomalies and limb reduction defects are concerned,55, 56, 58, 59 when taken inadvertently during early pregnancy.

The administration of oral contraceptives to induce withdrawal bleeding should not be used as a test for pregnancy. Oral contraceptives should not be used during pregnancy to treat threatened or habitual abortion.

It is recommended that for any patient who has missed two consecutive periods, pregnancy should be ruled out. If the patient has not adhered to the prescribed schedule, the possibility of pregnancy should be considered at the time of the first missed period. Oral contraceptive use should be discontinued if pregnancy is confirmed.

D. Dose Related Risk of Vascular Disease From Oral Contraceptives (d. Dose related risk of vascular disease from oral contraceptives)

A positive association has been observed between the amount of estrogen and progestogen in oral contraceptives and the risk of vascular disease.31-33 A decline in serum high density lipoproteins (HDL) has been reported with many progestational agents.14-16 A decline in serum high density lipoproteins has been associated with an increased incidence of ischemic heart disease. Because estrogens increase HDL cholesterol, the net effect of an oral contraceptive depends on a balance achieved between doses of estrogen and progestogen and the activity of the progestogen used in the contraceptives. The activity and amount of both hormones should be considered in the choice of an oral contraceptive.

Minimizing exposure to estrogen and progestogen is in keeping with good principles of therapeutics. For any particular estrogen/progestogen combination, the dosage regimen prescribed should be one which contains the least amount of estrogen and progestogen that is compatible with a low failure rate and the needs of the individual patient. New acceptors of oral contraceptive agents should be started on preparations containing the lowest estrogen content which is judged appropriate for the individual patient.

5. Risk of Liver Enzyme Elevations With Concomitant Hepatitis C Treatment (5. Risk of Liver Enzyme Elevations with Concomitant Hepatitis C Treatment)

During clinical trials with the Hepatitis C combination drug regimen that contains ombitasvir/paritaprevir/ritonavir, with or without dasabuvir, ALT elevations greater than 5 times the upper limit of normal (ULN), including some cases greater than 20 times the ULN, were significantly more frequent in women using ethinyl estradiol-containing medications such as COCs. Discontinue Nortrel 7/7/7 prior to starting therapy with the combination drug regimen ombitasvir/paritaprevir/ritonavir, with or without dasabuvir (see CONTRAINDICATIONS). Nortrel 7/7/7 can be restarted approximately 2 weeks following completion of treatment with the combination drug regimen.


Advanced Ingredient Data


Raw Label Data

All Sections (JSON)