These Highlights Do Not Include All The Information Needed To Use Guanfacine Extended-release Tablets Safely And Effectively. See Full Prescribing Information For Guanfacine Extended-release Tablets.

These Highlights Do Not Include All The Information Needed To Use Guanfacine Extended-release Tablets Safely And Effectively. See Full Prescribing Information For Guanfacine Extended-release Tablets.
SPL v1
SPL
SPL Set ID 983b3157-cbea-435d-ba32-9ee7ef95226a
Route
ORAL
Published
Effective Date 2023-08-10
Document Type 34391-3 Human Prescription Drug Label

Drug Facts

Composition & Product

Active Ingredients
Guanfacine (1 mg)
Inactive Ingredients
Methacrylic Acid And Ethyl Acrylate Copolymer Hypromellose, Unspecified Glyceryl Dibehenate Microcrystalline Cellulose Lactose Monohydrate Fumaric Acid Talc Silicon Dioxide Magnesium Stearate Fd&c Blue No. 2--aluminum Lake Ferric Oxide Yellow

Identifiers & Packaging

Pill Appearance
Imprint: L660 Shape: round Shape: oval Color: white Color: green Size: 7 mm Size: 12 mm Size: 8 mm Score: 1
Marketing Status
ANDA Active Since 2023-08-08

Description

Guanfacine extended-release tablets are indicated for the treatment of Attention Deficit Hyperactivity Disorder (ADHD) as monotherapy and as adjunctive therapy to stimulant medications [see Clinical Studies (14)] .

Indications and Usage

Guanfacine extended-release tablets are indicated for the treatment of Attention Deficit Hyperactivity Disorder (ADHD) as monotherapy and as adjunctive therapy to stimulant medications [see Clinical Studies (14)] .

Dosage and Administration

• Recommended dose: 1 mg to 7 mg (0.05 to 0.12 mg/kg target weight based dose range) once daily in the morning or evening based on clinical response and tolerability (2.2). • Begin at a dose of 1 mg once daily and adjust in increments of no more than 1 mg/week (2.2). • Do not crush, chew or break tablets before swallowing (2.1). • Do not administer with high-fat meals, because of increased exposure (2.1). • Do not substitute for immediate-release guanfacine tablets on a mg-per-mg basis, because of differing pharmacokinetic profiles (2.3). • If switching from immediate-release guanfacine, discontinue that treatment and titrate with guanfacine extended-release tablet as directed (2.3). • When discontinuing, taper the dose in decrements of no more than 1 mg every 3 to 7 days to avoid rebound hypertension (2.5).

Warnings and Precautions

 • Hypotension, bradycardia, syncope: Titrate slowly and monitor vital signs frequently in patients at risk for hypotension, heart block, bradycardia, syncope, cardiovascular disease, vascular disease, cerebrovascular disease or chronic renal failure. Measure heart rate and blood pressure prior to initiation of therapy, following dose increases, and periodically while on therapy. Avoid concomitant use of drugs with additive effects unless clinically indicated. Advise patients to avoid becoming dehydrated or overheated (5.1). • Sedation and somnolence: Occur commonly with guanfacine. Consider the potential for additive sedative effects with CNS depressant drugs. Caution patients against operating heavy equipment or driving until they know how they respond to guanfacine (5.2). • Cardiac Conduction Abnormalities: May worsen sinus node dysfunction and atrioventricular (AV) block, especially in patients taking other sympatholytic drugs. Titrate slowly and monitor vital signs frequently (5.3). • Rebound Hypertension: Abrupt discontinuation of guanfacine can lead to clinically significant and persistent rebound hypertension. Subsequent hypertensive encephalopathy was also reported. To minimize the risk of rebound hypertension upon discontinuation, the total daily dose of guanfacine should be tapered in decrements of no more than 1 mg every 3 to 7 days (5.4).

Contraindications

Guanfacine is contraindicated in patients with a history of a hypersensitivity reaction to guanfacine extended-release tablets or its inactive ingredients, or other products containing guanfacine. Rash and pruritus have been reported.

Adverse Reactions

The following serious adverse reactions are described elsewhere in the labeling: Hypotension, bradycardia, and syncope [see Warnings and Precautions (5.1)] Sedation and somnolence [see Warnings and Precautions (5.2)] Cardiac conduction abnormalities [see Warnings and Precautions (5.3)] Rebound Hypertension [see Warnings and Precautions (5.4)]

Drug Interactions

Table 14 contains clinically important drug interactions with guanfacine  [see Clinical Pharmacology (12.3)].   Table 14: Clinically Important Drug Interactions: Effect of other Drugs on Guanfacine                       Concomitant Drug Name or Drug Class     Clinical Rationale and Magnitude of Drug Interaction     Clinical Recommendation    Strong and moderate CYP3A4 inhibitors, e.g., ketoconazole, fluconazole       Guanfacine is primarily metabolized by CYP3A4 and its plasma concentrations can be significantly affected resulting in an increase in exposure    Consider dose reduction [see Dosage and administration (2.7)]       Strong and moderate CYP3A4 inducers, e.g., rifampin, efavirenz       Guanfacine is primarily metabolized by CYP3A4 and its plasma concentrations can be significantly affected resulting in a decrease in exposure    Consider dose increase [see Dosage and administration (2.7)]     

Storage and Handling

   Guanfacine extended-release tablets, USP are supplied in 1 mg, 2 mg, 3 mg, and 4 mg strength as follows: Guanfacine extended-release tablets USP, 1 mg are white to off white colored, round shaped tablets, debossed with ‘L657’ on one side and plain on other side. Bottles of 100 tablets with child-resistant closure, NDC 46708-745-31 Bottles of 1000 tablets, NDC 46708-745-91 Guanfacine extended-release tablets USP, 2 mg are white to off white colored, caplet shaped tablets, debossed with ‘L658’ on one side and plain on other side. Bottles of 100 tablets with child-resistant closure, NDC 46708-746-31 Bottles of 1000 tablets, NDC 46708-746-91 Guanfacine extended-release tablets USP, 3 mg are light green to green colored, round shaped tablets, debossed with ‘L659’ on one side and plain on other side. Bottles of 100 tablets with child-resistant closure, NDC 46708-747-31 Bottles of 1000 tablets, NDC 46708-747-91 Guanfacine extended-release tablets USP, 4 mg are light green to green colored, caplet shaped tablets, debossed with ‘L660’ on one side and plain on other side. Bottles of 100 tablets with child-resistant closure, NDC 46708-748-31 Bottles of 1000 tablets, NDC 46708-748-91 Storage - Store at 20°C to 25°C (68°F to 77°F); excursions permitted to 15° to 30°C (59° to 86°F) [See USP Controlled Room Temperature].    

How Supplied

   Guanfacine extended-release tablets, USP are supplied in 1 mg, 2 mg, 3 mg, and 4 mg strength as follows: Guanfacine extended-release tablets USP, 1 mg are white to off white colored, round shaped tablets, debossed with ‘L657’ on one side and plain on other side. Bottles of 100 tablets with child-resistant closure, NDC 46708-745-31 Bottles of 1000 tablets, NDC 46708-745-91 Guanfacine extended-release tablets USP, 2 mg are white to off white colored, caplet shaped tablets, debossed with ‘L658’ on one side and plain on other side. Bottles of 100 tablets with child-resistant closure, NDC 46708-746-31 Bottles of 1000 tablets, NDC 46708-746-91 Guanfacine extended-release tablets USP, 3 mg are light green to green colored, round shaped tablets, debossed with ‘L659’ on one side and plain on other side. Bottles of 100 tablets with child-resistant closure, NDC 46708-747-31 Bottles of 1000 tablets, NDC 46708-747-91 Guanfacine extended-release tablets USP, 4 mg are light green to green colored, caplet shaped tablets, debossed with ‘L660’ on one side and plain on other side. Bottles of 100 tablets with child-resistant closure, NDC 46708-748-31 Bottles of 1000 tablets, NDC 46708-748-91 Storage - Store at 20°C to 25°C (68°F to 77°F); excursions permitted to 15° to 30°C (59° to 86°F) [See USP Controlled Room Temperature].    


Medication Information

Warnings and Precautions

 • Hypotension, bradycardia, syncope: Titrate slowly and monitor vital signs frequently in patients at risk for hypotension, heart block, bradycardia, syncope, cardiovascular disease, vascular disease, cerebrovascular disease or chronic renal failure. Measure heart rate and blood pressure prior to initiation of therapy, following dose increases, and periodically while on therapy. Avoid concomitant use of drugs with additive effects unless clinically indicated. Advise patients to avoid becoming dehydrated or overheated (5.1). • Sedation and somnolence: Occur commonly with guanfacine. Consider the potential for additive sedative effects with CNS depressant drugs. Caution patients against operating heavy equipment or driving until they know how they respond to guanfacine (5.2). • Cardiac Conduction Abnormalities: May worsen sinus node dysfunction and atrioventricular (AV) block, especially in patients taking other sympatholytic drugs. Titrate slowly and monitor vital signs frequently (5.3). • Rebound Hypertension: Abrupt discontinuation of guanfacine can lead to clinically significant and persistent rebound hypertension. Subsequent hypertensive encephalopathy was also reported. To minimize the risk of rebound hypertension upon discontinuation, the total daily dose of guanfacine should be tapered in decrements of no more than 1 mg every 3 to 7 days (5.4).

Indications and Usage

Guanfacine extended-release tablets are indicated for the treatment of Attention Deficit Hyperactivity Disorder (ADHD) as monotherapy and as adjunctive therapy to stimulant medications [see Clinical Studies (14)] .

Dosage and Administration

• Recommended dose: 1 mg to 7 mg (0.05 to 0.12 mg/kg target weight based dose range) once daily in the morning or evening based on clinical response and tolerability (2.2). • Begin at a dose of 1 mg once daily and adjust in increments of no more than 1 mg/week (2.2). • Do not crush, chew or break tablets before swallowing (2.1). • Do not administer with high-fat meals, because of increased exposure (2.1). • Do not substitute for immediate-release guanfacine tablets on a mg-per-mg basis, because of differing pharmacokinetic profiles (2.3). • If switching from immediate-release guanfacine, discontinue that treatment and titrate with guanfacine extended-release tablet as directed (2.3). • When discontinuing, taper the dose in decrements of no more than 1 mg every 3 to 7 days to avoid rebound hypertension (2.5).

Contraindications

Guanfacine is contraindicated in patients with a history of a hypersensitivity reaction to guanfacine extended-release tablets or its inactive ingredients, or other products containing guanfacine. Rash and pruritus have been reported.

Adverse Reactions

The following serious adverse reactions are described elsewhere in the labeling: Hypotension, bradycardia, and syncope [see Warnings and Precautions (5.1)] Sedation and somnolence [see Warnings and Precautions (5.2)] Cardiac conduction abnormalities [see Warnings and Precautions (5.3)] Rebound Hypertension [see Warnings and Precautions (5.4)]

Drug Interactions

Table 14 contains clinically important drug interactions with guanfacine  [see Clinical Pharmacology (12.3)].   Table 14: Clinically Important Drug Interactions: Effect of other Drugs on Guanfacine                       Concomitant Drug Name or Drug Class     Clinical Rationale and Magnitude of Drug Interaction     Clinical Recommendation    Strong and moderate CYP3A4 inhibitors, e.g., ketoconazole, fluconazole       Guanfacine is primarily metabolized by CYP3A4 and its plasma concentrations can be significantly affected resulting in an increase in exposure    Consider dose reduction [see Dosage and administration (2.7)]       Strong and moderate CYP3A4 inducers, e.g., rifampin, efavirenz       Guanfacine is primarily metabolized by CYP3A4 and its plasma concentrations can be significantly affected resulting in a decrease in exposure    Consider dose increase [see Dosage and administration (2.7)]     

Storage and Handling

   Guanfacine extended-release tablets, USP are supplied in 1 mg, 2 mg, 3 mg, and 4 mg strength as follows: Guanfacine extended-release tablets USP, 1 mg are white to off white colored, round shaped tablets, debossed with ‘L657’ on one side and plain on other side. Bottles of 100 tablets with child-resistant closure, NDC 46708-745-31 Bottles of 1000 tablets, NDC 46708-745-91 Guanfacine extended-release tablets USP, 2 mg are white to off white colored, caplet shaped tablets, debossed with ‘L658’ on one side and plain on other side. Bottles of 100 tablets with child-resistant closure, NDC 46708-746-31 Bottles of 1000 tablets, NDC 46708-746-91 Guanfacine extended-release tablets USP, 3 mg are light green to green colored, round shaped tablets, debossed with ‘L659’ on one side and plain on other side. Bottles of 100 tablets with child-resistant closure, NDC 46708-747-31 Bottles of 1000 tablets, NDC 46708-747-91 Guanfacine extended-release tablets USP, 4 mg are light green to green colored, caplet shaped tablets, debossed with ‘L660’ on one side and plain on other side. Bottles of 100 tablets with child-resistant closure, NDC 46708-748-31 Bottles of 1000 tablets, NDC 46708-748-91 Storage - Store at 20°C to 25°C (68°F to 77°F); excursions permitted to 15° to 30°C (59° to 86°F) [See USP Controlled Room Temperature].    

How Supplied

   Guanfacine extended-release tablets, USP are supplied in 1 mg, 2 mg, 3 mg, and 4 mg strength as follows: Guanfacine extended-release tablets USP, 1 mg are white to off white colored, round shaped tablets, debossed with ‘L657’ on one side and plain on other side. Bottles of 100 tablets with child-resistant closure, NDC 46708-745-31 Bottles of 1000 tablets, NDC 46708-745-91 Guanfacine extended-release tablets USP, 2 mg are white to off white colored, caplet shaped tablets, debossed with ‘L658’ on one side and plain on other side. Bottles of 100 tablets with child-resistant closure, NDC 46708-746-31 Bottles of 1000 tablets, NDC 46708-746-91 Guanfacine extended-release tablets USP, 3 mg are light green to green colored, round shaped tablets, debossed with ‘L659’ on one side and plain on other side. Bottles of 100 tablets with child-resistant closure, NDC 46708-747-31 Bottles of 1000 tablets, NDC 46708-747-91 Guanfacine extended-release tablets USP, 4 mg are light green to green colored, caplet shaped tablets, debossed with ‘L660’ on one side and plain on other side. Bottles of 100 tablets with child-resistant closure, NDC 46708-748-31 Bottles of 1000 tablets, NDC 46708-748-91 Storage - Store at 20°C to 25°C (68°F to 77°F); excursions permitted to 15° to 30°C (59° to 86°F) [See USP Controlled Room Temperature].    

Description

Guanfacine extended-release tablets are indicated for the treatment of Attention Deficit Hyperactivity Disorder (ADHD) as monotherapy and as adjunctive therapy to stimulant medications [see Clinical Studies (14)] .

Section 42230-3


Patient Information

Guanfacine (GWAHN fa seen)

Extended-Release Tablets, USP

Read the Patient Information that comes with guanfacine extended-release tablets before you start taking it and each time you get a refill. There may be new information. This leaflet does not take the place of talking with your doctor about your medical condition or your treatment.

What is guanfacine extended-release tablet?

Guanfacine extended-release tablet is a prescription medicine used to treat the symptoms of attention deficit hyperactivity disorder (ADHD). Guanfacine extended-release tablets may be used alone or with ADHD stimulant medicines.

Guanfacine extended-release tablet is not a central nervous system (CNS) stimulant.

It is not known if guanfacine extended-release tablet is safe and effective in children younger than 6 years of age.



Who should not take guanfacine extended-release tablets?

Do not take guanfacine extended-release tablets if you are allergic to guanfacine or any of the ingredients in guanfacine extended-release tablets. See the end of this leaflet for a complete list of ingredients in guanfacine extended-release tablets.

What should I tell my doctor before taking guanfacine extended-release tablets?

Before you take guanfacine extended-release tablets, tell your doctor if you:


• have heart problems or a low heart rate

• have fainted

• have low or high blood pressure

• have liver or kidney problems

• have any other medical conditions

• are pregnant or plan to become pregnant. It is not known if guanfacine extended-release tablets will harm your unborn baby. Talk to your doctor if you are pregnant or plan to become pregnant.

    o There is a pregnancy registry for females who are exposed to ADHD medications, including guanfacine extended-release tablets, during pregnancy. The purpose of the registry is to collect information about the health of females exposed to guanfacine extended-release tablets and their baby. If you or your child becomes pregnant during treatment with guanfacine extended-release tablets, talk to your healthcare provider about registering with the National Pregnancy Registry of ADHD medications at 1-866-961-2388.

• are breastfeeding or plan to breastfeed. It is not known if guanfacine passes into your breast  milk. Talk to your doctor about the best way to feed your baby while taking guanfacine extended-release tablets.

Tell your doctor about all of the medicines you take, including prescription and over-the-counter medicines, vitamins, and herbal supplements.

Guanfacine extended-release tablets may affect the way other medicines work, and other medicines may affect how guanfacine extended-release tablet works.



Especially tell your doctor if you take:

• ketoconazole

• medicines that can affect enzyme metabolism

• high blood pressure medicine

• sedatives

• benzodiazepines

• barbiturates

• antipsychotics

Ask your doctor or pharmacist for a list of these medicines, if you are not sure.

Know the medicines you take. Keep a list of them and show it to your doctor and pharmacist when you get a new medicine.

How should I take guanfacine extended-release tablets?

• Take guanfacine extended-release tablets exactly as your doctor tells you.

• Your doctor may change your dose. Do not change your dose of guanfacine extended-release tablets without talking to your doctor.

• Do not stop taking guanfacine extended-release tablets without talking to your doctor.

• Try not to miss your dose of guanfacine extended-release tablets. If you miss a dose of guanfacine extended-release tablets, take the next dose at your regular time. If you miss 2 or more doses, talk to your doctor, as you may need to restart guanfacine extended-release tablets with a lower dose.

• Do not take a double dose to make up for a missed dose.

• Guanfacine extended-release tablets should be taken 1 time a day in the morning or in the evening, either alone or in combination with an ADHD stimulant medicine that your doctor may prescribe. Your doctor will tell you when to take guanfacine extended-release tablets and when to take your ADHD stimulant medication.

• Guanfacine extended-release tablets should be swallowed whole with a small amount of water, milk, or other liquid.

• Do not crush, chew, or break guanfacine extended-release tablets. Tell your doctor if you cannot swallow guanfacine extended-release tablets whole.

• Do not take guanfacine extended-release tablets with a high-fat meal.

• Your doctor will check your blood pressure and heart rate while you take guanfacine extended-release tablets.

• If you take too much guanfacine extended-release tablets, call your local Poison Control Center at 1-800-222-1222 or go to the nearest emergency room right away.

What should I avoid while taking guanfacine extended-release tablets?

• Do not drive, operate heavy machinery, or do other dangerous activities until you know how guanfacine extended-release tablet affects you. Guanfacine extended-release tablets can slow your thinking and motor skills.

• Do not drink alcohol or take other medicines that make you sleepy or dizzy while taking  guanfacine extended-release tablets until you talk with your doctor. Guanfacine extended-release tablets taken with alcohol or medicines that cause sleepiness or dizziness may make your sleepiness or dizziness worse.

• Do not become dehydrated or overheated. This may increase your chance of having low blood pressure or fainting while taking guanfacine extended-release tablets.

• Do not suddenly stop guanfacine extended-release tablets. Tell your healthcare provider if you have been vomiting and cannot take guanfacine extended-release tablets, you may be at risk for rebound hypertension.

What are the possible side effects of guanfacine extended-release tablets?

Guanfacine extended-release tablets may cause serious side effects including:


• low blood pressure

• low heart rate

• fainting

• sleepiness

• increased blood pressure and heart rate after suddenly stopping guanfacine extended-release tablets (rebound hypertension). Suddenly stopping guanfacine extended-release tablets can cause increased blood pressure and heart rate and other withdrawal symptoms such as headache, confusion, nervousness, agitation, and  tremors. If these symptoms continue to get worse and are left untreated, it could lead to a very serious condition including very high blood pressure, feeling very sleepy or tired, severe headache, vomiting, vision problems, seizures.

Get medical help right away, if you have any of the symptoms listed above.

The most common side effects of guanfacine extended-release tablets include:

• sleepiness

• tiredness

• trouble sleeping

• low blood pressure

• nausea

• stomach pain

• dizziness

• dry mouth

• irritability

• vomiting

• slow heart rate

Tell the doctor if you have any side effect that bothers you or that does not go away.

These are not all the possible side effects of guanfacine extended-release tablets. For more information, ask your doctor or pharmacist.

Call your doctor for medical advice about side effects. You may report side effects to FDA at 1-800-FDA-1088.

How should I store guanfacine extended-release tablets?

• Store guanfacine extended-release tablets between 68°F to 77°F (20°C to 25°C)

Keep guanfacine extended-release tablets and all medicines out of the reach of children.

General Information about the safe and effective use guanfacine extended-release tablets

Medicines are sometimes prescribed for purposes other than those listed in a Patient Information Leaflet. Do not use guanfacine extended-release tablets for a condition for which it was not prescribed. Do not give guanfacine extended-release tablets to other people, even if they have the same symptoms that you have. It may harm them.

This leaflet summarizes the most important information about guanfacine extended-release tablets. If you would like more information, talk with your doctor. You can ask your pharmacist or doctor for information about guanfacine extended-release tablets that is written for health professionals.

 

What are the ingredients in guanfacine extended-release tablets?

Active ingredient: guanfacine hydrochloride

Inactive ingredients: methacrylic acid and ethyl acrylate copolymer, hypromellose, glyceryl dibehenate, microcrystalline cellulose, lactose monohydrate, fumaric acid, talc, silicon dioxide and magnesium stearate. In addition, the 3 mg and 4 mg tablets also contain FD&C Blue #2 Aluminum Lake and iron oxide yellow.

This Patient Information has been approved by the U.S. Food and Drug Administration.

All brands mentioned are trademarks of their respective owners.



Manufactured by:

Alembic Pharmaceuticals Limited

(Formulation Division),

Village Panelav, P. O. Tajpura,

Near Baska, Taluka-Halol,

Panchmahal 389350, Gujarat, India.



 



Revised: 10/2022

10 Overdosage

Symptoms

Postmarketing reports of guanfacine overdosage indicate that hypotension, drowsiness, lethargy, and bradycardia have been observed following overdose. Initial hypertension may develop early and may be followed by hypotension. Similar symptoms have been described in voluntary reports to the American Association of Poison Control Center’s National Poison Data System. Miosis of the pupils may be noted on examination. No fatal overdoses of guanfacine have been reported in published literature.



Treatment 

Consult a Certified Poison Control Center by calling 1-800-222-1222 for up-to-date guidance and advice.



Management of guanfacine overdose should include monitoring for and the treatment of initial hypertension, if that occurs, as well as hypotension, bradycardia, lethargy and respiratory depression. Children and adolescents who develop lethargy should be observed for the development of more serious toxicity including coma, bradycardia and hypotension for up to 24 hours, due to the possibility of delayed onset hypotension.

8.1 Pregnancy

Pregnancy Exposure Registry

There is a pregnancy exposure registry that monitors pregnancy outcomes in women exposed to ADHD medications, including guanfacine, during pregnancy. Healthcare providers are encouraged to register patients by calling the National Pregnancy Registry for ADHD Medications at 1-866-961-2388.



Risk Summary 

Available data with guanfacine over decades of use in pregnant women have not identified a drug-associated risk of major birth defects, miscarriage or adverse maternal or fetal outcomes. However, use of guanfacine in pregnant women over this time has been infrequent. In animal reproduction studies, rabbits and rats exposed to 3 and 4 times the maximum recommended human dose (MRHD), respectively, showed no adverse outcomes. However, higher doses were associated with reduced fetal survival and maternal toxicity (see Data).



The estimated background risk of major birth defects and miscarriage for the indicated population is unknown. All pregnancies have a background risk of birth defect, loss, or other adverse outcomes. In the U.S. general population, the estimated risk of major birth defects and miscarriage in clinically recognized pregnancies is 2% to 4% and 15% to 20%, respectively.



Data

 

Animal Data

Reproduction studies conducted in rats have shown that guanfacine crosses the placenta. However, administration of guanfacine to rabbits and rats during organogenesis at 3 (rabbit) and 4 (rat) times the MRHD of 0.12 mg/kg/day on a mg/m2 basis resulted in no evidence of harm to the fetus. Higher doses (13.5 times the MRHD in both rabbits and rats) were associated with reduced fetal survival and maternal toxicity.

8.2 Lactation

Risk Summary 

There are no data on the presence of guanfacine in human milk or the effects on the breastfed infant. The effects on milk production are also unknown. Guanfacine is present in the milk of lactating rats (see Data). If a drug is present in animal milk, it is likely that the drug will be present in human milk. If an infant is exposed to guanfacine through breastmilk, monitor for symptoms of hypotension and bradycardia such as sedation, lethargy and poor feeding (see Clinical Considerations). The developmental and health benefits of breastfeeding should be considered along with the mother’s clinical need for guanfacine and any potential adverse effects on the breastfed child from guanfacine or from the underlying maternal condition.



Clinical Considerations

Monitor breastfeeding infants exposed to guanfacine through breastmilk for sedation, lethargy, and poor feeding.



Data

Guanfacine was excreted in breast milk of lactating rats at a concentration comparable to that observed in blood, but slightly less than the concentration in plasma when administered following a single oral dose of 5 mg/kg. The concentration of drug in animal milk does not necessarily predict the concentration of drug in human milk.

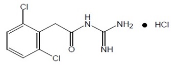
11 Description

Guanfacine is a once-daily, extended-release formulation of guanfacine hydrochloride, USP in a matrix tablet formulation for oral administration only. The chemical designation is N-amidino-2-(2,6-dichlorophenyl) acetamide monohydrochloride. The molecular formula is C9H9Cl2 N3O·HCl corresponding to a molecular weight of 282.55. The chemical structure is:



Guanfacine hydrochloride, USP is a white to off-white crystalline powder, sparingly soluble in water (approximately 1 mg/mL) and alcohol and slightly soluble in acetone.  The only organic solvent in which it has relatively high solubility is methanol (>30 mg/mL).  Each tablet contains guanfacine hydrochloride, USP equivalent to 1 mg, 2 mg, 3 mg, or 4 mg of guanfacine base. The tablets also contain methacrylic acid and ethyl acrylate copolymer, hypromellose, glyceryl dibehenate, microcrystalline cellulose, lactose monohydrate, fumaric acid, talc, silicon dioxide and magnesium stearate. In addition, the 3 mg and 4 mg tablets also contain FD&C Blue #2 Aluminum Lake and iron oxide yellow.

FDA approved dissolution test specifications differ from USP.

2.6 Missed Doses

When reinitiating patients to the previous maintenance dose after two or more missed consecutive doses, consider titration based on patient tolerability.

8.4 Pediatric Use

Safety and efficacy of guanfacine in pediatric patients less than 6 years of age have not been established. The efficacy of guanfacine was studied for the treatment of ADHD in five controlled monotherapy clinical trials (up to 15 weeks in duration), one randomized withdrawal study and one controlled adjunctive trial with psychostimulants (8 weeks in duration) in children and adolescents ages 6 to 17 who met DSM-IV® criteria for ADHD [see Adverse Reactions (6) and Clinical Studies (14)].



Animal Data

In studies in juvenile rats, guanfacine alone produced a slight delay in sexual maturation in males and females at 2 to 3 times the maximum recommended human dose (MRHD). Guanfacine in combination with methylphenidate produced a slight delay in sexual maturation and decreased growth as measured by a decrease in bone length in males at a dose of guanfacine comparable to the MRHD and a dose of methylphenidate approximately 4 times the MRHD.



In a study where juvenile rats were treated with guanfacine alone from 7 to 59 days of age, development was delayed as indicated by a slight delay in sexual maturation and decreased body weight gain in males at 2 mg/kg/day and in females at 3 mg/kg/day. The No Adverse Effect Level (NOAEL) for delayed sexual maturation was 1 mg/kg/day, which is equivalent to the MRHD of 4 mg/day, on a mg/m2 basis. The effects on fertility were not evaluated in this study.



In a study where juvenile rats were treated with guanfacine in combination with methylphenidate from 7 to 59 days of age, a decrease in ulna bone length and a slight delay in sexual maturation were observed in males given 1 mg/kg/day of guanfacine in combination with 50 mg/kg/day of methylphenidate. The NOAELs for these findings were 0.3 mg/kg of guanfacine in combination with 16 mg/kg/day of methylphenidate, which are equivalent to 0.3 and 1.4 times the MRHD of 4 mg/day and 54 mg/day for guanfacine and methylphenidate, respectively, on a mg/m2 basis. These findings were not observed with guanfacine alone at 1 mg/kg/day or methylphenidate alone at 50 mg/kg/day.

8.5 Geriatric Use

The safety and efficacy of guanfacine in geriatric patients have not been established.

2.2 Dose Selection

Take guanfacine extended-release tablets orally once daily, either in the morning or evening, at approximately the same time each day. Begin at a dose of 1 mg/day, and adjust in increments of no more than 1 mg/week.



In monotherapy clinical trials, there was dose-and exposure-related clinical improvement as well as risks for several clinically significant adverse reactions (hypotension, bradycardia, sedative events). To balance the exposure-related potential benefits and risks, the recommended target dose range depending on clinical response and tolerability for guanfacine extended-release tablet is 0.05 to 0.12 mg/kg/day (total daily dose between 1 to 7 mg) (See Table 1).



                                    

 Table 1: Recommended Target Dose Range for Therapy with Guanfacine Extended-Release Tablets

 
 Weight

 
 Target dose range (0.05 to 0.12 mg/kg/day)

 
 25 to 33.9 kg

 
 2 to 3 mg/day

 
 34 to 41.4 kg

 
 2 to 4 mg/day

 
 41.5 to 49.4 kg

 
 3 to 5 mg/day

 
 49.5 to 58.4 kg

 
 3 to 6 mg/day

 
 58.5 to 91 kg

 
 4 to 7 mg/day

 
 >91 kg

 
 5 to 7 mg/day

 
 Doses above 4 mg/day have not been evaluated in children (ages 6 to12 years) and doses above 7 mg/day have not been evaluated in adolescents (ages 13 to 17 years)

 


In the adjunctive trial which evaluated guanfacine extended-release tablets treatment with psychostimulants, the majority of patients reached optimal doses in the 0.05 to 0.12 mg/kg/day range. Doses above 4 mg/day have not been studied in adjunctive trials.

14 Clinical Studies

Efficacy of guanfacine in the treatment of ADHD was established in children and adolescents (6 to 17 years) in:

Efficacy of guanfacine in the treatment of ADHD was established in children and adolescents (6 to 17 years) in:

• Five short-term, placebo-controlled monotherapy trials (Studies 1, 2, 4, 5, and 6).

• One short-term, placebo-controlled adjunctive trial with psychostimulants (Study 3).

• One long-term, placebo-controlled monotherapy maintenance trial (Study 7).

 

Studies 1 and 2: Fixed-dose Guanfacine Monotherapy

Study 1 (301 study) was a double-blind, placebo-controlled, parallel-group, fixed-dose study, in which efficacy of once daily dosing with guanfacine (2 mg, 3 mg and 4 mg) was evaluated for 5 weeks (n=345) in children and adolescents aged 6 to 17 years. Study 2 (304 study) was a double-blind, placebo-controlled, parallel-group, fixed-dose study, in which efficacy of once daily dosing with guanfacine (1 mg, 2 mg, 3 mg and 4 mg) was evaluated for 6 weeks (n=324) in children and adolescents aged 6 to 17 years. In both studies, randomized patients in 2 mg, 3 mg and 4 mg dose groups were titrated to their target fixed dose, and continued on the same dose until a dose tapering phase started. The lowest dose of 1 mg used in Study 2 was not randomized to patients weighing more than 50 kg. Patients who weighed less than 25 kg were not included in either study.

Signs and symptoms of ADHD were evaluated on a once weekly basis using the clinician administered and scored ADHD Rating Scale (ADHD-RS-IV), which includes both hyperactive/impulsive and inattentive subscales. The primary efficacy outcome was the change from baseline to endpoint in ADHD-RS-IV total scores. Endpoint was defined as the last post-randomization treatment week for which a valid score was obtained prior to dose tapering (up to Week 5 in Study 1 and up to Week 6 in Study 2).

The mean reductions in ADHD-RS-IV total scores at endpoint were statistically significantly greater for guanfacine compared to placebo for Studies 1 and 2. Placebo-adjusted changes from baseline were statistically significant for each of the 2 mg, 3 mg, and 4 mg guanfacine randomized treatment groups in both studies, as well as the 1 mg guanfacine treatment group that was included only in Study 2 (see Table 16).

Dose-responsive efficacy was evident, particularly when data were examined on a weight-adjusted (mg/kg) basis. When evaluated over the dose range of 0.01 to 0.17 mg/kg/day, clinically relevant improvements were observed beginning at doses in the range 0.05 to 0.08 mg/kg/day. Doses up to 0.12 mg/kg/day were shown to provide additional benefit.

In the monotherapy trials (Studies 1 and 2), subgroup analyses were performed to identify any differences in response based on gender or age (6 to 12 vs. 13 to 17). Analyses of the primary outcome did not suggest any differential responsiveness on the basis of gender. Analyses by age revealed a statistically significant treatment effect only in the 6 to 12 age subgroup. Due to the relatively small proportion of adolescent patients (ages 13 to 17) enrolled into these studies (approximately 25%), these data may not have been sufficient to demonstrate efficacy in the adolescent patients. In these studies, patients were randomized to a fixed dose of guanfacine rather than optimized by body weight. Therefore, some adolescent patients were randomized to a dose that might have resulted in relatively lower plasma guanfacine concentrations compared to the younger patients. Over half (55%) of the adolescent patients received doses of 0.01 to 0.04 mg/kg. In studies in which systematic pharmacokinetic data were obtained, there was a strong inverse correlation between body weight and plasma guanfacine concentrations.

Table 16: Fixed dose Studies

 

 Study Number

 
 Treatment Group

 
 Primary Efficacy Measure: ADHD-RS-IV Total Score

 
 (Age Range)

 
 Mean Baseline Score (SD)

 
 LS Mean Change from Baseline (SE)

 
 Placebo-subtracted Differencea (95% CI)

 
 Study 1

 (6 to 17 years)

  

 
 Guanfacine 2 mg*

 
 36.1 (9.99)

 
 -15.9 (1.37)

 
 -7.4 (-11.3, -3.5)

 
 Guanfacine 3 mg*

 
 36.8 (8.72)

 
 -16 (1.38)

 
 -7.5 (-11.4, -3.6)

 
 Guanfacine 4 mg*

 
 38.4 (9.21)

 
 -18.5 (1.39)

 
 -10 (-13.9, -6.1)

 
 Placebo

 
 38.1 (9.34)

 
 -8.5 (1.42)

 
 --

 
 Study 2

 (6 to 17 years)

  

 
 Guanfacine 1 mg*^

 
 41.7 (7.81)

 
 -19.4 (1.69)

 
 -6.8 (-11.3, -2.2)

 
 Guanfacine 2 mg*

 
 39.9 (8.74)

 
 -18.1 (1.60)

 
 -5.4 (-9.9, -0.9)

 
 Guanfacine 3 mg*

 
 39.1 (9.22)

 
 -20 (1.64)

 
 -7.3 (-11.8, -2.8)

 
 Guanfacine 4 mg*

 
 40.6 (8.57)

 
 -20.6 (1.6)

 
 -7.9 (-12.3, -3.4)

 
 Placebo

 
 39.3 (8.85)

 
 -12.7 (1.6)

 
 --

 


SD: standard deviation; SE: standard error; LS Mean: least-squares mean; CI: unadjusted confidence interval.

a Difference (drug minus placebo) in least-squares mean change from baseline.

* Doses statistically significantly superior to placebo.

^ The lowest dose of 1 mg used in Study 2 was not randomized to patients weighing more than 50 kg.



Study 3: Flexible-dose G uanfacine  as Adjunctive Therapy to Psychostimulants

Study 3 (313 study) was a double-blind, randomized, placebo-controlled, dose-optimization study, in which efficacy of once daily optimized dosing (morning or evening) with guanfacine (1 mg, 2 mg, 3 mg and 4 mg), when co-administered with psychostimulants, was evaluated for 8 weeks, in children and adolescents aged 6 to 17 years with a diagnosis of ADHD, with a sub-optimal response to stimulants (n=455). Patients were started at the 1 mg guanfacine dose level and were titrated weekly over a 5-week dose-optimization period to an optimal guanfacine dose not to exceed 4 mg/day based on tolerability and clinical response. The dose was then maintained for a 3-week dose maintenance period before entry to 1 week of dose tapering. Patients took guanfacine either in the morning or the evening while maintaining their current dose of psychostimulant treatment given each morning. Allowable psychostimulants in the study were ADDERALL XR®, VYVANSE®, CONCERTA®, FOCALIN XR®, RITALIN LA®, METADATE CD® or FDA-approved generic equivalents.



Symptoms of ADHD were evaluated on a weekly basis by clinicians using the ADHD Rating Scale (ADHD-RS-IV), which includes both hyperactive/impulsive and inattentive subscales. The primary efficacy outcome was the change from baseline to endpoint in ADHD-RS-IV total scores. Endpoint was defined as the last post-randomization treatment week prior to dose tapering for which a valid score was obtained (up to Week 8).



Mean reductions in ADHD-RS-IV total scores at endpoint were statistically significantly greater for guanfacine given in combination with a psychostimulant compared to placebo given with a psychostimulant for Study 3, for both morning and evening guanfacine dosing (see Table 17). Nearly two-thirds (64.2%) of patients reached optimal doses in the 0.05 to 0.12 mg/kg/day range.



Studies 4, 5 and 6: Flexible-dose G uanfacine   Monotherapy

Study 4 (314 study) was a double-blind, randomized, placebo-controlled, dose-optimization study, in which efficacy of once daily dosing (morning or evening) with guanfacine (1 mg, 2 mg, 3 mg, and 4 mg) was evaluated for 8 weeks in children aged 6 to 12 years (n=340).



Signs and symptoms of ADHD were evaluated on a once weekly basis using the clinician administered and scored ADHD Rating Scale (ADHD-RS-IV), which includes both hyperactive/impulsive and inattentive subscales. The primary efficacy outcome was the change from baseline score at endpoint on the ADHD-RS-IV total scores. Endpoint was defined as the last post-randomization treatment week for which a valid score was obtained prior to dose tapering (up to Week 8).



Mean reductions in ADHD-RS-IV total scores at endpoint were statistically significantly greater for guanfacine compared to placebo in both AM and PM dosing groups of guanfacine (see Table 17).



Study 5 (312 study) was a 15-week, double-blind, randomized, placebo-controlled, dose-optimization study conducted in adolescents aged 13 to 17 years (n=314) to evaluate the efficacy and safety of guanfacine (1 to 7 mg/day; optimized dose range of 0.05 to 0.12 mg/kg/day) in the treatment of ADHD as measured by the ADHD Rating Scale-IV (ADHD-RS-IV). Patients receiving guanfacine showed statistically significantly greater improvement on the ADHD-RS-IV total score compared with patients receiving placebo (see Table 17).



Study 6 (316 study) was a 12-week (for children aged 6 to 12) or 15-week (for adolescents aged 13 to 17), randomized, double-blind, parallel-group, placebo-and active-reference, dose-optimization study conducted in pediatric patients (children and adolescents aged 6 to 17 years old inclusive) (n=337) to assess the efficacy and safety of once-daily dosing (children: 1 to 4 mg/day, adolescents: 1 to 7 mg/day; optimized dose range of 0.05 to 0.12 mg/kg/day) in the treatment of ADHD. Guanfacine was statistically superior to placebo on symptoms of ADHD in patients 6 to 17 years as measured by change from baseline in ADHD-RS-IV total scores (see Table 17).

Table 17: Flexible-Dose studies



Study Number

(Age Range)
 
 Treatment Group Primary Efficacy Measure: ADHD-RS-IV Total Score
 Mean Baseline Score (SD)

 

LS Mean Change from Baseline (SE)

 

Placebo-subtracted Differenceb

(95% CI)
 
 Study 3a

(6 to 17 years)

 Guanfacine

1 to 4 mg AM*
  37.6 (8.13)    -20.3 (0.97)    -4.5 (-7.5, -1.4) 
  Guanfacine  1 to 4 mg PM*   37 (7.65)    -21.2 (0.97)    -5.3 (-8.3, -2.3) 
 Placebo 37.7 (7.75)   -15.9 (0.96) - - 
 Study 4      

(6  to 12 years)
 Guanfacine

   1 to 4 mg AM*

  41.7 (6.39)    -20 (1.23)    -9.4 (-12.8, -60) 
 Guanfacine 1 to 4 mg PM*   41.6 (6.66)    -20.4 (1.19)    -9.8 (-13.1, -6.4) 
 Placebo 42.9 (6.29)   -10.6 (1.2) - - 
Study 5 (13 to 17 years)

 
 Guanfacine 1 to 7 mg*  39.9 (5.57) -24.6 (1.06)   -6.03 (-8.87, -3.19)
   Placebo 40 (6.11)  -18.5 (1.08)   - -
 Study 6  (6 to 17 years)

 
 Guanfacine  1 to 7 mg*   43.1 (5.47)    -23.89 (1.15)    -8.88 (-11.94, 5.81) 
 Placebo 43.2 (5.6)   -15.01 (1.16) - - 

SD: standard deviation; SE: standard error; LS Mean: least-squares mean; CI: unadjusted confidence interval.

a Treatment was given in combination with a psychostimulant.

b Difference (drug minus placebo) in least-squares mean change from baseline.

* Doses statistically significantly superior to placebo.

Study 7: Long-Term Maintenance of Guanfacine Efficacy

Study 7 (315 study) was a double-blind, placebo-controlled, randomized withdrawal trial in pediatric patients aged 6 to 17 years with DSM-IV-TR diagnosis of ADHD. The study consisted of an open-label phase, including a 7-week dose optimization period to titrate patients to an optimal dose (maximum 4 mg/day for children and 7 mg/day for adolescents; optimized dose range: 0.05 to 0.12 mg/kg/day) and a 6-week dose maintenance period. There were 526 patients included in the open-label phase. Among those, 315 patients who met response criteria in the open-label phase were then randomized (1:1, guanfacine:placebo) in a 26-week, double-blind, randomized withdrawal phase. The response criteria were defined by ≥30% reduction in ADHD-RS-IV total score and a Clinical Global Impression-Improvement (CGI-I) score of 1 or 2 during the open-label phase. A statistically significantly lower proportion of treatment failures occurred among guanfacine patients compared to placebo at the end of the randomized withdrawal period (Figure 4). Treatment failure was defined as a ≥50% increase (worsening) in ADHD-RS-IV total score and a ≥2-point increase in Clinical Global Impression-Severity (CGI-S) score. Patients who met the treatment failure criteria on two consecutive visits or discontinued for any reason were classified as treatment failure.

Figure 4. Kaplan-Meier Estimation of Proportion of Patients with Treatment Failure for Children and Adolescents Ages 6 to 17 (Study 7)





4 Contraindications

Guanfacine is contraindicated in patients with a history of a hypersensitivity reaction to guanfacine extended-release tablets or its inactive ingredients, or other products containing guanfacine. Rash and pruritus have been reported.

6 Adverse Reactions

The following serious adverse reactions are described elsewhere in the labeling:

  • Hypotension, bradycardia, and syncope [see Warnings and Precautions (5.1)]
  • Sedation and somnolence [see Warnings and Precautions (5.2)]
  • Cardiac conduction abnormalities [see Warnings and Precautions (5.3)]
  • Rebound Hypertension [see Warnings and Precautions (5.4)]
7 Drug Interactions

Table 14 contains clinically important drug interactions with guanfacine [see Clinical Pharmacology (12.3)].

 

Table 14: Clinically Important Drug Interactions: Effect of other Drugs on Guanfacine

 

                 

 

Concomitant Drug Name or Drug Class  
 

Clinical Rationale and Magnitude of Drug Interaction  
 

Clinical Recommendation  
 Strong and moderate CYP3A4 inhibitors, e.g., ketoconazole, fluconazole

  

 
 Guanfacine is primarily metabolized by CYP3A4 and its plasma concentrations can be significantly affected resulting in an increase in exposure

 
 Consider dose reduction [see Dosage and administration (2.7)]

  

 
 Strong and moderate CYP3A4 inducers, e.g., rifampin, efavirenz

  

 
 Guanfacine is primarily metabolized by CYP3A4 and its plasma concentrations can be significantly affected resulting in a decrease in exposure

 
 Consider dose increase [see Dosage and administration (2.7)]

  

 


8.6 Renal Impairment

It may be necessary to reduce the dosage in patients with significant impairment of renal function [see Clinical Pharmacology (12.3)].

12.2 Pharmacodynamics

Guanfacine is a selective central alpha2A-adrenergic receptor agonist in that it has a 15 to 20 times higher affinity for this receptor subtype than for the alpha2B or alpha2C subtypes.



Guanfacine is a known antihypertensive agent. By stimulating central alpha2A-adrenergic receptors, guanfacine reduces sympathetic nerve impulses from the vasomotor center to the heart and blood vessels. This results in a decrease in peripheral vascular resistance and a reduction in heart rate.



In a thorough QT study, the administration of two dose levels of immediate-release guanfacine (4 mg and 8 mg) produced concentrations approximately 2 to 4 times the concentrations observed with the maximum recommended dose of guanfacine of 0.12 mg/kg. Guanfacine was not shown to prolong the QTc interval to any clinically relevant extent.

12.3 Pharmacokinetics

Absorption and Distribution

Guanfacine is readily absorbed and approximately 70% bound to plasma proteins independent of drug concentration. After oral administration of guanfacine the time to peak plasma concentration is approximately 5 hours in children and adolescents with ADHD.



Immediate-release guanfacine and extended-release guanfacine have different pharmacokinetic characteristics; dose substitution on a milligram per milligram basis will result in differences in exposure.



A comparison across studies suggests that the Cmax is 60% lower and AUC0-∞ 43% lower, respectively, for extended-release guanfacine compared to immediate-release guanfacine. Therefore, the relative bioavailability of extended-release guanfacine to immediate-release guanfacine is 58%. The mean pharmacokinetic parameters in adults following the administration of extended-release guanfacine 1 mg once daily and immediate-release guanfacine 1 mg once daily are summarized in Table 15.



                              

 Table 15: Comparison Guanfacine in Adults of Pharmacokinetics: Guanfacine vs. Immediate Release

 
 Parameter

 
 Extended-release guanfacine

 1 mg once daily

 (n=52)

 
 Immediate-release guanfacine

 1 mg once daily

 (n=12)

 
 Cmax (ng/mL)

 
 1 ± 0.3

 
 2.5 ± 0.6

 
 AUC0-∞ (ng·h/mL)

 
 32 ± 9

 
 56 ± 15

 
 tmax (h)

 
 6 (4 to 8)

 
 3 (1.5 to 4)

 
 t½ (h)

 
 18 ± 4

 
 16 ± 3

 


Note: Values are mean +/-SD, except for tmax which is median (range)

 

Figure 1: Comparison of Pharmacokinetics: Extended-Release Guanfacine   vs. Immediate-Release Guanfacine in Adults

 

Exposure to guanfacine was higher in children (ages 6 to 12) compared to adolescents (ages 13 to 17) and adults. After oral administration of multiple doses of guanfacine 4 mg, the Cmax was 10 ng/mL compared to 7 ng/mL and the AUC was 162 ng·h/mL compared to 116 ng·h/mL in children (ages 6 to 12) and adolescents (ages 13 to 17), respectively. These differences are probably attributable to the lower body weight of children compared to adolescents and adults.



The pharmacokinetics were affected by intake of food when a single dose of guanfacine 4 mg was administered with a high-fat breakfast. The mean exposure increased (Cmax ~75% and AUC ~40%) compared to dosing in a fasted state.



Dose Proportionality

Following administration of guanfacine in single doses of 1 mg, 2 mg, 3 mg, and 4 mg to adults, Cmax and AUC0-∞ of guanfacine were proportional to dose.



Metabolism and Elimination

In vitro studies with human liver microsomes and recombinant CYP’s demonstrated that guanfacine was primarily metabolized by CYP3A4. In pooled human hepatic microsomes, guanfacine did not inhibit the activities of the major cytochrome P450 isoenzymes (CYP1A2, CYP2B6, CYP2C8, CYP2C9, CYP2C19, CYP2D6 or CYP3A4/5); guanfacine is also not an inducer of CYP3A, CYP1A2 and CYP2B6. Guanfacine is a substrate of CYP3A4/5 and exposure is affected by CYP3A4/5 inducers/inhibitors.



Guanfacine inhibits MATE1 and OCT1, but does not inhibit BSEP, MRP2, OATP1B1, OATP1B3, OAT1, OAT3, OCT2, or MATE2K. Guanfacine is a substrate of OCT1 and OCT2, but not BCRP, OATP1B1, OATP1B3, OAT1, OAT3, MATE1, or MATE2. Concomitant administration of guanfacine with OCT1 substrates might potentially increase the exposure of these OCT1 substrates.



Studies in Specific Populations



Renal Impairment

The impact of renal impairment on the pharmacokinetics of guanfacine in children was not assessed. In adult patients with impaired renal function, the cumulative urinary excretion of guanfacine and the renal clearance diminished as renal function decreased. In patients on hemodialysis, the dialysis clearance was about 15% of the total clearance. The low dialysis clearance suggests that the hepatic elimination (metabolism) increases as renal function decreases.



Hepatic Impairment

The impact of hepatic impairment on PK of guanfacine in children was not assessed. Guanfacine in adults is cleared both by the liver and the kidney, and approximately 50% of the clearance of guanfacine is hepatic [see Hepatic Impairment (8.7)].



Drug Interaction Studies

Guanfacine is primarily metabolized by CYP3A4 and its plasma concentrations can be affected significantly by CYP3A4 inhibitors or inducers (Figure 2).

 

Figure 2: Effect of Other Drugs on the Pharmacokinetics (PK) of Guanfacine



Guanfacine does not significantly affect exposures of methylphenidate and lisdexamfetamine when coadministered (Figure 3).

Figure 3: Effect of Guanfacine  on the Pharmacokinetics (PK) of Other Drugs

 

 

8.7 Hepatic Impairment

It may be necessary to reduce the dosage in patients with significant impairment of hepatic function [see Clinical Pharmacology (12.3)].

1 Indications and Usage

Guanfacine extended-release tablets are indicated for the treatment of Attention Deficit Hyperactivity Disorder (ADHD) as monotherapy and as adjunctive therapy to stimulant medications [see Clinical Studies (14)].

12.1 Mechanism of Action

Guanfacine is a central alpha2A-adrenergic receptor agonist. Guanfacine is not a central nervous system (CNS) stimulant. The mechanism of action of guanfacine in ADHD is not known.

5.4 Rebound Hypertension

In post marketing experience, abrupt discontinuation of guanfacine has resulted in clinically significant and persistent rebound hypertension above baseline levels and increases in heart rate. Hypertensive encephalopathy has also been reported in association with rebound hypertension with both extended release guanfacine and immediate release guanfacine [see Adverse Reactions (6.2)]. In these cases, high-dosage guanfacine was discontinued; concomitant stimulant use was also reported, which may potentially increase hypertensive response upon abrupt discontinuation of guanfacine. Children commonly have gastrointestinal illnesses that lead to vomiting, and a resulting inability to take medications, so they may be especially at risk for rebound hypertension.



To minimize the risk of rebound hypertension upon discontinuation, the total daily dose of guanfacine should be tapered in decrements of no more than 1 mg every 3 to 7 days [see Dosage and Administration (2.5)]. Blood pressure and heart rate should be monitored when reducing the dose or discontinuing guanfacine. If abrupt discontinuation occurs (especially with concomitant stimulant use), patients should be closely followed for rebound hypertension.

9.1 Controlled Substance

Guanfacine is not a controlled substance and has no known potential for abuse or dependence.

2.4 Maintenance Treatment

Pharmacological treatment of ADHD may be needed for extended periods. Healthcare providers should periodically re-evaluate the long-term use of guanfacine extended-release tablets, and adjust weight-based dosage as needed. The majority of children and adolescents reach optimal doses in the 0.05-0.12 mg/kg/day range. Doses above 4 mg/day have not been evaluated in children (ages 6 to 12 years) and above 7 mg/day have not been evaluated in adolescents (ages 13 to 17 years) [see Clinical Studies (14)].

5 Warnings and Precautions

 • Hypotension, bradycardia, syncope: Titrate slowly and monitor vital signs frequently in patients at risk for hypotension, heart block, bradycardia, syncope, cardiovascular disease, vascular disease, cerebrovascular disease or chronic renal failure. Measure heart rate and blood pressure prior to initiation of therapy, following dose increases, and periodically while on therapy. Avoid concomitant use of drugs with additive effects unless clinically indicated. Advise patients to avoid becoming dehydrated or overheated (5.1).

• Sedation and somnolence: Occur commonly with guanfacine. Consider the potential for additive sedative effects with CNS depressant drugs. Caution patients against operating heavy equipment or driving until they know how they respond to guanfacine (5.2).

• Cardiac Conduction Abnormalities: May worsen sinus node dysfunction and atrioventricular (AV) block, especially in patients taking other sympatholytic drugs. Titrate slowly and monitor vital signs frequently (5.3).

• Rebound Hypertension: Abrupt discontinuation of guanfacine can lead to clinically significant and persistent rebound hypertension. Subsequent hypertensive encephalopathy was also reported. To minimize the risk of rebound hypertension upon discontinuation, the total daily dose of guanfacine should be tapered in decrements of no more than 1 mg every 3 to 7 days (5.4).



2 Dosage and Administration

• Recommended dose: 1 mg to 7 mg (0.05 to 0.12 mg/kg target weight based dose range) once daily in the morning or evening based on clinical response and tolerability (2.2).

• Begin at a dose of 1 mg once daily and adjust in increments of no more than 1 mg/week (2.2).

• Do not crush, chew or break tablets before swallowing (2.1).

• Do not administer with high-fat meals, because of increased exposure (2.1).

• Do not substitute for immediate-release guanfacine tablets on a mg-per-mg basis, because of differing pharmacokinetic profiles (2.3).

• If switching from immediate-release guanfacine, discontinue that treatment and titrate with guanfacine extended-release tablet as directed (2.3).

• When discontinuing, taper the dose in decrements of no more than 1 mg every 3 to 7 days to avoid rebound hypertension (2.5).



5.2 Sedation and Somnolence

Somnolence and sedation were commonly reported adverse reactions in clinical studies [see Adverse Reactions (6.1)]. Before using guanfacine with other centrally active depressants, consider the potential for additive sedative effects. Caution patients against operating heavy equipment or driving until they know how they respond to treatment with guanfacine. Advise patients to avoid use with alcohol.

3 Dosage Forms and Strengths

1 mg, 2 mg, 3 mg and 4 mg extended-release tablets

6.2 Postmarketing Experience

The following adverse reactions have been identified during post-approval use of guanfacine. Because these reactions are reported voluntarily from a population of uncertain size, it is not always possible to reliably estimate their frequency or establish a causal relationship to drug exposure.



Less frequent, possibly guanfacine-related events observed in the post-marketing study and/or reported spontaneously, not included in section 6.1, include:



General: edema, malaise, tremor

Cardiovascular: palpitations, tachycardia, rebound hypertension, hypertensive encephalopathy

Central Nervous System: paresthesias, vertigo

Eye Disorders: blurred vision

Musculo-Skeletal System: arthralgia, leg cramps, leg pain, myalgia

Psychiatric: confusion, hallucinations

Reproductive System, Male: erectile dysfunction

Respiratory System: dyspnea

Skin and Appendages: alopecia, dermatitis, exfoliative dermatitis, pruritus, rash

Special Senses: alterations in taste

6.1 Clinical Trials Experience

Because clinical trials are conducted under widely varying conditions, adverse reaction rates observed in the clinical trials of a drug cannot be directly compared to rates in the clinical trials of another drug and may not reflect the rates observed in practice.



The data described below reflect clinical trial exposure to guanfacine in 2,825 patients. This includes 2,330 patients from completed studies in children and adolescents, ages 6 to 17 years and 495 patients in completed studies in adult healthy volunteers.



The mean duration of exposure of 446 patients that previously participated in two 2-year, open-label long-term studies was approximately 10 months.



Fixed Dose Trials



                                                                                     

 Table 3: Percentage of Patients Experiencing Most Common (≥5% and at least twice the rate for placebo) Adverse Reactions in Fixed Dose Studies 1 and 2

 
  

 
  

 
 Guanfacine (mg)

 
 Adverse Reaction Term

 
 Placebo

  

 (N=149)

 
 1 mg*

  

 (N=61)

 
 2 mg

  

 (N=150)

 
 3 mg

  

 (N=151)

 
 4 mg

  

 (N=151)

 
 All Doses of Guanfacine  

 (N=513)

 
 Somnolencea

 
 11%

 
 28%

 
 30%

 
 38%

 
 51%

 
 38%

 
 Fatigue

 
 3%

 
 10%

 
 13%

 
 17%

 
 15%

 
 14%

 
 Hypotensionb

 
 3%

 
 8%

 
 5%

 
 7%

 
 8%

 
 7%

 
 Dizziness

 
 4%

 
 5%

 
 3%

 
 7%

 
 10%

 
 6%

 
 Lethargy

 
 3%

 
 2%

 
 3%

 
 8%

 
 7%

 
 6%

 
 Nausea

 
 2%

 
 7%

 
 5%

 
 5%

 
 6%

 
 6%

 
 Dry mouth

 
 1%

 
 0%

 
 1%

 
 6%

 
 7%

 
 4%

 
 * The lowest dose of 1 mg used in Study 2 was not randomized to patients weighing more than 50 kg.

 a: The somnolence term includes somnolence, sedation, and hypersomnia.

 b: The hypotension term includes hypotension, diastolic hypotension, orthostatic hypotension, blood pressure decreased, blood pressure diastolic decreased, blood pressure systolic decreased).

 


                                                            

 

Table 4: Adverse Reactions Leading to Discontinuation (≥2% for all doses of Guanfacine and >rate than in placebo) in Fixed Dose Studies 1 and 2 
  

 
  

 
 Guanfacine (mg)

 
 Adverse Reaction Term

 
 Placebo

  

 (N=149)

 
 1 mg*

  

 (N=61)

 
 2 mg

  

 (N=150)

 
 3 mg

  

 (N=151)

 
 4 mg

  

 (N=151)

 
 All Doses of Guanfacine

 (N=513)

 
  

 
 n (%)

 
 n (%)

 
 n (%)

 
 n (%)

 
 n (%)

 
 n (%)

 
 Total patients

 
 4 (3%)

 
 2 (3%)

 
 10 (7%)

 
 15 (10%)

 
 27 (18%)

 
 54 (11%)

 
 Somnolencea

 
 1 (1%)

 
 2 (3%)

 
 5 (3%)

 
 6 (4%)

 
 17 (11%)

 
 30 (6%)

 
 Fatigue

 
 0 (0%)

 
 0 (0%)

 
 2 (1%)

 
 2 (1%)

 
 4 (3%)

 
 8 (2%)

 
 Adverse reactions leading to discontinuation in ≥2% in any dose group but did not meet this criteria in all doses combined: hypotension (hypotension, diastolic hypotension, orthostatic hypotension, blood pressure decreased, blood pressure diastolic decreased, blood pressure systolic decreased), headache, and dizziness.

 * The lowest dose of 1 mg used in Study 2 was not randomized to patients weighing more than 50 kg.

 a: The somnolence term includes somnolence, sedation, and hypersomnia.

 


                                                                                                

 Table 5: Other Common Adverse Reactions (≥2% for all doses of Guanfacine and >rate than in placebo) in Fixed Dose Studies 1 and 2

 
  

 
  

 
 Guanfacine (mg)

 
 Adverse Reaction Term

 
 Placebo

  

 (N=149)

 
 1 mg*

  

 (N=61)

 
 2 mg

  

 (N=150)

 
 3 mg

  

 (N=151)

 
 4 mg

  

 (N=151)

 
 All Doses of Guanfacine 

 (N=513)

 
 Headache

 
 19%

 
 26%

 
 25%

 
 16%

 
 28%

 
 23%

 
 Abdominal Paina 

 
 9%

  

 
 10%

  

 
 7%

  

 
 11%

  

 
 15%

  

 
 11%

  

 
 Decreased Appetite

 
 4%

  

 
 5%

  

 
 4%

  

 
 9%

  

 
 6%

  

 
 6%

  

 
 Irritability

 
 4%

 
 5%

 
 8%

 
 3%

 
 7%

 
 6%

 
 Constipation

 
 1%

 
 2%

 
 2%

 
 3%

 
 4%

 
 3%

 
 Nightmareb

 
 0%

 
 0%

 
 0%

 
 3%

 
 4%

 
 2%

 
 Enuresisc

 
 1%

 
 0%

 
 1%

 
 3%

 
 2%

 
 2%

 
 Affect Labilityd 

 
 1%

 
 2%

 
 1%

  

 
 3%

  

 
 1%

  

 
 2%

  

 
 Adverse reactions ≥2% for all doses of guanfacine and >rate in placebo in any dose group but did not meet this criteria in all doses combined: insomnia (insomnia, initial insomnia, middle insomnia, terminal insomnia, sleep disorder), vomiting, diarrhea, abdominal/stomach discomfort (abdominal discomfort, epigastric discomfort, stomach discomfort), rash (rash, rash generalized, rash papular), dyspepsia, increased weight, bradycardia (bradycardia, sinus bradycardia), asthma (asthma, bronchospasm, wheezing), agitation, anxiety (anxiety, nervousness), sinus arrhythmia, blood pressure increased (blood pressure increased, blood pressure diastolic increased), and first degree atrioventricular block.

 * The lowest dose of 1 mg used in Study 2 was not randomized to patients weighing more than 50 kg.

 a: The abdominal pain term includes abdominal pain, abdominal pain lower, abdominal pain upper, and abdominal tenderness.

 b: The nightmare term includes abnormal dreams, nightmare, and sleep terror.

 c: The enuresis term includes enuresis, nocturia, and urinary incontinence.

 d: The affect lability term includes affect lability and mood swings.

 


Monotherapy Flexible Dose Trials





                                                                                            

 Table 6: Percentage of Patients Experiencing Most Common (≥5% and at least twice the rate for placebo) Adverse Reactions in the Monotherapy Flexible Dose Study 4

 
  

 
  

 
 Guanfacine

 
 Adverse Reaction Term

  

 
 Placebo

  

 (N=112)

 
 AM

  

 (N=107)

 
 PM

  

 (N=114)

 
 All Doses of Guanfacine  

 (N=221)

 
 Somnolencea

 
 15%

 
 57%

 
 54%

 
 56%

 
 Abdominal Painb

 
 7%

 
 8%

 
 19%

 
 14%

 
 Fatigue

 
 3%

 
 10%

 
 11%

 
 11%

 
 Irritability

 
 3%

 
 7%

 
 7%

 
 7%

 
 Nausea

 
 1%

 
 6%

 
 5%

 
 5%

 
 Dizziness

 
 3%

 
 6%

 
 4%

 
 5%

 
 Vomiting

 
 2%

 
 7%

 
 4%

 
 5%

 
 Hypotensionc

 
 0%

 
 6%

 
 4%

 
 5%

 
 Decreased Appetite

 
 3%

 
 6%

 
 3%

 
 4%

 
 Enuresisd

 
 1%

 
 2%

 
 5%

 
 4%

 
 a: The somnolence term includes somnolence, sedation, and hypersomnia.

 b: The abdominal pain term includes abdominal pain, abdominal pain lower, abdominal pain upper, and abdominal tenderness

 c: The hypotension term includes hypotension, diastolic hypotension, orthostatic hypotension, blood pressure decreased, blood pressure diastolic decreased, blood pressure systolic decreased).

 d: The enuresis term includes enuresis, nocturia, and urinary incontinence.

 

  





 Table 7: Adverse Reactions Leading to Discontinuation (≥2% for all doses of Guanfacine and >rate than in placebo) in Monotherapy Flexible Dose Study 4

 
  

 
  

 
 Guanfacine

 
 Adverse Reaction Term

 
 Placebo

  

 (N=112)

 
 AM

  

 (N=107)

 
 PM

  

 (N=114)

 
 All Doses of Guanfacine 

 (N=221)

 
  

 
 n (%)

 
 n (%)

 
 n (%)

 
 n (%)

 
 Total patients

 
 0 (0%)

 
 8 (7%)

 
 7 (6%)

 
 15 (7%)

 
 Somnolencea

 
 0 (0%)

 
 4 (4%)

 
 3 (3%)

 
 7 (3%)

 
 Adverse reactions leading to discontinuation in ≥2% in any dose group but did not meet this criteria in all doses combined: fatigue

 a: The somnolence term includes somnolence, sedation, and hypersomnia.

 
 Table 8: Other Common Adverse Reactions (≥2% for all doses of Guanfacine and >rate than in placebo) in the Monotherapy Flexible Dose Study 4

 
  

 
  

 
 Guanfacine

 
 Adverse Reaction Term

 
 Placebo

  

 (N=112)

 
 AM

  

 (N=107)

 
 PM

  

 (N=114)

 
 All Doses of Guanfacine 

 (N=221)

 
 Headache

 
 11%

 
 18%

 
 16%

 
 17%

 
 Insomniaa 

 
 6%

 
 8%

 
 6%

 
 7%

 
 Diarrheaa 

 
 4%

 
 4%

 
 6%

 
 5%

 
 Lethargy

 
 0%

 
 4%

 
 3%

 
 3%

 
 Constipation

 
 2%

 
 2%

 
 4%

 
 3%

 
 Dry Mouth

 
 1%

 
 3%

 
 3%

 
 3%

 
 Adverse reactions ≥2% for all doses of guanfacine and >rate in placebo in any dose group but did not meet this criteria in all doses combined: affect lability (affect lability, mood swings), increased weight, syncope/loss of consciousness (loss of consciousness, presyncope, syncope), dyspepsia, tachycardia (tachycardia, sinus tachycardia), and bradycardia (bradycardia, sinus bradycardia).

 a: The insomnia term includes insomnia, initial insomnia, middle insomnia, terminal insomnia, and sleep disorder.

 
 Table 9: Percentage of Patients Experiencing Most Common (≥ 5% and at least twice the rate for placebo) Adverse Reactions in the Monotherapy Flexible Dose Study 5

 
 Adverse Reaction Term

  

 
 Placebo

 (N=155)

 
 All Doses of Guanfacine 

 (N=157)

 
 Somnolencea

 
 23%

 
 54%

 
 Insomniab 

 
 6%

 
 13%

 
 Hypotensionc 

 
 3%

 
 9%

 
 Dry Mouth

 
 0%

 
 8%

 
 Postural Dizziness

 
 2%

 
 5%

 
 Bradycardiad 

 
 0%

 
 5%

 
 a: The somnolence term includes somnolence, sedation, and hypersomnia.

 b: The insomnia term includes insomnia, initial insomnia, middle insomnia, terminal insomnia, and sleep disorder.

 c: The hypotension term includes hypotension, diastolic hypotension, orthostatic hypotension, blood pressure decreased, blood pressure diastolic decreased, blood pressure systolic decreased).

 d: The bradycardia term includes bradycardia and sinus bradycardia.

 


There were no specific adverse reactions ≥2% in any treatment group that led to discontinuation in the monotherapy flexible dose study (Study 5).



                                                                                

 Table 10: Other Common Adverse Reactions (≥2% for all doses of Guanfacine and >rate than in placebo) in the Monotherapy Flexible Dose Study 5

 
  

 
  

 
 Guanfacine

 
 Adverse Reaction Term

 
 Placebo

 (N=155)

 
 All Doses of Guanfacine

 (N=157)

 
 Headache

 
 18%

 
 27%

 
 Fatigue

 
 12%

 
 22%

 
 Dizziness

 
 10%

 
 16%

 
 Decreased Appetite

 
 14%

 
 15%

 
 Abdominal Paina

 
 8%

 
 12%

 
 Irritability

 
 4%

 
 7%

 
 Anxietyb

 
 3%

 
 5%

 
 Rashc

 
 1%

 
 3%

 
 Constipation

 
 0%

 
 3%

 
 Increased Weight

 
 2%

 
 3%

 
 Abdominal/Stomach Discomfortd

 
 1%

 
 2%

 
 Pruritus

 
 1%

 
 2%

 
 Adverse reactions ≥2% for all doses of guanfacine and >rate in placebo in any dose group but did not meet this criteria in all doses combined: nausea, diarrhea, vomiting, and depression (depressed mood, depression, depressive symptom).

 a: The abdominal pain term includes abdominal pain, abdominal pain lower, abdominal pain upper, and abdominal tenderness.

 b: The anxiety term includes anxiety and nervousness.

 c: The rash term includes rash, rash generalized, and rash papular.

 d: The abdominal/stomach discomfort term includes abdominal discomfort, epigastric discomfort, and stomach discomfort.

 


Adjunctive Trial



                                                                     

 Table 11: Percentage of Patients Experiencing Most Common (≥5% and at least twice the rate for placebo) Adverse Reactions in the Short-Term Adjunctive Study 3

 
  

 
  

 
 Guanfacine + stimulant

 
 Adverse Reaction Term

 
 Placebo + stimulant

 (N=153)

 
 AM

  

 (N=150)

 
 PM

  

 (N=152)

 
 All Doses

  

 (N=302)

 
 Somnolencea

 
 7%

 
 18%

 
 18%

 
 18%

 
 Insomniab

 
 6%

 
 10%

 
 14%

 
 12%

 
 Abdominal Painc

 
 3%

 
 8%

 
 12%

 
 10%

 
 Fatigue

 
 3%

 
 12%

 
 7%

 
 10%

 
 Dizziness

 
 4%

 
 10%

 
 5%

 
 8%

 
 Decreased Appetite

 
 4%

 
 7%

 
 8%

 
 7%

 
 Nausea

 
 3%

 
 3%

 
 7%

 
 5%

 
 a: The somnolence term includes somnolence, sedation, and hypersomnia.

 b: The insomnia term includes insomnia, initial insomnia, middle insomnia, terminal insomnia, and sleep disorder.

 c: The abdominal pain term includes abdominal pain, abdominal pain lower, abdominal pain upper, and abdominal tenderness.

 


There were no specific adverse reactions ≥2% in any treatment group that led to discontinuation in the short-term adjunctive study (Study 3).



                                                                                                   

 Table 12: Other Common Adverse Reactions (≥2% for all doses of Guanfacine and >rate than in placebo) in the Short-Term Adjunctive Study 3

 
  

 
  

 
 Guanfacine + stimulant

 
 Adverse Reaction Term

 
 Placebo

 (N=153)

 
 AM

 (N=150)

 
 PM

 (N=152)

 
 All Doses of Guanfacine 

 (N=302)

 
 Headache

 
 13%

 
 21%

 
 21%

 
 21%

 
 Diarrhea

 
 1%

 
 4%

 
 3%

 
 4%

 
 Hypotensiona 

 
 0%

 
 4%

 
 2%

 
 3%

 
 Constipation

 
 0%

 
 2%

 
 3%

 
 2%

 
 Affect Labilityb

 
 1%

 
 3%

 
 2%

 
 2%

 
 Dry Mouth

 
 0%

 
 1%

 
 3%

 
 2%

 
 Bradycardiac 

 
 0%

 
 1%

 
 3%

 
 2%

 
 Postural Dizziness

 
 0%

 
 1%

 
 3%

 
 2%

 
 Rashd

 
 1%

 
 1%

 
 2%

 
 2%

 
 Nightmaree 

 
 1%

 
 2%

 
 1%

 
 2%

 
 Tachycardiaf 

 
 1%

 
 2%

 
 1%

 
 2%

 
 Adverse reactions ≥2% for all doses of guanfacine and >rate in placebo in any dose group but did not meet this criteria in all doses combined: irritability, vomiting, asthma (asthma, bronchospasm, wheezing), and enuresis (enuresis, nocturia, urinary incontinence).

 a: The hypotension term includes hypotension, diastolic hypotension, orthostatic hypotension, blood pressure decreased, blood pressure diastolic decreased, blood pressure systolic decreased.

 b: The affect lability term includes affect lability and mood swings.

 c: The bradycardia term includes bradycardia and sinus bradycardia.

 d: The rash term includes rash, rash generalized, and rash papular.

 e: The nightmare term includes abnormal dreams, nightmare, and sleep terror.

 f: The tachycardia term includes tachycardia and sinus tachycardia.

 


Effects on Blood Pressure and Heart Rate

In the monotherapy pediatric, short-term, controlled trials (Studies 1 and 2), the maximum mean changes from baseline in seated systolic blood pressure, diastolic blood pressure, and pulse were −5.4 mmHg, −3.4 mmHg, and −5.5 bpm, respectively, for all doses combined (generally one week after reaching target doses). For the respective fixed doses 1 mg/day, 2 mg/day, 3 mg/day or 4 mg/day the maximum mean changes in seated systolic blood pressure were -4.3 mmHg, -5.5 mmHg, -5.4 mmHg and -8.2 mmHg. For these respective fixed doses the maximum mean changes in seated diastolic blood pressure were -3.4 mmHg, -3.3 mmHg, -4.4 mmHg and -5.4 mmHg. For these respective fixed doses the maximum mean changes in seated pulse were -4.8 bpm, -3.1 bpm, -6.5 bpm and -8.6 bpm. Decreases in blood pressure and heart rate were usually modest and asymptomatic; however, hypotension and bradycardia can occur. Hypotension was reported as an adverse reaction for 7% of the guanfacine group and 3% of the placebo group. This includes orthostatic hypotension, which was reported for 1% of the guanfacine group and none in the placebo group. These findings were generally similar in the monotherapy flexible dose trials (Studies 4 and 5). In the adjunctive trial, hypotension (3%) and bradycardia (2%) were observed in patients treated with guanfacine as compared to none in the placebo group. In long-term, open-label studies, (mean exposure of approximately 10 months), maximum decreases in systolic and diastolic blood pressure occurred in the first month of therapy. Decreases were less pronounced over time. Syncope occurred in 1% of pediatric patients in the clinical program. The majority of these cases occurred in the long-term, open-label studies.



Discontinuation of Treatment

Blood pressure and pulse may increase above baseline values following discontinuation of guanfacine. In five studies of children and adolescents [see Clinical Studies (14)], increases in mean systolic and diastolic blood pressure averaging approximately 3 mmHg and increases in heart rate averaging 5 beats per minute above original baseline were observed upon discontinuation with tapering of guanfacine +. In a maintenance of efficacy study, increases in blood pressure and heart rate above baseline slowly diminished over the follow up period, which ranged between 3 and 26 weeks post final dose; the estimated average time to return to baseline was between six and twelve months. In this study, the increases in blood pressure and pulse were not considered serious or associated with adverse events. However, individuals may have larger increases than reflected by the mean changes.



In postmarketing experience, following abrupt discontinuation of guanfacine, rebound hypertension and hypertensive encephalopathy have been reported [see Warnings and Precautions (5.4) and Adverse Reactions (6.2)].



Effects on Height, Weight, and Body Mass Index (BMI)

Patients taking guanfacine demonstrated similar growth compared to normative data. Patients taking guanfacine had a mean increase in weight of 0.5 kg compared to those receiving placebo over a comparable treatment period. Patients receiving guanfacine for at least 12 months in open-label studies gained an average of 8 kg in weight and 8 cm (3 in) in height. The height, weight, and BMI percentile remained stable in patients at 12 months in the long-term studies compared to when they began receiving guanfacine.



Other Adverse Reactions Observed in Clinical Studies

Table 13 includes additional adverse reactions observed in short-term, placebo-controlled and long-term, open-label clinical studies not included elsewhere in section 6.1, listed by organ system.



                                       

 Table 13: Other adverse reactions observed in clinical studies

 
 Body System

 
 Adverse Reaction

 
 Cardiac

 
 Atrioventricular block

 
 General

 
 Asthenia, chest pain

 
 Immune System Disorders

 
 Hypersensitivity

 
 Investigations

 
 Increased alanine amino transferase

 
 Nervous system

 
 Convulsion

 
 Renal

 
 Increased urinary frequency

 
 Vascular

 
 Hypertension, pallor

 


2.1 General Instruction for Use

Swallow tablets whole. Do not crush, chew, or break tablets because this will increase the rate of guanfacine release. Do not administer with high fat meals, due to increased exposure.

2.5 Discontinuation of Treatment

Following discontinuation of guanfacine extended-release tablets, patients may experience increases in blood pressure and heart rate [see Warnings and Precautions (5.4) and Adverse Reactions (6)]. Patients/caregivers should be instructed not to discontinue guanfacine extended-release tablets without consulting their health care provider. Monitor blood pressure and pulse when reducing the dose or discontinuing the drug. Taper the daily dose in decrements of no more than 1 mg every 3 to 7 days to minimize the risk of rebound hypertension.

17 Patient Counseling Information

Advise the patient to read the FDA-approved patient labeling (Patient Information).



Dosing and Administration

Instruct patients to swallow guanfacine extended-release tablets whole with water, milk or other liquid. Tablets should not be crushed, chewed or broken prior to administration because this may increase the rate of release of the active drug. Patients should not take guanfacine extended-release tablets together with a high-fat meal, since this can raise blood levels of guanfacine extended-release tablets. Instruct the parent or caregiver to supervise the child or adolescent taking guanfacine extended-release tablets and to keep the bottle of tablets out of reach of children.



Advise patients not to abruptly discontinue guanfacine extended-release tablets as abrupt discontinuation can result in clinically significant rebound hypertension. Concomitant stimulant use and abrupt discontinuation of guanfacine extended-release tablets may increase this hypertensive response. Instruct patients on how to properly taper the dose to minimize the risk of rebound hypertension [see Dosage and Administration (2.5) and Warnings and Precautions (5.4)].



Adverse Reactions

Advise patients that sedation can occur, particularly early in treatment or with dose increases. Caution against operating heavy equipment or driving until they know how they respond to treatment with guanfacine extended-release tablets [see Warnings and Precautions (5.2)]. Headache and abdominal pain can also occur. If any of these symptoms persist, or other symptoms occur, the patient should be advised to discuss the symptoms with the health care provider.



Advise patients to avoid becoming dehydrated or overheated, which may potentially increase the risks of hypotension and syncope [see Warnings and Precautions (5.1)]. Advise patients to avoid use with alcohol.



Pregnancy Registry

Advise patients that there is a pregnancy exposure registry that monitors pregnancy outcomes in patients exposed to guanfacine extended-release tablets during pregnancy [see Use in Specific Populations (8.1)].



Lactation

Advise breastfeeding mothers to monitor infants exposed to guanfacine through breastmilk for sedation, lethargy and poor feeding [see Use in Specific Populations (8.2)].

16 How Supplied/storage and Handling

  

Guanfacine extended-release tablets, USP are supplied in 1 mg, 2 mg, 3 mg, and 4 mg strength as follows:

Guanfacine extended-release tablets USP, 1 mg are white to off white colored, round shaped tablets, debossed with ‘L657’ on one side and plain on other side.

Bottles of 100 tablets with child-resistant closure, NDC 46708-745-31

Bottles of 1000 tablets, NDC 46708-745-91



Guanfacine extended-release tablets USP, 2 mg are white to off white colored, caplet shaped tablets, debossed with ‘L658’ on one side and plain on other side.

Bottles of 100 tablets with child-resistant closure, NDC 46708-746-31

Bottles of 1000 tablets, NDC 46708-746-91



Guanfacine extended-release tablets USP, 3 mg are light green to green colored, round shaped tablets, debossed with ‘L659’ on one side and plain on other side.

Bottles of 100 tablets with child-resistant closure, NDC 46708-747-31

Bottles of 1000 tablets, NDC 46708-747-91



Guanfacine extended-release tablets USP, 4 mg are light green to green colored, caplet shaped tablets, debossed with ‘L660’ on one side and plain on other side.

Bottles of 100 tablets with child-resistant closure, NDC 46708-748-31

Bottles of 1000 tablets, NDC 46708-748-91



Storage - Store at 20°C to 25°C (68°F to 77°F); excursions permitted to 15° to 30°C (59° to 86°F) [See USP Controlled Room Temperature].

   

5.3 Cardiac Conduction Abnormalities

The sympatholytic action of guanfacine may worsen sinus node dysfunction and atrioventricular (AV) block, especially in patients taking other sympatholytic drugs. Titrate guanfacine slowly and monitor vital signs frequently in patients with cardiac conduction abnormalities or patients concomitantly treated with other sympatholytic drugs.

5.1 Hypotension, Bradycardia, and Syncope

Treatment with guanfacine can cause dose-dependent decreases in blood pressure and heart rate. Decreases were less pronounced over time of treatment. Orthostatic hypotension and syncope have been reported [see Adverse Reactions (6.1)].

Measure heart rate and blood pressure prior to initiation of therapy, following dose increases, and periodically while on therapy. Titrate guanfacine slowly in patients with a history of hypotension, and those with underlying conditions that may be worsened by hypotension and bradycardia; e.g., heart block, bradycardia, cardiovascular disease, vascular disease, cerebrovascular disease, or chronic renal failure. In patients who have a history of syncope or may have a condition that predisposes them to syncope, such as hypotension, orthostatic hypotension, bradycardia, or dehydration, advise patients to avoid becoming dehydrated or overheated. Monitor blood pressure and heart rate, and adjust dosages accordingly in patients treated concomitantly with antihypertensives or other drugs that can reduce blood pressure or heart rate or increase the risk of syncope.

Package Label.principal Display Panel 1 Mg

NDC 46708-745-31

Guanfacine

Extended-Release

Tablets, USP

1 mg

Tablets should not be crushed,

chewed or broken before swallowing.

Rx only

100 Tablets

Alembic



 

 

 

Package Label.principal Display Panel 2 Mg

NDC 46708-746-31

Guanfacine

Extended-Release

Tablets, USP

2 mg

Tablets should not be crushed,

chewed or broken before swallowing.

Rx only

100 Tablets

Alembic

  

 

Package Label.principal Display Panel 3 Mg

NDC 46708-747-31

Guanfacine

Extended-Release

Tablets, USP

3 mg

Tablets should not be crushed,

chewed or broken before swallowing.

Rx only

100 Tablets

Alembic

Package Label.principal Display Panel 4 Mg

NDC 46708-748-31

Guanfacine

Extended-Release

Tablets, USP

4 mg

Tablets should not be crushed,

chewed or broken before swallowing.

Rx only

100 Tablets

Alembic





13.1 Carcinogenesis, Mutagenesis, Impairment of Fertility

Carcinogenesis

No carcinogenic effect of guanfacine was observed in studies of 78 weeks in mice or 102 weeks in rats at doses up to 6.8 times the maximum recommended human dose of 0.12 mg/kg/day on a mg/m2 basis.

 

Mutagenesis

Guanfacine was not genotoxic in a variety of test models, including the Ames test and an in vitro chromosomal aberration test; however, a marginal increase in numerical aberrations (polyploidy) was observed in the latter study.



Impairment of Fertility

No adverse effects were observed in fertility studies in male and female rats at doses up to 22 times the maximum recommended human dose on a mg/m2 basis.

2.3 Switching From Immediate Release Guanfacine to Guanfacine Extended Release Tablets

If switching from immediate-release guanfacine, discontinue that treatment, and titrate with guanfacine extended-release tablets following above recommended schedule.



Do not substitute for immediate-release guanfacine tablets on a milligram-per-milligram basis, because of differing pharmacokinetic profiles. Guanfacine extended-release tablet has significantly reduced Cmax (60% lower), bioavailability (43% lower), and a delayed Tmax (3 hours later) compared to those of the same dose of immediate-release guanfacine [see Clinical Pharmacology (12.3)].

2.7 Dosage Adjustment With Concomitant Use of Strong and Moderate Cyp3a4 Inhibitors Or Inducers

Dosage adjustments for guanfacine extended-release tablets are recommended with concomitant use of strong and moderate CYP3A4 inhibitors (e.g., ketoconazole), or CYP3A4 inducers (e.g., carbamazepine) (Table 2) [see Drug Interactions (7)].

Table 2: Guanfacine Extended-Release Tablets   Dosage Adjustments for Patients Taking Concomitant CYP3A4 Inhibitors or Inducers

 

                          

   

 
 Clinical Scenarios

 
  

 
 Starting guanfacine extended-release tablets while currently on aCYP3A4 modulator

 
 Continuing guanfacine extended-release tablets while adding a CYP3A4 modulator

 
 Continuing guanfacine extended-release tablets while stopping a CYP3A4 modulator

 
 CYP3A4 Strong and moderate Inhibitors

 
 Decrease guanfacine extended-release tablets dosage to half the recommended level. (see Table 1)

 
 Decrease guanfacine extended-release tablets dosage to half the recommended level. (see Table 1)

 
 Increase guanfacine extended-release tablets dosage to recommended level. (see Table 1)

 
 CYP3A4 Strong and moderate Inducers

 
 Consider increasing guanfacine extended-release tablets dosage up to double the recommended level. (see Table 1)

 
 Consider increasing guanfacine extended-release tablets dosage up to double the recommended level over 1 to 2 weeks. (see Table 1)

 
 Decrease guanfacine extended-release tablets dosage to recommended level over 1 to 2 weeks. (see Table 1)

 



Structured Label Content

Section 42230-3 (42230-3)


Patient Information

Guanfacine (GWAHN fa seen)

Extended-Release Tablets, USP

Read the Patient Information that comes with guanfacine extended-release tablets before you start taking it and each time you get a refill. There may be new information. This leaflet does not take the place of talking with your doctor about your medical condition or your treatment.

What is guanfacine extended-release tablet?

Guanfacine extended-release tablet is a prescription medicine used to treat the symptoms of attention deficit hyperactivity disorder (ADHD). Guanfacine extended-release tablets may be used alone or with ADHD stimulant medicines.

Guanfacine extended-release tablet is not a central nervous system (CNS) stimulant.

It is not known if guanfacine extended-release tablet is safe and effective in children younger than 6 years of age.



Who should not take guanfacine extended-release tablets?

Do not take guanfacine extended-release tablets if you are allergic to guanfacine or any of the ingredients in guanfacine extended-release tablets. See the end of this leaflet for a complete list of ingredients in guanfacine extended-release tablets.

What should I tell my doctor before taking guanfacine extended-release tablets?

Before you take guanfacine extended-release tablets, tell your doctor if you:


• have heart problems or a low heart rate

• have fainted

• have low or high blood pressure

• have liver or kidney problems

• have any other medical conditions

• are pregnant or plan to become pregnant. It is not known if guanfacine extended-release tablets will harm your unborn baby. Talk to your doctor if you are pregnant or plan to become pregnant.

    o There is a pregnancy registry for females who are exposed to ADHD medications, including guanfacine extended-release tablets, during pregnancy. The purpose of the registry is to collect information about the health of females exposed to guanfacine extended-release tablets and their baby. If you or your child becomes pregnant during treatment with guanfacine extended-release tablets, talk to your healthcare provider about registering with the National Pregnancy Registry of ADHD medications at 1-866-961-2388.

• are breastfeeding or plan to breastfeed. It is not known if guanfacine passes into your breast  milk. Talk to your doctor about the best way to feed your baby while taking guanfacine extended-release tablets.

Tell your doctor about all of the medicines you take, including prescription and over-the-counter medicines, vitamins, and herbal supplements.

Guanfacine extended-release tablets may affect the way other medicines work, and other medicines may affect how guanfacine extended-release tablet works.



Especially tell your doctor if you take:

• ketoconazole

• medicines that can affect enzyme metabolism

• high blood pressure medicine

• sedatives

• benzodiazepines

• barbiturates

• antipsychotics

Ask your doctor or pharmacist for a list of these medicines, if you are not sure.

Know the medicines you take. Keep a list of them and show it to your doctor and pharmacist when you get a new medicine.

How should I take guanfacine extended-release tablets?

• Take guanfacine extended-release tablets exactly as your doctor tells you.

• Your doctor may change your dose. Do not change your dose of guanfacine extended-release tablets without talking to your doctor.

• Do not stop taking guanfacine extended-release tablets without talking to your doctor.

• Try not to miss your dose of guanfacine extended-release tablets. If you miss a dose of guanfacine extended-release tablets, take the next dose at your regular time. If you miss 2 or more doses, talk to your doctor, as you may need to restart guanfacine extended-release tablets with a lower dose.

• Do not take a double dose to make up for a missed dose.

• Guanfacine extended-release tablets should be taken 1 time a day in the morning or in the evening, either alone or in combination with an ADHD stimulant medicine that your doctor may prescribe. Your doctor will tell you when to take guanfacine extended-release tablets and when to take your ADHD stimulant medication.

• Guanfacine extended-release tablets should be swallowed whole with a small amount of water, milk, or other liquid.

• Do not crush, chew, or break guanfacine extended-release tablets. Tell your doctor if you cannot swallow guanfacine extended-release tablets whole.

• Do not take guanfacine extended-release tablets with a high-fat meal.

• Your doctor will check your blood pressure and heart rate while you take guanfacine extended-release tablets.

• If you take too much guanfacine extended-release tablets, call your local Poison Control Center at 1-800-222-1222 or go to the nearest emergency room right away.

What should I avoid while taking guanfacine extended-release tablets?

• Do not drive, operate heavy machinery, or do other dangerous activities until you know how guanfacine extended-release tablet affects you. Guanfacine extended-release tablets can slow your thinking and motor skills.

• Do not drink alcohol or take other medicines that make you sleepy or dizzy while taking  guanfacine extended-release tablets until you talk with your doctor. Guanfacine extended-release tablets taken with alcohol or medicines that cause sleepiness or dizziness may make your sleepiness or dizziness worse.

• Do not become dehydrated or overheated. This may increase your chance of having low blood pressure or fainting while taking guanfacine extended-release tablets.

• Do not suddenly stop guanfacine extended-release tablets. Tell your healthcare provider if you have been vomiting and cannot take guanfacine extended-release tablets, you may be at risk for rebound hypertension.

What are the possible side effects of guanfacine extended-release tablets?

Guanfacine extended-release tablets may cause serious side effects including:


• low blood pressure

• low heart rate

• fainting

• sleepiness

• increased blood pressure and heart rate after suddenly stopping guanfacine extended-release tablets (rebound hypertension). Suddenly stopping guanfacine extended-release tablets can cause increased blood pressure and heart rate and other withdrawal symptoms such as headache, confusion, nervousness, agitation, and  tremors. If these symptoms continue to get worse and are left untreated, it could lead to a very serious condition including very high blood pressure, feeling very sleepy or tired, severe headache, vomiting, vision problems, seizures.

Get medical help right away, if you have any of the symptoms listed above.

The most common side effects of guanfacine extended-release tablets include:

• sleepiness

• tiredness

• trouble sleeping

• low blood pressure

• nausea

• stomach pain

• dizziness

• dry mouth

• irritability

• vomiting

• slow heart rate

Tell the doctor if you have any side effect that bothers you or that does not go away.

These are not all the possible side effects of guanfacine extended-release tablets. For more information, ask your doctor or pharmacist.

Call your doctor for medical advice about side effects. You may report side effects to FDA at 1-800-FDA-1088.

How should I store guanfacine extended-release tablets?

• Store guanfacine extended-release tablets between 68°F to 77°F (20°C to 25°C)

Keep guanfacine extended-release tablets and all medicines out of the reach of children.

General Information about the safe and effective use guanfacine extended-release tablets

Medicines are sometimes prescribed for purposes other than those listed in a Patient Information Leaflet. Do not use guanfacine extended-release tablets for a condition for which it was not prescribed. Do not give guanfacine extended-release tablets to other people, even if they have the same symptoms that you have. It may harm them.

This leaflet summarizes the most important information about guanfacine extended-release tablets. If you would like more information, talk with your doctor. You can ask your pharmacist or doctor for information about guanfacine extended-release tablets that is written for health professionals.

 

What are the ingredients in guanfacine extended-release tablets?

Active ingredient: guanfacine hydrochloride

Inactive ingredients: methacrylic acid and ethyl acrylate copolymer, hypromellose, glyceryl dibehenate, microcrystalline cellulose, lactose monohydrate, fumaric acid, talc, silicon dioxide and magnesium stearate. In addition, the 3 mg and 4 mg tablets also contain FD&C Blue #2 Aluminum Lake and iron oxide yellow.

This Patient Information has been approved by the U.S. Food and Drug Administration.

All brands mentioned are trademarks of their respective owners.



Manufactured by:

Alembic Pharmaceuticals Limited

(Formulation Division),

Village Panelav, P. O. Tajpura,

Near Baska, Taluka-Halol,

Panchmahal 389350, Gujarat, India.



 



Revised: 10/2022

10 Overdosage (10 OVERDOSAGE)

Symptoms

Postmarketing reports of guanfacine overdosage indicate that hypotension, drowsiness, lethargy, and bradycardia have been observed following overdose. Initial hypertension may develop early and may be followed by hypotension. Similar symptoms have been described in voluntary reports to the American Association of Poison Control Center’s National Poison Data System. Miosis of the pupils may be noted on examination. No fatal overdoses of guanfacine have been reported in published literature.



Treatment 

Consult a Certified Poison Control Center by calling 1-800-222-1222 for up-to-date guidance and advice.



Management of guanfacine overdose should include monitoring for and the treatment of initial hypertension, if that occurs, as well as hypotension, bradycardia, lethargy and respiratory depression. Children and adolescents who develop lethargy should be observed for the development of more serious toxicity including coma, bradycardia and hypotension for up to 24 hours, due to the possibility of delayed onset hypotension.

8.1 Pregnancy

Pregnancy Exposure Registry

There is a pregnancy exposure registry that monitors pregnancy outcomes in women exposed to ADHD medications, including guanfacine, during pregnancy. Healthcare providers are encouraged to register patients by calling the National Pregnancy Registry for ADHD Medications at 1-866-961-2388.



Risk Summary 

Available data with guanfacine over decades of use in pregnant women have not identified a drug-associated risk of major birth defects, miscarriage or adverse maternal or fetal outcomes. However, use of guanfacine in pregnant women over this time has been infrequent. In animal reproduction studies, rabbits and rats exposed to 3 and 4 times the maximum recommended human dose (MRHD), respectively, showed no adverse outcomes. However, higher doses were associated with reduced fetal survival and maternal toxicity (see Data).



The estimated background risk of major birth defects and miscarriage for the indicated population is unknown. All pregnancies have a background risk of birth defect, loss, or other adverse outcomes. In the U.S. general population, the estimated risk of major birth defects and miscarriage in clinically recognized pregnancies is 2% to 4% and 15% to 20%, respectively.



Data

 

Animal Data

Reproduction studies conducted in rats have shown that guanfacine crosses the placenta. However, administration of guanfacine to rabbits and rats during organogenesis at 3 (rabbit) and 4 (rat) times the MRHD of 0.12 mg/kg/day on a mg/m2 basis resulted in no evidence of harm to the fetus. Higher doses (13.5 times the MRHD in both rabbits and rats) were associated with reduced fetal survival and maternal toxicity.

8.2 Lactation

Risk Summary 

There are no data on the presence of guanfacine in human milk or the effects on the breastfed infant. The effects on milk production are also unknown. Guanfacine is present in the milk of lactating rats (see Data). If a drug is present in animal milk, it is likely that the drug will be present in human milk. If an infant is exposed to guanfacine through breastmilk, monitor for symptoms of hypotension and bradycardia such as sedation, lethargy and poor feeding (see Clinical Considerations). The developmental and health benefits of breastfeeding should be considered along with the mother’s clinical need for guanfacine and any potential adverse effects on the breastfed child from guanfacine or from the underlying maternal condition.



Clinical Considerations

Monitor breastfeeding infants exposed to guanfacine through breastmilk for sedation, lethargy, and poor feeding.



Data

Guanfacine was excreted in breast milk of lactating rats at a concentration comparable to that observed in blood, but slightly less than the concentration in plasma when administered following a single oral dose of 5 mg/kg. The concentration of drug in animal milk does not necessarily predict the concentration of drug in human milk.

11 Description (11 DESCRIPTION)

Guanfacine is a once-daily, extended-release formulation of guanfacine hydrochloride, USP in a matrix tablet formulation for oral administration only. The chemical designation is N-amidino-2-(2,6-dichlorophenyl) acetamide monohydrochloride. The molecular formula is C9H9Cl2 N3O·HCl corresponding to a molecular weight of 282.55. The chemical structure is:



Guanfacine hydrochloride, USP is a white to off-white crystalline powder, sparingly soluble in water (approximately 1 mg/mL) and alcohol and slightly soluble in acetone.  The only organic solvent in which it has relatively high solubility is methanol (>30 mg/mL).  Each tablet contains guanfacine hydrochloride, USP equivalent to 1 mg, 2 mg, 3 mg, or 4 mg of guanfacine base. The tablets also contain methacrylic acid and ethyl acrylate copolymer, hypromellose, glyceryl dibehenate, microcrystalline cellulose, lactose monohydrate, fumaric acid, talc, silicon dioxide and magnesium stearate. In addition, the 3 mg and 4 mg tablets also contain FD&C Blue #2 Aluminum Lake and iron oxide yellow.

FDA approved dissolution test specifications differ from USP.

2.6 Missed Doses

When reinitiating patients to the previous maintenance dose after two or more missed consecutive doses, consider titration based on patient tolerability.

8.4 Pediatric Use

Safety and efficacy of guanfacine in pediatric patients less than 6 years of age have not been established. The efficacy of guanfacine was studied for the treatment of ADHD in five controlled monotherapy clinical trials (up to 15 weeks in duration), one randomized withdrawal study and one controlled adjunctive trial with psychostimulants (8 weeks in duration) in children and adolescents ages 6 to 17 who met DSM-IV® criteria for ADHD [see Adverse Reactions (6) and Clinical Studies (14)].



Animal Data

In studies in juvenile rats, guanfacine alone produced a slight delay in sexual maturation in males and females at 2 to 3 times the maximum recommended human dose (MRHD). Guanfacine in combination with methylphenidate produced a slight delay in sexual maturation and decreased growth as measured by a decrease in bone length in males at a dose of guanfacine comparable to the MRHD and a dose of methylphenidate approximately 4 times the MRHD.



In a study where juvenile rats were treated with guanfacine alone from 7 to 59 days of age, development was delayed as indicated by a slight delay in sexual maturation and decreased body weight gain in males at 2 mg/kg/day and in females at 3 mg/kg/day. The No Adverse Effect Level (NOAEL) for delayed sexual maturation was 1 mg/kg/day, which is equivalent to the MRHD of 4 mg/day, on a mg/m2 basis. The effects on fertility were not evaluated in this study.



In a study where juvenile rats were treated with guanfacine in combination with methylphenidate from 7 to 59 days of age, a decrease in ulna bone length and a slight delay in sexual maturation were observed in males given 1 mg/kg/day of guanfacine in combination with 50 mg/kg/day of methylphenidate. The NOAELs for these findings were 0.3 mg/kg of guanfacine in combination with 16 mg/kg/day of methylphenidate, which are equivalent to 0.3 and 1.4 times the MRHD of 4 mg/day and 54 mg/day for guanfacine and methylphenidate, respectively, on a mg/m2 basis. These findings were not observed with guanfacine alone at 1 mg/kg/day or methylphenidate alone at 50 mg/kg/day.

8.5 Geriatric Use

The safety and efficacy of guanfacine in geriatric patients have not been established.

2.2 Dose Selection

Take guanfacine extended-release tablets orally once daily, either in the morning or evening, at approximately the same time each day. Begin at a dose of 1 mg/day, and adjust in increments of no more than 1 mg/week.



In monotherapy clinical trials, there was dose-and exposure-related clinical improvement as well as risks for several clinically significant adverse reactions (hypotension, bradycardia, sedative events). To balance the exposure-related potential benefits and risks, the recommended target dose range depending on clinical response and tolerability for guanfacine extended-release tablet is 0.05 to 0.12 mg/kg/day (total daily dose between 1 to 7 mg) (See Table 1).



                                    

 Table 1: Recommended Target Dose Range for Therapy with Guanfacine Extended-Release Tablets

 
 Weight

 
 Target dose range (0.05 to 0.12 mg/kg/day)

 
 25 to 33.9 kg

 
 2 to 3 mg/day

 
 34 to 41.4 kg

 
 2 to 4 mg/day

 
 41.5 to 49.4 kg

 
 3 to 5 mg/day

 
 49.5 to 58.4 kg

 
 3 to 6 mg/day

 
 58.5 to 91 kg

 
 4 to 7 mg/day

 
 >91 kg

 
 5 to 7 mg/day

 
 Doses above 4 mg/day have not been evaluated in children (ages 6 to12 years) and doses above 7 mg/day have not been evaluated in adolescents (ages 13 to 17 years)

 


In the adjunctive trial which evaluated guanfacine extended-release tablets treatment with psychostimulants, the majority of patients reached optimal doses in the 0.05 to 0.12 mg/kg/day range. Doses above 4 mg/day have not been studied in adjunctive trials.

14 Clinical Studies (14 CLINICAL STUDIES)

Efficacy of guanfacine in the treatment of ADHD was established in children and adolescents (6 to 17 years) in:

Efficacy of guanfacine in the treatment of ADHD was established in children and adolescents (6 to 17 years) in:

• Five short-term, placebo-controlled monotherapy trials (Studies 1, 2, 4, 5, and 6).

• One short-term, placebo-controlled adjunctive trial with psychostimulants (Study 3).

• One long-term, placebo-controlled monotherapy maintenance trial (Study 7).

 

Studies 1 and 2: Fixed-dose Guanfacine Monotherapy

Study 1 (301 study) was a double-blind, placebo-controlled, parallel-group, fixed-dose study, in which efficacy of once daily dosing with guanfacine (2 mg, 3 mg and 4 mg) was evaluated for 5 weeks (n=345) in children and adolescents aged 6 to 17 years. Study 2 (304 study) was a double-blind, placebo-controlled, parallel-group, fixed-dose study, in which efficacy of once daily dosing with guanfacine (1 mg, 2 mg, 3 mg and 4 mg) was evaluated for 6 weeks (n=324) in children and adolescents aged 6 to 17 years. In both studies, randomized patients in 2 mg, 3 mg and 4 mg dose groups were titrated to their target fixed dose, and continued on the same dose until a dose tapering phase started. The lowest dose of 1 mg used in Study 2 was not randomized to patients weighing more than 50 kg. Patients who weighed less than 25 kg were not included in either study.

Signs and symptoms of ADHD were evaluated on a once weekly basis using the clinician administered and scored ADHD Rating Scale (ADHD-RS-IV), which includes both hyperactive/impulsive and inattentive subscales. The primary efficacy outcome was the change from baseline to endpoint in ADHD-RS-IV total scores. Endpoint was defined as the last post-randomization treatment week for which a valid score was obtained prior to dose tapering (up to Week 5 in Study 1 and up to Week 6 in Study 2).

The mean reductions in ADHD-RS-IV total scores at endpoint were statistically significantly greater for guanfacine compared to placebo for Studies 1 and 2. Placebo-adjusted changes from baseline were statistically significant for each of the 2 mg, 3 mg, and 4 mg guanfacine randomized treatment groups in both studies, as well as the 1 mg guanfacine treatment group that was included only in Study 2 (see Table 16).

Dose-responsive efficacy was evident, particularly when data were examined on a weight-adjusted (mg/kg) basis. When evaluated over the dose range of 0.01 to 0.17 mg/kg/day, clinically relevant improvements were observed beginning at doses in the range 0.05 to 0.08 mg/kg/day. Doses up to 0.12 mg/kg/day were shown to provide additional benefit.

In the monotherapy trials (Studies 1 and 2), subgroup analyses were performed to identify any differences in response based on gender or age (6 to 12 vs. 13 to 17). Analyses of the primary outcome did not suggest any differential responsiveness on the basis of gender. Analyses by age revealed a statistically significant treatment effect only in the 6 to 12 age subgroup. Due to the relatively small proportion of adolescent patients (ages 13 to 17) enrolled into these studies (approximately 25%), these data may not have been sufficient to demonstrate efficacy in the adolescent patients. In these studies, patients were randomized to a fixed dose of guanfacine rather than optimized by body weight. Therefore, some adolescent patients were randomized to a dose that might have resulted in relatively lower plasma guanfacine concentrations compared to the younger patients. Over half (55%) of the adolescent patients received doses of 0.01 to 0.04 mg/kg. In studies in which systematic pharmacokinetic data were obtained, there was a strong inverse correlation between body weight and plasma guanfacine concentrations.

Table 16: Fixed dose Studies

 

 Study Number

 
 Treatment Group

 
 Primary Efficacy Measure: ADHD-RS-IV Total Score

 
 (Age Range)

 
 Mean Baseline Score (SD)

 
 LS Mean Change from Baseline (SE)

 
 Placebo-subtracted Differencea (95% CI)

 
 Study 1

 (6 to 17 years)

  

 
 Guanfacine 2 mg*

 
 36.1 (9.99)

 
 -15.9 (1.37)

 
 -7.4 (-11.3, -3.5)

 
 Guanfacine 3 mg*

 
 36.8 (8.72)

 
 -16 (1.38)

 
 -7.5 (-11.4, -3.6)

 
 Guanfacine 4 mg*

 
 38.4 (9.21)

 
 -18.5 (1.39)

 
 -10 (-13.9, -6.1)

 
 Placebo

 
 38.1 (9.34)

 
 -8.5 (1.42)

 
 --

 
 Study 2

 (6 to 17 years)

  

 
 Guanfacine 1 mg*^

 
 41.7 (7.81)

 
 -19.4 (1.69)

 
 -6.8 (-11.3, -2.2)

 
 Guanfacine 2 mg*

 
 39.9 (8.74)

 
 -18.1 (1.60)

 
 -5.4 (-9.9, -0.9)

 
 Guanfacine 3 mg*

 
 39.1 (9.22)

 
 -20 (1.64)

 
 -7.3 (-11.8, -2.8)

 
 Guanfacine 4 mg*

 
 40.6 (8.57)

 
 -20.6 (1.6)

 
 -7.9 (-12.3, -3.4)

 
 Placebo

 
 39.3 (8.85)

 
 -12.7 (1.6)

 
 --

 


SD: standard deviation; SE: standard error; LS Mean: least-squares mean; CI: unadjusted confidence interval.

a Difference (drug minus placebo) in least-squares mean change from baseline.

* Doses statistically significantly superior to placebo.

^ The lowest dose of 1 mg used in Study 2 was not randomized to patients weighing more than 50 kg.



Study 3: Flexible-dose G uanfacine  as Adjunctive Therapy to Psychostimulants

Study 3 (313 study) was a double-blind, randomized, placebo-controlled, dose-optimization study, in which efficacy of once daily optimized dosing (morning or evening) with guanfacine (1 mg, 2 mg, 3 mg and 4 mg), when co-administered with psychostimulants, was evaluated for 8 weeks, in children and adolescents aged 6 to 17 years with a diagnosis of ADHD, with a sub-optimal response to stimulants (n=455). Patients were started at the 1 mg guanfacine dose level and were titrated weekly over a 5-week dose-optimization period to an optimal guanfacine dose not to exceed 4 mg/day based on tolerability and clinical response. The dose was then maintained for a 3-week dose maintenance period before entry to 1 week of dose tapering. Patients took guanfacine either in the morning or the evening while maintaining their current dose of psychostimulant treatment given each morning. Allowable psychostimulants in the study were ADDERALL XR®, VYVANSE®, CONCERTA®, FOCALIN XR®, RITALIN LA®, METADATE CD® or FDA-approved generic equivalents.



Symptoms of ADHD were evaluated on a weekly basis by clinicians using the ADHD Rating Scale (ADHD-RS-IV), which includes both hyperactive/impulsive and inattentive subscales. The primary efficacy outcome was the change from baseline to endpoint in ADHD-RS-IV total scores. Endpoint was defined as the last post-randomization treatment week prior to dose tapering for which a valid score was obtained (up to Week 8).



Mean reductions in ADHD-RS-IV total scores at endpoint were statistically significantly greater for guanfacine given in combination with a psychostimulant compared to placebo given with a psychostimulant for Study 3, for both morning and evening guanfacine dosing (see Table 17). Nearly two-thirds (64.2%) of patients reached optimal doses in the 0.05 to 0.12 mg/kg/day range.



Studies 4, 5 and 6: Flexible-dose G uanfacine   Monotherapy

Study 4 (314 study) was a double-blind, randomized, placebo-controlled, dose-optimization study, in which efficacy of once daily dosing (morning or evening) with guanfacine (1 mg, 2 mg, 3 mg, and 4 mg) was evaluated for 8 weeks in children aged 6 to 12 years (n=340).



Signs and symptoms of ADHD were evaluated on a once weekly basis using the clinician administered and scored ADHD Rating Scale (ADHD-RS-IV), which includes both hyperactive/impulsive and inattentive subscales. The primary efficacy outcome was the change from baseline score at endpoint on the ADHD-RS-IV total scores. Endpoint was defined as the last post-randomization treatment week for which a valid score was obtained prior to dose tapering (up to Week 8).



Mean reductions in ADHD-RS-IV total scores at endpoint were statistically significantly greater for guanfacine compared to placebo in both AM and PM dosing groups of guanfacine (see Table 17).



Study 5 (312 study) was a 15-week, double-blind, randomized, placebo-controlled, dose-optimization study conducted in adolescents aged 13 to 17 years (n=314) to evaluate the efficacy and safety of guanfacine (1 to 7 mg/day; optimized dose range of 0.05 to 0.12 mg/kg/day) in the treatment of ADHD as measured by the ADHD Rating Scale-IV (ADHD-RS-IV). Patients receiving guanfacine showed statistically significantly greater improvement on the ADHD-RS-IV total score compared with patients receiving placebo (see Table 17).



Study 6 (316 study) was a 12-week (for children aged 6 to 12) or 15-week (for adolescents aged 13 to 17), randomized, double-blind, parallel-group, placebo-and active-reference, dose-optimization study conducted in pediatric patients (children and adolescents aged 6 to 17 years old inclusive) (n=337) to assess the efficacy and safety of once-daily dosing (children: 1 to 4 mg/day, adolescents: 1 to 7 mg/day; optimized dose range of 0.05 to 0.12 mg/kg/day) in the treatment of ADHD. Guanfacine was statistically superior to placebo on symptoms of ADHD in patients 6 to 17 years as measured by change from baseline in ADHD-RS-IV total scores (see Table 17).

Table 17: Flexible-Dose studies



Study Number

(Age Range)
 
 Treatment Group Primary Efficacy Measure: ADHD-RS-IV Total Score
 Mean Baseline Score (SD)

 

LS Mean Change from Baseline (SE)

 

Placebo-subtracted Differenceb

(95% CI)
 
 Study 3a

(6 to 17 years)

 Guanfacine

1 to 4 mg AM*
  37.6 (8.13)    -20.3 (0.97)    -4.5 (-7.5, -1.4) 
  Guanfacine  1 to 4 mg PM*   37 (7.65)    -21.2 (0.97)    -5.3 (-8.3, -2.3) 
 Placebo 37.7 (7.75)   -15.9 (0.96) - - 
 Study 4      

(6  to 12 years)
 Guanfacine

   1 to 4 mg AM*

  41.7 (6.39)    -20 (1.23)    -9.4 (-12.8, -60) 
 Guanfacine 1 to 4 mg PM*   41.6 (6.66)    -20.4 (1.19)    -9.8 (-13.1, -6.4) 
 Placebo 42.9 (6.29)   -10.6 (1.2) - - 
Study 5 (13 to 17 years)

 
 Guanfacine 1 to 7 mg*  39.9 (5.57) -24.6 (1.06)   -6.03 (-8.87, -3.19)
   Placebo 40 (6.11)  -18.5 (1.08)   - -
 Study 6  (6 to 17 years)

 
 Guanfacine  1 to 7 mg*   43.1 (5.47)    -23.89 (1.15)    -8.88 (-11.94, 5.81) 
 Placebo 43.2 (5.6)   -15.01 (1.16) - - 

SD: standard deviation; SE: standard error; LS Mean: least-squares mean; CI: unadjusted confidence interval.

a Treatment was given in combination with a psychostimulant.

b Difference (drug minus placebo) in least-squares mean change from baseline.

* Doses statistically significantly superior to placebo.

Study 7: Long-Term Maintenance of Guanfacine Efficacy

Study 7 (315 study) was a double-blind, placebo-controlled, randomized withdrawal trial in pediatric patients aged 6 to 17 years with DSM-IV-TR diagnosis of ADHD. The study consisted of an open-label phase, including a 7-week dose optimization period to titrate patients to an optimal dose (maximum 4 mg/day for children and 7 mg/day for adolescents; optimized dose range: 0.05 to 0.12 mg/kg/day) and a 6-week dose maintenance period. There were 526 patients included in the open-label phase. Among those, 315 patients who met response criteria in the open-label phase were then randomized (1:1, guanfacine:placebo) in a 26-week, double-blind, randomized withdrawal phase. The response criteria were defined by ≥30% reduction in ADHD-RS-IV total score and a Clinical Global Impression-Improvement (CGI-I) score of 1 or 2 during the open-label phase. A statistically significantly lower proportion of treatment failures occurred among guanfacine patients compared to placebo at the end of the randomized withdrawal period (Figure 4). Treatment failure was defined as a ≥50% increase (worsening) in ADHD-RS-IV total score and a ≥2-point increase in Clinical Global Impression-Severity (CGI-S) score. Patients who met the treatment failure criteria on two consecutive visits or discontinued for any reason were classified as treatment failure.

Figure 4. Kaplan-Meier Estimation of Proportion of Patients with Treatment Failure for Children and Adolescents Ages 6 to 17 (Study 7)





4 Contraindications (4 CONTRAINDICATIONS)

Guanfacine is contraindicated in patients with a history of a hypersensitivity reaction to guanfacine extended-release tablets or its inactive ingredients, or other products containing guanfacine. Rash and pruritus have been reported.

6 Adverse Reactions (6 ADVERSE REACTIONS)

The following serious adverse reactions are described elsewhere in the labeling:

  • Hypotension, bradycardia, and syncope [see Warnings and Precautions (5.1)]
  • Sedation and somnolence [see Warnings and Precautions (5.2)]
  • Cardiac conduction abnormalities [see Warnings and Precautions (5.3)]
  • Rebound Hypertension [see Warnings and Precautions (5.4)]
7 Drug Interactions (7 DRUG INTERACTIONS)

Table 14 contains clinically important drug interactions with guanfacine [see Clinical Pharmacology (12.3)].

 

Table 14: Clinically Important Drug Interactions: Effect of other Drugs on Guanfacine

 

                 

 

Concomitant Drug Name or Drug Class  
 

Clinical Rationale and Magnitude of Drug Interaction  
 

Clinical Recommendation  
 Strong and moderate CYP3A4 inhibitors, e.g., ketoconazole, fluconazole

  

 
 Guanfacine is primarily metabolized by CYP3A4 and its plasma concentrations can be significantly affected resulting in an increase in exposure

 
 Consider dose reduction [see Dosage and administration (2.7)]

  

 
 Strong and moderate CYP3A4 inducers, e.g., rifampin, efavirenz

  

 
 Guanfacine is primarily metabolized by CYP3A4 and its plasma concentrations can be significantly affected resulting in a decrease in exposure

 
 Consider dose increase [see Dosage and administration (2.7)]

  

 


8.6 Renal Impairment

It may be necessary to reduce the dosage in patients with significant impairment of renal function [see Clinical Pharmacology (12.3)].

12.2 Pharmacodynamics

Guanfacine is a selective central alpha2A-adrenergic receptor agonist in that it has a 15 to 20 times higher affinity for this receptor subtype than for the alpha2B or alpha2C subtypes.



Guanfacine is a known antihypertensive agent. By stimulating central alpha2A-adrenergic receptors, guanfacine reduces sympathetic nerve impulses from the vasomotor center to the heart and blood vessels. This results in a decrease in peripheral vascular resistance and a reduction in heart rate.



In a thorough QT study, the administration of two dose levels of immediate-release guanfacine (4 mg and 8 mg) produced concentrations approximately 2 to 4 times the concentrations observed with the maximum recommended dose of guanfacine of 0.12 mg/kg. Guanfacine was not shown to prolong the QTc interval to any clinically relevant extent.

12.3 Pharmacokinetics

Absorption and Distribution

Guanfacine is readily absorbed and approximately 70% bound to plasma proteins independent of drug concentration. After oral administration of guanfacine the time to peak plasma concentration is approximately 5 hours in children and adolescents with ADHD.



Immediate-release guanfacine and extended-release guanfacine have different pharmacokinetic characteristics; dose substitution on a milligram per milligram basis will result in differences in exposure.



A comparison across studies suggests that the Cmax is 60% lower and AUC0-∞ 43% lower, respectively, for extended-release guanfacine compared to immediate-release guanfacine. Therefore, the relative bioavailability of extended-release guanfacine to immediate-release guanfacine is 58%. The mean pharmacokinetic parameters in adults following the administration of extended-release guanfacine 1 mg once daily and immediate-release guanfacine 1 mg once daily are summarized in Table 15.



                              

 Table 15: Comparison Guanfacine in Adults of Pharmacokinetics: Guanfacine vs. Immediate Release

 
 Parameter

 
 Extended-release guanfacine

 1 mg once daily

 (n=52)

 
 Immediate-release guanfacine

 1 mg once daily

 (n=12)

 
 Cmax (ng/mL)

 
 1 ± 0.3

 
 2.5 ± 0.6

 
 AUC0-∞ (ng·h/mL)

 
 32 ± 9

 
 56 ± 15

 
 tmax (h)

 
 6 (4 to 8)

 
 3 (1.5 to 4)

 
 t½ (h)

 
 18 ± 4

 
 16 ± 3

 


Note: Values are mean +/-SD, except for tmax which is median (range)

 

Figure 1: Comparison of Pharmacokinetics: Extended-Release Guanfacine   vs. Immediate-Release Guanfacine in Adults

 

Exposure to guanfacine was higher in children (ages 6 to 12) compared to adolescents (ages 13 to 17) and adults. After oral administration of multiple doses of guanfacine 4 mg, the Cmax was 10 ng/mL compared to 7 ng/mL and the AUC was 162 ng·h/mL compared to 116 ng·h/mL in children (ages 6 to 12) and adolescents (ages 13 to 17), respectively. These differences are probably attributable to the lower body weight of children compared to adolescents and adults.



The pharmacokinetics were affected by intake of food when a single dose of guanfacine 4 mg was administered with a high-fat breakfast. The mean exposure increased (Cmax ~75% and AUC ~40%) compared to dosing in a fasted state.



Dose Proportionality

Following administration of guanfacine in single doses of 1 mg, 2 mg, 3 mg, and 4 mg to adults, Cmax and AUC0-∞ of guanfacine were proportional to dose.



Metabolism and Elimination

In vitro studies with human liver microsomes and recombinant CYP’s demonstrated that guanfacine was primarily metabolized by CYP3A4. In pooled human hepatic microsomes, guanfacine did not inhibit the activities of the major cytochrome P450 isoenzymes (CYP1A2, CYP2B6, CYP2C8, CYP2C9, CYP2C19, CYP2D6 or CYP3A4/5); guanfacine is also not an inducer of CYP3A, CYP1A2 and CYP2B6. Guanfacine is a substrate of CYP3A4/5 and exposure is affected by CYP3A4/5 inducers/inhibitors.



Guanfacine inhibits MATE1 and OCT1, but does not inhibit BSEP, MRP2, OATP1B1, OATP1B3, OAT1, OAT3, OCT2, or MATE2K. Guanfacine is a substrate of OCT1 and OCT2, but not BCRP, OATP1B1, OATP1B3, OAT1, OAT3, MATE1, or MATE2. Concomitant administration of guanfacine with OCT1 substrates might potentially increase the exposure of these OCT1 substrates.



Studies in Specific Populations



Renal Impairment

The impact of renal impairment on the pharmacokinetics of guanfacine in children was not assessed. In adult patients with impaired renal function, the cumulative urinary excretion of guanfacine and the renal clearance diminished as renal function decreased. In patients on hemodialysis, the dialysis clearance was about 15% of the total clearance. The low dialysis clearance suggests that the hepatic elimination (metabolism) increases as renal function decreases.



Hepatic Impairment

The impact of hepatic impairment on PK of guanfacine in children was not assessed. Guanfacine in adults is cleared both by the liver and the kidney, and approximately 50% of the clearance of guanfacine is hepatic [see Hepatic Impairment (8.7)].



Drug Interaction Studies

Guanfacine is primarily metabolized by CYP3A4 and its plasma concentrations can be affected significantly by CYP3A4 inhibitors or inducers (Figure 2).

 

Figure 2: Effect of Other Drugs on the Pharmacokinetics (PK) of Guanfacine



Guanfacine does not significantly affect exposures of methylphenidate and lisdexamfetamine when coadministered (Figure 3).

Figure 3: Effect of Guanfacine  on the Pharmacokinetics (PK) of Other Drugs

 

 

8.7 Hepatic Impairment

It may be necessary to reduce the dosage in patients with significant impairment of hepatic function [see Clinical Pharmacology (12.3)].

1 Indications and Usage (1 INDICATIONS AND USAGE)

Guanfacine extended-release tablets are indicated for the treatment of Attention Deficit Hyperactivity Disorder (ADHD) as monotherapy and as adjunctive therapy to stimulant medications [see Clinical Studies (14)].

12.1 Mechanism of Action

Guanfacine is a central alpha2A-adrenergic receptor agonist. Guanfacine is not a central nervous system (CNS) stimulant. The mechanism of action of guanfacine in ADHD is not known.

5.4 Rebound Hypertension

In post marketing experience, abrupt discontinuation of guanfacine has resulted in clinically significant and persistent rebound hypertension above baseline levels and increases in heart rate. Hypertensive encephalopathy has also been reported in association with rebound hypertension with both extended release guanfacine and immediate release guanfacine [see Adverse Reactions (6.2)]. In these cases, high-dosage guanfacine was discontinued; concomitant stimulant use was also reported, which may potentially increase hypertensive response upon abrupt discontinuation of guanfacine. Children commonly have gastrointestinal illnesses that lead to vomiting, and a resulting inability to take medications, so they may be especially at risk for rebound hypertension.



To minimize the risk of rebound hypertension upon discontinuation, the total daily dose of guanfacine should be tapered in decrements of no more than 1 mg every 3 to 7 days [see Dosage and Administration (2.5)]. Blood pressure and heart rate should be monitored when reducing the dose or discontinuing guanfacine. If abrupt discontinuation occurs (especially with concomitant stimulant use), patients should be closely followed for rebound hypertension.

9.1 Controlled Substance

Guanfacine is not a controlled substance and has no known potential for abuse or dependence.

2.4 Maintenance Treatment

Pharmacological treatment of ADHD may be needed for extended periods. Healthcare providers should periodically re-evaluate the long-term use of guanfacine extended-release tablets, and adjust weight-based dosage as needed. The majority of children and adolescents reach optimal doses in the 0.05-0.12 mg/kg/day range. Doses above 4 mg/day have not been evaluated in children (ages 6 to 12 years) and above 7 mg/day have not been evaluated in adolescents (ages 13 to 17 years) [see Clinical Studies (14)].

5 Warnings and Precautions (5 WARNINGS AND PRECAUTIONS)

 • Hypotension, bradycardia, syncope: Titrate slowly and monitor vital signs frequently in patients at risk for hypotension, heart block, bradycardia, syncope, cardiovascular disease, vascular disease, cerebrovascular disease or chronic renal failure. Measure heart rate and blood pressure prior to initiation of therapy, following dose increases, and periodically while on therapy. Avoid concomitant use of drugs with additive effects unless clinically indicated. Advise patients to avoid becoming dehydrated or overheated (5.1).

• Sedation and somnolence: Occur commonly with guanfacine. Consider the potential for additive sedative effects with CNS depressant drugs. Caution patients against operating heavy equipment or driving until they know how they respond to guanfacine (5.2).

• Cardiac Conduction Abnormalities: May worsen sinus node dysfunction and atrioventricular (AV) block, especially in patients taking other sympatholytic drugs. Titrate slowly and monitor vital signs frequently (5.3).

• Rebound Hypertension: Abrupt discontinuation of guanfacine can lead to clinically significant and persistent rebound hypertension. Subsequent hypertensive encephalopathy was also reported. To minimize the risk of rebound hypertension upon discontinuation, the total daily dose of guanfacine should be tapered in decrements of no more than 1 mg every 3 to 7 days (5.4).



2 Dosage and Administration (2 DOSAGE AND ADMINISTRATION)

• Recommended dose: 1 mg to 7 mg (0.05 to 0.12 mg/kg target weight based dose range) once daily in the morning or evening based on clinical response and tolerability (2.2).

• Begin at a dose of 1 mg once daily and adjust in increments of no more than 1 mg/week (2.2).

• Do not crush, chew or break tablets before swallowing (2.1).

• Do not administer with high-fat meals, because of increased exposure (2.1).

• Do not substitute for immediate-release guanfacine tablets on a mg-per-mg basis, because of differing pharmacokinetic profiles (2.3).

• If switching from immediate-release guanfacine, discontinue that treatment and titrate with guanfacine extended-release tablet as directed (2.3).

• When discontinuing, taper the dose in decrements of no more than 1 mg every 3 to 7 days to avoid rebound hypertension (2.5).



5.2 Sedation and Somnolence

Somnolence and sedation were commonly reported adverse reactions in clinical studies [see Adverse Reactions (6.1)]. Before using guanfacine with other centrally active depressants, consider the potential for additive sedative effects. Caution patients against operating heavy equipment or driving until they know how they respond to treatment with guanfacine. Advise patients to avoid use with alcohol.

3 Dosage Forms and Strengths (3 DOSAGE FORMS AND STRENGTHS)

1 mg, 2 mg, 3 mg and 4 mg extended-release tablets

6.2 Postmarketing Experience

The following adverse reactions have been identified during post-approval use of guanfacine. Because these reactions are reported voluntarily from a population of uncertain size, it is not always possible to reliably estimate their frequency or establish a causal relationship to drug exposure.



Less frequent, possibly guanfacine-related events observed in the post-marketing study and/or reported spontaneously, not included in section 6.1, include:



General: edema, malaise, tremor

Cardiovascular: palpitations, tachycardia, rebound hypertension, hypertensive encephalopathy

Central Nervous System: paresthesias, vertigo

Eye Disorders: blurred vision

Musculo-Skeletal System: arthralgia, leg cramps, leg pain, myalgia

Psychiatric: confusion, hallucinations

Reproductive System, Male: erectile dysfunction

Respiratory System: dyspnea

Skin and Appendages: alopecia, dermatitis, exfoliative dermatitis, pruritus, rash

Special Senses: alterations in taste

6.1 Clinical Trials Experience

Because clinical trials are conducted under widely varying conditions, adverse reaction rates observed in the clinical trials of a drug cannot be directly compared to rates in the clinical trials of another drug and may not reflect the rates observed in practice.



The data described below reflect clinical trial exposure to guanfacine in 2,825 patients. This includes 2,330 patients from completed studies in children and adolescents, ages 6 to 17 years and 495 patients in completed studies in adult healthy volunteers.



The mean duration of exposure of 446 patients that previously participated in two 2-year, open-label long-term studies was approximately 10 months.



Fixed Dose Trials



                                                                                     

 Table 3: Percentage of Patients Experiencing Most Common (≥5% and at least twice the rate for placebo) Adverse Reactions in Fixed Dose Studies 1 and 2

 
  

 
  

 
 Guanfacine (mg)

 
 Adverse Reaction Term

 
 Placebo

  

 (N=149)

 
 1 mg*

  

 (N=61)

 
 2 mg

  

 (N=150)

 
 3 mg

  

 (N=151)

 
 4 mg

  

 (N=151)

 
 All Doses of Guanfacine  

 (N=513)

 
 Somnolencea

 
 11%

 
 28%

 
 30%

 
 38%

 
 51%

 
 38%

 
 Fatigue

 
 3%

 
 10%

 
 13%

 
 17%

 
 15%

 
 14%

 
 Hypotensionb

 
 3%

 
 8%

 
 5%

 
 7%

 
 8%

 
 7%

 
 Dizziness

 
 4%

 
 5%

 
 3%

 
 7%

 
 10%

 
 6%

 
 Lethargy

 
 3%

 
 2%

 
 3%

 
 8%

 
 7%

 
 6%

 
 Nausea

 
 2%

 
 7%

 
 5%

 
 5%

 
 6%

 
 6%

 
 Dry mouth

 
 1%

 
 0%

 
 1%

 
 6%

 
 7%

 
 4%

 
 * The lowest dose of 1 mg used in Study 2 was not randomized to patients weighing more than 50 kg.

 a: The somnolence term includes somnolence, sedation, and hypersomnia.

 b: The hypotension term includes hypotension, diastolic hypotension, orthostatic hypotension, blood pressure decreased, blood pressure diastolic decreased, blood pressure systolic decreased).

 


                                                            

 

Table 4: Adverse Reactions Leading to Discontinuation (≥2% for all doses of Guanfacine and >rate than in placebo) in Fixed Dose Studies 1 and 2 
  

 
  

 
 Guanfacine (mg)

 
 Adverse Reaction Term

 
 Placebo

  

 (N=149)

 
 1 mg*

  

 (N=61)

 
 2 mg

  

 (N=150)

 
 3 mg

  

 (N=151)

 
 4 mg

  

 (N=151)

 
 All Doses of Guanfacine

 (N=513)

 
  

 
 n (%)

 
 n (%)

 
 n (%)

 
 n (%)

 
 n (%)

 
 n (%)

 
 Total patients

 
 4 (3%)

 
 2 (3%)

 
 10 (7%)

 
 15 (10%)

 
 27 (18%)

 
 54 (11%)

 
 Somnolencea

 
 1 (1%)

 
 2 (3%)

 
 5 (3%)

 
 6 (4%)

 
 17 (11%)

 
 30 (6%)

 
 Fatigue

 
 0 (0%)

 
 0 (0%)

 
 2 (1%)

 
 2 (1%)

 
 4 (3%)

 
 8 (2%)

 
 Adverse reactions leading to discontinuation in ≥2% in any dose group but did not meet this criteria in all doses combined: hypotension (hypotension, diastolic hypotension, orthostatic hypotension, blood pressure decreased, blood pressure diastolic decreased, blood pressure systolic decreased), headache, and dizziness.

 * The lowest dose of 1 mg used in Study 2 was not randomized to patients weighing more than 50 kg.

 a: The somnolence term includes somnolence, sedation, and hypersomnia.

 


                                                                                                

 Table 5: Other Common Adverse Reactions (≥2% for all doses of Guanfacine and >rate than in placebo) in Fixed Dose Studies 1 and 2

 
  

 
  

 
 Guanfacine (mg)

 
 Adverse Reaction Term

 
 Placebo

  

 (N=149)

 
 1 mg*

  

 (N=61)

 
 2 mg

  

 (N=150)

 
 3 mg

  

 (N=151)

 
 4 mg

  

 (N=151)

 
 All Doses of Guanfacine 

 (N=513)

 
 Headache

 
 19%

 
 26%

 
 25%

 
 16%

 
 28%

 
 23%

 
 Abdominal Paina 

 
 9%

  

 
 10%

  

 
 7%

  

 
 11%

  

 
 15%

  

 
 11%

  

 
 Decreased Appetite

 
 4%

  

 
 5%

  

 
 4%

  

 
 9%

  

 
 6%

  

 
 6%

  

 
 Irritability

 
 4%

 
 5%

 
 8%

 
 3%

 
 7%

 
 6%

 
 Constipation

 
 1%

 
 2%

 
 2%

 
 3%

 
 4%

 
 3%

 
 Nightmareb

 
 0%

 
 0%

 
 0%

 
 3%

 
 4%

 
 2%

 
 Enuresisc

 
 1%

 
 0%

 
 1%

 
 3%

 
 2%

 
 2%

 
 Affect Labilityd 

 
 1%

 
 2%

 
 1%

  

 
 3%

  

 
 1%

  

 
 2%

  

 
 Adverse reactions ≥2% for all doses of guanfacine and >rate in placebo in any dose group but did not meet this criteria in all doses combined: insomnia (insomnia, initial insomnia, middle insomnia, terminal insomnia, sleep disorder), vomiting, diarrhea, abdominal/stomach discomfort (abdominal discomfort, epigastric discomfort, stomach discomfort), rash (rash, rash generalized, rash papular), dyspepsia, increased weight, bradycardia (bradycardia, sinus bradycardia), asthma (asthma, bronchospasm, wheezing), agitation, anxiety (anxiety, nervousness), sinus arrhythmia, blood pressure increased (blood pressure increased, blood pressure diastolic increased), and first degree atrioventricular block.

 * The lowest dose of 1 mg used in Study 2 was not randomized to patients weighing more than 50 kg.

 a: The abdominal pain term includes abdominal pain, abdominal pain lower, abdominal pain upper, and abdominal tenderness.

 b: The nightmare term includes abnormal dreams, nightmare, and sleep terror.

 c: The enuresis term includes enuresis, nocturia, and urinary incontinence.

 d: The affect lability term includes affect lability and mood swings.

 


Monotherapy Flexible Dose Trials





                                                                                            

 Table 6: Percentage of Patients Experiencing Most Common (≥5% and at least twice the rate for placebo) Adverse Reactions in the Monotherapy Flexible Dose Study 4

 
  

 
  

 
 Guanfacine

 
 Adverse Reaction Term

  

 
 Placebo

  

 (N=112)

 
 AM

  

 (N=107)

 
 PM

  

 (N=114)

 
 All Doses of Guanfacine  

 (N=221)

 
 Somnolencea

 
 15%

 
 57%

 
 54%

 
 56%

 
 Abdominal Painb

 
 7%

 
 8%

 
 19%

 
 14%

 
 Fatigue

 
 3%

 
 10%

 
 11%

 
 11%

 
 Irritability

 
 3%

 
 7%

 
 7%

 
 7%

 
 Nausea

 
 1%

 
 6%

 
 5%

 
 5%

 
 Dizziness

 
 3%

 
 6%

 
 4%

 
 5%

 
 Vomiting

 
 2%

 
 7%

 
 4%

 
 5%

 
 Hypotensionc

 
 0%

 
 6%

 
 4%

 
 5%

 
 Decreased Appetite

 
 3%

 
 6%

 
 3%

 
 4%

 
 Enuresisd

 
 1%

 
 2%

 
 5%

 
 4%

 
 a: The somnolence term includes somnolence, sedation, and hypersomnia.

 b: The abdominal pain term includes abdominal pain, abdominal pain lower, abdominal pain upper, and abdominal tenderness

 c: The hypotension term includes hypotension, diastolic hypotension, orthostatic hypotension, blood pressure decreased, blood pressure diastolic decreased, blood pressure systolic decreased).

 d: The enuresis term includes enuresis, nocturia, and urinary incontinence.

 

  





 Table 7: Adverse Reactions Leading to Discontinuation (≥2% for all doses of Guanfacine and >rate than in placebo) in Monotherapy Flexible Dose Study 4

 
  

 
  

 
 Guanfacine

 
 Adverse Reaction Term

 
 Placebo

  

 (N=112)

 
 AM

  

 (N=107)

 
 PM

  

 (N=114)

 
 All Doses of Guanfacine 

 (N=221)

 
  

 
 n (%)

 
 n (%)

 
 n (%)

 
 n (%)

 
 Total patients

 
 0 (0%)

 
 8 (7%)

 
 7 (6%)

 
 15 (7%)

 
 Somnolencea

 
 0 (0%)

 
 4 (4%)

 
 3 (3%)

 
 7 (3%)

 
 Adverse reactions leading to discontinuation in ≥2% in any dose group but did not meet this criteria in all doses combined: fatigue

 a: The somnolence term includes somnolence, sedation, and hypersomnia.

 
 Table 8: Other Common Adverse Reactions (≥2% for all doses of Guanfacine and >rate than in placebo) in the Monotherapy Flexible Dose Study 4

 
  

 
  

 
 Guanfacine

 
 Adverse Reaction Term

 
 Placebo

  

 (N=112)

 
 AM

  

 (N=107)

 
 PM

  

 (N=114)

 
 All Doses of Guanfacine 

 (N=221)

 
 Headache

 
 11%

 
 18%

 
 16%

 
 17%

 
 Insomniaa 

 
 6%

 
 8%

 
 6%

 
 7%

 
 Diarrheaa 

 
 4%

 
 4%

 
 6%

 
 5%

 
 Lethargy

 
 0%

 
 4%

 
 3%

 
 3%

 
 Constipation

 
 2%

 
 2%

 
 4%

 
 3%

 
 Dry Mouth

 
 1%

 
 3%

 
 3%

 
 3%

 
 Adverse reactions ≥2% for all doses of guanfacine and >rate in placebo in any dose group but did not meet this criteria in all doses combined: affect lability (affect lability, mood swings), increased weight, syncope/loss of consciousness (loss of consciousness, presyncope, syncope), dyspepsia, tachycardia (tachycardia, sinus tachycardia), and bradycardia (bradycardia, sinus bradycardia).

 a: The insomnia term includes insomnia, initial insomnia, middle insomnia, terminal insomnia, and sleep disorder.

 
 Table 9: Percentage of Patients Experiencing Most Common (≥ 5% and at least twice the rate for placebo) Adverse Reactions in the Monotherapy Flexible Dose Study 5

 
 Adverse Reaction Term

  

 
 Placebo

 (N=155)

 
 All Doses of Guanfacine 

 (N=157)

 
 Somnolencea

 
 23%

 
 54%

 
 Insomniab 

 
 6%

 
 13%

 
 Hypotensionc 

 
 3%

 
 9%

 
 Dry Mouth

 
 0%

 
 8%

 
 Postural Dizziness

 
 2%

 
 5%

 
 Bradycardiad 

 
 0%

 
 5%

 
 a: The somnolence term includes somnolence, sedation, and hypersomnia.

 b: The insomnia term includes insomnia, initial insomnia, middle insomnia, terminal insomnia, and sleep disorder.

 c: The hypotension term includes hypotension, diastolic hypotension, orthostatic hypotension, blood pressure decreased, blood pressure diastolic decreased, blood pressure systolic decreased).

 d: The bradycardia term includes bradycardia and sinus bradycardia.

 


There were no specific adverse reactions ≥2% in any treatment group that led to discontinuation in the monotherapy flexible dose study (Study 5).



                                                                                

 Table 10: Other Common Adverse Reactions (≥2% for all doses of Guanfacine and >rate than in placebo) in the Monotherapy Flexible Dose Study 5

 
  

 
  

 
 Guanfacine

 
 Adverse Reaction Term

 
 Placebo

 (N=155)

 
 All Doses of Guanfacine

 (N=157)

 
 Headache

 
 18%

 
 27%

 
 Fatigue

 
 12%

 
 22%

 
 Dizziness

 
 10%

 
 16%

 
 Decreased Appetite

 
 14%

 
 15%

 
 Abdominal Paina

 
 8%

 
 12%

 
 Irritability

 
 4%

 
 7%

 
 Anxietyb

 
 3%

 
 5%

 
 Rashc

 
 1%

 
 3%

 
 Constipation

 
 0%

 
 3%

 
 Increased Weight

 
 2%

 
 3%

 
 Abdominal/Stomach Discomfortd

 
 1%

 
 2%

 
 Pruritus

 
 1%

 
 2%

 
 Adverse reactions ≥2% for all doses of guanfacine and >rate in placebo in any dose group but did not meet this criteria in all doses combined: nausea, diarrhea, vomiting, and depression (depressed mood, depression, depressive symptom).

 a: The abdominal pain term includes abdominal pain, abdominal pain lower, abdominal pain upper, and abdominal tenderness.

 b: The anxiety term includes anxiety and nervousness.

 c: The rash term includes rash, rash generalized, and rash papular.

 d: The abdominal/stomach discomfort term includes abdominal discomfort, epigastric discomfort, and stomach discomfort.

 


Adjunctive Trial



                                                                     

 Table 11: Percentage of Patients Experiencing Most Common (≥5% and at least twice the rate for placebo) Adverse Reactions in the Short-Term Adjunctive Study 3

 
  

 
  

 
 Guanfacine + stimulant

 
 Adverse Reaction Term

 
 Placebo + stimulant

 (N=153)

 
 AM

  

 (N=150)

 
 PM

  

 (N=152)

 
 All Doses

  

 (N=302)

 
 Somnolencea

 
 7%

 
 18%

 
 18%

 
 18%

 
 Insomniab

 
 6%

 
 10%

 
 14%

 
 12%

 
 Abdominal Painc

 
 3%

 
 8%

 
 12%

 
 10%

 
 Fatigue

 
 3%

 
 12%

 
 7%

 
 10%

 
 Dizziness

 
 4%

 
 10%

 
 5%

 
 8%

 
 Decreased Appetite

 
 4%

 
 7%

 
 8%

 
 7%

 
 Nausea

 
 3%

 
 3%

 
 7%

 
 5%

 
 a: The somnolence term includes somnolence, sedation, and hypersomnia.

 b: The insomnia term includes insomnia, initial insomnia, middle insomnia, terminal insomnia, and sleep disorder.

 c: The abdominal pain term includes abdominal pain, abdominal pain lower, abdominal pain upper, and abdominal tenderness.

 


There were no specific adverse reactions ≥2% in any treatment group that led to discontinuation in the short-term adjunctive study (Study 3).



                                                                                                   

 Table 12: Other Common Adverse Reactions (≥2% for all doses of Guanfacine and >rate than in placebo) in the Short-Term Adjunctive Study 3

 
  

 
  

 
 Guanfacine + stimulant

 
 Adverse Reaction Term

 
 Placebo

 (N=153)

 
 AM

 (N=150)

 
 PM

 (N=152)

 
 All Doses of Guanfacine 

 (N=302)

 
 Headache

 
 13%

 
 21%

 
 21%

 
 21%

 
 Diarrhea

 
 1%

 
 4%

 
 3%

 
 4%

 
 Hypotensiona 

 
 0%

 
 4%

 
 2%

 
 3%

 
 Constipation

 
 0%

 
 2%

 
 3%

 
 2%

 
 Affect Labilityb

 
 1%

 
 3%

 
 2%

 
 2%

 
 Dry Mouth

 
 0%

 
 1%

 
 3%

 
 2%

 
 Bradycardiac 

 
 0%

 
 1%

 
 3%

 
 2%

 
 Postural Dizziness

 
 0%

 
 1%

 
 3%

 
 2%

 
 Rashd

 
 1%

 
 1%

 
 2%

 
 2%

 
 Nightmaree 

 
 1%

 
 2%

 
 1%

 
 2%

 
 Tachycardiaf 

 
 1%

 
 2%

 
 1%

 
 2%

 
 Adverse reactions ≥2% for all doses of guanfacine and >rate in placebo in any dose group but did not meet this criteria in all doses combined: irritability, vomiting, asthma (asthma, bronchospasm, wheezing), and enuresis (enuresis, nocturia, urinary incontinence).

 a: The hypotension term includes hypotension, diastolic hypotension, orthostatic hypotension, blood pressure decreased, blood pressure diastolic decreased, blood pressure systolic decreased.

 b: The affect lability term includes affect lability and mood swings.

 c: The bradycardia term includes bradycardia and sinus bradycardia.

 d: The rash term includes rash, rash generalized, and rash papular.

 e: The nightmare term includes abnormal dreams, nightmare, and sleep terror.

 f: The tachycardia term includes tachycardia and sinus tachycardia.

 


Effects on Blood Pressure and Heart Rate

In the monotherapy pediatric, short-term, controlled trials (Studies 1 and 2), the maximum mean changes from baseline in seated systolic blood pressure, diastolic blood pressure, and pulse were −5.4 mmHg, −3.4 mmHg, and −5.5 bpm, respectively, for all doses combined (generally one week after reaching target doses). For the respective fixed doses 1 mg/day, 2 mg/day, 3 mg/day or 4 mg/day the maximum mean changes in seated systolic blood pressure were -4.3 mmHg, -5.5 mmHg, -5.4 mmHg and -8.2 mmHg. For these respective fixed doses the maximum mean changes in seated diastolic blood pressure were -3.4 mmHg, -3.3 mmHg, -4.4 mmHg and -5.4 mmHg. For these respective fixed doses the maximum mean changes in seated pulse were -4.8 bpm, -3.1 bpm, -6.5 bpm and -8.6 bpm. Decreases in blood pressure and heart rate were usually modest and asymptomatic; however, hypotension and bradycardia can occur. Hypotension was reported as an adverse reaction for 7% of the guanfacine group and 3% of the placebo group. This includes orthostatic hypotension, which was reported for 1% of the guanfacine group and none in the placebo group. These findings were generally similar in the monotherapy flexible dose trials (Studies 4 and 5). In the adjunctive trial, hypotension (3%) and bradycardia (2%) were observed in patients treated with guanfacine as compared to none in the placebo group. In long-term, open-label studies, (mean exposure of approximately 10 months), maximum decreases in systolic and diastolic blood pressure occurred in the first month of therapy. Decreases were less pronounced over time. Syncope occurred in 1% of pediatric patients in the clinical program. The majority of these cases occurred in the long-term, open-label studies.



Discontinuation of Treatment

Blood pressure and pulse may increase above baseline values following discontinuation of guanfacine. In five studies of children and adolescents [see Clinical Studies (14)], increases in mean systolic and diastolic blood pressure averaging approximately 3 mmHg and increases in heart rate averaging 5 beats per minute above original baseline were observed upon discontinuation with tapering of guanfacine +. In a maintenance of efficacy study, increases in blood pressure and heart rate above baseline slowly diminished over the follow up period, which ranged between 3 and 26 weeks post final dose; the estimated average time to return to baseline was between six and twelve months. In this study, the increases in blood pressure and pulse were not considered serious or associated with adverse events. However, individuals may have larger increases than reflected by the mean changes.



In postmarketing experience, following abrupt discontinuation of guanfacine, rebound hypertension and hypertensive encephalopathy have been reported [see Warnings and Precautions (5.4) and Adverse Reactions (6.2)].



Effects on Height, Weight, and Body Mass Index (BMI)

Patients taking guanfacine demonstrated similar growth compared to normative data. Patients taking guanfacine had a mean increase in weight of 0.5 kg compared to those receiving placebo over a comparable treatment period. Patients receiving guanfacine for at least 12 months in open-label studies gained an average of 8 kg in weight and 8 cm (3 in) in height. The height, weight, and BMI percentile remained stable in patients at 12 months in the long-term studies compared to when they began receiving guanfacine.



Other Adverse Reactions Observed in Clinical Studies

Table 13 includes additional adverse reactions observed in short-term, placebo-controlled and long-term, open-label clinical studies not included elsewhere in section 6.1, listed by organ system.



                                       

 Table 13: Other adverse reactions observed in clinical studies

 
 Body System

 
 Adverse Reaction

 
 Cardiac

 
 Atrioventricular block

 
 General

 
 Asthenia, chest pain

 
 Immune System Disorders

 
 Hypersensitivity

 
 Investigations

 
 Increased alanine amino transferase

 
 Nervous system

 
 Convulsion

 
 Renal

 
 Increased urinary frequency

 
 Vascular

 
 Hypertension, pallor

 


2.1 General Instruction for Use

Swallow tablets whole. Do not crush, chew, or break tablets because this will increase the rate of guanfacine release. Do not administer with high fat meals, due to increased exposure.

2.5 Discontinuation of Treatment

Following discontinuation of guanfacine extended-release tablets, patients may experience increases in blood pressure and heart rate [see Warnings and Precautions (5.4) and Adverse Reactions (6)]. Patients/caregivers should be instructed not to discontinue guanfacine extended-release tablets without consulting their health care provider. Monitor blood pressure and pulse when reducing the dose or discontinuing the drug. Taper the daily dose in decrements of no more than 1 mg every 3 to 7 days to minimize the risk of rebound hypertension.

17 Patient Counseling Information (17 PATIENT COUNSELING INFORMATION)

Advise the patient to read the FDA-approved patient labeling (Patient Information).



Dosing and Administration

Instruct patients to swallow guanfacine extended-release tablets whole with water, milk or other liquid. Tablets should not be crushed, chewed or broken prior to administration because this may increase the rate of release of the active drug. Patients should not take guanfacine extended-release tablets together with a high-fat meal, since this can raise blood levels of guanfacine extended-release tablets. Instruct the parent or caregiver to supervise the child or adolescent taking guanfacine extended-release tablets and to keep the bottle of tablets out of reach of children.



Advise patients not to abruptly discontinue guanfacine extended-release tablets as abrupt discontinuation can result in clinically significant rebound hypertension. Concomitant stimulant use and abrupt discontinuation of guanfacine extended-release tablets may increase this hypertensive response. Instruct patients on how to properly taper the dose to minimize the risk of rebound hypertension [see Dosage and Administration (2.5) and Warnings and Precautions (5.4)].



Adverse Reactions

Advise patients that sedation can occur, particularly early in treatment or with dose increases. Caution against operating heavy equipment or driving until they know how they respond to treatment with guanfacine extended-release tablets [see Warnings and Precautions (5.2)]. Headache and abdominal pain can also occur. If any of these symptoms persist, or other symptoms occur, the patient should be advised to discuss the symptoms with the health care provider.



Advise patients to avoid becoming dehydrated or overheated, which may potentially increase the risks of hypotension and syncope [see Warnings and Precautions (5.1)]. Advise patients to avoid use with alcohol.



Pregnancy Registry

Advise patients that there is a pregnancy exposure registry that monitors pregnancy outcomes in patients exposed to guanfacine extended-release tablets during pregnancy [see Use in Specific Populations (8.1)].



Lactation

Advise breastfeeding mothers to monitor infants exposed to guanfacine through breastmilk for sedation, lethargy and poor feeding [see Use in Specific Populations (8.2)].

16 How Supplied/storage and Handling (16 HOW SUPPLIED/STORAGE AND HANDLING)

  

Guanfacine extended-release tablets, USP are supplied in 1 mg, 2 mg, 3 mg, and 4 mg strength as follows:

Guanfacine extended-release tablets USP, 1 mg are white to off white colored, round shaped tablets, debossed with ‘L657’ on one side and plain on other side.

Bottles of 100 tablets with child-resistant closure, NDC 46708-745-31

Bottles of 1000 tablets, NDC 46708-745-91



Guanfacine extended-release tablets USP, 2 mg are white to off white colored, caplet shaped tablets, debossed with ‘L658’ on one side and plain on other side.

Bottles of 100 tablets with child-resistant closure, NDC 46708-746-31

Bottles of 1000 tablets, NDC 46708-746-91



Guanfacine extended-release tablets USP, 3 mg are light green to green colored, round shaped tablets, debossed with ‘L659’ on one side and plain on other side.

Bottles of 100 tablets with child-resistant closure, NDC 46708-747-31

Bottles of 1000 tablets, NDC 46708-747-91



Guanfacine extended-release tablets USP, 4 mg are light green to green colored, caplet shaped tablets, debossed with ‘L660’ on one side and plain on other side.

Bottles of 100 tablets with child-resistant closure, NDC 46708-748-31

Bottles of 1000 tablets, NDC 46708-748-91



Storage - Store at 20°C to 25°C (68°F to 77°F); excursions permitted to 15° to 30°C (59° to 86°F) [See USP Controlled Room Temperature].

   

5.3 Cardiac Conduction Abnormalities

The sympatholytic action of guanfacine may worsen sinus node dysfunction and atrioventricular (AV) block, especially in patients taking other sympatholytic drugs. Titrate guanfacine slowly and monitor vital signs frequently in patients with cardiac conduction abnormalities or patients concomitantly treated with other sympatholytic drugs.

5.1 Hypotension, Bradycardia, and Syncope

Treatment with guanfacine can cause dose-dependent decreases in blood pressure and heart rate. Decreases were less pronounced over time of treatment. Orthostatic hypotension and syncope have been reported [see Adverse Reactions (6.1)].

Measure heart rate and blood pressure prior to initiation of therapy, following dose increases, and periodically while on therapy. Titrate guanfacine slowly in patients with a history of hypotension, and those with underlying conditions that may be worsened by hypotension and bradycardia; e.g., heart block, bradycardia, cardiovascular disease, vascular disease, cerebrovascular disease, or chronic renal failure. In patients who have a history of syncope or may have a condition that predisposes them to syncope, such as hypotension, orthostatic hypotension, bradycardia, or dehydration, advise patients to avoid becoming dehydrated or overheated. Monitor blood pressure and heart rate, and adjust dosages accordingly in patients treated concomitantly with antihypertensives or other drugs that can reduce blood pressure or heart rate or increase the risk of syncope.

Package Label.principal Display Panel 1 Mg (PACKAGE LABEL.PRINCIPAL DISPLAY PANEL 1 mg)

NDC 46708-745-31

Guanfacine

Extended-Release

Tablets, USP

1 mg

Tablets should not be crushed,

chewed or broken before swallowing.

Rx only

100 Tablets

Alembic



 

 

 

Package Label.principal Display Panel 2 Mg (PACKAGE LABEL.PRINCIPAL DISPLAY PANEL 2 mg)

NDC 46708-746-31

Guanfacine

Extended-Release

Tablets, USP

2 mg

Tablets should not be crushed,

chewed or broken before swallowing.

Rx only

100 Tablets

Alembic

  

 

Package Label.principal Display Panel 3 Mg (PACKAGE LABEL.PRINCIPAL DISPLAY PANEL 3 mg)

NDC 46708-747-31

Guanfacine

Extended-Release

Tablets, USP

3 mg

Tablets should not be crushed,

chewed or broken before swallowing.

Rx only

100 Tablets

Alembic

Package Label.principal Display Panel 4 Mg (PACKAGE LABEL.PRINCIPAL DISPLAY PANEL 4 mg)

NDC 46708-748-31

Guanfacine

Extended-Release

Tablets, USP

4 mg

Tablets should not be crushed,

chewed or broken before swallowing.

Rx only

100 Tablets

Alembic





13.1 Carcinogenesis, Mutagenesis, Impairment of Fertility

Carcinogenesis

No carcinogenic effect of guanfacine was observed in studies of 78 weeks in mice or 102 weeks in rats at doses up to 6.8 times the maximum recommended human dose of 0.12 mg/kg/day on a mg/m2 basis.

 

Mutagenesis

Guanfacine was not genotoxic in a variety of test models, including the Ames test and an in vitro chromosomal aberration test; however, a marginal increase in numerical aberrations (polyploidy) was observed in the latter study.



Impairment of Fertility

No adverse effects were observed in fertility studies in male and female rats at doses up to 22 times the maximum recommended human dose on a mg/m2 basis.

2.3 Switching From Immediate Release Guanfacine to Guanfacine Extended Release Tablets (2.3 Switching from Immediate-Release Guanfacine to Guanfacine Extended-Release Tablets)

If switching from immediate-release guanfacine, discontinue that treatment, and titrate with guanfacine extended-release tablets following above recommended schedule.



Do not substitute for immediate-release guanfacine tablets on a milligram-per-milligram basis, because of differing pharmacokinetic profiles. Guanfacine extended-release tablet has significantly reduced Cmax (60% lower), bioavailability (43% lower), and a delayed Tmax (3 hours later) compared to those of the same dose of immediate-release guanfacine [see Clinical Pharmacology (12.3)].

2.7 Dosage Adjustment With Concomitant Use of Strong and Moderate Cyp3a4 Inhibitors Or Inducers (2.7 Dosage Adjustment with Concomitant Use of Strong and Moderate CYP3A4 Inhibitors or Inducers)

Dosage adjustments for guanfacine extended-release tablets are recommended with concomitant use of strong and moderate CYP3A4 inhibitors (e.g., ketoconazole), or CYP3A4 inducers (e.g., carbamazepine) (Table 2) [see Drug Interactions (7)].

Table 2: Guanfacine Extended-Release Tablets   Dosage Adjustments for Patients Taking Concomitant CYP3A4 Inhibitors or Inducers

 

                          

   

 
 Clinical Scenarios

 
  

 
 Starting guanfacine extended-release tablets while currently on aCYP3A4 modulator

 
 Continuing guanfacine extended-release tablets while adding a CYP3A4 modulator

 
 Continuing guanfacine extended-release tablets while stopping a CYP3A4 modulator

 
 CYP3A4 Strong and moderate Inhibitors

 
 Decrease guanfacine extended-release tablets dosage to half the recommended level. (see Table 1)

 
 Decrease guanfacine extended-release tablets dosage to half the recommended level. (see Table 1)

 
 Increase guanfacine extended-release tablets dosage to recommended level. (see Table 1)

 
 CYP3A4 Strong and moderate Inducers

 
 Consider increasing guanfacine extended-release tablets dosage up to double the recommended level. (see Table 1)

 
 Consider increasing guanfacine extended-release tablets dosage up to double the recommended level over 1 to 2 weeks. (see Table 1)

 
 Decrease guanfacine extended-release tablets dosage to recommended level over 1 to 2 weeks. (see Table 1)

 



Advanced Ingredient Data


Raw Label Data

All Sections (JSON)