Butorphanol Tartrate Injection, Usp Civ

Butorphanol Tartrate Injection, Usp Civ
SPL v28
SPL
SPL Set ID 9822ca3f-aee2-46e5-8a96-495400e65d10
Routes
INTRAMUSCULAR INTRAVENOUS
Published
Effective Date 2023-02-02
Document Type 34391-3 HUMAN PRESCRIPTION DRUG LABEL

Drug Facts

Composition & Product

Active Ingredients
Butorphanol (2 mg)
Inactive Ingredients
Trisodium Citrate Dihydrate Citric Acid Monohydrate Sodium Chloride Water

Identifiers & Packaging

Marketing Status
ANDA Active Since 2005-09-23

Description

Addiction, Abuse, and Misuse Because the use of Butorphanol Tartrate Injection exposes patients and other users to the risks of opioid addiction, abuse, and misuse, which can lead to overdose and death, assess each patient’s risk prior to prescribing and reassess all patients regularly for the development of these behaviors and conditions [see WARNINGS ] . Life-Threatening Respiratory Depression Serious, life-threatening, or fatal respiratory depression may occur with use of Butorphanol Tartrate Injection, especially during initiation or following a dosage increase. To reduce the risk of respiratory depression, proper dosing and titration ‎of Butorphanol Tartrate Injection are essential [see WARNINGS ] . Risks From Concomitant Use With Benzodiazepines Or Other CNS Depressants Concomitant use of opioids with benzodiazepines or other central nervous system (CNS) depressants, including alcohol, may result in profound sedation, respiratory depression, coma, and death. Reserve concomitant prescribing of Butorphanol Tartrate Injection and benzodiazepines or other CNS depressants for use in patients for whom alternative treatment options are inadequate [see WARNINGS , PRECAUTIONS ; Drug Interactions ] . Neonatal Opioid Withdrawal Syndrome (NOWS) Advise pregnant women using opioids for an extended period of time of the risk of Neonatal Opioid Withdrawal Syndrome, which may be life-threatening if not recognized and treated. Ensure that management by neonatology experts‎ will be available at delivery [see WARNINGS ] .

Indications and Usage

Butorphanol Tartrate Injection is indicated - as a preoperative or pre-anesthetic medication - as a supplement to balanced anesthesia - for the relief of pain during labor, and - for the management of pain severe enough to require an opioid analgesic and for which alternative treatments are inadequate.

Dosage and Administration

Butorphanol Tartrate Injection should be prescribed only by healthcare professionals who are ‎knowledgeable about the use of opioids and how to mitigate the ‎associated risks.‎ Use the lowest effective dosage for the shortest duration of time consistent with individual patient treatment goals [see WARNINGS ]. Because the risk of overdose increases as opioid doses increase, reserve ‎titration to higher doses of Butorphanol Tartrate Injection for patients in whom lower ‎doses are insufficiently effective and in whom the expected benefits of ‎using a higher dose opioid clearly outweigh the substantial risks.‎ There is variability in the opioid analgesic dose and duration needed to ‎adequately manage pain due both to the cause of pain and to individual ‎patient factors. Initiate the dosing regimen for each patient individually, ‎taking into account the patient’s underlying cause and severity of pain, ‎prior analgesic treatment and response, and risk factors for addiction, ‎abuse, and misuse [see WARNINGS ]. Respiratory depression can occur at any time during opioid therapy, ‎especially when initiating and following dosage increases with Butorphanol Tartrate Injection. Consider this risk when selecting an initial dose and when ‎making dose adjustments [see WARNINGS ]‎.

Contraindications

Butorphanol Tartrate Injection is contraindicated in: • Patients with significant respiratory depression [see WARNINGS ] • Patients with acute of severe bronchial asthma in an unmonitored setting or in the absence of resuscitative equipment [see WARNINGS ] • Patients with known or suspected gastrointestinal obstruction, including paralytic ileus [see WARNINGS ] • Patients with hypersensitivity to butorphanol tartrate or any of the formulation excipients (e.g., anaphylaxis) [see WARNINGS ]

Adverse Reactions

Use of opioid analgesics for an extended period of time during pregnancy for medical or nonmedical purposes can result in physical dependence in the neonate and neonatal opioid withdrawal syndrome shortly after birth. Neonatal opioid withdrawal syndrome presents as irritability, hyperactivity and abnormal sleep pattern, high pitched cry, tremor, vomiting, diarrhea and failure to gain weight. The onset, duration, and severity of neonatal opioid withdrawal syndrome vary based on the specific opioid used, duration of use, timing and amount of last maternal use, and rate of elimination of the drug by the newborn. Observe newborns for symptoms of neonatal opioid withdrawal syndrome and manage accordingly [see WARNINGS ].

How Supplied

Butorphanol Tartrate Injection, USP is supplied as single-dose glass fliptop vials, and available as follows: Unit of Sale Concentration (Total Butorphanol Concentration Per Container) NDC 0409-1623-01 Carton of 10 – 1 mL Single-Dose Glass Fliptop Vials 1 mg/mL NDC 0409-1626-01 Carton of 10 – 1 mL Single-Dose Glass Fliptop Vials 2 mg/mL NDC 0409-1626-02 Carton of 10 – 2 mL Single-Dose Glass Fliptop Vials 4 mg/2 mL (2 mg/mL)


Medication Information

Indications and Usage

Butorphanol Tartrate Injection is indicated

  • -
    as a preoperative or pre-anesthetic medication
  • -
    as a supplement to balanced anesthesia
  • -
    for the relief of pain during labor, and
  • -
    for the management of pain severe enough to require an opioid analgesic and for which alternative treatments are inadequate.
Dosage and Administration

Butorphanol Tartrate Injection should be prescribed only by healthcare professionals who are ‎knowledgeable about the use of opioids and how to mitigate the ‎associated risks.‎ Use the lowest effective dosage for the shortest duration of time consistent with individual patient treatment goals [see WARNINGS ]. Because the risk of overdose increases as opioid doses increase, reserve ‎titration to higher doses of Butorphanol Tartrate Injection for patients in whom lower ‎doses are insufficiently effective and in whom the expected benefits of ‎using a higher dose opioid clearly outweigh the substantial risks.‎ There is variability in the opioid analgesic dose and duration needed to ‎adequately manage pain due both to the cause of pain and to individual ‎patient factors. Initiate the dosing regimen for each patient individually, ‎taking into account the patient’s underlying cause and severity of pain, ‎prior analgesic treatment and response, and risk factors for addiction, ‎abuse, and misuse [see WARNINGS ]. Respiratory depression can occur at any time during opioid therapy, ‎especially when initiating and following dosage increases with Butorphanol Tartrate Injection. Consider this risk when selecting an initial dose and when ‎making dose adjustments [see WARNINGS ]‎.

Contraindications

Butorphanol Tartrate Injection is contraindicated in:

  • Patients with significant respiratory depression [see WARNINGS ]
  • Patients with acute of severe bronchial asthma in an unmonitored setting or in the absence of resuscitative equipment [see WARNINGS ]
  • Patients with known or suspected gastrointestinal obstruction, including paralytic ileus [see WARNINGS ]
  • Patients with hypersensitivity to butorphanol tartrate or any of the formulation excipients (e.g., anaphylaxis) [see WARNINGS ]
Adverse Reactions

Use of opioid analgesics for an extended period of time during pregnancy for medical or nonmedical purposes can result in physical dependence in the neonate and neonatal opioid withdrawal syndrome shortly after birth. Neonatal opioid withdrawal syndrome presents as irritability, hyperactivity and abnormal sleep pattern, high pitched cry, tremor, vomiting, diarrhea and failure to gain weight. The onset, duration, and severity of neonatal opioid withdrawal syndrome vary based on the specific opioid used, duration of use, timing and amount of last maternal use, and rate of elimination of the drug by the newborn. Observe newborns for symptoms of neonatal opioid withdrawal syndrome and manage accordingly [see WARNINGS ].

How Supplied

Butorphanol Tartrate Injection, USP is supplied as single-dose glass fliptop vials, and available as follows:

Unit of Sale Concentration

(Total Butorphanol Concentration Per Container)

NDC 0409-1623-01

Carton of 10 – 1 mL Single-Dose Glass Fliptop Vials

1 mg/mL

NDC 0409-1626-01

Carton of 10 – 1 mL Single-Dose Glass Fliptop Vials

2 mg/mL

NDC 0409-1626-02

Carton of 10 – 2 mL Single-Dose Glass Fliptop Vials

4 mg/2 mL

(2 mg/mL)

Description

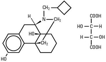
Butorphanol tartrate is a synthetically derived opioid agonist-antagonist analgesic of the phenanthrene series. The chemical name is (-)-17-(cyclobutylmethyl) morphinan-3, 14-diol D-(-)- tartrate (1:1) (salt). The molecular formula is C21H29NO2 ∙ C4H6O6, which corresponds to a molecular weight of 477.56 and the following structural formula:

Butorphanol tartrate is a white crystalline substance. The dose is expressed as the tartrate salt. One milligram of the salt is equivalent to 0.68 mg of the free base. The n-octanol/aqueous buffer partition coefficient of butorphanol is 180:1 at pH 7.5.

Butorphanol Tartrate Injection is a sterile, nonpyrogenic parenteral aqueous solution of butorphanol tartrate for intravenous or intramuscular administration.

Each milliliter (mL) contains butorphanol tartrate 1 or 2 mg; sodium citrate, dihydrate, 6.4 mg; citric acid hydrous 3.3 mg; sodium chloride 6.4 mg. The pH is 4.5 (3.0 to 5.5).

Abuse

Butorphanol Tartrate Injection contains butorphanol, a substance with high potential ‎for misuse and abuse, which can lead to the development of substance use ‎disorder, including addiction [see WARNINGS ].

Misuse is the intentional use, for therapeutic purposes, of a drug by an ‎individual in a way other than prescribed by a healthcare provider or for ‎whom it was not prescribed.‎

Abuse is the intentional non-therapeutic use of a drug, even once, for its desirable psychological or physiological effects.

Drug addiction is a cluster of behavioral, cognitive, and physiological phenomena that may include a strong desire to take the drug, difficulties in controlling drug use (e.g., continuing drug use despite harmful ‎consequences, giving a higher priority to drug use than other activities ‎and obligations), and possible tolerance or physical dependence.‎

Misuse and abuse of Butorphanol Tartrate Injection increases risk of overdose, which ‎may lead to central nervous system and respiratory depression, ‎hypotension, seizures, and death. The risk is increased with concurrent ‎abuse of Butorphanol Tartrate Injection with alcohol and other CNS ‎depressants. Abuse of and addiction to opioids in some individuals may ‎not be accompanied by concurrent tolerance and symptoms of physical ‎dependence. In addition, abuse of opioids can occur in the absence of ‎addiction.‎

All patients treated with opioids require careful and frequent reevaluation ‎for signs of misuse, abuse, and addiction, because use of opioid analgesic ‎products carries the risk of addiction even under appropriate medical use. ‎Patients at high risk of Butorphanol Tartrate Injection abuse include those with a history ‎of prolonged use of any opioid, including products containing butorphanol, those with a ‎history of drug or alcohol abuse, or those who use Butorphanol Tartrate Injection in ‎combination with other abused drugs.‎

“Drug-seeking” behavior is very common in persons with substance use disorders. Drug-seeking tactics include emergency calls or visits near the end of office hours, refusal to undergo appropriate examination, testing, or referral, repeated “loss” of prescriptions, tampering with prescriptions, and reluctance to provide prior medical records or contact information for other treating healthcare provider(s). “Doctor shopping” (visiting multiple prescribers to obtain additional prescriptions) is common among people who abuse drugs and people with substance use disorder. Preoccupation with achieving adequate pain relief can be appropriate behavior in a patient with inadequate pain control.

Butorphanol Tartrate Injection, like other opioids, can be diverted for nonmedical use into illicit channels of distribution. Careful record-keeping of prescribing information, including quantity, frequency, and renewal requests, as required by state and federal law, is strongly advised.

Proper assessment of the patient, proper prescribing practices, periodic reevaluation of therapy, and proper dispensing and storage are appropriate measures that help to limit abuse of opioid drugs.

Labor

[see PRECAUTIONS ]

The analgesic efficacy of intravenous Butorphanol Tartrate Injection was studied in pain during labor. In a total of 145 patients butorphanol (1 mg and 2 mg) was as effective as 40 mg and 80 mg of meperidine (144 patients) in the relief of pain in labor with no effect on the duration or progress of labor. Both drugs readily crossed the placenta and entered fetal circulation. The condition of the infants in these studies, determined by Apgar scores at 1 and 5 minutes (8 or above) and time to sustained respiration, showed that butorphanol had the same effects on the infants as meperidine.

In these studies neurobehavioral testing in infants exposed to butorphanol injection at a mean of 18.6 hours after delivery, showed no significant differences between treatment groups.

Section 42229-5

Distributed by Hospira Inc., Lake Forest, IL 60045 USA

For Medical Information about Butorphanol Tartrate Injection, please visit ‎www.pfizermedinfo.com or call 1-800-438-1985.‎

LAB-0831-8.0

Revised: 12/2025

Section 44425-7

Store at 20°C to 25°C (68°F to 77°F). [See USP Controlled Room Temperature.]

Protect from light.

General

Hypotension associated with syncope during the first hour of dosing with Butorphanol Tartrate Injection has been reported rarely, particularly in patients with past history of similar reactions to opioid analgesics. Therefore, patients should be advised to avoid activities with potential risks.

Lactation

Advise nursing mothers to carefully observe infants for increased sleepiness (more than usual), breathing difficulties, or limpness. Instruct nursing mothers to seek immediate medical care if they notice these signs [see PRECAUTIONS; Nursing Mothers ].

Pregnancy

Reproduction studies in mice, rats, and rabbits during organogenesis did not reveal any teratogenic potential to butorphanol. However, pregnant rats treated subcutaneously with butorphanol at 1 mg/kg (5.9 mg/m2) had a higher frequency of stillbirths than controls. Butorphanol at 30 mg/kg/oral (360 mg/m2) and 60 mg/kg/oral (720 mg/m2) also showed higher incidences of post‑implantation loss in rabbits.

There are no adequate and well-controlled studies of Butorphanol Tartrate Injection in pregnant women before 37 weeks of gestation. Butorphanol Tartrate Injection should be used during pregnancy only if the potential benefit justifies the potential risk to the infant.

Dependence

Both tolerance and physical dependence can develop during use of opioid therapy.

Tolerance is a physiological state characterized by a reduced response to a drug ‎after repeated administration (i.e., a higher dose of a drug is required to ‎produce the same effect ‎that was once obtained at a lower dose).‎

Physical dependence is a state that develops as a result of a physiological adaptation in ‎response to repeated drug use, manifested by withdrawal signs and ‎symptoms after abrupt discontinuation or a significant dose reduction of a ‎drug.‎

Withdrawal may be precipitated through the administration of drugs with opioid antagonist activity (e.g., naloxone, nalmefene), mixed agonist/antagonist analgesics (e.g., pentazocine, butorphanol, nalbuphine), or partial agonists (e.g., buprenorphine). Physical dependence may not occur to a clinically significant degree until after several days to weeks of continued use.

Butorphanol Tartrate Injection should not be rapidly reduced or abruptly discontinued‎ [see DOSAGE AND ADMINISTRATION ]. If butorphanol tartrate is rapidly reduced or abruptly discontinued in a physically‑dependent patient, a withdrawal syndrome may occur, typically characterized by‎ restlessness, lacrimation, rhinorrhea, perspiration, chills, myalgia, and mydriasis. Other signs and symptoms also may develop, including irritability, anxiety, backache, joint pain, weakness, abdominal cramps, insomnia, nausea, anorexia, vomiting, diarrhea, or increased blood pressure, respiratory rate, or heart rate.

Infants born to mothers physical-dependent on opioids will also be physically-dependent and may exhibit respiratory difficulties and withdrawal signs [see PRECAUTIONS; Pregnancy ].

Withdrawal

The use of Butorphanol Tartrate Injection, a mixed agonist/antagonist opioid analgesic, in patients who are receiving a full opioid agonist analgesic may reduce the analgesic effect and/or precipitate withdrawal symptoms. Avoid concomitant use of Butorphanol Tartrate Injection with a full opioid agonist analgesic. When discontinuing Butorphanol Tartrate Injection, gradually taper the dosage [see DOSAGE AND ADMINISTRATION ]. Do not rapidly reduce or abruptly discontinue Butorphanol Tartrate Injection [see DRUG ABUSE AND DEPENDENCE ].

Anaphylaxis

Inform patients that anaphylaxis has been reported with ingredients contained in Butorphanol Tartrate Injection. Advise patients how to recognize such a reaction and when to seek medical attention [see CONTRAINDICATIONS; ADVERSE REACTIONS ].

Infertility

Inform patients that use of opioids for an extended period of time may cause reduced fertility. It is not known whether these effects on fertility are reversible [see ADVERSE REACTIONS ].

Intravenous

The usual recommended single-dose for IV administration is 1 mg repeated every three to four hours as necessary. The effective dosage range, depending on the severity of pain, is 0.5 to 2 mg repeated every three to four hours.

Mutagenesis

Butorphanol was not genotoxic in the in vitro bacterial reverse mutation assay (Ames) or in an in vitro unscheduled DNA synthesis and repair assay conducted in cultured human fibroblast cells.

Constipation

Advise patients of the potential for severe constipation, including ‎management instructions and when to seek medical attention [see ADVERSE REACTIONS ].‎

Geriatric Use

Elderly patients (aged 65 years or older) may have increased sensitivity to butorphanol tartrate. In general, use caution when selecting a dosage for an elderly patient, usually starting at the low end of the dosing range, reflecting the greater frequency of decreased hepatic, renal, or cardiac function and of concomitant disease or other drug therapy.

Respiratory depression is the chief risk for elderly patients treated with opioids, and has occurred after large initial doses were administered to patients who were not opioid-tolerant or when opioids were co-administered with other agents that depress respiration. Titrate the dosage of Butorphanol Tartrate Injection slowly in geriatric patients and frequently monitor the patient for signs of central nervous system and respiratory depression [see WARNINGS ].

This drug is known to be substantially excreted by the kidney, and the risk of adverse reactions to this drug may be greater in patients with impaired renal function. Because elderly patients are more likely to have decreased renal function, care should be taken in dose selection, and it may be useful to monitor renal function.

Intramuscular

The usual recommended single-dose for IM administration is 2 mg in patients who will be able to remain recumbent, in the event drowsiness or dizziness occurs. This may be repeated every three to four hours, as necessary. The effective dosage range depending on the severity of pain is 1 to 4 mg repeated every three to four hours. There are insufficient clinical data to recommend single-doses above 4 mg.

Pediatric Use

Butorphanol is not recommended for use in patients below 18 years of age because safety and efficacy have not been established in this population.

Carcinogenesis

Two-year carcinogenicity studies were conducted in mice and rats given butorphanol tartrate in the diet up to 60 mg/kg/day (12 and 24 times the human daily dose of 24 mg/day based on a body surface area comparison, respectively). There was no evidence of carcinogenicity in either species in these studies.

Initial Dosage

Factors to be considered in determining the dose are age, body weight, physical status, underlying pathological condition, use of other drugs, type of anesthesia to be used, and surgical procedure involved. Use in the elderly, patients with hepatic or renal disease, or in labor requires extra caution [see PRECAUTIONS; CLINICAL PHARMACOLOGY: Individualization of Dosage ]. The following doses are for patients who do not have impaired hepatic or renal function and who are not on CNS active agents.

Clinical Trials

The effectiveness of opioid analgesics varies in different pain syndromes. Studies with Butorphanol Tartrate Injection have been performed in postoperative (primarily abdominal and orthopedic) pain and pain during labor and delivery, as preoperative and preanesthetic medication, and as a supplement to balanced anesthesia (see below).

Nursing Mothers

Butorphanol has been detected in milk following administration of Butorphanol Tartrate Injection to nursing mothers. The amount an infant would receive is probably clinically insignificant (estimated 4 μg/L of milk in a mother receiving 2 mg IM four times a day).

The developmental and health benefits of breastfeeding should be considered along with the mother's clinical need for butorphanol tartrate and any potential adverse effects on the breastfed infant from butorphanol tartrate or from the underlying maternal condition.

Infants exposed to butorphanol tartrate through breast milk should be monitored for excess sedation and respiratory depression. Withdrawal symptoms can occur in breastfed infants when maternal administration of an opioid analgesic is stopped, or when breast-feeding is stopped.

Pharmacodynamics

The analgesic effect of butorphanol is influenced by the route of administration. Onset of analgesia is within a few minutes for intravenous administration and within 15 minutes for intramuscular injection.

Peak analgesic activity occurs within 30 to 60 minutes following intravenous and intramuscular administration.

The duration of analgesia varies depending on the pain model as well as the route of administration, but is generally 3 to 4 hours with IM and IV doses as defined by the time 50% of patients required remedication. In postoperative studies, the duration of analgesia with IV or IM butorphanol was similar to morphine, meperidine and pentazocine when administered in the same fashion at equipotent doses [see Clinical Trials ].

Pharmacokinetics

Butorphanol Tartrate Injection is rapidly absorbed after IM injection and peak plasma levels are reached in 20 to 40 minutes.

Following its initial absorption/distribution phase, the single-dose pharmacokinetics of butorphanol by the intravenous and intramuscular routes of administration are similar (see Figure 1).

Figure 1—Butorphanol Plasma Levels After IV and IM Administration of 2 mg Dose

Serum protein binding is independent of concentration over the range achieved in clinical practice (up to 7 ng/mL) with a bound fraction of approximately 80%.

The volume of distribution of butorphanol varies from 305 to 901 liters and total body clearance from 52 to 154 liters/hr (see Table 1).

Table 1—Mean Pharmacokinetic Parameters of Intravenous Butorphanol in Young and Elderly Subjects
Young subjects (n=24) are from 20 to 40 years old and elderly (n=24) are greater than 65 years of age.
Parameters Young Elderly

AUC (inf)

Area under plasma concentration-time curve after a 1 mg dose.

7.24 (1.57)

Mean (1S.D.).

8.71 (2.02)

(hr ∙ ng/mL)

(4.40–9.77)

(range of observed values).

(4.76–13.03)

Half-life (hr)

4.56 (1.67)

5.61 (1.36)

(2.06–8.70)

(3.25–8.79)

Volume of

Distribution

Derived from IV data.
(L)

487 (155)

(305–901)

552 (124)

(305–737)

Total body

99 (23)

82 (21)

Clearance (L/hr)

(70–154)

(52–143)

The drug is transported across the blood-brain and placental barriers and into human milk [see PRECAUTIONS: Labor or Delivery and Nursing Mothers ].

Butorphanol is extensively metabolized in the liver. Metabolism is qualitatively and quantitatively similar following intravenous or intramuscular administration. Oral bioavailability is only 5 to 17% because of extensive first pass metabolism of butorphanol.

The major metabolite of butorphanol is hydroxybutorphanol, while norbutorphanol is produced in small amounts. Both have been detected in plasma following administration of butorphanol, with norbutorphanol present at trace levels at most time points. The elimination half-life of hydroxybutorphanol is about 18 hours and, as a consequence, considerable accumulation (~5-fold) occurs when butorphanol is dosed to steady state.

Elimination occurs by urine and fecal excretion. When 3H labeled butorphanol is administered to normal subjects, most (70 to 80%) of the dose is recovered in the urine, while approximately 15% is recovered in the feces.

About 5% of the dose is recovered in the urine as butorphanol. Forty-nine percent is eliminated in the urine as hydroxybutorphanol. Less than 5% is excreted in the urine as norbutorphanol.

Butorphanol pharmacokinetics in the elderly differ from younger patients (see Table 1).

In renally impaired patients with creatinine clearances <30 mL/min, the elimination half-life was approximately doubled and the total body clearance was approximately one half (10.5 hours [clearance 150 L/h] compared to 5.8 hours [clearance 260 L/h] in healthy subjects). No effect on Cmax or Tmax was observed after a single-dose.

After intravenous administration to patients with hepatic impairment, the elimination half-life of butorphanol was approximately tripled and total body clearance was approximately one half (half-life 16.8 hours, clearance 92 L/h) compared to healthy subjects (half-life 4.8 hours, clearance 175 L/h). The exposure of hepatically impaired patients to butorphanol was significantly greater (about 2-fold) than that in healthy subjects [see PRECAUTIONS: Hepatic and Renal Disease, Drug Interactions and Geriatric Use and CLINICAL PHARMACOLOGY: Individualization of Dosage ].

Labor Or Delivery

Opioids cross the placenta and may produce respiratory depression and psycho-physiologic effects in neonates. An opioid overdose reversal agent, such as naloxone or nalmefene, must be available for reversal of opioid-induced respiratory depression in the neonate. Butorphanol tartrate is not recommended for use in pregnant women during or immediately prior to labor, when other analgesic techniques are more appropriate. Opioid analgesics, including butorphanol tartrate, can prolong labor through actions which temporarily reduce the strength, duration, and frequency of uterine contractions. However, this effect is not consistent and may be offset by an increased rate of cervical dilation, which tends to shorten labor. Monitor neonates exposed to opioid analgesics during labor for signs of excess sedation and respiratory depression.

Butorphanol has been detected in milk following administration of Butorphanol Tartrate Injection to nursing mothers. The amount an infant would receive is probably clinically insignificant (estimated 4 μg/L of milk in a mother receiving 2 mg IM four times a day).

There have been rare reports of infant respiratory distress/apnea following the administration of Butorphanol Tartrate Injection during labor. The reports of respiratory distress/apnea have been associated with administration of a dose within 2 hours of delivery, use of multiple doses, use with additional analgesic or sedative drugs, or use in preterm pregnancies [see OVERDOSAGE: Treatment ]. In a study of 119 patients, the administration of 1 mg of IV Butorphanol Tartrate Injection during labor was associated with transient (10–90 minutes) sinusoidal fetal heart rate patterns, but 16 was not associated with adverse neonatal outcomes. In the presence of an abnormal fetal heart rate pattern, Butorphanol Tartrate Injection should be used with caution.

Serotonergic Drugs

The concomitant use of opioids with other drugs that affect the serotonergic neurotransmitter system, such as selective serotonin reuptake inhibitors (SSRIs), serotonin and norepinephrine reuptake inhibitors (SNRIs), tricyclic antidepressants (TCAs), triptans, 5-HT3 receptor antagonists, drugs that affect the serotonin neurotransmitter system (e.g., mirtazapine, trazodone, tramadol), certain muscle relaxants (eg., cyclobenzaprine, metaxalone), and monoamine oxidase (MAO) inhibitors (those intended to treat psychiatric disorders and also others, such as linezolid and intravenous methylene blue), has resulted in serotonin syndrome [see PRECAUTIONS; INFORMATION FOR PATIENTS ].

If concomitant use is warranted, regularly monitor the patient, particularly during treatment initiation and dose adjustment. Discontinue Butorphanol Tartrate Injection if serotonin syndrome is suspected.

Serotonin Syndrome

Inform patients that butorphanol tartrate could cause a rare but potentially life-threatening condition resulting from concomitant administration of serotonergic drugs. Warn patients of the symptoms of serotonin syndrome and to seek medical attention right away if symptoms develop after discharge from the hospital. Instruct patients to inform their healthcare providers‎ if they are taking, or plan to take serotonergic medications [see PRECAUTIONS; Drug Interactions ].

Balanced Anesthesia

Butorphanol tartrate administered intravenously (mean dose 2 mg) was compared to intravenous morphine sulfate (mean dose 10 mg) as premedication shortly before thiopental induction, followed by balanced anesthesia in 50 ASA Class 1 and 2 patients. Anesthesia was then maintained by repeated intravenous doses, averaging 4.6 mg butorphanol and 22.8 mg morphine per patient.

Anesthetic induction and maintenance were generally rated as satisfactory with both butorphanol injection (25 patients) and morphine (25 patients) regardless of the type of surgery performed. Emergence from anesthesia was comparable with both agents.

Limitations of Use:

Because of the risks of addiction, abuse, misuse, overdose, and death, which can occur at any dosage or duration and persist over the course of therapy [see WARNINGS ], reserve opioid analgesics, including butorphanol tartrate, for use in patients for whom alternative treatment options are ineffective, not tolerated, or would be otherwise inadequate to provide sufficient management of pain.

Mechanism of Action

Butorphanol is a partial opioid agonist at the mu opioid receptor and a full agonist at the kappa opioid receptor. The principal therapeutic action of butorphanol is analgesia. Clinically, dosage is titrated to provide adequate analgesia and may be limited by adverse reactions, including respiratory and CNS depression.

The precise mechanism of the analgesic action is unknown. However, specific CNS opioid receptors for endogenous compounds with opioid-like activity have been identified throughout the brain and spinal cord and are thought to play a role in the analgesic effects of this drug.

Safety and Handling

Butorphanol Tartrate Injection is supplied in sealed delivery systems that have a low risk of accidental exposure to healthcare workers. Ordinary care should be taken to avoid aerosol generation while preparing a syringe for use. Following skin contact, rinsing with cool water is recommended.

The disposal of Schedule IV controlled substances must be consistent with State and Federal Regulations.

Parenteral drug products should be inspected visually for particulate matter and discoloration prior to administration, whenever solution and container permit.

Controlled Substance

Butorphanol Tartrate Injection contains butorphanol, a Schedule IV controlled substance.

Adrenal Insufficiency

Cases of adrenal insufficiency have been reported with opioid use, more often following greater than 1 month of use. Presentation of adrenal insufficiency may include non-specific symptoms and signs including nausea, vomiting, anorexia, fatigue, weakness, dizziness, and low blood pressure. If adrenal insufficiency is suspected, confirm the diagnosis with diagnostic testing as soon as possible. If adrenal insufficiency is diagnosed, treat with physiologic replacement doses of corticosteroids. Wean the patient off of the opioid to allow adrenal function to recover and continue corticosteroid treatment until adrenal function recovers. Other opioids may be tried as some cases reported use of a different opioid without recurrence of adrenal insufficiency. The information available does not identify any particular opioids as being more likely to be associated with adrenal insufficiency.

Clinical Presentation

Acute overdose with butorphanol tartrate can be manifested by respiratory depression, somnolence progressing to stupor or coma, skeletal muscle flaccidity, cold and clammy skin, constricted pupils, and, in some cases, pulmonary edema, bradycardia, hypotension, hypoglycemia, partial or complete airway obstruction, atypical snoring, and death. Marked mydriasis rather than miosis may be seen with hypoxia in overdose situations [see CLINICAL PHARMACOLOGY ]. Toxic leukoencephalopathy has been reported after opioid overdose and can present hours, days, or weeks after apparent recovery from the initial intoxication.

Embryo Fetal Toxicity

Inform female patients of reproductive potential that Butorphanol Tartrate Injection can cause fetal harm and to inform the healthcare prescriber of a known or suspected pregnancy [see PRECAUTIONS; Pregnancy ].

Treatment of Overdose

In case of overdose, priorities are the reestablishment of a patent and protected airway and institution of assisted or controlled ventilation, if needed. Employ other supportive measures (including oxygen and vasopressors) in the management of circulatory shock and pulmonary edema as indicated. Cardiac arrest or arrhythmias will require advanced life-support measures.

For clinically significant respiratory or circulatory depression secondary to butorphanol tartrate overdose, administer an opioid overdose reversal agent such as naloxone or nalmefene. As butorphanol is a mixed opioid agonist/antagonist, larger doses of naloxone or nalmefene may be needed to reverse the effects of an overdose.

Opioid antagonists should not be administered in the absence of clinically significant respiratory or circulatory depression secondary to butorphanol tartrate overdose.

Because the duration of opioid reversal is expected to be less than the duration of action of butorphanol in Butorphanol Tartrate Injection, carefully monitor the patient until spontaneous respiration is reliably re-established. If the response to an opioid overdose reversal agent is suboptimal or only brief in nature, administer additional reversal agent as directed by the product's prescribing information.

In an individual physically dependent on opioids, administration of the recommended usual dosage of the overdose reversal agent will precipitate an acute withdrawal syndrome. The severity of the withdrawal symptoms experienced will depend on the degree of physical dependence and the dose of the reversal agent administered. If a decision is made to treat serious respiratory depression in the physically-dependent patient, administration of the reversal agent should be begun with care and by titration with smaller than usual doses of the reversal agent.

Cardiovascular Effects

Because butorphanol may increase the work of the heart, especially the pulmonary circuit, the use of butorphanol in patients with acute myocardial infarction, ventricular dysfunction, or coronary insufficiency should be limited to those situations where the benefits clearly outweigh the risk [see CLINICAL PHARMACOLOGY ].

Severe hypertension has been reported rarely during butorphanol therapy. In such cases, butorphanol should be discontinued and the hypertension treated with antihypertensive drugs. In patients who are not opioid dependent, naloxone has also been reported to be effective.

Impairment of Fertility

In a study where male rats were treated subcutaneously with 0.5 or 2.5 mg/kg butorphanol for 75 days prior to mating to female rats treated subcutaneously with 0.5 or 2.5 mg/kg butorphanol for 14-days prior to mating and throughout gestation and lactation, no adverse effects on fertility were noted (0.2- and 1-times the human daily dose of 24 mg based on body surface area).

In a study where male rats were treated orally with 10, 40, or 160 mg/kg for 63 days prior to mating to female rats treated orally with the same doses of butorphanol for 14 days prior to mating, reduced pregnancy rates were reported in the high dose group (65-times the human daily dose of 24 mg based on body surface area).

Postmarketing Experience

The following adverse reactions have been identified during post approval use of Butorphanol Tartrate Injection. Because these reactions are reported voluntarily from a population of uncertain size, it is not always possible to reliably estimate their frequency or establish a causal relationship to drug exposure.

  • Serotonin syndrome: Cases of serotonin syndrome, a potentially life-threatening condition, have been reported during concomitant use of opioids with serotonergic drugs.
  • Adrenal insufficiency: Cases of adrenal insufficiency have been reported with opioid use, more often following greater than one month of use.
  • Anaphylaxis: Anaphylaxis has been reported with ingredients contained in Butorphanol Tartrate Injection.
  • Androgen deficiency: Cases of androgen deficiency have occurred with use of opioids for an extended period of time [see CLINICAL PHARMACOLOGY ].
  • Hyperalgesia and Allodynia: Cases of hyperalgesia and allodynia have been ‎reported with opioid therapy of any duration [see WARNINGS ].‎
  • Hypoglycemia: Cases of hypoglycemia have been reported in patients ‎taking opioids. Most reports were in patients with at least one ‎predisposing risk factor (e.g., diabetes).‎
  • Opioid-induced esophageal dysfunction (OIED): Cases of OIED have been reported in patients taking opioids and may occur more frequently in patients taking higher doses of opioids, and/or in patients taking opioids longer term [see WARNINGS ].

Adverse Reactions from Observational Studies

A prospective, observational cohort study estimated the risks of addiction, abuse, and misuse in patients initiating long-term use of Schedule II opioid analgesics between 2017 and 2021. Study participants included in one or more analyses had been enrolled in selected insurance plans or health systems for at least one year, were free of at least one outcome at baseline, completed a minimum number of follow-up assessments, and either: 1) filled multiple extended-release/long-acting opioid analgesic prescriptions during a 90-day period (n=978); or 2) filled any Schedule II opioid analgesic prescriptions covering at least 70 of 90 days (n=1,244). Those included also had no dispensing of the qualifying opioids in the previous 6 months.

Over 12 months:

  • approximately 1% to 6% of participants across the two cohorts newly met criteria for addiction, as assessed with two validated interview-based measures of moderate-to-severe opioid use disorder based on Diagnostic and Statistical Manual of Mental Disorders, Fifth Edition (DSM-5) criteria, and
  • approximately 9% and 22% of participants across the two cohorts newly met criteria for prescription opioid abuse and misuse [defined in DRUG ABUSE AND DEPENDENCE ], respectively, as measured with a validated self-reported instrument.

A retrospective, observational cohort study estimated the risk of opioid-involved overdose or opioid overdose-related death in patients with new long-term use of Schedule II opioid analgesics from 2006 through 2016 (n=220,249). Included patients had been enrolled in either one of two commercial insurance programs, one managed care program, or one Medicaid program for at least 9 months. New long-term use was defined as having Schedule II opioid analgesic prescriptions covering at least 70 days’ supply over the 3 months prior to study entry and none during the preceding 6 months. Patients were excluded if they had an opioid-involved overdose in the 9 months prior to study entry. Overdose was measured using a validated medical code-based algorithm with linkage to the National Death Index database. The 5-year cumulative incidence estimates for opioid-involved overdose or opioid overdose-related death ranged from approximately 1.5% to 4% across study sites, counting only the first event during follow-up. Approximately 17% of first opioid overdoses observed over the entire study period (5-11 years, depending on the study site) were fatal. Higher baseline opioid dose was the strongest and most consistent predictor of opioid-involved overdose or opioid overdose-related death. Study exclusion criteria may have selected patients at lower risk of overdose, and substantial loss to follow-up (approximately 80%) also may have biased estimates.

The risk estimates from the studies described above may not be generalizable to all patients receiving opioid analgesics, such as those with exposures shorter or longer than the duration evaluated in the studies.

Preanesthetic Medication

Butorphanol Tartrate Injection, (2 mg and 4 mg) and meperidine (80 mg) were studied for use as preanesthetic medication in hospitalized surgical patients. Patients received a single intramuscular dose of either butorphanol or meperidine approximately 90 minutes prior to anesthesia. The anesthesia regimen included barbiturate induction, followed by nitrous oxide and oxygen with halothane or enflurane, with or without a muscle relaxant.

Anesthetic preparation was rated as satisfactory in all 42 butorphanol injection patients regardless of the type of surgery.

Clinical Trial Experience

A total of 1658 patients were studied in premarketing clinical trials of Butorphanol Tartrate Injection. In nearly all cases the type and incidence of side effects with butorphanol were those commonly observed with opioid analgesics.

The adverse experiences described below are based on data from short- and long-term clinical trials in patients receiving Butorphanol Tartrate Injection.

The most frequently reported adverse experiences across all clinical trials with Butorphanol Tartrate Injection and Nasal Spray were somnolence (43%), dizziness (19%), nausea and/or vomiting (13%). The following adverse experiences were reported at a frequency of 1% or greater in clinical trials and were considered to be probably related to the use of butorphanol:

Body as a Whole: Asthenia/Lethargy, Headache, Sensation of Heat

Cardiovascular: Vasodilation, Palpitations

Digestive: Anorexia, Constipation, Dry Mouth, Nausea and/or Vomiting, Stomach Pain

Nervous: Anxiety, Confusion, Dizziness, Euphoria, Floating Feeling, Insomnia, Nervousness, Paresthesia, Somnolence, Tremor

Respiratory: Cough, Dyspnea

Skin and Appendages: Sweating, Pruritus

Special Senses: Blurred Vision, Ear Pain, Tinnitus, Unpleasant Taste

The following adverse experiences were reported with a frequency of less than 1% in clinical trials and were considered to be probably related to the use of butorphanol:

Cardiovascular: Hypotension, Syncope

Nervous: Abnormal Dreams, Agitation, Dysphoria, Hallucinations, Hostility, Withdrawal Symptoms

Skin and Appendages: Rash/Hives

Urogenital: Impaired Urination

The following infrequent additional adverse experiences were reported in a frequency of less than 1% of the patients studied in short-term butorphanol tartrate nasal sprays trials and under circumstances where the association between these events and butorphanol administration is unknown. They are being listed as alerting information for the physician due to their clinical significance:

Body as a Whole: Edema

Cardiovascular: Chest Pain, Hypertension, Tachycardia

Nervous: Depression

Respiratory: Shallow Breathing

Hepatic and Renal Disease

In patients with hepatic or renal impairment, the initial dose of Butorphanol Tartrate Injection should generally be half the recommended adult dose (0.5 mg IV and 1 mg IM). Repeat doses in these patients should be determined by the patient's response rather than at fixed intervals but will generally be no less than 6 hours apart [see CLINICAL PHARMACOLOGY: Pharmacokinetics and Individualization of Dosage sections].

Hyperalgesia and Allodynia

Advise patients to seek medical attention if they ‎experience symptoms of hyperalgesia, including worsening pain, increased ‎sensitivity to pain, or new pain [see WARNINGS; ADVERSE REACTIONS ].‎

Use in Balanced Anesthesia

The usual dose of Butorphanol Tartrate Injection is 2 mg IV shortly before induction and/or 0.5 to 1 mg IV in increments during anesthesia. The increment may be higher, up to 0.06 mg/kg (4 mg/70 kg), depending on previous sedative, analgesic, and hypnotic drugs administered. The total dose of butorphanol injection will vary; however, patients seldom require less than 4 mg or more than 12.5 mg (approximately 0.06 to 0.18 mg/kg).

Individualization of Dosage

Use of butorphanol in geriatric patients, patients with renal impairment, patients with hepatic impairment and during labor requires extra caution [see below and the appropriate sections in PRECAUTIONS ].

For pain relief the recommended initial dosage regimen of Butorphanol Tartrate Injection is 1 mg IV or 2 mg IM with repeated doses every three to four hours as necessary. This dosage regimen is likely to be effective for the majority of patients. Dosage adjustments of butorphanol injection should be based on observations of its beneficial and adverse effects. The initial dose in the elderly and in patients with renal or hepatic impairment should generally be half the recommended adult dose (0.5 mg IV and 1 mg IM). Repeat doses in these patients should be determined by the patient's response rather than at fixed intervals but will generally be no less than 6 hours [see PRECAUTIONS ].

The usual preoperative dose is 2 mg IM given 60 to 90 minutes before surgery or 2 mg IV shortly before induction. This is approximately equivalent in sedative effect to 10 mg morphine or 80 mg of meperidine. This single preoperative dose should be individualized based on age, body weight, physical status, underlying pathological condition, use of other drugs, type of anesthesia to be used and the surgical procedure involved.

During maintenance in balanced anesthesia the usual incremental dose of butorphanol tartrate is 0.5 to 1 mg IV. The incremental dose may be higher, up to 0.06 mg/kg (4 mg/70 kg), depending on previous sedative, analgesic, and hypnotic drugs administered. The total dose of butorphanol injection will vary; however, patients seldom require less than 4 mg or more than 12.5 mg (approximately 0.06 to 0.18 mg/kg).

As with other opioids of this class, butorphanol injection may not provide adequate intraoperative analgesia in every patient or under all conditions. A failure to achieve successful analgesia during balanced anesthesia is commonly reflected by increases in general sympathetic tone. Consequently, if blood pressure or heart rate continue to rise, consideration should be given to adding a potent volatile liquid inhalation anesthetic or another intravenous medication.

In labor, the recommended initial dose of butorphanol tartrate is 1 or 2 mg IM or IV in mothers with fetuses of 37 weeks gestation or beyond and without signs of fetal distress. Dosage adjustments of butorphanol in labor should be based on initial response with consideration given to concomitant analgesic or sedative drugs and the expected time of delivery. A dose should not be repeated in less than four hours nor administered less than four hours prior to the anticipated delivery [see PRECAUTIONS ].

Addiction, Abuse, and Misuse

Butorphanol Tartrate Injection is a Schedule IV controlled substance. As an opioid, butorphanol tartrate exposes users to the risks of addiction, abuse, and misuse [see DRUG ABUSE AND DEPENDENCE ].

Although the risk of addiction in any individual is unknown, it can occur in patients appropriately prescribed butorphanol tartrate. Addiction can occur at recommended dosages and if the drug is misused or abused. The risk of opioid-related overdose or overdose-related death is increased with higher opioid doses, and this risk persists over the course of therapy. In postmarketing studies, addiction, abuse, misuse, and fatal and non-fatal opioid overdose were observed in patients with long-term opioid use [see ADVERSE REACTIONS ].

Assess each patient's risk for opioid addiction, abuse, or misuse prior to prescribing Butorphanol Tartrate Injection, and monitor all patients receiving butorphanol tartrate for the development of these behaviors or conditions. Risks are increased in patients with a personal or family history of substance abuse (including drug or alcohol abuse or addiction) or mental illness (e.g., major depression). The potential for these risks should not, however, prevent the proper management of pain in any given patient. Patients at increased risk may be prescribed opioids such as Butorphanol Tartrate Injection, but use in such patients necessitates intensive counseling about the risks and proper use of Butorphanol Tartrate Injection along with frequent monitoring for signs of addiction, abuse, and misuse.

Opioids are sought for nonmedical use and are subject to diversion from ‎legitimate prescribed use. ‎Consider these risks when prescribing or dispensing Butorphanol Tartrate Injection. Strategies to reduce these risks include prescribing the drug in the smallest appropriate quantity. Contact local state professional licensing board or state-controlled substances authority for information on how to prevent and detect abuse or diversion of this product.

Effects On the Immune System

Opioids have been shown to have a variety of effects on components of the immune system. The clinical significance of these findings is unknown. Overall, the effects of opioids appear to be modestly immunosuppressive.

Effects On the Endocrine System

Opioids inhibit the secretion of adrenocorticotropic hormone (ACTH), cortisol, and luteinizing hormone (LH) in humans [see ADVERSE REACTIONS ]. They also stimulate prolactin, growth hormone (GH) secretion, and pancreatic secretion of insulin and glucagon.

Use of opioids for an extended period of time may influence the hypothalamic-pituitary-gonadal axis, leading to androgen deficiency that may manifest as low libido, impotence, erectile dysfunction, amenorrhea, or infertility. The causal role of opioids in the clinical syndrome of hypogonadism is unknown because the various medical, physical, lifestyle, and psychological stressors that may influence gonadal hormone levels have not been adequately controlled for in studies conducted to date [see ADVERSE REACTIONS ].

Fetal/neonatal Adverse Reactions

Use of opioid analgesics for an extended period of time during pregnancy for medical or nonmedical purposes can result in physical dependence in the neonate and neonatal opioid withdrawal syndrome shortly after birth.

Neonatal opioid withdrawal syndrome presents as irritability, hyperactivity and abnormal sleep pattern, high pitched cry, tremor, vomiting, diarrhea and failure to gain weight. The onset, duration, and severity of neonatal opioid withdrawal syndrome vary based on the specific opioid used, duration of use, timing and amount of last maternal use, and rate of elimination of the drug by the newborn. Observe newborns for symptoms of neonatal opioid withdrawal syndrome and manage accordingly [see WARNINGS ].

Neonatal Opioid Withdrawal Syndrome

Use of Butorphanol Tartrate Injection for an extended period of time during pregnancy can result in withdrawal in the neonate. Neonatal opioid withdrawal syndrome, unlike opioid withdrawal syndrome in adults, may be life-threatening if not recognized and treated, and requires management according to protocols developed by neonatology experts. Advise pregnant women using opioids for an extended period of time of ‎the risk of neonatal opioid withdrawal syndrome and ensure that ‎ ‎appropriate treatment will be available [see PRECAUTIONS; Information for Patients, Pregnancy ].

Driving Or Operating Heavy Machinery

Inform patients that Butorphanol Tartrate Injection may impair the mental and/or physical abilities required for the performance of potentially hazardous tasks such as driving a car or operating machinery and to avoid such tasks while taking this product, until they know how they will react to the medication.

Effects On the Cardiovascular System

Hemodynamic changes noted during cardiac catheterization in patients receiving single 0.025 mg/kg intravenous doses of butorphanol have included increases in pulmonary artery pressure, wedge pressure and vascular resistance, increases in left ventricular end diastolic pressure and in systemic arterial pressure.

Monoamine Oxidase Inhibitors (maois)

No information is available about the use of butorphanol concurrently with MAO inhibitors.

Advise patient to avoid concomitant use of these drugs.

Titration and Maintenance of Therapy

Individually titrate Butorphanol Tartrate Injection to a dose that provides adequate analgesia and minimizes adverse reactions. Continually reevaluate patients receiving Butorphanol Tartrate Injection to assess the maintenance of pain control, signs and symptoms of opioid withdrawal, and other adverse reactions as well as reassessing for the development of addiction, abuse, or misuse [see WARNINGS ]. Frequent communication is important among the prescriber, other members of the healthcare team, the patient, and the caregiver/family during periods of changing analgesic requirements, including initial titration.

If the level of pain increases after dosage stabilization, attempt to identify the source of increased pain before increasing the Butorphanol Tartrate Injection dosage. If after increasing the dosage, unacceptable opioid-related adverse reactions are observed (including an increase in pain after dosage increase), consider reducing the dosage ‎[see WARNINGS ]. Adjust the dosage to obtain an appropriate balance between management of pain and opioid-related adverse reactions.

Effects On the Central Nervous System

Butorphanol produces respiratory depression by direct action on brain stem respiratory centers. The respiratory depression involves a reduction in the responsiveness of the brain stem respiratory centers to both increases in carbon dioxide tension and electrical stimulation.

In human studies involving individuals without significant respiratory dysfunction, 2 mg of butorphanol IV and 10 mg of morphine sulfate IV depressed respiration to a comparable degree. At higher doses, the magnitude of respiratory depression with butorphanol is not appreciably increased; however, the duration of respiratory depression is longer. Respiratory depression noted after administration of butorphanol to humans by any route is reversed by treatment with naloxone, a specific opioid antagonist [see OVERDOSAGE ].

Butorphanol, like other mixed agonist-antagonists with a high affinity for the kappa receptor, may produce unpleasant psychotomimetic effects in some individuals.

Nausea and/or vomiting may be produced by doses of 1 mg or more administered by any route.

In human studies of butorphanol [see CLINICAL PHARMACOLOGY; Clinical Trials ], sedation is commonly noted at doses of 0.5 mg or more. Narcosis is produced by 10 to 12 mg doses of butorphanol administered over 10 to 15 minutes intravenously.

Butorphanol causes miosis, even in total darkness. Pinpoint pupils are a sign of opioid overdose but are not pathognomonic (e.g., pontine lesions of hemorrhagic or ischemic origins may produce similar findings). Marked mydriasis rather than miosis may be seen due to hypoxia in overdose situations.

Concentration–efficacy Relationships

The minimum effective analgesic concentration will vary widely among patients, especially among patients who have been previously treated with opioid agonists. The minimum effective analgesic concentration of butorphanol for any individual patient may increase over time due to an increase in pain, the development of a new pain syndrome, and/or the development of analgesic tolerance [see DOSAGE AND ADMINISTRATION ].

Cytochrome P450 (cyp 450) Interactions

It is not known if the effects of Butorphanol Tartrate Injection are altered by concomitant medications that affect hepatic metabolism of drugs (CYP 450 inhibitors or inducers) (e.g., erythromycin, theophylline, etc.), but physicians should be alert to the possibility that a smaller initial dose and longer intervals between doses may be needed.

Risk of Gastrointestinal Complications

Butorphanol Tartrate Injection is contraindicated in patients with known or suspected gastrointestinal obstruction, including paralytic ileus.

The butorphanol in Butorphanol Tartrate Injection may cause spasm of the sphincter of Oddi. Opioids may cause increases in serum amylase. Monitor patients with biliary tract disease, including acute pancreatitis, for worsening symptoms.

Cases of opioid-induced esophageal dysfunction (OIED) have been reported in patients taking opioids. The risk of OIED may increase as the dose and/or duration of opioids increases. Regularly evaluate patients for signs and symptoms of OIED (e.g., dysphagia, regurgitation, non-cardiac chest pain) and, if necessary, adjust opioid therapy as clinically appropriate [see CLINICAL PHARMACOLOGY].

Life Threatening Respiratory Depression

Serious, life-threatening, or fatal respiratory depression has been reported with the use of opioids, even when used as recommended. Respiratory depression, if not immediately recognized and treated, may lead to respiratory arrest and death. Management of respiratory depression may include close observation, supportive measures, and use of opioid overdose reversal agents (e.g., naloxone, nalmefene), depending on the patient's clinical status [see OVERDOSAGE ]. Carbon dioxide (CO2) retention from opioid-induced respiratory depression can exacerbate the sedating effects of opioids.

While serious, life-threatening, or fatal respiratory depression can occur at any time during the use of butorphanol tartrate, the risk is greatest during the initiation of therapy or following a dosage increase.

To reduce the risk of respiratory depression, proper dosing and titration of butorphanol tartrate are essential [see DOSAGE AND ADMINISTRATION ]. Overestimating the butorphanol tartrate dosage when converting patients from another opioid product can result in a fatal overdose with the first dose.

Opioids can cause sleep-related breathing disorders including central sleep apnea (CSA) and sleep-related hypoxemia. Opioid use increases the risk of CSA in a dose-dependent fashion. In patients who present with CSA, consider decreasing the opioid dosage using best practices for opioid taper [see DOSAGE AND ADMINISTRATION ].

Patients With Chronic Pulmonary Disease

Butorphanol tartrate-treated patients with significant chronic obstructive pulmonary disease or cor pulmonale, and those with a substantially decreased respiratory reserve, hypoxia, hypercapnia, or pre-existing respiratory depression are at increased risk of decreased respiratory drive including apnea, even at recommended dosages of butorphanol tartrate [see WARNINGS ].

Risks of Driving and Operating Machinery

Butorphanol Tartrate Injection may impair the mental or physical abilities needed to perform potentially hazardous activities such as driving a car or operating machinery. Warn patients not to drive or operate dangerous machinery unless they are tolerant to the effects of Butorphanol Tartrate Injection and know how they will react to the medication [see PRECAUTIONS; Information for Patients/Caregivers ].

Opioid Induced Hyperalgesia and Allodynia

Opioid-Induced Hyperalgesia (OIH) occurs when an opioid analgesic ‎paradoxically causes an increase in pain, or an increase in sensitivity to ‎pain. This condition differs from tolerance, which is the need for ‎increasing doses of opioids to maintain a defined effect [see Dependence ]. ‎Symptoms of OIH include (but may not be limited to) increased levels of ‎pain upon opioid dosage increase, decreased levels of pain upon opioid ‎dosage decrease, or pain from ordinarily non-painful stimuli (allodynia). ‎These symptoms may suggest OIH only if there is no evidence of ‎underlying disease progression, opioid tolerance, opioid withdrawal, or addictive ‎behavior.‎

Cases of OIH have been reported, both with short-term and longer-term ‎use of opioid analgesics. Though the mechanism of OIH is not fully ‎understood, multiple biochemical pathways have been implicated. Medical ‎literature suggests a strong biologic plausibility between opioid ‎analgesics and OIH and allodynia. If a patient is suspected to be ‎experiencing OIH, carefully consider appropriately decreasing the dose of ‎the current opioid analgesic or opioid rotation (safely switching the ‎patient to a different opioid moiety) [see DOSAGE AND ADMINISTRATION; ‎WARNINGS ].‎

Elderly, Cachectic, Or Debilitated Patients

Life-threatening respiratory depression is more likely to occur in elderly, cachectic, or debilitated patients because they may have altered pharmacokinetics or altered clearance compared to younger, healthier patients [see WARNINGS ].

Monitor such patients closely, particularly when initiating and titrating Butorphanol Tartrate Injection and when Butorphanol Tartrate Injection is given concomitantly with other drugs that depress respiration [see WARNINGS ]. Alternatively, consider the use of non-opioid analgesics in these patients.

Disorders of Respiratory Function Or Control

Butorphanol may produce respiratory depression, especially in patients receiving other CNS active agents, or patients suffering from CNS diseases or respiratory impairment.

Principal Display Panel 1 Mg/ml Vial Label

1 mL

Single-dose

Rx only

CIV

BUTORPHANOL

TARTRATE Inj., USP

1 mg/mL

For I.M. or I.V. use

Dist. by Hospira, Inc., Lake Forest, IL 60045 USA

Principal Display Panel 2 Mg/ml Vial Label

1 mL

Single-dose

Rx only

BUTORPHANOL

TARTRATE Inj., USP

CIV

2 mg/mL

For I.M. or I.V. use

Dist. by Hospira, Inc., Lake Forest, IL 60045 USA

Use As Preoperative/preanesthetic Medication

The preoperative medication dosage of Butorphanol Tartrate Injection should be individualized [see CLINICAL PHARMACOLOGY: Individualization of Dosage ]. The usual adult dose is 2 mg IM, administered 60 to 90 minutes before surgery. This is approximately equivalent in sedative effect to 10 mg morphine or 80 mg meperidine.

Principal Display Panel 1 Mg/ml Vial Carton

1 mL Single-dose Fliptop Vials

NDC 0409-1623-01

Contains 10 of NDC 0409-1623-21

BUTORPHANOL TARTRATE

Injection, USP

1 mg/mL

For Intramuscular or Intravenous use

Discard unused portion.

CIV

Rx only

Hospira

Principal Display Panel 2 Mg/ml Vial Carton

1 mL Single-dose Fliptop Vials

NDC 0409-1626-01

Contains 10 of NDC 0409-1626-21

BUTORPHANOL TARTRATE

Injection, USP 2 mg/mL

Rx only

CIV

For Intramuscular or Intravenous use Discard unused portion.

Hospira

Concentration–adverse Reaction Relationships

There is a relationship between increasing butorphanol plasma concentration and increasing frequency of dose-related opioid adverse reactions such as nausea, vomiting, CNS effects, and respiratory depression. In opioid-tolerant patients, the situation may be altered by the development of tolerance to opioid-related adverse reactions [see DOSAGE AND ADMINISTRATION ].

Principal Display Panel 4 Mg/2 Ml Vial Label

2 mL

Single-dose

Rx only

CIV

BUTORPHANOL

TARTRATE

Injection, USP

4 mg/2 mL (2 mg/mL)

Dist. by Hospira, Inc., Lake Forest, IL 60045 USA

Principal Display Panel 4 Mg/2 Ml Vial Carton

2 mL Single-dose Fliptop Vials

NDC 0409-1626-02

Contains 10 of NDC 0409-1626-42

BUTORPHANOL TARTRATE

Injection, USP 4 mg/2 mL (2 mg/mL)

Rx only

CIV

For Intramuscular or Intravenous use Discard unused portion.

Hospira

Important Dosage and Administration Instructions

Butorphanol Tartrate Injection should be prescribed only by healthcare professionals who are ‎knowledgeable about the use of opioids and how to mitigate the ‎associated risks.‎

Use the lowest effective dosage for the shortest duration of time consistent with individual patient treatment goals [see WARNINGS ]. Because the risk of overdose increases as opioid doses increase, reserve ‎titration to higher doses of Butorphanol Tartrate Injection for patients in whom lower ‎doses are insufficiently effective and in whom the expected benefits of ‎using a higher dose opioid clearly outweigh the substantial risks.‎

There is variability in the opioid analgesic dose and duration needed to ‎adequately manage pain due both to the cause of pain and to individual ‎patient factors. Initiate the dosing regimen for each patient individually, ‎taking into account the patient’s underlying cause and severity of pain, ‎prior analgesic treatment and response, and risk factors for addiction, ‎abuse, and misuse [see WARNINGS ].

Respiratory depression can occur at any time during opioid therapy, ‎especially when initiating and following dosage increases with Butorphanol Tartrate Injection. Consider this risk when selecting an initial dose and when ‎making dose adjustments [see WARNINGS ]‎.

Use in the Management of Pain Postoperative Pain

The analgesic efficacy of Butorphanol Tartrate Injection in postoperative pain was investigated in several double-blind active-controlled studies involving 958 butorphanol-treated patients. The following doses were found to have approximately equivalent analgesic effect: 2 mg butorphanol, 10 mg morphine, 40 mg pentazocine and 80 mg meperidine.

After intravenous administration of butorphanol tartrate, onset and peak analgesic effect occurred by the time of first observation (30 minutes). After intramuscular administration, pain relief onset occurred at 30 minutes or less, and peak effect occurred between 30 minutes and one hour. The duration of action of Butorphanol Tartrate Injection was 3 to 4 hours when defined as the time necessary for pain intensity to return to pretreatment level or the time to retreatment.

Discontinuation of Butorphanol Tartrate Injection

When a patient who has been taking Butorphanol Tartrate Injection regularly and may be physically dependent no longer requires therapy with Butorphanol Tartrate Injection, taper the dose gradually, by 25% to 50% every 2 to 4 days, while monitoring carefully for signs and symptoms of withdrawal. If the patient develops these signs or symptoms, raise the dose to the previous level and taper more slowly, either by increasing the interval between decreases, decreasing the amount of change in dose, or both. Do not rapidly reduce or abruptly discontinue Butorphanol Tartrate Injection in patients who may be physically-dependent on opioids [see WARNINGS, DRUG ABUSE AND DEPENDENCE ].

Risks Specific to Abuse of Butorphanol Tartrate Injection

Abuse of Butorphanol Tartrate Injection poses a risk of overdose and death. The risk is increased with concurrent use of Butorphanol Tartrate Injection with alcohol and/or other CNS depressants.

Parenteral drug abuse is commonly associated with transmission of infectious diseases such as hepatitis and HIV.

Interactions With Benzodiazepines and Other Cns Depressants

Inform patients and caregivers that potentially fatal additive effects may occur if butorphanol tartrate is used with benzodiazepines or other CNS depressants, including alcohol (e.g., non-benzodiazepine sedative/hypnotics, anxiolytics, tranquilizers, muscle relaxants, general anesthetics, antipsychotics, gabapentinoids [gabapentin or pregabalin], and other opioids), and not to use these concomitantly unless supervised by a healthcare provider [see WARNINGS, PRECAUTIONS; Drug Interactions ].

Effects On the Gastrointestinal Tract and Other Smooth Muscle

Butorphanol causes a reduction in motility associated with an increase in smooth muscle tone in the antrum of the stomach and duodenum. Digestion of food in the small intestine is delayed and propulsive contractions are decreased. Propulsive peristaltic waves in the colon are decreased, while tone may be increased to the point of spasm, resulting in constipation. Other opioid-induced effects may include a reduction in biliary and pancreatic secretions, spasm of sphincter of Oddi, transient elevations in serum amylase, and opioid-induced esophageal dysfunction (OIED).

Increased Risk of Seizures in Patients With Seizure Disorders

The butorphanol in Butorphanol Tartrate Injection may increase the frequency of seizures in patients with seizure disorders, and may increase the risk of seizures occurring in other clinical settings associated with seizures. Monitor patients with a history of seizure disorders for worsened seizure control during Butorphanol Tartrate Injection therapy.

Benzodiazepines and Other Central Nervous System (cns) Depressants

Due to additive pharmacologic effect, the concomitant use of benzodiazepines or other CNS depressants such as alcohol, sedatives/hypnotics, anxiolytics, tranquilizers, muscle relaxants, general anesthetics, antipsychotics, gabapentinoids (gabapentin or pregabalin), and other opioids, can increase the risk of respiratory depression, profound sedation, coma, and death.

Reserve concomitant prescribing of these drugs for use in patients for whom alternative treatment options are inadequate. Limit dosages and durations to the minimum required. Monitor patients closely for signs of respiratory depression and sedation [see WARNINGS ]. If concomitant use is warranted, consider ‎prescribing naloxone for the emergency treatment of opioid overdose.

Risks From Concomitant Use With Benzodiazepines Or Other Cns Depressants

Profound sedation, respiratory depression, coma, and death may result from the concomitant use of butorphanol tartrate with benzodiazepines and/or other CNS depressants, including alcohol (e.g., non-benzodiazepine sedatives/hypnotics, anxiolytics, tranquilizers, muscle relaxants, general anesthetics, antipsychotics, gabapentinoids [gabapentin or pregabalin], and other opioids). Because of these risks, reserve concomitant prescribing of these drugs for use in patients for whom alternative treatment options are inadequate.

Observational studies have demonstrated that concomitant use of opioid analgesics and benzodiazepines increases the risk of drug-related mortality compared to use of opioid analgesics alone. Because of similar pharmacological properties, it is reasonable to expect similar risk with the concomitant use of other CNS depressant drugs with opioid analgesics [see PRECAUTIONS; Drug Interactions ].

If the decision is made to prescribe a benzodiazepine or other CNS depressant concomitantly with an opioid analgesic, prescribe the lowest effective dosages and minimum durations of concomitant use. In patients already receiving an opioid analgesic, prescribe a lower initial dose of the benzodiazepine or other CNS depressant than indicated in the absence of an opioid, and titrate based on clinical response. If an opioid analgesic is initiated in a patient already taking a benzodiazepine or other CNS depressant, prescribe a lower initial dose of the opioid analgesic, and titrate based on clinical response. Monitor patients closely for signs and symptoms of respiratory depression and sedation. Advise both patients and caregivers about the risks of respiratory depression and sedation when butorphanol tartrate is used with benzodiazepines or other CNS depressants (including alcohol and illicit drugs). Advise patients not to drive or operate heavy machinery until the effects of concomitant use of the benzodiazepine or other CNS depressant have been determined. Screen patients for risk of substance use disorders, including opioid abuse and misuse, and warn them of the risk for overdose and death associated with the use of additional CNS depressants including alcohol and illicit drugs [see PRECAUTIONS; Information for Patients, Drug Interactions ].

Dosage Modifications in Elderly Patients and Patients With Renal Or Hepatic Impairment

The initial dose sequence in elderly patients and patients with hepatic or renal impairment should be limited to 1 mg followed, if needed, by 1 mg in 90 to 120 minutes. The repeat dose sequence should be determined by the patient's response rather than at fixed times but will generally be no less than at 6 hours intervals [see CLINICAL PHARMACOLOGY: Individualization of Dosage, PRECAUTIONS ].

Warning: Serious and Life Threatening Risks From Use of Butorphanol Tartrate Injection

Addiction, Abuse, and Misuse

Because the use of Butorphanol Tartrate Injection exposes patients and other users to the risks of opioid addiction, abuse, and misuse, which can lead to overdose and death, assess each patient’s risk prior to prescribing and reassess all patients regularly for the development of these behaviors and conditions [see WARNINGS].

Life-Threatening Respiratory Depression

Serious, life-threatening, or fatal respiratory depression may occur with use of Butorphanol Tartrate Injection, especially during initiation or following a dosage increase. To reduce the risk of respiratory depression, proper dosing and titration ‎of Butorphanol Tartrate Injection are essential [see WARNINGS].

Risks From Concomitant Use With Benzodiazepines Or Other CNS Depressants

Concomitant use of opioids with benzodiazepines or other central nervous system (CNS) depressants, including alcohol, may result in profound sedation, respiratory depression, coma, and death. Reserve concomitant prescribing of Butorphanol Tartrate Injection and benzodiazepines or other CNS depressants for use in patients for whom alternative treatment options are inadequate [see WARNINGS, PRECAUTIONS; Drug Interactions].

Neonatal Opioid Withdrawal Syndrome (NOWS)

Advise pregnant women using opioids for an extended period of time of the risk of Neonatal Opioid Withdrawal Syndrome, which may be life-threatening if not recognized and treated. Ensure that management by neonatology experts‎ will be available at delivery [see WARNINGS].

Risks of Use in Patients With Increased Intracranial Pressure, Brain Tumors, Head Injury, Or Impaired Consciousness

In patients who may be susceptible to the intracranial effects of CO2 retention (e.g., those with evidence of increased intracranial pressure or brain tumors), Butorphanol Tartrate Injection may reduce respiratory drive, and the resultant CO2 retention can further increase intracranial pressure. Monitor such patients for signs of sedation and respiratory depression, particularly when initiating therapy with Butorphanol Tartrate Injection.

Opioids may also obscure the clinical course in a patient with a head injury. Avoid the use of Butorphanol Tartrate Injection in patients with impaired consciousness or coma.

Life Threatening Respiratory Depression in Patients With Chronic Pulmonary Disease Or in Elderly, Cachectic, Or Debilitated Patients

The use of butorphanol tartrate in patients with acute or severe bronchial asthma in an unmonitored setting or in the absence of resuscitative equipment is contraindicated.


Structured Label Content

Abuse

Butorphanol Tartrate Injection contains butorphanol, a substance with high potential ‎for misuse and abuse, which can lead to the development of substance use ‎disorder, including addiction [see WARNINGS ].

Misuse is the intentional use, for therapeutic purposes, of a drug by an ‎individual in a way other than prescribed by a healthcare provider or for ‎whom it was not prescribed.‎

Abuse is the intentional non-therapeutic use of a drug, even once, for its desirable psychological or physiological effects.

Drug addiction is a cluster of behavioral, cognitive, and physiological phenomena that may include a strong desire to take the drug, difficulties in controlling drug use (e.g., continuing drug use despite harmful ‎consequences, giving a higher priority to drug use than other activities ‎and obligations), and possible tolerance or physical dependence.‎

Misuse and abuse of Butorphanol Tartrate Injection increases risk of overdose, which ‎may lead to central nervous system and respiratory depression, ‎hypotension, seizures, and death. The risk is increased with concurrent ‎abuse of Butorphanol Tartrate Injection with alcohol and other CNS ‎depressants. Abuse of and addiction to opioids in some individuals may ‎not be accompanied by concurrent tolerance and symptoms of physical ‎dependence. In addition, abuse of opioids can occur in the absence of ‎addiction.‎

All patients treated with opioids require careful and frequent reevaluation ‎for signs of misuse, abuse, and addiction, because use of opioid analgesic ‎products carries the risk of addiction even under appropriate medical use. ‎Patients at high risk of Butorphanol Tartrate Injection abuse include those with a history ‎of prolonged use of any opioid, including products containing butorphanol, those with a ‎history of drug or alcohol abuse, or those who use Butorphanol Tartrate Injection in ‎combination with other abused drugs.‎

“Drug-seeking” behavior is very common in persons with substance use disorders. Drug-seeking tactics include emergency calls or visits near the end of office hours, refusal to undergo appropriate examination, testing, or referral, repeated “loss” of prescriptions, tampering with prescriptions, and reluctance to provide prior medical records or contact information for other treating healthcare provider(s). “Doctor shopping” (visiting multiple prescribers to obtain additional prescriptions) is common among people who abuse drugs and people with substance use disorder. Preoccupation with achieving adequate pain relief can be appropriate behavior in a patient with inadequate pain control.

Butorphanol Tartrate Injection, like other opioids, can be diverted for nonmedical use into illicit channels of distribution. Careful record-keeping of prescribing information, including quantity, frequency, and renewal requests, as required by state and federal law, is strongly advised.

Proper assessment of the patient, proper prescribing practices, periodic reevaluation of therapy, and proper dispensing and storage are appropriate measures that help to limit abuse of opioid drugs.

Labor

[see PRECAUTIONS ]

The analgesic efficacy of intravenous Butorphanol Tartrate Injection was studied in pain during labor. In a total of 145 patients butorphanol (1 mg and 2 mg) was as effective as 40 mg and 80 mg of meperidine (144 patients) in the relief of pain in labor with no effect on the duration or progress of labor. Both drugs readily crossed the placenta and entered fetal circulation. The condition of the infants in these studies, determined by Apgar scores at 1 and 5 minutes (8 or above) and time to sustained respiration, showed that butorphanol had the same effects on the infants as meperidine.

In these studies neurobehavioral testing in infants exposed to butorphanol injection at a mean of 18.6 hours after delivery, showed no significant differences between treatment groups.

Section 42229-5 (42229-5)

Distributed by Hospira Inc., Lake Forest, IL 60045 USA

For Medical Information about Butorphanol Tartrate Injection, please visit ‎www.pfizermedinfo.com or call 1-800-438-1985.‎

LAB-0831-8.0

Revised: 12/2025

Section 44425-7 (44425-7)

Store at 20°C to 25°C (68°F to 77°F). [See USP Controlled Room Temperature.]

Protect from light.

General

Hypotension associated with syncope during the first hour of dosing with Butorphanol Tartrate Injection has been reported rarely, particularly in patients with past history of similar reactions to opioid analgesics. Therefore, patients should be advised to avoid activities with potential risks.

Lactation

Advise nursing mothers to carefully observe infants for increased sleepiness (more than usual), breathing difficulties, or limpness. Instruct nursing mothers to seek immediate medical care if they notice these signs [see PRECAUTIONS; Nursing Mothers ].

Pregnancy

Reproduction studies in mice, rats, and rabbits during organogenesis did not reveal any teratogenic potential to butorphanol. However, pregnant rats treated subcutaneously with butorphanol at 1 mg/kg (5.9 mg/m2) had a higher frequency of stillbirths than controls. Butorphanol at 30 mg/kg/oral (360 mg/m2) and 60 mg/kg/oral (720 mg/m2) also showed higher incidences of post‑implantation loss in rabbits.

There are no adequate and well-controlled studies of Butorphanol Tartrate Injection in pregnant women before 37 weeks of gestation. Butorphanol Tartrate Injection should be used during pregnancy only if the potential benefit justifies the potential risk to the infant.

Dependence

Both tolerance and physical dependence can develop during use of opioid therapy.

Tolerance is a physiological state characterized by a reduced response to a drug ‎after repeated administration (i.e., a higher dose of a drug is required to ‎produce the same effect ‎that was once obtained at a lower dose).‎

Physical dependence is a state that develops as a result of a physiological adaptation in ‎response to repeated drug use, manifested by withdrawal signs and ‎symptoms after abrupt discontinuation or a significant dose reduction of a ‎drug.‎

Withdrawal may be precipitated through the administration of drugs with opioid antagonist activity (e.g., naloxone, nalmefene), mixed agonist/antagonist analgesics (e.g., pentazocine, butorphanol, nalbuphine), or partial agonists (e.g., buprenorphine). Physical dependence may not occur to a clinically significant degree until after several days to weeks of continued use.

Butorphanol Tartrate Injection should not be rapidly reduced or abruptly discontinued‎ [see DOSAGE AND ADMINISTRATION ]. If butorphanol tartrate is rapidly reduced or abruptly discontinued in a physically‑dependent patient, a withdrawal syndrome may occur, typically characterized by‎ restlessness, lacrimation, rhinorrhea, perspiration, chills, myalgia, and mydriasis. Other signs and symptoms also may develop, including irritability, anxiety, backache, joint pain, weakness, abdominal cramps, insomnia, nausea, anorexia, vomiting, diarrhea, or increased blood pressure, respiratory rate, or heart rate.

Infants born to mothers physical-dependent on opioids will also be physically-dependent and may exhibit respiratory difficulties and withdrawal signs [see PRECAUTIONS; Pregnancy ].

Withdrawal

The use of Butorphanol Tartrate Injection, a mixed agonist/antagonist opioid analgesic, in patients who are receiving a full opioid agonist analgesic may reduce the analgesic effect and/or precipitate withdrawal symptoms. Avoid concomitant use of Butorphanol Tartrate Injection with a full opioid agonist analgesic. When discontinuing Butorphanol Tartrate Injection, gradually taper the dosage [see DOSAGE AND ADMINISTRATION ]. Do not rapidly reduce or abruptly discontinue Butorphanol Tartrate Injection [see DRUG ABUSE AND DEPENDENCE ].

Anaphylaxis

Inform patients that anaphylaxis has been reported with ingredients contained in Butorphanol Tartrate Injection. Advise patients how to recognize such a reaction and when to seek medical attention [see CONTRAINDICATIONS; ADVERSE REACTIONS ].

Description (DESCRIPTION)

Butorphanol tartrate is a synthetically derived opioid agonist-antagonist analgesic of the phenanthrene series. The chemical name is (-)-17-(cyclobutylmethyl) morphinan-3, 14-diol D-(-)- tartrate (1:1) (salt). The molecular formula is C21H29NO2 ∙ C4H6O6, which corresponds to a molecular weight of 477.56 and the following structural formula:

Butorphanol tartrate is a white crystalline substance. The dose is expressed as the tartrate salt. One milligram of the salt is equivalent to 0.68 mg of the free base. The n-octanol/aqueous buffer partition coefficient of butorphanol is 180:1 at pH 7.5.

Butorphanol Tartrate Injection is a sterile, nonpyrogenic parenteral aqueous solution of butorphanol tartrate for intravenous or intramuscular administration.

Each milliliter (mL) contains butorphanol tartrate 1 or 2 mg; sodium citrate, dihydrate, 6.4 mg; citric acid hydrous 3.3 mg; sodium chloride 6.4 mg. The pH is 4.5 (3.0 to 5.5).

Infertility

Inform patients that use of opioids for an extended period of time may cause reduced fertility. It is not known whether these effects on fertility are reversible [see ADVERSE REACTIONS ].

Intravenous

The usual recommended single-dose for IV administration is 1 mg repeated every three to four hours as necessary. The effective dosage range, depending on the severity of pain, is 0.5 to 2 mg repeated every three to four hours.

Mutagenesis

Butorphanol was not genotoxic in the in vitro bacterial reverse mutation assay (Ames) or in an in vitro unscheduled DNA synthesis and repair assay conducted in cultured human fibroblast cells.

Constipation

Advise patients of the potential for severe constipation, including ‎management instructions and when to seek medical attention [see ADVERSE REACTIONS ].‎

How Supplied (HOW SUPPLIED)

Butorphanol Tartrate Injection, USP is supplied as single-dose glass fliptop vials, and available as follows:

Unit of Sale Concentration

(Total Butorphanol Concentration Per Container)

NDC 0409-1623-01

Carton of 10 – 1 mL Single-Dose Glass Fliptop Vials

1 mg/mL

NDC 0409-1626-01

Carton of 10 – 1 mL Single-Dose Glass Fliptop Vials

2 mg/mL

NDC 0409-1626-02

Carton of 10 – 2 mL Single-Dose Glass Fliptop Vials

4 mg/2 mL

(2 mg/mL)

Geriatric Use

Elderly patients (aged 65 years or older) may have increased sensitivity to butorphanol tartrate. In general, use caution when selecting a dosage for an elderly patient, usually starting at the low end of the dosing range, reflecting the greater frequency of decreased hepatic, renal, or cardiac function and of concomitant disease or other drug therapy.

Respiratory depression is the chief risk for elderly patients treated with opioids, and has occurred after large initial doses were administered to patients who were not opioid-tolerant or when opioids were co-administered with other agents that depress respiration. Titrate the dosage of Butorphanol Tartrate Injection slowly in geriatric patients and frequently monitor the patient for signs of central nervous system and respiratory depression [see WARNINGS ].

This drug is known to be substantially excreted by the kidney, and the risk of adverse reactions to this drug may be greater in patients with impaired renal function. Because elderly patients are more likely to have decreased renal function, care should be taken in dose selection, and it may be useful to monitor renal function.

Intramuscular

The usual recommended single-dose for IM administration is 2 mg in patients who will be able to remain recumbent, in the event drowsiness or dizziness occurs. This may be repeated every three to four hours, as necessary. The effective dosage range depending on the severity of pain is 1 to 4 mg repeated every three to four hours. There are insufficient clinical data to recommend single-doses above 4 mg.

Pediatric Use

Butorphanol is not recommended for use in patients below 18 years of age because safety and efficacy have not been established in this population.

Carcinogenesis

Two-year carcinogenicity studies were conducted in mice and rats given butorphanol tartrate in the diet up to 60 mg/kg/day (12 and 24 times the human daily dose of 24 mg/day based on a body surface area comparison, respectively). There was no evidence of carcinogenicity in either species in these studies.

Initial Dosage

Factors to be considered in determining the dose are age, body weight, physical status, underlying pathological condition, use of other drugs, type of anesthesia to be used, and surgical procedure involved. Use in the elderly, patients with hepatic or renal disease, or in labor requires extra caution [see PRECAUTIONS; CLINICAL PHARMACOLOGY: Individualization of Dosage ]. The following doses are for patients who do not have impaired hepatic or renal function and who are not on CNS active agents.

Clinical Trials

The effectiveness of opioid analgesics varies in different pain syndromes. Studies with Butorphanol Tartrate Injection have been performed in postoperative (primarily abdominal and orthopedic) pain and pain during labor and delivery, as preoperative and preanesthetic medication, and as a supplement to balanced anesthesia (see below).

Nursing Mothers

Butorphanol has been detected in milk following administration of Butorphanol Tartrate Injection to nursing mothers. The amount an infant would receive is probably clinically insignificant (estimated 4 μg/L of milk in a mother receiving 2 mg IM four times a day).

The developmental and health benefits of breastfeeding should be considered along with the mother's clinical need for butorphanol tartrate and any potential adverse effects on the breastfed infant from butorphanol tartrate or from the underlying maternal condition.

Infants exposed to butorphanol tartrate through breast milk should be monitored for excess sedation and respiratory depression. Withdrawal symptoms can occur in breastfed infants when maternal administration of an opioid analgesic is stopped, or when breast-feeding is stopped.

Pharmacodynamics

The analgesic effect of butorphanol is influenced by the route of administration. Onset of analgesia is within a few minutes for intravenous administration and within 15 minutes for intramuscular injection.

Peak analgesic activity occurs within 30 to 60 minutes following intravenous and intramuscular administration.

The duration of analgesia varies depending on the pain model as well as the route of administration, but is generally 3 to 4 hours with IM and IV doses as defined by the time 50% of patients required remedication. In postoperative studies, the duration of analgesia with IV or IM butorphanol was similar to morphine, meperidine and pentazocine when administered in the same fashion at equipotent doses [see Clinical Trials ].

Pharmacokinetics

Butorphanol Tartrate Injection is rapidly absorbed after IM injection and peak plasma levels are reached in 20 to 40 minutes.

Following its initial absorption/distribution phase, the single-dose pharmacokinetics of butorphanol by the intravenous and intramuscular routes of administration are similar (see Figure 1).

Figure 1—Butorphanol Plasma Levels After IV and IM Administration of 2 mg Dose

Serum protein binding is independent of concentration over the range achieved in clinical practice (up to 7 ng/mL) with a bound fraction of approximately 80%.

The volume of distribution of butorphanol varies from 305 to 901 liters and total body clearance from 52 to 154 liters/hr (see Table 1).

Table 1—Mean Pharmacokinetic Parameters of Intravenous Butorphanol in Young and Elderly Subjects
Young subjects (n=24) are from 20 to 40 years old and elderly (n=24) are greater than 65 years of age.
Parameters Young Elderly

AUC (inf)

Area under plasma concentration-time curve after a 1 mg dose.

7.24 (1.57)

Mean (1S.D.).

8.71 (2.02)

(hr ∙ ng/mL)

(4.40–9.77)

(range of observed values).

(4.76–13.03)

Half-life (hr)

4.56 (1.67)

5.61 (1.36)

(2.06–8.70)

(3.25–8.79)

Volume of

Distribution

Derived from IV data.
(L)

487 (155)

(305–901)

552 (124)

(305–737)

Total body

99 (23)

82 (21)

Clearance (L/hr)

(70–154)

(52–143)

The drug is transported across the blood-brain and placental barriers and into human milk [see PRECAUTIONS: Labor or Delivery and Nursing Mothers ].

Butorphanol is extensively metabolized in the liver. Metabolism is qualitatively and quantitatively similar following intravenous or intramuscular administration. Oral bioavailability is only 5 to 17% because of extensive first pass metabolism of butorphanol.

The major metabolite of butorphanol is hydroxybutorphanol, while norbutorphanol is produced in small amounts. Both have been detected in plasma following administration of butorphanol, with norbutorphanol present at trace levels at most time points. The elimination half-life of hydroxybutorphanol is about 18 hours and, as a consequence, considerable accumulation (~5-fold) occurs when butorphanol is dosed to steady state.

Elimination occurs by urine and fecal excretion. When 3H labeled butorphanol is administered to normal subjects, most (70 to 80%) of the dose is recovered in the urine, while approximately 15% is recovered in the feces.

About 5% of the dose is recovered in the urine as butorphanol. Forty-nine percent is eliminated in the urine as hydroxybutorphanol. Less than 5% is excreted in the urine as norbutorphanol.

Butorphanol pharmacokinetics in the elderly differ from younger patients (see Table 1).

In renally impaired patients with creatinine clearances <30 mL/min, the elimination half-life was approximately doubled and the total body clearance was approximately one half (10.5 hours [clearance 150 L/h] compared to 5.8 hours [clearance 260 L/h] in healthy subjects). No effect on Cmax or Tmax was observed after a single-dose.

After intravenous administration to patients with hepatic impairment, the elimination half-life of butorphanol was approximately tripled and total body clearance was approximately one half (half-life 16.8 hours, clearance 92 L/h) compared to healthy subjects (half-life 4.8 hours, clearance 175 L/h). The exposure of hepatically impaired patients to butorphanol was significantly greater (about 2-fold) than that in healthy subjects [see PRECAUTIONS: Hepatic and Renal Disease, Drug Interactions and Geriatric Use and CLINICAL PHARMACOLOGY: Individualization of Dosage ].

Contraindications (CONTRAINDICATIONS)

Butorphanol Tartrate Injection is contraindicated in:

  • Patients with significant respiratory depression [see WARNINGS ]
  • Patients with acute of severe bronchial asthma in an unmonitored setting or in the absence of resuscitative equipment [see WARNINGS ]
  • Patients with known or suspected gastrointestinal obstruction, including paralytic ileus [see WARNINGS ]
  • Patients with hypersensitivity to butorphanol tartrate or any of the formulation excipients (e.g., anaphylaxis) [see WARNINGS ]
Labor Or Delivery (Labor or Delivery)

Opioids cross the placenta and may produce respiratory depression and psycho-physiologic effects in neonates. An opioid overdose reversal agent, such as naloxone or nalmefene, must be available for reversal of opioid-induced respiratory depression in the neonate. Butorphanol tartrate is not recommended for use in pregnant women during or immediately prior to labor, when other analgesic techniques are more appropriate. Opioid analgesics, including butorphanol tartrate, can prolong labor through actions which temporarily reduce the strength, duration, and frequency of uterine contractions. However, this effect is not consistent and may be offset by an increased rate of cervical dilation, which tends to shorten labor. Monitor neonates exposed to opioid analgesics during labor for signs of excess sedation and respiratory depression.

Butorphanol has been detected in milk following administration of Butorphanol Tartrate Injection to nursing mothers. The amount an infant would receive is probably clinically insignificant (estimated 4 μg/L of milk in a mother receiving 2 mg IM four times a day).

There have been rare reports of infant respiratory distress/apnea following the administration of Butorphanol Tartrate Injection during labor. The reports of respiratory distress/apnea have been associated with administration of a dose within 2 hours of delivery, use of multiple doses, use with additional analgesic or sedative drugs, or use in preterm pregnancies [see OVERDOSAGE: Treatment ]. In a study of 119 patients, the administration of 1 mg of IV Butorphanol Tartrate Injection during labor was associated with transient (10–90 minutes) sinusoidal fetal heart rate patterns, but 16 was not associated with adverse neonatal outcomes. In the presence of an abnormal fetal heart rate pattern, Butorphanol Tartrate Injection should be used with caution.

Serotonergic Drugs

The concomitant use of opioids with other drugs that affect the serotonergic neurotransmitter system, such as selective serotonin reuptake inhibitors (SSRIs), serotonin and norepinephrine reuptake inhibitors (SNRIs), tricyclic antidepressants (TCAs), triptans, 5-HT3 receptor antagonists, drugs that affect the serotonin neurotransmitter system (e.g., mirtazapine, trazodone, tramadol), certain muscle relaxants (eg., cyclobenzaprine, metaxalone), and monoamine oxidase (MAO) inhibitors (those intended to treat psychiatric disorders and also others, such as linezolid and intravenous methylene blue), has resulted in serotonin syndrome [see PRECAUTIONS; INFORMATION FOR PATIENTS ].

If concomitant use is warranted, regularly monitor the patient, particularly during treatment initiation and dose adjustment. Discontinue Butorphanol Tartrate Injection if serotonin syndrome is suspected.

Serotonin Syndrome

Inform patients that butorphanol tartrate could cause a rare but potentially life-threatening condition resulting from concomitant administration of serotonergic drugs. Warn patients of the symptoms of serotonin syndrome and to seek medical attention right away if symptoms develop after discharge from the hospital. Instruct patients to inform their healthcare providers‎ if they are taking, or plan to take serotonergic medications [see PRECAUTIONS; Drug Interactions ].

Balanced Anesthesia

Butorphanol tartrate administered intravenously (mean dose 2 mg) was compared to intravenous morphine sulfate (mean dose 10 mg) as premedication shortly before thiopental induction, followed by balanced anesthesia in 50 ASA Class 1 and 2 patients. Anesthesia was then maintained by repeated intravenous doses, averaging 4.6 mg butorphanol and 22.8 mg morphine per patient.

Anesthetic induction and maintenance were generally rated as satisfactory with both butorphanol injection (25 patients) and morphine (25 patients) regardless of the type of surgery performed. Emergence from anesthesia was comparable with both agents.

Limitations of Use:

Because of the risks of addiction, abuse, misuse, overdose, and death, which can occur at any dosage or duration and persist over the course of therapy [see WARNINGS ], reserve opioid analgesics, including butorphanol tartrate, for use in patients for whom alternative treatment options are ineffective, not tolerated, or would be otherwise inadequate to provide sufficient management of pain.

Mechanism of Action

Butorphanol is a partial opioid agonist at the mu opioid receptor and a full agonist at the kappa opioid receptor. The principal therapeutic action of butorphanol is analgesia. Clinically, dosage is titrated to provide adequate analgesia and may be limited by adverse reactions, including respiratory and CNS depression.

The precise mechanism of the analgesic action is unknown. However, specific CNS opioid receptors for endogenous compounds with opioid-like activity have been identified throughout the brain and spinal cord and are thought to play a role in the analgesic effects of this drug.

Safety and Handling

Butorphanol Tartrate Injection is supplied in sealed delivery systems that have a low risk of accidental exposure to healthcare workers. Ordinary care should be taken to avoid aerosol generation while preparing a syringe for use. Following skin contact, rinsing with cool water is recommended.

The disposal of Schedule IV controlled substances must be consistent with State and Federal Regulations.

Parenteral drug products should be inspected visually for particulate matter and discoloration prior to administration, whenever solution and container permit.

Controlled Substance

Butorphanol Tartrate Injection contains butorphanol, a Schedule IV controlled substance.

Adrenal Insufficiency

Cases of adrenal insufficiency have been reported with opioid use, more often following greater than 1 month of use. Presentation of adrenal insufficiency may include non-specific symptoms and signs including nausea, vomiting, anorexia, fatigue, weakness, dizziness, and low blood pressure. If adrenal insufficiency is suspected, confirm the diagnosis with diagnostic testing as soon as possible. If adrenal insufficiency is diagnosed, treat with physiologic replacement doses of corticosteroids. Wean the patient off of the opioid to allow adrenal function to recover and continue corticosteroid treatment until adrenal function recovers. Other opioids may be tried as some cases reported use of a different opioid without recurrence of adrenal insufficiency. The information available does not identify any particular opioids as being more likely to be associated with adrenal insufficiency.

Clinical Presentation

Acute overdose with butorphanol tartrate can be manifested by respiratory depression, somnolence progressing to stupor or coma, skeletal muscle flaccidity, cold and clammy skin, constricted pupils, and, in some cases, pulmonary edema, bradycardia, hypotension, hypoglycemia, partial or complete airway obstruction, atypical snoring, and death. Marked mydriasis rather than miosis may be seen with hypoxia in overdose situations [see CLINICAL PHARMACOLOGY ]. Toxic leukoencephalopathy has been reported after opioid overdose and can present hours, days, or weeks after apparent recovery from the initial intoxication.

Embryo Fetal Toxicity (Embryo-Fetal Toxicity)

Inform female patients of reproductive potential that Butorphanol Tartrate Injection can cause fetal harm and to inform the healthcare prescriber of a known or suspected pregnancy [see PRECAUTIONS; Pregnancy ].

Indications and Usage (INDICATIONS AND USAGE)

Butorphanol Tartrate Injection is indicated

  • -
    as a preoperative or pre-anesthetic medication
  • -
    as a supplement to balanced anesthesia
  • -
    for the relief of pain during labor, and
  • -
    for the management of pain severe enough to require an opioid analgesic and for which alternative treatments are inadequate.
Treatment of Overdose

In case of overdose, priorities are the reestablishment of a patent and protected airway and institution of assisted or controlled ventilation, if needed. Employ other supportive measures (including oxygen and vasopressors) in the management of circulatory shock and pulmonary edema as indicated. Cardiac arrest or arrhythmias will require advanced life-support measures.

For clinically significant respiratory or circulatory depression secondary to butorphanol tartrate overdose, administer an opioid overdose reversal agent such as naloxone or nalmefene. As butorphanol is a mixed opioid agonist/antagonist, larger doses of naloxone or nalmefene may be needed to reverse the effects of an overdose.

Opioid antagonists should not be administered in the absence of clinically significant respiratory or circulatory depression secondary to butorphanol tartrate overdose.

Because the duration of opioid reversal is expected to be less than the duration of action of butorphanol in Butorphanol Tartrate Injection, carefully monitor the patient until spontaneous respiration is reliably re-established. If the response to an opioid overdose reversal agent is suboptimal or only brief in nature, administer additional reversal agent as directed by the product's prescribing information.

In an individual physically dependent on opioids, administration of the recommended usual dosage of the overdose reversal agent will precipitate an acute withdrawal syndrome. The severity of the withdrawal symptoms experienced will depend on the degree of physical dependence and the dose of the reversal agent administered. If a decision is made to treat serious respiratory depression in the physically-dependent patient, administration of the reversal agent should be begun with care and by titration with smaller than usual doses of the reversal agent.

Cardiovascular Effects

Because butorphanol may increase the work of the heart, especially the pulmonary circuit, the use of butorphanol in patients with acute myocardial infarction, ventricular dysfunction, or coronary insufficiency should be limited to those situations where the benefits clearly outweigh the risk [see CLINICAL PHARMACOLOGY ].

Severe hypertension has been reported rarely during butorphanol therapy. In such cases, butorphanol should be discontinued and the hypertension treated with antihypertensive drugs. In patients who are not opioid dependent, naloxone has also been reported to be effective.

Impairment of Fertility

In a study where male rats were treated subcutaneously with 0.5 or 2.5 mg/kg butorphanol for 75 days prior to mating to female rats treated subcutaneously with 0.5 or 2.5 mg/kg butorphanol for 14-days prior to mating and throughout gestation and lactation, no adverse effects on fertility were noted (0.2- and 1-times the human daily dose of 24 mg based on body surface area).

In a study where male rats were treated orally with 10, 40, or 160 mg/kg for 63 days prior to mating to female rats treated orally with the same doses of butorphanol for 14 days prior to mating, reduced pregnancy rates were reported in the high dose group (65-times the human daily dose of 24 mg based on body surface area).

Postmarketing Experience

The following adverse reactions have been identified during post approval use of Butorphanol Tartrate Injection. Because these reactions are reported voluntarily from a population of uncertain size, it is not always possible to reliably estimate their frequency or establish a causal relationship to drug exposure.

  • Serotonin syndrome: Cases of serotonin syndrome, a potentially life-threatening condition, have been reported during concomitant use of opioids with serotonergic drugs.
  • Adrenal insufficiency: Cases of adrenal insufficiency have been reported with opioid use, more often following greater than one month of use.
  • Anaphylaxis: Anaphylaxis has been reported with ingredients contained in Butorphanol Tartrate Injection.
  • Androgen deficiency: Cases of androgen deficiency have occurred with use of opioids for an extended period of time [see CLINICAL PHARMACOLOGY ].
  • Hyperalgesia and Allodynia: Cases of hyperalgesia and allodynia have been ‎reported with opioid therapy of any duration [see WARNINGS ].‎
  • Hypoglycemia: Cases of hypoglycemia have been reported in patients ‎taking opioids. Most reports were in patients with at least one ‎predisposing risk factor (e.g., diabetes).‎
  • Opioid-induced esophageal dysfunction (OIED): Cases of OIED have been reported in patients taking opioids and may occur more frequently in patients taking higher doses of opioids, and/or in patients taking opioids longer term [see WARNINGS ].

Adverse Reactions from Observational Studies

A prospective, observational cohort study estimated the risks of addiction, abuse, and misuse in patients initiating long-term use of Schedule II opioid analgesics between 2017 and 2021. Study participants included in one or more analyses had been enrolled in selected insurance plans or health systems for at least one year, were free of at least one outcome at baseline, completed a minimum number of follow-up assessments, and either: 1) filled multiple extended-release/long-acting opioid analgesic prescriptions during a 90-day period (n=978); or 2) filled any Schedule II opioid analgesic prescriptions covering at least 70 of 90 days (n=1,244). Those included also had no dispensing of the qualifying opioids in the previous 6 months.

Over 12 months:

  • approximately 1% to 6% of participants across the two cohorts newly met criteria for addiction, as assessed with two validated interview-based measures of moderate-to-severe opioid use disorder based on Diagnostic and Statistical Manual of Mental Disorders, Fifth Edition (DSM-5) criteria, and
  • approximately 9% and 22% of participants across the two cohorts newly met criteria for prescription opioid abuse and misuse [defined in DRUG ABUSE AND DEPENDENCE ], respectively, as measured with a validated self-reported instrument.

A retrospective, observational cohort study estimated the risk of opioid-involved overdose or opioid overdose-related death in patients with new long-term use of Schedule II opioid analgesics from 2006 through 2016 (n=220,249). Included patients had been enrolled in either one of two commercial insurance programs, one managed care program, or one Medicaid program for at least 9 months. New long-term use was defined as having Schedule II opioid analgesic prescriptions covering at least 70 days’ supply over the 3 months prior to study entry and none during the preceding 6 months. Patients were excluded if they had an opioid-involved overdose in the 9 months prior to study entry. Overdose was measured using a validated medical code-based algorithm with linkage to the National Death Index database. The 5-year cumulative incidence estimates for opioid-involved overdose or opioid overdose-related death ranged from approximately 1.5% to 4% across study sites, counting only the first event during follow-up. Approximately 17% of first opioid overdoses observed over the entire study period (5-11 years, depending on the study site) were fatal. Higher baseline opioid dose was the strongest and most consistent predictor of opioid-involved overdose or opioid overdose-related death. Study exclusion criteria may have selected patients at lower risk of overdose, and substantial loss to follow-up (approximately 80%) also may have biased estimates.

The risk estimates from the studies described above may not be generalizable to all patients receiving opioid analgesics, such as those with exposures shorter or longer than the duration evaluated in the studies.

Preanesthetic Medication

Butorphanol Tartrate Injection, (2 mg and 4 mg) and meperidine (80 mg) were studied for use as preanesthetic medication in hospitalized surgical patients. Patients received a single intramuscular dose of either butorphanol or meperidine approximately 90 minutes prior to anesthesia. The anesthesia regimen included barbiturate induction, followed by nitrous oxide and oxygen with halothane or enflurane, with or without a muscle relaxant.

Anesthetic preparation was rated as satisfactory in all 42 butorphanol injection patients regardless of the type of surgery.

Clinical Trial Experience

A total of 1658 patients were studied in premarketing clinical trials of Butorphanol Tartrate Injection. In nearly all cases the type and incidence of side effects with butorphanol were those commonly observed with opioid analgesics.

The adverse experiences described below are based on data from short- and long-term clinical trials in patients receiving Butorphanol Tartrate Injection.

The most frequently reported adverse experiences across all clinical trials with Butorphanol Tartrate Injection and Nasal Spray were somnolence (43%), dizziness (19%), nausea and/or vomiting (13%). The following adverse experiences were reported at a frequency of 1% or greater in clinical trials and were considered to be probably related to the use of butorphanol:

Body as a Whole: Asthenia/Lethargy, Headache, Sensation of Heat

Cardiovascular: Vasodilation, Palpitations

Digestive: Anorexia, Constipation, Dry Mouth, Nausea and/or Vomiting, Stomach Pain

Nervous: Anxiety, Confusion, Dizziness, Euphoria, Floating Feeling, Insomnia, Nervousness, Paresthesia, Somnolence, Tremor

Respiratory: Cough, Dyspnea

Skin and Appendages: Sweating, Pruritus

Special Senses: Blurred Vision, Ear Pain, Tinnitus, Unpleasant Taste

The following adverse experiences were reported with a frequency of less than 1% in clinical trials and were considered to be probably related to the use of butorphanol:

Cardiovascular: Hypotension, Syncope

Nervous: Abnormal Dreams, Agitation, Dysphoria, Hallucinations, Hostility, Withdrawal Symptoms

Skin and Appendages: Rash/Hives

Urogenital: Impaired Urination

The following infrequent additional adverse experiences were reported in a frequency of less than 1% of the patients studied in short-term butorphanol tartrate nasal sprays trials and under circumstances where the association between these events and butorphanol administration is unknown. They are being listed as alerting information for the physician due to their clinical significance:

Body as a Whole: Edema

Cardiovascular: Chest Pain, Hypertension, Tachycardia

Nervous: Depression

Respiratory: Shallow Breathing

Hepatic and Renal Disease

In patients with hepatic or renal impairment, the initial dose of Butorphanol Tartrate Injection should generally be half the recommended adult dose (0.5 mg IV and 1 mg IM). Repeat doses in these patients should be determined by the patient's response rather than at fixed intervals but will generally be no less than 6 hours apart [see CLINICAL PHARMACOLOGY: Pharmacokinetics and Individualization of Dosage sections].

Hyperalgesia and Allodynia

Advise patients to seek medical attention if they ‎experience symptoms of hyperalgesia, including worsening pain, increased ‎sensitivity to pain, or new pain [see WARNINGS; ADVERSE REACTIONS ].‎

Use in Balanced Anesthesia

The usual dose of Butorphanol Tartrate Injection is 2 mg IV shortly before induction and/or 0.5 to 1 mg IV in increments during anesthesia. The increment may be higher, up to 0.06 mg/kg (4 mg/70 kg), depending on previous sedative, analgesic, and hypnotic drugs administered. The total dose of butorphanol injection will vary; however, patients seldom require less than 4 mg or more than 12.5 mg (approximately 0.06 to 0.18 mg/kg).

Individualization of Dosage

Use of butorphanol in geriatric patients, patients with renal impairment, patients with hepatic impairment and during labor requires extra caution [see below and the appropriate sections in PRECAUTIONS ].

For pain relief the recommended initial dosage regimen of Butorphanol Tartrate Injection is 1 mg IV or 2 mg IM with repeated doses every three to four hours as necessary. This dosage regimen is likely to be effective for the majority of patients. Dosage adjustments of butorphanol injection should be based on observations of its beneficial and adverse effects. The initial dose in the elderly and in patients with renal or hepatic impairment should generally be half the recommended adult dose (0.5 mg IV and 1 mg IM). Repeat doses in these patients should be determined by the patient's response rather than at fixed intervals but will generally be no less than 6 hours [see PRECAUTIONS ].

The usual preoperative dose is 2 mg IM given 60 to 90 minutes before surgery or 2 mg IV shortly before induction. This is approximately equivalent in sedative effect to 10 mg morphine or 80 mg of meperidine. This single preoperative dose should be individualized based on age, body weight, physical status, underlying pathological condition, use of other drugs, type of anesthesia to be used and the surgical procedure involved.

During maintenance in balanced anesthesia the usual incremental dose of butorphanol tartrate is 0.5 to 1 mg IV. The incremental dose may be higher, up to 0.06 mg/kg (4 mg/70 kg), depending on previous sedative, analgesic, and hypnotic drugs administered. The total dose of butorphanol injection will vary; however, patients seldom require less than 4 mg or more than 12.5 mg (approximately 0.06 to 0.18 mg/kg).

As with other opioids of this class, butorphanol injection may not provide adequate intraoperative analgesia in every patient or under all conditions. A failure to achieve successful analgesia during balanced anesthesia is commonly reflected by increases in general sympathetic tone. Consequently, if blood pressure or heart rate continue to rise, consideration should be given to adding a potent volatile liquid inhalation anesthetic or another intravenous medication.

In labor, the recommended initial dose of butorphanol tartrate is 1 or 2 mg IM or IV in mothers with fetuses of 37 weeks gestation or beyond and without signs of fetal distress. Dosage adjustments of butorphanol in labor should be based on initial response with consideration given to concomitant analgesic or sedative drugs and the expected time of delivery. A dose should not be repeated in less than four hours nor administered less than four hours prior to the anticipated delivery [see PRECAUTIONS ].

Addiction, Abuse, and Misuse

Butorphanol Tartrate Injection is a Schedule IV controlled substance. As an opioid, butorphanol tartrate exposes users to the risks of addiction, abuse, and misuse [see DRUG ABUSE AND DEPENDENCE ].

Although the risk of addiction in any individual is unknown, it can occur in patients appropriately prescribed butorphanol tartrate. Addiction can occur at recommended dosages and if the drug is misused or abused. The risk of opioid-related overdose or overdose-related death is increased with higher opioid doses, and this risk persists over the course of therapy. In postmarketing studies, addiction, abuse, misuse, and fatal and non-fatal opioid overdose were observed in patients with long-term opioid use [see ADVERSE REACTIONS ].

Assess each patient's risk for opioid addiction, abuse, or misuse prior to prescribing Butorphanol Tartrate Injection, and monitor all patients receiving butorphanol tartrate for the development of these behaviors or conditions. Risks are increased in patients with a personal or family history of substance abuse (including drug or alcohol abuse or addiction) or mental illness (e.g., major depression). The potential for these risks should not, however, prevent the proper management of pain in any given patient. Patients at increased risk may be prescribed opioids such as Butorphanol Tartrate Injection, but use in such patients necessitates intensive counseling about the risks and proper use of Butorphanol Tartrate Injection along with frequent monitoring for signs of addiction, abuse, and misuse.

Opioids are sought for nonmedical use and are subject to diversion from ‎legitimate prescribed use. ‎Consider these risks when prescribing or dispensing Butorphanol Tartrate Injection. Strategies to reduce these risks include prescribing the drug in the smallest appropriate quantity. Contact local state professional licensing board or state-controlled substances authority for information on how to prevent and detect abuse or diversion of this product.

Effects On the Immune System (Effects on the Immune System)

Opioids have been shown to have a variety of effects on components of the immune system. The clinical significance of these findings is unknown. Overall, the effects of opioids appear to be modestly immunosuppressive.

Effects On the Endocrine System (Effects on the Endocrine System)

Opioids inhibit the secretion of adrenocorticotropic hormone (ACTH), cortisol, and luteinizing hormone (LH) in humans [see ADVERSE REACTIONS ]. They also stimulate prolactin, growth hormone (GH) secretion, and pancreatic secretion of insulin and glucagon.

Use of opioids for an extended period of time may influence the hypothalamic-pituitary-gonadal axis, leading to androgen deficiency that may manifest as low libido, impotence, erectile dysfunction, amenorrhea, or infertility. The causal role of opioids in the clinical syndrome of hypogonadism is unknown because the various medical, physical, lifestyle, and psychological stressors that may influence gonadal hormone levels have not been adequately controlled for in studies conducted to date [see ADVERSE REACTIONS ].

Fetal/neonatal Adverse Reactions (Fetal/Neonatal Adverse Reactions)

Use of opioid analgesics for an extended period of time during pregnancy for medical or nonmedical purposes can result in physical dependence in the neonate and neonatal opioid withdrawal syndrome shortly after birth.

Neonatal opioid withdrawal syndrome presents as irritability, hyperactivity and abnormal sleep pattern, high pitched cry, tremor, vomiting, diarrhea and failure to gain weight. The onset, duration, and severity of neonatal opioid withdrawal syndrome vary based on the specific opioid used, duration of use, timing and amount of last maternal use, and rate of elimination of the drug by the newborn. Observe newborns for symptoms of neonatal opioid withdrawal syndrome and manage accordingly [see WARNINGS ].

Neonatal Opioid Withdrawal Syndrome

Use of Butorphanol Tartrate Injection for an extended period of time during pregnancy can result in withdrawal in the neonate. Neonatal opioid withdrawal syndrome, unlike opioid withdrawal syndrome in adults, may be life-threatening if not recognized and treated, and requires management according to protocols developed by neonatology experts. Advise pregnant women using opioids for an extended period of time of ‎the risk of neonatal opioid withdrawal syndrome and ensure that ‎ ‎appropriate treatment will be available [see PRECAUTIONS; Information for Patients, Pregnancy ].

Driving Or Operating Heavy Machinery (Driving or Operating Heavy Machinery)

Inform patients that Butorphanol Tartrate Injection may impair the mental and/or physical abilities required for the performance of potentially hazardous tasks such as driving a car or operating machinery and to avoid such tasks while taking this product, until they know how they will react to the medication.

Effects On the Cardiovascular System (Effects on the Cardiovascular System)

Hemodynamic changes noted during cardiac catheterization in patients receiving single 0.025 mg/kg intravenous doses of butorphanol have included increases in pulmonary artery pressure, wedge pressure and vascular resistance, increases in left ventricular end diastolic pressure and in systemic arterial pressure.

Monoamine Oxidase Inhibitors (maois) (Monoamine Oxidase inhibitors (MAOIs))

No information is available about the use of butorphanol concurrently with MAO inhibitors.

Advise patient to avoid concomitant use of these drugs.

Titration and Maintenance of Therapy

Individually titrate Butorphanol Tartrate Injection to a dose that provides adequate analgesia and minimizes adverse reactions. Continually reevaluate patients receiving Butorphanol Tartrate Injection to assess the maintenance of pain control, signs and symptoms of opioid withdrawal, and other adverse reactions as well as reassessing for the development of addiction, abuse, or misuse [see WARNINGS ]. Frequent communication is important among the prescriber, other members of the healthcare team, the patient, and the caregiver/family during periods of changing analgesic requirements, including initial titration.

If the level of pain increases after dosage stabilization, attempt to identify the source of increased pain before increasing the Butorphanol Tartrate Injection dosage. If after increasing the dosage, unacceptable opioid-related adverse reactions are observed (including an increase in pain after dosage increase), consider reducing the dosage ‎[see WARNINGS ]. Adjust the dosage to obtain an appropriate balance between management of pain and opioid-related adverse reactions.

Effects On the Central Nervous System (Effects on the Central Nervous System)

Butorphanol produces respiratory depression by direct action on brain stem respiratory centers. The respiratory depression involves a reduction in the responsiveness of the brain stem respiratory centers to both increases in carbon dioxide tension and electrical stimulation.

In human studies involving individuals without significant respiratory dysfunction, 2 mg of butorphanol IV and 10 mg of morphine sulfate IV depressed respiration to a comparable degree. At higher doses, the magnitude of respiratory depression with butorphanol is not appreciably increased; however, the duration of respiratory depression is longer. Respiratory depression noted after administration of butorphanol to humans by any route is reversed by treatment with naloxone, a specific opioid antagonist [see OVERDOSAGE ].

Butorphanol, like other mixed agonist-antagonists with a high affinity for the kappa receptor, may produce unpleasant psychotomimetic effects in some individuals.

Nausea and/or vomiting may be produced by doses of 1 mg or more administered by any route.

In human studies of butorphanol [see CLINICAL PHARMACOLOGY; Clinical Trials ], sedation is commonly noted at doses of 0.5 mg or more. Narcosis is produced by 10 to 12 mg doses of butorphanol administered over 10 to 15 minutes intravenously.

Butorphanol causes miosis, even in total darkness. Pinpoint pupils are a sign of opioid overdose but are not pathognomonic (e.g., pontine lesions of hemorrhagic or ischemic origins may produce similar findings). Marked mydriasis rather than miosis may be seen due to hypoxia in overdose situations.

Concentration–efficacy Relationships (Concentration–Efficacy Relationships)

The minimum effective analgesic concentration will vary widely among patients, especially among patients who have been previously treated with opioid agonists. The minimum effective analgesic concentration of butorphanol for any individual patient may increase over time due to an increase in pain, the development of a new pain syndrome, and/or the development of analgesic tolerance [see DOSAGE AND ADMINISTRATION ].

Cytochrome P450 (cyp 450) Interactions (Cytochrome P450 (CYP 450) Interactions)

It is not known if the effects of Butorphanol Tartrate Injection are altered by concomitant medications that affect hepatic metabolism of drugs (CYP 450 inhibitors or inducers) (e.g., erythromycin, theophylline, etc.), but physicians should be alert to the possibility that a smaller initial dose and longer intervals between doses may be needed.

Risk of Gastrointestinal Complications

Butorphanol Tartrate Injection is contraindicated in patients with known or suspected gastrointestinal obstruction, including paralytic ileus.

The butorphanol in Butorphanol Tartrate Injection may cause spasm of the sphincter of Oddi. Opioids may cause increases in serum amylase. Monitor patients with biliary tract disease, including acute pancreatitis, for worsening symptoms.

Cases of opioid-induced esophageal dysfunction (OIED) have been reported in patients taking opioids. The risk of OIED may increase as the dose and/or duration of opioids increases. Regularly evaluate patients for signs and symptoms of OIED (e.g., dysphagia, regurgitation, non-cardiac chest pain) and, if necessary, adjust opioid therapy as clinically appropriate [see CLINICAL PHARMACOLOGY].

Life Threatening Respiratory Depression (Life-Threatening Respiratory Depression)

Serious, life-threatening, or fatal respiratory depression has been reported with the use of opioids, even when used as recommended. Respiratory depression, if not immediately recognized and treated, may lead to respiratory arrest and death. Management of respiratory depression may include close observation, supportive measures, and use of opioid overdose reversal agents (e.g., naloxone, nalmefene), depending on the patient's clinical status [see OVERDOSAGE ]. Carbon dioxide (CO2) retention from opioid-induced respiratory depression can exacerbate the sedating effects of opioids.

While serious, life-threatening, or fatal respiratory depression can occur at any time during the use of butorphanol tartrate, the risk is greatest during the initiation of therapy or following a dosage increase.

To reduce the risk of respiratory depression, proper dosing and titration of butorphanol tartrate are essential [see DOSAGE AND ADMINISTRATION ]. Overestimating the butorphanol tartrate dosage when converting patients from another opioid product can result in a fatal overdose with the first dose.

Opioids can cause sleep-related breathing disorders including central sleep apnea (CSA) and sleep-related hypoxemia. Opioid use increases the risk of CSA in a dose-dependent fashion. In patients who present with CSA, consider decreasing the opioid dosage using best practices for opioid taper [see DOSAGE AND ADMINISTRATION ].

Patients With Chronic Pulmonary Disease (Patients with Chronic Pulmonary Disease)

Butorphanol tartrate-treated patients with significant chronic obstructive pulmonary disease or cor pulmonale, and those with a substantially decreased respiratory reserve, hypoxia, hypercapnia, or pre-existing respiratory depression are at increased risk of decreased respiratory drive including apnea, even at recommended dosages of butorphanol tartrate [see WARNINGS ].

Risks of Driving and Operating Machinery

Butorphanol Tartrate Injection may impair the mental or physical abilities needed to perform potentially hazardous activities such as driving a car or operating machinery. Warn patients not to drive or operate dangerous machinery unless they are tolerant to the effects of Butorphanol Tartrate Injection and know how they will react to the medication [see PRECAUTIONS; Information for Patients/Caregivers ].

Opioid Induced Hyperalgesia and Allodynia (Opioid-Induced Hyperalgesia and Allodynia)

Opioid-Induced Hyperalgesia (OIH) occurs when an opioid analgesic ‎paradoxically causes an increase in pain, or an increase in sensitivity to ‎pain. This condition differs from tolerance, which is the need for ‎increasing doses of opioids to maintain a defined effect [see Dependence ]. ‎Symptoms of OIH include (but may not be limited to) increased levels of ‎pain upon opioid dosage increase, decreased levels of pain upon opioid ‎dosage decrease, or pain from ordinarily non-painful stimuli (allodynia). ‎These symptoms may suggest OIH only if there is no evidence of ‎underlying disease progression, opioid tolerance, opioid withdrawal, or addictive ‎behavior.‎

Cases of OIH have been reported, both with short-term and longer-term ‎use of opioid analgesics. Though the mechanism of OIH is not fully ‎understood, multiple biochemical pathways have been implicated. Medical ‎literature suggests a strong biologic plausibility between opioid ‎analgesics and OIH and allodynia. If a patient is suspected to be ‎experiencing OIH, carefully consider appropriately decreasing the dose of ‎the current opioid analgesic or opioid rotation (safely switching the ‎patient to a different opioid moiety) [see DOSAGE AND ADMINISTRATION; ‎WARNINGS ].‎

Elderly, Cachectic, Or Debilitated Patients (Elderly, Cachectic, or Debilitated Patients)

Life-threatening respiratory depression is more likely to occur in elderly, cachectic, or debilitated patients because they may have altered pharmacokinetics or altered clearance compared to younger, healthier patients [see WARNINGS ].

Monitor such patients closely, particularly when initiating and titrating Butorphanol Tartrate Injection and when Butorphanol Tartrate Injection is given concomitantly with other drugs that depress respiration [see WARNINGS ]. Alternatively, consider the use of non-opioid analgesics in these patients.

Disorders of Respiratory Function Or Control (Disorders of Respiratory Function or Control)

Butorphanol may produce respiratory depression, especially in patients receiving other CNS active agents, or patients suffering from CNS diseases or respiratory impairment.

Principal Display Panel 1 Mg/ml Vial Label (PRINCIPAL DISPLAY PANEL - 1 mg/mL Vial Label)

1 mL

Single-dose

Rx only

CIV

BUTORPHANOL

TARTRATE Inj., USP

1 mg/mL

For I.M. or I.V. use

Dist. by Hospira, Inc., Lake Forest, IL 60045 USA

Principal Display Panel 2 Mg/ml Vial Label (PRINCIPAL DISPLAY PANEL - 2 mg/mL Vial Label)

1 mL

Single-dose

Rx only

BUTORPHANOL

TARTRATE Inj., USP

CIV

2 mg/mL

For I.M. or I.V. use

Dist. by Hospira, Inc., Lake Forest, IL 60045 USA

Use As Preoperative/preanesthetic Medication (Use as Preoperative/Preanesthetic Medication)

The preoperative medication dosage of Butorphanol Tartrate Injection should be individualized [see CLINICAL PHARMACOLOGY: Individualization of Dosage ]. The usual adult dose is 2 mg IM, administered 60 to 90 minutes before surgery. This is approximately equivalent in sedative effect to 10 mg morphine or 80 mg meperidine.

Principal Display Panel 1 Mg/ml Vial Carton (PRINCIPAL DISPLAY PANEL - 1 mg/mL Vial Carton)

1 mL Single-dose Fliptop Vials

NDC 0409-1623-01

Contains 10 of NDC 0409-1623-21

BUTORPHANOL TARTRATE

Injection, USP

1 mg/mL

For Intramuscular or Intravenous use

Discard unused portion.

CIV

Rx only

Hospira

Principal Display Panel 2 Mg/ml Vial Carton (PRINCIPAL DISPLAY PANEL - 2 mg/mL Vial Carton)

1 mL Single-dose Fliptop Vials

NDC 0409-1626-01

Contains 10 of NDC 0409-1626-21

BUTORPHANOL TARTRATE

Injection, USP 2 mg/mL

Rx only

CIV

For Intramuscular or Intravenous use Discard unused portion.

Hospira

Concentration–adverse Reaction Relationships (Concentration–Adverse Reaction Relationships)

There is a relationship between increasing butorphanol plasma concentration and increasing frequency of dose-related opioid adverse reactions such as nausea, vomiting, CNS effects, and respiratory depression. In opioid-tolerant patients, the situation may be altered by the development of tolerance to opioid-related adverse reactions [see DOSAGE AND ADMINISTRATION ].

Principal Display Panel 4 Mg/2 Ml Vial Label (PRINCIPAL DISPLAY PANEL - 4 mg/2 mL Vial Label)

2 mL

Single-dose

Rx only

CIV

BUTORPHANOL

TARTRATE

Injection, USP

4 mg/2 mL (2 mg/mL)

Dist. by Hospira, Inc., Lake Forest, IL 60045 USA

Principal Display Panel 4 Mg/2 Ml Vial Carton (PRINCIPAL DISPLAY PANEL - 4 mg/2 mL Vial Carton)

2 mL Single-dose Fliptop Vials

NDC 0409-1626-02

Contains 10 of NDC 0409-1626-42

BUTORPHANOL TARTRATE

Injection, USP 4 mg/2 mL (2 mg/mL)

Rx only

CIV

For Intramuscular or Intravenous use Discard unused portion.

Hospira

Important Dosage and Administration Instructions

Butorphanol Tartrate Injection should be prescribed only by healthcare professionals who are ‎knowledgeable about the use of opioids and how to mitigate the ‎associated risks.‎

Use the lowest effective dosage for the shortest duration of time consistent with individual patient treatment goals [see WARNINGS ]. Because the risk of overdose increases as opioid doses increase, reserve ‎titration to higher doses of Butorphanol Tartrate Injection for patients in whom lower ‎doses are insufficiently effective and in whom the expected benefits of ‎using a higher dose opioid clearly outweigh the substantial risks.‎

There is variability in the opioid analgesic dose and duration needed to ‎adequately manage pain due both to the cause of pain and to individual ‎patient factors. Initiate the dosing regimen for each patient individually, ‎taking into account the patient’s underlying cause and severity of pain, ‎prior analgesic treatment and response, and risk factors for addiction, ‎abuse, and misuse [see WARNINGS ].

Respiratory depression can occur at any time during opioid therapy, ‎especially when initiating and following dosage increases with Butorphanol Tartrate Injection. Consider this risk when selecting an initial dose and when ‎making dose adjustments [see WARNINGS ]‎.

Use in the Management of Pain Postoperative Pain (Use in the Management of Pain-Postoperative Pain)

The analgesic efficacy of Butorphanol Tartrate Injection in postoperative pain was investigated in several double-blind active-controlled studies involving 958 butorphanol-treated patients. The following doses were found to have approximately equivalent analgesic effect: 2 mg butorphanol, 10 mg morphine, 40 mg pentazocine and 80 mg meperidine.

After intravenous administration of butorphanol tartrate, onset and peak analgesic effect occurred by the time of first observation (30 minutes). After intramuscular administration, pain relief onset occurred at 30 minutes or less, and peak effect occurred between 30 minutes and one hour. The duration of action of Butorphanol Tartrate Injection was 3 to 4 hours when defined as the time necessary for pain intensity to return to pretreatment level or the time to retreatment.

Discontinuation of Butorphanol Tartrate Injection

When a patient who has been taking Butorphanol Tartrate Injection regularly and may be physically dependent no longer requires therapy with Butorphanol Tartrate Injection, taper the dose gradually, by 25% to 50% every 2 to 4 days, while monitoring carefully for signs and symptoms of withdrawal. If the patient develops these signs or symptoms, raise the dose to the previous level and taper more slowly, either by increasing the interval between decreases, decreasing the amount of change in dose, or both. Do not rapidly reduce or abruptly discontinue Butorphanol Tartrate Injection in patients who may be physically-dependent on opioids [see WARNINGS, DRUG ABUSE AND DEPENDENCE ].

Risks Specific to Abuse of Butorphanol Tartrate Injection

Abuse of Butorphanol Tartrate Injection poses a risk of overdose and death. The risk is increased with concurrent use of Butorphanol Tartrate Injection with alcohol and/or other CNS depressants.

Parenteral drug abuse is commonly associated with transmission of infectious diseases such as hepatitis and HIV.

Interactions With Benzodiazepines and Other Cns Depressants (Interactions with Benzodiazepines and Other CNS Depressants)

Inform patients and caregivers that potentially fatal additive effects may occur if butorphanol tartrate is used with benzodiazepines or other CNS depressants, including alcohol (e.g., non-benzodiazepine sedative/hypnotics, anxiolytics, tranquilizers, muscle relaxants, general anesthetics, antipsychotics, gabapentinoids [gabapentin or pregabalin], and other opioids), and not to use these concomitantly unless supervised by a healthcare provider [see WARNINGS, PRECAUTIONS; Drug Interactions ].

Effects On the Gastrointestinal Tract and Other Smooth Muscle (Effects on the Gastrointestinal Tract and Other Smooth Muscle)

Butorphanol causes a reduction in motility associated with an increase in smooth muscle tone in the antrum of the stomach and duodenum. Digestion of food in the small intestine is delayed and propulsive contractions are decreased. Propulsive peristaltic waves in the colon are decreased, while tone may be increased to the point of spasm, resulting in constipation. Other opioid-induced effects may include a reduction in biliary and pancreatic secretions, spasm of sphincter of Oddi, transient elevations in serum amylase, and opioid-induced esophageal dysfunction (OIED).

Increased Risk of Seizures in Patients With Seizure Disorders (Increased Risk of Seizures in Patients with Seizure Disorders)

The butorphanol in Butorphanol Tartrate Injection may increase the frequency of seizures in patients with seizure disorders, and may increase the risk of seizures occurring in other clinical settings associated with seizures. Monitor patients with a history of seizure disorders for worsened seizure control during Butorphanol Tartrate Injection therapy.

Benzodiazepines and Other Central Nervous System (cns) Depressants (Benzodiazepines and Other Central Nervous System (CNS) Depressants)

Due to additive pharmacologic effect, the concomitant use of benzodiazepines or other CNS depressants such as alcohol, sedatives/hypnotics, anxiolytics, tranquilizers, muscle relaxants, general anesthetics, antipsychotics, gabapentinoids (gabapentin or pregabalin), and other opioids, can increase the risk of respiratory depression, profound sedation, coma, and death.

Reserve concomitant prescribing of these drugs for use in patients for whom alternative treatment options are inadequate. Limit dosages and durations to the minimum required. Monitor patients closely for signs of respiratory depression and sedation [see WARNINGS ]. If concomitant use is warranted, consider ‎prescribing naloxone for the emergency treatment of opioid overdose.

Risks From Concomitant Use With Benzodiazepines Or Other Cns Depressants (Risks from Concomitant Use with Benzodiazepines or Other CNS Depressants)

Profound sedation, respiratory depression, coma, and death may result from the concomitant use of butorphanol tartrate with benzodiazepines and/or other CNS depressants, including alcohol (e.g., non-benzodiazepine sedatives/hypnotics, anxiolytics, tranquilizers, muscle relaxants, general anesthetics, antipsychotics, gabapentinoids [gabapentin or pregabalin], and other opioids). Because of these risks, reserve concomitant prescribing of these drugs for use in patients for whom alternative treatment options are inadequate.

Observational studies have demonstrated that concomitant use of opioid analgesics and benzodiazepines increases the risk of drug-related mortality compared to use of opioid analgesics alone. Because of similar pharmacological properties, it is reasonable to expect similar risk with the concomitant use of other CNS depressant drugs with opioid analgesics [see PRECAUTIONS; Drug Interactions ].

If the decision is made to prescribe a benzodiazepine or other CNS depressant concomitantly with an opioid analgesic, prescribe the lowest effective dosages and minimum durations of concomitant use. In patients already receiving an opioid analgesic, prescribe a lower initial dose of the benzodiazepine or other CNS depressant than indicated in the absence of an opioid, and titrate based on clinical response. If an opioid analgesic is initiated in a patient already taking a benzodiazepine or other CNS depressant, prescribe a lower initial dose of the opioid analgesic, and titrate based on clinical response. Monitor patients closely for signs and symptoms of respiratory depression and sedation. Advise both patients and caregivers about the risks of respiratory depression and sedation when butorphanol tartrate is used with benzodiazepines or other CNS depressants (including alcohol and illicit drugs). Advise patients not to drive or operate heavy machinery until the effects of concomitant use of the benzodiazepine or other CNS depressant have been determined. Screen patients for risk of substance use disorders, including opioid abuse and misuse, and warn them of the risk for overdose and death associated with the use of additional CNS depressants including alcohol and illicit drugs [see PRECAUTIONS; Information for Patients, Drug Interactions ].

Dosage Modifications in Elderly Patients and Patients With Renal Or Hepatic Impairment (Dosage Modifications in Elderly Patients and Patients with Renal or Hepatic Impairment)

The initial dose sequence in elderly patients and patients with hepatic or renal impairment should be limited to 1 mg followed, if needed, by 1 mg in 90 to 120 minutes. The repeat dose sequence should be determined by the patient's response rather than at fixed times but will generally be no less than at 6 hours intervals [see CLINICAL PHARMACOLOGY: Individualization of Dosage, PRECAUTIONS ].

Warning: Serious and Life Threatening Risks From Use of Butorphanol Tartrate Injection (WARNING: SERIOUS AND LIFE-THREATENING RISKS FROM USE OF BUTORPHANOL TARTRATE INJECTION)

Addiction, Abuse, and Misuse

Because the use of Butorphanol Tartrate Injection exposes patients and other users to the risks of opioid addiction, abuse, and misuse, which can lead to overdose and death, assess each patient’s risk prior to prescribing and reassess all patients regularly for the development of these behaviors and conditions [see WARNINGS].

Life-Threatening Respiratory Depression

Serious, life-threatening, or fatal respiratory depression may occur with use of Butorphanol Tartrate Injection, especially during initiation or following a dosage increase. To reduce the risk of respiratory depression, proper dosing and titration ‎of Butorphanol Tartrate Injection are essential [see WARNINGS].

Risks From Concomitant Use With Benzodiazepines Or Other CNS Depressants

Concomitant use of opioids with benzodiazepines or other central nervous system (CNS) depressants, including alcohol, may result in profound sedation, respiratory depression, coma, and death. Reserve concomitant prescribing of Butorphanol Tartrate Injection and benzodiazepines or other CNS depressants for use in patients for whom alternative treatment options are inadequate [see WARNINGS, PRECAUTIONS; Drug Interactions].

Neonatal Opioid Withdrawal Syndrome (NOWS)

Advise pregnant women using opioids for an extended period of time of the risk of Neonatal Opioid Withdrawal Syndrome, which may be life-threatening if not recognized and treated. Ensure that management by neonatology experts‎ will be available at delivery [see WARNINGS].

Risks of Use in Patients With Increased Intracranial Pressure, Brain Tumors, Head Injury, Or Impaired Consciousness (Risks of Use in Patients with Increased Intracranial Pressure, Brain Tumors, Head Injury, or Impaired Consciousness)

In patients who may be susceptible to the intracranial effects of CO2 retention (e.g., those with evidence of increased intracranial pressure or brain tumors), Butorphanol Tartrate Injection may reduce respiratory drive, and the resultant CO2 retention can further increase intracranial pressure. Monitor such patients for signs of sedation and respiratory depression, particularly when initiating therapy with Butorphanol Tartrate Injection.

Opioids may also obscure the clinical course in a patient with a head injury. Avoid the use of Butorphanol Tartrate Injection in patients with impaired consciousness or coma.

Life Threatening Respiratory Depression in Patients With Chronic Pulmonary Disease Or in Elderly, Cachectic, Or Debilitated Patients (Life-Threatening Respiratory Depression in Patients with Chronic Pulmonary Disease or in Elderly, Cachectic, or Debilitated Patients)

The use of butorphanol tartrate in patients with acute or severe bronchial asthma in an unmonitored setting or in the absence of resuscitative equipment is contraindicated.


Advanced Ingredient Data


Raw Label Data

All Sections (JSON)