Neomycin And Polymyxin B Sulfates And Hydrocortisone Ophthalmic Suspension, Usp

Neomycin And Polymyxin B Sulfates And Hydrocortisone Ophthalmic Suspension, Usp
SPL v8
SPL
SPL Set ID 96a7b0a5-030a-42dc-80cd-35c4e9aa1b6d
Route
OPHTHALMIC
Published
Effective Date 2019-04-18
Document Type 34391-3 HUMAN PRESCRIPTION DRUG LABEL

Drug Facts

Composition & Product

Active Ingredients
Neomycin (3.5 mg) Polymyxin B (10000 [USP'U]) Hydrocortisone (10 mg)
Inactive Ingredients
Thimerosal Cetyl Alcohol Glyceryl Monostearate Mineral Oil Polyoxyl 40 Stearate Propylene Glycol Sulfuric Acid Water

Identifiers & Packaging

Marketing Status
ANDA Active Since 2003-05-09

Description

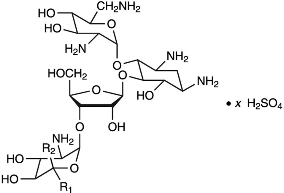
Neomycin and Polymyxin B Sulfates and Hydrocortisone Ophthalmic Suspension is a sterile antimicrobial and anti-inflammatory suspension for ophthalmic use. Each mL contains: Actives: neomycin sulfate (equivalent to 3.5 mg neomycin base), polymyxin B sulfate equivalent to 10,000 polymyxin B units, and hydrocortisone 10 mg (1%). Preservative: thimerosal 0.001%. Inactives: cetyl alcohol, glyceryl monostearate, mineral oil, polyoxyl 40 stearate, propylene glycol, sulfuric acid (to adjust pH) and water for injection. Neomycin sulfate is the sulfate salt of neomycin B and C, which are produced by the growth of Streptomyces fradiae Waksman (Fam. Streptomycetacae). It has a potency equivalent to not less than 600 μg of neomycin standard per mg, calculated on an anhydrous basis. Its structural formula are: Neomycin B (R 1 =H, R 2 =CH 2 NH 2 ) Neomycin C (R 1 =CH 2 NH 2 , R 2 =H) Polymyxin B sulfate is the sulfate salt of Polymyxin, B1 and B2, which are produced by the growth of Bacillus polymyxa (Prazmowski) Migula (Fam. Bacillaceae). It has a potency of not less than 6,000 polymyxin B units per mg calculated on an anhydrous basis. Its structural formula are: Hydrocortisone, 11β, 17, 21-trihydroxypregn-4-ene-3, 20 dione, is an anti-inflammatory hormone. Its structural formula is:

Indications and Usage

Neomycin and Polymyxin B Sulfates and Hydrocortisone Ophthalmic Suspension is indicated for steroid-responsive inflammatory ocular conditions for which a corticosteroid is indicated and where bacterial infection or a risk of bacterial ocular infection exists. Ocular corticosteroids are indicated in inflammatory conditions of the palpebral and bulbar conjunctiva, cornea and anterior segment of the globe where the inherent risk of corticosteroid use in certain infective conjunctivitides is accepted to obtain a diminution in edema and inflammation. They are also indicated in chronic anterior uveitis and corneal injury from chemical, radiation, or thermal burns, or penetration of foreign bodies. The use of a combination drug with an anti-infective component is indicated where the risk of infection is high or where there is an expectation that potentially dangerous numbers of bacteria will be present in the eye [see Clinical Pharmacology: Microbiology ]. The particular anti-infective drugs in this product are active against the following common bacterial eye pathogens: Staphylococcus aureus , Escherichia coli , Haemophilus influenzae , Klebsiella/Enterobacter species, Neisseria species, and Pseudomonas aeruginosa . The product does not provide adequate coverage against Serratia marcescens and streptococci, including Streptococcus pneumoniae .

Dosage and Administration

One or two drops in the affected eye every 3 or 4 hours, depending on the severity of the condition. The suspension may be used more frequently if necessary. Not more than 20 mL should be prescribed initially and the prescription should not be refilled without further evaluation as outlined in PRECAUTIONS above.

Contraindications

Neomycin and Polymyxin B Sulfates and Hydrocortisone Ophthalmic Suspension is contraindicated in most viral diseases of the cornea and conjunctiva including: epithelial herpes simplex keratitis (dendritic keratitis), vaccinia, and varicella, and also in mycobacterial infection of the eye and fungal diseases of ocular structures. Neomycin and Polymyxin B Sulfates and Hydrocortisone Ophthalmic Suspension is also contraindicated in individuals who have shown hypersensitivity to any of its components. Hypersensitivity to the antibiotic component occurs at a higher rate than for other components.

Adverse Reactions

Adverse reactions have occurred with corticosteroid/anti-infective combination drugs which can be attributed to the corticosteroid component, the anti-infective component, or the combination. The exact incidence is not known. Reactions occurring most often from the presence of the anti-infective ingredient are allergic sensitization reactions including itching, swelling, and conjunctival erythema [see Warnings ]. More serious hypersensitivity reactions, including anaphylaxis, have been reported rarely. The reactions due to the corticosteroid component in decreasing order of frequency are: elevation of intraocular pressure (IOP) with possible development of glaucoma, and infrequent optic nerve damage; posterior subcapsular cataract formation; and delayed wound healing. Secondary Infection The development of secondary infection has occurred after use of combinations containing corticosteroids and antimicrobials. Fungal and viral infections of the cornea are particularly prone to develop coincidentally with long-term applications of a corticosteroid. The possibility of fungal invasion must be considered in any persistent corneal ulceration where corticosteroid treatment has been used. Local irritation on instillation has also been reported. To report SUSPECTED ADVERSE REACTIONS, contact Sandoz Inc. at 1-800-525-8747 or FDA at 1-800-FDA-1088 or www.fda.gov/medwatch.

How Supplied

Neomycin and Polymyxin B Sulfates and Hydrocortisone Ophthalmic Suspension is available in a bottle containing 7.5 mL. NDC 61314-641-75 SHAKE WELL BEFORE USING. Store at 20° to 25°C (68° to 77°F).


Medication Information

Indications and Usage

Neomycin and Polymyxin B Sulfates and Hydrocortisone Ophthalmic Suspension is indicated for steroid-responsive inflammatory ocular conditions for which a corticosteroid is indicated and where bacterial infection or a risk of bacterial ocular infection exists.

Ocular corticosteroids are indicated in inflammatory conditions of the palpebral and bulbar conjunctiva, cornea and anterior segment of the globe where the inherent risk of corticosteroid use in certain infective conjunctivitides is accepted to obtain a diminution in edema and inflammation. They are also indicated in chronic anterior uveitis and corneal injury from chemical, radiation, or thermal burns, or penetration of foreign bodies.

The use of a combination drug with an anti-infective component is indicated where the risk of infection is high or where there is an expectation that potentially dangerous numbers of bacteria will be present in the eye [see Clinical Pharmacology: Microbiology ].

The particular anti-infective drugs in this product are active against the following common bacterial eye pathogens: Staphylococcus aureus, Escherichia coli, Haemophilus influenzae, Klebsiella/Enterobacter species, Neisseria species, and Pseudomonas aeruginosa.

The product does not provide adequate coverage against Serratia marcescens and streptococci, including Streptococcus pneumoniae.

Dosage and Administration

One or two drops in the affected eye every 3 or 4 hours, depending on the severity of the condition. The suspension may be used more frequently if necessary.

Not more than 20 mL should be prescribed initially and the prescription should not be refilled without further evaluation as outlined in PRECAUTIONS above.

Contraindications

Neomycin and Polymyxin B Sulfates and Hydrocortisone Ophthalmic Suspension is contraindicated in most viral diseases of the cornea and conjunctiva including: epithelial herpes simplex keratitis (dendritic keratitis), vaccinia, and varicella, and also in mycobacterial infection of the eye and fungal diseases of ocular structures.

Neomycin and Polymyxin B Sulfates and Hydrocortisone Ophthalmic Suspension is also contraindicated in individuals who have shown hypersensitivity to any of its components. Hypersensitivity to the antibiotic component occurs at a higher rate than for other components.

Adverse Reactions

Adverse reactions have occurred with corticosteroid/anti-infective combination drugs which can be attributed to the corticosteroid component, the anti-infective component, or the combination. The exact incidence is not known.

Reactions occurring most often from the presence of the anti-infective ingredient are allergic sensitization reactions including itching, swelling, and conjunctival erythema [see Warnings ]. More serious hypersensitivity reactions, including anaphylaxis, have been reported rarely.

The reactions due to the corticosteroid component in decreasing order of frequency are: elevation of intraocular pressure (IOP) with possible development of glaucoma, and infrequent optic nerve damage; posterior subcapsular cataract formation; and delayed wound healing.

Secondary Infection

The development of secondary infection has occurred after use of combinations containing corticosteroids and antimicrobials. Fungal and viral infections of the cornea are particularly prone to develop coincidentally with long-term applications of a corticosteroid. The possibility of fungal invasion must be considered in any persistent corneal ulceration where corticosteroid treatment has been used.

Local irritation on instillation has also been reported.

To report SUSPECTED ADVERSE REACTIONS, contact Sandoz Inc. at 1-800-525-8747 or FDA at 1-800-FDA-1088 or www.fda.gov/medwatch.

How Supplied

Neomycin and Polymyxin B Sulfates and Hydrocortisone Ophthalmic Suspension is available in a bottle containing 7.5 mL. NDC 61314-641-75

SHAKE WELL BEFORE USING.

Store at 20° to 25°C (68° to 77°F).

Description

Neomycin and Polymyxin B Sulfates and Hydrocortisone Ophthalmic Suspension is a sterile antimicrobial and anti-inflammatory suspension for ophthalmic use.

Each mL contains: Actives: neomycin sulfate (equivalent to 3.5 mg neomycin base), polymyxin B sulfate equivalent to 10,000 polymyxin B units, and hydrocortisone 10 mg (1%). Preservative: thimerosal 0.001%. Inactives: cetyl alcohol, glyceryl monostearate, mineral oil, polyoxyl 40 stearate, propylene glycol, sulfuric acid (to adjust pH) and water for injection.

Neomycin sulfate is the sulfate salt of neomycin B and C, which are produced by the growth of Streptomyces fradiae Waksman (Fam. Streptomycetacae). It has a potency equivalent to not less than 600 μg of neomycin standard per mg, calculated on an anhydrous basis. Its structural formula are:

Neomycin B (R1=H, R2=CH2NH2)

Neomycin C (R1=CH2NH2, R2=H)

Polymyxin B sulfate is the sulfate salt of Polymyxin, B1 and B2, which are produced by the growth of Bacillus polymyxa (Prazmowski) Migula (Fam. Bacillaceae). It has a potency of not less than 6,000 polymyxin B units per mg calculated on an anhydrous basis. Its structural formula are:

Hydrocortisone, 11β, 17, 21-trihydroxypregn-4-ene-3, 20 dione, is an anti-inflammatory hormone. Its structural formula is:

Section 42229-5

Manufactured by

Alcon Laboratories, Inc.

Fort Worth, Texas 76134 for

Sandoz Inc.

Princeton, NJ 08540

Rev. August 2021

300049861-0821

Warnings

NOT FOR INJECTION INTO THE EYE. Neomycin and Polymyxin B Sulfates and Hydrocortisone Ophthalmic Suspension should never be directly introduced into the anterior chamber of the eye.

Prolonged use of corticosteroids may result in ocular hypertension and/or glaucoma, with damage to the optic nerve, defects in visual acuity and fields of vision, and posterior subcapsular cataract formation.

Prolonged use may suppress the host response and thus increase the hazard of secondary ocular infections. In those diseases causing thinning of the cornea or sclera, perforations have been known to occur with the use of topical corticosteroids. In acute purulent conditions of the eye, corticosteroids may mask infection or enhance existing infection.

If these products are used for 10 days or longer, intraocular pressure should be routinely monitored even though it may be difficult in uncooperative patients. Corticosteroids should be used with caution in the presence of glaucoma.

The use of corticosteroids after cataract surgery may delay healing and increase the incidence of filtering blebs. Use of ocular corticosteroids may prolong the course and may exacerbate the severity of many viral infections of the eye (including herpes simplex). Employment of corticosteroid medication in the treatment of herpes simplex requires great caution.

Topical antibiotics, particularly, neomycin sulfate, may cause cutaneous sensitization. A precise incidence of hypersensitivity reactions (primarily skin rash) due to topical antibiotics is not known. The manifestations of sensitization to topical antibiotics are usually itching, reddening, and edema of the conjunctiva and eyelid. A sensitization reaction may manifest simply as a failure to heal. During long-term use of topical antibiotic products, periodic examination for such signs is advisable, and the patient should be told to discontinue the product if they are observed. Symptoms usually subside quickly on withdrawing the medication. Application of products containing these ingredients should be avoided for the patient thereafter [see Precautions: General ].

Pregnancy

Teratogenic Effects

Pregnancy Category C. Corticosteroids have been found to be teratogenic in rabbits when applied topically at concentrations of 0.5% on days 6 -18 of gestation and in mice when applied topically at a concentration of 15% on days 10 -13 of gestation. There are no adequate and well-controlled studies in pregnant women. Neomycin and Polymyxin B Sulfates and Hydrocortisone Ophthalmic Suspension should be used during pregnancy only if the potential benefit justifies the potential risk to the fetus.

Precautions

General

The initial prescription and renewal of the medication order beyond 20 mL should be made by a physician only after examination of the patient with the aid of magnification, such as slit lamp biomicroscopy and, where appropriate, fluorescein staining. If signs and symptoms fail to improve after 2 days, the patient should be re-evaluated.

The possibility of fungal infections of the cornea should be considered after prolonged corticosteroid dosing. Fungal cultures should be taken when appropriate.

If this product is used for 10 days or longer, intraocular pressure should be monitored [see Warnings ].

There have been reports of bacterial keratitis associated with the use of topical ophthalmic products in multiple-dose containers which have been inadvertently contaminated by patients, most of whom had a concurrent corneal disease or a disruption of the ocular epithelial surface [see Precautions: Information for Patients ].

Allergic cross-reactions may occur which could prevent the use of any or all of the following antibiotics for the treatment of future infections: kanamycin, paromomycin, streptomycin, and possibly gentamicin.

Microbiology

The anti-infective components in Neomycin and Polymyxin B Sulfates and Hydrocortisone Ophthalmic Suspension are included to provide action against specific organisms susceptible to it. Neomycin sulfate and polymyxin B sulfate are active in vitro against susceptible strains of the following microorganisms: Staphylococcus aureus, Escherichia coli, Haemophilus influenzae, Klebsiella/Enterobacter species, Neisseria species, and Pseudomonas aeruginosa. The product does not provide adequate coverage against Serratia marcescens and streptococci, including Streptococcus pneumoniae [see Indications and Usage ].

Geriatric Use

No overall differences in safety or effectiveness have been observed between elderly and younger patients.

Pediatric Use

Safety and effectiveness in pediatric patients have not been established.

Nursing Mothers

It is not known whether topical administration of corticosteroids could result in sufficient systemic absorption to produce detectable quantities in human milk. Systemically administered corticosteroids appear in human milk and could suppress growth, interfere with endogenous corticosteroid production, or cause other untoward effects. Because of the potential for serious adverse reactions in nursing infants from Neomycin and Polymyxin B Sulfates and Hydrocortisone Ophthalmic Suspension, a decision should be made whether to discontinue nursing or to discontinue the drug, taking into account the importance of the drug to the mother.

Clinical Pharmacology

Corticosteroids suppress the inflammatory response to a variety of agents, and they probably delay or slow healing. Since corticosteroids may inhibit the body's defense mechanism against infection, concomitant antimicrobial drugs may be used when this inhibition is considered to be clinically significant in a particular case.

When a decision to administer both a corticosteroid and antimicrobials is made, the administration of such drugs in combination has the advantage of greater patient compliance and convenience, with the added assurance that the appropriate dosage of all drugs is administered. When each type of drug is in the same formulation, compatibility of ingredients is assured and the correct volume of drug is delivered and retained.

The relative potency of corticosteroids depends on the molecular structure, concentration, and release from the vehicle.

Principal Display Panel

NDC 61314-641-75

Neomycin and

Polymyxin B Sulfates

and Hydrocortisone

Ophthalmic

Suspension, USP

FOR TOPICAL OPHTHALMIC USE ONLY

Rx Only

STERILE

7.5 mL

SANDOZ

Information for Patients

Patients should be instructed to avoid allowing the tip of the dispensing container to contact the eye, eyelid, fingers, or any other surface. The use of this product by more than one person may spread infection.

Patients should also be instructed that ocular products, if handled improperly, can become contaminated by common bacteria known to cause ocular infections. Serious damage to the eye and subsequent loss of vision may result from using contaminated products [see Precautions: General ].

If the condition persists or gets worse, or if a rash or allergic reaction develops, the patient should be advised to stop use and consult a physician. Do not use this product if you are allergic to any of the listed ingredients.

Keep tightly closed when not in use. Keep out of reach of children.

Carcinogenesis, Mutagenesis, Impairment of Fertility

Long-term studies in animals to evaluate carcinogenic or mutagenic potential have not been conducted with polymyxin B sulfate. Treatment of cultured human lymphocytes in vitro with neomycin increased the frequency of chromosome aberrations at the highest concentrations (80 ug/mL) tested; however, the effects of neomycin on carcinogenesis and mutagenesis in humans are unknown.

Long-term studies in animals (rats, rabbits, mice) showed no evidence of carcinogenicity or mutagenicity attributable to oral administration of corticosteroids. Long-term animal studies have not been performed to evaluate the carcinogenic potential of topical corticosteroids. Studies to determine mutagenicity with hydrocortisone have revealed negative results. Use of corticosteroid medication in the treatment of herpes simplex requires great caution. Polymyxin B has been reported to impair the motility of equine sperm, but its effects on male or female fertility are unknown. Long-term animal studies have not been performed to evaluate the effect on fertility of topical corticosteroids.


Structured Label Content

Section 42229-5 (42229-5)

Manufactured by

Alcon Laboratories, Inc.

Fort Worth, Texas 76134 for

Sandoz Inc.

Princeton, NJ 08540

Rev. August 2021

300049861-0821

Warnings (WARNINGS)

NOT FOR INJECTION INTO THE EYE. Neomycin and Polymyxin B Sulfates and Hydrocortisone Ophthalmic Suspension should never be directly introduced into the anterior chamber of the eye.

Prolonged use of corticosteroids may result in ocular hypertension and/or glaucoma, with damage to the optic nerve, defects in visual acuity and fields of vision, and posterior subcapsular cataract formation.

Prolonged use may suppress the host response and thus increase the hazard of secondary ocular infections. In those diseases causing thinning of the cornea or sclera, perforations have been known to occur with the use of topical corticosteroids. In acute purulent conditions of the eye, corticosteroids may mask infection or enhance existing infection.

If these products are used for 10 days or longer, intraocular pressure should be routinely monitored even though it may be difficult in uncooperative patients. Corticosteroids should be used with caution in the presence of glaucoma.

The use of corticosteroids after cataract surgery may delay healing and increase the incidence of filtering blebs. Use of ocular corticosteroids may prolong the course and may exacerbate the severity of many viral infections of the eye (including herpes simplex). Employment of corticosteroid medication in the treatment of herpes simplex requires great caution.

Topical antibiotics, particularly, neomycin sulfate, may cause cutaneous sensitization. A precise incidence of hypersensitivity reactions (primarily skin rash) due to topical antibiotics is not known. The manifestations of sensitization to topical antibiotics are usually itching, reddening, and edema of the conjunctiva and eyelid. A sensitization reaction may manifest simply as a failure to heal. During long-term use of topical antibiotic products, periodic examination for such signs is advisable, and the patient should be told to discontinue the product if they are observed. Symptoms usually subside quickly on withdrawing the medication. Application of products containing these ingredients should be avoided for the patient thereafter [see Precautions: General ].

Pregnancy

Teratogenic Effects

Pregnancy Category C. Corticosteroids have been found to be teratogenic in rabbits when applied topically at concentrations of 0.5% on days 6 -18 of gestation and in mice when applied topically at a concentration of 15% on days 10 -13 of gestation. There are no adequate and well-controlled studies in pregnant women. Neomycin and Polymyxin B Sulfates and Hydrocortisone Ophthalmic Suspension should be used during pregnancy only if the potential benefit justifies the potential risk to the fetus.

Description (DESCRIPTION)

Neomycin and Polymyxin B Sulfates and Hydrocortisone Ophthalmic Suspension is a sterile antimicrobial and anti-inflammatory suspension for ophthalmic use.

Each mL contains: Actives: neomycin sulfate (equivalent to 3.5 mg neomycin base), polymyxin B sulfate equivalent to 10,000 polymyxin B units, and hydrocortisone 10 mg (1%). Preservative: thimerosal 0.001%. Inactives: cetyl alcohol, glyceryl monostearate, mineral oil, polyoxyl 40 stearate, propylene glycol, sulfuric acid (to adjust pH) and water for injection.

Neomycin sulfate is the sulfate salt of neomycin B and C, which are produced by the growth of Streptomyces fradiae Waksman (Fam. Streptomycetacae). It has a potency equivalent to not less than 600 μg of neomycin standard per mg, calculated on an anhydrous basis. Its structural formula are:

Neomycin B (R1=H, R2=CH2NH2)

Neomycin C (R1=CH2NH2, R2=H)

Polymyxin B sulfate is the sulfate salt of Polymyxin, B1 and B2, which are produced by the growth of Bacillus polymyxa (Prazmowski) Migula (Fam. Bacillaceae). It has a potency of not less than 6,000 polymyxin B units per mg calculated on an anhydrous basis. Its structural formula are:

Hydrocortisone, 11β, 17, 21-trihydroxypregn-4-ene-3, 20 dione, is an anti-inflammatory hormone. Its structural formula is:

Precautions (PRECAUTIONS)

General

The initial prescription and renewal of the medication order beyond 20 mL should be made by a physician only after examination of the patient with the aid of magnification, such as slit lamp biomicroscopy and, where appropriate, fluorescein staining. If signs and symptoms fail to improve after 2 days, the patient should be re-evaluated.

The possibility of fungal infections of the cornea should be considered after prolonged corticosteroid dosing. Fungal cultures should be taken when appropriate.

If this product is used for 10 days or longer, intraocular pressure should be monitored [see Warnings ].

There have been reports of bacterial keratitis associated with the use of topical ophthalmic products in multiple-dose containers which have been inadvertently contaminated by patients, most of whom had a concurrent corneal disease or a disruption of the ocular epithelial surface [see Precautions: Information for Patients ].

Allergic cross-reactions may occur which could prevent the use of any or all of the following antibiotics for the treatment of future infections: kanamycin, paromomycin, streptomycin, and possibly gentamicin.

How Supplied (HOW SUPPLIED)

Neomycin and Polymyxin B Sulfates and Hydrocortisone Ophthalmic Suspension is available in a bottle containing 7.5 mL. NDC 61314-641-75

SHAKE WELL BEFORE USING.

Store at 20° to 25°C (68° to 77°F).

Microbiology

The anti-infective components in Neomycin and Polymyxin B Sulfates and Hydrocortisone Ophthalmic Suspension are included to provide action against specific organisms susceptible to it. Neomycin sulfate and polymyxin B sulfate are active in vitro against susceptible strains of the following microorganisms: Staphylococcus aureus, Escherichia coli, Haemophilus influenzae, Klebsiella/Enterobacter species, Neisseria species, and Pseudomonas aeruginosa. The product does not provide adequate coverage against Serratia marcescens and streptococci, including Streptococcus pneumoniae [see Indications and Usage ].

Geriatric Use

No overall differences in safety or effectiveness have been observed between elderly and younger patients.

Pediatric Use

Safety and effectiveness in pediatric patients have not been established.

Nursing Mothers

It is not known whether topical administration of corticosteroids could result in sufficient systemic absorption to produce detectable quantities in human milk. Systemically administered corticosteroids appear in human milk and could suppress growth, interfere with endogenous corticosteroid production, or cause other untoward effects. Because of the potential for serious adverse reactions in nursing infants from Neomycin and Polymyxin B Sulfates and Hydrocortisone Ophthalmic Suspension, a decision should be made whether to discontinue nursing or to discontinue the drug, taking into account the importance of the drug to the mother.

Adverse Reactions (ADVERSE REACTIONS)

Adverse reactions have occurred with corticosteroid/anti-infective combination drugs which can be attributed to the corticosteroid component, the anti-infective component, or the combination. The exact incidence is not known.

Reactions occurring most often from the presence of the anti-infective ingredient are allergic sensitization reactions including itching, swelling, and conjunctival erythema [see Warnings ]. More serious hypersensitivity reactions, including anaphylaxis, have been reported rarely.

The reactions due to the corticosteroid component in decreasing order of frequency are: elevation of intraocular pressure (IOP) with possible development of glaucoma, and infrequent optic nerve damage; posterior subcapsular cataract formation; and delayed wound healing.

Secondary Infection

The development of secondary infection has occurred after use of combinations containing corticosteroids and antimicrobials. Fungal and viral infections of the cornea are particularly prone to develop coincidentally with long-term applications of a corticosteroid. The possibility of fungal invasion must be considered in any persistent corneal ulceration where corticosteroid treatment has been used.

Local irritation on instillation has also been reported.

To report SUSPECTED ADVERSE REACTIONS, contact Sandoz Inc. at 1-800-525-8747 or FDA at 1-800-FDA-1088 or www.fda.gov/medwatch.

Contraindications (CONTRAINDICATIONS)

Neomycin and Polymyxin B Sulfates and Hydrocortisone Ophthalmic Suspension is contraindicated in most viral diseases of the cornea and conjunctiva including: epithelial herpes simplex keratitis (dendritic keratitis), vaccinia, and varicella, and also in mycobacterial infection of the eye and fungal diseases of ocular structures.

Neomycin and Polymyxin B Sulfates and Hydrocortisone Ophthalmic Suspension is also contraindicated in individuals who have shown hypersensitivity to any of its components. Hypersensitivity to the antibiotic component occurs at a higher rate than for other components.

Clinical Pharmacology (CLINICAL PHARMACOLOGY)

Corticosteroids suppress the inflammatory response to a variety of agents, and they probably delay or slow healing. Since corticosteroids may inhibit the body's defense mechanism against infection, concomitant antimicrobial drugs may be used when this inhibition is considered to be clinically significant in a particular case.

When a decision to administer both a corticosteroid and antimicrobials is made, the administration of such drugs in combination has the advantage of greater patient compliance and convenience, with the added assurance that the appropriate dosage of all drugs is administered. When each type of drug is in the same formulation, compatibility of ingredients is assured and the correct volume of drug is delivered and retained.

The relative potency of corticosteroids depends on the molecular structure, concentration, and release from the vehicle.

Indications and Usage (INDICATIONS AND USAGE)

Neomycin and Polymyxin B Sulfates and Hydrocortisone Ophthalmic Suspension is indicated for steroid-responsive inflammatory ocular conditions for which a corticosteroid is indicated and where bacterial infection or a risk of bacterial ocular infection exists.

Ocular corticosteroids are indicated in inflammatory conditions of the palpebral and bulbar conjunctiva, cornea and anterior segment of the globe where the inherent risk of corticosteroid use in certain infective conjunctivitides is accepted to obtain a diminution in edema and inflammation. They are also indicated in chronic anterior uveitis and corneal injury from chemical, radiation, or thermal burns, or penetration of foreign bodies.

The use of a combination drug with an anti-infective component is indicated where the risk of infection is high or where there is an expectation that potentially dangerous numbers of bacteria will be present in the eye [see Clinical Pharmacology: Microbiology ].

The particular anti-infective drugs in this product are active against the following common bacterial eye pathogens: Staphylococcus aureus, Escherichia coli, Haemophilus influenzae, Klebsiella/Enterobacter species, Neisseria species, and Pseudomonas aeruginosa.

The product does not provide adequate coverage against Serratia marcescens and streptococci, including Streptococcus pneumoniae.

Principal Display Panel (PRINCIPAL DISPLAY PANEL)

NDC 61314-641-75

Neomycin and

Polymyxin B Sulfates

and Hydrocortisone

Ophthalmic

Suspension, USP

FOR TOPICAL OPHTHALMIC USE ONLY

Rx Only

STERILE

7.5 mL

SANDOZ

Information for Patients

Patients should be instructed to avoid allowing the tip of the dispensing container to contact the eye, eyelid, fingers, or any other surface. The use of this product by more than one person may spread infection.

Patients should also be instructed that ocular products, if handled improperly, can become contaminated by common bacteria known to cause ocular infections. Serious damage to the eye and subsequent loss of vision may result from using contaminated products [see Precautions: General ].

If the condition persists or gets worse, or if a rash or allergic reaction develops, the patient should be advised to stop use and consult a physician. Do not use this product if you are allergic to any of the listed ingredients.

Keep tightly closed when not in use. Keep out of reach of children.

Dosage and Administration (DOSAGE AND ADMINISTRATION)

One or two drops in the affected eye every 3 or 4 hours, depending on the severity of the condition. The suspension may be used more frequently if necessary.

Not more than 20 mL should be prescribed initially and the prescription should not be refilled without further evaluation as outlined in PRECAUTIONS above.

Carcinogenesis, Mutagenesis, Impairment of Fertility

Long-term studies in animals to evaluate carcinogenic or mutagenic potential have not been conducted with polymyxin B sulfate. Treatment of cultured human lymphocytes in vitro with neomycin increased the frequency of chromosome aberrations at the highest concentrations (80 ug/mL) tested; however, the effects of neomycin on carcinogenesis and mutagenesis in humans are unknown.

Long-term studies in animals (rats, rabbits, mice) showed no evidence of carcinogenicity or mutagenicity attributable to oral administration of corticosteroids. Long-term animal studies have not been performed to evaluate the carcinogenic potential of topical corticosteroids. Studies to determine mutagenicity with hydrocortisone have revealed negative results. Use of corticosteroid medication in the treatment of herpes simplex requires great caution. Polymyxin B has been reported to impair the motility of equine sperm, but its effects on male or female fertility are unknown. Long-term animal studies have not been performed to evaluate the effect on fertility of topical corticosteroids.


Advanced Ingredient Data


Raw Label Data

All Sections (JSON)