These Highlights Do Not Include All The Information Needed To Use Marcaine®

These Highlights Do Not Include All The Information Needed To Use Marcaine®
SPL v26
SPL
SPL Set ID 9679cc05-2f8a-4e88-53b5-6e9122c8b8c0
Route
SUBARACHNOID
Published
Effective Date 2022-09-28
Document Type 34391-3 HUMAN PRESCRIPTION DRUG LABEL

Drug Facts

Composition & Product

Inactive Ingredients
Anhydrous Dextrose Sodium Hydroxide Hydrochloric Acid Water

Identifiers & Packaging

Marketing Status
NDA Completed Since 2005-05-19 Until 2022-06-01

Description

MARCAINE SPINAL is indicated for subarachnoid injection in adults for the production of subarachnoid block (spinal anesthesia).

Indications and Usage

MARCAINE SPINAL is indicated for subarachnoid injection in adults for the production of subarachnoid block (spinal anesthesia).

Dosage and Administration

• Visually inspect this product for particulate matter and discoloration prior to administration. MARCAINE SPINAL is a clear, colorless solution. Do not administer solutions which are discolored or contain particulate matter. • Mixing or the prior or intercurrent use of any other local anesthetic with MARCAINE SPINAL is not recommended because of insufficient data on the clinical use of such mixtures. • Discard unused portions of MARCAINE SPINAL following initial use.

Warnings and Precautions

• Use of Spinal Anesthetics During Uterine Contractions : Spinal anesthetics, including MARCAINE SPINAL, should not be injected during uterine contractions because cerebrospinal fluid current may carry the drug further cephalad than desired, resulting in a high motor block. ( 5.1 ) • Patients with Hypertension : Sympathetic blockade due to spinal anesthesia may result in peripheral vasodilation and hypotension. Monitor blood pressure frequently. Hypotension may be controlled by administration of vasoconstrictor agents in titrated dosages depending on the severity of hypotension and response to treatment. Monitor the onset of adequate spinal anesthesia frequently. ( 5.2 ) • Dose-Related Toxicity : Monitor cardiovascular and respiratory vital signs and patient's state of consciousness after injection of MARCAINE SPINAL. ( 5.3 ) • Risk of Systemic Toxicities with Unintended Intravascular Injection : Unintended intravascular injection may be associated with systemic toxicities, including CNS or cardiorespiratory depression and coma, progressing ultimately to respiratory arrest. Aspirate for blood and cerebrospinal fluid (where applicable) prior to each dose. ( 5.4 ) • Methemoglobinemia : Cases of methemoglobinemia have been reported in association with local anesthetic use. See full prescribing information for more detail on managing these risks. ( 5.5 ) • Risk of Cardiac Arrest with Use of Epidural Bupivacaine in Obstetrical Anesthesia : There have been reports of cardiac arrest during use of MARCAINE 0.75% solution for epidural anesthesia in obstetrical patients. MARCAINE SPINAL (bupivacaine hydrochloride in dextrose injection) is recommended for spinal anesthesia in obstetrical patients. ( 5.6 ) • Chondrolysis with Intra-Articular Infusion : Intra-articular infusions of local anesthetics including bupivacaine following arthroscopic and other surgical procedures is an unapproved use, and there have been post-marketing reports of chondrolysis in patients receiving such infusions. ( 5.7 ) • Risk of Cardiac Arrest with Intravenous Regional Anesthesia Use (Bier Block) : There have been reports of cardiac arrest and death during the use of bupivacaine for intravenous regional anesthesia (Bier Block). ( 5.8 )

Contraindications

MARCAINE SPINAL is contraindicated in: • intravenous regional anesthesia (Bier Block) [see Warnings and Precautions (5.8) ] . • patients with septicemia. • patients with severe hemorrhage, severe hypotension or shock, due to a reduced cardiac output. • patients with clinically significant arrhythmias, such as complete heartblock, due a reduced cardiac output. • patients with a known hypersensitivity to bupivacaine or to any local anesthetic agent of the amide-type or to other components of MARCAINE SPINAL. o patients with local infection at the site of proposed lumbar puncture.

Adverse Reactions

The following clinically significant adverse reactions have been reported and described in other sections of the labeling: • Allergic-Type Reactions [see Contraindications (4) ] • Dose-Related Toxicity [see Warnings and Precautions (5.3) ] • Systemic Toxicities with Unintended Intravascular Injection [see Warnings and Precautions (5.4) ] • Methemoglobinemia [see Warnings and Precautions (5.5) ] • Cardiac Arrest in Obstetrical Anesthesia [see Warnings and Precautions (5.6) ] • Chondrolysis with Intra-Articular Infusion [see Warnings and Precautions (5.7) ] • Cardiac Arrest with Intravenous Regional Anesthesia Use [see Contraindications (4) , Warnings and Precautions (5.8) ] The following adverse reactions from voluntary reports or clinical studies have been reported with bupivacaine. Because many of these reactions were reported voluntarily from a population of uncertain size, it is not always possible to reliably estimate their frequency or establish a causal relationship to drug exposure. Adverse reactions to MARCAINE SPINAL are characteristic of those associated with other amide-type local anesthetics. A major cause of adverse reactions to MARCAINE SPINAL is due to cephalad extension of the motor level of anesthesia and/or excessive plasma levels, which may be due to overdosage, unintentional intravascular injection, or slow metabolic degradation. The most commonly encountered acute adverse reactions that demand immediate counter-measures following the administration of spinal anesthesia were hypotension due to loss of sympathetic tone and respiratory paralysis or underventilation due to cephalad extension of the motor level of anesthesia. These have led to cardiac arrest if untreated. In addition, dose-related convulsions and cardiovascular collapse have resulted from diminished tolerance, rapid absorption from the injection site, or from unintentional intravascular injection of a local anesthetic solution.

Drug Interactions

• Local Anesthetics : The toxic effects of local anesthetics are additive. Monitor for neurologic and cardiovascular effects when additional local anesthetics are administered. ( 7.1 ) • Drugs Associated with Methemoglobinemia : Patients are at increased risk of developing methemoglobinemia when concurrently exposed to nitrates, nitrites, local anesthetics, antineoplastic agents, antibiotics, antimalarials, anticonvulsants, and other drugs. ( 7.2 )


Medication Information

Warnings and Precautions

• Use of Spinal Anesthetics During Uterine Contractions : Spinal anesthetics, including MARCAINE SPINAL, should not be injected during uterine contractions because cerebrospinal fluid current may carry the drug further cephalad than desired, resulting in a high motor block. ( 5.1 ) • Patients with Hypertension : Sympathetic blockade due to spinal anesthesia may result in peripheral vasodilation and hypotension. Monitor blood pressure frequently. Hypotension may be controlled by administration of vasoconstrictor agents in titrated dosages depending on the severity of hypotension and response to treatment. Monitor the onset of adequate spinal anesthesia frequently. ( 5.2 ) • Dose-Related Toxicity : Monitor cardiovascular and respiratory vital signs and patient's state of consciousness after injection of MARCAINE SPINAL. ( 5.3 ) • Risk of Systemic Toxicities with Unintended Intravascular Injection : Unintended intravascular injection may be associated with systemic toxicities, including CNS or cardiorespiratory depression and coma, progressing ultimately to respiratory arrest. Aspirate for blood and cerebrospinal fluid (where applicable) prior to each dose. ( 5.4 ) • Methemoglobinemia : Cases of methemoglobinemia have been reported in association with local anesthetic use. See full prescribing information for more detail on managing these risks. ( 5.5 ) • Risk of Cardiac Arrest with Use of Epidural Bupivacaine in Obstetrical Anesthesia : There have been reports of cardiac arrest during use of MARCAINE 0.75% solution for epidural anesthesia in obstetrical patients. MARCAINE SPINAL (bupivacaine hydrochloride in dextrose injection) is recommended for spinal anesthesia in obstetrical patients. ( 5.6 ) • Chondrolysis with Intra-Articular Infusion : Intra-articular infusions of local anesthetics including bupivacaine following arthroscopic and other surgical procedures is an unapproved use, and there have been post-marketing reports of chondrolysis in patients receiving such infusions. ( 5.7 ) • Risk of Cardiac Arrest with Intravenous Regional Anesthesia Use (Bier Block) : There have been reports of cardiac arrest and death during the use of bupivacaine for intravenous regional anesthesia (Bier Block). ( 5.8 )

Indications and Usage

MARCAINE SPINAL is indicated for subarachnoid injection in adults for the production of subarachnoid block (spinal anesthesia).

Dosage and Administration

• Visually inspect this product for particulate matter and discoloration prior to administration. MARCAINE SPINAL is a clear, colorless solution. Do not administer solutions which are discolored or contain particulate matter. • Mixing or the prior or intercurrent use of any other local anesthetic with MARCAINE SPINAL is not recommended because of insufficient data on the clinical use of such mixtures. • Discard unused portions of MARCAINE SPINAL following initial use.

Contraindications

MARCAINE SPINAL is contraindicated in: • intravenous regional anesthesia (Bier Block) [see Warnings and Precautions (5.8) ] . • patients with septicemia. • patients with severe hemorrhage, severe hypotension or shock, due to a reduced cardiac output. • patients with clinically significant arrhythmias, such as complete heartblock, due a reduced cardiac output. • patients with a known hypersensitivity to bupivacaine or to any local anesthetic agent of the amide-type or to other components of MARCAINE SPINAL. o patients with local infection at the site of proposed lumbar puncture.

Adverse Reactions

The following clinically significant adverse reactions have been reported and described in other sections of the labeling: • Allergic-Type Reactions [see Contraindications (4) ] • Dose-Related Toxicity [see Warnings and Precautions (5.3) ] • Systemic Toxicities with Unintended Intravascular Injection [see Warnings and Precautions (5.4) ] • Methemoglobinemia [see Warnings and Precautions (5.5) ] • Cardiac Arrest in Obstetrical Anesthesia [see Warnings and Precautions (5.6) ] • Chondrolysis with Intra-Articular Infusion [see Warnings and Precautions (5.7) ] • Cardiac Arrest with Intravenous Regional Anesthesia Use [see Contraindications (4) , Warnings and Precautions (5.8) ] The following adverse reactions from voluntary reports or clinical studies have been reported with bupivacaine. Because many of these reactions were reported voluntarily from a population of uncertain size, it is not always possible to reliably estimate their frequency or establish a causal relationship to drug exposure. Adverse reactions to MARCAINE SPINAL are characteristic of those associated with other amide-type local anesthetics. A major cause of adverse reactions to MARCAINE SPINAL is due to cephalad extension of the motor level of anesthesia and/or excessive plasma levels, which may be due to overdosage, unintentional intravascular injection, or slow metabolic degradation. The most commonly encountered acute adverse reactions that demand immediate counter-measures following the administration of spinal anesthesia were hypotension due to loss of sympathetic tone and respiratory paralysis or underventilation due to cephalad extension of the motor level of anesthesia. These have led to cardiac arrest if untreated. In addition, dose-related convulsions and cardiovascular collapse have resulted from diminished tolerance, rapid absorption from the injection site, or from unintentional intravascular injection of a local anesthetic solution.

Drug Interactions

• Local Anesthetics : The toxic effects of local anesthetics are additive. Monitor for neurologic and cardiovascular effects when additional local anesthetics are administered. ( 7.1 ) • Drugs Associated with Methemoglobinemia : Patients are at increased risk of developing methemoglobinemia when concurrently exposed to nitrates, nitrites, local anesthetics, antineoplastic agents, antibiotics, antimalarials, anticonvulsants, and other drugs. ( 7.2 )

Description

MARCAINE SPINAL is indicated for subarachnoid injection in adults for the production of subarachnoid block (spinal anesthesia).

Section 42229-5

Administration Precautions

  • MARCAINE SPINAL is to be administered in carefully adjusted dosages by or under the supervision of experienced clinicians who are well versed in the diagnosis and management of dose-related toxicity and other acute emergencies which might arise from the block to be employed.
  • Use MARCAINE SPINAL only if the following are immediately available: oxygen, cardiopulmonary resuscitative equipment and drugs, and the personnel resources needed for proper management of toxic reactions and related emergencies [see Warnings and Precautions (5.3), Adverse Reactions (6), Overdosage (10)].
  • The toxic effects of local anesthetics are additive. Monitor for neurologic and cardiovascular effects related to local anesthetic systemic toxicity when additional local anesthetics are administered with MARCAINE SPINAL [see Warnings and Precautions (5.3), Drug Interactions (7.1), Overdosage (10)].
  • Aspirate for blood and cerebrospinal fluid prior to injecting MARCAINE SPINAL, for both the initial dose and all subsequent doses (where applicable), to avoid intravascular injection and to confirm entry into the subarachnoid space. Aspiration of cerebrospinal fluid into a MARCAINE SPINAL-filled syringe will result in an identifiable swirl in the solution. A negative aspiration for blood does not ensure against an intravascular injection [see Warnings and Precautions (5.4)].
  • Avoid rapid injection of MARCAINE SPINAL.
  • The patient should have an indwelling intravenous catheter to assure adequate intravenous access. The lowest dosage of MARCAINE SPINAL that results in effective spinal anesthesia should be used to avoid a high motor block and serious adverse reactions.
  • Perform careful and constant monitoring of cardiovascular and respiratory (adequacy of oxygenation and ventilation) vital signs and the patient's level of consciousness during spinal anesthesia.
Section 44425-7

Store at 20°C to 25°C (68°F to 77°F); excursions permitted between 15°C to 30°C (59°F to 86°F). [See USP Controlled Room Temperature.]

MARCAINE SPINAL solution may be autoclaved once at 15 pound pressure, 121°C (250°F) for 15 minutes. This product is clear and colorless. Do not use the solution if it is discolored or contains particulate matter.

Single-dose ampules of 2 mL MARCAINE SPINAL (bupivacaine hydrochloride in dextrose injection) (15 mg bupivacaine hydrochloride with 165 mg dextrose) are supplied as follows:

Unit of Sale Concentration

NDC 0409-1761-02

Carton of 10 Uni-Amp™ single-dose ampules

15 mg/2 mL

(7.5 mg/mL)

NDC 0409-1761-10

Carton of 2 clamcells each containing 5 single-dose ampules

15 mg/2 mL

(7.5 mg/mL)

NDC 0409-1761-62

Case of 800 single-dose ampules

15 mg/2 mL

(7.5 mg/mL)

Discard the unused portion.

11 Description

MARCAINE SPINAL (bupivacaine hydrochloride in dextrose injection) is an amide-local anesthetic and sterile hyperbaric aqueous solution. The route of administration for MARCAINE SPINAL is by subarachnoid injection. MARCAINE SPINAL contains bupivacaine hydrochloride, as the active pharmaceutical ingredient and also contains Dextrose, as baricity agent.

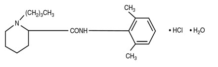
Bupivacaine Hydrochloride (monohydrate) chemical name is 2-piperidinecarboxamide, 1-butyl-N-(2,6-dimethylphenyl)-, monohydrochloride, monohydrate, a white crystalline powder that is freely soluble in 95 percent ethanol, soluble in water, and slightly soluble in chloroform or acetone. Bupivacaine Hydrochloride (monohydrate) has a molecular formula of C18H28N2O∙HCl∙H2O and molecular weight of 342.90 g/mol and has the following structural formula:

Dextrose chemical name is D-glucopyranose. Dextrose (anhydrous) has a molecular formula of C6H12O6, molecular weight of 180.16 g/mol and has the following structural formula:

MARCAINE SPINAL (bupivacaine hydrochloride in dextrose injection) is a clear and colorless sterile hyperbaric solution.

Each mL of MARCAINE SPINAL contains 7.5 mg bupivacaine hydrochloride (anhydrous) (equivalent to 7.9 mg of bupivacaine hydrochloride monohydrate), 82.5 mg dextrose (anhydrous) as baricity agent, and sodium hydroxide and hydrochloric acid as pH adjusters in water for injection.

MARCAINE SPINAL pH is between 4.0 and 6.5.

The specific gravity of MARCAINE SPINAL is between 1.030 and 1.035 at 25°C and 1.03 at 37°C.

MARCAINE SPINAL does not contain any preservatives.

8.4 Pediatric Use

MARCAINE SPINAL is approved for use in adults only. Administration of MARCAINE SPINAL in patients younger than 18 is not recommended.

8.5 Geriatric Use

Patients 65 years and over, particularly those with hypertension, may be at increased risk for developing hypotension while undergoing spinal anesthesia with MARCAINE SPINAL.

In clinical studies of bupivacaine, elderly patients exhibited a greater spread and higher maximal level of anesthesia than younger patients. Elderly patients also reached the maximal level of anesthesia more rapidly than younger patients, and exhibited a faster onset of motor blockade.

Differences in various pharmacokinetic parameters have been observed between elderly and younger patients [see Clinical Pharmacology (12.3)].

This product is known to be substantially excreted by the kidney, and the risk of adverse reactions to this drug may be greater in patients with impaired renal function. Because elderly patients are more likely to have decreased renal function, care should be taken in dose selection, and it may be useful to monitor renal function. Elderly patients may require lower doses of MARCAINE SPINAL.

4 Contraindications

MARCAINE SPINAL is contraindicated in:

  • intravenous regional anesthesia (Bier Block) [see Warnings and Precautions (5.8)].
  • patients with septicemia.
  • patients with severe hemorrhage, severe hypotension or shock, due to a reduced cardiac output.
  • patients with clinically significant arrhythmias, such as complete heartblock, due a reduced cardiac output.
  • patients with a known hypersensitivity to bupivacaine or to any local anesthetic agent of the amide-type or to other components of MARCAINE SPINAL.
    • o
      patients with local infection at the site of proposed lumbar puncture.
6 Adverse Reactions

The following clinically significant adverse reactions have been reported and described in other sections of the labeling:

The following adverse reactions from voluntary reports or clinical studies have been reported with bupivacaine. Because many of these reactions were reported voluntarily from a population of uncertain size, it is not always possible to reliably estimate their frequency or establish a causal relationship to drug exposure.

Adverse reactions to MARCAINE SPINAL are characteristic of those associated with other amide-type local anesthetics. A major cause of adverse reactions to MARCAINE SPINAL is due to cephalad extension of the motor level of anesthesia and/or excessive plasma levels, which may be due to overdosage, unintentional intravascular injection, or slow metabolic degradation.

The most commonly encountered acute adverse reactions that demand immediate counter-measures following the administration of spinal anesthesia were hypotension due to loss of sympathetic tone and respiratory paralysis or underventilation due to cephalad extension of the motor level of anesthesia. These have led to cardiac arrest if untreated. In addition, dose-related convulsions and cardiovascular collapse have resulted from diminished tolerance, rapid absorption from the injection site, or from unintentional intravascular injection of a local anesthetic solution.

7 Drug Interactions
  • Local Anesthetics: The toxic effects of local anesthetics are additive. Monitor for neurologic and cardiovascular effects when additional local anesthetics are administered. (7.1)
  • Drugs Associated with Methemoglobinemia: Patients are at increased risk of developing methemoglobinemia when concurrently exposed to nitrates, nitrites, local anesthetics, antineoplastic agents, antibiotics, antimalarials, anticonvulsants, and other drugs. (7.2)
8.7 Renal Impairment

Bupivacaine is known to be substantially excreted by the kidney, and the risk of adverse reactions to this drug may be greater in patients with renal impairment. This should be considered when selecting the MARCAINE SPINAL dosage [see Use in Specific Populations (8.5)].

12.2 Pharmacodynamics

Systemic absorption of bupivacaine produces effects on the cardiovascular system and CNS. At blood concentrations achieved with normal therapeutic doses, changes in cardiac conduction, excitability, refractoriness, contractility, and peripheral vascular resistance are minimal. However, toxic blood concentrations depress cardiac conduction and excitability, which may lead to atrioventricular block, ventricular arrhythmias, and cardiac arrest, sometimes resulting in fatalities. In addition, myocardial contractility is depressed and peripheral vasodilation occurs, leading to decreased cardiac output and arterial blood pressure. These cardiovascular changes are more likely to occur after unintended intravascular injection of bupivacaine [see Warnings and Precautions (5.4)].

Following systemic absorption, bupivacaine can produce CNS stimulation, CNS depression, or both. Apparent central stimulation is manifested as restlessness, tremors and shivering, progressing to convulsions, followed by CNS depression and coma progressing ultimately to respiratory arrest. However, bupivacaine has a primary depressant effect on the medulla and on higher centers. The depressed stage may occur without a prior excited stage.

The duration of local anesthesia after administration of MARCAINE SPINAL is longer than that observed after administration of other commonly used short-acting local anesthetic. There appears to be a period of analgesia that persists after the resolution of the block and the return of sensation.

The onset of sensory blockade following spinal block with MARCAINE SPINAL is rapid (generally within one minute); maximum motor blockade and maximum dermatome level are achieved within 15 minutes in most cases. Duration of sensory blockade (time to return of complete sensation in the operative site or regression of two dermatomes) following MARCAINE SPINAL 12 mg averages 2 hours with or without 0.2 mg epinephrine. The time to return of complete motor ability with MARCAINE SPINAL 12 mg averages 3.5 hours without the addition of epinephrine and 4.5 hours if 0.2 mg epinephrine is added. When compared to equal milligram doses of hyperbaric tetracaine, the duration of sensory blockade was the same, but the time to complete motor recovery was longer for tetracaine. Addition of 0.2 mg epinephrine prolongs the motor blockade and time to first postoperative opioid with MARCAINE SPINAL.

12.3 Pharmacokinetics

Systemic plasma levels of bupivacaine following administration of MARCAINE SPINAL do not correlate with local efficacy.

5.5 Methemoglobinemia

Cases of methemoglobinemia have been reported in association with local anesthetic use. Although all patients are at risk for methemoglobinemia, patients with glucose 6 phosphate dehydrogenase deficiency, congenital or idiopathic methemoglobinemia, cardiac or pulmonary compromise, infants under 6 months of age, and concurrent exposure to oxidizing agents or their metabolites are more susceptible to developing clinical manifestations of the condition [see Drug Interactions (7.2)]. If local anesthetics must be used in these patients, close monitoring for symptoms and signs of methemoglobinemia is recommended.

Signs of methemoglobinemia may occur immediately or may be delayed some hours after exposure, and are characterized by a cyanotic skin discoloration and/or abnormal coloration of the blood. Methemoglobin levels may continue to rise; therefore, immediate treatment is required to avert more serious CNS and cardiovascular adverse effects, including seizures, coma, arrhythmias, and death. Discontinue MARCAINE SPINAL and any other oxidizing agents. Depending on the severity of the signs and symptoms, patients may respond to supportive care, i.e., oxygen therapy, hydration. A more severe clinical presentation may require treatment with methylene blue, exchange transfusion, or hyperbaric oxygen.

7.1 Local Anesthetics

The toxic effects of local anesthetics are additive. If coadministration of other local anesthetics with MARCAINE SPINAL cannot be avoided, monitor patients for neurologic and cardiovascular effects related to local anesthetic systemic toxicity [see Dosage and Administration (2.1), Warnings and Precautions (5.3)].

8.6 Hepatic Impairment

Amide-type local anesthetics, such as bupivacaine, are metabolized by the liver. Patients with severe hepatic impairment, because of their inability to metabolize local anesthetics normally, are at a greater risk of developing toxic plasma concentrations, and potentially local anesthetic systemic toxicity. Therefore, consider reduced dosing and increased monitoring for local anesthetic systemic toxicity in patients with moderate to severe hepatic impairment treated with MARCAINE SPINAL [see Warnings and Precautions (5.10)].

1 Indications and Usage

MARCAINE SPINAL is indicated for subarachnoid injection in adults for the production of subarachnoid block (spinal anesthesia).

12.1 Mechanism of Action

Bupivacaine blocks the generation and the conduction of nerve impulses, presumably by increasing the threshold for electrical excitation in the nerve, by slowing the propagation of the nerve impulse, and by reducing the rate of rise of the action potential. In general, the progression of anesthesia is related to the diameter, myelination, and conduction velocity of affected nerve fibers. Clinically, the order of loss of nerve function is as follows: (1) pain, (2) temperature, (3) touch, (4) proprioception, and (5) skeletal muscle tone.

5.3 Dose Related Toxicity

The safety and effectiveness of MARCAINE SPINAL depend on proper dosage, correct technique, adequate precautions, and readiness for emergencies. Careful and constant monitoring of cardiovascular and respiratory (adequacy of oxygenation and ventilation) vital signs and the patient's state of consciousness should be performed after injection of MARCAINE SPINAL solutions.

Possible early warning signs of central nervous system (CNS) toxicity are restlessness, anxiety, incoherent speech, lightheadedness, numbness and tingling of the mouth and lips, metallic taste, tinnitus, dizziness, blurred vision, tremors, twitching, CNS depression, or drowsiness. Delay in proper management of dose-related toxicity, hypoventilation from any cause, and/or altered sensitivity may lead to the development of acidosis, cardiac arrest, and possibly death.

The patient should have an indwelling intravenous catheter to assure adequate intravenous access. Use the lowest dosage of MARCAINE SPINAL that results in effective anesthesia to avoid serious adverse reactions. Avoid rapid injection of a large volume of MARCAINE SPINAL.

Injection of repeated doses of MARCAINE SPINAL may cause significant increases in plasma bupivacaine levels with each repeated dose due to slow accumulation of the drug or its metabolites, or to slow metabolic degradation. Tolerance to elevated blood levels varies with the status of the patient. Debilitated, elderly patients and acutely ill patients should be given reduced doses commensurate with their age and physical status. Reduced doses may be indicated in patients with increased intra-abdominal pressure (including obstetrical patients), if otherwise suitable for spinal anesthesia.

5 Warnings and Precautions
  • Use of Spinal Anesthetics During Uterine Contractions: Spinal anesthetics, including MARCAINE SPINAL, should not be injected during uterine contractions because cerebrospinal fluid current may carry the drug further cephalad than desired, resulting in a high motor block. (5.1)
  • Patients with Hypertension: Sympathetic blockade due to spinal anesthesia may result in peripheral vasodilation and hypotension. Monitor blood pressure frequently. Hypotension may be controlled by administration of vasoconstrictor agents in titrated dosages depending on the severity of hypotension and response to treatment. Monitor the onset of adequate spinal anesthesia frequently. (5.2)
  • Dose-Related Toxicity: Monitor cardiovascular and respiratory vital signs and patient's state of consciousness after injection of MARCAINE SPINAL. (5.3)
  • Risk of Systemic Toxicities with Unintended Intravascular Injection: Unintended intravascular injection may be associated with systemic toxicities, including CNS or cardiorespiratory depression and coma, progressing ultimately to respiratory arrest. Aspirate for blood and cerebrospinal fluid (where applicable) prior to each dose. (5.4)
  • Methemoglobinemia: Cases of methemoglobinemia have been reported in association with local anesthetic use. See full prescribing information for more detail on managing these risks. (5.5)
  • Risk of Cardiac Arrest with Use of Epidural Bupivacaine in Obstetrical Anesthesia: There have been reports of cardiac arrest during use of MARCAINE 0.75% solution for epidural anesthesia in obstetrical patients. MARCAINE SPINAL (bupivacaine hydrochloride in dextrose injection) is recommended for spinal anesthesia in obstetrical patients. (5.6)
  • Chondrolysis with Intra-Articular Infusion: Intra-articular infusions of local anesthetics including bupivacaine following arthroscopic and other surgical procedures is an unapproved use, and there have been post-marketing reports of chondrolysis in patients receiving such infusions. (5.7)
  • Risk of Cardiac Arrest with Intravenous Regional Anesthesia Use (Bier Block): There have been reports of cardiac arrest and death during the use of bupivacaine for intravenous regional anesthesia (Bier Block). (5.8)
2 Dosage and Administration

The dosage of MARCAINE SPINAL administered varies with the anesthetic procedure, the vascularity of the tissues, the number of neuronal segments to be blocked, the depth of anesthesia and degree of muscle relaxation required, the duration of anesthesia desired, individual tolerance, and the physical condition of the patient. Administer the smallest dosage and concentration required to produce the desired result. The following are general dosage guidelines:

  • MARCAINE SPINAL 6 mg is generally adequate for vaginal delivery. (2.2)
  • MARCAINE SPINAL 7.5 mg is generally adequate for spinal anesthesia for lower extremity and perineal procedures. (2.2)
  • MARCAINE SPINAL 12 mg is generally adequate for lower abdominal procedures. (2.2)
  • MARCAINE SPINAL 7.5 mg to 10.5 mg is generally adequate for Cesarean section. (2.2)
3 Dosage Forms and Strengths

MARCAINE SPINAL (bupivacaine hydrochloride in dextrose injection) is a clear, colorless solution available as:

  • 15 mg/2 mL (7.5 mg/mL) in single-dose glass ampules.
8 Use in Specific Populations
  • Pediatric Use: Administration of MARCAINE SPINAL in patients younger than 18 years is not recommended. (8.4)
  • Geriatric Use: Patients 65 years and over, particularly those with hypertension, may be at increased risk for developing hypotension while undergoing spinal anesthesia with MARCAINE SPINAL. (8.5)
  • Moderate to Severe Hepatic Impairment: Consider increased monitoring for bupivacaine systemic toxicity. (8.6)
5.2 Patients With Hypertension

Sympathetic blockade due to spinal anesthesia may result in peripheral vasodilation and hypotension, the extent of which depends on the number of dermatomes blocked. Patients over 65 years, particularly those with hypertension, may be at increased risk for experiencing the hypotensive effects of MARCAINE SPINAL. Monitor blood pressure frequently, especially in the early phases of anesthesia. Hypotension may be controlled by administration of vasoconstrictor agents in titrated dosages depending on the severity of hypotension and response to treatment. Monitor the onset of adequate spinal anesthesia because it is not always possible to control the level of anesthesia after subarachnoid injection of MARCAINE SPINAL.

2.2 Recommended Dosages of Marcaine Spinal

The dosage of MARCAINE SPINAL administered varies with the anesthetic procedure, the vascularity of the tissues, the number of neuronal segments to be blocked, the depth of anesthesia and degree of muscle relaxation required, the duration of anesthesia desired, individual tolerance, and the physical condition of the patient. Administer the smallest dosage and concentration required to produce the desired result.

The extent and degree of spinal anesthesia depend upon several factors including dosage, baricity of the anesthetic solution, volume of solution, force of injection, level of puncture, and position of the patient during and immediately after injection.

In recommended doses, MARCAINE SPINAL produces complete motor and sensory block.

The following table summarizes general dosage guidelines for adult patients for the procedures described:

PROCEDURES DOSAGE GUIDELINES

Vaginal Delivery

Starting dose, 6 mg (0.8 mL)

Lower Extremity and Perineal Procedures, such as:

  • transurethral resection of the prostate (TURP)
  • vaginal hysterectomy

7.5 mg (1 mL)

Lower Abdominal Procedures, such as:

  • abdominal hysterectomy
  • tubal ligation
  • appendectomy

12 mg (1.6 mL)

Cesarean Section

7.5 mg to 10.5 mg (1 mL to 1.4 mL)

7.2 Drugs Associated With Methemoglobinemia

Patients who are administered MARCAINE SPINAL are at increased risk of developing methemoglobinemia when concurrently exposed to the following drugs, which could include other local anesthetics [see Warnings and Precautions (5.5)].

Principal Display Panel 2 Ml Ampule Carton

10 x 2 mL Single-dose ampules

NDC 0409-1761-10

Contains 2 of NDC 0409-1761-05

Rx only

STERILE HYPERBARIC SOLUTION FOR SPINAL ANESTHESIA

Marcaine® Spinal

bupivacaine hydrochloride 0.75% 15 mg/2 mL (7.5 mg/mL)

in dextrose 8.25% injection, USP

Hospira

5.7 Chondrolysis With Intra Articular Infusion

Intra-articular infusions of local anesthetics including bupivacaine following arthroscopic and other surgical procedures is an unapproved use, and there have been post-marketing reports of chondrolysis in patients receiving such infusions. The majority of reported cases of chondrolysis have involved the shoulder joint; cases of gleno-humeral chondrolysis have been described in pediatric and adult patients following intra-articular infusions of local anesthetics with and without epinephrine for periods of 48 to 72 hours. There is insufficient information to determine whether shorter infusion periods are not associated with chondrolysis. The time of onset of symptoms, such as joint pain, stiffness, and loss of motion can be variable, but may begin as early as the 2nd month after surgery. Currently, there is no effective treatment for chondrolysis; patients who experienced chondrolysis have required additional diagnostic and therapeutic procedures and some required arthroplasty or shoulder replacement.

Principal Display Panel 2 Ml Ampule Cello Pack

5 x 2 mL Ampules

NDC 0409-1761-05

Rx only

Marcaine® Spinal

bupivacaine hydrochloride

0.75% 15 mg/2 mL (7.5 mg/mL)

in dextrose 8.25% injection, USP

Sterile Hyperbaric Solution for Spinal

Anesthesia

Distributed by Hospira, Inc. Lake Forest, IL 60045 USA

M.L.No. 08/VP/AP/2013/F/R

AP/DRUGS/08/2013

Hospira

PAA223332

2.1 Important Dosage and Administration Information
  • Visually inspect this product for particulate matter and discoloration prior to administration. MARCAINE SPINAL is a clear, colorless solution. Do not administer solutions which are discolored or contain particulate matter.
  • Mixing or the prior or intercurrent use of any other local anesthetic with MARCAINE SPINAL is not recommended because of insufficient data on the clinical use of such mixtures.
  • Discard unused portions of MARCAINE SPINAL following initial use.
Principal Display Panel 2 Ml Ampule Label 1761 19

#####AA

DMMMYYYY

LOT/EXP

PAA118784

2 mL

Rx only

NDC 0409-1761-19

Marcaine™ Spinal

bupivacaine hydrochloride

in dextrose injection, USP

Contains 7.5 mg bupivacaine HCl (anhydrous) and

82.5 mg dextrose (anhydrous) per mL. pH adjusted

between 4.0 and 6.5 with NaOH or HCl.

Distributed by Hospira, Inc.

Lake Forest, IL 60045 USA

Hospira

Principal Display Panel 2 Ml Ampule Label 1761 18

2 mL

NDC 0409-1761-18

Rx only

Marcaine® Spinal

bupivacaine hydrochloride 0.75% 15 mg/2 mL

(7.5 mg/mL) in dextrose 8.25% injection, USP

Contains 7.5 mg bupivacaine HCl (anhydrous)

and 82.5 mg dextrose (anhydrous) per mL. pH

adjusted between 4.0 and 6.5 with NaOH or HCl.

Dist. by Hospira, Inc., Lake Forest, IL 60045 USA

AP/DRUGS/08/2013 M.L.No. 08/VP/AP/2013/F/R

PAA236110

5.1 Use of Spinal Anesthetics During Uterine Contractions

Spinal anesthetics including MARCAINE SPINAL should not be injected during uterine contractions because cerebrospinal fluid current may carry the drug further cephalad than desired, resulting in a high motor block.

5.10 Risk of Toxicity in Patients With Hepatic Impairment

Because amide-type local anesthetics such as bupivacaine are metabolized by the liver, consider reduced dosing and increased monitoring for bupivacaine systemic toxicity in patients with moderate to severe hepatic impairment who are treated with MARCAINE SPINAL [see Use in Specific Populations (8.6)]. Most information regarding dose-related hepatic impairment is based on larger dosages of bupivacaine administered for other neuraxial, peripheral nerve, or fascial plane blocks.

Principal Display Panel 2 Ml Ampule Unit Dose Pak Label

2 mL

UNI-AMP™ unit dose pak

Rx only

NDC 0409-1761-19

Marcaine™ Spinal

bupivacaine HCl in dextrose inj., USP

Contains 7.5 mg bupivacaine HCl (anhydrous) and 82.5 mg

dextrose (anhydrous) per mL. pH adjusted between 4.0 and

6.5 with NaOH or HCl.

Distributed by Hospira, Inc.

Lake Forest, IL 60045 USA

PAA118783

#####AA

DMMMYYYY

Principal Display Panel 2 Ml Ampule Unit Dose Pak Carton

2 mL

10 Ampuls UNI-AMP™ unit dose pak

NDC 0409-1761-02

Contains 10 of NDC 0409-1761-19

Rx only

STERILE HYPERBARIC SOLUTION FOR SPINAL ANESTHESIA

Marcaine™ Spinal

bupivacaine hydrochloride in dextrose injection, USP

Each mL contains 7.5 mg bupivacaine hydrochloride (anhydrous) and 82.5 mg dextrose

(anhydrous). pH adjusted between 4.0 and 6.5 with NaOH or HCl.

Hospira

5.11 Risk of Use in Patients With Impaired Cardiovascular Function

MARCAINE SPINAL should be given in reduced doses in patients with impaired cardiovascular function (e.g., hypotension, heartblock, valvular abnormalities) because they may be less able to compensate for functional changes associated with the sympathetic blockade observed after subarachnoid administration of MARCAINE SPINAL and the prolongation of AV conduction produced by the drug. Monitor patients closely for blood pressure, heart rate, and ECG changes.

5.4 Risk of Systemic Toxicities With Unintended Intravascular Injection

Unintended intravascular injection of MARCAINE SPINAL may be associated with systemic toxicities, including CNS or cardiorespiratory depression and coma, progressing ultimately to respiratory arrest [see Adverse Reactions (6)].

Aspirate for blood and cerebrospinal fluid before injecting MARCAINE SPINAL, for both the initial dose and all subsequent doses (where applicable), to confirm entry into the subarachnoid space and to avoid intravascular injection. Aspiration of cerebrospinal fluid into a MARCAINE SPINAL-filled syringe will result in an identifiable swirl in the solution. A negative aspiration for blood does not ensure against an intravascular injection.

5.9 Patients With Severe Disturbances of Cardiac Rhythm, Shock, Or Heart Block

Consider alternate anesthetic techniques in patients with severe disturbances of cardiac rhythm, shock, or heart block [see Contraindications (4)].

5.8 Risk of Cardiac Arrest With Intravenous Regional Anesthesia Use (bier Block)

There have been reports of cardiac arrest and death during the use of bupivacaine for intravenous regional anesthesia (Bier Block). Information on safe dosages and techniques of administration of MARCAINE SPINAL in this procedure is lacking. Therefore, MARCAINE SPINAL is contraindicated for use with this technique [see Contraindications (4)].

5.6 Risk of Cardiac Arrest With Use of Epidural Bupivacaine in Obstetrical Anesthesia

There have been reports of cardiac arrest with difficult resuscitation or death during use of MARCAINE for epidural anesthesia in obstetrical patients. In most cases, this has followed use of MARCAINE 0.75%, not MARCAINE SPINAL. The package insert for MARCAINE hydrochloride for epidural, nerve block, etc., has a more complete discussion of preparation for, and management of cardiac arrest following epidural administration. MARCAINE SPINAL (bupivacaine hydrochloride in dextrose injection) is recommended for spinal anesthesia in obstetrical patients.


Structured Label Content

Section 42229-5 (42229-5)

Administration Precautions

  • MARCAINE SPINAL is to be administered in carefully adjusted dosages by or under the supervision of experienced clinicians who are well versed in the diagnosis and management of dose-related toxicity and other acute emergencies which might arise from the block to be employed.
  • Use MARCAINE SPINAL only if the following are immediately available: oxygen, cardiopulmonary resuscitative equipment and drugs, and the personnel resources needed for proper management of toxic reactions and related emergencies [see Warnings and Precautions (5.3), Adverse Reactions (6), Overdosage (10)].
  • The toxic effects of local anesthetics are additive. Monitor for neurologic and cardiovascular effects related to local anesthetic systemic toxicity when additional local anesthetics are administered with MARCAINE SPINAL [see Warnings and Precautions (5.3), Drug Interactions (7.1), Overdosage (10)].
  • Aspirate for blood and cerebrospinal fluid prior to injecting MARCAINE SPINAL, for both the initial dose and all subsequent doses (where applicable), to avoid intravascular injection and to confirm entry into the subarachnoid space. Aspiration of cerebrospinal fluid into a MARCAINE SPINAL-filled syringe will result in an identifiable swirl in the solution. A negative aspiration for blood does not ensure against an intravascular injection [see Warnings and Precautions (5.4)].
  • Avoid rapid injection of MARCAINE SPINAL.
  • The patient should have an indwelling intravenous catheter to assure adequate intravenous access. The lowest dosage of MARCAINE SPINAL that results in effective spinal anesthesia should be used to avoid a high motor block and serious adverse reactions.
  • Perform careful and constant monitoring of cardiovascular and respiratory (adequacy of oxygenation and ventilation) vital signs and the patient's level of consciousness during spinal anesthesia.
Section 44425-7 (44425-7)

Store at 20°C to 25°C (68°F to 77°F); excursions permitted between 15°C to 30°C (59°F to 86°F). [See USP Controlled Room Temperature.]

MARCAINE SPINAL solution may be autoclaved once at 15 pound pressure, 121°C (250°F) for 15 minutes. This product is clear and colorless. Do not use the solution if it is discolored or contains particulate matter.

Single-dose ampules of 2 mL MARCAINE SPINAL (bupivacaine hydrochloride in dextrose injection) (15 mg bupivacaine hydrochloride with 165 mg dextrose) are supplied as follows:

Unit of Sale Concentration

NDC 0409-1761-02

Carton of 10 Uni-Amp™ single-dose ampules

15 mg/2 mL

(7.5 mg/mL)

NDC 0409-1761-10

Carton of 2 clamcells each containing 5 single-dose ampules

15 mg/2 mL

(7.5 mg/mL)

NDC 0409-1761-62

Case of 800 single-dose ampules

15 mg/2 mL

(7.5 mg/mL)

Discard the unused portion.

11 Description (11 DESCRIPTION)

MARCAINE SPINAL (bupivacaine hydrochloride in dextrose injection) is an amide-local anesthetic and sterile hyperbaric aqueous solution. The route of administration for MARCAINE SPINAL is by subarachnoid injection. MARCAINE SPINAL contains bupivacaine hydrochloride, as the active pharmaceutical ingredient and also contains Dextrose, as baricity agent.

Bupivacaine Hydrochloride (monohydrate) chemical name is 2-piperidinecarboxamide, 1-butyl-N-(2,6-dimethylphenyl)-, monohydrochloride, monohydrate, a white crystalline powder that is freely soluble in 95 percent ethanol, soluble in water, and slightly soluble in chloroform or acetone. Bupivacaine Hydrochloride (monohydrate) has a molecular formula of C18H28N2O∙HCl∙H2O and molecular weight of 342.90 g/mol and has the following structural formula:

Dextrose chemical name is D-glucopyranose. Dextrose (anhydrous) has a molecular formula of C6H12O6, molecular weight of 180.16 g/mol and has the following structural formula:

MARCAINE SPINAL (bupivacaine hydrochloride in dextrose injection) is a clear and colorless sterile hyperbaric solution.

Each mL of MARCAINE SPINAL contains 7.5 mg bupivacaine hydrochloride (anhydrous) (equivalent to 7.9 mg of bupivacaine hydrochloride monohydrate), 82.5 mg dextrose (anhydrous) as baricity agent, and sodium hydroxide and hydrochloric acid as pH adjusters in water for injection.

MARCAINE SPINAL pH is between 4.0 and 6.5.

The specific gravity of MARCAINE SPINAL is between 1.030 and 1.035 at 25°C and 1.03 at 37°C.

MARCAINE SPINAL does not contain any preservatives.

8.4 Pediatric Use

MARCAINE SPINAL is approved for use in adults only. Administration of MARCAINE SPINAL in patients younger than 18 is not recommended.

8.5 Geriatric Use

Patients 65 years and over, particularly those with hypertension, may be at increased risk for developing hypotension while undergoing spinal anesthesia with MARCAINE SPINAL.

In clinical studies of bupivacaine, elderly patients exhibited a greater spread and higher maximal level of anesthesia than younger patients. Elderly patients also reached the maximal level of anesthesia more rapidly than younger patients, and exhibited a faster onset of motor blockade.

Differences in various pharmacokinetic parameters have been observed between elderly and younger patients [see Clinical Pharmacology (12.3)].

This product is known to be substantially excreted by the kidney, and the risk of adverse reactions to this drug may be greater in patients with impaired renal function. Because elderly patients are more likely to have decreased renal function, care should be taken in dose selection, and it may be useful to monitor renal function. Elderly patients may require lower doses of MARCAINE SPINAL.

4 Contraindications (4 CONTRAINDICATIONS)

MARCAINE SPINAL is contraindicated in:

  • intravenous regional anesthesia (Bier Block) [see Warnings and Precautions (5.8)].
  • patients with septicemia.
  • patients with severe hemorrhage, severe hypotension or shock, due to a reduced cardiac output.
  • patients with clinically significant arrhythmias, such as complete heartblock, due a reduced cardiac output.
  • patients with a known hypersensitivity to bupivacaine or to any local anesthetic agent of the amide-type or to other components of MARCAINE SPINAL.
    • o
      patients with local infection at the site of proposed lumbar puncture.
6 Adverse Reactions (6 ADVERSE REACTIONS)

The following clinically significant adverse reactions have been reported and described in other sections of the labeling:

The following adverse reactions from voluntary reports or clinical studies have been reported with bupivacaine. Because many of these reactions were reported voluntarily from a population of uncertain size, it is not always possible to reliably estimate their frequency or establish a causal relationship to drug exposure.

Adverse reactions to MARCAINE SPINAL are characteristic of those associated with other amide-type local anesthetics. A major cause of adverse reactions to MARCAINE SPINAL is due to cephalad extension of the motor level of anesthesia and/or excessive plasma levels, which may be due to overdosage, unintentional intravascular injection, or slow metabolic degradation.

The most commonly encountered acute adverse reactions that demand immediate counter-measures following the administration of spinal anesthesia were hypotension due to loss of sympathetic tone and respiratory paralysis or underventilation due to cephalad extension of the motor level of anesthesia. These have led to cardiac arrest if untreated. In addition, dose-related convulsions and cardiovascular collapse have resulted from diminished tolerance, rapid absorption from the injection site, or from unintentional intravascular injection of a local anesthetic solution.

7 Drug Interactions (7 DRUG INTERACTIONS)
  • Local Anesthetics: The toxic effects of local anesthetics are additive. Monitor for neurologic and cardiovascular effects when additional local anesthetics are administered. (7.1)
  • Drugs Associated with Methemoglobinemia: Patients are at increased risk of developing methemoglobinemia when concurrently exposed to nitrates, nitrites, local anesthetics, antineoplastic agents, antibiotics, antimalarials, anticonvulsants, and other drugs. (7.2)
8.7 Renal Impairment

Bupivacaine is known to be substantially excreted by the kidney, and the risk of adverse reactions to this drug may be greater in patients with renal impairment. This should be considered when selecting the MARCAINE SPINAL dosage [see Use in Specific Populations (8.5)].

12.2 Pharmacodynamics

Systemic absorption of bupivacaine produces effects on the cardiovascular system and CNS. At blood concentrations achieved with normal therapeutic doses, changes in cardiac conduction, excitability, refractoriness, contractility, and peripheral vascular resistance are minimal. However, toxic blood concentrations depress cardiac conduction and excitability, which may lead to atrioventricular block, ventricular arrhythmias, and cardiac arrest, sometimes resulting in fatalities. In addition, myocardial contractility is depressed and peripheral vasodilation occurs, leading to decreased cardiac output and arterial blood pressure. These cardiovascular changes are more likely to occur after unintended intravascular injection of bupivacaine [see Warnings and Precautions (5.4)].

Following systemic absorption, bupivacaine can produce CNS stimulation, CNS depression, or both. Apparent central stimulation is manifested as restlessness, tremors and shivering, progressing to convulsions, followed by CNS depression and coma progressing ultimately to respiratory arrest. However, bupivacaine has a primary depressant effect on the medulla and on higher centers. The depressed stage may occur without a prior excited stage.

The duration of local anesthesia after administration of MARCAINE SPINAL is longer than that observed after administration of other commonly used short-acting local anesthetic. There appears to be a period of analgesia that persists after the resolution of the block and the return of sensation.

The onset of sensory blockade following spinal block with MARCAINE SPINAL is rapid (generally within one minute); maximum motor blockade and maximum dermatome level are achieved within 15 minutes in most cases. Duration of sensory blockade (time to return of complete sensation in the operative site or regression of two dermatomes) following MARCAINE SPINAL 12 mg averages 2 hours with or without 0.2 mg epinephrine. The time to return of complete motor ability with MARCAINE SPINAL 12 mg averages 3.5 hours without the addition of epinephrine and 4.5 hours if 0.2 mg epinephrine is added. When compared to equal milligram doses of hyperbaric tetracaine, the duration of sensory blockade was the same, but the time to complete motor recovery was longer for tetracaine. Addition of 0.2 mg epinephrine prolongs the motor blockade and time to first postoperative opioid with MARCAINE SPINAL.

12.3 Pharmacokinetics

Systemic plasma levels of bupivacaine following administration of MARCAINE SPINAL do not correlate with local efficacy.

5.5 Methemoglobinemia

Cases of methemoglobinemia have been reported in association with local anesthetic use. Although all patients are at risk for methemoglobinemia, patients with glucose 6 phosphate dehydrogenase deficiency, congenital or idiopathic methemoglobinemia, cardiac or pulmonary compromise, infants under 6 months of age, and concurrent exposure to oxidizing agents or their metabolites are more susceptible to developing clinical manifestations of the condition [see Drug Interactions (7.2)]. If local anesthetics must be used in these patients, close monitoring for symptoms and signs of methemoglobinemia is recommended.

Signs of methemoglobinemia may occur immediately or may be delayed some hours after exposure, and are characterized by a cyanotic skin discoloration and/or abnormal coloration of the blood. Methemoglobin levels may continue to rise; therefore, immediate treatment is required to avert more serious CNS and cardiovascular adverse effects, including seizures, coma, arrhythmias, and death. Discontinue MARCAINE SPINAL and any other oxidizing agents. Depending on the severity of the signs and symptoms, patients may respond to supportive care, i.e., oxygen therapy, hydration. A more severe clinical presentation may require treatment with methylene blue, exchange transfusion, or hyperbaric oxygen.

7.1 Local Anesthetics

The toxic effects of local anesthetics are additive. If coadministration of other local anesthetics with MARCAINE SPINAL cannot be avoided, monitor patients for neurologic and cardiovascular effects related to local anesthetic systemic toxicity [see Dosage and Administration (2.1), Warnings and Precautions (5.3)].

8.6 Hepatic Impairment

Amide-type local anesthetics, such as bupivacaine, are metabolized by the liver. Patients with severe hepatic impairment, because of their inability to metabolize local anesthetics normally, are at a greater risk of developing toxic plasma concentrations, and potentially local anesthetic systemic toxicity. Therefore, consider reduced dosing and increased monitoring for local anesthetic systemic toxicity in patients with moderate to severe hepatic impairment treated with MARCAINE SPINAL [see Warnings and Precautions (5.10)].

1 Indications and Usage (1 INDICATIONS AND USAGE)

MARCAINE SPINAL is indicated for subarachnoid injection in adults for the production of subarachnoid block (spinal anesthesia).

12.1 Mechanism of Action

Bupivacaine blocks the generation and the conduction of nerve impulses, presumably by increasing the threshold for electrical excitation in the nerve, by slowing the propagation of the nerve impulse, and by reducing the rate of rise of the action potential. In general, the progression of anesthesia is related to the diameter, myelination, and conduction velocity of affected nerve fibers. Clinically, the order of loss of nerve function is as follows: (1) pain, (2) temperature, (3) touch, (4) proprioception, and (5) skeletal muscle tone.

5.3 Dose Related Toxicity (5.3 Dose-Related Toxicity)

The safety and effectiveness of MARCAINE SPINAL depend on proper dosage, correct technique, adequate precautions, and readiness for emergencies. Careful and constant monitoring of cardiovascular and respiratory (adequacy of oxygenation and ventilation) vital signs and the patient's state of consciousness should be performed after injection of MARCAINE SPINAL solutions.

Possible early warning signs of central nervous system (CNS) toxicity are restlessness, anxiety, incoherent speech, lightheadedness, numbness and tingling of the mouth and lips, metallic taste, tinnitus, dizziness, blurred vision, tremors, twitching, CNS depression, or drowsiness. Delay in proper management of dose-related toxicity, hypoventilation from any cause, and/or altered sensitivity may lead to the development of acidosis, cardiac arrest, and possibly death.

The patient should have an indwelling intravenous catheter to assure adequate intravenous access. Use the lowest dosage of MARCAINE SPINAL that results in effective anesthesia to avoid serious adverse reactions. Avoid rapid injection of a large volume of MARCAINE SPINAL.

Injection of repeated doses of MARCAINE SPINAL may cause significant increases in plasma bupivacaine levels with each repeated dose due to slow accumulation of the drug or its metabolites, or to slow metabolic degradation. Tolerance to elevated blood levels varies with the status of the patient. Debilitated, elderly patients and acutely ill patients should be given reduced doses commensurate with their age and physical status. Reduced doses may be indicated in patients with increased intra-abdominal pressure (including obstetrical patients), if otherwise suitable for spinal anesthesia.

5 Warnings and Precautions (5 WARNINGS AND PRECAUTIONS)
  • Use of Spinal Anesthetics During Uterine Contractions: Spinal anesthetics, including MARCAINE SPINAL, should not be injected during uterine contractions because cerebrospinal fluid current may carry the drug further cephalad than desired, resulting in a high motor block. (5.1)
  • Patients with Hypertension: Sympathetic blockade due to spinal anesthesia may result in peripheral vasodilation and hypotension. Monitor blood pressure frequently. Hypotension may be controlled by administration of vasoconstrictor agents in titrated dosages depending on the severity of hypotension and response to treatment. Monitor the onset of adequate spinal anesthesia frequently. (5.2)
  • Dose-Related Toxicity: Monitor cardiovascular and respiratory vital signs and patient's state of consciousness after injection of MARCAINE SPINAL. (5.3)
  • Risk of Systemic Toxicities with Unintended Intravascular Injection: Unintended intravascular injection may be associated with systemic toxicities, including CNS or cardiorespiratory depression and coma, progressing ultimately to respiratory arrest. Aspirate for blood and cerebrospinal fluid (where applicable) prior to each dose. (5.4)
  • Methemoglobinemia: Cases of methemoglobinemia have been reported in association with local anesthetic use. See full prescribing information for more detail on managing these risks. (5.5)
  • Risk of Cardiac Arrest with Use of Epidural Bupivacaine in Obstetrical Anesthesia: There have been reports of cardiac arrest during use of MARCAINE 0.75% solution for epidural anesthesia in obstetrical patients. MARCAINE SPINAL (bupivacaine hydrochloride in dextrose injection) is recommended for spinal anesthesia in obstetrical patients. (5.6)
  • Chondrolysis with Intra-Articular Infusion: Intra-articular infusions of local anesthetics including bupivacaine following arthroscopic and other surgical procedures is an unapproved use, and there have been post-marketing reports of chondrolysis in patients receiving such infusions. (5.7)
  • Risk of Cardiac Arrest with Intravenous Regional Anesthesia Use (Bier Block): There have been reports of cardiac arrest and death during the use of bupivacaine for intravenous regional anesthesia (Bier Block). (5.8)
2 Dosage and Administration (2 DOSAGE AND ADMINISTRATION)

The dosage of MARCAINE SPINAL administered varies with the anesthetic procedure, the vascularity of the tissues, the number of neuronal segments to be blocked, the depth of anesthesia and degree of muscle relaxation required, the duration of anesthesia desired, individual tolerance, and the physical condition of the patient. Administer the smallest dosage and concentration required to produce the desired result. The following are general dosage guidelines:

  • MARCAINE SPINAL 6 mg is generally adequate for vaginal delivery. (2.2)
  • MARCAINE SPINAL 7.5 mg is generally adequate for spinal anesthesia for lower extremity and perineal procedures. (2.2)
  • MARCAINE SPINAL 12 mg is generally adequate for lower abdominal procedures. (2.2)
  • MARCAINE SPINAL 7.5 mg to 10.5 mg is generally adequate for Cesarean section. (2.2)
3 Dosage Forms and Strengths (3 DOSAGE FORMS AND STRENGTHS)

MARCAINE SPINAL (bupivacaine hydrochloride in dextrose injection) is a clear, colorless solution available as:

  • 15 mg/2 mL (7.5 mg/mL) in single-dose glass ampules.
8 Use in Specific Populations (8 USE IN SPECIFIC POPULATIONS)
  • Pediatric Use: Administration of MARCAINE SPINAL in patients younger than 18 years is not recommended. (8.4)
  • Geriatric Use: Patients 65 years and over, particularly those with hypertension, may be at increased risk for developing hypotension while undergoing spinal anesthesia with MARCAINE SPINAL. (8.5)
  • Moderate to Severe Hepatic Impairment: Consider increased monitoring for bupivacaine systemic toxicity. (8.6)
5.2 Patients With Hypertension (5.2 Patients with Hypertension)

Sympathetic blockade due to spinal anesthesia may result in peripheral vasodilation and hypotension, the extent of which depends on the number of dermatomes blocked. Patients over 65 years, particularly those with hypertension, may be at increased risk for experiencing the hypotensive effects of MARCAINE SPINAL. Monitor blood pressure frequently, especially in the early phases of anesthesia. Hypotension may be controlled by administration of vasoconstrictor agents in titrated dosages depending on the severity of hypotension and response to treatment. Monitor the onset of adequate spinal anesthesia because it is not always possible to control the level of anesthesia after subarachnoid injection of MARCAINE SPINAL.

2.2 Recommended Dosages of Marcaine Spinal (2.2 Recommended Dosages of MARCAINE SPINAL)

The dosage of MARCAINE SPINAL administered varies with the anesthetic procedure, the vascularity of the tissues, the number of neuronal segments to be blocked, the depth of anesthesia and degree of muscle relaxation required, the duration of anesthesia desired, individual tolerance, and the physical condition of the patient. Administer the smallest dosage and concentration required to produce the desired result.

The extent and degree of spinal anesthesia depend upon several factors including dosage, baricity of the anesthetic solution, volume of solution, force of injection, level of puncture, and position of the patient during and immediately after injection.

In recommended doses, MARCAINE SPINAL produces complete motor and sensory block.

The following table summarizes general dosage guidelines for adult patients for the procedures described:

PROCEDURES DOSAGE GUIDELINES

Vaginal Delivery

Starting dose, 6 mg (0.8 mL)

Lower Extremity and Perineal Procedures, such as:

  • transurethral resection of the prostate (TURP)
  • vaginal hysterectomy

7.5 mg (1 mL)

Lower Abdominal Procedures, such as:

  • abdominal hysterectomy
  • tubal ligation
  • appendectomy

12 mg (1.6 mL)

Cesarean Section

7.5 mg to 10.5 mg (1 mL to 1.4 mL)

7.2 Drugs Associated With Methemoglobinemia (7.2 Drugs Associated with Methemoglobinemia)

Patients who are administered MARCAINE SPINAL are at increased risk of developing methemoglobinemia when concurrently exposed to the following drugs, which could include other local anesthetics [see Warnings and Precautions (5.5)].

Principal Display Panel 2 Ml Ampule Carton (PRINCIPAL DISPLAY PANEL - 2 mL Ampule Carton)

10 x 2 mL Single-dose ampules

NDC 0409-1761-10

Contains 2 of NDC 0409-1761-05

Rx only

STERILE HYPERBARIC SOLUTION FOR SPINAL ANESTHESIA

Marcaine® Spinal

bupivacaine hydrochloride 0.75% 15 mg/2 mL (7.5 mg/mL)

in dextrose 8.25% injection, USP

Hospira

5.7 Chondrolysis With Intra Articular Infusion (5.7 Chondrolysis with Intra-Articular Infusion)

Intra-articular infusions of local anesthetics including bupivacaine following arthroscopic and other surgical procedures is an unapproved use, and there have been post-marketing reports of chondrolysis in patients receiving such infusions. The majority of reported cases of chondrolysis have involved the shoulder joint; cases of gleno-humeral chondrolysis have been described in pediatric and adult patients following intra-articular infusions of local anesthetics with and without epinephrine for periods of 48 to 72 hours. There is insufficient information to determine whether shorter infusion periods are not associated with chondrolysis. The time of onset of symptoms, such as joint pain, stiffness, and loss of motion can be variable, but may begin as early as the 2nd month after surgery. Currently, there is no effective treatment for chondrolysis; patients who experienced chondrolysis have required additional diagnostic and therapeutic procedures and some required arthroplasty or shoulder replacement.

Principal Display Panel 2 Ml Ampule Cello Pack (PRINCIPAL DISPLAY PANEL - 2 mL Ampule Cello Pack)

5 x 2 mL Ampules

NDC 0409-1761-05

Rx only

Marcaine® Spinal

bupivacaine hydrochloride

0.75% 15 mg/2 mL (7.5 mg/mL)

in dextrose 8.25% injection, USP

Sterile Hyperbaric Solution for Spinal

Anesthesia

Distributed by Hospira, Inc. Lake Forest, IL 60045 USA

M.L.No. 08/VP/AP/2013/F/R

AP/DRUGS/08/2013

Hospira

PAA223332

2.1 Important Dosage and Administration Information
  • Visually inspect this product for particulate matter and discoloration prior to administration. MARCAINE SPINAL is a clear, colorless solution. Do not administer solutions which are discolored or contain particulate matter.
  • Mixing or the prior or intercurrent use of any other local anesthetic with MARCAINE SPINAL is not recommended because of insufficient data on the clinical use of such mixtures.
  • Discard unused portions of MARCAINE SPINAL following initial use.
Principal Display Panel 2 Ml Ampule Label 1761 19 (PRINCIPAL DISPLAY PANEL - 2 mL Ampule Label -1761-19)

#####AA

DMMMYYYY

LOT/EXP

PAA118784

2 mL

Rx only

NDC 0409-1761-19

Marcaine™ Spinal

bupivacaine hydrochloride

in dextrose injection, USP

Contains 7.5 mg bupivacaine HCl (anhydrous) and

82.5 mg dextrose (anhydrous) per mL. pH adjusted

between 4.0 and 6.5 with NaOH or HCl.

Distributed by Hospira, Inc.

Lake Forest, IL 60045 USA

Hospira

Principal Display Panel 2 Ml Ampule Label 1761 18 (PRINCIPAL DISPLAY PANEL - 2 mL Ampule Label - 1761-18)

2 mL

NDC 0409-1761-18

Rx only

Marcaine® Spinal

bupivacaine hydrochloride 0.75% 15 mg/2 mL

(7.5 mg/mL) in dextrose 8.25% injection, USP

Contains 7.5 mg bupivacaine HCl (anhydrous)

and 82.5 mg dextrose (anhydrous) per mL. pH

adjusted between 4.0 and 6.5 with NaOH or HCl.

Dist. by Hospira, Inc., Lake Forest, IL 60045 USA

AP/DRUGS/08/2013 M.L.No. 08/VP/AP/2013/F/R

PAA236110

5.1 Use of Spinal Anesthetics During Uterine Contractions

Spinal anesthetics including MARCAINE SPINAL should not be injected during uterine contractions because cerebrospinal fluid current may carry the drug further cephalad than desired, resulting in a high motor block.

5.10 Risk of Toxicity in Patients With Hepatic Impairment (5.10 Risk of Toxicity in Patients with Hepatic Impairment)

Because amide-type local anesthetics such as bupivacaine are metabolized by the liver, consider reduced dosing and increased monitoring for bupivacaine systemic toxicity in patients with moderate to severe hepatic impairment who are treated with MARCAINE SPINAL [see Use in Specific Populations (8.6)]. Most information regarding dose-related hepatic impairment is based on larger dosages of bupivacaine administered for other neuraxial, peripheral nerve, or fascial plane blocks.

Principal Display Panel 2 Ml Ampule Unit Dose Pak Label (PRINCIPAL DISPLAY PANEL - 2 mL Ampule Unit Dose Pak Label)

2 mL

UNI-AMP™ unit dose pak

Rx only

NDC 0409-1761-19

Marcaine™ Spinal

bupivacaine HCl in dextrose inj., USP

Contains 7.5 mg bupivacaine HCl (anhydrous) and 82.5 mg

dextrose (anhydrous) per mL. pH adjusted between 4.0 and

6.5 with NaOH or HCl.

Distributed by Hospira, Inc.

Lake Forest, IL 60045 USA

PAA118783

#####AA

DMMMYYYY

Principal Display Panel 2 Ml Ampule Unit Dose Pak Carton (PRINCIPAL DISPLAY PANEL - 2 mL Ampule Unit Dose Pak Carton)

2 mL

10 Ampuls UNI-AMP™ unit dose pak

NDC 0409-1761-02

Contains 10 of NDC 0409-1761-19

Rx only

STERILE HYPERBARIC SOLUTION FOR SPINAL ANESTHESIA

Marcaine™ Spinal

bupivacaine hydrochloride in dextrose injection, USP

Each mL contains 7.5 mg bupivacaine hydrochloride (anhydrous) and 82.5 mg dextrose

(anhydrous). pH adjusted between 4.0 and 6.5 with NaOH or HCl.

Hospira

5.11 Risk of Use in Patients With Impaired Cardiovascular Function (5.11 Risk of Use in Patients with Impaired Cardiovascular Function)

MARCAINE SPINAL should be given in reduced doses in patients with impaired cardiovascular function (e.g., hypotension, heartblock, valvular abnormalities) because they may be less able to compensate for functional changes associated with the sympathetic blockade observed after subarachnoid administration of MARCAINE SPINAL and the prolongation of AV conduction produced by the drug. Monitor patients closely for blood pressure, heart rate, and ECG changes.

5.4 Risk of Systemic Toxicities With Unintended Intravascular Injection (5.4 Risk of Systemic Toxicities with Unintended Intravascular Injection)

Unintended intravascular injection of MARCAINE SPINAL may be associated with systemic toxicities, including CNS or cardiorespiratory depression and coma, progressing ultimately to respiratory arrest [see Adverse Reactions (6)].

Aspirate for blood and cerebrospinal fluid before injecting MARCAINE SPINAL, for both the initial dose and all subsequent doses (where applicable), to confirm entry into the subarachnoid space and to avoid intravascular injection. Aspiration of cerebrospinal fluid into a MARCAINE SPINAL-filled syringe will result in an identifiable swirl in the solution. A negative aspiration for blood does not ensure against an intravascular injection.

5.9 Patients With Severe Disturbances of Cardiac Rhythm, Shock, Or Heart Block (5.9 Patients with Severe Disturbances of Cardiac Rhythm, Shock, or Heart Block)

Consider alternate anesthetic techniques in patients with severe disturbances of cardiac rhythm, shock, or heart block [see Contraindications (4)].

5.8 Risk of Cardiac Arrest With Intravenous Regional Anesthesia Use (bier Block) (5.8 Risk of Cardiac Arrest with Intravenous Regional Anesthesia Use (Bier Block))

There have been reports of cardiac arrest and death during the use of bupivacaine for intravenous regional anesthesia (Bier Block). Information on safe dosages and techniques of administration of MARCAINE SPINAL in this procedure is lacking. Therefore, MARCAINE SPINAL is contraindicated for use with this technique [see Contraindications (4)].

5.6 Risk of Cardiac Arrest With Use of Epidural Bupivacaine in Obstetrical Anesthesia (5.6 Risk of Cardiac Arrest with Use of Epidural Bupivacaine in Obstetrical Anesthesia)

There have been reports of cardiac arrest with difficult resuscitation or death during use of MARCAINE for epidural anesthesia in obstetrical patients. In most cases, this has followed use of MARCAINE 0.75%, not MARCAINE SPINAL. The package insert for MARCAINE hydrochloride for epidural, nerve block, etc., has a more complete discussion of preparation for, and management of cardiac arrest following epidural administration. MARCAINE SPINAL (bupivacaine hydrochloride in dextrose injection) is recommended for spinal anesthesia in obstetrical patients.


Advanced Ingredient Data


Raw Label Data

All Sections (JSON)