Nystatin Oral Suspension, Usp

Nystatin Oral Suspension, Usp
SPL v5
SPL
SPL Set ID 954205d8-47ba-4c89-95cd-f0066a514cf9
Route
ORAL
Published
Effective Date 2024-11-28
Document Type 34391-3 HUMAN PRESCRIPTION DRUG LABEL

Drug Facts

Composition & Product

Active Ingredients
Nystatin (100000 [USP'U])
Inactive Ingredients
Alcohol Sucrose Peppermint Oil Cinnamaldehyde Sodium Phosphate, Dibasic, Anhydrous Carboxymethylcellulose Sodium Glycerin Saccharin Sodium Methylparaben Propylparaben Water Sodium Hydroxide Hydrochloric Acid

Identifiers & Packaging

Marketing Status
ANDA Active Since 2022-12-05

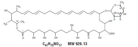
Description

Nystatin is obtained from Streptomyces noursei. It is known to be a mixture, but the composition has not been completely elucidated. Nystatin A is closely related to amphotericin B. Each is a macro-cyclic lactone containing a ketal ring, an all-trans polyene system, and a mycosamine (3-amino-3-deoxyrhamose) moiety. Structural formula: Nystatin Oral Suspension, for oral administration, contains 100,000 USP Nystatin Units per mL. Inactive ingredients: alcohol (≤ 1% v/v), sucrose 50% w/v, peppermint oil, NF, cinnamaldehyde, disodium hydrogen phosphate, USP, carboxymethylcellulose sodium, USP, glycerin, USP, saccharin sodium, USP, cherry flavor, methylparaben, NF, propylparaben, NF and purified water, USP. May also contain sodium hydroxide, NF and/ or hydrochloric acid, NF for pH adjustment.

Indications and Usage

Nystatin oral suspension is indicated for the treatment of infections of the oral cavity caused by Candida albicans.

Dosage and Administration

Infants: 2 mL (200,000 units) four times daily (1 mL in each side of mouth). Pediatric patients and adults: 4 to 6 mL (400,000 to 600,000 units) four times daily (one-half of dose in each side of mouth). NOTE: Limited clinical studies in neonates, including premature and low-birth weight neonates, indicate that 1 mL (100,000 units) four times daily is effective. Local treatment should be continued at least 48 hours after perioral symptoms have disappeared and/or cultures returned to normal. It is recommended that the drug be retained in the mouth as long as possible before swallowing.

Contraindications

Nystatin is contraindicated in patients with a history of hypersensitivity to nystatin or any of the suspension components.

Adverse Reactions

To report SUSPECTED ADVERSE REACTIONS, contact FDA at 1-800-FDA-1088 OR LEADING PHARMA, LLC AT 1-844-740-7500 or www.fda.gov/medwatch. Gastrointestinal symptoms including diarrhea, gastrointestinal distress, nausea, vomiting and burning of the mouth have been reported. Hypersensitivity reactions including rash, pruritus, and anaphylactoid reaction have also been reported.

How Supplied

Nystatin Oral Suspension, USP, 100,000 USP Nystatin Units per mL, is available as a cherry-mint flavored, light creamy yellow, ready-to-use suspension, in the following sizes: 60 mL bottles with a child-resistant cap and calibrated dropper. 1 Pint (473 mL) bottles with a child-resistant cap. Storage This package is child-resistant. Keep out of reach of children. Store at 20° to 25°C (68° to 77°F) [see USP Controlled Room Temperature]. Avoid freezing NDC for 60 ml: 69315-504-60 NDC for 473 ml: 69315-504-47 Rx Only


Medication Information

Indications and Usage

Nystatin oral suspension is indicated for the treatment of infections of the oral cavity caused by Candida albicans.

Dosage and Administration

Infants: 2 mL (200,000 units) four times daily (1 mL in each side of mouth).

Pediatric patients and adults: 4 to 6 mL (400,000 to 600,000 units) four times daily (one-half of dose in each side of mouth).

NOTE: Limited clinical studies in neonates, including premature and low-birth weight neonates, indicate that 1 mL (100,000 units) four times daily is effective.

Local treatment should be continued at least 48 hours after perioral symptoms have disappeared and/or cultures returned to normal. It is recommended that the drug be retained in the mouth as long as possible before swallowing.

Contraindications

Nystatin is contraindicated in patients with a history of hypersensitivity to nystatin or any of the suspension components.

Adverse Reactions

To report SUSPECTED ADVERSE REACTIONS, contact FDA at 1-800-FDA-1088 OR LEADING PHARMA, LLC AT 1-844-740-7500 or www.fda.gov/medwatch.

Gastrointestinal symptoms including diarrhea, gastrointestinal distress, nausea, vomiting and burning of the mouth have been reported. Hypersensitivity reactions including rash, pruritus, and anaphylactoid reaction have also been reported.

How Supplied

Nystatin Oral Suspension, USP, 100,000 USP Nystatin Units per mL, is available as a cherry-mint flavored, light creamy yellow, ready-to-use suspension, in the following sizes: 60 mL bottles with a child-resistant cap and calibrated dropper.

1 Pint (473 mL) bottles with a child-resistant cap.

Storage

This package is child-resistant. Keep out of reach of children. Store at 20° to 25°C (68° to 77°F) [see USP Controlled Room Temperature]. Avoid freezing

NDC for 60 ml: 69315-504-60

NDC for 473 ml: 69315-504-47

Rx Only

Description

Nystatin is obtained from Streptomyces noursei. It is known to be a mixture, but the composition has not been completely elucidated. Nystatin A is closely related to amphotericin B. Each is a macro-cyclic lactone containing a ketal ring, an all-trans polyene system, and a mycosamine (3-amino-3-deoxyrhamose) moiety.

Structural formula:

Nystatin Oral Suspension, for oral administration, contains 100,000 USP Nystatin Units per mL. Inactive ingredients: alcohol (≤ 1% v/v), sucrose 50% w/v, peppermint oil, NF, cinnamaldehyde, disodium hydrogen phosphate, USP, carboxymethylcellulose sodium, USP, glycerin, USP, saccharin sodium, USP, cherry flavor, methylparaben, NF, propylparaben, NF and purified water, USP. May also contain sodium hydroxide, NF and/ or hydrochloric acid, NF for pH adjustment.

Section 42229-5

Manufactured by:

Medley Pharmaceuticals Ltd.

Plot No. 18 and 19, Survey No. 378 / 7 & 8, 379 / 2 & 3,

Zari Causeway Road, Kachigam, Daman - 396210, INDIA.

Distributed by:

Leading Pharma, LLC

3 Oak Rd, Fairfield,.

New Jersey (NJ) 07004, United States (USA)

REV. 03/22                                                P000324

Section 51945-4

Caution

The Packaging of This Product Contains Natural Rubber Latex Which May Cause Allergic Reactions

Overdosage

Oral doses of nystatin in excess of five million units daily have caused nausea and gastrointestinal upset.

Precautions

General

Discontinue treatment with nystatin if sensitization or irritation is reported during use.

Nystatin is not effective in the treatment of systemic mycoses since it is not significantly absorbed from the gastrointestinal

tract.

Information for the Patient

Patient should be advised to retain nystatin in the mouth as long as possible and to continue its use for at least 2 days after symptoms have subsided.

There should be no interruption or discontinuation of the medication until the prescribed course of treatment is completed, even though symptomatic relief may occur within a few days.

If symptoms of local irritation develop, the physician should be notified immediately.

Laboratory Tests

If there is a lack of therapeutic response, appropriate microbiological studies (e .g., KOH smears and/or cultures) should be repeated to confirm the diagnosis of candidiasis and rule out other pathogens before instituting another course of therapy.

Carcinogenesis, Mutagenesis, Impairment of Fertility

No long-term animal studies have been performed to evaluate the carcinogenic potential of nystatin. In mice exposed to nystatin 50 mg/kg by injection, an increased incidence of chromosomal aberrations, consisting primarily of chromatid breaks, was observed in bone marrow cells. However, there have been no studies to determine the mutagenicity of orally-administered nystatin or its effects on fertility in males or females.

Pregnancy:

Teratogenic Effects

Teratogenicity studies have not been conducted with nystatin. It is also not known whether nystatin can cause fetal harm when administered to a pregnant woman or can affect reproduction capacity. Nystatin should be given to a pregnant woman only if clearly needed.

Nonteratogenic Effects

In one rat reproductive study, nystatin was administered orally to pregnant rats in single doses of 100, 500, or 3000 mg/kg on the ninth day of gestation, or as multiple doses of 500 mg/kg/day on gestation days 1-20, 1-4, 7-10, 11-14, or 15-18. It was found that nystatin had a slight abortive effect when used during the whole period of pregnancy. No abnormalities were seen in surviving fetuses. Although no adverse effects or complications have been attributed to the use of intra-vaginal nystatin in neonates born to women treated during pregnancy, no similar studies evaluating complications of oral nystatin have been conducted.

Nursing Mothers

It is not known whether nystatin is excreted in human milk. Because many drugs are excreted in human milk, caution should be exercised when nystatin is administered to a nursing woman.

Pediatric Use

See DOSAGE AND ADMINISTRATION section for pediatric dosing recommendations.

Clinical Pharmacology

Nystatin acts by binding to sterols in the cell membrane of the fungus with a resultant change in membrane permeability allowing leakage of intracellular components. Nystatin is absorbed very sparingly following oral administration, with no detectable blood levels when given in the recommended doses.


Structured Label Content

Section 42229-5 (42229-5)

Manufactured by:

Medley Pharmaceuticals Ltd.

Plot No. 18 and 19, Survey No. 378 / 7 & 8, 379 / 2 & 3,

Zari Causeway Road, Kachigam, Daman - 396210, INDIA.

Distributed by:

Leading Pharma, LLC

3 Oak Rd, Fairfield,.

New Jersey (NJ) 07004, United States (USA)

REV. 03/22                                                P000324

Section 51945-4 (51945-4)

Caution (CAUTION)

The Packaging of This Product Contains Natural Rubber Latex Which May Cause Allergic Reactions

Overdosage (OVERDOSAGE)

Oral doses of nystatin in excess of five million units daily have caused nausea and gastrointestinal upset.

Description (DESCRIPTION)

Nystatin is obtained from Streptomyces noursei. It is known to be a mixture, but the composition has not been completely elucidated. Nystatin A is closely related to amphotericin B. Each is a macro-cyclic lactone containing a ketal ring, an all-trans polyene system, and a mycosamine (3-amino-3-deoxyrhamose) moiety.

Structural formula:

Nystatin Oral Suspension, for oral administration, contains 100,000 USP Nystatin Units per mL. Inactive ingredients: alcohol (≤ 1% v/v), sucrose 50% w/v, peppermint oil, NF, cinnamaldehyde, disodium hydrogen phosphate, USP, carboxymethylcellulose sodium, USP, glycerin, USP, saccharin sodium, USP, cherry flavor, methylparaben, NF, propylparaben, NF and purified water, USP. May also contain sodium hydroxide, NF and/ or hydrochloric acid, NF for pH adjustment.

Precautions (PRECAUTIONS)

General

Discontinue treatment with nystatin if sensitization or irritation is reported during use.

Nystatin is not effective in the treatment of systemic mycoses since it is not significantly absorbed from the gastrointestinal

tract.

Information for the Patient

Patient should be advised to retain nystatin in the mouth as long as possible and to continue its use for at least 2 days after symptoms have subsided.

There should be no interruption or discontinuation of the medication until the prescribed course of treatment is completed, even though symptomatic relief may occur within a few days.

If symptoms of local irritation develop, the physician should be notified immediately.

Laboratory Tests

If there is a lack of therapeutic response, appropriate microbiological studies (e .g., KOH smears and/or cultures) should be repeated to confirm the diagnosis of candidiasis and rule out other pathogens before instituting another course of therapy.

Carcinogenesis, Mutagenesis, Impairment of Fertility

No long-term animal studies have been performed to evaluate the carcinogenic potential of nystatin. In mice exposed to nystatin 50 mg/kg by injection, an increased incidence of chromosomal aberrations, consisting primarily of chromatid breaks, was observed in bone marrow cells. However, there have been no studies to determine the mutagenicity of orally-administered nystatin or its effects on fertility in males or females.

Pregnancy:

Teratogenic Effects

Teratogenicity studies have not been conducted with nystatin. It is also not known whether nystatin can cause fetal harm when administered to a pregnant woman or can affect reproduction capacity. Nystatin should be given to a pregnant woman only if clearly needed.

Nonteratogenic Effects

In one rat reproductive study, nystatin was administered orally to pregnant rats in single doses of 100, 500, or 3000 mg/kg on the ninth day of gestation, or as multiple doses of 500 mg/kg/day on gestation days 1-20, 1-4, 7-10, 11-14, or 15-18. It was found that nystatin had a slight abortive effect when used during the whole period of pregnancy. No abnormalities were seen in surviving fetuses. Although no adverse effects or complications have been attributed to the use of intra-vaginal nystatin in neonates born to women treated during pregnancy, no similar studies evaluating complications of oral nystatin have been conducted.

Nursing Mothers

It is not known whether nystatin is excreted in human milk. Because many drugs are excreted in human milk, caution should be exercised when nystatin is administered to a nursing woman.

Pediatric Use

See DOSAGE AND ADMINISTRATION section for pediatric dosing recommendations.

How Supplied (HOW SUPPLIED)

Nystatin Oral Suspension, USP, 100,000 USP Nystatin Units per mL, is available as a cherry-mint flavored, light creamy yellow, ready-to-use suspension, in the following sizes: 60 mL bottles with a child-resistant cap and calibrated dropper.

1 Pint (473 mL) bottles with a child-resistant cap.

Storage

This package is child-resistant. Keep out of reach of children. Store at 20° to 25°C (68° to 77°F) [see USP Controlled Room Temperature]. Avoid freezing

NDC for 60 ml: 69315-504-60

NDC for 473 ml: 69315-504-47

Rx Only

Adverse Reactions (ADVERSE REACTIONS)

To report SUSPECTED ADVERSE REACTIONS, contact FDA at 1-800-FDA-1088 OR LEADING PHARMA, LLC AT 1-844-740-7500 or www.fda.gov/medwatch.

Gastrointestinal symptoms including diarrhea, gastrointestinal distress, nausea, vomiting and burning of the mouth have been reported. Hypersensitivity reactions including rash, pruritus, and anaphylactoid reaction have also been reported.

Contraindications (CONTRAINDICATIONS)

Nystatin is contraindicated in patients with a history of hypersensitivity to nystatin or any of the suspension components.

Clinical Pharmacology (CLINICAL PHARMACOLOGY)

Nystatin acts by binding to sterols in the cell membrane of the fungus with a resultant change in membrane permeability allowing leakage of intracellular components. Nystatin is absorbed very sparingly following oral administration, with no detectable blood levels when given in the recommended doses.

Indications and Usage (INDICATIONS AND USAGE)

Nystatin oral suspension is indicated for the treatment of infections of the oral cavity caused by Candida albicans.

Dosage and Administration (DOSAGE AND ADMINISTRATION)

Infants: 2 mL (200,000 units) four times daily (1 mL in each side of mouth).

Pediatric patients and adults: 4 to 6 mL (400,000 to 600,000 units) four times daily (one-half of dose in each side of mouth).

NOTE: Limited clinical studies in neonates, including premature and low-birth weight neonates, indicate that 1 mL (100,000 units) four times daily is effective.

Local treatment should be continued at least 48 hours after perioral symptoms have disappeared and/or cultures returned to normal. It is recommended that the drug be retained in the mouth as long as possible before swallowing.


Advanced Ingredient Data


Raw Label Data

All Sections (JSON)