These Highlights Do Not Include All The Information Needed To Use Gimoti Safely And Effectively. See Full Prescribing Information For Gimoti.

These Highlights Do Not Include All The Information Needed To Use Gimoti Safely And Effectively. See Full Prescribing Information For Gimoti.
SPL v6
SPL
SPL Set ID 95269b1f-779c-4ca0-9f86-e74e677f9900
Route
NASAL
Published
Effective Date 2021-01-07
Document Type 34391-3 HUMAN PRESCRIPTION DRUG LABEL

Drug Facts

Composition & Product

Active Ingredients
Metoclopramide (15 mg)
Inactive Ingredients
Benzalkonium Chloride Sorbitol Edetate Disodium Citric Acid Monohydrate Trisodium Citrate Dihydrate

Identifiers & Packaging

Marketing Status
NDA Active Since 2020-06-19

Description

Metoclopramide, including GIMOTI, can cause tardive dyskinesia (TD), a potentially irreversible serious movement disorder. In patients treated with metoclopramide, including GIMOTI, the risk of developing TD increases with duration of treatment and total cumulative dosage [see Warnings and Precautions ( 5.1 )] . GIMOTI is contraindicated in patients with a history of TD. Use GIMOTI for the shortest duration of treatment and periodically reassess the need for continued treatment. Immediately discontinue GIMOTI in patients who develop signs or symptoms of TD [see Warnings and Precautions ( 5.1 )] . Avoid a total duration of treatment with metoclopramide products, including GIMOTI, for longer than 12 weeks. If longer-term use is unavoidable, routinely monitor for signs and symptoms of TD [see Warnings and Precautions ( 5.1 )] .

Indications and Usage

GIMOTI is indicated for the relief of symptoms in adults with acute and recurrent diabetic gastroparesis.

Dosage and Administration

Administration See the full prescribing information for complete information on administration. ( 2.1 ) Recommended Dosage Adults less than 65 years of age: The recommended dosage is 1 spray (15 mg) in one nostril, 30 minutes before each meal and at bedtime (maximum of 4 sprays daily). ( 2.2 ) Adults 65 years of age and older: GIMOTI is not recommended in geriatric patients as initial therapy. Geriatric patients receiving an alternative metoclopramide product at a stable dosage of 10 mg four times daily can be switched to GIMOTI 1 spray (15 mg) in one nostril, 30 minutes before each meal and at bedtime (maximum four times daily). ( 2.2 , 8.5 )

Warnings and Precautions

Tardive dyskinesia (TD), other extrapyramidal symptoms (EPS), and neuroleptic malignant syndrome (NMS) : Avoid concomitant use of other drugs known to cause TD/EPS/NMS and avoid use in patients with Parkinson's disease. If symptoms occur, discontinue GIMOTI and seek immediate medical attention. ( 5.1 , 5.2 , 5.3 , 7.1 , 7.2 ) Depression and suicidal ideation/suicide : Avoid use. ( 5.4 )

Contraindications

GIMOTI is contraindicated: In patients with a history of tardive dyskinesia (TD) or a dystonic reaction to metoclopramide [see Warnings and Precautions ( 5.1 , 5.2) ] . When stimulation of gastrointestinal motility might be dangerous (e.g., in the presence of gastrointestinal hemorrhage, mechanical obstruction, or perforation). In patients with pheochromocytoma or other catecholamine-releasing paragangliomas. Metoclopramide may cause a hypertensive/pheochromocytoma crisis, probably due to release of catecholamines from the tumor [see Warnings and Precautions ( 5.5 )] . In patients with epilepsy. Metoclopramide may increase the frequency and severity of seizures [see Adverse Reactions ( 6 )] . In patients with hypersensitivity to metoclopramide. Reactions have included laryngeal and glossal angioedema and bronchospasm [see Adverse Reactions ( 6 )] .

Adverse Reactions

Patients with moderate or severe renal or hepatic impairment, patients who are CYP2D6 poor metabolizers, and patients concurrently using strong CYP2D6 inhibitors have increased exposure to metoclopramide from GIMOTI due to reduced metabolism or excretion which may lead to an increased risk of adverse reactions, including tardive dyskinesia. Use of GIMOTI is not recommended in these patient populations since the dose of GIMOTI cannot be adjusted to reduce exposure [ see Drug Interactions ( 7.1 ), Use in Specific Populations ( 8.6 , 8.7 , 8.9) ] .

Drug Interactions

Antipsychotics : Potential for additive effects, including TD, EPS, and NMS; avoid concomitant use. ( 7.1 ) Central nervous system (CNS) depressants : Increased risk of CNS depression. Avoid concomitant use and monitor for adverse reactions. ( 7.1 ) Monoamine oxidase (MAO) inhibitors : Increased risk of hypertension; avoid concomitant use. ( 5.5 , 7.1 ) Additional drug interactions : See Full Prescribing Information. ( 7.1 , 7.2 )

Storage and Handling

GIMOTI (metoclopramide) nasal spray is supplied as a solution of metoclopramide in a 10 mL Type 1 amber glass bottle fitted with a metered spray pump attachment, a protective cap, and a safety clip. Each box of GIMOTI (NDC 72089-307-15) contains 1 bottle, with FDA-approved Patient Labeling (see Instructions for Use  for proper actuation of the device). Each actuation delivers 15 mg of metoclopramide. Each bottle contains 9.8 mL which is sufficient for 4 weeks of 4 times a day use.

How Supplied

GIMOTI (metoclopramide) nasal spray is supplied as a solution of metoclopramide in a 10 mL Type 1 amber glass bottle fitted with a metered spray pump attachment, a protective cap, and a safety clip. Each box of GIMOTI (NDC 72089-307-15) contains 1 bottle, with FDA-approved Patient Labeling (see Instructions for Use  for proper actuation of the device). Each actuation delivers 15 mg of metoclopramide. Each bottle contains 9.8 mL which is sufficient for 4 weeks of 4 times a day use.


Medication Information

Recent Major Changes

Boxed Warning                                                                    2/2026

Dosage and Administration, Recommended Dosage ( 2.2)                   2/2026

Warnings and Precautions, Tardive Dyskinesia ( 5.1)                            2/2026

Warnings and Precautions Other Extrapyramidal Symptoms ( 5.2)       2/2026

Warnings and Precautions

Tardive dyskinesia (TD), other extrapyramidal symptoms (EPS), and neuroleptic malignant syndrome (NMS) : Avoid concomitant use of other drugs known to cause TD/EPS/NMS and avoid use in patients with Parkinson's disease. If symptoms occur, discontinue GIMOTI and seek immediate medical attention. ( 5.1 , 5.2 , 5.3 , 7.1 , 7.2 ) Depression and suicidal ideation/suicide : Avoid use. ( 5.4 )

Indications and Usage

Limitations of Use:

GIMOTI is not recommended for use in:

  • pediatric patients due to the risk of developing tardive dyskinesia (TD) and other extrapyramidal symptoms as well as the risk of methemoglobinemia in neonates [see Use in Specific Populations ( 8.4)].
  • moderate or severe hepatic impairment (Child-Pugh B or C), moderate or severe renal impairment (creatinine clearance less than 60 mL/minute), and patients concurrently using strong CYP2D6 inhibitors due to the risk of increased drug exposure and adverse reactions [see Warnings and Precautions ( 5.9)].
Dosage and Administration

Missed or Incomplete Doses

  • If uncertain that the spray entered the nose, do not repeat the dose. Take the next dose at the scheduled time.
  • If a dose is missed, take the next dose of GIMOTI at the regularly scheduled time. Do not make up for the missed dose or double the next dose.
Contraindications

GIMOTI is contraindicated: In patients with a history of tardive dyskinesia (TD) or a dystonic reaction to metoclopramide [see Warnings and Precautions ( 5.1 , 5.2) ] . When stimulation of gastrointestinal motility might be dangerous (e.g., in the presence of gastrointestinal hemorrhage, mechanical obstruction, or perforation). In patients with pheochromocytoma or other catecholamine-releasing paragangliomas. Metoclopramide may cause a hypertensive/pheochromocytoma crisis, probably due to release of catecholamines from the tumor [see Warnings and Precautions ( 5.5 )] . In patients with epilepsy. Metoclopramide may increase the frequency and severity of seizures [see Adverse Reactions ( 6 )] . In patients with hypersensitivity to metoclopramide. Reactions have included laryngeal and glossal angioedema and bronchospasm [see Adverse Reactions ( 6 )] .

Adverse Reactions

Patients with moderate or severe renal or hepatic impairment, patients who are CYP2D6 poor metabolizers, and patients concurrently using strong CYP2D6 inhibitors have increased exposure to metoclopramide from GIMOTI due to reduced metabolism or excretion which may lead to an increased risk of adverse reactions, including tardive dyskinesia. Use of GIMOTI is not recommended in these patient populations since the dose of GIMOTI cannot be adjusted to reduce exposure [ see Drug Interactions ( 7.1 ), Use in Specific Populations ( 8.6 , 8.7 , 8.9) ] .

Drug Interactions

Antipsychotics : Potential for additive effects, including TD, EPS, and NMS; avoid concomitant use. ( 7.1 ) Central nervous system (CNS) depressants : Increased risk of CNS depression. Avoid concomitant use and monitor for adverse reactions. ( 7.1 ) Monoamine oxidase (MAO) inhibitors : Increased risk of hypertension; avoid concomitant use. ( 5.5 , 7.1 ) Additional drug interactions : See Full Prescribing Information. ( 7.1 , 7.2 )

Storage and Handling

GIMOTI (metoclopramide) nasal spray is supplied as a solution of metoclopramide in a 10 mL Type 1 amber glass bottle fitted with a metered spray pump attachment, a protective cap, and a safety clip. Each box of GIMOTI (NDC 72089-307-15) contains 1 bottle, with FDA-approved Patient Labeling (see Instructions for Use  for proper actuation of the device). Each actuation delivers 15 mg of metoclopramide. Each bottle contains 9.8 mL which is sufficient for 4 weeks of 4 times a day use.

How Supplied

GIMOTI (metoclopramide) nasal spray is supplied as a solution of metoclopramide in a 10 mL Type 1 amber glass bottle fitted with a metered spray pump attachment, a protective cap, and a safety clip. Each box of GIMOTI (NDC 72089-307-15) contains 1 bottle, with FDA-approved Patient Labeling (see Instructions for Use  for proper actuation of the device). Each actuation delivers 15 mg of metoclopramide. Each bottle contains 9.8 mL which is sufficient for 4 weeks of 4 times a day use.

Description

Metoclopramide, including GIMOTI, can cause tardive dyskinesia (TD), a potentially irreversible serious movement disorder. In patients treated with metoclopramide, including GIMOTI, the risk of developing TD increases with duration of treatment and total cumulative dosage [see Warnings and Precautions ( 5.1 )] . GIMOTI is contraindicated in patients with a history of TD. Use GIMOTI for the shortest duration of treatment and periodically reassess the need for continued treatment. Immediately discontinue GIMOTI in patients who develop signs or symptoms of TD [see Warnings and Precautions ( 5.1 )] . Avoid a total duration of treatment with metoclopramide products, including GIMOTI, for longer than 12 weeks. If longer-term use is unavoidable, routinely monitor for signs and symptoms of TD [see Warnings and Precautions ( 5.1 )] .

Section 42229-5

Adults Less Than 65 Years of Age

The recommended dosage of GIMOTI for the treatment of acute and recurrent diabetic gastroparesis in adults is 1 spray (15 mg) in one nostril, 30 minutes before each meal and at bedtime (maximum of four times daily).

Adults 65 Years of Age and Older

Elderly patients may be more sensitive to the adverse effects of metoclopramide and require a lower starting dosage [see Warnings and Precautions ( 5.1)] . GIMOTI is not recommended in geriatric patients as initial therapy.

Geriatric patients receiving an alternative metoclopramide product at a stable dosage of 10 mg four times daily can be switched to GIMOTI 1 spray (15 mg) in one nostril, 30 minutes before each meal and at bedtime (maximum four times daily).

Treatment Duration

Use GIMOTI for the shortest duration of treatment and periodically reassess the need for continued treatment.

Avoid treatment with metoclopramide, including GIMOTI, for longer than 12 weeks. If longer-term use is unavoidable, routinely monitor for signs and symptoms of TD [see Warnings and Precautions ( 5.1)] .

Section 42231-1
This Medication Guide has been approved by the U.S. Food and Drug Administration Revised: February 2026
Medication Guide

GIMOTI™ (jye-MOH-tee)

(metoclopramide)

nasal spray
Read this Medication Guide before you start taking GIMOTI and each time you get a refill. There may be new information. If you take another product that contains metoclopramide (such as REGLAN tablets, REGLAN injection, metoclopramide orally disintegrating tablets [ODT], or metoclopramide oral solution), you should read the Medication Guide that comes with that product. Some of the information may be different. This information does not take the place of talking with your healthcare provider about your medical condition or your treatment.

What is the most important information I should know about GIMOTI?

GIMOTI can cause serious side effects, including:

Tardive dyskinesia (abnormal muscle movements).

  • These movements happen mostly in the face or tongue and sometimes in the arms or legs. You cannot control these movements.
  • These symptoms may not go away even after stopping GIMOTI.

Your chances for getting tardive dyskinesia increase:

  • the longer you take GIMOTI and the more GIMOTI you take.

    • Use for the shortest time needed.
    • You should not take products containing metoclopramide (including GIMOTI) for more than 12 weeks. If you require treatment for longer than 12 weeks, your healthcare provider should frequently monitor you for signs and symptoms of tardive dyskinesia
  • if you are older, especially if you are an older woman.
  • because you have diabetes.

It is not possible for your healthcare provider to know if you will get tardive dyskinesia if you take GIMOTI.

Stop taking GIMOTI and call your healthcare provider right away if you get movements you cannot stop or control, such as:

  • lip smacking, chewing, or puckering up your mouth
  • frowning or scowling
  • sticking out your tongue
  • blinking and moving your eyes
  • shaking of your arms and legs

Your healthcare provider may decide not to continue treatment with GIMOTI if you develop signs or symptoms of tardive dyskinesia.

See the section "What are the possible side effects of GIMOTI?"for more information about side effects.

What is GIMOTI?
  • GIMOTI is a prescription medicine used in adults to relieve the symptoms of slow stomach emptying in people with diabetes.
  • GIMOTI is not recommendedfor use in people who:
    • have kidney or liver problems.
    • have been told that an enzyme in their body, called CYP2D6, breaks down (metabolizes) certain medicines in the body too slowly.
    • are also taking medicine called CYP2D6 inhibitors, which slows how fast the body breaks down (metabolizes) certain medicines.
  • GIMOTI is not recommended for use in children.
  • It is not known if GIMOTI is safe and effective in children.
Do not take GIMOTI if you:
  • have a history of tardive dyskinesia or have a problem controlling your muscles and movements after taking GIMOTI or a medicine that works like GIMOTI.
  • have stomach or intestine problems that could get worse with GIMOTI, such as bleeding, blockage, or a tear in the stomach or bowel wall.
  • have a type of tumor that can cause high blood pressure, such as pheochromocytoma.
  • have epilepsy (seizures). GIMOTI can increase your chance for seizures and make them worse.
  • are allergic to metoclopramide. GIMOTI can cause serious allergic reactions. Stop taking GIMOTI right away and get emergency help if you have any of these symptoms:
    • swelling of your tongue, throat, lips, eyes, or face
    • trouble swallowing or breathing
    • skin rash, hives, sores in your mouth, or skin blisters
Before taking GIMOTI, tell your healthcare provider about all of your medical conditions, including if you:
  • had problems controlling your muscle movements after taking any medicine.
  • have Parkinson’s disease.
  • have or had depression or mental illness.
  • have kidney or liver disease.
  • have heart failure or heart rhythm problems.
  • have high blood pressure.
  • drink alcohol.
  • have diabetes. Your dose of insulin may need to be changed.
  • are pregnant or plan to become pregnant. GIMOTI may harm your unborn baby if taken during the end of pregnancy. Talk to your healthcare provider if you become pregnant while taking GIMOTI.
  • are breastfeeding or plan to breastfeed. GIMOTI can pass into your breast milk and may harm your baby. It is important that you tell your baby’s healthcare provider you are taking GIMOTI. You and your healthcare provider should decide if you will take GIMOTI or breastfeed.

Tell your healthcare provider about all the medicines you take, including prescription and over-the-counter medicines, vitamins, and herbal supplements.

GIMOTI may affect the way other medicines work and other medicines may affect how GIMOTI works.

Tell your healthcare provider before you start or stop other medicines.

Especially tell your healthcare provider if you take:

  • another medicine that contains metoclopramide, such as metoclopramide tablets, metoclopramide injection, metoclopramide orally disintegrating tablets (ODT), or metoclopramide oral solution.
  • an anti-psychotic medicine, used to treat mental illness such as schizophrenia.
  • a medicine for Parkinson’s disease.
  • a medicine for depression, especially a monoamine oxidase inhibitor (MAOI).
  • insulin.
  • medicines that can make you sleepy, such as anxiety medicines, sleep medicines, and narcotics.

If you are not sure if your medicine is one listed above, ask your healthcare provider or pharmacist.

Know the medicines you take. Keep a list of them to show your healthcare provider and pharmacist when you get a new medicine.

How should I take GIMOTI?
  • Read the step-by-step Instructions for Use that come with your GIMOTI prescription.
  • Take GIMOTI exactly as your healthcare provider tells you. Do not change your dose unless your healthcare provider tells you to.
  • GIMOTI comes as a liquid in a glass bottle with a spray pump attached.
  • You should not take medicines containing metoclopramide (including GIMOTI) for more than 12 weeks. If you require treatment for longer than 12 weeks, your healthcare provider should frequently monitor you for signs and symptoms of tardive dyskinesia.
  • Take GIMOTI at least 30 minutes before each meal and at bedtime.
  • If you are not certain that the spray entered the nose, skip the dose and take your next dose at your regular schedule time. Do not take an extra dose at the schedule time. If you miss a dose of GIMOTI, skip that dose and take your next dose at your regular scheduled time. Do not take an extra dose to make up for a missed dose.
  • If you take too much GIMOTI, call your poison control center at 1-800-222-1222 or go to the nearest emergency room right away.
  • Keep all follow-up visits with your healthcare provider as scheduled, so that your healthcare provider can see how you are responding to treatment with GIMOTI.
What should I avoid while taking GIMOTI?
  • Do not drink alcohol while taking GIMOTI. Alcohol may make some side effects of GIMOTI worse, such as feeling sleepy.
  • Do not drive, operate machinery, or do other dangerous activities until you know how GIMOTI affects you. GIMOTI may cause sleepiness or dizziness.
What are the possible side effects of GIMOTI?

GIMOTI can cause serious side effects, including:
  • Tardive dyskinesia (abnormal muscle movements).

    See " What is the most important information I need to know about GIMOTI?"
  • Other changes in muscle control and movement, such as:
    • Uncontrolled spasms of your face and neck muscles, or muscles of your body, arms, and legs (dystonia).These muscle spasms can cause abnormal movements and body positions and speech problems. These spasms usually start within the first 2 days of treatment. Rarely, these muscle spasms may cause trouble breathing. These spasms happen more often in adults less than 30 years of age and in those who took higher doses of metoclopramide.
    • Parkinsonism.Symptoms include slight shaking, body stiffness, and trouble moving or keeping your balance. If you already have Parkinson's Disease, your symptoms may become worse while you are taking GIMOTI.
    • Being unable to sit still or feeling you need to move your hands, feet, or body (akathisia).Symptoms can include feeling jittery, anxious, irritated, or unable to sleep (insomnia), feeling the need to walk around (pacing), and tapping your feet. Your healthcare provider may stop your treatment with GIMOTI if you develop these symptoms.
  • Neuroleptic Malignant Syndrome (NMS).NMS is a very rare, but very serious condition that can happen with GIMOTI. NMS can cause death and must be treated in a hospital. Symptoms of NMS include: high fever, stiff muscles, problems thinking, very fast or uneven heartbeat, and increased sweating.
  • Depression, thoughts about suicide, and suicide.Some people who take GIMOTI may become depressed, even if they have no history of depression. You may have thoughts about hurting or killing yourself. Some people who have taken metoclopramide have ended their own lives (suicide). Tell your healthcare provider right away if you have these feelings.
  • High blood pressure.GIMOTI can cause your blood pressure to increase. Your healthcare provider may stop your treatment if GIMOTI causes your blood pressure to increase very fast.
  • Too much body water.People who have certain liver problems or heart failure and take GIMOTI may hold too much water in their body (fluid retention). Tell your healthcare provider right away if you have sudden weight gain, or swelling of your hands, legs, or feet.
  • Increased prolactin.Tell your healthcare provider if your menstrual periods stop or your breasts get larger and make milk. These symptoms go away when you stop taking GIMOTI.
Stop taking GIMOTI, call your healthcare provider and get medical help right away if you:

  • have muscle movements you cannot stop or control
  • have muscle movements that are new or unusual
  • feel depressed or have thoughts about hurting or killing yourself
  • have high fever, stiff muscles, problems thinking, very fast or uneven heartbeat, and increased sweating
The most common side effects of GIMOTI include:

  • unpleasant taste
  • headache
  • tiredness
You may have more side effects the longer you take GIMOTI and the more GIMOTI you take.

You may still have side effects after stopping GIMOTI. You may have symptoms from stopping GIMOTI such as headaches and feeling dizzy or nervous.

Tell your healthcare provider about any side effect that bothers you or that does not go away. These are not all the possible side effects of GIMOTI. Call your doctor for medical advice about side effects. You may report side effects to FDA at 1-800-FDA-1088.
How should I store GIMOTI?
  • Store GIMOTI at room temperature between 68°F to 77°F (20°C to 25°C).
  • Throw away (discard) GIMOTI 4 weeks after opening even if the bottle contains unused medicine.
Keep GIMOTI and all medicines out of the reach of children.
General information about the safe and effective use of GIMOTI.

Medicines are sometimes prescribed for purposes other than those listed in a Medication Guide. Do not use GIMOTI for a condition for which it was not prescribed. Do not give GIMOTI to other people, even if they have the same symptoms that you have. It may harm them.

You can ask your pharmacist or healthcare provider for information about GIMOTI that is written for health professionals.
What are the ingredients in GIMOTI?

Active ingredient:metoclopramide

Inactive ingredients:benzalkonium chloride, citric acid monohydrate, edetate disodium dihydrate, purified water, sodium citrate dihydrate, sorbitol.

Manufactured for Evoke Pharma, Inc. by Patheon, a Division of Thermo Fisher.

GIMOTI is a trademark of Evoke Pharma. ©2020 Evoke Pharma, Inc. All rights reserved.

For more information, go to www.evokepharma.com or call 1-833-4-GIMOTI (1-833-444-6684).

Section 44425-7

Store at 20°C to 25°C (68°F to 77°F) excursions permitted 15°C to 30°C (59°F and 86°F) [ see USP Controlled Room Temperature].

Discard GIMOTI 4 weeks after opening even if the bottle contains unused medicine.

10 Overdosage

Manifestations of metoclopramide overdosage included drowsiness, disorientation, extrapyramidal reactions, other adverse reactions associated with metoclopramide use (including, e.g., methemoglobinemia), and sometimes death. Neuroleptic malignant syndrome (NMS) has been reported in association with metoclopramide overdose and concomitant treatment with another drug associated with NMS [see Warnings and Precautions ( 5.1, 5.2, 5.3)].

There are no specific antidotes for metoclopramide overdosage. If over-exposure occurs, call your Poison Control Center at 1-800-222-1222 for current information on the management of poisoning or overdosage .

Methemoglobinemia can be reversed by the intravenous administration of methylene blue. However, methylene blue may cause hemolytic anemia in patients with G6PD deficiency, which may be fatal.

Hemodialysis and continuous ambulatory peritoneal dialysis do not remove significant amounts of metoclopramide.

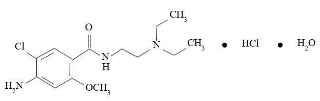
11 Description

Metoclopramide hydrochloride, the active ingredient in GIMOTI, is a dopamine-2 receptor antagonist. Metoclopramide hydrochloride is a white, crystalline, odorless substance, freely soluble in water. Its chemical name is 4-amino­-5-chloro-N-[2-(diethylamino)ethyl]-2-methoxy benzamide monohydrochloride monohydrate.

The molecular formula is C 14H 22ClN 3O 2∙HCl∙H 2O. Its molecular weight is 354.3. The structural formula is:

GIMOTI (metoclopramide) nasal spray is for nasal administration. The product is supplied as an aqueous solution with a pH of 5.5 ± 0.5 in a 10 mL amber glass vial fitted with a metered spray pump attachment. Each unit contains 9.8 mL.

Each 70 microliter spray contains 15 mg metoclopramide, equivalent to 17.73 mg of metoclopramide hydrochloride. Inactive ingredients consist of benzalkonium chloride, citric acid monohydrate, edetate disodium dihydrate, purified water, sodium citrate dihydrate, and sorbitol.

5.4 Depression

Depression has occurred in metoclopramide-treated patients with and without a history of depression. Symptoms have included suicidal ideation and suicide. Avoid GIMOTI use in patients with a history of depression.

5.5 Hypertension

Metoclopramide may elevate blood pressure. In one study in hypertensive patients, intravenously administered metoclopramide was shown to release catecholamines; hence, avoid GIMOTI use in patients with hypertension or in patients taking monoamine oxidase inhibitors [see Drug Interactions ( 7.1)] .

There are also clinical reports of hypertensive crises in patients with undiagnosed pheochromocytoma. GIMOTI is contraindicated in patients with pheochromocytoma or other catecholamine-releasing paragangliomas [see Contraindications ( 4)]. Discontinue GIMOTI in any patient with a rapid rise in blood pressure.

8.4 Pediatric Use

Metoclopramide is not recommended for use in pediatric patients due to the risk of tardive dyskinesia (TD) and other extrapyramidal symptoms as well as the risk of methemoglobinemia in neonates. The safety and effectiveness of GIMOTI in pediatric patients have not been established.

Dystonias and other extrapyramidal symptoms associated with metoclopramide are more common in pediatric patients than in adults [see Indications and Usage ( 1), Warnings and Precautions ( 5.1, 5.2)] . In addition, neonates have reduced levels of NADH-cytochrome b 5reductase, making them more susceptible to methemoglobinemia, a possible adverse reaction of metoclopramide use in neonates [see Use in Specific Populations ( 8.8)] .

8.5 Geriatric Use

Metoclopramide is known to be substantially excreted by the kidney, and the risk of adverse reactions, including tardive dyskinesia (TD), may be greater in patients with impaired renal function [see Warnings and Precautions ( 5.1), Use in Specific Populations ( 8.6), Clinical Pharmacology ( 12.3)] . Elderly patients are more likely to have decreased renal function and may be more sensitive to the adverse effects of metoclopramide, especially elderly women, and require a lower starting dosage. GIMOTI is not recommended in geriatric patients as initial therapy. Geriatric patients receiving an alternative metoclopramide product at a stable dosage of 10 mg four times daily can be switched to GIMOTI [see Dosage and Administration ( 2.2)].

14 Clinical Studies

The effectiveness of GIMOTI has been established based on studies of oral metoclopramide for the relief of symptoms in adults with acute and recurrent diabetic gastroparesis.

4 Contraindications

GIMOTI is contraindicated:

  • In patients with a history of tardive dyskinesia (TD) or a dystonic reaction to metoclopramide [see Warnings and Precautions ( 5.1, 5.2)] .
  • When stimulation of gastrointestinal motility might be dangerous (e.g., in the presence of gastrointestinal hemorrhage, mechanical obstruction, or perforation).
  • In patients with pheochromocytoma or other catecholamine-releasing paragangliomas. Metoclopramide may cause a hypertensive/pheochromocytoma crisis, probably due to release of catecholamines from the tumor [see Warnings and Precautions ( 5.5)] .
  • In patients with epilepsy. Metoclopramide may increase the frequency and severity of seizures [see Adverse Reactions ( 6)] .
  • In patients with hypersensitivity to metoclopramide. Reactions have included laryngeal and glossal angioedema and bronchospasm [see Adverse Reactions ( 6)] .
5.6 Fluid Retention

Because metoclopramide produces a transient increase in plasma aldosterone, patients with cirrhosis or congestive heart failure may be at risk of developing fluid retention and volume overload. Discontinue GIMOTI if any of these adverse reactions occur.

6 Adverse Reactions

The following adverse reactions are described, or described in greater detail, in other sections of the labeling:

  • Tardive dyskinesia [see Boxed Warning and Warnings and Precautions ( 5.1)]
  • Other extrapyramidal symptoms  [see Warnings and Precautions ( 5.2)]
  • Neuroleptic malignant syndrome [see Warnings and Precautions ( 5.3)]
  • Depression [see Warnings and Precautions ( 5.4)]
  • Hypertension [see Warnings and Precautions ( 5.5)]
  • Fluid retention [see Warnings and Precautions ( 5.6)]
  • Hyperprolactinemia [see Warnings and Precautions ( 5.7)]
  • Effects on the ability to drive and operate machinery [see Warnings and Precautions ( 5.8)]

The following adverse reactions have been identified from clinical studies or postmarketing reports of metoclopramide. Because these reactions are reported voluntarily from a population of uncertain size, it is not always possible to reliably estimate their frequency or establish a causal relationship to drug exposure.

The safety of GIMOTI was evaluated in clinical trials of patients with gastroparesis and established in clinical trials of oral metoclopramide.

7 Drug Interactions
  • Antipsychotics: Potential for additive effects, including TD, EPS, and NMS; avoid concomitant use. ( 7.1)
  • Central nervous system (CNS) depressants: Increased risk of CNS depression. Avoid concomitant use and monitor for adverse reactions. ( 7.1)
  • Monoamine oxidase (MAO) inhibitors: Increased risk of hypertension; avoid concomitant use. ( 5.5, 7.1)
  • Additional drug interactions: See Full Prescribing Information. ( 7.1, 7.2)
8.6 Renal Impairment

The clearance of metoclopramide is decreased and the systemic exposure is increased in patients with moderate to severe renal impairment compared to patients with normal renal function, which may increase the risk of adverse reactions [see Clinical Pharmacology ( 12.3)] . GIMOTI is not recommended in patients with moderate and severe renal impairment (creatinine clearance less than 60 mL/minute), including those receiving hemodialysis and continuous ambulatory peritoneal dialysis [see Warnings and Precautions ( 5.9)] . Use the recommended dosage of GIMOTI in patients with mild renal impairment (creatinine clearance 60 mL/minute or greater) [see Dosage and Administration ( 2.2)].

Instructions for Use

GIMOTI™ (jye-MOH-tee) (phonetic spelling)

(metoclopramide)

nasal spray

Read this Instructions for Use before you start using GIMOTI nasal spray and each time you get a refill. This information does not take the place of talking to your healthcare provider about your medical condition or your treatment.

Important information:

  • GIMOTI is for use in your nose only.
  • The GIMOTI nasal spray bottle has enough medicine for 4 weeks of treatment if taken 4 times each day.
  • 1 dose is 1 spray in 1 nostril.
  • Your GIMOTI nasal spray bottle must be primed:
    • before you use it for the first time,
    • when the nasal spray has not been used for 2 weeks .
  • Store the GIMOTI nasal spray at room temperature between 68°F to 77°F (20°C to 25°C).
  • Throw away (discard) the GIMOTI nasal spray 4 weeks after opening even if the bottle contains unused medicine.
  • Keep out of the reach of children.

Parts of your GIMOTI bottle

Steps to use GIMOTI

1. Uncap the GIMOTI nasal spray bottle

  • Remove the cap from the spray nozzle by pulling straight up.

2. Prime the GIMOTI nasal spray bottle

  • Remove the safety clip from the spray pump.
  • Place your index finger and middle finger on each side of the finger flange and your thumb on the bottom of the glass bottle.
  • Turn the spray nozzle away from your face, keeping the bottle upright. Do notspray into your eyes.
  • Press down firmly and release 10 times on the finger flange until a spray appears from the spray nozzle. You may not see a spray the first few times you press down. After pressing down and releasing a spray 10 times, the GIMOTI nasal spray will be primed and ready to use.



If you are not able to press and release 10 sprays from the GIMOTI nasal spray, call your healthcare provider or pharmacist.



The GIMOTI nasal spray bottle is now ready for use.

3. Using the GIMOTI nasal spray

  • Place the spray nozzle tip under one of your nostrils. Tilt your head slightly forward so the tip of the spray nozzle is aimed away from the center of your nose.
  • Close the other nostril with your other index finger. Move the spray pump up so the tip of the nozzle is in your nostril.
  • Press down firmly on the finger flange until it stops moving to deliver a full dose.
  • Release the finger flange and breathe in gently through the open nostril.
  • Remove the spray pump nozzle tip from your nostril and breathe out slowly through your mouth.
  • After use, wipe the spray nozzle with a clean tissue. Place the cap on the spray nozzle by pushing straight down. Place the safety clip back onto the spray pump.

Cleaning the spray pump nozzle

If the spray pump nozzle becomes clogged, remove it for cleaning by grasping the base of the spray nozzle and pulling up.

Soak the spray nozzle in warm water and rinse. Do nottry to unblock the spray nozzle by inserting a pin or other sharp object because this will damage the spray nozzle .

Dry the spray nozzle at room temperature. When the spray nozzle is dry, place the dry spray nozzle back on the GIMOTI bottle.

Disposal instructions

The used GIMOTI nasal spray may be thrown away (discarded) in the household trash.

Manufactured for Evoke Pharma, Inc. by Patheon, a Division of Thermo Fisher.

GIMOTI is a trademark of Evoke Pharma. ©2020 Evoke Pharma, Inc. All rights reserved.

For more information, go to www.evokepharma.com or call 1-833-4-GIMOTI (1-833-444-6684).

These Instructions for Use have been approved by the U.S. Food and Drug Administration

Approved: June 2020

5.1 Tardive Dyskinesia

Metoclopramide, including GIMOTI, can cause tardive dyskinesia (TD), a syndrome of potentially irreversible and disfiguring involuntary movements of the face or tongue, and sometimes of the trunk and/or extremities. Metoclopramide, including GIMOTI, may also suppress, or partially suppress, the signs of TD, and may delay the diagnosis of TD because it may mask the underlying disease process. The effect of this symptomatic suppression upon the long-term course of TD is unknown. TD may remit, partially or completely, if GIMOTI treatment is discontinued.

In patients treated with metoclopramide, including GIMOTI, the risk of developing TD and the likelihood that TD will become irreversible increases with duration of treatment and total cumulative dosage. Additionally, the risk of developing TD is increased in elderly patients, especially in elderly women [see Use in Specific Populations ( 8.5)] , and in patients with diabetes mellitus.

Prevention, Mitigation, and Monitoring for TD

  • GIMOTI is contraindicated in patients with a history of TD.
  • Avoid use of GIMOTI in patients receiving concomitant antipsychotics due to the potential additive effects of TD [see Drug Interactions ( 7.1)] .
  • GIMOTI is not recommended in geriatric patients as initial therapy [see Dosage and Administration ( 2.2)] .
  • Use GIMOTI for the shortest duration of treatment and periodically reassess the need for continued treatment.
  • Immediately discontinue GIMOTI immediately in patients who develop signs and symptoms of TD.
  • Avoid a total duration of treatment with metoclopramide products, including GIMOTI, for longer than 12 weeks. If longer-term use is unavoidable, routinely monitor for signs and symptoms of TD.
  • If patients have continued TD symptoms, consider TD treatment.
5.7 Hyperprolactinemia

As with other dopamine D 2receptor antagonists, metoclopramide elevates prolactin levels. Hyperprolactinemia may suppress hypothalamic gonadotropin-releasing hormone, resulting in reduced pituitary gonadotropin secretion. This, in turn, may inhibit reproductive function by impairing gonadal steroidogenesis in both female and male patients. Galactorrhea, amenorrhea, gynecomastia, and impotence have been reported with prolactin-elevating drugs, including metoclopramide.

Hyperprolactinemia may potentially stimulate prolactin-dependent breast cancer. However, some clinical studies and epidemiology studies have not shown an association between administration of dopamine D 2receptor antagonists and tumorigenesis in humans [see Nonclinical Toxicology ( 13.1)].

8.7 Hepatic Impairment

Patients with severe hepatic impairment (Child-Pugh C) have reduced systemic metoclopramide clearance (by approximately 50%) compared to patients with normal hepatic function [see Clinical Pharmacology ( 12.3)] . The resulting increase in metoclopramide blood concentrations increases the risk of adverse reactions. There are no pharmacokinetic data in patients with moderate hepatic impairment (Child-Pugh B). GIMOTI is not recommended in patients with moderate or severe (Child-Pugh B or C) hepatic impairment [see Warnings and Precautions ( 5.9)]. Use the recommended dosage of GIMOTI in patients with mild hepatic impairment (Child-Pugh A) [see Dosage and Administration ( 2.2)] .

Metoclopramide, by producing a transient increase in plasma aldosterone, may increase the risk of fluid retention in patients with hepatic impairment [see Warnings and Precautions ( 5.6)] . Monitor patients with hepatic impairment for the occurrence of fluid retention and volume overload.

1 Indications and Usage

GIMOTI is indicated for the relief of symptoms in adults with acute and recurrent diabetic gastroparesis.

8.8 Nadh Cytochrome B 5

Metoclopramide-treated patients with NADH-cytochrome b 5reductase deficiency are at an increased risk of developing methemoglobinemia and/or sulfhemoglobinemia. For patients with glucose-6-phosphate dehydrogenase (G6PD) deficiency with metoclopramide-induced methemoglobinemia, methylene blue treatment is not recommended. Methylene blue may cause hemolytic anemia in patients with G6PD deficiency, which may be fatal [see Overdosage ( 10)].

12.1 Mechanism of Action

Metoclopramide stimulates motility of the upper gastrointestinal tract without stimulating gastric, biliary, or pancreatic secretions. The exact mechanism of action of metoclopramide in the treatment of gastroesophageal reflux and acute and recurrent diabetic gastroparesis has not been fully established. It seems to sensitize tissues to the action of acetylcholine. The effect of metoclopramide on motility is not dependent on intact vagal innervation, but it can be abolished by anticholinergic drugs.

Metoclopramide increases the tone and amplitude of gastric (especially antral) contractions, relaxes the pyloric sphincter and the duodenal bulb, and increases peristalsis of the duodenum and jejunum resulting in accelerated gastric emptying and intestinal transit. It increases the resting tone of the lower esophageal sphincter. It has little, if any, effect on the motility of the colon or gallbladder.

5 Warnings and Precautions
  • Tardive dyskinesia (TD), other extrapyramidal symptoms (EPS), and neuroleptic malignant syndrome (NMS): Avoid concomitant use of other drugs known to cause TD/EPS/NMS and avoid use in patients with Parkinson's disease. If symptoms occur, discontinue GIMOTI and seek immediate medical attention. ( 5.1, 5.2, 5.3, 7.1, 7.2)
  • Depression and suicidal ideation/suicide: Avoid use. ( 5.4)
2 Dosage and Administration

Administration

  • See the full prescribing information for complete information on administration. ( 2.1)

Recommended Dosage

  • Adults less than 65 years of age:The recommended dosage is 1 spray (15 mg) in one nostril, 30 minutes before each meal and at bedtime (maximum of 4 sprays daily). ( 2.2)
  • Adults 65 years of age and older:GIMOTI is not recommended in geriatric patients as initial therapy. Geriatric patients receiving an alternative metoclopramide product at a stable dosage of 10 mg four times daily can be switched to GIMOTI 1 spray (15 mg) in one nostril, 30 minutes before each meal and at bedtime (maximum four times daily). ( 2.2, 8.5)
Warning: Tardive Dyskinesia

  • Metoclopramide, including GIMOTI, can cause tardive dyskinesia (TD), a potentially irreversible serious movement disorder. In patients treated with metoclopramide, including GIMOTI, the risk of developing TD increases with duration of treatment and total cumulative dosage [see Warnings and Precautions ( 5.1)] .
  • GIMOTI is contraindicated in patients with a history of TD.
  • Use GIMOTI for the shortest duration of treatment and periodically reassess the need for continued treatment.
  • Immediately discontinue GIMOTI in patients who develop signs or symptoms of TD [see Warnings and Precautions ( 5.1)] .
  • Avoid a total duration of treatment with metoclopramide products, including GIMOTI, for longer than 12 weeks. If longer-term use is unavoidable, routinely monitor for signs and symptoms of TD [see Warnings and Precautions ( 5.1)] .
3 Dosage Forms and Strengths

Nasal Spray: 15 mg of metoclopramide in each 70 microliter spray. GIMOTI is an aqueous solution supplied in an amber glass bottle fitted with a metered spray pump attachment.

8.9 Cyp2d6 Poor Metabolizers

Metoclopramide is a substrate of CYP2D6. The elimination of metoclopramide may be slowed in patients who are CYP2D6 poor metabolizers (compared to patients who are CYP2D6 intermediate, extensive, or ultra-rapid metabolizers), possibly increasing the risk of dystonic and other adverse reactions to metoclopramide [see Clinical Pharmacology ( 12.3)]. GIMOTI is not recommended in patients who are CYP2D6 poor metabolizers [see Warnings and Precautions ( 5.9)].

17 Patient Counseling Information

Advise the patient or caregiver to read the FDA-approved patient labeling (Medication Guide and Instructions for Use).

5.2 Other Extrapyramidal Symptoms

In addition to TD, metoclopramide may cause other extrapyramidal symptoms (EPS), parkinsonian symptoms, and motor restlessness. Advise patients to seek immediate medical attention if such symptoms occur and to discontinue GIMOTI.

  • Extrapyramidal symptoms (EPS), such as acute dystonic reactions, occurred in patients treated with oral metoclopramide dosages of 30 mg to 40 mg daily. Such reactions occurred more frequently in adults less than 30 years of age and at higher than recommended dosages. EPS occurred more frequently in pediatric patients compared to adults (GIMOTI is not approved for use in pediatric patients). Symptoms can occur in the first 24 to 48 hours after starting metoclopramide. Symptoms included involuntary movements of limbs and facial grimacing, torticollis, oculogyric crisis, rhythmic protrusion of tongue, bulbar type of speech, trismus, or dystonic reactions resembling tetanus. Rarely, dystonic reactions were present as stridor and dyspnea, possibly due to laryngospasm. Diphenhydramine hydrochloride or benztropine mesylate may be used to treat these adverse reactions. Avoid GIMOTI in patients receiving other drugs that can cause EPS (e.g., antipsychotics).
  • Parkinsonian symptoms (bradykinesia, tremor, cogwheel rigidity, mask-like facies) have occurred after starting metoclopramide, more commonly within the first 6 months, but also after longer periods. Symptoms generally have subsided within 2 to 3 months after discontinuation of metoclopramide. Avoid GIMOTI in patients with Parkinson’s disease and other patients being treated with antiparkinsonian drugs due to potential exacerbation of symptoms. If treatment is unavoidable, use GIMOTI for the shortest duration of treatment and periodically reassess the need for continued treatment. Routinely monitor for signs and symptoms of Parkinson’s disease [see Dosage and Administration ( 2.2)] .
  • Motor restlessness (akathisia) has developed and consisted of feelings of anxiety, agitation, jitteriness, and insomnia, as well as inability to sit still, pacing, and foot tapping. Discontinue GIMOTI if these symptoms develop.
5.3 Neuroleptic Malignant Syndrome

Metoclopramide may cause a potentially fatal symptom complex called neuroleptic malignant syndrome (NMS). NMS has been reported in association with metoclopramide overdosage and concomitant treatment with another drug associated with NMS. Avoid GIMOTI in patients receiving other drugs associated with NMS, including typical and atypical antipsychotics.

Clinical manifestations of NMS include hyperpyrexia, muscle rigidity, altered mental status, and manifestations of autonomic instability (irregular pulse or blood pressure, tachycardia, diaphoresis, and cardiac arrhythmias). Additional signs may include elevated creatine phosphokinase, myoglobinuria (rhabdomyolysis), and acute renal failure. Patients with such symptoms should be evaluated immediately.

In the diagnostic evaluation, consider the presence of other serious medical conditions (e.g., pneumonia, systemic infection) and untreated or inadequately treated extrapyramidal signs and symptoms. Other important considerations in the differential diagnosis include central anticholinergic toxicity, heat stroke, malignant hyperthermia, drug fever, serotonin syndrome, and primary central nervous system pathology.

Management of NMS includes:

  • Immediate discontinuation of GIMOTI and other drugs not essential to concurrent therapy [see Drug Interactions ( 7.1)] .
  • Intensive symptomatic treatment and medical monitoring.
  • Treatment of any concomitant serious medical problems for which specific treatments are available.
16 How Supplied/storage and Handling

GIMOTI (metoclopramide) nasal spray is supplied as a solution of metoclopramide in a 10 mL Type 1 amber glass bottle fitted with a metered spray pump attachment, a protective cap, and a safety clip. Each box of GIMOTI (NDC 72089-307-15) contains 1 bottle, with FDA-approved Patient Labeling (see Instructions for Use for proper actuation of the device).

Each actuation delivers 15 mg of metoclopramide. Each bottle contains 9.8 mL which is sufficient for 4 weeks of 4 times a day use.

7.1 Effects of Other Drugs On Metoclopramide

Table 1 displays the effects of other drugs on metoclopramide.

Table 1. Effects of Other Drugs on Metoclopramide
Antipsychotics
Clinical Impact Potential for additive effects, including increased frequency and severity of tardive dyskinesia (TD), other extrapyramidal symptoms (EPS), and neuroleptic malignant syndrome (NMS).
Intervention Avoid concomitant use [see Warnings and Precautions ( 5.1, 5.2, 5.3)].
Strong CYP2D6 Inhibitors, not Included in Antipsychotic Category Above
Clinical Impact Increased plasma concentrations of metoclopramide; risk of exacerbation of extrapyramidal symptoms [see Clinical Pharmacology ( 12.3)].
Intervention Use of GIMOTI is not recommended [see Warnings and Precautions ( 5.9)] .
Examples quinidine, bupropion, fluoxetine, and paroxetine
Monoamine Oxidase Inhibitors
Clinical Impact Increased risk of hypertension [see Warnings and Precautions ( 5.5)].
Intervention Avoid concomitant use.
Central Nervous System (CNS) Depressants
Clinical Impact Increased risk of CNS depression [see Warnings and Precautions ( 5.8)].
Intervention Avoid GIMOTI or the interacting drug, depending on the importance of the drug to the patient.
Examples alcohol, sedatives, hypnotics, opiates, and anxiolytics
Drugs that Impair Gastrointestinal Motility
Clinical Impact Potential for decreased effect of metoclopramide due to opposing effects on gastrointestinal motility.
Intervention Monitor for reduced effect on gastrointestinal motility.
Examples antiperistaltic antidiarrheal drugs, anticholinergic drugs, and opiates
Dopaminergic Agonists and Other Drugs that Increase Dopamine Concentrations
Clinical Impact Decreased therapeutic effect of metoclopramide due to opposing effects on dopamine.
Intervention Monitor for reduced therapeutic effect.
Examples apomorphine, bromocriptine, cabergoline, levodopa, pramipexole, ropinirole, and rotigotine

7.2 Effects of Metoclopramide On Other Drugs

Table 2 displays the effects of metoclopramide on other drugs.

Table 2. Effects of Metoclopramide on Other Drugs
Dopaminergic Agonists and Drugs Increasing Dopamine Concentrations
Clinical Impact Opposing effects of metoclopramide and the interacting drug on dopamine. Potential exacerbation of symptoms (e.g., parkinsonian symptoms).
Intervention Avoid concomitant use [see Warnings and Precautions ( 5.2)] .
Examples Apomorphine, bromocriptine, cabergoline, levodopa, pramipexole, ropinirole, rotigotine
Succinylcholine, Mivacurium
Clinical Impact Metoclopramide inhibits plasma cholinesterase leading to enhanced neuromuscular blockade.
Intervention Monitor for signs and symptoms of prolonged neuromuscular blockade
Drugs with Absorption Altered due to Increased Gastrointestinal Motility
Clinical Impact The effect of metoclopramide on other drugs is variable. Increased gastrointestinal (GI) motility by metoclopramide may impact absorption of other drugs leading to decreased or increased drug exposure.
Intervention Drugs with Decreased Absorption (e.g., digoxin, atovaquone, posaconazole oral suspension
Interaction does not apply to posaconazole delayed-release tablet.
, fosfomycin)
: Monitor for reduced therapeutic effect of the interacting drug.

For digoxin, monitor therapeutic drug concentrations and increase the digoxin dose as needed (see prescribing information for digoxin).

Drugs with Increased Absorption (e.g., sirolimus, tacrolimus, cyclosporine): Monitor therapeutic drug concentrations and adjust the dose as needed. See prescribing information for the interacting drug.
Insulin
  Clinical Impact Increased GI motility by metoclopramide may increase delivery of food to the intestines and increase blood glucose.
  Intervention Monitor blood glucose and adjust insulin dosage regimen as needed.

Principal Display Panel 9.8 Ml Bottle Carton

NDC 72089-307-15

Gimoti™

(metoclopramide)

nasal spray

15 mg

per spray

FOR NASAL USE ONLY

Rx Only

Net Content 9.8 mL

112 metered sprays

EVOKE

PHARMA

2.1 Important Administration and Storage Instructions
  • One spray in one nostril administers the appropriate dose.
  • Before administering the first dose from a bottle, prime the pump by pressing down on the finger flange and releasing 10 sprays in the air.
  • Place the spray nozzle tip under one nostril and lean the head slightly forward so the tip of spray nozzle is aimed away from the septum and toward the back of the nose.
  • Close the other nostril with the other index finger. Move spray pump upwards so the tip of the nozzle is in the nostril.
  • To ensure a full dose, hold the bottle upright while pressing down firmly and completely on finger flange and release while inhaling slowly through the open nostril.
  • Remove spray pump nozzle tip from nostril and exhale slowly through the mouth.
  • Wipe the spray nozzle with a clean tissue.
5.8 Effects On the Ability to Drive and Operate Machinery

Metoclopramide may impair the mental and/or physical abilities required for the performance of hazardous tasks such as operating machinery or driving a motor vehicle. Concomitant use of central nervous system (CNS) depressants or drugs associated with EPS may increase this effect (e.g., alcohol, sedatives, hypnotics, opiates, and anxiolytics). Avoid GIMOTI or the interacting drug, depending on the importance of the drug to the patient [see Drug Interactions ( 7.1)].

5.9 Risk of Adverse Reactions With Gimoti in Patients With Moderate Or Severe Renal and Hepatic Impairment, Cyp2d6 Poor Metabolizers and Patients Taking Strong Cyp2d6 Inhibitors

Patients with moderate or severe renal or hepatic impairment, patients who are CYP2D6 poor metabolizers, and patients concurrently using strong CYP2D6 inhibitors have increased exposure to metoclopramide from GIMOTI due to reduced metabolism or excretion which may lead to an increased risk of adverse reactions, including tardive dyskinesia. Use of GIMOTI is not recommended in these patient populations since the dose of GIMOTI cannot be adjusted to reduce exposure [see Drug Interactions ( 7.1), Use in Specific Populations ( 8.6, 8.7, 8.9)] .


Structured Label Content

Indications and Usage (34067-9)

Limitations of Use:

GIMOTI is not recommended for use in:

  • pediatric patients due to the risk of developing tardive dyskinesia (TD) and other extrapyramidal symptoms as well as the risk of methemoglobinemia in neonates [see Use in Specific Populations ( 8.4)].
  • moderate or severe hepatic impairment (Child-Pugh B or C), moderate or severe renal impairment (creatinine clearance less than 60 mL/minute), and patients concurrently using strong CYP2D6 inhibitors due to the risk of increased drug exposure and adverse reactions [see Warnings and Precautions ( 5.9)].
Dosage and Administration (34068-7)

Missed or Incomplete Doses

  • If uncertain that the spray entered the nose, do not repeat the dose. Take the next dose at the scheduled time.
  • If a dose is missed, take the next dose of GIMOTI at the regularly scheduled time. Do not make up for the missed dose or double the next dose.
Section 42229-5 (42229-5)

Adults Less Than 65 Years of Age

The recommended dosage of GIMOTI for the treatment of acute and recurrent diabetic gastroparesis in adults is 1 spray (15 mg) in one nostril, 30 minutes before each meal and at bedtime (maximum of four times daily).

Adults 65 Years of Age and Older

Elderly patients may be more sensitive to the adverse effects of metoclopramide and require a lower starting dosage [see Warnings and Precautions ( 5.1)] . GIMOTI is not recommended in geriatric patients as initial therapy.

Geriatric patients receiving an alternative metoclopramide product at a stable dosage of 10 mg four times daily can be switched to GIMOTI 1 spray (15 mg) in one nostril, 30 minutes before each meal and at bedtime (maximum four times daily).

Treatment Duration

Use GIMOTI for the shortest duration of treatment and periodically reassess the need for continued treatment.

Avoid treatment with metoclopramide, including GIMOTI, for longer than 12 weeks. If longer-term use is unavoidable, routinely monitor for signs and symptoms of TD [see Warnings and Precautions ( 5.1)] .

Section 42231-1 (42231-1)
This Medication Guide has been approved by the U.S. Food and Drug Administration Revised: February 2026
Medication Guide

GIMOTI™ (jye-MOH-tee)

(metoclopramide)

nasal spray
Read this Medication Guide before you start taking GIMOTI and each time you get a refill. There may be new information. If you take another product that contains metoclopramide (such as REGLAN tablets, REGLAN injection, metoclopramide orally disintegrating tablets [ODT], or metoclopramide oral solution), you should read the Medication Guide that comes with that product. Some of the information may be different. This information does not take the place of talking with your healthcare provider about your medical condition or your treatment.

What is the most important information I should know about GIMOTI?

GIMOTI can cause serious side effects, including:

Tardive dyskinesia (abnormal muscle movements).

  • These movements happen mostly in the face or tongue and sometimes in the arms or legs. You cannot control these movements.
  • These symptoms may not go away even after stopping GIMOTI.

Your chances for getting tardive dyskinesia increase:

  • the longer you take GIMOTI and the more GIMOTI you take.

    • Use for the shortest time needed.
    • You should not take products containing metoclopramide (including GIMOTI) for more than 12 weeks. If you require treatment for longer than 12 weeks, your healthcare provider should frequently monitor you for signs and symptoms of tardive dyskinesia
  • if you are older, especially if you are an older woman.
  • because you have diabetes.

It is not possible for your healthcare provider to know if you will get tardive dyskinesia if you take GIMOTI.

Stop taking GIMOTI and call your healthcare provider right away if you get movements you cannot stop or control, such as:

  • lip smacking, chewing, or puckering up your mouth
  • frowning or scowling
  • sticking out your tongue
  • blinking and moving your eyes
  • shaking of your arms and legs

Your healthcare provider may decide not to continue treatment with GIMOTI if you develop signs or symptoms of tardive dyskinesia.

See the section "What are the possible side effects of GIMOTI?"for more information about side effects.

What is GIMOTI?
  • GIMOTI is a prescription medicine used in adults to relieve the symptoms of slow stomach emptying in people with diabetes.
  • GIMOTI is not recommendedfor use in people who:
    • have kidney or liver problems.
    • have been told that an enzyme in their body, called CYP2D6, breaks down (metabolizes) certain medicines in the body too slowly.
    • are also taking medicine called CYP2D6 inhibitors, which slows how fast the body breaks down (metabolizes) certain medicines.
  • GIMOTI is not recommended for use in children.
  • It is not known if GIMOTI is safe and effective in children.
Do not take GIMOTI if you:
  • have a history of tardive dyskinesia or have a problem controlling your muscles and movements after taking GIMOTI or a medicine that works like GIMOTI.
  • have stomach or intestine problems that could get worse with GIMOTI, such as bleeding, blockage, or a tear in the stomach or bowel wall.
  • have a type of tumor that can cause high blood pressure, such as pheochromocytoma.
  • have epilepsy (seizures). GIMOTI can increase your chance for seizures and make them worse.
  • are allergic to metoclopramide. GIMOTI can cause serious allergic reactions. Stop taking GIMOTI right away and get emergency help if you have any of these symptoms:
    • swelling of your tongue, throat, lips, eyes, or face
    • trouble swallowing or breathing
    • skin rash, hives, sores in your mouth, or skin blisters
Before taking GIMOTI, tell your healthcare provider about all of your medical conditions, including if you:
  • had problems controlling your muscle movements after taking any medicine.
  • have Parkinson’s disease.
  • have or had depression or mental illness.
  • have kidney or liver disease.
  • have heart failure or heart rhythm problems.
  • have high blood pressure.
  • drink alcohol.
  • have diabetes. Your dose of insulin may need to be changed.
  • are pregnant or plan to become pregnant. GIMOTI may harm your unborn baby if taken during the end of pregnancy. Talk to your healthcare provider if you become pregnant while taking GIMOTI.
  • are breastfeeding or plan to breastfeed. GIMOTI can pass into your breast milk and may harm your baby. It is important that you tell your baby’s healthcare provider you are taking GIMOTI. You and your healthcare provider should decide if you will take GIMOTI or breastfeed.

Tell your healthcare provider about all the medicines you take, including prescription and over-the-counter medicines, vitamins, and herbal supplements.

GIMOTI may affect the way other medicines work and other medicines may affect how GIMOTI works.

Tell your healthcare provider before you start or stop other medicines.

Especially tell your healthcare provider if you take:

  • another medicine that contains metoclopramide, such as metoclopramide tablets, metoclopramide injection, metoclopramide orally disintegrating tablets (ODT), or metoclopramide oral solution.
  • an anti-psychotic medicine, used to treat mental illness such as schizophrenia.
  • a medicine for Parkinson’s disease.
  • a medicine for depression, especially a monoamine oxidase inhibitor (MAOI).
  • insulin.
  • medicines that can make you sleepy, such as anxiety medicines, sleep medicines, and narcotics.

If you are not sure if your medicine is one listed above, ask your healthcare provider or pharmacist.

Know the medicines you take. Keep a list of them to show your healthcare provider and pharmacist when you get a new medicine.

How should I take GIMOTI?
  • Read the step-by-step Instructions for Use that come with your GIMOTI prescription.
  • Take GIMOTI exactly as your healthcare provider tells you. Do not change your dose unless your healthcare provider tells you to.
  • GIMOTI comes as a liquid in a glass bottle with a spray pump attached.
  • You should not take medicines containing metoclopramide (including GIMOTI) for more than 12 weeks. If you require treatment for longer than 12 weeks, your healthcare provider should frequently monitor you for signs and symptoms of tardive dyskinesia.
  • Take GIMOTI at least 30 minutes before each meal and at bedtime.
  • If you are not certain that the spray entered the nose, skip the dose and take your next dose at your regular schedule time. Do not take an extra dose at the schedule time. If you miss a dose of GIMOTI, skip that dose and take your next dose at your regular scheduled time. Do not take an extra dose to make up for a missed dose.
  • If you take too much GIMOTI, call your poison control center at 1-800-222-1222 or go to the nearest emergency room right away.
  • Keep all follow-up visits with your healthcare provider as scheduled, so that your healthcare provider can see how you are responding to treatment with GIMOTI.
What should I avoid while taking GIMOTI?
  • Do not drink alcohol while taking GIMOTI. Alcohol may make some side effects of GIMOTI worse, such as feeling sleepy.
  • Do not drive, operate machinery, or do other dangerous activities until you know how GIMOTI affects you. GIMOTI may cause sleepiness or dizziness.
What are the possible side effects of GIMOTI?

GIMOTI can cause serious side effects, including:
  • Tardive dyskinesia (abnormal muscle movements).

    See " What is the most important information I need to know about GIMOTI?"
  • Other changes in muscle control and movement, such as:
    • Uncontrolled spasms of your face and neck muscles, or muscles of your body, arms, and legs (dystonia).These muscle spasms can cause abnormal movements and body positions and speech problems. These spasms usually start within the first 2 days of treatment. Rarely, these muscle spasms may cause trouble breathing. These spasms happen more often in adults less than 30 years of age and in those who took higher doses of metoclopramide.
    • Parkinsonism.Symptoms include slight shaking, body stiffness, and trouble moving or keeping your balance. If you already have Parkinson's Disease, your symptoms may become worse while you are taking GIMOTI.
    • Being unable to sit still or feeling you need to move your hands, feet, or body (akathisia).Symptoms can include feeling jittery, anxious, irritated, or unable to sleep (insomnia), feeling the need to walk around (pacing), and tapping your feet. Your healthcare provider may stop your treatment with GIMOTI if you develop these symptoms.
  • Neuroleptic Malignant Syndrome (NMS).NMS is a very rare, but very serious condition that can happen with GIMOTI. NMS can cause death and must be treated in a hospital. Symptoms of NMS include: high fever, stiff muscles, problems thinking, very fast or uneven heartbeat, and increased sweating.
  • Depression, thoughts about suicide, and suicide.Some people who take GIMOTI may become depressed, even if they have no history of depression. You may have thoughts about hurting or killing yourself. Some people who have taken metoclopramide have ended their own lives (suicide). Tell your healthcare provider right away if you have these feelings.
  • High blood pressure.GIMOTI can cause your blood pressure to increase. Your healthcare provider may stop your treatment if GIMOTI causes your blood pressure to increase very fast.
  • Too much body water.People who have certain liver problems or heart failure and take GIMOTI may hold too much water in their body (fluid retention). Tell your healthcare provider right away if you have sudden weight gain, or swelling of your hands, legs, or feet.
  • Increased prolactin.Tell your healthcare provider if your menstrual periods stop or your breasts get larger and make milk. These symptoms go away when you stop taking GIMOTI.
Stop taking GIMOTI, call your healthcare provider and get medical help right away if you:

  • have muscle movements you cannot stop or control
  • have muscle movements that are new or unusual
  • feel depressed or have thoughts about hurting or killing yourself
  • have high fever, stiff muscles, problems thinking, very fast or uneven heartbeat, and increased sweating
The most common side effects of GIMOTI include:

  • unpleasant taste
  • headache
  • tiredness
You may have more side effects the longer you take GIMOTI and the more GIMOTI you take.

You may still have side effects after stopping GIMOTI. You may have symptoms from stopping GIMOTI such as headaches and feeling dizzy or nervous.

Tell your healthcare provider about any side effect that bothers you or that does not go away. These are not all the possible side effects of GIMOTI. Call your doctor for medical advice about side effects. You may report side effects to FDA at 1-800-FDA-1088.
How should I store GIMOTI?
  • Store GIMOTI at room temperature between 68°F to 77°F (20°C to 25°C).
  • Throw away (discard) GIMOTI 4 weeks after opening even if the bottle contains unused medicine.
Keep GIMOTI and all medicines out of the reach of children.
General information about the safe and effective use of GIMOTI.

Medicines are sometimes prescribed for purposes other than those listed in a Medication Guide. Do not use GIMOTI for a condition for which it was not prescribed. Do not give GIMOTI to other people, even if they have the same symptoms that you have. It may harm them.

You can ask your pharmacist or healthcare provider for information about GIMOTI that is written for health professionals.
What are the ingredients in GIMOTI?

Active ingredient:metoclopramide

Inactive ingredients:benzalkonium chloride, citric acid monohydrate, edetate disodium dihydrate, purified water, sodium citrate dihydrate, sorbitol.

Manufactured for Evoke Pharma, Inc. by Patheon, a Division of Thermo Fisher.

GIMOTI is a trademark of Evoke Pharma. ©2020 Evoke Pharma, Inc. All rights reserved.

For more information, go to www.evokepharma.com or call 1-833-4-GIMOTI (1-833-444-6684).

Section 44425-7 (44425-7)

Store at 20°C to 25°C (68°F to 77°F) excursions permitted 15°C to 30°C (59°F and 86°F) [ see USP Controlled Room Temperature].

Discard GIMOTI 4 weeks after opening even if the bottle contains unused medicine.

10 Overdosage (10 OVERDOSAGE)

Manifestations of metoclopramide overdosage included drowsiness, disorientation, extrapyramidal reactions, other adverse reactions associated with metoclopramide use (including, e.g., methemoglobinemia), and sometimes death. Neuroleptic malignant syndrome (NMS) has been reported in association with metoclopramide overdose and concomitant treatment with another drug associated with NMS [see Warnings and Precautions ( 5.1, 5.2, 5.3)].

There are no specific antidotes for metoclopramide overdosage. If over-exposure occurs, call your Poison Control Center at 1-800-222-1222 for current information on the management of poisoning or overdosage .

Methemoglobinemia can be reversed by the intravenous administration of methylene blue. However, methylene blue may cause hemolytic anemia in patients with G6PD deficiency, which may be fatal.

Hemodialysis and continuous ambulatory peritoneal dialysis do not remove significant amounts of metoclopramide.

11 Description (11 DESCRIPTION)

Metoclopramide hydrochloride, the active ingredient in GIMOTI, is a dopamine-2 receptor antagonist. Metoclopramide hydrochloride is a white, crystalline, odorless substance, freely soluble in water. Its chemical name is 4-amino­-5-chloro-N-[2-(diethylamino)ethyl]-2-methoxy benzamide monohydrochloride monohydrate.

The molecular formula is C 14H 22ClN 3O 2∙HCl∙H 2O. Its molecular weight is 354.3. The structural formula is:

GIMOTI (metoclopramide) nasal spray is for nasal administration. The product is supplied as an aqueous solution with a pH of 5.5 ± 0.5 in a 10 mL amber glass vial fitted with a metered spray pump attachment. Each unit contains 9.8 mL.

Each 70 microliter spray contains 15 mg metoclopramide, equivalent to 17.73 mg of metoclopramide hydrochloride. Inactive ingredients consist of benzalkonium chloride, citric acid monohydrate, edetate disodium dihydrate, purified water, sodium citrate dihydrate, and sorbitol.

5.4 Depression

Depression has occurred in metoclopramide-treated patients with and without a history of depression. Symptoms have included suicidal ideation and suicide. Avoid GIMOTI use in patients with a history of depression.

5.5 Hypertension

Metoclopramide may elevate blood pressure. In one study in hypertensive patients, intravenously administered metoclopramide was shown to release catecholamines; hence, avoid GIMOTI use in patients with hypertension or in patients taking monoamine oxidase inhibitors [see Drug Interactions ( 7.1)] .

There are also clinical reports of hypertensive crises in patients with undiagnosed pheochromocytoma. GIMOTI is contraindicated in patients with pheochromocytoma or other catecholamine-releasing paragangliomas [see Contraindications ( 4)]. Discontinue GIMOTI in any patient with a rapid rise in blood pressure.

8.4 Pediatric Use

Metoclopramide is not recommended for use in pediatric patients due to the risk of tardive dyskinesia (TD) and other extrapyramidal symptoms as well as the risk of methemoglobinemia in neonates. The safety and effectiveness of GIMOTI in pediatric patients have not been established.

Dystonias and other extrapyramidal symptoms associated with metoclopramide are more common in pediatric patients than in adults [see Indications and Usage ( 1), Warnings and Precautions ( 5.1, 5.2)] . In addition, neonates have reduced levels of NADH-cytochrome b 5reductase, making them more susceptible to methemoglobinemia, a possible adverse reaction of metoclopramide use in neonates [see Use in Specific Populations ( 8.8)] .

8.5 Geriatric Use

Metoclopramide is known to be substantially excreted by the kidney, and the risk of adverse reactions, including tardive dyskinesia (TD), may be greater in patients with impaired renal function [see Warnings and Precautions ( 5.1), Use in Specific Populations ( 8.6), Clinical Pharmacology ( 12.3)] . Elderly patients are more likely to have decreased renal function and may be more sensitive to the adverse effects of metoclopramide, especially elderly women, and require a lower starting dosage. GIMOTI is not recommended in geriatric patients as initial therapy. Geriatric patients receiving an alternative metoclopramide product at a stable dosage of 10 mg four times daily can be switched to GIMOTI [see Dosage and Administration ( 2.2)].

14 Clinical Studies (14 CLINICAL STUDIES)

The effectiveness of GIMOTI has been established based on studies of oral metoclopramide for the relief of symptoms in adults with acute and recurrent diabetic gastroparesis.

4 Contraindications (4 CONTRAINDICATIONS)

GIMOTI is contraindicated:

  • In patients with a history of tardive dyskinesia (TD) or a dystonic reaction to metoclopramide [see Warnings and Precautions ( 5.1, 5.2)] .
  • When stimulation of gastrointestinal motility might be dangerous (e.g., in the presence of gastrointestinal hemorrhage, mechanical obstruction, or perforation).
  • In patients with pheochromocytoma or other catecholamine-releasing paragangliomas. Metoclopramide may cause a hypertensive/pheochromocytoma crisis, probably due to release of catecholamines from the tumor [see Warnings and Precautions ( 5.5)] .
  • In patients with epilepsy. Metoclopramide may increase the frequency and severity of seizures [see Adverse Reactions ( 6)] .
  • In patients with hypersensitivity to metoclopramide. Reactions have included laryngeal and glossal angioedema and bronchospasm [see Adverse Reactions ( 6)] .
5.6 Fluid Retention

Because metoclopramide produces a transient increase in plasma aldosterone, patients with cirrhosis or congestive heart failure may be at risk of developing fluid retention and volume overload. Discontinue GIMOTI if any of these adverse reactions occur.

6 Adverse Reactions (6 ADVERSE REACTIONS)

The following adverse reactions are described, or described in greater detail, in other sections of the labeling:

  • Tardive dyskinesia [see Boxed Warning and Warnings and Precautions ( 5.1)]
  • Other extrapyramidal symptoms  [see Warnings and Precautions ( 5.2)]
  • Neuroleptic malignant syndrome [see Warnings and Precautions ( 5.3)]
  • Depression [see Warnings and Precautions ( 5.4)]
  • Hypertension [see Warnings and Precautions ( 5.5)]
  • Fluid retention [see Warnings and Precautions ( 5.6)]
  • Hyperprolactinemia [see Warnings and Precautions ( 5.7)]
  • Effects on the ability to drive and operate machinery [see Warnings and Precautions ( 5.8)]

The following adverse reactions have been identified from clinical studies or postmarketing reports of metoclopramide. Because these reactions are reported voluntarily from a population of uncertain size, it is not always possible to reliably estimate their frequency or establish a causal relationship to drug exposure.

The safety of GIMOTI was evaluated in clinical trials of patients with gastroparesis and established in clinical trials of oral metoclopramide.

7 Drug Interactions (7 DRUG INTERACTIONS)
  • Antipsychotics: Potential for additive effects, including TD, EPS, and NMS; avoid concomitant use. ( 7.1)
  • Central nervous system (CNS) depressants: Increased risk of CNS depression. Avoid concomitant use and monitor for adverse reactions. ( 7.1)
  • Monoamine oxidase (MAO) inhibitors: Increased risk of hypertension; avoid concomitant use. ( 5.5, 7.1)
  • Additional drug interactions: See Full Prescribing Information. ( 7.1, 7.2)
8.6 Renal Impairment

The clearance of metoclopramide is decreased and the systemic exposure is increased in patients with moderate to severe renal impairment compared to patients with normal renal function, which may increase the risk of adverse reactions [see Clinical Pharmacology ( 12.3)] . GIMOTI is not recommended in patients with moderate and severe renal impairment (creatinine clearance less than 60 mL/minute), including those receiving hemodialysis and continuous ambulatory peritoneal dialysis [see Warnings and Precautions ( 5.9)] . Use the recommended dosage of GIMOTI in patients with mild renal impairment (creatinine clearance 60 mL/minute or greater) [see Dosage and Administration ( 2.2)].

Instructions for Use

GIMOTI™ (jye-MOH-tee) (phonetic spelling)

(metoclopramide)

nasal spray

Read this Instructions for Use before you start using GIMOTI nasal spray and each time you get a refill. This information does not take the place of talking to your healthcare provider about your medical condition or your treatment.

Important information:

  • GIMOTI is for use in your nose only.
  • The GIMOTI nasal spray bottle has enough medicine for 4 weeks of treatment if taken 4 times each day.
  • 1 dose is 1 spray in 1 nostril.
  • Your GIMOTI nasal spray bottle must be primed:
    • before you use it for the first time,
    • when the nasal spray has not been used for 2 weeks .
  • Store the GIMOTI nasal spray at room temperature between 68°F to 77°F (20°C to 25°C).
  • Throw away (discard) the GIMOTI nasal spray 4 weeks after opening even if the bottle contains unused medicine.
  • Keep out of the reach of children.

Parts of your GIMOTI bottle

Steps to use GIMOTI

1. Uncap the GIMOTI nasal spray bottle

  • Remove the cap from the spray nozzle by pulling straight up.

2. Prime the GIMOTI nasal spray bottle

  • Remove the safety clip from the spray pump.
  • Place your index finger and middle finger on each side of the finger flange and your thumb on the bottom of the glass bottle.
  • Turn the spray nozzle away from your face, keeping the bottle upright. Do notspray into your eyes.
  • Press down firmly and release 10 times on the finger flange until a spray appears from the spray nozzle. You may not see a spray the first few times you press down. After pressing down and releasing a spray 10 times, the GIMOTI nasal spray will be primed and ready to use.



If you are not able to press and release 10 sprays from the GIMOTI nasal spray, call your healthcare provider or pharmacist.



The GIMOTI nasal spray bottle is now ready for use.

3. Using the GIMOTI nasal spray

  • Place the spray nozzle tip under one of your nostrils. Tilt your head slightly forward so the tip of the spray nozzle is aimed away from the center of your nose.
  • Close the other nostril with your other index finger. Move the spray pump up so the tip of the nozzle is in your nostril.
  • Press down firmly on the finger flange until it stops moving to deliver a full dose.
  • Release the finger flange and breathe in gently through the open nostril.
  • Remove the spray pump nozzle tip from your nostril and breathe out slowly through your mouth.
  • After use, wipe the spray nozzle with a clean tissue. Place the cap on the spray nozzle by pushing straight down. Place the safety clip back onto the spray pump.

Cleaning the spray pump nozzle

If the spray pump nozzle becomes clogged, remove it for cleaning by grasping the base of the spray nozzle and pulling up.

Soak the spray nozzle in warm water and rinse. Do nottry to unblock the spray nozzle by inserting a pin or other sharp object because this will damage the spray nozzle .

Dry the spray nozzle at room temperature. When the spray nozzle is dry, place the dry spray nozzle back on the GIMOTI bottle.

Disposal instructions

The used GIMOTI nasal spray may be thrown away (discarded) in the household trash.

Manufactured for Evoke Pharma, Inc. by Patheon, a Division of Thermo Fisher.

GIMOTI is a trademark of Evoke Pharma. ©2020 Evoke Pharma, Inc. All rights reserved.

For more information, go to www.evokepharma.com or call 1-833-4-GIMOTI (1-833-444-6684).

These Instructions for Use have been approved by the U.S. Food and Drug Administration

Approved: June 2020

Recent Major Changes (RECENT MAJOR CHANGES)

Boxed Warning                                                                    2/2026

Dosage and Administration, Recommended Dosage ( 2.2)                   2/2026

Warnings and Precautions, Tardive Dyskinesia ( 5.1)                            2/2026

Warnings and Precautions Other Extrapyramidal Symptoms ( 5.2)       2/2026

5.1 Tardive Dyskinesia

Metoclopramide, including GIMOTI, can cause tardive dyskinesia (TD), a syndrome of potentially irreversible and disfiguring involuntary movements of the face or tongue, and sometimes of the trunk and/or extremities. Metoclopramide, including GIMOTI, may also suppress, or partially suppress, the signs of TD, and may delay the diagnosis of TD because it may mask the underlying disease process. The effect of this symptomatic suppression upon the long-term course of TD is unknown. TD may remit, partially or completely, if GIMOTI treatment is discontinued.

In patients treated with metoclopramide, including GIMOTI, the risk of developing TD and the likelihood that TD will become irreversible increases with duration of treatment and total cumulative dosage. Additionally, the risk of developing TD is increased in elderly patients, especially in elderly women [see Use in Specific Populations ( 8.5)] , and in patients with diabetes mellitus.

Prevention, Mitigation, and Monitoring for TD

  • GIMOTI is contraindicated in patients with a history of TD.
  • Avoid use of GIMOTI in patients receiving concomitant antipsychotics due to the potential additive effects of TD [see Drug Interactions ( 7.1)] .
  • GIMOTI is not recommended in geriatric patients as initial therapy [see Dosage and Administration ( 2.2)] .
  • Use GIMOTI for the shortest duration of treatment and periodically reassess the need for continued treatment.
  • Immediately discontinue GIMOTI immediately in patients who develop signs and symptoms of TD.
  • Avoid a total duration of treatment with metoclopramide products, including GIMOTI, for longer than 12 weeks. If longer-term use is unavoidable, routinely monitor for signs and symptoms of TD.
  • If patients have continued TD symptoms, consider TD treatment.
5.7 Hyperprolactinemia

As with other dopamine D 2receptor antagonists, metoclopramide elevates prolactin levels. Hyperprolactinemia may suppress hypothalamic gonadotropin-releasing hormone, resulting in reduced pituitary gonadotropin secretion. This, in turn, may inhibit reproductive function by impairing gonadal steroidogenesis in both female and male patients. Galactorrhea, amenorrhea, gynecomastia, and impotence have been reported with prolactin-elevating drugs, including metoclopramide.

Hyperprolactinemia may potentially stimulate prolactin-dependent breast cancer. However, some clinical studies and epidemiology studies have not shown an association between administration of dopamine D 2receptor antagonists and tumorigenesis in humans [see Nonclinical Toxicology ( 13.1)].

8.7 Hepatic Impairment

Patients with severe hepatic impairment (Child-Pugh C) have reduced systemic metoclopramide clearance (by approximately 50%) compared to patients with normal hepatic function [see Clinical Pharmacology ( 12.3)] . The resulting increase in metoclopramide blood concentrations increases the risk of adverse reactions. There are no pharmacokinetic data in patients with moderate hepatic impairment (Child-Pugh B). GIMOTI is not recommended in patients with moderate or severe (Child-Pugh B or C) hepatic impairment [see Warnings and Precautions ( 5.9)]. Use the recommended dosage of GIMOTI in patients with mild hepatic impairment (Child-Pugh A) [see Dosage and Administration ( 2.2)] .

Metoclopramide, by producing a transient increase in plasma aldosterone, may increase the risk of fluid retention in patients with hepatic impairment [see Warnings and Precautions ( 5.6)] . Monitor patients with hepatic impairment for the occurrence of fluid retention and volume overload.

1 Indications and Usage (1 INDICATIONS AND USAGE)

GIMOTI is indicated for the relief of symptoms in adults with acute and recurrent diabetic gastroparesis.

8.8 Nadh Cytochrome B 5 (8.8 NADH-Cytochrome b 5)

Metoclopramide-treated patients with NADH-cytochrome b 5reductase deficiency are at an increased risk of developing methemoglobinemia and/or sulfhemoglobinemia. For patients with glucose-6-phosphate dehydrogenase (G6PD) deficiency with metoclopramide-induced methemoglobinemia, methylene blue treatment is not recommended. Methylene blue may cause hemolytic anemia in patients with G6PD deficiency, which may be fatal [see Overdosage ( 10)].

12.1 Mechanism of Action

Metoclopramide stimulates motility of the upper gastrointestinal tract without stimulating gastric, biliary, or pancreatic secretions. The exact mechanism of action of metoclopramide in the treatment of gastroesophageal reflux and acute and recurrent diabetic gastroparesis has not been fully established. It seems to sensitize tissues to the action of acetylcholine. The effect of metoclopramide on motility is not dependent on intact vagal innervation, but it can be abolished by anticholinergic drugs.

Metoclopramide increases the tone and amplitude of gastric (especially antral) contractions, relaxes the pyloric sphincter and the duodenal bulb, and increases peristalsis of the duodenum and jejunum resulting in accelerated gastric emptying and intestinal transit. It increases the resting tone of the lower esophageal sphincter. It has little, if any, effect on the motility of the colon or gallbladder.

5 Warnings and Precautions (5 WARNINGS AND PRECAUTIONS)
  • Tardive dyskinesia (TD), other extrapyramidal symptoms (EPS), and neuroleptic malignant syndrome (NMS): Avoid concomitant use of other drugs known to cause TD/EPS/NMS and avoid use in patients with Parkinson's disease. If symptoms occur, discontinue GIMOTI and seek immediate medical attention. ( 5.1, 5.2, 5.3, 7.1, 7.2)
  • Depression and suicidal ideation/suicide: Avoid use. ( 5.4)
2 Dosage and Administration (2 DOSAGE AND ADMINISTRATION)

Administration

  • See the full prescribing information for complete information on administration. ( 2.1)

Recommended Dosage

  • Adults less than 65 years of age:The recommended dosage is 1 spray (15 mg) in one nostril, 30 minutes before each meal and at bedtime (maximum of 4 sprays daily). ( 2.2)
  • Adults 65 years of age and older:GIMOTI is not recommended in geriatric patients as initial therapy. Geriatric patients receiving an alternative metoclopramide product at a stable dosage of 10 mg four times daily can be switched to GIMOTI 1 spray (15 mg) in one nostril, 30 minutes before each meal and at bedtime (maximum four times daily). ( 2.2, 8.5)
Warning: Tardive Dyskinesia (WARNING: TARDIVE DYSKINESIA)

  • Metoclopramide, including GIMOTI, can cause tardive dyskinesia (TD), a potentially irreversible serious movement disorder. In patients treated with metoclopramide, including GIMOTI, the risk of developing TD increases with duration of treatment and total cumulative dosage [see Warnings and Precautions ( 5.1)] .
  • GIMOTI is contraindicated in patients with a history of TD.
  • Use GIMOTI for the shortest duration of treatment and periodically reassess the need for continued treatment.
  • Immediately discontinue GIMOTI in patients who develop signs or symptoms of TD [see Warnings and Precautions ( 5.1)] .
  • Avoid a total duration of treatment with metoclopramide products, including GIMOTI, for longer than 12 weeks. If longer-term use is unavoidable, routinely monitor for signs and symptoms of TD [see Warnings and Precautions ( 5.1)] .
3 Dosage Forms and Strengths (3 DOSAGE FORMS AND STRENGTHS)

Nasal Spray: 15 mg of metoclopramide in each 70 microliter spray. GIMOTI is an aqueous solution supplied in an amber glass bottle fitted with a metered spray pump attachment.

8.9 Cyp2d6 Poor Metabolizers (8.9 CYP2D6 Poor Metabolizers)

Metoclopramide is a substrate of CYP2D6. The elimination of metoclopramide may be slowed in patients who are CYP2D6 poor metabolizers (compared to patients who are CYP2D6 intermediate, extensive, or ultra-rapid metabolizers), possibly increasing the risk of dystonic and other adverse reactions to metoclopramide [see Clinical Pharmacology ( 12.3)]. GIMOTI is not recommended in patients who are CYP2D6 poor metabolizers [see Warnings and Precautions ( 5.9)].

17 Patient Counseling Information (17 PATIENT COUNSELING INFORMATION)

Advise the patient or caregiver to read the FDA-approved patient labeling (Medication Guide and Instructions for Use).

5.2 Other Extrapyramidal Symptoms

In addition to TD, metoclopramide may cause other extrapyramidal symptoms (EPS), parkinsonian symptoms, and motor restlessness. Advise patients to seek immediate medical attention if such symptoms occur and to discontinue GIMOTI.

  • Extrapyramidal symptoms (EPS), such as acute dystonic reactions, occurred in patients treated with oral metoclopramide dosages of 30 mg to 40 mg daily. Such reactions occurred more frequently in adults less than 30 years of age and at higher than recommended dosages. EPS occurred more frequently in pediatric patients compared to adults (GIMOTI is not approved for use in pediatric patients). Symptoms can occur in the first 24 to 48 hours after starting metoclopramide. Symptoms included involuntary movements of limbs and facial grimacing, torticollis, oculogyric crisis, rhythmic protrusion of tongue, bulbar type of speech, trismus, or dystonic reactions resembling tetanus. Rarely, dystonic reactions were present as stridor and dyspnea, possibly due to laryngospasm. Diphenhydramine hydrochloride or benztropine mesylate may be used to treat these adverse reactions. Avoid GIMOTI in patients receiving other drugs that can cause EPS (e.g., antipsychotics).
  • Parkinsonian symptoms (bradykinesia, tremor, cogwheel rigidity, mask-like facies) have occurred after starting metoclopramide, more commonly within the first 6 months, but also after longer periods. Symptoms generally have subsided within 2 to 3 months after discontinuation of metoclopramide. Avoid GIMOTI in patients with Parkinson’s disease and other patients being treated with antiparkinsonian drugs due to potential exacerbation of symptoms. If treatment is unavoidable, use GIMOTI for the shortest duration of treatment and periodically reassess the need for continued treatment. Routinely monitor for signs and symptoms of Parkinson’s disease [see Dosage and Administration ( 2.2)] .
  • Motor restlessness (akathisia) has developed and consisted of feelings of anxiety, agitation, jitteriness, and insomnia, as well as inability to sit still, pacing, and foot tapping. Discontinue GIMOTI if these symptoms develop.
5.3 Neuroleptic Malignant Syndrome

Metoclopramide may cause a potentially fatal symptom complex called neuroleptic malignant syndrome (NMS). NMS has been reported in association with metoclopramide overdosage and concomitant treatment with another drug associated with NMS. Avoid GIMOTI in patients receiving other drugs associated with NMS, including typical and atypical antipsychotics.

Clinical manifestations of NMS include hyperpyrexia, muscle rigidity, altered mental status, and manifestations of autonomic instability (irregular pulse or blood pressure, tachycardia, diaphoresis, and cardiac arrhythmias). Additional signs may include elevated creatine phosphokinase, myoglobinuria (rhabdomyolysis), and acute renal failure. Patients with such symptoms should be evaluated immediately.

In the diagnostic evaluation, consider the presence of other serious medical conditions (e.g., pneumonia, systemic infection) and untreated or inadequately treated extrapyramidal signs and symptoms. Other important considerations in the differential diagnosis include central anticholinergic toxicity, heat stroke, malignant hyperthermia, drug fever, serotonin syndrome, and primary central nervous system pathology.

Management of NMS includes:

  • Immediate discontinuation of GIMOTI and other drugs not essential to concurrent therapy [see Drug Interactions ( 7.1)] .
  • Intensive symptomatic treatment and medical monitoring.
  • Treatment of any concomitant serious medical problems for which specific treatments are available.
16 How Supplied/storage and Handling (16 HOW SUPPLIED/STORAGE AND HANDLING)

GIMOTI (metoclopramide) nasal spray is supplied as a solution of metoclopramide in a 10 mL Type 1 amber glass bottle fitted with a metered spray pump attachment, a protective cap, and a safety clip. Each box of GIMOTI (NDC 72089-307-15) contains 1 bottle, with FDA-approved Patient Labeling (see Instructions for Use for proper actuation of the device).

Each actuation delivers 15 mg of metoclopramide. Each bottle contains 9.8 mL which is sufficient for 4 weeks of 4 times a day use.

7.1 Effects of Other Drugs On Metoclopramide (7.1 Effects of Other Drugs on Metoclopramide)

Table 1 displays the effects of other drugs on metoclopramide.

Table 1. Effects of Other Drugs on Metoclopramide
Antipsychotics
Clinical Impact Potential for additive effects, including increased frequency and severity of tardive dyskinesia (TD), other extrapyramidal symptoms (EPS), and neuroleptic malignant syndrome (NMS).
Intervention Avoid concomitant use [see Warnings and Precautions ( 5.1, 5.2, 5.3)].
Strong CYP2D6 Inhibitors, not Included in Antipsychotic Category Above
Clinical Impact Increased plasma concentrations of metoclopramide; risk of exacerbation of extrapyramidal symptoms [see Clinical Pharmacology ( 12.3)].
Intervention Use of GIMOTI is not recommended [see Warnings and Precautions ( 5.9)] .
Examples quinidine, bupropion, fluoxetine, and paroxetine
Monoamine Oxidase Inhibitors
Clinical Impact Increased risk of hypertension [see Warnings and Precautions ( 5.5)].
Intervention Avoid concomitant use.
Central Nervous System (CNS) Depressants
Clinical Impact Increased risk of CNS depression [see Warnings and Precautions ( 5.8)].
Intervention Avoid GIMOTI or the interacting drug, depending on the importance of the drug to the patient.
Examples alcohol, sedatives, hypnotics, opiates, and anxiolytics
Drugs that Impair Gastrointestinal Motility
Clinical Impact Potential for decreased effect of metoclopramide due to opposing effects on gastrointestinal motility.
Intervention Monitor for reduced effect on gastrointestinal motility.
Examples antiperistaltic antidiarrheal drugs, anticholinergic drugs, and opiates
Dopaminergic Agonists and Other Drugs that Increase Dopamine Concentrations
Clinical Impact Decreased therapeutic effect of metoclopramide due to opposing effects on dopamine.
Intervention Monitor for reduced therapeutic effect.
Examples apomorphine, bromocriptine, cabergoline, levodopa, pramipexole, ropinirole, and rotigotine

7.2 Effects of Metoclopramide On Other Drugs (7.2 Effects of Metoclopramide on Other Drugs)

Table 2 displays the effects of metoclopramide on other drugs.

Table 2. Effects of Metoclopramide on Other Drugs
Dopaminergic Agonists and Drugs Increasing Dopamine Concentrations
Clinical Impact Opposing effects of metoclopramide and the interacting drug on dopamine. Potential exacerbation of symptoms (e.g., parkinsonian symptoms).
Intervention Avoid concomitant use [see Warnings and Precautions ( 5.2)] .
Examples Apomorphine, bromocriptine, cabergoline, levodopa, pramipexole, ropinirole, rotigotine
Succinylcholine, Mivacurium
Clinical Impact Metoclopramide inhibits plasma cholinesterase leading to enhanced neuromuscular blockade.
Intervention Monitor for signs and symptoms of prolonged neuromuscular blockade
Drugs with Absorption Altered due to Increased Gastrointestinal Motility
Clinical Impact The effect of metoclopramide on other drugs is variable. Increased gastrointestinal (GI) motility by metoclopramide may impact absorption of other drugs leading to decreased or increased drug exposure.
Intervention Drugs with Decreased Absorption (e.g., digoxin, atovaquone, posaconazole oral suspension
Interaction does not apply to posaconazole delayed-release tablet.
, fosfomycin)
: Monitor for reduced therapeutic effect of the interacting drug.

For digoxin, monitor therapeutic drug concentrations and increase the digoxin dose as needed (see prescribing information for digoxin).

Drugs with Increased Absorption (e.g., sirolimus, tacrolimus, cyclosporine): Monitor therapeutic drug concentrations and adjust the dose as needed. See prescribing information for the interacting drug.
Insulin
  Clinical Impact Increased GI motility by metoclopramide may increase delivery of food to the intestines and increase blood glucose.
  Intervention Monitor blood glucose and adjust insulin dosage regimen as needed.

Principal Display Panel 9.8 Ml Bottle Carton (PRINCIPAL DISPLAY PANEL - 9.8 mL Bottle Carton)

NDC 72089-307-15

Gimoti™

(metoclopramide)

nasal spray

15 mg

per spray

FOR NASAL USE ONLY

Rx Only

Net Content 9.8 mL

112 metered sprays

EVOKE

PHARMA

2.1 Important Administration and Storage Instructions
  • One spray in one nostril administers the appropriate dose.
  • Before administering the first dose from a bottle, prime the pump by pressing down on the finger flange and releasing 10 sprays in the air.
  • Place the spray nozzle tip under one nostril and lean the head slightly forward so the tip of spray nozzle is aimed away from the septum and toward the back of the nose.
  • Close the other nostril with the other index finger. Move spray pump upwards so the tip of the nozzle is in the nostril.
  • To ensure a full dose, hold the bottle upright while pressing down firmly and completely on finger flange and release while inhaling slowly through the open nostril.
  • Remove spray pump nozzle tip from nostril and exhale slowly through the mouth.
  • Wipe the spray nozzle with a clean tissue.
5.8 Effects On the Ability to Drive and Operate Machinery (5.8 Effects on the Ability to Drive and Operate Machinery)

Metoclopramide may impair the mental and/or physical abilities required for the performance of hazardous tasks such as operating machinery or driving a motor vehicle. Concomitant use of central nervous system (CNS) depressants or drugs associated with EPS may increase this effect (e.g., alcohol, sedatives, hypnotics, opiates, and anxiolytics). Avoid GIMOTI or the interacting drug, depending on the importance of the drug to the patient [see Drug Interactions ( 7.1)].

5.9 Risk of Adverse Reactions With Gimoti in Patients With Moderate Or Severe Renal and Hepatic Impairment, Cyp2d6 Poor Metabolizers and Patients Taking Strong Cyp2d6 Inhibitors (5.9 Risk of Adverse Reactions with GIMOTI in Patients with Moderate or Severe Renal and Hepatic Impairment, CYP2D6 Poor Metabolizers and Patients Taking Strong CYP2D6 Inhibitors)

Patients with moderate or severe renal or hepatic impairment, patients who are CYP2D6 poor metabolizers, and patients concurrently using strong CYP2D6 inhibitors have increased exposure to metoclopramide from GIMOTI due to reduced metabolism or excretion which may lead to an increased risk of adverse reactions, including tardive dyskinesia. Use of GIMOTI is not recommended in these patient populations since the dose of GIMOTI cannot be adjusted to reduce exposure [see Drug Interactions ( 7.1), Use in Specific Populations ( 8.6, 8.7, 8.9)] .


Advanced Ingredient Data


Raw Label Data

All Sections (JSON)