Meclizine Hydrochloride Tablets Usp, 12.5 Mg And 25 Mg

Meclizine Hydrochloride Tablets Usp, 12.5 Mg And 25 Mg
SPL v5
SPL
SPL Set ID 91b1fd1a-1da2-4aae-826f-7de0bfe62161
Route
ORAL
Published
Effective Date 2021-01-01
Document Type 34391-3 HUMAN PRESCRIPTION DRUG LABEL

Drug Facts

Composition & Product

Active Ingredients
Meclizine (25 mg)
Inactive Ingredients
Microcrystalline Cellulose Lactose Monohydrate Croscarmellose Sodium Magnesium Stearate

Identifiers & Packaging

Pill Appearance
Imprint: E14 Shape: oval Color: white Size: 13 mm Score: 1
Marketing Status
ANDA Active Since 2012-04-30

Description

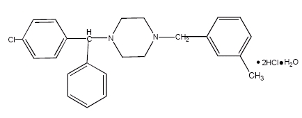
Chemically, meclizine hydrochloride is 1-( p -chloro-α-phenylbenzyl)-4-( m -methylbenzyl) piperazine dihydrochloride monohydrate. C 25 H 27 CIN 2 ·2HCl·H 2 0 M.W. 481.89 Meclizine hydrochloride tablets, USP are available in two different strengths, 12.5 mg and 25 mg. Inactive ingredients: microcrystalline cellulose, lactose monohydrate, croscarmellose sodium and magnesium stearate. The 12.5 mg tablet also contains FD&C Blue #1 Aluminum Lake.

Contraindications

Meclizine hydrochloride is contraindicated in individuals who have shown a previous hypersensitivity to it.

Adverse Reactions

Anaphylactoid reaction, drowsiness, dry mouth, headache, fatigue, vomiting and, on rare occasions, blurred vision have been reported.

How Supplied

Meclizine Hydrochloride Tablets USP are available as: 25 mg, white, modified oval-shaped tablets, de-bossed “ Є14 ” on one side and plain on the other side. They are supplied as follows: NDC 63187-258-10 in bottles of 10 NDC 63187-258-20 in bottles of 20 NDC 63187-258-30 in bottles of 30 NDC 63187-258-60 in bottles of 60 NDC 63187-258-90 in bottles of 90 Store at 20º to 25ºC (68 to 77ºF) [See USP Controlled Room Temperature]. Dispense contents in a tight, light-resistant container as defined in the USP, with a child-resistant closure, as required. Manufactured by: Epic Pharma, LLC Laurelton, NY 11413 Made in USA Revised April 2014 MF012REV04/14 OE1035 Repackaged by: Proficient Rx LP Thousand Oaks, CA 91320


Medication Information

Recent Major Changes

Based on a review of this drug by the National Academy of Sciences - National Research Council and/or other information, FDA has classified the indications as follows:

Effective: Management of nausea and vomiting, and dizziness associated with motion sickness.

Final classification of the less than effective indications requires further investigation.

Contraindications

Meclizine hydrochloride is contraindicated in individuals who have shown a previous hypersensitivity to it.

Adverse Reactions

Anaphylactoid reaction, drowsiness, dry mouth, headache, fatigue, vomiting and, on rare occasions, blurred vision have been reported.

How Supplied

Meclizine Hydrochloride Tablets USP are available as:

25 mg, white, modified oval-shaped tablets, de-bossed “Є14” on one side and plain on the other side. They are supplied as follows:

NDC 63187-258-10 in bottles of 10

NDC 63187-258-20 in bottles of 20

NDC 63187-258-30 in bottles of 30

NDC 63187-258-60 in bottles of 60

NDC 63187-258-90 in bottles of 90

Store at 20º to 25ºC (68 to 77ºF) [See USP Controlled Room Temperature]. Dispense contents in a tight, light-resistant container as defined in the USP, with a child-resistant closure, as required.

Manufactured by:

Epic Pharma, LLC

Laurelton, NY 11413

Made in USA

Revised April 2014

MF012REV04/14

OE1035

Repackaged by:

Proficient Rx LP

Thousand Oaks, CA 91320

Description

Chemically, meclizine hydrochloride is 1-(p-chloro-α-phenylbenzyl)-4-(m-methylbenzyl) piperazine dihydrochloride monohydrate.

C25H27CIN2·2HCl·H20 M.W. 481.89

Meclizine hydrochloride tablets, USP are available in two different strengths, 12.5 mg and 25 mg. Inactive ingredients: microcrystalline cellulose, lactose monohydrate, croscarmellose sodium and magnesium stearate. The 12.5 mg tablet also contains FD&C Blue #1 Aluminum Lake.

Warnings

Since drowsiness may, on occasion, occur with use of this drug, patients should be warned of this possibility and cautioned against driving a car or operating dangerous machinery.

Patients should avoid alcoholic beverages while taking this drug.

Due to its potential anticholinergic action, this drug should be used with caution in patients with asthma, glaucoma, or enlargement of the prostate gland.

Absorption

Meclizine is absorbed after oral administration with maximum plasma concentrations reaching at a median Tmax value of 3 hours post-dose (range: 1.5 to 6 hours) for the tablet dosage form.

Metabolism

The metabolic fate of meclizine in humans is unknown. In an in vitro metabolic study using human hepatic microsome and recombinant CYP enzyme, CYP 2D6 was found to be the dominant enzyme for metabolism of meclizine.

The genetic polymorphism of CYP2D6 that results in extensive-, poor-, intermediate- and ultrarapid metabolizer phenotypes could contribute to large inter-individual variability in meclizine exposure.

Elimination

Meclizine has a plasma elimination half-life of about 5-6 hours in humans.

Distribution

Drug distribution characteristics for meclizine in humans are unknown.

Motion Sickness

The initial dose of 25 to 50 mg of meclizine hydrochloride should be taken one hour prior to embarkation for protection against motion sickness. Thereafter, the dose may be repeated every 24 hours for the duration of the journey.

Nursing Mothers

It is not known whether this drug is excreted in human milk. Because many drugs are excreted in human milk, caution should be exercised when meclizine is administered to a nursing woman.

Pharmacokinetics

The available pharmacokinetic information for meclizine following oral administration has been summarized from published literature.

Usage in Children

Clinical studies establishing safety and effectiveness in children have not been done; therefore, usage is not recommended in children under 12 years of age.

Hepatic Impairment

The effect of hepatic impairment on the pharmacokinetics of meclizine has not been evaluated. As meclizine undergoes metabolism, hepatic impairment may result in increased systemic exposure of the drug. Treatment with meclizine should be administered with caution in patients with hepatic impairment.

Renal Impairment

The effect of renal impairment on the pharmacokinetics of meclizine has not been evaluated. Due to a potential drug/metabolite accumulation, meclizine should be administered with caution in patients with renal impairment and in the elderly as renal function generally declines with age.

Drug Interactons

There may be increased CNS depression when meclizine is administered concurrently with other CNS depressants, including alcohol, tranquilizers, and sedatives. (see WARNINGS)

Based on in-vitro evaluation, meclizine is metabolized by CYP2D6. Therefore there is a possibility for a drug interaction between meclizine and CYP2D6 inhibitors.

Pregnancy Category B

Reproduction studies in rats have shown cleft palates at 25-50 times the human dose. Epidemiological studies in pregnant women, however, do not indicate that meclizine increases the risk of abnormalities when administered during pregnancy. Despite the animal findings, it would appear that the possibility of fetal harm is remote. Nevertheless, meclizine, or any other medication, should be used during pregnancy only if clearly necessary.

Clinical Pharmacology

Meclizine hydrochloride is an antihistamine that shows marked protective activity against nebulized histamine and lethal doses of intravenously injected histamine in guinea pigs. It has a marked effect in blocking the vasodepressor response to histamine, but only a slight blocking action against acetylcholine. Its activity is relatively weak in inhibiting the spasmogenic action of histamine on isolated guinea pig ileum.

Principal Display Panel

Structured Label Content

Recent Major Changes (34066-1)

Based on a review of this drug by the National Academy of Sciences - National Research Council and/or other information, FDA has classified the indications as follows:

Effective: Management of nausea and vomiting, and dizziness associated with motion sickness.

Final classification of the less than effective indications requires further investigation.

Warnings (WARNINGS)

Since drowsiness may, on occasion, occur with use of this drug, patients should be warned of this possibility and cautioned against driving a car or operating dangerous machinery.

Patients should avoid alcoholic beverages while taking this drug.

Due to its potential anticholinergic action, this drug should be used with caution in patients with asthma, glaucoma, or enlargement of the prostate gland.

Absorption

Meclizine is absorbed after oral administration with maximum plasma concentrations reaching at a median Tmax value of 3 hours post-dose (range: 1.5 to 6 hours) for the tablet dosage form.

Metabolism

The metabolic fate of meclizine in humans is unknown. In an in vitro metabolic study using human hepatic microsome and recombinant CYP enzyme, CYP 2D6 was found to be the dominant enzyme for metabolism of meclizine.

The genetic polymorphism of CYP2D6 that results in extensive-, poor-, intermediate- and ultrarapid metabolizer phenotypes could contribute to large inter-individual variability in meclizine exposure.

Description (DESCRIPTION)

Chemically, meclizine hydrochloride is 1-(p-chloro-α-phenylbenzyl)-4-(m-methylbenzyl) piperazine dihydrochloride monohydrate.

C25H27CIN2·2HCl·H20 M.W. 481.89

Meclizine hydrochloride tablets, USP are available in two different strengths, 12.5 mg and 25 mg. Inactive ingredients: microcrystalline cellulose, lactose monohydrate, croscarmellose sodium and magnesium stearate. The 12.5 mg tablet also contains FD&C Blue #1 Aluminum Lake.

Elimination

Meclizine has a plasma elimination half-life of about 5-6 hours in humans.

Distribution

Drug distribution characteristics for meclizine in humans are unknown.

How Supplied (HOW SUPPLIED)

Meclizine Hydrochloride Tablets USP are available as:

25 mg, white, modified oval-shaped tablets, de-bossed “Є14” on one side and plain on the other side. They are supplied as follows:

NDC 63187-258-10 in bottles of 10

NDC 63187-258-20 in bottles of 20

NDC 63187-258-30 in bottles of 30

NDC 63187-258-60 in bottles of 60

NDC 63187-258-90 in bottles of 90

Store at 20º to 25ºC (68 to 77ºF) [See USP Controlled Room Temperature]. Dispense contents in a tight, light-resistant container as defined in the USP, with a child-resistant closure, as required.

Manufactured by:

Epic Pharma, LLC

Laurelton, NY 11413

Made in USA

Revised April 2014

MF012REV04/14

OE1035

Repackaged by:

Proficient Rx LP

Thousand Oaks, CA 91320

Motion Sickness

The initial dose of 25 to 50 mg of meclizine hydrochloride should be taken one hour prior to embarkation for protection against motion sickness. Thereafter, the dose may be repeated every 24 hours for the duration of the journey.

Nursing Mothers

It is not known whether this drug is excreted in human milk. Because many drugs are excreted in human milk, caution should be exercised when meclizine is administered to a nursing woman.

Pharmacokinetics

The available pharmacokinetic information for meclizine following oral administration has been summarized from published literature.

Adverse Reactions (ADVERSE REACTIONS)

Anaphylactoid reaction, drowsiness, dry mouth, headache, fatigue, vomiting and, on rare occasions, blurred vision have been reported.

Contraindications (CONTRAINDICATIONS)

Meclizine hydrochloride is contraindicated in individuals who have shown a previous hypersensitivity to it.

Usage in Children

Clinical studies establishing safety and effectiveness in children have not been done; therefore, usage is not recommended in children under 12 years of age.

Hepatic Impairment

The effect of hepatic impairment on the pharmacokinetics of meclizine has not been evaluated. As meclizine undergoes metabolism, hepatic impairment may result in increased systemic exposure of the drug. Treatment with meclizine should be administered with caution in patients with hepatic impairment.

Renal Impairment

The effect of renal impairment on the pharmacokinetics of meclizine has not been evaluated. Due to a potential drug/metabolite accumulation, meclizine should be administered with caution in patients with renal impairment and in the elderly as renal function generally declines with age.

Drug Interactons

There may be increased CNS depression when meclizine is administered concurrently with other CNS depressants, including alcohol, tranquilizers, and sedatives. (see WARNINGS)

Based on in-vitro evaluation, meclizine is metabolized by CYP2D6. Therefore there is a possibility for a drug interaction between meclizine and CYP2D6 inhibitors.

Pregnancy Category B

Reproduction studies in rats have shown cleft palates at 25-50 times the human dose. Epidemiological studies in pregnant women, however, do not indicate that meclizine increases the risk of abnormalities when administered during pregnancy. Despite the animal findings, it would appear that the possibility of fetal harm is remote. Nevertheless, meclizine, or any other medication, should be used during pregnancy only if clearly necessary.

Clinical Pharmacology (CLINICAL PHARMACOLOGY)

Meclizine hydrochloride is an antihistamine that shows marked protective activity against nebulized histamine and lethal doses of intravenously injected histamine in guinea pigs. It has a marked effect in blocking the vasodepressor response to histamine, but only a slight blocking action against acetylcholine. Its activity is relatively weak in inhibiting the spasmogenic action of histamine on isolated guinea pig ileum.

Principal Display Panel (PRINCIPAL DISPLAY PANEL)

Advanced Ingredient Data


Raw Label Data

All Sections (JSON)